Главная // Актуальные документы // ГОСТ (Государственный стандарт)СПРАВКА
Источник публикации
М.: Издательство стандартов, 1994
Примечание к документу
Документ утрачивает силу с 01.12.2024 в связи с изданием
Приказа Росстандарта от 30.06.2022 N 555-ст (ред. от 22.11.2022). Взамен вводится в действие
ГОСТ 5985-2022.
С 01.07.2003 до вступления в силу технических регламентов акты федеральных органов исполнительной власти в сфере технического регулирования носят рекомендательный характер и подлежат обязательному исполнению только в части, соответствующей целям, указанным в
п. 1 ст. 46 Федерального закона от 27.12.2002 N 184-ФЗ.
Текст документа приведен с учетом
поправки, опубликованной в "ИУС", N 11, 2011 и
поправки, опубликованной в "ИУС", N 3, 2016.
Документ
введен в действие с 01.01.1980.
Взамен ГОСТ 5985-59.
Название документа
"ГОСТ 5985-79 (СТ СЭВ 3963-83). Государственный стандарт Союза ССР. Нефтепродукты. Метод определения кислотности и кислотного числа"
(утв. и введен в действие Постановлением Госстандарта СССР от 30.03.1979 N 1167)
(ред. от 01.12.1991)
"ГОСТ 5985-79 (СТ СЭВ 3963-83). Государственный стандарт Союза ССР. Нефтепродукты. Метод определения кислотности и кислотного числа"
(утв. и введен в действие Постановлением Госстандарта СССР от 30.03.1979 N 1167)
(ред. от 01.12.1991)
Утвержден и введен в действие
Постановлением Государственного
комитета СССР по стандартизации
от 30 марта 1979 г. N 1167
ГОСУДАРСТВЕННЫЙ СТАНДАРТ СОЮЗА ССР
НЕФТЕПРОДУКТЫ
МЕТОД ОПРЕДЕЛЕНИЯ КИСЛОТНОСТИ И КИСЛОТНОГО ЧИСЛА
Petroleum products. Method for determination
of acidity and acid number
ГОСТ 5985-79
(СТ СЭВ 3963-83)
| | Список изменяющих документов (в ред. Изменения 1, утв. в апреле 1984 г., Изменения 2, утв. в декабре 1991 г.) | |
Дата введения
1 января 1980 года
1. Разработан и внесен Министерством Нефтеперерабатывающей и химической промышленности.
Разработчики: Э.Ф. Каминский, В.В. Булатников, Т.Г. Скрябина, Л.А. Садовникова, Т.И. Довгополая, Н.П. Щедрина.
2. Утвержден и введен в действие Постановлением Государственного комитета СССР по стандартизации от 30.03.1979 N 1167.
3. Срок проверки - 1997 г.
4. Взамен ГОСТ 5985-59.
5. Ссылочные нормативно-технические документы
Обозначение НТД, на который дана ссылка | Номер раздела |
| |
| |
| |
| |
| |
| |
| |
ГОСТ 9572-77 | |
| |
| |
| |
| |
| | ИС МЕГАНОРМ: примечание. В официальном тексте документа, видимо, допущена опечатка: имеется в виду ГОСТ 20292-74, а не ГОСТ 20292-87. | |
|
| |
ГОСТ 24104-80 | |
| |
ТУ 6-09-4711-81 | |
ТУ 6-09-5077-83 | |
ТУ 6-09-5360-88 | |
6. Ограничение срока действия снято Постановлением Госстандарта СССР от 28.12.1991 N 2259.
7. Переиздание (октябрь 1993 г.) с Изменениями 1 и 2, утвержденными в апреле 1984 г. (ИУС 8-84, ИУС 4-92).
Настоящий стандарт распространяется на светлые нефтепродукты (этилированные и неэтилированные бензины, лигроины, керосины, дизельное топливо, топливо для реактивных двигателей), нелегированные масла, специальные масла и углеводородные пластичные смазки и устанавливает методы определения кислотности и кислотного числа.
Сущность метода заключается в титровании кислых соединений испытуемого продукта спиртовым раствором гидроокиси калия в присутствии цветного индикатора и определении для светлых нефтепродуктов кислотности, выраженной в мг KOH/100 см3, для масел и смазок - кислотного числа, выраженного в мг KOH/г.
1. АППАРАТУРА, РЕАКТИВЫ И МАТЕРИАЛЫ
Колбы Кн-1-100-29/32 ТС, Кн-2-100-34 ТХС, Кн-2-100-22 ТХС, Кн-1-250-29/32 ТС, Кн-2-250-34, КГУ-2-1-1000-29/32 ТС, КГУ-2-2-1000-34 ТХС по
ГОСТ 25336-82.
Дефлегматор елочный длиной не менее 400 мм.
Холодильники ХТП-1-400-14/23, ХШ-1-400-29/32 ХС, ХШ-3-400-ТХС по
ГОСТ 25336-82 или холодильник воздушный, или трубки стеклянные длиной 700 - 750 мм с внутренним диаметром 10 - 12 мм.
Цилиндры по
ГОСТ 1770-74 типов 1-50; 1-100; 3-50; 3-100; 1-1000; 1-2000.
Бюретки по
ГОСТ 20292-74 типов 1-2-25; 3-2-25; 6-2-2; 6-2-5; 7-2-3; 7-2-10.
Электроплитка с закрытой спиралью любого типа.
Воронка с обогревом.
Секундомер или часы песочные ЧПН-5.
Склянка (бутылка) из темного стекла или окрашенная в черный цвет.
Шпатель.
Шкаф сушильный или печь муфельная.
Весы лабораторные общего назначения с пределом взвешивания 200 г не ниже 2-го класса точности.
Весы технические.
Трубка хлоркальциевая.
Калия гидроокись, х.ч. или ч.д.а., 0,05 моль/дм3 спиртовой титрованный раствор.
Кальций хлористый 2-водный по ТУ 6-09-5077-83 или кальций хлористый по ТУ 6-09-4711-81.
Натронная известь или аскарит.
Калий фталевокислый кислый (бифталат калия).
Щелочной голубой 6Б, готовят следующим образом: 0,8 г щелочного голубого 6Б растворяют в 1000 см3 этилового спирта 96%-ного, затем добавляют 1500 см3 бензола до полного растворения индикатора. После добавления бензола смесь выдерживают в течение 12 ч, затем прозрачный раствор отфильтровывают.
Кислота соляная 0,1 моль/дм3.
Допускается использовать стандартный раствор соляной кислоты, приготовленный из фиксанала.
Индикатор нитрозиновый желтый, 0,5%-ный водный раствор.
Индикатор фенолфталеин по ТУ 6-09-5360-88, 1%-ный спиртовой раствор, приготовленный по
ГОСТ 4919.1-77.
Вода дистиллированная pH 5,4 - 6,6.
Допускается применять реактивы, качество которых не ниже указанных в стандарте.
(Измененная редакция, Изм. N 1, 2).
2. ПОДГОТОВКА К ИСПЫТАНИЮ
(Введен дополнительно, Изм. N 1).
2.1. Для приготовления титрованных растворов применяют свежеперегнанный этиловый спирт. Перегонку спирта осуществляют в колбе вместимостью 1000 см3 с дефлегматором.
2.2. Приготовление 85%-ного раствора этилового спирта
2.2.1. Смешивают 89 см3 этилового спирта и 11 см3 дистиллированной воды.
2.3. Приготовление индикаторов
2.3.1. Для приготовления 0,5%-ного водного раствора индикатора нитрозинового желтого 0,5 г индикатора растворяют в 100 см3 дистиллированной воды.
2.3.2. (Исключен, Изм. N 2).
2.4. Для установления титра спиртового раствора гидроокиси калия применяют перекристаллизованный кислый фталевокислый калий (бифталат калия) или янтарную кислоту.
2.4.1. 70 г бифталата калия растворяют в 200 см3 дистиллированной горячей воды. Перекристаллизацию ведут при температуре не ниже 25 °C, так как при более низкой температуре образуются кристаллы трифталата калия - более кислой соли. Полученные кристаллы сушат до постоянной массы при (105 +/- 5) °C.
2.4.2. 100 г янтарной кислоты растворяют при кипячении в 165 мл дистиллированной воды, раствор фильтруют через воронку с обогревом. После охлаждения раствора кристаллы отфильтровывают на отсасывающей воронке и снова перекристаллизовывают. Кристаллы высушивают при (105 +/- 5) °C до постоянной массы.
2.4.3. Перекристаллизованные бифталат калия и янтарную кислоту помещают в бюксы и хранят в эксикаторе. Перед каждым установлением титра бифталат калия и янтарную кислоту сушат 1 ч при (105 +/- 5) °C.
2.5. Приготовление 0,05 моль/дм3 спиртового раствора гидроокиси калия
2.5.1. 3 г кристаллической гидроокиси калия взвешивают с погрешностью не более 0,1 г, растворяют в 1000 см3 этилового спирта. Полученный раствор тщательно перемешивают и выдерживают не менее 24 ч в темном месте.
Отстоявшийся прозрачный раствор отделяют от осадка декантацией в склянку для бюретки или в бутылку с пробкой из темного стекла или окрашенные в черный цвет.
Бюретка должна быть защищена трубкой с натронной известью или аскаритом.
2.5.2. Титр раствора гидроокиси калия устанавливают по бифталату калия.
Допускается при отсутствии бифталата калия устанавливать титр по янтарной кислоте.
2.5.3. В коническую колбу вместимостью 250 см3 помещают 0,05 - 0,07 г бифталата калия или янтарной кислоты, взвешенных с погрешностью не более 0,0002 г, и растворяют их в 50 см3 свежепрокипяченной дистиллированной воды, добавляют 3 - 4 капли фенолфталеина и титруют 0,05 моль/дм3 раствором гидроокиси калия при непрерывном перемешивании до появления розовой окраски.
Окраска должна быть устойчивой без перемешивания в течение 30 с.
(Измененная редакция, Изм. N 2).
2.5.4. Титр раствора гидроокиси калия (T) в мг/см3 вычисляют по формуле

,
где 56,11 - эквивалентная масса гидроокиси калия, г;
m - масса бифталата калия или янтарной кислоты, г;
Э - эквивалентная масса бифталата калия или янтарной кислоты, соответственно равная 204,23 и 59,04 г;

- объем 0,05 моль/дм3 раствора гидроокиси калия, израсходованный на титрование массы бифталата калия или янтарной кислоты, см3.
За результат определения титра принимают среднее арифметическое не менее трех параллельных определений, расхождение между которыми не превышает 0,03 мг.
Титр раствора проверяют не реже одного раза в две недели.
2.6. Подготовка образца
2.6.1. Пробу нефтепродукта тщательно перемешивают встряхиванием в течение 5 мин в склянке, заполненной не более чем на 3/4 ее объема.
Вязкие и парафинистые нефтепродукты предварительно нагревают до 60 °C.
(Измененная редакция, Изм. N 1).
2.6.2. При испытании пластичных смазок с поверхности испытуемой смазки снимают и отбрасывают верхний слой. Затем в нескольких местах (не менее трех) отбирают пробы примерно в равных количествах на расстоянии не менее 5 мм от стенок сосуда, помещают в фарфоровую чашку и тщательно перемешивают.
3.1. Для испытания светлых нефтепродуктов отбирают от 50 до 100 см3 пробы. Массу пробы для испытания масел определяют согласно табл. 1.
Таблица 1
Кислотное число, мг KOH/г | Масса пробы, г |
До 0,2 | 20 +/- 2 |
Св. 0,2 " 0,5 | 10 +/- 2 |
" 0,5 " 1,0 | 5,0 +/- 0,5 |
" 1,0 | 2,0 +/- 0,5 |
При испытании пластичных смазок в коническую колбу вместимостью 250 см3 помещают 5 - 8 г испытуемого продукта, взвешенного с погрешностью не более 0,01 г.
3.2. В другую коническую колбу наливают 50 см3 85%-ного этилового спирта и кипятят с обратным холодильником водяным или воздушным в течение 5 мин. В прокипяченный спирт добавляют 8 - 10 капель (0,25 см3) индикатора нитрозинового желтого и нейтрализуют в горячем состоянии при непрерывном перемешивании 0,05 н. спиртовым раствором гидроокиси калия до первого изменения желтой окраски в зеленую.
3.3. Определение кислотности
В колбу с нейтрализованным горячим спиртом приливают испытуемую пробу и кипятят в течение 5 мин (точно) с обратным холодильником при постоянном перемешивании.
Если содержимое колбы после кипячения все еще сохраняет зеленую окраску, испытание прекращают и считают, что кислотность испытуемой пробы отсутствует.
В случае изменения окраски смесь в горячем состоянии титруют спиртовым раствором гидроокиси калия при непрерывном интенсивном перемешивании до изменения желтой (или желтой с оттенками) окраски спиртового слоя или смеси в зеленую (или зеленую с оттенками). Окраска должна быть устойчивой без перемешивания в течение 30 с.
Титрование проводят в горячем состоянии быстро во избежание влияния углекислого газа, содержащегося в воздухе.
3.4. Определение кислотного числа
В коническую колбу помещают пробу испытуемого продукта в количестве, указанном в
п. 3.1. Добавляют при взбалтывании не менее 40 см3 щелочного голубого 6Б до полного растворения пробы. Затем содержимое колбы титруют при легком взбалтывании спиртовым раствором гидроокиси калия до изменения голубой окраски на красную или голубого оттенка на красный.
Параллельно проводят контрольный опыт без испытуемой пробы, применяя то же количество раствора щелочного голубого 6Б.
В случае плохого растворения пробы содержимое колбы кипятят с обратным холодильником в течение 5 мин при постоянном перемешивании.
При испытании смазки продолжительность кипячения увеличивают на 5 мин после полного ее растворения.
Допускается проводить определение кислотного числа следующим образом: нейтрализованный горячий спирт, подготовленный, как указано в
п. 3.2, приливают в колбу с испытуемым продуктом. Содержимое колбы кипятят с обратным холодильником в течение 5 мин при постоянном перемешивании. Смесь в горячем состоянии титруют спиртовым раствором гидроокиси калия, как указано в
п. 3.3.
При наличии в смеси зеленой (или зеленой с оттенками) окраски титрование раствором гидроокиси калия не производят. В этом случае органические кислоты в испытуемом нефтепродукте отсутствуют.
При разногласиях в оценке качества нефтепродуктов определение кислотного числа проводят с применением индикатора щелочного голубого 6Б.
(Измененная редакция, Изм. N 1, 2).
3.5. (Исключен, Изм. N 1).
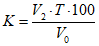
4.1. Кислотность испытуемого нефтепродукта (K) в мг KOH на 100 см3 вычисляют по формуле

,
где

- объем 0,05 моль/дм3 раствора гидроокиси калия, израсходованный на титрование, см3;
T - титр 0,05 моль/дм3 раствора гидроокиси калия, мг/см3;

- объем испытуемой пробы, см3;
100 - фактор пересчета на 100 см3 продукта.
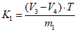
4.2. Кислотное число испытуемой пробы

в мг KOH/г при использовании в качестве индикатора щелочного голубого вычисляют по формуле

,
где

- объем 0,05 моль/дм3 спиртового раствора гидроокиси калия, израсходованный на титрование, см3;

- объем 0,05 моль/дм3 спиртового раствора гидроокиси калия, израсходованный на контрольный опыт, см3;
T - титр 0,05 моль/дм3 спиртового раствора гидроокиси калия, мг/см3;

- масса пробы, г.
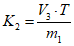
Кислотное число испытуемой пробы

в мг KOH/г при использовании в качестве индикатора нитрозинового желтого вычисляют по формуле

,
где

- объем 0,05 моль/дм3 спиртового раствора гидроокиси калия, израсходованный на титрование, см3;
T - титр 0,05 моль/дм3 спиртового раствора гидроокиси калия, мг/см3;

- масса пробы, г.
4.1 - 4.2. (Измененная редакция, Изм. N 1).
4.3. За результат испытания принимают среднее арифметическое результатов двух параллельных определений.
4.3.1. Два результата определений, полученные одним лаборантом, признаются достоверными при доверительной вероятности 0,95%, если расхождение между ними не превышает значений, указанных в табл. 2,
3.
(Измененная редакция, Изм. N 2).
Кислотность, мг KOH/100 см3 | Сходимость | Воспроизводимость |
До 0,5 | 0,08 | 0,20 |
Св. 0,5 - 1,0 | 0,10 | 0,25 |
Св. 1,0 | 0,20 | - |
Кислотное число, мг KOH/г | Сходимость | Воспроизводимость |
До 0,5 | 0,06 | 0,10 |
Св. 0,5 " 1,0 | 0,10 | 0,20 |
" 1,0 | 0,20 | 0,40 |
4.3.2. Два результата испытаний, полученные в двух разных лабораториях, признаются достоверными при доверительной вероятности 95%, если расхождение между ними не превышает значений, указанных в
табл. 2 и
3.
Результаты испытания округляют до второго десятичного знака.
4.3.1 - 4.3.2. (Измененная редакция, Изм. N 1).
Приложение. (Исключено, Изм. N 2).