Главная // Актуальные документы // ГОСТ (Государственный стандарт)СПРАВКА
Источник публикации
Документ опубликован не был
Примечание к документу
Документ утратил силу с 01.01.2000 в части бумаги и картона в связи с изданием Постановления Госстандарта России от 12.04.1999 N 122. Взамен введен в действие
ГОСТ ИСО 1924-1-96.
Документ был включен в
Перечень стандартов, содержащих правила и методы исследований (испытаний) и измерений, в том числе правила отбора образцов, необходимые для применения и исполнения требований технического
регламента Таможенного союза "О безопасности упаковки" (ТР ТС 005/2011) и осуществления оценки (подтверждения) соответствия продукции (
Решение Комиссии Таможенного союза от 16.08.2011 N 769).
С 01.07.2003 до вступления в силу технических регламентов акты федеральных органов исполнительной власти в сфере технического регулирования носят рекомендательный характер и подлежат обязательному исполнению только в части, соответствующей целям, указанным в
п. 1 ст. 46 Федерального закона от 27.12.2002 N 184-ФЗ.
Документ
введен в действие с 01.07.1980.
Взамен ГОСТ 13525.1-68.
Название документа
"ГОСТ 13525.1-79* (СТ СЭВ 2426-80). Государственный стандарт Союза ССР. Полуфабрикаты волокнистые, бумага и картон. Методы определения прочности на разрыв и удлинения при растяжении"
(введен в действие Постановлением Госстандарта СССР от 23.04.1979 N 1479)
(ред. от 01.09.1984, с изм. от 12.04.1999)
"ГОСТ 13525.1-79* (СТ СЭВ 2426-80). Государственный стандарт Союза ССР. Полуфабрикаты волокнистые, бумага и картон. Методы определения прочности на разрыв и удлинения при растяжении"
(введен в действие Постановлением Госстандарта СССР от 23.04.1979 N 1479)
(ред. от 01.09.1984, с изм. от 12.04.1999)
Введен в действие
Постановлением Государственного
комитета СССР по стандартам
от 23 апреля 1979 г. N 1479
ГОСУДАРСТВЕННЫЙ СТАНДАРТ СОЮЗА ССР
ПОЛУФАБРИКАТЫ ВОЛОКНИСТЫЕ, БУМАГА И КАРТОН
МЕТОДЫ ОПРЕДЕЛЕНИЯ ПРОЧНОСТИ НА РАЗРЫВ И УДЛИНЕНИЯ
ПРИ РАСТЯЖЕНИИ
Fibre semimanufactures, paper and board.
Tensile srtength and elongation tests
ГОСТ 13525.1-79*
(СТ СЭВ 2426-80)
| | Список изменяющих документов (в ред. Изменения N 1, утв. в феврале 1981 г., введенным в действие Постановлением Госстандарта России от 12.04.1999 N 122) | |
Взамен
ГОСТ 13525.1-68
Постановлением Государственного комитета СССР по стандартам от 23 апреля 1979 г. N 1479 срок действия установлен
с 1 июля 1980 года
до 1 июля 1985 года
Переиздание (ноябрь 1984 г.) с Изменениями N 1, 2, утвержденными в феврале 1981 г., сентябре 1984 г. (ИУС 5-81, 1-85).
Настоящий стандарт распространяется на волокнистые полуфабрикаты, бумагу и картон и устанавливает методы определения прочности на разрыв и относительного удлинения при растяжении.
Стандарт не распространяется на гофрированный картон.
Сущность методов заключается в определении усилия, вызывающего разрушение образца и его удлинение до момента разрыва.
Прочность на разрыв характеризуется следующими величинами:
разрушающим усилием;
удельным сопротивлением разрыву;
индексом прочности при растяжении;
пределом прочности при растяжении;
разрывной длиной.
Стандарт полностью соответствует СТ СЭВ 2426-80 и МС ИСО 1924/1-83.
1.1. Отбор проб древесной массы - по ГОСТ 16489-78.
1.2. Отбор проб целлюлозы - по ГОСТ 7004-78.
1.3. Отбор проб бумаги и картона - по ГОСТ 8047-78.
1.4. Для испытания древесной массы и целлюлозы изготовляют по пять отливок по ГОСТ 16296-79 и ГОСТ 14363.4-79.
1.5. Из каждой отливки вырезают по два образца шириной 15,0 +/- 0,1 мм и длиной не менее 150 мм по схеме, указанной в ГОСТ 16296-79 и ГОСТ 14363.4-79.
1.6. Для испытания бумаги и картона от выборки отбирают десять листов и из каждого листа вырезают по одному образцу в машинном и поперечном направлениях размером, мм:
ширина образцов для бумаги - 15,0 +/- 0,1;
" " " картона - 50,0 +/- 0,2;
длина образцов для бумаги и картона не менее 250, если другие размеры не установлены в нормативно-технической документации на конкретную продукцию.
(Измененная редакция, Изм. N 1).
1.7. Образцы должны быть с ровными кромками, чистыми, без складок, вмятин и морщин.
2.1. Для испытания используют разрывные машины, отвечающие следующим требованиям:
относительная погрешность измерения силы не должна превышать +/- 1%;
абсолютная погрешность измерения удлинения не должна превышать для машин:
с предельной нагрузкой до 300 Н (30 кгс) включ. - 0,5 мм;
" " " св. 300 Н (30 кгс) - 1,0 мм;
ширина зажимов должна соответствовать ширине испытуемых образцов;
зажимы должны удерживать образец без скольжения в течение всего испытания;
расстояние между зажимами должно быть регулируемым и обеспечивать установку значений:
50 +/- 1 мм,
100 +/- 1 мм,
180 +/- 1 мм;
скорость перемещения подвижного зажима должна быть переменной с плавной регулировкой и ее отклонение при любом установочном значении не должно превышать +/- 5%.
2.2. Нож с ограничителем для нарезания образцов требуемой ширины, обеспечивающий параллельность сторон.
| | ИС МЕГАНОРМ: примечание. ГОСТ 5072-79 утратил силу с 1 января 1991 года (ИУС "Государственные стандарты", N 11, 1991). | |
2.3. Секундомер - по ГОСТ 5072-79.
| | ИС МЕГАНОРМ: примечание. Взамен ГОСТ 13199-67 Постановлением Госстандарта СССР от 28.12.1988 N 4611 с 1 января 1990 года введен в действие ГОСТ 13199-88. | |
2.4. Толщиномер, отвечающий требованиям ГОСТ 13199-67.
| | ИС МЕГАНОРМ: примечание. Взамен ГОСТ 24104-80 с 1 января 1989 года Постановлением Госстандарта СССР от 23.06.1988 N 2472 введен в действие ГОСТ 24104-88. Взамен ГОСТ 24104-88 с 1 июля 2002 года Постановлением Госстандарта России от 26.10.2001 N 439-ст введен в действие ГОСТ 24104-2001. | |
2.5. Весы лабораторные рычажные с погрешностью взвешивания не более 0,001 г по ГОСТ 24104-80.
3. ПОДГОТОВКА К ИСПЫТАНИЮ
3.1. Образцы подвергают кондиционированию по
ГОСТ 13523-78 при относительной влажности, температуре воздуха и в течение времени, указанных в нормативно-технической документации на продукцию.
3.2. Расстояние между зажимами разрывной машины устанавливают: 100 мм для полуфабрикатов, 180 мм для бумаги и картона.
Допускается использование расстояния 50 мм, если на это имеются соответствующие указания в нормативно-технической документации на продукцию.
3.3. При определении предела прочности при растяжении предварительно измеряют толщину каждого образца по длине в трех точках по ГОСТ 13199-67.
3.4. Скорость испытания подбирают так, чтобы разрыв образца наступил через 20 +/- 5 с от начала нагружения.
| | ИС МЕГАНОРМ: примечание. ГОСТ 12432-77 последовательно отменен в связи с введением в действие ГОСТ 27015-86, утв. Постановлением Госстандарта СССР от 30.09.1986 N 2935, ГОСТ 13199-88, утв. Постановлением Госстандарта СССР от 28.12.1988 N 4611. Утратил силу с 1 января 1990 года (ИУС "Государственные стандарты", N 4, 1989). | |
3.4а. При определении индекса прочности при растяжении массу материала (бумаги, картона и отливок целлюлозы) площадью 1 м2 определяют соответственно по ГОСТ 13199-67, ГОСТ 12432-77, ГОСТ 14363.4-79.
(Измененная редакция, Изм. N 2).
4.1. Испытания проводят в кондиционных условиях по
ГОСТ 13523-78 при температуре и относительной влажности воздуха, указанных в нормативно-технической документации на продукцию.
4.2. Образец закрепляют в зажимах разрывной машины, не касаясь его испытуемой части, с силой натяжения не более 0,3 Н (0,03 кгс) так, чтобы он не скользил во время испытания и чтобы прилагаемая сила имела направление, параллельное его краям.
4.3. Испытывают по 10 образцов полуфабрикатов и по 10 образцов бумаги и картона в машинном и поперечном направлениях или в одном из них в зависимости от указаний в нормативно-технической документации на продукцию.
4.4. Разрушающее усилие должно находиться в области 0,1 и 0,9 конечных значений шкалы, а для разрывных машин маятникового типа - в области 0,2 и 0,8 конечных значений шкалы.
4.5. Разрушающее усилие и удлинение отсчитывают с точностью до одного деления шкалы.
4.6. Результаты испытаний образцов, разорвавшихся у кромок зажимов или сместившихся при испытании, не учитывают. Повторно испытывают образцы, вырезанные из тех же листов пробы.
(Измененная редакция, Изм. N 1).
4.7. При определении разрывной длины необходимо после испытания разорвавшийся образец срезать у кромки зажимов. Срезанные остатки всех образцов взвешивают вместе с погрешностью не более 0,001 г.
5.1. Разрушающее усилие определяют средним арифметическим значением результатов десяти измерений для полуфабрикатов, десяти измерений для бумаги и картона в машинном или поперечном направлениях, либо средним арифметическим для обоих направлений, либо другим значением в зависимости от того, как показатель нормируется в стандартах на продукцию.
Разрушающее усилие F в Н (кгс) выражают числом, округленным с точностью до
0,1 Н (0,01 кгс) при F до 50 Н (5 кгс),
1 Н (0,1 кгс) " F св. 50 Н (5 кгс) до 500 Н (50 кгс),
5 Н (0,5 кгс) " F св. 500 Н (50 кгс) до 1000 Н (100 кгс),
10 Н (1,0 кгс) " F св. 1000 Н (100 кгс).
Относительная погрешность определения разрушающего усилия при растяжении не превышает +/- 4% при доверительной вероятности 0,95.
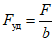
5.1а. Удельное сопротивление разрыву

в кН/м (кгс/мм) вычисляют по формуле

,
где
F - разрушающее усилие, Н (кгс);
b - ширина образца, мм.
5.1б. Индекс прочности при растяжении

в Н·м/г (кгс·м/г) вычисляют по формуле

,
где

- удельное сопротивление разрыву, кН/м (кгс/мм);

- масса материала площадью 1 м2, г.
Примечание. Числовое значение индекса прочности Н·м/г равно числовому значению разрывной длины в метрах, умноженному на коэффициент

.
5.1а, 5.1б. (Измененная редакция, Изм. N 2).
5.2. Предел прочности при растяжении

в МПа (кгс/мм2) вычисляют по формуле

,
где F - разрушающее усилие по
п. 5.1;
b - ширина образца, мм;
h - толщина образца, мм (среднее арифметическое результатов измерений толщины всех испытуемых образцов).
Результат округляют с точностью до 1,0 МПа (0,1 кгс/мм2).
Относительная погрешность определения предела прочности при растяжении не превышает +/- 10% при доверительной вероятности 0,95.
(Измененная редакция, Изм. N 1).
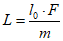
5.3. Разрывную длину (L) в метрах вычисляют по формуле

,
где F - разрушающее усилие по
п. 5.1;

- номинальное расстояние между зажимами, мм;
m - масса образца, г (среднее арифметическое результатов измерения массы всех испытуемых образцов).
Результат округляют с точностью до 50 при L до 5000 м, 100 при L св. 5000 м.
Примечание. Допускается показатель разрывной длины выражать в километрах.
Относительная погрешность определения разрывной длины не превышает +/- 5% при доверительной вероятности 0,95.
(Измененная редакция, Изм. N 2).
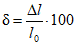
5.4. Относительное удлинение при растяжении

в процентах вычисляют по формуле

,
(Измененная редакция, Изм. N 1).
где

- среднее арифметическое значение удлинения всех испытуемых образцов, мм;

- номинальное расстояние между зажимами по
п. 5.3.
Результат округляют с точностью до 0,1.
Относительная погрешность определения удлинения при растяжении не превышает +/- 20,0% при доверительной вероятности 0,95.
(Измененная редакция, Изм. N 1).