Главная // Актуальные документы // ГОСТ (Государственный стандарт)СПРАВКА
Источник публикации
В данном виде документ опубликован не был.
Первоначальный текст документа опубликован в издании
М.: Стандартинформ, 2006.
Информацию о публикации документов, создающих данную редакцию, см. в справке к этим документам.
Примечание к документу
С 1 июля 2003 года до вступления в силу технических регламентов акты федеральных органов исполнительной власти в сфере технического регулирования носят рекомендательный характер и подлежат обязательному исполнению только в части, соответствующей целям, указанным в
пункте 1 статьи 46 Федерального закона от 27.12.2002 N 184-ФЗ.
Взамен ТУ 10 02-214-86, ТУ 10 02-422-87, ТУ 10 02-233-86, ТУ 10 02-244-86.
Название документа
"ГОСТ 28491-90. Межгосударственный стандарт. Шерсть овечья немытая с отделением частей руна. Технические условия"
(утв. и введен в действие Постановлением Госстандарта СССР от 28.03.1990 N 647)
(ред. от 27.07.2015)
"ГОСТ 28491-90. Межгосударственный стандарт. Шерсть овечья немытая с отделением частей руна. Технические условия"
(утв. и введен в действие Постановлением Госстандарта СССР от 28.03.1990 N 647)
(ред. от 27.07.2015)
Утвержден и введен в действие
Постановлением Государственного
комитета СССР по управлению
качеством продукции и стандартам
от 28 марта 1990 г. N 647
МЕЖГОСУДАРСТВЕННЫЙ СТАНДАРТ
ШЕРСТЬ ОВЕЧЬЯ НЕМЫТАЯ С ОТДЕЛЕНИЕМ ЧАСТЕЙ РУНА
ТЕХНИЧЕСКИЕ УСЛОВИЯ
Raw fleece-graded sheep wool. Specifications
ГОСТ 28491-90
| | Список изменяющих документов Приказом Росстандарта от 27.07.2015 N 986-ст) | |
Дата введения
1 января 1992 года
1. РАЗРАБОТАН И ВНЕСЕН Государственной комиссией Совета Министров СССР по продовольствию и закупкам
РАЗРАБОТЧИКИ
Н.К. Тимошенко, канд. эконом. наук; В.А. Мороз, д-р сельхоз. наук; Т.В. Нечиненная, канд. сельхоз. наук (руководитель темы); Б.С. Кулаков, канд. сельхоз. наук; Л.А. Воробьева, Т.В. Негуляева
2. УТВЕРЖДЕН И ВВЕДЕН В ДЕЙСТВИЕ Постановлением Государственного комитета СССР по управлению качеством продукции и стандартам от 28.03.90 N 647
3. ВЗАМЕН ТУ 10 02-214-86, ТУ 10 02-422-87, ТУ 10 02-233-86, ТУ 10 02-244-86.
4. ССЫЛОЧНЫЕ НОРМАТИВНО-ТЕХНИЧЕСКИЕ ДОКУМЕНТЫ
Обозначение НТД, на который дана ссылка | Номер пункта, раздела |
ГОСТ 6070-78 | |
ГОСТ 17514-93 | |
ГОСТ 20269-93 | |
ГОСТ 21244-75 | |
(позиция введена Изменением N 1, введенным в действие Приказом Росстандарта от 27.07.2015 N 986-ст) |
| |
(позиция введена Изменением N 1, введенным в действие Приказом Росстандарта от 27.07.2015 N 986-ст) |
5. Ограничение срока действия снято по протоколу N 7-95 Межгосударственного совета по стандартизации, метрологии и сертификации (ИУС 11-95)
6. ПЕРЕИЗДАНИЕ. Декабрь 2005 г.
Настоящий стандарт распространяется на овечью немытую шерсть, подготовленную с отделением частей руна.
(в ред.
Изменения N 1, введенного в действие Приказом Росстандарта от 27.07.2015 N 986-ст)
1. ТЕХНИЧЕСКИЕ ТРЕБОВАНИЯ
1.1. Овечья немытая шерсть должна соответствовать требованиям настоящего стандарта.
1.2. Характеристики
1.2.1. Овечью немытую шерсть подразделяют по наименованиям в соответствии с табл. 1.
(в ред.
Изменения N 1, введенного в действие Приказом Росстандарта от 27.07.2015 N 986-ст)
Наименование шерсти | Характеристика немытой шерсти | Обозначение для маркировки |
Однородная |
Тонкая: мериносовая | Шерсть однородная, штапельного строения, уравненная по тонине волокон в штапеле, с достаточным содержанием жиропота, допускаются одиночные огрубленные короткие серповидные волокна длиной до 20 мм. Проросшие мертвые, сухие и цветные волокна отсутствуют. Тонина - 25,0 мкм и менее. Шерсть белая. В районах Восточной и Западной Сибири, Казахстана, Урала, Закавказья и Средней Азии в мериносовой шерсти допускается относительно меньшее содержание жиропота | Мер. |
немериносовая | Шерсть однородная, штапельного строения, уравненность волокон по тонине недостаточная. Допускаются рассредоточенные по массе шерсти проросшие сухие и мертвые волокна. Тонина - 25,0 мкм и менее. Шерсть белая, светло-серая, цветная | Немер. |
Полутонкая: кроссбредная | Шерсть однородная, штапельно-косичного и штапельного строения, характеризуется упругостью и эластичностью, уравненная по тонине волокон. Проросшие мертвые и цветные волокна отсутствуют. Тонина - 25,1 - 40,0 мкм. Шерсть белая | Крос. |
цигайская | Шерсть однородная, штапельного и штапельно-косичного строения, с хорошей упругостью и жесткостью на ощупь. Проросшие мертвые и цветные волокна отсутствуют. Тонина - 25,1 - 40,0 мкм. Шерсть белая | Циг. |
кроссбредного типа, цигай-грубошерстная, помесная различных вариантов скрещивания | Шерсть однородная, штапельно-косичного и штапельного строения, уравненность по тонине волокон недостаточная, имеется заостренность и сухость концов наружного штапеля. Допускаются проросшие цветные, сухие и мертвые волокна. Тонина - 25,1 - 40,0 мкм. Шерсть белая, светло-серая, цветная | Крос. т., циг.-гр., п/т пом. |
Поярковая: | Шерсть однородная, состригаемая с ягнят в возрасте 5 - 7 мес. | |
тонкая | Пучки шерсти штапельного или штапельно-косичного строения, слабо сцепленные между собой, с наличием ягнячьего грубого волоса, проросшие сухие и мертвые волокна встречаются. Тонина - 25,0 мкм и менее. Шерсть белая, светло-серая, цветная | Пояр. тон. |
полутонкая | Пучки шерсти штапельно-косичного строения, как правило, с штопоровидной заостренностью, с наличием ягнячьего грубого волоса. Проросшие сухие и мертвые волокна встречаются. Тонина - 25,1 - 37,0 мкм. Шерсть белая, светло-серая, цветная | Пояр. п/т |
Неоднородная |
Полугрубая и грубая весенняя | Шерсть неоднородная косичного строения, неуравненная по тонине и длине волокон. Косицы состоят из пуховых, переходных и остевых волокон в различном соотношении | |
1-я группа: | | |
сараджинская, таджикская | Косицы мягкие, состоящие из огрубленного пуха и незначительного количества тонкой ости. Встречаются единичные сухие, мертвые и грубые остевые волокна. Шерсть белая и светло-серая | 1 гр. сар., тадж. |
балбас, армянская | Косицы мягкие, волнистые, с большим количеством пуховых и переходных волокон и незначительным содержанием тонкой ости. Встречаются единичные сухие, мертвые и грубые остевые волокна. Шерсть белая, светло-серая | 1 гр. бал. |
алайская | Косицы мягкие, волнистые, длинные, с большим количеством пуховых волокон длиной не менее 50 мм, переходных волокон и незначительным содержанием тонкой ости. Встречаются сухие, мертвые и грубые остевые волокна. Шерсть белая, светло-серая | 1 гр. алайс. |
дегересская, каргалинская | Косицы мягкие, состоят из большого количества пуховых и переходных волокон и незначительного количества тонкой ости. Встречаются единичные сухие, мертвые и грубые остевые волокна. Шерсть белая, светло-серая | 1 гр. дегер. карг. |
лезгинская | Косицы волнистые. Пуховые волокна длинные и огрубленные, ость тонкая. Встречаются сухие, мертвые и грубые остевые волокна. Шерсть белая, светло-серая | 1 гр. лезг. |
тушинская | Косицы волнистые, упругие, средней длины, состоят из большого количества длинного пуха и переходных волокон. Ость тонкая. Встречаются сухие, мертвые и грубые остевые волокна. Шерсть белая, светло-серая | 1 гр. туш. |
горно-карпатская | Косицы длинные, пуховые и переходные волокна длинные и огрубленные. Ость грубая и средняя по тонине. Сухие и мертвые волокна встречаются. Шерсть белая, светло-серая | 1 гр. гор.-кар. |
полугрубая помесная различных вариантов скрещивания | Косицы состоят из большого количества длинных пуховых и переходных волокон, тонких остевых волокон. Сухие и мертвые волокна встречаются в различном количестве. Шерсть белая, светло-серая, цветная светлая | 1 гр. п/гр. пом. |
(в ред. Изменения N 1, введенного в действие Приказом Росстандарта от 27.07.2015 N 986-ст) |
2-я группа: | | |
каракульская | Косицы достаточно уравнены, разной длины, слегка волнистые, мягкие, много пуховых и переходных волокон. Ость в небольшом количестве тонкая и средней тонины. Мертвые и сухие волокна встречаются с подоплеки встречается перхоть. Шерсть светло-серая, цветная светлая и цветная темная | 2 гр. карак. |
курдючная (джайдара, эдильбаевская, туркменская, бурят-монгольская и пр. курдючные) | Косицы разной длины, с большим количеством тонкого пуха. Ость грубая и средней тонины. Мертвые и сухие волокна содержатся в различном количестве. Шерсть преимущественно жесткая, матовая. Шерсть светло-серая, цветная светлая, цветная темная | 2 гр. курд. |
русская (волошская, сокольская, чушка, рацка, решетиловская, цуркан, цакель, простые длиннотощехвостые, кучугуровская) | Косицы плотные, средней длины и длинные, часто волокнистые, состоят из ости, среднего по тонине пуха и значительного количества переходных волокон. Сухие и мертвые волокна встречаются. Шерсть белая, светло-серая, цветная светлая, цветная темная | 2 гр. рус. |
горская (карачаевская, андийская, осетинская, бозах, мазех и др. горские) | Косицы средней длины, с большим количеством пуха и переходных волокон и небольшого количества ости. Сухие и мертвые волокна встречаются. Шерсть, белая, светло-серая, цветная светлая, цветная темная | 2 гр. гор. |
3-я группа: | | |
романовская | Косицы мягкие, состоят из длинного светлого пуха и коротких темных остевых волокон средней тонины и грубых. Сухие и мертвые волокна случайные. Шерсть цветная светлая и цветная темная | 3 гр. ром. |
русская северная | Косицы средней длины, состоят из большого количества тонкого пуха, небольшого количества длинных переходных волокон и ости. Шерсть белая, светло-серая, цветная светлая | 3 гр. рус. сев. |
4-я группа: | | |
гиссарская, карабахская | Косицы грубые, прямые. Состоит из короткой грубой ости, среднего по тонине пуха, незначительного количества переходных волокон и большого количества мертвых и сухих волокон. Шерсть цветная темная | 4 гр. гис., карабах. |
Полугрубая осенняя и поярковая всех групп и наименований шерсти | Шерсть неоднородная, косичного строения. Косицы короткие, не связанные между собой. Цвет соответствует цвету одноименных групп и наименований весенней шерсти. Шерсть сараджинская поярковая и состриженная с молодняка осенью коричневого цвета | 1 (2, 3, 4) гр. осен. (пояр.) сар. (тадж., бал., алайс, дегер., карг., лезг., туш., гор.-кар., п/гр. пом. рус, карак., курд., гор., ром., курд., гор., ром., рус. сев., гис, карабах.) |
(в ред.
Изменения N 1, введенного в действие Приказом Росстандарта от 27.07.2015 N 986-ст)
Примечания:
1. Рунную шерсть баранов с тониной волокон 58 - 56к (25,1 - 29,0 мкм) с характерными признаками мериносовой шерсти относят к мериносовой шерсти соответствующей длины и состояния.
2. Тонкая, полутонкая шерсть молодняка первого года стрижки (кроме поярковой) имеет заостренность и сухость верхушек наружного штапеля, в ней допускается ягнячий волос (песига). В остальном соответствует характеристике шерсти взрослых овец.
3. Шерсть полутонкую цветную, неоднородную 1-ой группы цветную светлую и цветную темную не подразделяют по наименованиям.
1.2.2. Шерсть различных наименований подразделяют на рунную и низшие сорта в соответствии с требованиями табл. 2.
(в ред.
Изменения N 1, введенного в действие Приказом Росстандарта от 27.07.2015 N 986-ст)
Наименование шерсти | Характеристика шерсти | Обозначение для маркировки |
Рунная | Целые руна или части рун различной величины после отделения низших сортов | |
в том числе: основная | Рунная шерсть после отделения пожелтевшей шерсти, свалка, базовой, тавро (смываемое), цветной в тонкой немериносовой, 58 - 56к в тонкой, неоднородной в полутонкой | |
пожелтевшая | Шерсть белого и светло-серого цвета, потерявшая естественный цвет вследствие значительного пожелтения вершины или основания штапеля тонкой шерсти, составляющих вместе более 10 мм его длины, штапеля (штапеля-косицы) полутонкой или косицы неоднородной шерсти более 1/3 ее длины, а также при любой степени пожелтения по всей длине штапеля или косицы (изменение цвета ясно видно в мытой шерсти) | Пож. |
58 - 56 качества в тонкой | Клочки шерсти различной величины белого и светло-серого цвета со средней тониной волокон более 25,0 мкм до 29,0 мкм, получаемые с шейной части и ляжек овец, не имеющие базового загрязнения | 58 - 56к |
Базовая | Части рун или клочки шерсти различной величины, сильно загрязненные экскрементами. Шерсть в мытом виде пожелтевшая, с ослабленной прочностью на разрыв по органолептической оценке | Баз. |
Свалок | Руна или части рун, с трудом поддающиеся разъединению руками | Свал. |
Тавро (смываемое) | Клочки шерсти, загрязненные красящими веществами | Тавро |
цветная в тонкой немериносовой | Шерсть всех цветов, кроме белого и светло-серого | Цв. тон. |
неоднородная в полутонкой | Клочки неоднородной шерсти косичного строения различной величины, отделенные с окраек рун полутонкой шерсти | Неод. из п/т |
Низшие сорта: обножка (в тонкой и полутонкой шерсти) | Шерсть короче 25 мм (шерсть-подстрига), а также шерсть, состриженная с нижней части ног, лба, щек овец, как правило, огрубленная, со значительным количеством кроющего волоса | Обн. |
Клюнкер | Клочки шерсти, сильно загрязненные прилипшими к ним экскрементами в виде комков | Клюн. |
Примечания:
1. Базовую шерсть и одновременно свалянную относят к свалку.
2. В рунной шерсти допускается подстрига в количестве не более 1% от массы шерсти. Подстрига в количестве более 1% относится к обножке.
1.2.3. Рунную шерсть в зависимости от средних показателей тонины, длины и состояния, цвета и выхода шерсти подразделяют на сорта.
(в ред.
Изменения N 1, введенного в действие Приказом Росстандарта от 27.07.2015 N 986-ст)
Примечание. При формировании сортов рунной основной или пожелтевшей шерсти из настрига одной отары шерсть, отличающуюся по прочности, а также по средней тонине или средней длине, выходящей за пределы смежных сортов, выделяют отдельно.
(в ред.
Изменения N 1, введенного в действие Приказом Росстандарта от 27.07.2015 N 986-ст)
1.2.4. Однородную рунную основную и пожелтевшую шерсть по средней тонине подразделяют в соответствии с требованиями табл. 3.
Таблица 3
Показатель тонины, качество | Нормы тонины, мкм | Обозначение для маркировки |
70к и выше | 20,5 и менее | 70 |
64к | 20,6 - 23,0 | 64 |
60к | 23,1 - 25,0 | 60 |
58 - 56к | 25,1 - 29,0 | 58 - 56 |
50к | 29,1 - 31,0 | 50 |
48 - 46к | 31,1 - 37,0 | 48 - 46 |
44к | 37,1 и более | 44 |
Примечания:
1. Среднее квадратическое отклонение для всех качеств тонины мериносовой рунной основной и пожелтевшей шерсти должно быть не более 6,40 мкм. При среднем квадратическом отклонении более 6,40 мкм шерсть относят к тонкой немериносовой соответствующего качества тонины.
2. Шерсть IV длины по тонине не подразделяют.
1.2.5. Неоднородную полугрубую и грубую рунную основную и пожелтевшую шерсть 1-ой и 2-ой групп по средней тонине подразделяют в соответствии с требованиями табл. 4.
Таблица 4
Группа шерсти | Показатель тонины (сорт) | Характеристика шерсти | Обозначение для маркировки |
1 | I | Шерсть со слабо выраженным косичным строением, состоящая в основном из пуховых, переходных волокон и небольшого количества тонкой ости. Средняя тонина шерсти до 34,0 мкм включительно. Допускается наличие мертвых, сухих волокон и грубой ости тониной более 90,0 мкм до 0,7% массовой доли включительно | 1-I |
| II | Шерсть косичного строения, состоящая из пуха и выделяющихся над ним переходных волокон и тонкой, средней и грубой ости. Косицы более жесткие и длинные, чем в 1-ом сорте. Средняя тонина шерсти свыше 34,0 мкм. Допускается наличие мертвых, сухих волокон и грубой ости тониной более 90 мкм свыше 0,7% | 1-II |
2 | I | Шерсть косичного строения. Косицы мягкие, по размерам незначительные, состоящие из пуха, переходных волокон, тонкой, средней и грубой ости. Средняя тонина шерсти до 34,0 мкм включительно. Допускается наличие мертвых, сухих и грубых остевых волокон тониной более 90 мкм до 1,5% включительно | 2-I |
| II | Шерсть с более жесткими крупными косицами, меньшим, чем в 1-ом сорте, содержанием пуховых и переходных волокон и большим содержанием ости. Средняя тонина шерсти свыше 34,0 мкм. Допускается наличие мертвых, сухих волокон и грубой ости тониной более 90 мкм свыше 1,5% | 2-II |
Примечания:
1. Шерсть 3-ей и 4-ой групп по тонине не подразделяют.
2. При превышении допуска мертвых, сухих волокон и грубой ости тониной более 90 мкм шерсть переводят в пониженный сорт соответствующей группы.
1.2.6. Средняя длина рунной основной и пожелтевшей шерсти должна соответствовать требованиям табл. 5.
Таблица 5
Наименование шерсти | Длина шерсти, мм |
I | II | III | IV |
Тонкая мериносовая и немериносовая | 70 и более | Менее 70 до 55 | Менее 55 до 40 | Менее 40 до 25 |
Полутонкая: | | | | |
кроссбредная | 90 и более | Менее 90 до 70 | Менее 70 до 55 | Менее 55 до 25 |
цигайская, кроссбредного типа, цигай-грубошерстная, полутонкая помесная | 70 и более | Менее 70 до 55 | Менее 55 до 25 | - |
(в ред.
Изменения N 1, введенного в действие Приказом Росстандарта от 27.07.2015 N 986-ст)
Примечания:
1. Шерсть неоднородную полугрубую и грубую по длине не подразделяют.
2. Средняя длина тонкой поярковой шерсти должна быть не менее 30 мм, полутонкой - не менее 35 мм.
1.2.7. Рунную основную шерсть по цвету подразделяют в соответствии с требованиями табл. 6.
Таблица 6
Цвет шерсти | Характеристика шерсти | Обозначение для маркировки |
Белая | Белая. В зависимости от цвета жиропота и минеральных примесей может иметь различные оттенки. В тонкой шерсти допускается пожелтение вершины или основания штапеля, составляющих вместе не более 10 мм его длины, в шерсти других наименований пожелтение штапеля или косицы не более 1/3 длины. В осенней и поярковой неоднородной полугрубой и грубой шерсти допускается наличие проросших цветных волокон не более 0,5% от массы немытой шерсти | Б |
(в ред. Изменения N 1, введенного в действие Приказом Росстандарта от 27.07.2015 N 986-ст) |
Светло-серая | Белая с проросшими цветными волокнами до 2,5% (в курдючной до 5%) от массы немытой шерсти или засоренная цветными волокнами, а также засоренная клочками цветной однородной шерсти в тонкой и полутонкой не более 0,05%, в весенней неоднородной полугрубой и грубой клочками цветной шерсти не более 0,05%, в осенней и поярковой неоднородной полугрубой и грубой не более 0,25% от массы немытой шерсти. В тонкой шерсти допускается пожелтение вершины или основания штапеля, составляющих вместе не более 10 мм его длины, в шерсти других наименований пожелтение штапеля или косицы не более 1/3 их длины | С/с |
(в ред. Изменения N 1, введенного в действие Приказом Росстандарта от 27.07.2015 N 986-ст) |
Цветная (для тонкой и полутонкой) | Однородная шерсть натуральных цветов: серого, темно-серого, коричневого всех оттенков и черного | Цв. |
Цветная светлая (для неоднородной полугрубой и грубой) | Неоднородная шерсть натуральных цветов: светло-коричневая, серая, а также с наличием в весенней цветных волокон более 2,5% до 6%, в осенней и поярковой шерсти более 2,5% до 10% (в курдючной более 5% до 15%) от массы немытой шерсти. Допускаются клочки цветной шерсти в весенней шерсти не более 0,25%, в осенней и поярковой - не более 5% | Ц/с |
(в ред. Изменения N 1, введенного в действие Приказом Росстандарта от 27.07.2015 N 986-ст) |
Цветная темная (для неоднородной полугрубой и грубой) | Неоднородная шерсть натуральных цветов: темно-коричневая, коричневая, темно-серая, черная и пестрая различных оттенков, а также с наличием цветных волокон в весенней шерсти более 6%, в осенней и поярковой - более 10% (в курдючной - более 15%) и цветная светлая с клочками цветной темной шерсти в весенней более 0,25%, в осенней и поярковой - более 5% от массы немытой шерсти | Ц/т |
(в ред. Изменения N 1, введенного в действие Приказом Росстандарта от 27.07.2015 N 986-ст) |
Примечания:
1. При неравномерном распределении в руне (частях руна) шерсти по цвету шерсть рунную основную или пожелтевшую каждого цвета выделяют отдельно.
2. Тонкую и полутонкую белую и светло-серую шерсть, изменившую цвет вследствие неправильной ветеринарной обработки овец от различных заболеваний, относят к цветной с отдельной упаковкой и маркировкой "окр".
3. Рунную шерсть, кроме основной и пожелтевшей, по цвету подразделяют на светло-серую (включая белую) и цветную.
1.2.8. Рунную основную и пожелтевшую шерсть по состоянию в зависимости от массовой доли растительных примесей и прочности на разрыв подразделяют в соответствии с табл. 7.
Таблица 7
Состояние шерсти | Характеристика состояния | Обозначение для маркировки |
Свободная от сора | Шерсть прочная на разрыв, содержит растительные примеси не более 1% к массе немытой шерсти, в том числе репей-пилку для однородной шерсти не более 6 шт., для неоднородной не более 36 шт. в 1 кг немытой шерсти | СВ |
(в ред. Изменения N 1, введенного в действие Приказом Росстандарта от 27.07.2015 N 986-ст) |
Мало засоренная | Шерсть прочная на разрыв, содержит растительные примеси более 1% до 3% к массе немытой шерсти, в том числе репей-пилку для однородной шерсти более 6 до 36 шт., для неоднородной более 36 до 60 шт. в 1 кг немытой шерсти | МЗ |
(в ред. Изменения N 1, введенного в действие Приказом Росстандарта от 27.07.2015 N 986-ст) |
Сильно засоренная | Шерсть прочная на разрыв, содержит растительные примеси более 3% к массе немытой шерсти, в том числе репей-пилку для однородной шерсти более 36 шт., для неоднородной более 60 шт. в 1 кг немытой шерсти | СЗ |
(в ред. Изменения N 1, введенного в действие Приказом Росстандарта от 27.07.2015 N 986-ст) |
Дефектная | Шерсть однородная, потерявшая прочность на разрыв по органолептической оценке, и неоднородная, покрытая с подоплеки крупными ороговевшими пленками перхоти, по массовой доле растительных примесей имеет характеристику шерсти "свободных от сора" или "мало засоренной" | Д |
Сорно-дефектная | Шерсть дефектная и одновременно засоренная растительными примесями в количестве, установленном для шерсти "сильно засоренной" | Сд |
(в ред. Изменения N 1, введенного в действие Приказом Росстандарта от 27.07.2015 N 986-ст) |
Примечание. 1. Шерсть IV длины по состоянию не подразделяют.
2. Шерсть с содержанием растительных примесей более 5% к массе немытой шерсти или репья-пилки более 500 шт. в 1 кг немытой шерсти условно обозначают С3 2;
3. Шерсть относят к дефектной, если ее относительная разрывная нагрузка менее установленных норм: для тонкой шерсти - 7,0 сН/текс, для полутонкой - 8,0 сН/текс, для полугрубой и грубой - 9,0 сН/текс.
(примечания 2, 3 введены
Изменением N 1, введенным в действие Приказом Росстандарта от 27.07.2015 N 986-ст)
1.2.9. Мериносовую рунную основную шерсть, засоренную цветными волокнами или клочками цветной однородной шерсти, относят к мериносовой рунной основной шерсти с цветными волокнами соответствующей тонины, длины и состояния.
Кроссбредную рунную основную шерсть, засоренную цветными волокнами или клочками цветной однородной шерсти, относят к шерсти кроссбредного типа соответствующей тонины, длины и состояния.
Цигайскую рунную основную шерсть, засоренную цветными волокнами или клочками цветной однородной шерсти, относят к цигайской рунной основной с цветными волокнами соответствующей тонины, длины и состояния.
Рунную белую основную шерсть всех наименований, кроме мериносовой, цигайской, кроссбредной, кроссбредного типа, засоренную цветными волокнами или клочками цветной шерсти, относят к рунной основной светло-серой соответствующего наименования, тонины, длины и состояния.
(в ред.
Изменения N 1, введенного в действие Приказом Росстандарта от 27.07.2015 N 986-ст)
Примечания:
1. В мериносовой шерсти допускается наличие посторонних случайных единичных цветных волокон не более 3 шт. на 1 кг немытой шерсти.
2. В белой шерсти всех наименований, кроме мериносовой, неоднородной полугрубой и грубой осенней и поярковой, допускается наличие посторонних случайных единичных цветных волокон не более 5 шт. на 1 кг немытой шерсти.
(в ред.
Изменения N 1, введенного в действие Приказом Росстандарта от 27.07.2015 N 986-ст)
3. В белой неоднородной полугрубой и грубой осенней и поярковой шерсти допускается наличие проросших цветных волокон не более 1% от массы мытой шерсти.
1.2.10. Мериносовую, кроссбредную, и цигайскую рунную основную или пожелтевшую шерсть, засоренную посторонними остевыми или мертвыми волокнами или клочками неоднородной шерсти, относят к мериносовой, кроссбредной или цигайской рунной основной или пожелтевшей шерсти с грубым волосом соответствующей тонины, длины и состояния.
Примечание. В мериносовой, кроссбредной и цигайской шерсти допускается наличие посторонних случайных единичных остевых или грубых волокон не более 5 шт. на 1 кг немытой шерсти.
1.2.11. Рунную шерсть, кроме основной и пожелтевшей и низших сортов подразделяют в зависимости от наименования на тонкую, полутонкую и группы неоднородной полугрубой и грубой шерсти, по тонине, длине и состоянию не подразделяют. Шерсть низших сортов по цвету не подразделяют.
(в ред.
Изменения N 1, введенного в действие Приказом Росстандарта от 27.07.2015 N 986-ст)
1.2.12. В рунной основной шерсти допускаются прокиды других наименований шерсти не более 7,0%, в том числе: пожелтевшей - не более 4%; тавро (смываемое) - не более 0,5%; базовой не более 1,0%; свалка - не более 0,5%; обножки - не более 1,0%.
Допускаются прокиды пожелтевшей шерсти в количестве 7,0% при отсутствии других прокидов (тавро, базовой, свалка, обножки).
1.2.13. В рунной шерсти 58 - 56 (для тонкой), базовой, пожелтевшей, свалке, цветной (для тонкой), тавро (смываемое) допускаются взаимные прокиды в количестве не более 7%. Кроме того, в них допускаются прокиды низших сортов не более 2,0%.
1.2.14. В рунной шерсти не допускается наличие шерсти, имеющей клеймо, нанесенное несмываемой краской, а также засорение посторонними примесями (обрезками ниток, веревок, тряпок).
Маркировка - по ГОСТ 6070 со следующим дополнением: маркировка упаковочных единиц должна содержать сокращенное обозначение сорта, нанесенное по трафарету несмываемой краской. При наличии у сортировщика личного номера (клейма) его ставят после условного номера отары.
(в ред.
Изменения N 1, введенного в действие Приказом Росстандарта от 27.07.2015 N 986-ст)
Пример маркировки приведен в приложении.
Упаковка - по ГОСТ 6070.
Приказом Росстандарта от 27.07.2015 N 986-ст)
2.1. Приемку немытой шерсти проводят партиями. Партией считают количество шерсти, отгруженное в один адрес одним или несколькими транспортными единицами и оформленное одним документом, удостоверяющим ее количество и качество (спецификация).
2.2. Проверке на соответствие упаковки и маркировки шерсти требованиям нормативно-технической документации, а также проверке массы немытой шерсти и количества упаковочных единиц подвергают 100% упаковочных единиц партий.
2.3. Для проверки качества шерсти и кондиционно-чистой массы получатель совместно с представителем поставщика одновременно с приемкой по количеству отбирают от каждого сорта партии не менее 10% упаковочных единиц, но не менее одной - для проведения испытаний с участием поставщика и 10% упаковочных единиц, но не менее одной - для проведения испытаний с участием поставщика при возникновении разногласий.
(в ред.
Изменения N 1, введенного в действие Приказом Росстандарта от 27.07.2015 N 986-ст)
Допускаются по согласованию получателя и поставщика не отбирать 10% упаковочных единиц повторного отбора.
2.4. Упаковочные единицы отбирают в выборку по спецификации (документу о качестве) поставщика или покипной описи получателя систематически через определенный интервал (количество упаковочных единиц). Начало отсчета определяют поставщик и получатель произвольно.
Примечание. Одноименные сорта шерсти, полученные из настрига одной отары, но с разным выходом шерсти, считают одним сортом.
(в ред.
Изменения N 1, введенного в действие Приказом Росстандарта от 27.07.2015 N 986-ст)
2.5. Результаты проверки, кроме наличия посторонних примесей и тавро, распространяют на весь проверяемый сорт.
2.6. Наименование шерсти (
табл. 1 и
2), массовую долю посторонних примесей и несмываемое тавро определяют в рунной шерсти по каждой упаковочной единице выборки.
(в ред.
Изменения N 1, введенного в действие Приказом Росстандарта от 27.07.2015 N 986-ст)
Результаты проверки наличия посторонних примесей и несмываемого тавро распространяют в соответствии с требованиями нормативно-технической документации.
2.7. Сорта шерсти, имеющие прокиды установленных норм, смешанные по цвету, а также превышающие требования, предусмотренные для смежных сортов по средним показателям тонины, длины или состояния по засоренности, считают неправильно подготовленными.
3.1. Метод отбора проб
3.1.1. Перед отбором проб упаковочные единицы выборки взвешивают каждую в отдельности с погрешностью по ГОСТ 6070.
3.1.2. Шерсть каждой отобранной упаковочной единицы проверяемого сорта расстилают ровным слоем в виде постели. На постель накладывают трафарет-сетку с круглыми или квадратными отверстиями (ячейками) диаметром или стороной не более 15 см, расположенными на расстоянии не более 75 см друг от друга.
Из каждой ячейки отбирают по всей постели две точечные пробы массой не более 30 г каждая: одну - для определения выхода шерсти, другую - для определения показателей качества.
(в ред.
Изменения N 1, введенного в действие Приказом Росстандарта от 27.07.2015 N 986-ст)
Точечные пробы сразу после отбора помещают в тару, обеспечивающую сохранение примесей и влаги.
При отборе точечных проб сохраняют все примеси, находящиеся в шерсти.
3.1.3. Точечные пробы, отобранные для определения выхода шерсти, соединяют в первую объединенную пробу, точечные пробы, отобранные для определения показателей качества - во вторую объединенную пробу.
(в ред.
Изменения N 1, введенного в действие Приказом Росстандарта от 27.07.2015 N 986-ст)
3.1.4. Объединенные пробы взвешивают на весах с ценой деления 5 г.
Масса первой объединенной пробы не менее 1% от массы сорта, полученного после проверки, но не менее 2,0 кг и не более 10 кг.
Масса второй объединенной пробы не менее 1% от массы сорта, полученного после проверки, но не менее 5 кг и не более 10 кг.
Примечание. Если масса шерсти одного сорта, полученного в результате проверки, превышает одну тонну, то от каждой второй и третьей тонны отдельно отбирают объединенные пробы. Если масса сорта превышает три тонны, то последующего отбора объединенных проб не проводят.
(в ред.
Изменения N 1, введенного в действие Приказом Росстандарта от 27.07.2015 N 986-ст)
3.1.5. Допускается проводить отбор объединенной пробы для определения выхода шерсти и показателей качества инструментальными методами.
(в ред.
Изменения N 1, введенного в действие Приказом Росстандарта от 27.07.2015 N 986-ст)
3.1.6. При испытаниях лабораторными методами для определения выхода шерсти и последующего определения остаточных нешерстяных компонентов и кондиционно-чистой массы от первой объединенной пробы после ее усреднения и определения качества шерсти от второй объединенной пробы после определения массовой доли прокидов и их удаления отбирают лабораторные пробы в соответствии с требованиями табл. 8.
(в ред.
Изменения N 1, введенного в действие Приказом Росстандарта от 27.07.2015 N 986-ст)
Таблица 8
Наименование показателя | Масса лабораторной пробы шерсти, г | Количество лабораторных проб |
немытой | мытой | основных | контрольных | Итого |
Первая объединенная проба |
Выхода шерсти | 200 | - | 2 | 2 | 4 |
(в ред. Изменения N 1, введенного в действие Приказом Росстандарта от 27.07.2015 N 986-ст) |
Массовая доля остаточных растительных присмесей | - | 50 | 2 | 1 | 3 |
Массовая доля остаточных минеральных примесей | - | 50 | 2 | 1 | 3 |
Массовая доля остаточного жира | - | 6 - 10 | 2 | 1 | 3 |
Вторая объединенная проба |
Цвет | 50 | 5 | 2 | 1 | 3 |
Подстрига | 500 | - | 1 | - | 1 |
Массовая доля растительных примесей | 1000 | - | 2 | 2 | 4 |
Тонина | - | - | 2 | 1 | 3 |
Длина | 50 | - | 2 | 1 | 3 |
Прочность на разрыв | 100 | - | 2 | 1 | 3 |
Примечания:
1. Допускается лабораторные пробы для определения выхода шерсти отбирать от второй объединенной пробы после удаления из нее прокидов и последующего ее усреднения.
(в ред.
Изменения N 1, введенного в действие Приказом Росстандарта от 27.07.2015 N 986-ст)
2. Допускается лабораторные пробы для определения средней тонины отбирать от двух промытых и высушенных до постоянно-сухой массы лабораторных проб после определения выхода шерсти.
(в ред.
Изменения N 1, введенного в действие Приказом Росстандарта от 27.07.2015 N 986-ст)
3.2. Определение выхода шерсти, кондиционно-чистой массы и показателей качества (в том числе прокидов) сорта шерсти проводят органолептически на объединенных пробах.
(в ред.
Изменения N 1, введенного в действие Приказом Росстандарта от 27.07.2015 N 986-ст)
При возникновении разногласий определения проводят лабораторными методами:
основной и пожелтевшей шерсти по показателям:
выход шерсти,
(в ред.
Изменения N 1, введенного в действие Приказом Росстандарта от 27.07.2015 N 986-ст)
кондиционно-чистая масса,
средняя тонина,
среднее квадратическое отклонение (для тонкой шерсти),
массовая доля растительных примесей,
длина,
прочность на разрыв,
массовая доля цветных волокон,
подстрига,
пожелтение, несмываемость тавро,
шерсть низших сортов по показателям,
выход шерсти,
(в ред.
Изменения N 1, введенного в действие Приказом Росстандарта от 27.07.2015 N 986-ст)
кондиционно-чистая масса.
Примечания:
1. Для шерсти, подвергшейся подмочке у получателя, пожелтение и прочность не устанавливают.
2. Для шерсти, принятой по качеству после сроков, установленных в договорах, и содержащей прокиды базовой не более 1,0%, свалка не более 0,5%, пожелтевшую не выделяют.
3.3. Определение выхода шерсти и кондиционно-чистой массы с определением остаточных нешерстяных компонентов - по
ГОСТ 30190.
(в ред.
Изменения N 1, введенного в действие Приказом Росстандарта от 27.07.2015 N 986-ст)
3.4. Определение массовой доли растительных примесей
3.4.1. Отбор проб
Отобранную лабораторную пробу расстилают ровным слоем в постели и с помощью трафарет-сетки отбирают четыре лабораторные пробы массой 200 г каждая.
(в ред.
Изменения N 1, введенного в действие Приказом Росстандарта от 27.07.2015 N 986-ст)
3.4.2. Проведение испытаний
Две лабораторные пробы промывают в соответствии с нормативно-технической документацией по определению выхода шерсти. В процессе замочки и промывки проб растительный сор не выделяют.
(в ред.
Изменения N 1, введенного в действие Приказом Росстандарта от 27.07.2015 N 986-ст)
Пробы высушивают до постоянно-сухой (нормально-сухой) массы и взвешивают с погрешностью +/- 0,5 мг. Затем из каждой пробы мытой шерсти в отдельности на рабочем столе пинцетом выбирают все растительные примеси, включая репей-пилку, собирают их в бюксы, высушивают до постоянно-сухой массы и взвешивают с погрешностью +/- 0,5 мг.
3.4.3. Обработка результатов
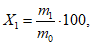
Массовую долю растительных примесей (X1) в процентах в каждой пробе вычисляют по формуле
где m1 - постоянно-сухая масса растительных примесей, включая репей-пилку, г;
m0 - постоянно-сухая масса лабораторной пробы до испытания, г.
За окончательный результат принимают среднеарифметическое результатов испытаний двух проб.
Вычисление проводят с точностью до второго десятичного знака с последующим округлением до первого десятичного знака.
При возникновении разногласий по определению репья-пилки испытания проводят на четырех пробах.
Пробы промывают в соответствии с нормативно-технической документацией по определению выхода шерсти, сохраняя репей-пилку, высушивают в сушильном шкафу при температуре 60 °C - 70 °C в течение 1 ч, после чего выдерживают при температуре (20 +/- 2) °C и относительной влажности (65 +/- 2)% в течение 2 ч. Затем пробы взвешивают с погрешностью +/- 0,5 г.
(в ред.
Изменения N 1, введенного в действие Приказом Росстандарта от 27.07.2015 N 986-ст)
Из каждой пробы мытой шерсти выбирают репей-пилку и подсчитывают число штук.
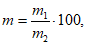
Содержание репья-пилки (X2) в штуках на 1 кг мытой шерсти вычисляют по формуле
где n - число штук в четырех лабораторных пробах;
m2 - масса четырех проб мытой шерсти, г.
Вычисление проводят с точностью до первого десятичного знака с последующим округлением до целого числа.
Примечание. При уточнении состояния, массовую долю растительных примесей (x), в процентах, в пробе немытой шерсти вычисляют по формуле
где m1 - постоянная сухая масса растительных примесей, г;
m - масса лабораторной пробы немытой шерсти, г.
(примечание введено
Изменением N 1, введенным в действие Приказом Росстандарта от 27.07.2015 N 986-ст)
3.5. Определение средней длины
3.5.1. Определение средней длины - по ГОСТ 21244.
(п. 3.5.1 в ред.
Изменения N 1, введенного в действие Приказом Росстандарта от 27.07.2015 N 986-ст)
3.5.2. Определение средней длины вручную
Из каждой отобранной лабораторной пробы выделяют все сохранившиеся штапели (за исключением подстриги). Толщина штапеля должна быть примерно 5 - 6 мм. Измеряют длину в миллиметрах основной массы волокон до основания заостренной верхушки в расправленном, но не растянутом виде.
Измеренную длину суммируют и сумму делят на количество штапелей.
Среднюю длину вычисляют с точностью до первого десятичного знака с последующим округлением до целого числа.
Если средняя длина испытанных двух проб соответствует разным, но смежным по длине сортам, то испытывают третью пробу и за окончательный результат принимают среднеарифметическое результатов испытаний трех проб.
(в ред.
Изменения N 1, введенного в действие Приказом Росстандарта от 27.07.2015 N 986-ст)
Если средняя длина испытанных двух проб шерсти соответствует по длине разным сортам, но через сорт, то третью пробу не испытывают, а от объединенной вновь отбирают три лабораторные пробы, испытывают их и за окончательный результат принимают среднеарифметическое результатов испытаний вновь отобранных трех проб.
(в ред.
Изменения N 1, введенного в действие Приказом Росстандарта от 27.07.2015 N 986-ст)
3.6. Определение средней тонины - по ГОСТ 17514.
3.7. Определение разрывной нагрузки - по ГОСТ 20269.
(п. 3.7 в ред.
Изменения N 1, введенного в действие Приказом Росстандарта от 27.07.2015 N 986-ст)
3.8. Определение подстриги
Из лабораторной пробы пинцетом выделяют подстригу, взвешивают ее с погрешностью +/- 0,1 г.
Массовую долю подстриги (X3) в процентах вычисляют по формуле
где m1 - масса подстриги, г;
m2 - масса лабораторной пробы до испытания, г.
Вычисления проводят с точностью до второго десятичного знака с последующим округлением до первого десятичного знака.
3.9. Определение массовой доли цветных волокон
Отобранную лабораторную пробу промывают, высушивают и разрыхляют по ГОСТ 17514, от нее отбирают три пробы массой по 5 г и взвешивают каждую с погрешностью +/- 0,01 г. Пробу кладут на лист белой бумаги и пинцетом или руками выбирают цветные волокна, которые взвешивают с погрешностью +/- 0,01 г.
Массовую долю цветных волокон (m) в процентах вычисляют по формуле
где m1 - масса цветных волокон, г;
m2 - масса пробы, г.
Вычисление проводят с точностью до второго десятичного знака с последующим округлением до первого десятичного знака.
За результат испытания принимают среднеарифметическое результатов испытаний двух проб.
Если результаты испытаний двух проб попадают в разные наименования цвета, то испытанию подвергают третью пробу и за результат принимают среднеарифметическое результатов испытаний трех проб.
3.10. Пожелтение шерсти и несмываемость тавро определяют после промывки шерсти по
ГОСТ 30190.
(п. 3.10 в ред.
Изменения N 1, введенного в действие Приказом Росстандарта от 27.07.2015 N 986-ст)
4. ТРАНСПОРТИРОВАНИЕ И ХРАНЕНИЕ
Транспортирование и хранение - по ГОСТ 6070.
Справочное
ПРИМЕР МАРКИРОВКИ
Содержание маркировки | Сокращенное обозначение |
Шерсть тонкая и полутонкая | |
Наименование республики, края, области | Ставр. кр. |
Наименование района | Апанасенковский р-н |
Наименование совхоза, колхоза или другой организации | к-з "Правда" |
Порядковый номер кипы | N 50 |
Условный номер отары (при наличии) | Отара 2 |
Клеймо классировщика (при наличии) | Клеймо |
Наименование шерсти: мериносовая, мериносовая баранья 58 - 56 качества, тонкая, немериносовая, тонкая поярковая, кроссбредная, цигайская, кроссбредного типа, цигай-грубошерстная, полутонкая помесная, полутонкая поярковая | мер., мер. бар 58 - 56к, немер., пояр. тон. крос. циг., крос. т., циг.-гр.; п/т пом., пояр. п/т. |
Наименование сорта: основная, пожелтевшая, 58 - 56 качества, базовая, свалок, тавро (смываемое), цветная немериносовая, неоднородная в полутонкой, обножка, клюнкер | пож., 58 - 56к, баз., свал., тавро, цв. тон., неодн. из п/т, обн. клюнк. |
Тонина: 70, 64, 60, 58 - 56, 50, 48 - 46, 44 | 70, 64, 60, 58 - 56, 50, 48 - 46, 44 |
Длина: I, II, III, IV | I, II, III, IV |
Свободная от сора, мало засоренная, сильно засоренная, дефектная, сорно-дефектная, с грубым волосом, с цветными волокнами "окрашенная" | св., мз, сз, д, сд, гр. в, цв. в, "окр" |
Наименование цвета тонкой немериносовой, кроссбредного типа, цигай-грубошерстной, полутонкой помесной, однородной поярковой | бел., с/с, цв. |
Масса кипы брутто и нетто, кг | бр. 105 кг, н-то 103 кг |
Выход шерсти | вых. 45% |
(в ред. Изменения N 1, введенного в действие Приказом Росстандарта от 27.07.2015 N 986-ст) |
Обозначение настоящего стандарта | ГОСТ |
Шерсть неоднородная полугрубая и грубая | |
Наименование республики, края, области | УзССР, Навоийская обл. |
Наименование района | Нуратинский р-н |
Наименование совхоза, колхоза или другой организации | гпз "Кзылча" |
Порядковый номер кипы | N 5 |
Условный номер отары (при наличии) | Отара 3 |
Клеймо классировщика (при наличии) | Клеймо |
Наименование шерсти: | |
весенняя, осенняя, поярковая | вес., осен., пояр. |
1-я группа - сараджинская, таджикская, балбас, алайская, дегересская, каргалинская, лезгинская, тушинская, горно-карпатская, полугрубая помесная | 1 гр., сар., тадж., бал., алайс., дегер., карг., лезг., туш., гор.-кар., п/гр пом. |
2-я группа - каракульская, курдючная, русская, горская | 2 гр. карак., курд., рус., гор. |
3-я группа - романовская, русская северная | 3 гр. ром., рус., сев. |
4-я группа - гиссарская, карабахская | 4 гр. гис., карабах. |
Основная, пожелтевшая (в 1-ой группе), базовая свалок тавро (смываемое), клюнкер | пож. 1 гр., ба., свал., тавро, клюн. |
1-я группа - I и II сорт | 1-I; 1-II |
2-я группа - I и II сорт | 2-I; 2-II |
Свободная от сорта мало засоренная, сильно засоренная, дефектная, сорно-дефектная | св., мз, сз, д, сд |
Наименование цвета: белая, светло-серая, цветная светлая, цветная темная | б, с/с, ц/с, ц/т |
Масса кипы брутто и нетто, кг | бр. 105 кг, н-то 103 кг |
Выход шерсти | вых. 75% |
(в ред. Изменения N 1, введенного в действие Приказом Росстандарта от 27.07.2015 N 986-ст) |
Обозначение настоящего стандарта | ГОСТ |