Главная // Актуальные документы // ГОСТ (Государственный стандарт)СПРАВКА
Источник публикации
В данном виде документ опубликован не был.
Первоначальный текст документа опубликован в издании
М.: ИПК Издательство стандартов, 2002.
Информацию о публикации документов, создающих данную редакцию, см. в справке к этим документам.
Примечание к документу
С 01.07.2003 до вступления в силу технических регламентов акты федеральных органов исполнительной власти в сфере технического регулирования носят рекомендательный характер и подлежат обязательному исполнению только в части, соответствующей целям, указанным в
п. 1 ст. 46 Федерального закона от 27.12.2002 N 184-ФЗ.
Взамен ГОСТ 11014-81.
Название документа
"ГОСТ 11014-2001. Межгосударственный стандарт. Угли бурые, каменные, антрацит и горючие сланцы. Ускоренные методы определения влаги"
(введен в действие Постановлением Госстандарта России от 07.03.2002 N 89-ст)
(ред. от 26.04.2017)
"ГОСТ 11014-2001. Межгосударственный стандарт. Угли бурые, каменные, антрацит и горючие сланцы. Ускоренные методы определения влаги"
(введен в действие Постановлением Госстандарта России от 07.03.2002 N 89-ст)
(ред. от 26.04.2017)
Введен в действие
Государственного комитета Российской Федерации
по стандартизации и метрологии
от 7 марта 2002 г. N 89-ст
МЕЖГОСУДАРСТВЕННЫЙ СТАНДАРТ
УГЛИ БУРЫЕ, КАМЕННЫЕ, АНТРАЦИТ И ГОРЮЧИЕ СЛАНЦЫ
УСКОРЕННЫЕ МЕТОДЫ ОПРЕДЕЛЕНИЯ ВЛАГИ
Brown coals, bituminous coals, anthracite and oil shales.
Shortened methods of moisture determination
ГОСТ 11014-2001
| | Список изменяющих документов Приказом Росстандарта от 26.04.2017 N 326-ст) | |
Дата введения
1 января 2003 года
1. Разработан Техническим комитетом по стандартизации ТК 179 "Твердое минеральное топливо", ГДУП "Комплексный научно-исследовательский и проектно-конструкторский институт обогащения твердых горючих ископаемых (ИОТТ)", ГУП "Институт горючих ископаемых".
Внесен Госстандартом России.
2. Принят Межгосударственным Советом по стандартизации, метрологии и сертификации (Протокол N 20 от 1 ноября 2001 г.).
Зарегистрирован МГС 28.11.2001 N 3987.
За принятие проголосовали:
Наименование государства | Наименование национального органа по стандартизации |
Азербайджанская Республика | Азгосстандарт |
Республика Армения | Армгосстандарт |
Республика Беларусь | Госстандарт Республики Беларусь |
Республика Казахстан | Госстандарт Республики Казахстан |
Кыргызская Республика | Кыргызстандарт |
Республика Молдова | Молдовастандарт |
Российская Федерация | Госстандарт России |
Республика Таджикистан | Таджикстандарт |
Туркменистан | Главгосслужба "Туркменстандартлары" |
Республика Узбекистан | Узгосстандарт |
3.
Постановлением Государственного комитета Российской Федерации по стандартизации и метрологии от 7 марта 2002 г. N 89-ст межгосударственный стандарт ГОСТ 11014-2001 введен в действие непосредственно в качестве государственного стандарта Российской Федерации с 1 января 2003 г.
4. Взамен ГОСТ 11014-81.
Настоящий стандарт распространяется на каменные и бурые угли, антрациты, горючие сланцы и продукты их обогащения (далее - угли) и устанавливает ускоренные методы определения общей влаги, влаги воздушно-сухого топлива и влаги аналитической пробы. Определение внешней влаги проводят без ускорения по
6.1.
(в ред.
Изменения N 1, введенного в действие Приказом Росстандарта от 26.04.2017 N 326-ст)
При возникновении разногласий в оценке качества топлива определение влаги проводят по ГОСТ ISO 589, ГОСТ ISO 5068-1 и
ГОСТ 33503.
(в ред.
Изменения N 1, введенного в действие Приказом Росстандарта от 26.04.2017 N 326-ст)
В настоящем стандарте применены термины по
ГОСТ 17070 и обозначения показателей и индексы к ним по
ГОСТ 27313.
(в ред.
Изменения N 1, введенного в действие Приказом Росстандарта от 26.04.2017 N 326-ст)
В настоящем стандарте использованы ссылки на следующие стандарты:
ГОСТ ISO 589-2012 <1> Каменный уголь. Определение общей влаги
(ссылка введена
Изменением N 1, введенным в действие Приказом Росстандарта от 26.04.2017 N 326-ст)
ГОСТ ISO 5068-1-2012 <1> Угли бурые и лигниты. Определение содержания влаги. Часть 1. Косвенный гравиметрический метод определения общей влаги
(ссылка введена
Изменением N 1, введенным в действие Приказом Росстандарта от 26.04.2017 N 326-ст)
--------------------------------
<1> На территории Российской Федерации действует
ГОСТ Р 52911-2013 "Топливо твердое минеральное. Определение общей влаги".
(сноска введена
Изменением N 1, введенным в действие Приказом Росстандарта от 26.04.2017 N 326-ст)
ГОСТ 10742-71 Угли бурые, каменные, антрацит, горючие сланцы и угольные брикеты. Методы отбора и подготовки проб для лабораторных испытаний
(в ред.
Изменения N 1, введенного в действие Приказом Росстандарта от 26.04.2017 N 326-ст)
(ссылка введена
Изменением N 1, введенным в действие Приказом Росстандарта от 26.04.2017 N 326-ст)
ГОСТ 25336-82 Посуда и оборудование лабораторные стеклянные. Типы, основные параметры и размеры
Ссылка исключена с 1 декабря 2017 года. -
Изменение N 1, введенное в действие Приказом Росстандарта от 26.04.2017 N 326-ст.
ГОСТ 27313-2015 Топливо твердое минеральное. Обозначение показателей качества и формулы пересчета результатов анализа на различные состояния топлива
(ссылка введена
Изменением N 1, введенным в действие Приказом Росстандарта от 26.04.2017 N 326-ст)
ГОСТ 33503-2015 (ISO 11722:2013, ISO 5068-2:2007) Топливо твердое минеральное. Методы определения влаги в аналитической пробе";
(ссылка введена
Изменением N 1, введенным в действие Приказом Росстандарта от 26.04.2017 N 326-ст)
3.1. При определении общей влаги топлива сосуд, в котором проба была доставлена в лабораторию, при необходимости подсушивают. Потерю массы сосуда учитывают при расчете внешней влаги топлива.
3.2. Бюксы вместе с крышками должны быть пронумерованы, высушены до постоянной массы при 160 °C и взвешены. Бюксы хранят в эксикаторе с осушающим веществом. Массу бюкс уточняют перед каждым взятием навески.
3.3. Перед каждым определением пробу тщательно перемешивают, лучше всего переворачиванием сосуда с пробой. Навеску отбирают из разных мест и на разной глубине.
3.4. Бюксы с навесками для высушивания устанавливают в сушильный шкаф на перфорированную полку, оставляя часть отверстий полки открытыми. Допускается помещать в шкаф не более 20 шт. бюкс при определении

и не более 6 шт. при определении
Wt и
Wh.
3.5. Во время высушивания бюксы с навесками должны быть с приоткрытыми или полностью открытыми крышками, а при охлаждении и взвешивании - с закрытыми крышками.
3.6. Время высушивания считают с того момента, когда температура в сушильном шкафу, понизившаяся при установке бюкс с навесками, снова достигнет требуемой величины.
4.1. Шкаф сушильный электрический с терморегулятором, обеспечивающим устойчивую температуру нагрева (160 +/- 5) °C, с естественной или принудительной вентиляцией воздуха.
(в ред.
Изменения N 1, введенного в действие Приказом Росстандарта от 26.04.2017 N 326-ст)
4.2. Шкаф сушильный электрический, с регулированием температуры нагрева от (40 +/- 5) °C до (50 +/- 5) °C, с естественной или принудительной вентиляцией воздуха.
(в ред.
Изменения N 1, введенного в действие Приказом Росстандарта от 26.04.2017 N 326-ст)
4.3. Термометр ртутный до 200 °C с ценой деления шкалы 1 - 2 °C.
4.4. Весы лабораторные с погрешностью взвешивания не более 0,0002 г.
4.5. Весы лабораторные с погрешностью взвешивания не более 0,002 г.
4.6. Эксикатор по
ГОСТ 25336 со свежепросушенным силикагелем или другим осушающим веществом.
4.7. Стаканчики для взвешивания низкой формы с крышками (бюксы) из стекла по
ГОСТ 25336.
Допускается использовать стаканчики для взвешивания из коррозионно-стойкого материала с хорошо подогнанными крышками.
Размеры бюкс должны быть такими, чтобы слой аналитической пробы топлива не превышал 0,15 г/см2. При массе навески приблизительно 1 г диаметр бюксы составляет не менее 4 см.
При определении влаги в пробе крупностью менее 3 мм слой топлива не должен превышать 0,30 г/см2. При массе навески 10 г диаметр бюксы составляет не менее 6 см.
(п. 4.7 в ред.
Изменения N 1, введенного в действие Приказом Росстандарта от 26.04.2017 N 326-ст)
4.8. Противни из неокисляющегося металла для подсушивания проб при определении внешней влаги.
5. ОТБОР И ПОДГОТОВКА ПРОБ
6.1. Определение внешней влаги
6.1.1. Сущность метода заключается в высушивании пробы угля до воздушно-сухого состояния при комнатной температуре или в сушильном шкафу при температуре не более (40 +/- 5) °C для бурых углей и (50 +/- 5) °C для каменных углей, антрацитов и горючих сланцев и вычислении массовой доли влаги по потере массы.
6.1.2. Максимальный размер зерна пробы для определения внешней влаги не должен превышать 20 мм. Масса пробы в килограммах должна быть не менее 0,1 максимального размера куска в миллиметрах, но не менее 0,5 кг.
6.1.3. Пробу разравнивают на взвешенном противне так, чтобы на 1 дм2 поверхности приходилось не более 100 г пробы. Противень с пробой взвешивают с точностью не более 0,05% массы пробы и ставят для свободной сушки в помещение с хорошей вентиляцией или в сушильный шкаф.
6.1.4. Продолжительность сушки в сушильном шкафу не должна превышать 8 ч. Для бурых углей с массовой долей общей влаги более 35% время сушки может быть увеличено. После окончания сушки в сушильном шкафу противень с пробой вынимают и оставляют для свободной сушки при комнатной температуре, взвешивая его каждый час до тех пор, пока результаты двух последних взвешиваний будут отличаться не более чем на 0,3% исходной массы пробы для бурых углей и не более чем на 0,1% исходной массы пробы для каменных углей, антрацитов и горючих сланцев. В течение сушки, а также после каждого взвешивания пробу осторожно перемешивают, не допуская потерь.
6.2. Определение влаги воздушно-сухого топлива
6.2.1. Сущность метода заключается в высушивании навески воздушно-сухого угля крупностью не более 3 мм при температуре (160 +/- 5) °C и вычислении массовой доли влаги по потере массы.
6.2.2. Из пробы крупностью не более 3 мм отбирают в бюксы навески массой (10 +/- 1,0) г, взвешивая на лабораторных весах с погрешностью не более 0,002 г. Открытые бюксы помещают в сушильный шкаф, предварительно нагретый до температуры (160 +/- 5) °C, и при этой температуре сушат не менее:
30 мин - бурые угли;
15 мин - каменные угли, горючие сланцы и продукты их мокрого обогащения;
20 мин - антрацит.
6.2.3. После окончания сушки бюксы вынимают из сушильного шкафа, закрывают крышками и охлаждают 5 мин на металлической подставке, затем в эксикаторе до комнатной температуры, после чего взвешивают. Контрольные просушивания не проводят.
6.3. Определение влаги аналитической пробы
6.3.1. Сущность метода заключается в высушивании навески аналитической пробы топлива максимальным размером зерен 0,2 мм в сушильном шкафу при температуре (160 +/- 5) °C и вычислении массовой доли влаги по потере массы.
6.3.2. Из аналитической пробы топлива во взвешенные бюксы отбирают навески топлива массой (1 +/- 0,1) г с точностью не более 0,0002 г. Открытые бюксы с навесками помещают в сушильный шкаф, предварительно нагретый до температуры (160 +/- 5) °C, и при этой температуре сушат не менее:
5 мин - каменные угли, антрацит и горючие сланцы;
10 мин - бурые угли.
6.3.3. После окончания сушки бюксы вынимают из сушильного шкафа, закрывают крышками и охлаждают 5 мин на металлической подставке, затем в эксикаторе до комнатной температуры, после чего взвешивают. Контрольные просушивания не проводят.
6.4. Определение общей влаги
6.4.1. Общую влагу определяют двухступенчатым или одноступенчатым методом в зависимости от степени увлажненности топлива и возможности его измельчения без предварительной подсушки.
6.4.2. Общую влагу двухступенчатым методом определяют как сумму внешней влаги (
Wex) и влаги воздушно-сухого топлива (
Wh), определяемых по
6.1 и
6.2 соответственно.
6.4.3. Подготовка пробы для определения общей влаги одноступенчатым методом заключается в измельчении пробы топлива до крупности менее 3 мм и сокращении до массы не менее 0,65 кг.
Общую влагу одноступенчатым методом определяют по
6.2.
Время сушки бурых углей с массовой долей общей влаги более 35% составляет 60 мин.
(п. 6.4.3 в ред.
Изменения N 1, введенного в действие Приказом Росстандарта от 26.04.2017 N 326-ст)
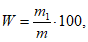
7.1. Массовую долю общей влаги Wt, определяемую одноступенчатым методом, массовую долю внешней влаги Wex, влаги воздушно-сухого топлива Wh и влаги аналитической пробы Wa, %, вычисляют по формуле
где m1 - потеря массы при сушке навески топлива, г;
m - масса навески пробы топлива, г.
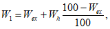
7.2. Массовую долю общей влаги Wt, определяемую двухступенчатым методом, %, вычисляют по формуле
где Wex - внешняя влага топлива, %;
Wh - влага воздушно-сухого топлива, %.
7.3. Результаты вычисляют с точностью до 0,1%.
8.1. Расхождения результатов двух параллельных определений, проведенных в одной лаборатории (повторяемость), не должны превышать значений, указанных в таблице 1.
(в ред.
Изменения N 1, введенного в действие Приказом Росстандарта от 26.04.2017 N 326-ст)
Таблица 1
Вид влаги | Максимально допустимое расхождение между результатами определения при массовой доле влаги, % |
до 10 | свыше 10 |
Общая влага | 0,3% абс. | 3% отн. |
Влага воздушно-сухого топлива | 0,3% абс. | 3% отн. |
Влага аналитической пробы | 0,2% абс. | 2% отн. |
8.2. При определении влаги в разных лабораториях воспроизводимость результатов анализа не регламентируется.