Главная // Актуальные документы // ГОСТ (Государственный стандарт)СПРАВКА
Источник публикации
М.: Стандартинформ, 2017
Примечание к документу
Текст данного документа приведен с учетом
поправки, опубликованной в "ИУС", N 9, 2018.
Документ
введен в действие с 1 октября 2017 года.
Название документа
"ГОСТ 10702-2016. Межгосударственный стандарт. Прокат сортовой из конструкционной нелегированной и легированной стали для холодной объемной штамповки. Общие технические условия"
(введен в действие Приказом Росстандарта от 12.01.2017 N 8-ст)
"ГОСТ 10702-2016. Межгосударственный стандарт. Прокат сортовой из конструкционной нелегированной и легированной стали для холодной объемной штамповки. Общие технические условия"
(введен в действие Приказом Росстандарта от 12.01.2017 N 8-ст)
по техническому регулированию
и метрологии
от 12 января 2017 г. N 8-ст
МЕЖГОСУДАРСТВЕННЫЙ СТАНДАРТ
ПРОКАТ СОРТОВОЙ ИЗ КОНСТРУКЦИОННОЙ НЕЛЕГИРОВАННОЙ
И ЛЕГИРОВАННОЙ СТАЛИ ДЛЯ ХОЛОДНОЙ ОБЪЕМНОЙ ШТАМПОВКИ
ОБЩИЕ ТЕХНИЧЕСКИЕ УСЛОВИЯ
The bars of structural non-alloy and alloy steel
for cold die forming. General specifications
ГОСТ 10702-2016
Дата введения
1 октября 2017 года
Цели, основные принципы и основной порядок проведения работ по межгосударственной стандартизации установлены в
ГОСТ 1.0-2015 "Межгосударственная система стандартизации. Основные положения" и
ГОСТ 1.2-2015 "Межгосударственная система стандартизации. Стандарты межгосударственные, правила и рекомендации по межгосударственной стандартизации. Правила разработки, принятия, обновления и отмены"
1 РАЗРАБОТАН Федеральным государственным унитарным предприятием "Центральный научно-исследовательский институт черной металлургии им. И.П. Бардина" (ФГУП "ЦНИИчермет им. И.П. Бардина")
2 ВНЕСЕН Федеральным агентством по техническому регулированию и метрологии
3 ПРИНЯТ Межгосударственным советом по стандартизации, метрологии и сертификации (протокол от 25 октября 2016 г. N 92-П)
За принятие проголосовали:
Краткое наименование страны по МК (ИСО 3166) 004-97 | Код страны по МК (ИСО 3166) 004-97 | Сокращенное наименование национального органа по стандартизации |
Армения | AM | Минэкономики Республики Армения |
Беларусь | BY | Госстандарт Республики Беларусь |
Казахстан | KZ | Госстандарт Республики Казахстан |
Киргизия | KG | Кыргызстандарт |
Россия | RU | Росстандарт |
Таджикистан | TJ | Таджикстандарт |
Узбекистан | UZ | Узстандарт |
4
Приказом Федерального агентства по техническому регулированию и метрологии от 12 января 2017 г. N 8-ст межгосударственный стандарт ГОСТ 10702-2016 введен в действие в качестве национального стандарта Российской Федерации с 1 октября 2017 г.
Информация об изменениях к настоящему стандарту публикуется в ежегодном информационном указателе "Национальные стандарты", а текст изменений и поправок - в ежемесячном информационном указателе "Национальные стандарты". В случае пересмотра (замены) или отмены настоящего стандарта соответствующее уведомление будет опубликовано в ежемесячном информационном указателе "Национальные стандарты". Соответствующая информация, уведомление и тексты размещаются также в информационной системе общего пользования - на официальном сайте Федерального агентства по техническому регулированию и метрологии в сети Интернет (www.gost.ru)
1.1 Настоящий стандарт распространяется на горячекатаный, горячекатаный со специальной отделкой поверхности, горячекалиброванный, калиброванный и калиброванный со специальной отделкой поверхности прокат, предназначенный для изготовления изделий методом холодной объемной штамповки (холодное выдавливание, холодная высадка и объемная формовка в закрытых или открытых штампах).
1.2 В части требований к химическому составу настоящий стандарт распространяется также на слитки, непрерывно-литые и горячекатаные заготовки и проволоку, предназначенные для изготовления изделий методом холодной объемной штамповки.
В настоящем стандарте использованы нормативные ссылки на следующие межгосударственные стандарты:
ГОСТ 1050-2013 Металлопродукция из нелегированных конструкционных качественных и специальных сталей. Общие технические условия
ГОСТ 1051-73 Прокат калиброванный. Общие технические условия
ГОСТ 1497-84 (ИСО 6892-84) Металлы. Методы испытаний на растяжение
ГОСТ 1763-68 (ИСО 3887-77) Сталь. Методы определения глубины обезуглероженного слоя
ГОСТ 1778-70 (ИСО 4967-79) Сталь. Металлографические методы определения неметаллических включений
ГОСТ 2590-2006 Прокат сортовой стальной горячекатаный круглый. Сортамент
ГОСТ 2789-73 Шероховатость поверхности. Параметры и характеристики
ГОСТ 2879-2006 Прокат сортовой стальной горячекатаный шестигранный. Сортамент
ГОСТ 4543-2016 Металлопродукция из конструкционной легированной стали. Технические условия
ГОСТ 5639-82 Стали и сплавы. Методы выявления и определения величины зерна
ГОСТ 7564-97 Прокат. Общие правила отбора проб, заготовок и образцов для механических и технологических испытаний
ГОСТ 7565-81 (ИСО 377-2-89) Чугун, сталь и сплавы. Метод отбора проб для определения химического состава
ГОСТ 7566-94 Металлопродукция. Приемка, маркировка, упаковка, транспортирование и хранение
ГОСТ 9012-59 (ИСО 410-82, ИСО 6506-81) Металлы. Метод измерения твердости по Бринеллю
ГОСТ 9013-59 (ИСО 6508-86) Металлы. Метод измерения твердости по Роквеллу
ГОСТ 12344-2003 Стали легированные и высоколегированные. Методы определения углерода
ГОСТ 12345-2001 (ИСО 671-82, ИСО 4935-89) Стали легированные и высоколегированные. Методы определения серы
ГОСТ 12346-78 (ИСО 439-82, ИСО 4829-1-86) Стали легированные и высоколегированные. Методы определения кремния
ГОСТ 12347-77 Стали легированные и высоколегированные. Методы определения фосфора
ГОСТ 12348-78 (ИСО 629-82) Стали легированные и высоколегированные. Методы определения марганца
ГОСТ 12349-83 Стали легированные и высоколегированные. Методы определения вольфрама
ГОСТ 12350-78 Стали легированные и высоколегированные. Методы определения хрома
ГОСТ 12351-2003 (ИСО 4942:1988, ИСО 9647:1989) Стали легированные и высоколегированные. Методы определения ванадия
ГОСТ 12352-81 Стали легированные и высоколегированные. Методы определения никеля
ГОСТ 12354-81 Стали легированные и высоколегированные. Методы определения молибдена
ГОСТ 12355-78 Стали легированные и высоколегированные. Методы определения меди
ГОСТ 12356-81 Стали легированные и высоколегированные. Методы определения титана
ГОСТ 12357-84 Стали легированные и высоколегированные. Методы определения алюминия
ГОСТ 12359-99 (ИСО 4945-77) Стали углеродистые, легированные и высоколегированные. Методы определения азота
ГОСТ 12360-82 Стали легированные и высоколегированные. Методы определения бора
ГОСТ 14955-77 Сталь качественная круглая со специальной отделкой поверхности. Технические условия
ГОСТ 18895-97 Сталь. Метод фотоэлектрического спектрального анализа
ГОСТ 21014-88 Прокат черных металлов. Термины и определения дефектов поверхности
ГОСТ 21650-76 Средства скрепления тарно-штучных грузов в транспортных пакетах. Общие требования
ГОСТ 22235-2010 Вагоны грузовые магистральных железных дорог колеи 1520 мм. Общие требования по обеспечению сохранности при производстве погрузочно-разгрузочных и маневровых работ
ГОСТ 22536.0-87 Сталь углеродистая и чугун нелегированный. Общие требования к методам анализа
ГОСТ 22536.1-88 Сталь углеродистая и чугун нелегированный. Методы определения общего углерода и графита
ГОСТ 22536.2-87 Сталь углеродистая и чугун нелегированный. Методы определения серы
ГОСТ 22536.3-88 Сталь углеродистая и чугун нелегированный. Методы определения фосфора
ГОСТ 22536.4-88 Сталь углеродистая и чугун нелегированный. Методы определения кремния
ГОСТ 22536.5-87 (ИСО 629-82) Сталь углеродистая и чугун нелегированный. Методы определения марганца
ГОСТ 22536.7-88 Сталь углеродистая и чугун нелегированный. Методы определения хрома
ГОСТ 22536.8-87 Сталь углеродистая и чугун нелегированный. Методы определения меди
ГОСТ 22536.9-88 Сталь углеродистая и чугун нелегированный. Методы определения никеля
ГОСТ 22536.10-88 Сталь углеродистая и чугун нелегированный. Методы определения алюминия
ГОСТ 22536.11-87 Сталь углеродистая и чугун нелегированный. Методы определения титана
ГОСТ 22536.12-88 Сталь углеродистая и чугун нелегированный. Методы определения ванадия
ГОСТ 24597-81 Пакеты тарно-штучных грузов. Основные параметры и размеры
ГОСТ 26663-85 Пакеты транспортные. Формирование с применением средств пакетирования. Общие технические требования
ГОСТ 28473-90 Чугун, сталь, ферросплавы, хром, марганец металлические. Общие требования к методам анализа
ГОСТ 30415-96 Сталь. Неразрушающий контроль механических свойств и микроструктуры металлопродукции магнитным методом
Примечание - При пользовании настоящим стандартом целесообразно проверить действие ссылочных стандартов в информационной системе общего пользования - на официальном сайте Федерального агентства по техническому регулированию и метрологии в сети Интернет или по ежегодному информационному указателю "Национальные стандарты", который опубликован по состоянию на 1 января текущего года, и по выпускам ежемесячного информационного указателя "Национальные стандарты" за текущий год. Если ссылочный стандарт заменен (изменен), то при пользовании настоящим стандартом, следует руководствоваться заменяющим (измененным) стандартом. Если ссылочный стандарт отменен без замены, то положение, в котором дана ссылка на него, применяется в части, не затрагивающей эту ссылку.
Прокат подразделяют:
а) по химическому составу:
1) из нелегированной стали;
2) из легированной, в т.ч. борсодержащей стали;
б) по степени раскисления:
1) кп - из кипящей стали;
2) пс - из полуспокойной стали;
3) без индекса в обозначении марки - из спокойной стали;
в) по способу производства:
1) горячекатаный;
2) горячекатаный со специальной отделкой поверхности (ГК);
3) горячекалиброванный - ГКЛ;
4) калиброванный;
5) калиброванный со специальной отделкой поверхности (КЛ);
г) по виду поставки:
1) в прутках;
2) в мотках - НМД;
д) по длине прутков - в соответствии со стандартами на сортамент;
е) по форме поперечного сечения:
1) круглый (круг);
2) шестигранный (шестигранник);
ж) по способу обработки поверхности горячекатаного проката:
1) без обточки (обдирки);
2) обточенный (ободранный) - ОБТ;
и) по качеству поверхности или качеству отделки поверхности на группы:
1) 1ГП - горячекатаный и горячекалиброванный, 2ГП - горячекатаный;
2) А, Б, В - калиброванный;
3) А, Б, В, Г, Д - со специальной отделкой поверхности;
к) по состоянию поставки:
1) без термической обработки (горячекатаный, горячекатаный со специальной отделкой поверхности, горячекалиброванный);
2) нагартованный калиброванный и нагартованный калиброванный со специальной отделкой поверхности, в том числе с промежуточной термической обработкой (отпуск: низкий, средний, высокий) - НГ;
3) термически обработанный:
- отпуск или отжиг - ТО;
- сфероидизирующий отжиг - ТС;
л) по величине деформации при холодной осадке на группы:
1) до 1/2 первоначальной высоты образца - 50;
2) до 1/3 первоначальной высоты образца - 66;
3) до 1/3 первоначальной высоты образца при испытании на контрольных термически обработанных образцах (после отпуска, отжига или сфероидизирующего отжига) - 66Т;
4) до 1/3 первоначальной высоты образца при испытании на контрольных термически обработанных (после отпуска, отжига или сфероидизирующего отжига) и обточенных образцах - 66И;
5) до 1/4 первоначальной высоты образца - 75;
6) до 1/4 первоначальной высоты образца при испытании на контрольных термически обработанных (после сфероидизирующего отжига) и обточенных образцах - 75И.
Вид термической обработки образцов при испытании на осадку по группам 66Т, 66И и 75И выбирает изготовитель и указывает в документе о качестве.
4.1 Прокат изготовляют из стали:
- нелегированной марок: 08кп, 08пс, 08, 10кп, 10пс, 10, 15кп, 15пс, 15, 15Г, 20кп, 20пс, 20, 20Г, 20Г2, 25, 30, 35, 35Г2, 40, 40Г, 40Г2, 45, 45Г, 50;
- легированной марок: 12ХН, 12ХН3А, 15Х, 15ХМ, 15ХФ, 15ХГНМ, 16ХСН, 18Х2Н4МА, 19ХГН, 20Х, 20ХГСА, 20ХГНМ, 25Х2Н4МА (25Х2Н4ВА), 30Х, 30ХМА, 30ХГСА, 30ХН2МФА, 35Х, 35ХГСА, 38ХА, 38ХС, 38ХГНМ, 40Х, 40ХН, 40ХН2МА, 45Х, 50ХН;
- легированной борсодержащей марок: 12Г1РА (12Г1Р), 20Г1Р, 20Г1РА (20Г2Р), 30Г1РА (30Г1Р).
4.2 Химический состав стали должен соответствовать:
- марок 08кп, 08пс, 08, 10кп, 10пс, 10, 15кп, 15пс, 15, 15Г, 20кп, 20пс, 20, 20Г, 25, 30, 35, 35Г2, 40, 40Г, 40Г2, 45, 45Г, 50 - требованиям
ГОСТ 1050 со следующими изменениями.
Массовая доля кремния (Si) должна быть, %, не более:
0,03 - для стали марки 10кп;
0,20 - для стали марок 25, 30, 35, 40 и 45;
0,10 - для стали марок 08пс, 10пс, 15пс и 20пс.
Массовая доля марганца (Mn) в стали марок 25, 30, 35, 40 и 45 должна быть не более 0,60%.
В стали марок 10, 15, 20 допускается снижение нижнего предела массовой доли марганца (Mn) до 0,20%;
- марок 12ХН3А, 15Х, 15ХМ, 15ХФ, 18Х2Н4МА, 20Х, 20ХГСА, 20ХГНМ, 25Х2Н4МА (25Х2Н4ВА), 30Х, 30ХМА, 30ХГСА, 30ХН2МФА, 35Х, 35ХГСА, 38ХА, 38ХС, 40Х, 40ХН, 40ХН2МА, 45Х, 50ХН - требованиям
ГОСТ 4543 со следующими изменениями.
Массовая доля кремния (Si) в стали марок 15Х, 15ХФ, 20Х, 30Х, 30ХМА, 35Х, 40Х, 40ХН, 45Х должна быть не более 0,20%.
Массовая доля марганца (Mn) в стали марок 15Х, 20Х и 30Х должна быть не более 0,60%;
- марок 12ХН, 15ХГНМ, 16ХСН, 19ХГН, 20Г2, 38ХГНМ - таблице 1;
- борсодержащей марок 12Г1РА (12Г1Р), 20Г1Р, 20Г1РА (20Г2Р), 30Г1РА (30Г1Р) -
таблице 2.
Таблица 1
Химический состав стали по ковшовой пробе
Марка стали | Массовая доля элементов, % |
C | Si | Mn | S | P | Cr | Ni | Mo | Cu |
не более | не более |
12ХН | 0,09 - 0,15 | 0,17 - 0,37 | 0,30 - 0,60 | 0,035 | 0,035 | 0,40 - 0,70 | 0,50 - 0,80 | Не более 0,15 | 0,30 |
15ХГНМ | 0,13 - 0,18 | 0,17 - 0,37 | 0,70 - 1,10 | 0,035 | 0,035 | 0,40 - 0,70 | 0,40 - 0,70 | 0,15 - 0,25 | 0,30 |
16ХСН | 0,13 - 0,20 | 0,60 - 0,90 | 0,30 - 0,60 | 0,035 | 0,035 | 0,80 - 1,10 | 0,60 - 0,90 | Не более 0,15 | 0,20 |
19ХГН | 0,16 - 0,21 | 0,17 - 0,37 | 0,70 - 1,00 | 0,035 | 0,035 | 0,80 - 1,10 | 0,80 - 1,10 | Не более 0,10 | 0,30 |
20Г2 | 0,18 - 0,26 | 0,17 - 0,37 | 1,30 - 1,60 | 0,035 | 0,035 | Не более 0,25 | Не более 0,25 | Не более 0,15 | 0,20 |
38ХГНМ | 0,37 - 0,43 | 0,17 - 0,37 | 0,50 - 0,80 | 0,035 | 0,035 | 0,40 - 0,60 | 0,40 - 0,70 | 0,15 - 0,25 | 0,30 |
Примечание - В стали всех марок допускается массовая доля остаточных элементов: вольфрама (W) - не более 0,20% и ванадия (V) - не более 0,05%, а также введение титана (Ti) - не более 0,03%. |
Таблица 2
Химический состав борсодержащей стали по ковшовой пробе
Марка стали | Массовая доля элементов, % |
C | Si | Mn | S | P | Al | B | Cr | Ni | Cu | N |
не более | не более |
12Г1РА (12Г1Р) | 0,10 - 0,15 | Не более 0,17 | 0,90 - 1,30 | 0,015 | 0,020 | 0,020 - 0,050 | 0,002 - 0,005 | 0,15 - 0,30 | 0,10 | 0,10 | 0,010 |
20Г1Р | 0,17 - 0,24 | 0,17 - 0,35 | 0,90 - 1,30 | 0,035 | 0,035 | 0,010 - 0,050 | Не менее 0,001 | Не более 0,25 | 0,20 | 0,15 | 0,012 |
20Г1РА (20Г2Р) | 0,20 - 0,25 | Не более 0,17 | 0,90 - 1,30 | 0,015 | 0,020 | 0,020 - 0,050 | 0,002 - 0,005 | 0,15 - 0,30 | 0,10 | 0,10 | 0,010 |
30Г1РА (30Г1Р) | 0,27 - 0,32 | Не более 0,17 | 0,90 - 1,30 | 0,015 | 0,020 | 0,020 - 0,050 | 0,002 - 0,005 | 0,15 - 0,30 | 0,10 | 0,10 | 0,010 |
Примечания: 1 В скобках указано альтернативное наименование марки стали. Основное, совмещенное или альтернативное обозначение марки стали указывает заказчик при оформлении заказа. 2 В сталь марки 12Г1РА (12Г1Р) допускается введение титана (Ti) не более 0,03%. 3 В сталь марки 20Г1Р вводят по расчету: - титан (Ti) не более 0,06%. Массовая доля титана (Ti) в ковшовой пробе должна быть не менее 0,03%; - бор (B), без учета угара, в количестве от 0,003% до 0,005% после раскисления алюминием (Al) и введения титана (Ti). 4 Для стали марки 20Г1Р требования по массовой доле алюминия (Al) и титана (Ti) в ковшовой пробе, при условии обеспечения требований к прокаливаемости в соответствии с А.38 (приложение А), являются факультативными, фактическую массовую долю элементов указывают в документе о качестве. |
4.2.1 В стали всех марок, для которых не установлено требование по алюминию (Al), допускается массовая доля алюминия (Al) не более 0,05%.
4.2.2 В готовом прокате из стали марок с химическим составом по
таблицам 1 и
2 допускаются отклонения по химическому составу для стали:
- легированной борсодержащей по элементам:
N - +0,002%;
Al - +/- 0,005%;
5.1 По форме, размерам и предельным отклонениям прокат должен соответствовать требованиям, указанным в таблице 3.
Таблица 3
Форма, размеры и предельные отклонения
Вид проката, форма поперечного сечения | Обозначение стандарта | Номинальный размер, мм | Точность прокатки | Квалитет |
Прокат горячекатаный круглый | | От 5,0 до 50,0 включ. | А1, А2, Б1, В1, В2 | - |
Прокат горячекатаный шестигранный | | От 8,0 до 48,0 включ. | Б1, Б2, В1, В2 | - |
Прокат горячекалиброванный круглый | | От 12,0 до 30,0 включ. | Предельные отклонения по диаметру, мм: прутков -  мотков - +/- 0,2 |
Прокат калиброванный круглый | | От 3,0 до 42,0 включ. | - | h9, h10, h11, h12 |
Прокат калиброванный шестигранный | | От 3,0 до 40,0 включ. | h10, h11 |
Прокат горячекатаный со специальной отделкой поверхности и калиброванный со специальной отделкой поверхности | | От 5,0 до 50,0 включ. | - | h9, h10, h11, h12 |
Примечание - Точность прокатки или квалитет указывают в заказе. При отсутствии указания в заказе класс точности или квалитет выбирает изготовитель и указывает в документе о качестве. |
5.2 Прокат изготовляют в прутках и мотках. Мотки должны состоять из одного отрезка.
Масса мотка должна быть от 30 до 2500 кг.
5.3 Концы горячекатаных и горячекалиброванных прутков должны быть обрезаны. На прутках, порезанных на прессах и ножницах, допускаются смятые концы, а также заусенцы высотой не более 2 мм.
Косина реза прутков диаметром до 30 мм включительно не регламентируется, свыше 30 мм - не должна превышать 0,1 диаметра.
Прутки немерной длины допускается изготовлять с необрезными концами.
На концах прутков допускается фаска размером не более 6 мм x (45° +/- 15°).
Горячекатаный и горячекалиброванный прокат в мотках изготовляют без обрезки концов.
5.4 Концы горячекатаных со специальной отделкой поверхности прутков и мотков должны быть обрезаны без смятия и заусенцев. На концах прутков допускается фаска размером не более 6 мм x (45° +/- 15°).
5.5 Концы калиброванных и калиброванных со специальной отделкой поверхности прутков и мотков должны быть обрезаны без смятия и заусенцев. При резке на ножницах допускается смятие обрезанного конца при условии сохранения размера второго волоченого конца. На волоченом конце допускается утяжка.
На концах прутков допускается фаска размером не более 6 мм x (45° +/- 15°).
6. Технические требования
6.1 Прокат должен соответствовать требованиям настоящего стандарта и изготовляться по технологической документации, утвержденной в установленном порядке.
6.2 Прокат поставляют в состоянии:
а) горячекатаный, горячекатаный со специальной отделкой поверхности и горячекалиброванный:
1) без термической обработки;
2) термически обработанном - отожженном или отпущенном (ТО), после сфероидизирующего отжига (ТС);
б) калиброванный и калиброванный со специальной отделкой поверхности:
1) термический обработанном - отожженном или отпущенном (ТО), после сфероидизирующего отжига (ТС);
2) нагартованном (НГ).
Состояние поставки проката должно быть указано в заказе.
6.3 Твердость проката в состоянии поставки должна соответствовать:
- горячекатаного, горячекатаного со специальной отделкой поверхности и горячекалиброванного без термической обработки - нормам таблицы 4;
- калиброванного, калиброванного со специальной отделкой поверхности в нагартованном состоянии, в том числе с промежуточной термической обработкой, - нормам таблицы 4;
- в термически обработанном состоянии - нормам
таблицы 5.
Таблица 4
Твердость проката, поставляемого без термической обработки
или в нагартованном состоянии
Марка стали | Твердость HB, не более |
Прокат горячекатаный, горячекатаный со специальной отделкой поверхности и горячекалиброванный | Прокат нагартованный калиброванный и калиброванный со специальной отделкой поверхности |
08кп, 08пс, 08 | 131 | 179 |
10кп, 10пс | 137 | 179 |
10 | 137 | 187 |
15кп, 15пс | 143 | 187 |
15 | 143 | 197 |
20кп, 20пс | 156 | 197 |
20 | 156 | 207 |
25 | 170 | 217 |
30 | 179 | 229 |
35 | 187 | 229 |
40 | 217 | 241 |
45 | 229 | 241 |
12ХН | - | 210 |
19ХГН | - | 269 |
15Х, 20Х, 30Х | - | 207 |
15ХФ, 40ХН | - | 207 |
35Х, 40Х, 38ХА | - | + |
20Г2, 30ХГСА, 16ХСН, 30ХМА, 15ХГНМ | - | + |
12Г1РА (12Г1Р), 20Г1РА (20Г2Р), 30Г1РА (30Г1Р) | - | + |
20Г1Р | 205 | 220 |
Примечания 1 Знак "-" означает, что твердость не нормируют и не контролируют. 2 Знак "+" означает, что твердость определяют для накопления статистических данных и фактические результаты контроля указывают в документе о качестве. 3 Контроль и нормы твердости нагартованного проката размерами менее 5,0 мм устанавливают по согласованию изготовителя с заказчиком. |
Таблица 5
Твердость проката, поставляемого
в термически обработанном состоянии
Марка стали | Твердость HB, не более |
Прокат горячекатаный, горячекатаный со специальной отделкой поверхности и горячекалиброванный | Прокат калиброванный и калиброванный со специальной отделкой поверхности |
08кп, 08пс, 08 | 115 | 131 |
10кп, 10пс, 10 | 115 | 143 |
15кп, 15пс, 15 | 125 | 149 |
20кп, 20пс, 20 | 132 | 163 |
25 | 156 | 170 |
30 | 156 | 179 |
35 | 163 | 187 |
40 | 163 | 197 |
45 | 170 | 207 |
50 | 217 | 217 |
15Х | 156 | 179 |
20Х | 163 | 179 |
30Х, 35Х | 170 | 187 |
40Х | 179 | 207 |
45Х | 179 | 229 |
38ХА | 187 | 207 |
15Г | 163 | 163 |
20Г | 179 | 187 |
20Г2 | 187 | 197 |
35Г2 | 187 | 207 |
40Г | 207 | 207 |
45Г | 229 | 229 |
40Г2 | 217 | 255 |
38ХС | 255 | 255 |
12ХН | + | + |
40ХН | 179 | 207 |
50ХН | 197 | 217 |
15ХФ | 163 | 187 |
19ХГН | + | 217 |
15ХМ | 179 | 179 |
16ХСН | 197 | + |
30ХМА | 217 | 229 |
20ХГСА | 197 | 207 |
30ХГСА | 217 | 229 |
35ХГСА | 241 | 241 |
15ХГНМ | + | 217 |
20ХГНМ | + | 217 |
38ХГНМ | + | + |
12ХН3А | 217 | 217 |
18Х2Н4МА | 269 | 269 |
25Х2Н4МА (25Х2Н4ВА) | 255 | 269 |
40ХН2МА, 30ХН2МФА | 269 | 269 |
12Г1РА (12Г1Р), 20Г1РА (20Г2Р), 30Г1РА (30Г1Р) | - | + |
20Г1Р | + | 163 |
Примечания 1 Знак "-" означает, что твердость не нормируют и не контролируют. 2 Знак "+" означает, что твердость определяют для накопления статистических данных и фактические результаты контроля указывают в документе о качестве. 3 Контроль и нормы твердости калиброванного и калиброванного со специальной отделкой поверхности проката размерами менее 5,0 мм устанавливают по согласованию изготовителя с заказчиком. |
6.4 Механические свойства горячекалиброванного проката из стали всех марок, кроме борсодержащих, в состоянии поставки согласовывают между изготовителем и заказчиком.
6.5 Механические свойства горячекатаного, горячекатаного со специальной отделкой поверхности проката из стали всех марок, кроме борсодержащих, не нормируют и не контролируют.
6.6 Механические свойства калиброванного и калиброванного со специальной отделкой поверхности проката в термически обработанном состоянии должны соответствовать указанным в таблице 6, в нагартованном состоянии, в том числе с промежуточной термической обработкой, - указанным в
таблице 7.
Таблица 6
Механические свойства калиброванного и калиброванного
со специальной отделкой поверхности проката, поставляемого
в термически обработанном состоянии
Марка стали | Временное сопротивление  , Н/мм 2, не более или в пределах | Относительное сужение  , %, не менее |
после отпуска или отжига | после сфероидизирующего отжига |
08кп, 08пс | 310 - 410 | 290 - 390 | 60 |
08 | 310 - 410 | 290 - 390 | 55 |
10кп, 10пс | 310 - 410 | 290 - 390 | 50 |
10 | 330 - 450 | 310 - 410 | 55 |
15кп, 15пс, 15 | 360 - 470 | 320 - 420 | 55 |
20кп, 20пс, 20 | 390 - 490 | 340 - 440 | 50 |
25 | 540 | 490 | 50 |
30 | 570 | 520 | 45 |
35 | 590 | 540 | 45 |
40 | 590 | + | 40 |
45 | 590 | + | 40 |
50 | + | + | + |
15Х | 550 | 340 - 440 | 60 |
20Х | 550 | 360 - 470 | 60 |
30Х, 35Х, 40Х, 45Х, 15Г, 20Г, 20Г2, 35Г2, 40Г, 45Г, 40Г2, 38ХС | + | + | + |
38ХА | 590 | 560 | 60 |
12ХН | 410 - 530 | 410 - 510 | 70 |
40ХН, 50ХН | + | + | + |
15ХФ | 540 | 490 | 55 |
19ХГН | + | 690 | + |
15ХМ | + | + | + |
16ХСН | 640 | 540 | 55 |
30ХМА, 20ХГСА | + | + | + |
30ХГСА | 690 | + | 57 |
35ХГСА | + | + | + |
15ХГНМ | + | 490 | 60 |
20ХГНМ | + | + | + |
38ХГНМ | + | 690 | 60 |
12ХН3А, 18Х2Н4МА, 25Х2Н4МА (25Х2Н4ВА) | + | + | + |
40ХН2МА | + | 640 | 50 |
30ХН2МФА | + | + | + |
Примечание - Знак "+" означает, что механические свойства определяют для накопления статистических данных и фактические результаты контроля указывают в документе о качестве. |
Таблица 7
Механические свойства калиброванного и калиброванного
со специальной отделкой поверхности проката, поставляемого
в нагартованном состоянии
Марка стали | Временное сопротивление  , Н/мм 2, не менее или в пределах | Относительное удлинение  , %, не менее | Относительное сужение  , %, не менее |
08кп, 08пс | 370 | 8 | 60 |
08, 10кп, 10пс | 370 | 8 | 55 |
10, 15кп, 15пс | 390 | 8 | 50 |
15 | 440 | 8 | 45 |
20кп, 20пс | 490 | 7 | 45 |
20 | 490 | 7 | 40 |
25 | 540 | 7 | 40 |
30 | 560 | 7 | 40 |
35 | 590 | 5 | 40 |
40, 45, 12ХН, 19ХГН | + | + | + |
15Х, 20Х | 590 | 5 | 45 |
30Х | + | + | + |
35Х, 40Х | 690 | 5 | 40 |
38ХА, 15ХФ, 40ХН | + | + | + |
20Г2 | 490 - 690 | + | + |
30ХГСА | 490 - 740 | + | + |
16ХСН, 30ХМА | 440 - 640 | + | + |
15ХГНМ | + | + | + |
Примечание - Знак "+" означает, что механические свойства определяют для накопления статистических данных и фактические результаты контроля указывают в документе о качестве. |
6.7 Механические свойства проката из борсодержащих марок стали в состоянии поставки должны соответствовать нормам, указанным в таблице 8.
Таблица 8
Механические свойства проката из борсодержащих марок стали
в состоянии поставки
Марка стали | Состояние поставки проката | Механические свойства |
Временное сопротивление  , Н/мм 2 | Относительное удлинение  , % | Относительное сужение  , % |
не более | не менее |
12Г1РА (12Г1Р) | Горячекатаный и горячекалиброванный без термической обработки | 570 | 28 | 60 |
Горячекатаный и горячекалиброванный в термически обработанном состоянии | 490 | 30 | 62 |
20Г1Р | Горячекатаный без термической обработки | 700 | 20 | 50 |
Калиброванный и калиброванный со специальной отделкой поверхности в нагартованном состоянии | 750 | 18 | 45 |
20Г1Р | Калиброванный и калиброванный со специальной отделкой поверхности, термически обработанный | 540 | 22 | 55 |
20Г1РА (20Г2Р) | Горячекатаный и горячекалиброванный без термической обработки | 620 | 25 | 55 |
20Г1РА (20Г2Р) | Горячекатаный и горячекалиброванный в термически обработанном состоянии | 560 | 28 | 60 |
30Г1РА (30Г1Р) | Горячекатаный и горячекалиброванный без термической обработки | 680 | 18 | 52 |
Горячекатаный и горячекалиброванный в термически обработанном состоянии | 580 | 20 | 55 |
6.8 Способность проката к деформируемости определяют испытанием на осадку в холодном состоянии в соответствии с таблицей 9. На осаженных образцах не должно быть трещин, надрывов.
Таблица 9
Величина деформации при испытании на холодную осадку
Группа осадки | Величина деформации при холодной осадке | Способ производства проката | Состояние поставки проката | Марка стали |
50 | До 1/2 первоначальной высоты образца | Горячекатаный | Без термической обработки | 08кп, 08пс, 08, 10пс, 10кп, 10, 15пс, 15кп, 15, 15Г, 15Х, 15ХФ, 20пс, 20кп, 20, 20Г, 20Х, 25, 30, 30Х, 35, 35Х, 38ХА, 40, 40Х, 40ХН, 45, 50 |
Калиброванный | Нагартованный | 08кп, 08пс, 08, 10пс, 10кп, 10, 12ХН, 15пс, 15кп, 15, 15Х, 20пс, 20кп, 20, 25, 30, 35 |
Горячекатаный, калиброванный | Термически обработанный | 10кп, 12ХН, 12ХН3А, 15Г, 15Х, 15ХМ, 15ХФ, 15ХГНМ, 16ХСН, 18Х2Н4МА, 19ХГН, 20кп, 20Г, 20Г2, 20Х, 20ХГСА, 25, 25Х, 25Х2Н4МА (25Х2Н4ВА) |
50 | До 1/2 первоначальной высоты образца | Горячекатаный, калиброванный | Термически обработанный | 30, 30Х, 30ХМА, 30ХГСА, 30ХН2МФА, 35, 35Г2, 35Х, 35ХГСА, 38ХА, 38ХС, 38ХГНМ, 40, 40Г, 40Г2, 40Х, 40ХН, 40ХН2МА, 45, 45Г, 45Х, 50, 50ХН |
66 | До 1/3 первоначальной высоты образца | Горячекатаный, горячекатаный со специальной отделкой поверхности | Без термической обработки | 08кп, 08пс, 08, 10пс, 10кп, 10, 12Г1РА (12Г1Р), 15пс, 15кп, 15, 15Г, 20пс, 20кп, 20, 20Г1Р, 20Г1РА (20Г2Р), 30Г1РА (30Г1Р) |
Калиброванный и калиброванный со специальной отделкой поверхности | Нагартованный | 08кп, 10кп, 10, 15кп, 15, 15Х, 20кп, 20, 20Г1Р, 25 |
Горячекатаный, горячекатаный со специальной отделкой поверхности, калиброванный, калиброванный со специальной отделкой поверхности | Термически обработанный | |
Горячекалиброванный | 12Г1РА (12Г1Р), 20Г1РА (20Г2Р), 30Г1РА (30Г1Р) |
66Т | До 1/3 первоначальной высоты термически обработанного образца с твердостью в соответствии с таблицей 5 | Горячекатаный | Без термической обработки | 12ХН, 12ХН3А, 15Х, 15ХМ, 15ХФ, 15ХГНМ, 16ХСН, 18Х2Н4МА, 19ХГН, 20, 20Г, 20Г2, 20Х, 20ХГСА, 25, 25Х2Н4МА (25Х2Н4ВА), 30, 30Х, 30ХМА, 30ХГСА, 30ХН2МФА, 35, 35Г2, 35Х, 35ХГСА, 38ХА, 38ХС, 38ХГНМ, 40, 40Г, 40Г2, 40Х, 40ХН, 40ХН2МА, 45, 45Г, 45Х, 50, 50ХН, 20Г1Р, 30Г1РА (30Г1Р) |
До 1/3 первоначальной высоты термически обработанного образца | Горячекалиброванный | Без термической обработки | 12Г1РА (12Г1Р), 20Г1РА (20Г2Р), 30Г1РА (30Г1Р) |
66И | До 1/3 первоначальной высоты термически обработанного и обточенного образца | Горячекатаный | Без термической обработки | |
75 | До 1/4 первоначальной высоты образца | Горячекатаный со специальной отделкой поверхности и калиброванный со специальной отделкой поверхности | Термически обработанный | Марки стали устанавливают по согласованию изготовителя с заказчиком |
75И | До 1/4 первоначальной высоты термически обработанного и обточенного образца | Горячекатаный | Без термической обработки и термически обработанный | Марки стали устанавливают по согласованию изготовителя с заказчиком |
Примечания 1 Прокат групп осадки 75 и 75И изготовляют по согласованию изготовителя с заказчиком. 2 При последующей отделке поверхности у заказчика испытания на деформацию при холодной осадке должны проводиться на контрольных термически обработанных и обточенных образцах. В этом случае при заказе горячекатаного проката необходимо указывать обозначения 66И и 75И. 3 Допускается поставка горячекатаного проката без термической обработки по группе осадки 75. 4 Группу осадки для горячекалиброванного проката из стали, кроме борсодержащей, согласовывают в заказе. |
6.9 На поверхности горячекатаного и горячекалиброванного проката групп качества поверхности 1ГП и 2ГП не должно быть трещин, плен, инородных включений, закатов, раскатанных пузырей и раскатанных загрязнений (кроме ограниченных максимальной глубиной залегания по таблице 10). Допускаемые дефекты на поверхности проката указаны в таблице 10.
Группу качества поверхности оговаривают в заказе.
Таблица 10
Допускаемые дефекты на поверхности проката
Группа качества поверхности | Группа осадки | Вид проката (назначение) | Допускаемые дефекты |
Наименование | Максимальная глубина залегания |
1ГП | 50 | Горячекатаный прокат для изготовления калиброванного проката | Отпечатки и рябизна | Половина суммы предельных отклонений на размер |
66, 66Т | Горячекатаный прокат для изготовления калиброванного проката, горячекатаный и горячекалиброванный прокат для изготовления изделий холодной объемной штамповкой | Отдельные риски | 1/4 суммы предельных отклонений на размер, но не более 0,10 мм для размеров до 20 мм и не более 0,20 мм - для размеров 20 мм и более |
2ГП | 66И, 75 и 75И | Горячекатаный прокат для изготовления обточенного (ободранного) проката, горячекатаного со специальной отделкой поверхности и калиброванного со специальной отделкой поверхности | Отпечатки, рябизна, риски, раскатанные пузыри и загрязнения | Сумма предельных отклонений на размер |
Примечания 1 Глубину залегания дефектов считают от фактического размера. 2 Допускается удалять дефекты сплошной обточкой. |
6.10 Качество поверхности калиброванного проката должно удовлетворять требованиям групп А, Б и В по
ГОСТ 1051.
Группу качества поверхности оговаривают в заказе.
6.11 Качество отделки поверхности горячекатаного со специальной отделкой поверхности и калиброванного со специальной отделкой поверхности проката должно удовлетворять требованиям групп А, Б, В, Г и Д по
ГОСТ 14955.
Группу качества отделки поверхности оговаривают в заказе.
6.12 Макроструктура проката из нелегированной стали при проверке на протравленных темплетах или в изломе не должна иметь остатков усадочной раковины, подусадочной рыхлоты, пузырей, расслоений, трещин, инородных и шлаковых включений и флокенов, видимых без применения увеличительных приборов. В макроструктуре проката из нелегированной кипящей стали не допускается ликвационный квадрат, выходящий на поверхность.
Макроструктура проката из легированной стали должна соответствовать требованиям
ГОСТ 4543.
6.13 Величина аустенитного зерна в прокате из легированной стали должна быть не крупнее номера 5.
6.14 Величина действительного зерна в прокате из стали марок 30, 35, 40, 45, 30Х, 38ХА, 40Х и 12ХН должна быть не крупнее номера 5. Допускается наличие отдельных зерен номера 4, если относительная площадь, занимаемая ими на шлифе, не превышает 20%.
6.15 В микроструктуре горячекатаного проката в термически обработанном состоянии, калиброванного проката в нагартованном и термически обработанном состояниях из стали марок 30, 35, 40, 45, 12ХН, 30Х, 38ХА, 40Х, 40ХН2МА, 38ХГНМ не должно быть пластинчатого перлита балла 10 по
ГОСТ 8233.
6.16 Общая глубина обезуглероженного слоя (феррит + переходная зона) в состоянии поставки горячекатаного, горячекалиброванного и калиброванного проката из стали марок с массовой долей углерода 0,30% и более по нижнему пределу в марке, приведенному в таблицах химического состава по
ГОСТ 1050,
ГОСТ 4543 и
таблице 1, не должна превышать 1,5% диаметра.
Для горячекатаного обточенного (ободранного) и горячекатаного со специальной отделкой поверхности проката, без термической обработки, обезуглероживание не допускается.
Общая глубина обезуглероженного слоя (феррит + переходная зона) термически обработанного горячекатаного со специальной отделкой поверхности и калиброванного со специальной отделкой поверхности проката не должна превышать 0,05 мм - для проката диаметром до 10 мм, 0,10 мм - для проката диаметром от 10 до 20 мм и 0,5% диаметра - для проката диаметром более 20 мм.
6.17 Общая глубина обезуглероженного слоя (феррит + переходная зона) проката из борсодержащих марок стали, не должна превышать:
- горячекатаного и горячекалиброванного не подвергнутого термической обработке, - 1,0% диаметра;
- горячекатаного и горячекалиброванного в термически обработанном состоянии, - 1,5% диаметра;
- калиброванного, - 1,5% диаметра;
- горячекатаного со специальной отделкой поверхности и калиброванного со специальной отделкой поверхности - не допускается.
6.18 Дополнительные требования к прокату, устанавливаемые по согласованию изготовителя с заказчиком, приведены в
приложении А.
В заказе дополнительные требования к прокату указывают путем ссылки на соответствующие пункты приложения А, в котором указаны требования (например,
"А.2"), или на приведенные в них условные обозначения.
6.19 Примеры условных обозначений при заказе проката приведены в
приложении Б.
7.1 Общие правила приемки проката - по
ГОСТ 7566.
7.2 Прутки и мотки принимают партиями. Партия должна состоять из прутков или мотков из стали одной плавки, одного профилеразмера, одного состояния поставки и одного режима термической обработки (при поставке проката в термически обработанном состоянии).
7.3 Каждую партию проката сопровождают документом о качестве, оформленным в соответствии с
ГОСТ 7566, со следующими дополнениями.
Для остаточных химических элементов, контролируемых периодически (не реже одного раза в квартал), в документе о качестве указывают фактическую массовую долю для плавок, подвергаемых контролю, для других плавок - слова: "В соответствии с ГОСТ 10702".
В документе о качестве для проката, принимаемого с требованиями в соответствии
6.18, дополнительно указывают результаты испытаний по заказываемым показателям.
В документ о качестве на калиброванный и калиброванный со специальной отделкой поверхности прокат результаты контроля прокаливаемости переносят из документа о качестве на горячекатаный прокат.
7.4 Для проверки качества проката от партии отбирают:
- для химического анализа - пробы по
ГОСТ 7565 <*>.
--------------------------------
<*> В Российской Федерации допускается использовать ГОСТ Р ИСО 14284-2009 "Сталь и чугун. Отбор и подготовка образцов для определения химического состава".
Контроль остаточных элементов в стали:
хрома (Cr), никеля (Ni), меди (Cu) изготовитель проводит периодически не реже одного раза в квартал. Контроль остаточных элементов хрома (Cr) и никеля (Ni) в стали, изготовляемой с применением металлического лома (скрап-процесс), изготовитель проводит на каждой плавке;
ванадия (V), молибдена (Mo), вольфрама (W) для стали марок по
таблице 1, а также для стали других марок, при условии их нормирования в
ГОСТ 1050,
ГОСТ 4543, для соответствующей марки стали изготовитель проводит периодически не реже одного раза в квартал;
- для контроля качества поверхности - все прутки и мотки;
- для контроля размеров, отклонения формы и требований к концам - 10% прутков или мотков, но не менее 5 штук;
- для контроля механических свойств, макроструктуры по излому или травлением и прокаливаемости - два прутка или мотка;
- для контроля твердости, глубины обезуглероженного слоя, микроструктуры, величины действительного зерна и испытаний на холодную осадку - три прутка или мотка;
- для определения величины аустенитного зерна - один пруток или моток;
- для контроля загрязненности стали неметаллическими включениями - два прутка или мотка.
7.5 Отбор проб для механических и технологических испытаний - по
ГОСТ 7564.
7.6 При получении неудовлетворительных результатов испытаний хотя бы по одному показателю при выборочном контроле по нему проводят повторные испытания на удвоенном количестве проб, отобранных по одному из следующих вариантов:
- от единиц проката, из числа не проходивших испытания. При получении удовлетворительных результатов повторных испытаний все единицы проката, входящие в партию, считают годными, за исключением единиц проката, не выдержавших первичные испытания;
- от единиц проката, из числа не проходивших испытания, а также от единиц проката, не выдержавших первичные испытания. При получении удовлетворительных результатов повторных испытаний все единицы проката, входящие в партию, считают годными.
7.6.1 При получении неудовлетворительных результатов повторных испытаний допускается изготовителю:
- проводить сплошной контроль по показателям выборочного контроля, по которым эти испытания не выдержаны;
- подвергать прокат повторной термической обработке (если она проводилась) и предъявлять партию к повторной приемке с определением всех нормированных характеристик.
7.6.2 При получении неудовлетворительных результатов анализа ковшовой пробы химический состав стали может быть аттестован по анализу готовой продукции. В документе о качестве в строке результатов химического анализа дополнительно указывают фразу: "В готовой продукции".
8.1 Химический состав стали определяют по ГОСТ 12344 - ГОСТ 12352, ГОСТ 12354 - ГОСТ 12357,
ГОСТ 12359, ГОСТ 12360,
ГОСТ 17745,
ГОСТ 18895, ГОСТ 22536.0 - ГОСТ 22536.5, ГОСТ 22536.7 - ГОСТ 22536.12,
ГОСТ 27809,
ГОСТ 28033,
ГОСТ 28473 <*>.
--------------------------------
<*> В Российской Федерации допускается использовать
ГОСТ Р 54153-2010 "Сталь. Метод атомно-эмиссионного спектрального анализа".
Допускается применение других методик (методов) измерений, аттестованных в установленном порядке и обеспечивающих требуемую точность измерений.
При возникновении разногласий в оценке химического состава используют стандартизованные методы анализа по вышеуказанным стандартам.
8.2 Качество поверхности проката проверяют в потоке или при приемке без применения увеличительных приборов. При необходимости проводят светление или травление поверхности. Допускается контролировать качество поверхности магнитными и другими неразрушающими методами.
Глубину залегания дефектов на поверхности проката определяют контрольной зачисткой.
Описание дефектов поверхности - в соответствии с
ГОСТ 21014.
8.3 Контроль размеров проката и отклонений формы проводят стандартизованными средствами измерений и средствами допускового контроля.
Методика измерений отклонений формы - в соответствии с
ГОСТ 26877.
8.4 Отбор проб проводят на расстоянии не менее 150 мм от конца прутка, от мотков - на расстоянии не менее 1,5 м при массе мотка до 250 кг включительно и на расстоянии не менее 3,0 м - при массе мотка свыше 250 кг.
8.5 Для контроля твердости, механических свойств, микро- и макроструктуры, для испытания на осадку, определения глубины обезуглероженного слоя и прокаливаемости от каждого контрольного прутка или мотка отбирают по одному образцу для испытаний каждого вида.
8.6 Твердость проката в состоянии поставки определяют по
ГОСТ 9012. Количество отпечатков - не менее трех.
8.7 Контроль механических свойств проводят по
ГОСТ 1497 на круглых образцах диаметром 10 мм пятикратной начальной расчетной длины. Для проката диаметром до 25 мм включительно испытание допускается проводить на натурных образцах (без механической обработки).
8.8 Оценку пластинчатого перлита проводят по
ГОСТ 8233, шкала 1. Оценку зернистого перлита проводят по согласованным эталонам.
8.9 Контроль загрязненности стали неметаллическими включениями проводят по
ГОСТ 1778.
8.10 Величину зерна определяют по
ГОСТ 5639. Метод выявления границ зерен выбирает изготовитель металлопродукции и указывает в документе о качестве.
8.11 Макроструктуру проката контролируют визуально в соответствии с
ГОСТ 10243 на протравленных темплетах или изломе или методом ультразвукового контроля по методике изготовителя.
При обнаружении флокенов хотя бы народном прутке или мотке весь прокат данной партии не принимают.
Изготовителю допускается проверять макроструктуру в промежуточной заготовке, прокатанной из плавки-ковша, и результаты контроля распространять на все виды проката, полученные из нее.
8.12 Испытание на осадку в холодном состоянии проводят:
- проката размером до 30 мм включительно - по
ГОСТ 8817;
- проката размером свыше 30 до 50 мм включительно - в соответствии с
приложением В.
8.13 Глубину обезуглероженного слоя определяют методом М по
ГОСТ 1763.
8.14 Контроль прокаливаемости при торцовой закалке проката из стали марки 20Г1Р проводит изготовитель горячекатаного проката по
ГОСТ 5657 при температуре торцевой закалки 900 °C.
Контроль прокаливаемости при объемной закалке проката из стали марок 12Г1РА (12Г1Р), 20Г1Р, 20Г1РА (20Г2Р), 30Г1РА (30Г1Р) проводят в соответствии с
приложением Г.
8.15 Контроль загрязненности стали волосовинами проводят на готовых деталях у потребителя методами в соответствии с нормативными документами, согласованными в установленном порядке.
8.16 При использовании статистических и неразрушающих методов контроля механических свойств и твердости в соответствии с
ГОСТ 30415 или другими нормативными документами, согласованными в установленном порядке, контроль механических свойств и твердости изготовителю допускается не проводить. Изготовитель гарантирует при этом соответствие выпускаемого проката требованиям настоящего стандарта.
При разногласиях в оценке качества и при периодических проверках качества проката применяют методы контроля, предусмотренные настоящим стандартом.
9. Маркировка, упаковка, транспортирование и хранение
9.1 Маркировку, упаковку, транспортирование и хранение проката проводят по
ГОСТ 7566 со следующими дополнениями.
9.2 Маркировка, упаковка, транспортирование и хранение калиброванного проката должны соответствовать требованиям
ГОСТ 1051, горячекатаного со специальной отделкой поверхности и калиброванного со специальной отделкой поверхности -
ГОСТ 14955.
Допускаются другие виды упаковки горячекатаного со специальной отделкой поверхности и калиброванного со специальной отделкой поверхности проката, обеспечивающие его защиту от коррозии.
9.3 Для калиброванного и калиброванного со специальной отделкой поверхности проката на ярлык дополнительно наносят буквы "ХВ".
9.4 Транспортирование проката проводят всеми видами транспорта в соответствии с правилами перевозки грузов, действующими на данном виде транспорта.
Масса грузового места не должна превышать при механизированной погрузке на открытые транспортные средства 10000 кг, в крытые - 2200 кг.
Средства пакетирования (увязка в связки) - по
ГОСТ 7566.
По железной дороге транспортирование осуществляют в крытых или открытых вагонах согласно
ГОСТ 22235. При транспортировании калиброванного проката в открытых вагонах или другом открытом транспортном средстве, прокат должен быть упакован.
9.5 При транспортировании по одному адресу двух и более грузовых мест, размеры которых позволяют сформировать транспортный пакет с габаритами по
ГОСТ 24597, грузовые места должны быть сформированы в транспортные пакеты по
ГОСТ 26663. Средства крепления - по
ГОСТ 21650.
10. Требования безопасности и охраны окружающей среды
Прокат пожаро- и взрывобезопасен, нетоксичен и не требует специальных мер при транспортировании, хранении и переработке.
Осуществление специальных мер по охране окружающей среды не требуется.
11. Гарантии изготовителя
Изготовитель гарантирует соответствие проката требованиям настоящего стандарта при соблюдении условий транспортирования и хранения.
(обязательное)
К ПРОКАТУ, УСТАНАВЛИВАЕМЫЕ ПО СОГЛАСОВАНИЮ
ИЗГОТОВИТЕЛЯ С ЗАКАЗЧИКОМ
А.1 Прокат из стали, подвергаемой обработке на установке вакуумирования (B).
А.2 Прокат с суженными пределами по массовой доле углерода (C) в стали с разбегом не менее 0,05%.
А.3 Прокат из стали марки 10кп с массовой долей кремния (Si) не более 0,05%.
А.4 Прокат с массовой долей серы (S) в стали не более 0,025%, 0,030% и 0,035%, фосфора (P) - не более 0,025%.
А.5 Прокат с массовой долей серы (S) в стали в пределах от 0,020% до 0,035% с допускаемыми отклонениями в готовом прокате +/- 0,005%.
А.6 Прокат с массовой долей серы (S) и фосфора (P) в стали не более 0,015% каждого.
А.7 Прокат с массовой долей остаточных хрома (Cr), никеля (Ni), меди (Cu) в стали не более 0,15%, 0,20% каждого.
А.8 Прокат из борсодержащей стали с химическим составом по
таблице 2 настоящего стандарта с массовой долей меди (Cu) 0,20% и 0,30%. Прокат из борсодержащей стали марок 12Г1РА (12Г1Р), 20Г1РА (20Г2Р), 30Г1РА (30Г1Р) с химическим составом по
таблице 2 с массовой долей меди (Cu) не более 0,15%.
А.9 Прокат из борсодержащей стали марок 12Г1РА (12Г1Р), 20Г1РА (20Г2Р), 30Г1РА (30Г1Р) с химическим составом по
таблице 2 с массовой долей алюминия (Al) - в пределах от 0,010% до 0,050% с допускаемым отклонением в готовом прокате +0,005%.
А.10 Прокат из стали марок по
таблице 1 настоящего стандарта с регламентированной массовой долей азота (N) по ковшовой пробе - не более 0,009% с допускаемым отклонением в готовом прокате +0,001%.
А.11 Прокат других, кроме указанных в
таблице 3 настоящего стандарта, квалитетов или точности прокатки.
А.12 Горячекатаный и горячекалиброванный прокат с другими, по сравнению с
таблицей 3, предельными отклонениями по диаметру, указанными в заказе (или заказной спецификации).
А.13 С установлением наружного и внутреннего диаметров мотка горячекатаного проката.
А.14 Прокат в мотках, состоящих из двух отрезков. Количество мотков, состоящих из двух отрезков, согласовывают в заказе.
А.15 С обрезкой концов мотков горячекатаного проката, предназначенного для высадки изделий на полуавтоматическом и автоматическом оборудовании.
А.16 Прутки калиброванные и калиброванные со специальной отделкой поверхности с ограниченной длиной смятия конца.
А.17 С зачисткой заусенцев, без смятия концов, с одной стороны прутка (УЗ1) или с зачисткой заусенцев с двух сторон прутка (УЗ2). Для удаления заусенцев допускается снятие фаски. Размер фаски не регламентируется.
А.18 Без заусенцев с одной стороны (БЗ1) и с двух сторон (БЗ2). Допускается удалять заусенцы снятием фаски. Размер фаски не регламентируется.
А.19 Прокат со снятием фаски на одном конце прутка (Ф1) или на двух концах прутка (Ф2).
А.20 Прокат с контролем механических свойств на термически обработанных образцах (М1). Режим термической обработки образцов и нормы механических свойств устанавливают при оформлении заказа.
А.21 Калиброванный прокат с поверхностными покрытиями (фосфатированием и др.).
А.22 Горячекатаный прокат в термически обработанном состоянии (ТО) взамен указанного в заказе проката без термической обработки.
А.23 Прокат из стали с массовой долей углерода 0,30% и более по нижнему пределу в марке, в термически обработанном состоянии - с общей глубиной обезуглероженного слоя (феррит + переходная зона):
- горячекатаный со специальной отделкой поверхности - не более 1,5% диаметра (1С);
- калиброванный со специальной отделкой поверхности - не более 1,0% диаметра (2С).
А.24 Прокат с определением глубины обезуглероженного слоя как средней величины из пяти измерений в местах наиболее значительного обезуглероживания с указанием максимальной глубины.
А.25 Прокат с определением величины действительного зерна в стали марок, не перечисленных в
6.14 (НЗ1) настоящего стандарта.
А.26 Прокат с величиной действительного зерна в борсодержащей стали в пределах номеров 6 - 9. Разнозернистость не должна превышать трех номеров (НЗ2).
А.27 Прокат с нормированным разбегом величины аустенитного зерна. Диапазон согласуется при заказе (НЗ3: 5 - 8; НЗ3: 6 - 9 и т.д.).
А.28 Прокат с нормированным разбегом величины ферритного зерна. Диапазон согласуется при заказе (НЗ4: 5 - 7; НЗ4: 5 - 8 и т.д.).
А.29 Прокат с контролем микроструктуры стали марок, не перечисленных в
6.15 (КМ) настоящего стандарта.
А.30 Прокат с нормированной чистотой стали по неметаллическим включениям (НВ1). Нормы устанавливают при оформлении заказа.
А.31 Горячекатаный и горячекалиброванный прокат из борсодержащей стали с максимальным баллом загрязненности неметаллическими включениями по сульфидам, оксидам, силикатам, нитридам не более балла 3 по
ГОСТ 1778 по каждому виду включений (НВ2).
А.32 Прокат из легированной стали с гарантией норм загрязненности стали по волосовинам, определяемым потребителем на готовых деталях. Загрязненность стали не должна превышать норм, указанных в
ГОСТ 4543 (3В).
А.33 Прокат с контролем макроструктуры по излому или травлением пяти темплетов, отобранных от разных прутков или мотков.
А.34 Прокат с нормированной величиной ликвационного квадрата в макроструктуре кипящей стали (КМС).
А.35 Горячекатаный со специальной отделкой поверхности, калиброванный и калиброванный со специальной отделкой поверхности прокат из стали марок с массовой долей углерода 0,30% и более по нижнему пределу в марке с нормированным количеством зернистого перлита в микроструктуре стали (КМ1).
А.36 Калиброванный нагартованный прокат из стали марок 30 и 35 по группе осадки (66).
А.37 Прокат из стали марки 20Г1Р с нормируемой прокаливаемостью в соответствии с таблицами А.1 (ПР1) или
А.2 (ПР2).
Таблица А.1
Нормы прокаливаемости при торцовой закалке проката
из стали марки 20Г1Р
Вид проката | Температура закалки, °C | Твердость HRC, не менее |
Горячекатаный | 880 | |
Примечание - Значение прокаливаемости  соответствует критическому диаметру прокаливаемости в масле не менее 20 мм. Критический диаметр прокаливаемости в масле приведен для справок. |
Таблица А.2
Нормы прокаливаемости при объемной закалке проката
из стали марки 20Г1Р
Вид проката | Твердость HRC, не менее, в центральной зоне контрольного образца диаметром, мм |
до 12 | 12 - 20 |
Горячекатаный, калиброванный и калиброванный со специальной отделкой поверхности | 37 | 30 |
А.38 Горячекатаный и горячекалиброванный прокат из стали марок 12Г1РА (12Г1Р), 20Г1РА (20Г2Р), 30Г1РА (30Г1Р) с нормированной прокаливаемостью по таблицам А.3 и
А.4 (ПР3).
Таблица А.3
Нормы прокаливаемости при объемной закалке проката
из стали марки 12Г1РА (12Г1Р)
Номинальный диаметр проката dн, мм | Твердость после объемной закалки в центральной зоне контрольного образца HRC, не менее |
От 12 до 16 включ. | 32 |
От 17 до 22 включ. | 28 |
От 23 до 27 включ. | 25 |
Примечание - Изготовитель гарантирует для проката диаметром от 12 до 27 мм включительно обеспечение норм по твердости у потребителя в центральной зоне не менее 22 HRC после закалки в каустик и отпуска. |
Таблица А.4
Нормы прокаливаемости проката из стали
марок 20Г1РА (20Г2Р) и 30Г1РА (30Г1Р)
Марка стали | Номинальный диаметр проката dн, мм | Твердость в центральной зоне контрольного образца HRC, не менее |
после объемной закалки | после объемной закалки и отпуска |
20Г1РА (20Г2Р) | От 12 до 30 включ. | 38 | 28 |
30Г1РА (30Г1Р) | 42 | 31 |
А.39 Прокат из стали марки 20ХГНМ с контролем прокаливаемости. Нормы и метод контроля устанавливают при оформлении заказа (ПР4).
А.40 Горячекатаный прокат, подвергнутый дробеметной очистке от окалины (ДО).
А.41 Прокат в мотках с контролем качества поверхности на двух мотках от партии.
А.42 Горячекатаный прокат без термической обработки из стали марок 08кп, 08пс, 08, 10кп, 10пс, 10, 15кп, 15пс, 15, 20кп, 20пс, 20, 15Г и нагартованный калиброванный прокат из стали марок 10, 15, 20кп, 20 и 25, заказанный по группе осадки 66 и не выдержавший испытание на осадку до 1/3, с испытанием на осадку до 1/2. Прокат в этом случае сдается по группе осадки 50.
А.43 Горячекалиброванный и горячекатаный со специальной отделкой поверхности прокат с дополнительным нанесением на ярлык букв "ХВ".
А.44 Калиброванный и калиброванный со специальной отделкой поверхности прокат без дополнительного нанесения на ярлык букв "ХВ".
(обязательное)
ПРИМЕРЫ УСЛОВНЫХ ОБОЗНАЧЕНИЙ
Б.1 Прокат горячекатаный круглый в прутках, повышенной точности прокатки (Б1), класса кривизны II, немерной длины (НД), диаметром 15,0 мм по
ГОСТ 2590-2006, из стали марки 30 с вакуумированием (В), группы качества поверхности 1ГП, группы осадки 50, без термической обработки, по ГОСТ 10702-2016:
Б.2 Прокат горячекатаный шестигранный в прутках, повышенной точности прокатки (Б1), класса кривизны II, немерной длины (НД), диаметром вписанного круга 15,0 мм по
ГОСТ 2879-2006, из стали марки 30 с вакуумированием (В), группы качества поверхности 1ГП, группы осадки 50, без термической обработки, по ГОСТ 10702-2016:
Б.3 Прокат горячекатаный, обточенный (ОБТ), круглый в прутках, повышенной точности прокатки (Б1), класса кривизны II, немерной длины (НД), диаметром 15,0 мм по
ГОСТ 2590-2006, из стали марки 20пс, группы качества поверхности 1ГП, группы осадки 66, без термической обработки, по ГОСТ 10702-2016:
Б.4 Прокат калиброванный круглый квалитета h11, в мотках (НМД), диаметром 10,0 мм по
ГОСТ 7417-75, из стали марки 10кп, группы качества поверхности Б по
ГОСТ 1051-73, группы осадки 66, нагартованный - НГ:
Б.5 Прокат горячекатаный со специальной отделкой поверхности (ГК) круглый в прутках, квалитета h12, мерной длины (МД) 2000 мм, диаметром 20,00 мм, группы качества отделки поверхности Д по
ГОСТ 14955-77, из стали марки 40ХН, с суженными пределами по массовой доле углерода C (от 0,39% до 0,44%), группы осадки 66, с нормированной общей глубиной обезуглероженного слоя (1С), термически обработанный (сфероидизирующий отжиг - ТС), по ГОСТ 10702-2016:
C (0,39% - 0,44%)
Б.6 Прокат калиброванный со специальной отделкой поверхности (КЛ) круглый в прутках, квалитета h11, мерной длины (МД) 3000 мм, диаметром 5,80 мм, группы качества поверхности В по
ГОСТ 14955-77, из стали марки 12ХН, группы осадки 66, с зачисткой заусенцев с одной стороны прутка (УЗ1), термически обработанный (отпуск или обычный отжиг - ТО), по ГОСТ 10702-2016:
Б.7 Прокат горячекалиброванный (ГКЛ) круглый в мотках (НМД), состоящих из двух отрезков, диаметром 12,0 мм, из стали марки 20Г1РА (20Г2Р), группы качества поверхности 1ГП, группы осадки 66Т, с дополнительным нанесением на ярлык букв "ХВ", без термической обработки, по ГОСТ 10702-2016:
Допускается заказчику указывать при оформлении заказа:
или
(обязательное)
ИСПЫТАНИЙ НА ХОЛОДНУЮ ОСАДКУ ПРОКАТА ДИАМЕТРОМ
СВЫШЕ 30,0 ДО 50,0 ММ ВКЛЮЧИТЕЛЬНО
Настоящая методика испытания на осадку в холодном состоянии распространяется на круглый прокат диаметром свыше 30,0 до 50,0 мм включительно, предназначенный для изготовления изделий методом холодной объемной штамповки.
Испытание состоит в осадке образца вдоль его продольной оси при статическом однократном или динамическом многократном нагружении при начальной температуре образца

с целью определения способности металла выдерживать заданную относительную степень деформации.
В.1 Отбор проб и подготовка образцов
В.1.1 Отбор проб для испытаний на осадку в холодном состоянии проводят по
ГОСТ 7564.
В.1.2 Высота образца для испытания при статическом нагружении должна быть равна двум диаметрам, при динамическом нагружении - полутора диаметрам <*>.
--------------------------------
<*> Высота образца, равная полутора диаметрам, принята, исходя из условий повышенной устойчивости образца при ударной нагрузке. Интенсивность деформации боковой поверхности при осадке образца высотой, равной 1,5d, практически не отличается от интенсивности деформации образца высотой равной 2d при одинаковой степени осадки.
Торцы образца должны быть параллельны, ось образца должна быть перпендикулярна к торцовым плоскостям.
Отклонение размера по высоте образца - по
ГОСТ 8817.
В.1.3 Состояние поверхности образцов и наличие термической обработки определяется группой осадки, указанной в заказе.
В.1.4 Для обточенных образцов глубина обточки должна составлять сумму предельных отклонений (предельных отклонений) для соответствующей точности проката (квалитета), указанной в заказе.
В.1.5 Количество образцов для испытаний - в соответствии с
7.4 и
8.5 настоящего стандарта.
В.2 Аппаратура
В.2.1 Для осадки образцов в холодном состоянии применяют универсальные испытательные машины, гидравлические прессы с усилиями, обеспечивающими достижение заданной степени деформации осадки образца при испытании <**>.
--------------------------------
<**> Для испытания проката диаметром до 42 мм с осадкой до 1/3h достаточны усилия пресса до 500 тс.
В.2.2 Допускается испытания проводить при динамическом нагружении на механических или пневматических молотах с массой падающих частей 400 кг и более.
В.2.3 С целью предотвращения перекоса образцов при испытаниях рабочие поверхности опорных плит прессов и бойков молотов должны быть плоскими и строго перпендикулярными к вертикальной оси.
В.2.4 Определение конечной высоты образцов при холодной осадке на молотах проводят с помощью контрольных шаблонов с твердостью (45 +/- 5) HRC, устанавливаемых на рабочей поверхности рядом с осаживаемым образцом.
Высота контрольных шаблонов в зависимости от заданной степени деформации (осадки) образцов указана в таблице В.1 (для образцов высотой, равной 1,5d).
Таблица В.1
В миллиметрах
Диаметр образца d | Высота образца h | Высота контрольного шаблона при осадке |
до 1/2h (X = 50%) | до 1/3h (X = 66,6%) | до 1/4h (X = 75%) |
31,0 | 46,5 | 24,0 | 16,0 | 12,0 |
32,0 | 48,0 | 24,0 | 16,0 | 12,0 |
33,0 | 49,5 | 25,0 | 17,0 | 13,0 |
34,0 | 51,0 | 26,0 | 17,0 | 13,0 |
35,0 | 52,5 | 27,0 | 18,0 | 14,0 |
36,0 | 54,0 | 27,0 | 18,0 | 14,0 |
37,0 | 55,5 | 28,0 | 19,0 | 14,0 |
38,0 | 57,0 | 29,0 | 19,0 | 15,0 |
39,0 | 58,5 | 30,0 | 20,0 | 15,0 |
40,0 | 60,0 | 30,0 | 20,0 | 15,0 |
41,0 | 61,5 | 31,0 | 21,0 | 16,0 |
42,0 | 63,0 | 32,0 | 21,0 | 16,0 |
43,0 | 64,5 | 32,0 | 22,0 | 17,0 |
44,0 | 66,0 | 33,0 | 22,0 | 17,0 |
45,0 | 67,5 | 34,0 | 23,0 | 17,0 |
46,0 | 69,0 | 34,0 | 23,0 | 18,0 |
47,0 | 70,5 | 35,0 | 23,0 | 18,0 |
48,0 | 72,0 | 36,0 | 24,0 | 18,0 |
49,0 | 73,5 | 37,0 | 24,0 | 19,0 |
50,0 | 75,0 | 37,0 | 25,0 | 19,0 |
Примечание - Значения высоты контрольных шаблонов округлены до целых чисел. Максимальная погрешность относительной деформации при таком округлении не превышает +/- 1,3%. |
В.2.5 Для обеспечения безопасности обслуживающего персонала при проведении испытаний на холодную осадку при статическом и динамическом нагружении следует применять ограждения.
Рабочие поверхности инструмента и образца должны быть сухими и чистыми от масла.
В.3 Проведение испытания
В.3.1 Холодную осадку при статическом нагружении проводят путем непрерывной осадки испытуемого образца до заданной степени деформации (осадки).
Достижение конечной высоты образца, отвечающей заданной степени деформации, определяют с помощью контрольных шаблонов или измерительным инструментом (линейкой, штангенциркулем).
В.3.2 Холодную осадку образцов при динамическом нагружении проводят путем многократных ударов падающей массой молота по верхнему торцу образца до достижения заданной степени деформации, определяемой с помощью шаблонов.
Если нет специальных указаний, то количество ударов падающей массой по образцу не ограничивают.
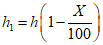
В.3.3 Конечную высоту образца h1 мм, в зависимости от заданной величины относительной деформации вычисляют по формуле

, (В.1)
где h - начальная высота образца, мм;
X - относительная деформация, %.
В.4 Определение результатов испытаний
В.4.1 Величина относительной деформации при холодной осадке назначается в соответствии с требованиями настоящего стандарта и должна составлять:
X = 50% (группа осадки 50);
X = 66,6% (группа осадки 66, 66И, 66Т);
X = 75% (группа осадки 75, 75И).
В.4.2 Образец считается выдержавшим испытание на холодную осадку, если после достижения заданной относительной степени деформации на его боковой поверхности не наблюдается возникших или раскрывшихся трещин, закатов, надрывов.
В.4.3 Осмотр поверхности осаженных образцов и запись результатов испытания проводят в соответствии с требованиями
ГОСТ 8817.
(обязательное)
ОПРЕДЕЛЕНИЯ ПРОКАЛИВАЕМОСТИ ПРИ ОБЪЕМНОЙ ЗАКАЛКЕ
ДЛЯ ПРОКАТА ИЗ БОРСОДЕРЖАЩЕЙ СТАЛИ МАРОК
12Г1РА (12Г1Р), 20Г1Р, 20Г1РА (20Г2Р), 30Г1РА (30Г1Р)
Г.1 Определение прокаливаемости для проката диаметром до 23 мм включительно проводят на натурных образцах (без механической обработки), для проката диаметром более 23 мм - на обточенных до диаметра 23 мм образцах. Длина образцов должна быть равна десяти диаметрам.
Г.2 Термическая обработка образцов
Закалка:
- нагрев до температуры 920 °C для проката из стали марки 12Г1РА (12Г1Р) и до температуры 900 °C - для проката из стали марок 20Г1Р, 20Г1РА (20Г2Р), 30Г1РА (30Г1Р);
- выдержка - 1 ч;
- охлаждение в масле температурой от 20 °C до 80 °C;
- время охлаждения - от 7 до 8 мин;
- время переноса образцов из печи до закалочного бака - не более 5 с.
Отпуск:
Нагрев до температуры не ниже 450 °C, выдержка при температуре нагрева - 50 мин (без учета времени нагрева), охлаждение на спокойном воздухе.
Г.3 Подготовка пробы и измерение твердости
Отступив от торца образца на расстояние, равное 4 диаметрам образца, вырезают две пробы (шайбы) толщиной, равной диаметру образца. Прижоги не допускаются. Торцы проб шлифуют (чистота отделки поверхности
Rz <= 40 мкм по
ГОСТ 2789).
Твердость определяют по
ГОСТ 9013. Измерение твердости проводят на четырех пробах (шайбах). Измерение твердости проводят на одной линии в трех точках, максимально приближенных к центру.
Для каждого контрольного образца значение твердости определяют как среднеарифметическое значение шести измерений для двух проб (шайб).
Измерение твердости проводят:
- после закалки;
- после закалки с отпуском.