Главная // Актуальные документы // ГОСТ (Государственный стандарт)СПРАВКА
Источник публикации
М.: ФГБУ "Институт стандартизации", 2024
Примечание к документу
Документ включен в
Перечень международных и региональных (межгосударственных) стандартов, а в случае их отсутствия - национальных (государственных) стандартов, в результате применения которых на добровольной основе обеспечивается соблюдение требований технического
регламента Таможенного союза "О безопасности низковольтного оборудования" (ТР ТС 004/2011), и
Перечень международных и региональных (межгосударственных) стандартов, а в случае их отсутствия - национальных (государственных) стандартов, содержащих правила и методы исследований (испытаний) и измерений, в том числе правила отбора образцов, необходимые для применения и исполнения требований технического
регламента Таможенного союза "О безопасности низковольтного оборудования" (ТР ТС 004/2011) и осуществления оценки соответствия объектов технического регулирования (
Решение Коллегии Евразийской экономической комиссии от 11.05.2023 N 55).
Документ был включен в
Перечень стандартов, в результате применения которых на добровольной основе обеспечивается соблюдение требований технического
регламента Таможенного союза "О безопасности низковольтного оборудования" (ТР ТС 004/2011), и
Перечень стандартов, содержащих правила и методы исследований (испытаний) и измерений, в том числе правила отбора образцов, необходимые для применения и исполнения требований технического
регламента Таможенного союза "О безопасности низковольтного оборудования" (ТР ТС 004/2011) и осуществления оценки соответствия объектов технического регулирования (
Решение Комиссии Таможенного союза от 16.08.2011 N 768).
Документ
вводится в действие с 01.01.2025 с правом досрочного применения.
Название документа
"ГОСТ IEC 62479-2013. Межгосударственный стандарт. Оценка маломощного электронного и электрического оборудования на соответствие основным ограничениям, связанным с воздействием на человека электромагнитных полей (10 МГц - 300 ГГц)"
(введен в действие Приказом Росстандарта от 24.01.2024 N 49-ст)
"ГОСТ IEC 62479-2013. Межгосударственный стандарт. Оценка маломощного электронного и электрического оборудования на соответствие основным ограничениям, связанным с воздействием на человека электромагнитных полей (10 МГц - 300 ГГц)"
(введен в действие Приказом Росстандарта от 24.01.2024 N 49-ст)
по техническому регулированию
и метрологии
от 24 января 2024 г. N 49-ст
МЕЖГОСУДАРСТВЕННЫЙ СТАНДАРТ
ОЦЕНКА МАЛОМОЩНОГО ЭЛЕКТРОННОГО И ЭЛЕКТРИЧЕСКОГО
ОБОРУДОВАНИЯ НА СООТВЕТСТВИЕ ОСНОВНЫМ ОГРАНИЧЕНИЯМ,
СВЯЗАННЫМ С ВОЗДЕЙСТВИЕМ НА ЧЕЛОВЕКА
ЭЛЕКТРОМАГНИТНЫХ ПОЛЕЙ (10 МГц - 300 ГГц)
Assessment of the compliance of low-power electronic and
electrical equipment with the basic restrictions related to
human exposure to electromagnetic fields (10 MHz to 300 GHz)
(IEC 62479:2010, IDT)
ГОСТ IEC 62479-2013
Дата введения
1 января 2025 года
с правом досрочного применения
Цели, основные принципы и основной порядок проведения работ по межгосударственной стандартизации установлены
ГОСТ 1.0 "Межгосударственная система стандартизации. Основные положения" и
ГОСТ 1.2 "Межгосударственная система стандартизации. Стандарты межгосударственные, правила и рекомендации по межгосударственной стандартизации. Правила разработки, принятия, обновления и отмены".
1 ПОДГОТОВЛЕН научно-производственным республиканским унитарным предприятием "Белорусский государственный институт стандартизации и сертификации" (БелГИСС) на основе собственного перевода на русский язык англоязычной версии стандарта, указанного в
пункте 5
2 ВНЕСЕН Государственным комитетом по стандартизации Республики Беларусь
3 ПРИНЯТ Межгосударственным советом по стандартизации, метрологии и сертификации (протокол от 7 июня 2013 г. N 43)
За принятие проголосовали:
Краткое наименование страны по МК (ИСО 3166) 004-97 | Код страны по МК (ИСО 3166) 004-97 | Сокращенное наименование национального органа по стандартизации |
Армения | AM | ЗАО "Национальный орган по стандартизации и метрологии" Республики Армения |
Беларусь | BY | Госстандарт Республики Беларусь |
Казахстан | KZ | Госстандарт Республики Казахстан |
Киргизия | KG | Кыргызстандарт |
Россия | RU | Росстандарт |
Таджикистан | TJ | Таджикстандарт |
Узбекистан | UZ | Узстандарт |
4
Приказом Федерального агентства по техническому регулированию и метрологии от 24 января 2024 г. N 49-ст межгосударственный стандарт ГОСТ IEC 62479-2013 введен в действие в качестве национального стандарта Российской Федерации с 1 января 2025 г. с правом досрочного применения
5 Настоящий стандарт идентичен международному стандарту IEC 62479:2010 "Оценка маломощного электронного и электрического оборудования на соответствие основным ограничениям, связанным с воздействием на человека электромагнитных полей (10 МГц - 300 ГГц)" ("Assessment of the compliance of low-power electronic and electrical equipment with the basic restrictions related to human exposure to electromagnetic fields (10 MHz to 300 GHz)", IDT).
Международный стандарт разработан Техническим комитетом по стандартизации IEC/TC 106 "Методы оценки электрических, магнитных и электромагнитных полей, воздействующих на человека" Международной электротехнической комиссии (IEC).
При применении настоящего стандарта рекомендуется использовать вместо ссылочных международных стандартов соответствующие им межгосударственные стандарты, сведения о которых приведены в дополнительном
приложении ДА
6 ВВЕДЕН ВПЕРВЫЕ
Информация о введении в действие (прекращении действия) настоящего стандарта и изменений к нему на территории указанных выше государств публикуется в указателях национальных стандартов, издаваемых в этих государствах, а также в сети Интернет на сайтах соответствующих национальных органов по стандартизации.
В случае пересмотра, изменения или отмены настоящего стандарта соответствующая информация будет опубликована на официальном интернет-сайте Межгосударственного совета по стандартизации, метрологии и сертификации в каталоге "Межгосударственные стандарты"
Настоящий стандарт устанавливает простые методы оценки маломощного электронного и электрического оборудования на соответствие требованиям по условиям воздействия электромагнитных полей (ЭМП). Если при применении установленных в настоящем стандарте методов для оценки ЭМП нельзя продемонстрировать соответствие такого оборудования требованиям по условиям воздействия ЭМП, в этом случае используют другие стандарты, в том числе IEC 62311 или другие стандарты на изделия, излучающие ЭМП.
В настоящем стандарте использованы нормативные ссылки на следующие стандарты [для датированных ссылок применяют только указанное издание ссылочного стандарта, для недатированных - последнее издание (включая все изменения)]:
IEC 62311:2007 <1> Assessment of electronic and electrical equipment related to human exposure restrictions for electromagnetic fields (0 Hz - 300 GHz) (Оценка электронного и электрического оборудования в отношении ограничений воздействия на человека электромагнитных полей (0 Гц - 300 ГГц)
--------------------------------
<1> Заменен на IEC 62311:2019. Однако для однозначного соблюдения требования настоящего стандарта, выраженного в датированной ссылке, рекомендуется использовать только указанное в этой ссылке издание.
В настоящем стандарте применены следующие термины с соответствующими определениями:
3.1 действительная мощность антенны (available antenna power): Максимальная мощность, усредненная по временному интервалу, равному времени усреднения, подаваемая к антенному фидеру, которая теоретически может вырабатываться источником с положительной вещественной частью импеданса, согласованного с импедансом последовательно соединенной нагрузки, когда импеданс нагрузки варьируется в широком диапазоне.
Примечание 1 - Действительная мощность антенны достигается, когда активное сопротивление нагрузки равно активному сопротивлению источника, а их реактивные сопротивления равны по абсолютному значению, но имеют противоположные знаки. Однако возможен и другой вариант, например, когда с помощью усилителя мощности (PA) контролируют ток, а не фактическую мощность, при этом изменение входного сопротивления антенны (когда испытуемый прибор (DUT) функционирует вблизи тела человека) может в действительности вызвать более высокую выходную мощность, чем согласованная нагрузка. В этом случае следует проводить анализ двухтактного усилителя мощности с различными реальными нагрузками.
Примечание 2 - В некоторых случаях такие условия, как перегрев или перенапряжение, могут препятствовать достижению действительной мощности антенны.
Примечание 3 - Усреднение по времени следует выполнять в процессе непрерывной передачи или передачи во время цикла максимальной нагрузки на максимальной мощности в пределах возможностей техники.
Примечание 4 - Терминологическая статья приведена в измененной редакции по сравнению с
[11] <1> (терминологическая статья 702-07-10).
--------------------------------
<1> Цифры, указанные в квадратных скобках, относятся к ссылочным документам, указанным в
библиографии.
Примечание 5 - Термин "антенный фидер" и его определение установлены в
[12] (терминологическая статья 712-06-01).
3.2 средняя общая излучаемая мощность (average total radiated power): Усредненная по времени общая излучаемая мощность в течение временного интервала, равного времени усреднения. В этом случае усреднение по времени выполняют в процессе непрерывной передачи или передачи во время цикла максимальной нагрузки на максимальной мощности в пределах возможностей техники.
Примечание - Присутствие пользователя в ближнем (реактивном) поле антенны может привести к изменению общей излучаемой мощности вследствие изменения импеданса антенны. В этом случае за среднюю общую излучаемую мощность принимается максимально возможная мощность в присутствии пользователя.
3.3 время усреднения tavg (averaging time): Установленное время, в течение которого усредняют воздействие для определения его соответствия предельно допустимому уровню.
3.4 основное ограничение (basic restriction): Обусловленное(ые) ограничение(я) воздействия изменяющихся во времени электрических, магнитных и электромагнитных полей, которые оказывают непосредственное влияние на здоровье человека.
Примечание - В зависимости от частоты поля для определения основных ограничений применяют такие физические величины, как плотность тока, удельная поглощенная мощность излучения (SAR) и плотность мощности.
3.5 оценка соответствия (conformity assessment): Доказательство того, что установленные требования к продукции, процессу, системе, лицу или органу выполнены.
Примечание - Область оценки соответствия включает такие виды деятельности, как испытание, контроль и сертификация, а также аккредитация органов по оценке соответствия.
[
[14], терминологическая статья 2.1, в измененной редакции]
3.6 оборудование информационных технологий; ITE (information technology equipment; ITE): Любое оборудование, основной функцией (или сочетанием функций) которого является ввод, хранение, отображение, вывод, передача, обработка, коммутация или контроль данных и сообщений электросвязи, с одним или несколькими портами терминала, в общем случае используемыми для передачи информации.
Пример - Типичными представителями ITE являются оборудование для обработки данных, оргтехника, электронное производственное оборудование и телекоммуникационное оборудование.
3.7 маломощное оборудование (low-power equipment): Оборудование, в котором действительная мощность антенны и/или средняя общая излучаемая мощность меньше или равны недопустимому уровню сигнала малой мощности.
3.8 недопустимый уровень сигнала малой мощности Pmax (low-power exclusion level): Установленное значение выходной мощности устройства, которое может зависеть также от значений других переменных (таких как частота и расстояние от источника излучения до людей), при котором уровень воздействия источника не превысит конкретное основное ограничение. Если выходная мощность устройства меньше Pmax, тогда считают, что устройство соответствует основным ограничениям.
3.9 мультимедийное оборудование; MME (multimedia equipment; MME): Оборудование, которое имеет функцию оборудования информационных технологий (ITE), аудио-, видео- или вещательного/приемного оборудования, обмена информацией и/или передачи данных с пользователем изделия или сочетание данных функций.
[
[9], терминологическая статья 3.1.23]
3.10 пиковая излучаемая мощность (peak radiated power): Максимальная мгновенная излучаемая мощность.
3.11 плотность мощности (power density): Мощность электромагнитной волны, проходящей через элемент поверхности, расположенной перпендикулярно направлению распространения волны, деленная на площадь этого элемента.
[
[13], терминологическая статья 705-02-03, плотность потока мощности]
Примечание - Плотность мощности выражается в ваттах на квадратный метр.
3.12 частота повторения (следования) импульсов; PRF (pulse repetition frequency; PRF): Количество импульсов, переданных за единицу времени.
3.13 удельная поглощенная энергия; SA (specific absorption; SA): Энергия, поглощаемая (рассеиваемая) веществом, находящимся в элементарном объеме биологической ткани, при воздействии электромагнитного поля радиочастотного диапазона.
Примечание - Удельная поглощенная энергия выражается в джоулях на килограмм.
3.14 удельная поглощенная мощность излучения; SAR (specific absorption rate; SAR): Мощность, поглощаемая (рассеиваемая) веществом, находящимся в элементарном объеме биологической ткани, при воздействии электромагнитного поля радиочастотного диапазона.
Примечание - SAR выражается в ваттах на килограмм.
3.15 общая излучаемая мощность (total radiated power): Суммарная мощность излучаемых оборудованием электромагнитных полей при отсутствии каких-либо расположенных вблизи объектов (например, человеческое тело).
Примечание - Для передающих устройств, в которых используется антенна, общая излучаемая мощность зависит от коэффициента усиления антенны.
3.16 источник случайных (непреднамеренных) помех (unintentional radiator; non-intentional radiator): Электрическое или электронное оборудование, которое излучает электромагнитную энергию волн радиочастотного диапазона (RF), несмотря на то, что излучение не является его функцией (рекомендуемой или требуемой).
Пример - Примерами источников непреднамеренных помех являются все типы ITE без функции радиопередачи с помощью антенны и/или по беспроводному каналу.
4 Методы оценки соответствия
Соответствие электромагнитного излучения от электронного и электрического оборудования основным ограничениям определяют посредством измерений и, в некоторых случаях, вычисления уровня воздействия. Если электрическая мощность, потребляемая или излучаемая оборудованием, достаточно низкая, то уровень воздействия излучаемых электромагнитных полей не превысит основные ограничения. Настоящий стандарт устанавливает простые методы оценки ЭМП для такого маломощного оборудования.
Может применяться любая подходящая процедура оценки соответствия, которая отвечает современному техническому уровню, является воспроизводимой и дает обоснованные результаты.
Передающие устройства, предназначенные для использования в составе оборудования с несколькими антеннами, поставляемыми по дополнительному заказу, оценивают вместе с антенной(ами), которая(ые) генерирует(ют) колебания с максимальной действительной мощностью антенны и/или средней общей излучаемой мощностью.
Для демонстрации соответствия настоящему стандарту могут применяться четыре маршрута оценки, изображенные на
рисунке 1 и описанные ниже.
Рисунок 1 - Маршруты для демонстрации соответствия
требованиям по недопустимому уровню сигнала малой мощности
A. Обычное использование, установка и физические характеристики оборудования по своей сути обуславливают его соответствие в части уровней воздействия ЭМП (например, уровней, включенных в библиографический список). Такое маломощное оборудование содержит источники случайных (непреднамеренных) помех (например, лампы накаливания и аудио-/видеооборудование, ITE и MME, которое не содержит радиопередающих устройств).
Примечание - Оборудование можно рассматривать как аудио-/видеооборудование, ITE или MME, если оно в основном используется для записи/воспроизведения музыки, речи или изображений или для обработки цифровой информации.
B. Уровень входной мощности электрических или электронных элементов, которые могут излучать электромагнитную энергию в соответствующем диапазоне частот, настолько низкий, что действительная мощность антенны и/или средняя общая излучаемая мощность не могут превысить недопустимый уровень сигнала малой мощности, описанный в
4.2.
C. В стандартах на передающие устройства установлены уровень действительной мощности антенны и/или средняя общая излучаемая мощность ниже недопустимого уровня сигнала малой мощности, описанного в
4.2.
D. Измерения или расчеты показывают, что действительная мощность антенны и/или средняя общая излучаемая мощность ниже недопустимого уровня сигнала малой мощности, описанного в
4.2.
Если нельзя использовать ни один маршрут, то считают, что оборудование не входит в область применения настоящего стандарта, и оценка ЭМП в целях оценки соответствия должна проводиться по другим стандартам, например по IEC 62311 или другим стандартам на изделия, излучающие ЭМП.
4.2 Недопустимый уровень сигнала малой мощности Pmax
Маломощное электронное и электрическое оборудование считают соответствующим требованиям настоящего стандарта, если можно продемонстрировать, применяя маршруты B, C или D, что действительная мощность антенны и/или средняя общая излучаемая мощность меньше или равны соответствующему недопустимому уровню сигнала малой мощности Pmax.
Приложение A содержит примеры значений
Pmax, полученные на основании существующих предельно допустимых уровней воздействия, включенных в библиографический список, например
[1],
[2] и
[3].
Для беспроводных устройств, работающих вблизи тела человека, у которых действительная мощность антенны и/или средняя общая излучаемая мощность больше указанных в
приложении A значений
Pmax, могут также быть применены альтернативные значения
Pmax (обозначаемые
P'max), описанные в
приложении B.
Примечание - Для того чтобы применить альтернативные значения
Pmax (
P'max), необходимо, чтобы оцениваемое устройство соответствовало области применения
P'max, описанной в
приложении B. Если
P'max согласно
приложению B нельзя применить к конкретному изделию, следует использовать примеры значений
Pmax для соответствующих предельно допустимых уровней воздействия, описанных в
приложении A.
Для маломощного оборудования, в котором используются импульсные сигналы, в дополнение к рассмотренным в
приложениях A и
B ограничениям могут быть установлены другие ограничения. Руководство Института инженеров по электротехнике и электронике (ICNIRP)
([1]) и стандарты Международной комиссии по защите от неионизирующих излучений (IEEE) (
[2] и
[3]) содержат конкретные ограничения в отношении воздействия импульсных полей, и требования указанных стандартов в отношении воздействия импульсов должны быть выполнены. Данная тема более подробно рассматривается в
приложении C.
4.3 Воздействие многоканальных передающих источников
Если испытуемое оборудование (EUT) оснащено несколькими источниками преднамеренных помех, то для общей оценки соответствия может быть недостаточно только оценки соответствия каждого источника в отдельности. В процессе оценки соответствия следует учитывать результат воздействия всех источников преднамеренных помех.
В
[8] представлено общее руководство по оценке ЭМП, генерируемых несколькими источниками преднамеренных помех.
Должны быть зафиксированы способы и обоснование определения соответствия требованиям по недопустимому уровню сигнала малой мощности, как и вся информация, необходимая для выполнения повторных оценок, испытаний, расчетов или измерений, которые дают результаты в пределах требуемой точности и неопределенности.
Дополнительные рекомендации по протоколу оценки установлены в ISO/IEC 17025:2005 (подраздел 5.10).
Приложение D служит примером того, что должны содержать протоколы оценки ЭМП, составленные согласно ISO/IEC 17025.
5.2 Информация, относящаяся к оборудованию
Должна быть зафиксирована соответствующая информация о настройке средств управления и об использовании оборудования по назначению. Кроме того, в протокол оценки должно быть включено следующее:
- описание оборудования, в том числе обозначение типа, серийный номер и т.д.;
- инструкции, необходимые для правильной эксплуатации оборудования потребителем, при которой воздействия будут соответствовать основным ограничениям;
- условия гарантии того, что оборудование не может быть изменено так, что его мощность будет превышать недопустимый уровень сигнала малой мощности.
6 Использование неопределенности измерений при оценивании соответствия предельным значениям
Оборудование считают соответствующим требованиям настоящего стандарта, если результаты оценки меньше или равны предельному значению и если рассчитанная неопределенность результатов оценки меньше максимальной неопределенности измерений, установленной для применяемого(ых) метода(ов) оценки. Это означает, что для каждого используемого маршрута оценки, представленного на
рисунке 1, должны выполняться независимые расчеты неопределенности в установленном порядке. Неопределенность метода оценки определяют путем расчета расширенной неопределенности с использованием доверительного интервала в 95% (коэффициент охвата
k = 1,96).
Примечание 1 - Неопределенность методов оценки ЭМП в основном указывают в процентах. Если неопределенность указана в нелинейных единицах, например в децибелах, то данные единицы величины должны быть сначала преобразованы в проценты.
Примечание 2 - Руководство по выражению неопределенности установлено в ISO/IEC Guide 98-3:2008 "Руководство по выражению неопределенности измерений", часто обозначаемое GUM
([10]).
Как правило, относительную (расширенную) неопределенность принимают равной 30%, и это значение используют для некоторых методов оценки ЭМП. Поэтому в настоящем общем стандарте это значение относительной неопределенности используется в качестве максимального значения по умолчанию. Значения неопределенности, установленные для каждого метода оценки ЭМП, являются максимально допустимыми значениями неопределенности. Если значение неопределенности не установлено, тогда используют стандартное значение, равное 30%.
Если относительная неопределенность меньше 30%, тогда измеренное значение Lm сравнивают непосредственно с соответствующим предельным значением Llim для оценивания соответствия.
Если вычисленная неопределенность больше 30%, тогда ее учитывают при оценивании соответствия предельному значению, как изложено ниже (т.е. путем прибавления вычисленного значения к измеренному или вычисленному результату).
Формулу (1) используют для определения того, соответствует ли измеренное значение
Lm "уменьшенному" предельному значению, если действительная неопределенность измерения применимого метода оценки составляет 30% или больше. Если вычисленная неопределенность оценки больше заданного максимально допустимого значения неопределенности для конкретного метода и если она больше максимального стандартного значения неопределенности, равного 30%, тогда перед сравнением с предельным значением результат оценки корректируют, прибавляя к нему поправочное значение.
И наоборот, можно уменьшить соответствующее предельное значение
Llim на такое же поправочное значение и затем сравнить его с фактическим измеренным значением
Lm. В правой части
формулы (1) показано, как уменьшается предельное значение
Llim, если рассчитанная неопределенность больше 30%.

, (1)
где Lm - измеренное значение;
Llim - предельно допустимый уровень воздействия;
U(Lm) - абсолютное значение расширенной неопределенности.
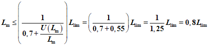
Пример - Пусть относительная неопределенность конкретного метода оценки ЭМП составляет 55%. Тогда
.
По формуле (1) вычислим критерий принятия измеренного значения:
.
Тогда поправочное значение неопределенности (значение, на которое уменьшают предельное значение) равно:
Upen = Llim - 0,8·Llim = 0,2·Llim.
(справочное)
РАСЧЕТ НЕДОПУСТИМОГО УРОВНЯ СИГНАЛА МАЛОЙ МОЩНОСТИ
ПО ПРЕДЕЛЬНО ДОПУСТИМЫМ УРОВНЯМ ВОЗДЕЙСТВИЯ,
УКАЗАННЫМ В ДОКУМЕНТАХ ICNIRP И IEEE
A.1 Введение
В настоящем приложении значения
Pmax (см.
4.2) вычисляют по предельно допустимым уровням воздействия ЭМП, перечисленным в
[1],
[2] и
[3] <1>.
--------------------------------
<1> Цифры, указанные в квадратных скобках, относятся к ссылочным документам, указанным в
библиографии.
Примечание - Наиболее поздняя редакция
[3] имеет преимущество перед предыдущей редакцией
[2], если иное не предусмотрено законодательством или соответствующими стандартами.
A.2 Недопустимый уровень сигнала малой мощности Pmax с учетом удельной поглощенной мощности излучения
Если для оценки основного ограничения применяют параметр SAR, то за установившееся минимальное значение Pmax принимают значение, равное заданному предельному значению SAR SARmax, умноженному на массу усреднения m:
Примеры значений
Pmax, рассчитанных по
формуле (A.1), приведены в
таблице A.1 для случаев, описанных в
[1],
[2] и
[3], устанавливающих предельные значения SAR. Другие рекомендации или стандарты по воздействиям могут применяться в зависимости от национального законодательства.
Таблица A.1
Примеры значений
Pmax с учетом SAR для некоторых случаев,
описанных в руководстве ICNIRP и стандартах
IEEE Std C95.11999 и IEEE Std C95.12005
Обозначение руководства или стандарта | Предельное значение SAR SARmax, Вт/кг | Масса усреднения m, г | Pmax, мВт | | |
| 2 | 10 | 20 | Население | Голова и туловище |
4 | 10 | 40 | Население | Конечности |
10 | 10 | 100 | Рабочее место | Голова и туловище |
20 | 10 | 200 | Рабочее место | Конечности |
| 1,6 | 1 | 1,6 | Неконтролируемая среда | Голова, туловище, руки, ноги |
4 | 10 | 40 | Неконтролируемая среда | Кисти рук, запястья, стопы и лодыжки |
8 | 1 | 8 | Регулируемая среда | Голова, туловище, руки, ноги |
20 | 10 | 200 | Регулируемая среда | Кисти рук, запястья, стопы и лодыжки |
| 2 | 10 | 20 | Аварийный уровень | Тело, кроме конечностей и ушей |
4 | 10 | 40 | Аварийный уровень | Конечности и уши |
10 | 10 | 100 | Регулируемая среда | Тело, кроме конечностей и ушей |
20 | 10 | 200 | Регулируемая среда | Конечности и уши |
<a> Подробная информация и определения терминов приведены в соответствующем стандарте. |
A.3 Pmax с учетом плотности мощности
Когда для оценки основного ограничения применяют такой параметр, как плотность мощности, то за установленное минимальное значение Pmax принимают значение, равное заданному предельному значению плотности мощности S, умноженному на площадь усреднения a:
Например, в
[1] установлены предельные значения плотности мощности 10 Вт/м
2 и 50 Вт/м
2 в диапазоне частот от 10 до 300 ГГц при уровне воздействия на население и на рабочем месте соответственно. Площадь усреднения, установленная в
[1], равна 20 см
2 для обоих случаев. Поэтому согласно
формуле (A.2) установленные значения
Pmax получаются равными 20 мВт и 100 мВт при уровне воздействия на население и на рабочем месте соответственно. Другие рекомендации или стандарты по воздействиям могут применяться в зависимости от национального законодательства.
A.4 Время усреднения для Pmax
Время усреднения и применяемое предельное значение Pmax заимствуют из соответствующего руководства или стандарта.
(справочное)
РАСЧЕТ АЛЬТЕРНАТИВНЫХ ЗНАЧЕНИЙ НЕДОПУСТИМОГО УРОВНЯ
СИГНАЛА МАЛОЙ МОЩНОСТИ ДЛЯ БЕСПРОВОДНЫХ УСТРОЙСТВ,
ИСПОЛЬЗУЕМЫХ ВБЛИЗИ ТЕЛА ЧЕЛОВЕКА
Для беспроводных устройств, работающих вблизи тела человека, значения выходной мощности у которых больше значений недопустимого уровня сигнала малой мощности
Pmax, указанных в
приложении A, могут применяться описанные в данном
приложении альтернативные значения
P'max. Другие процедуры или требования могут применяться в зависимости от национального законодательства. Пороговые значения по
приложению B могут быть исключены из любой оценки ЭМП определенного устройства, однако они могут быть полезны для сокращения числа режимов и конфигураций, подвергаемых оценке.
В настоящем приложении приведены формулы для определения значений
P'max в диапазоне частот от 300 МГц до 6 ГГц для устройств, располагаемых на расстоянии 25 мм от тела человека. Алгоритм является общеприменимым для многих распространенных беспроводных передающих устройств, таких как сотовые телефоны (GSM, CDMA, PCS и т.д.) <1>, наземные подвижные радиостанции, устройства беспроводной локальной сети (WLAN). Было подтверждено, что формулы применяются для различных видов антенн (обычно используемых с портативными беспроводными устройствами), таких как диполи, монополи, планарные инвертированные антенны Fформы (PIFAs), антенны инвертированные Fформы (IFAs). Однако формулы нельзя применять для беспроводных устройств с антеннами, которые имеют коэффициент направленного действия, который значительно больше коэффициента направленного действия полуволновой дипольной антенны (т.е. 2,1 дБи). Следующее описание основано на вычислениях, приведенных в
[4] и
[5] с подробной информацией.
--------------------------------
<1> GSM - глобальная система мобильной связи; CDMA - множественный доступ с кодовым разделением; PCS - служба персональной связи.
Примечание - Точный диапазон значений коэффициента направленного действия антенны, для которого применима формула, зависит от частоты сигнала и расстояния и является предметом дальнейшей работы. В
[5] проанализирована двумерная микрополосковая антенна с коэффициентом направленного действия, равным 6 дБи. С помощью формулы для определения установленного значения
P'max нельзя исследовать самую высокую частоту 6 ГГц и расстояние 20 мм. Однако было установлено, что формула применяется для более низких частот (2,45 и 3,7 ГГц) и короткого расстояния (10 мм). Кроме того, оказалось, что формула также применяется для всех частот и расстояний, если коэффициент направленного действия анализируемой антенны составляет примерно 2 дБи. Дополнительная информация приведена в
[5].
Недавние исследования, проведенные авторами
[4] и
[5], показывают, что значения недопустимого уровня сигнала малой мощности с учетом SAR, установленные в
приложении A (
Pmax), являются заниженными.
Формула (A.1) в приложении A показывает, что устройство соответствует основному ограничению
SARmax, если действительная мощность антенны и/или средняя общая излучаемая мощность меньше или равны
Pmax =
SARmax·
m, где
m - соответствующая масса усреднения. По определению мощность
P, поглощенную массой
m при уровне SAR, равном
SARmax, определяют как
P =
SARmax·
m. Поэтому, согласно
формуле (A.1), допускается, что
P =
Pmax (т.е. вся мощность, излучаемая устройством, поглощается массой усреднения
m). Однако в действительности не вся мощность поглощается телом человека и не вся поглощенная мощность сосредоточивается в массе усреднения (т.е. 1 г или 10 г в
приложении A).
На основе систематического изучения классических дипольных антенн разной длины и располагаемых на разном расстоянии от плоской модели тела человека была разработана простая формула для вычисления альтернативных более высоких значений недопустимого уровня сигнала малой мощности P'max:
Pmax = exp [
A·
s +
B·
s2 +
C·ln(
BW) +
D], (B.1)
где s - самое короткое расстояние в пространстве между беспроводным устройством и телом пользователя;
BW - ширина полосы частот антенны в свободном пространстве;
A, B, C и D - полиномы частоты третьего порядка.
Ширина полосы частот антенны соответствует |
S11| <= -7 дБ и является обратной величиной коэффициенту качества излучения, который определяют как отношение накопленной энергии к излучаемой энергии антенной. В
формуле (B.1) s выражают в миллиметрах,
BW - в процентах (например, в
формулу подставляют значение 10, если ширина полосы частот составляет 10%). Параметры
A,
B,
C и
D, зависимые от частоты, находят по следующим формулам, в которых
f - это частота, ГГц.
Если предельное значение SAR соответствует значению
SARmax = 2 Вт/кг, усредненному по массе
m = 10 г, как установлено в
[1] и
[3], то для вычисления результата по
формуле (B.1) используют
формулы (B.2) -
(B.5):
A = (-0,4588·
f3 + 4,407·
f2 - 6,112·
f + 2,497)/100; (B.2)
B = (0,1160·f3 - 1,402·f2 + 3,504·f - 0,4367)/1000; (B.3)
C = (-0,1333·f3 + 11,89·f2 - 110,8·f + 301,4)/1000; (B.4)
D = -0,03540·
f3 + 0,5023·
f2 - 2,297·
f + 6,104. (B.5)
Если с другими значениями SARmax используют массу усреднения m = 10 г, то окончательный результат получают при умножении P'max на величину, равную SARmax/2, Вт/кг.
Если предельное значение SAR соответствует значению
SARmax = 1,6 Вт/кг, усредненному по массе
m = 1 г, как установлено в
[2] для неконтролируемой среды, то для вычисления результата по
формуле (B.1) используют
формулы (B.6) -
(B.9):
A = (-0,4922·
f3 + 4,831·
f2 - 6,620·
f + 8,312)/100; (B.6)
B = (0,1191·f3 - 1,470·f2 + 3,656·f - 1,697)/1000; (B.7)
C = (-0,4228·f3 + 13,24·f2 - 108,1·f + 339,4)/1000; (B.8)
D = -0,02440·
f3 + 0,4075·
f2 - 2,330·
f + 4,730. (B.9)
Если предельное значение SARmax = 8 Вт/кг для регулируемой среды, то окончательный результат получают при умножении P'max на коэффициент, равный 5.
В
таблице B.1 приведены значения
P'max, рассчитанные по
формулам (B.1) -
(B.9) для стандартных частот рабочего диапазона, используемого в портативных беспроводных устройствах. Значения
P'max были рассчитаны при
s, равном как 5 мм, так и 52 мм, с условием, что значение минус 7 дБ ширины полосы частот антенны в свободном пространстве соответствует рабочему диапазону частот системы связи.
Таблица B.1
Некоторые стандартные полосы частот портативных беспроводных
устройств и соответствующие недопустимые уровни сигнала
f, ГГц | BW, % | Пример радиоинтерфейса | P'max, мВт |
s = 5 мм | s = 25 мм |
m = 1 г | m = 10 г | m = 1 г | m = 10 г |
0,393 | 3,8 | TETRA | 97 | 292 | 265 | 526 |
0,42 | 4,8 | TETRA | 98 | 293 | 274 | 541 |
0,461 | 3,3 | GSM | 80 | 244 | 233 | 468 |
0,485 | 14,4 | APCO | 117 | 337 | 347 | 660 |
0,838 | 7,6 | iDEN | 48 | 148 | 198 | 399 |
0,859 | 8,1 | IS136 | 47 | 145 | 198 | 398 |
0,884 | 16,7 | PDC | 54 | 162 | 233 | 456 |
0,896 | 5,7 | TETRA | 40 | 127 | 176 | 360 |
0,918 | 4,8 | iDEN | 37 | 118 | 165 | 342 |
0,925 | 7,6 | GSM | 41 | 129 | 185 | 375 |
1,465 | 4,9 | PDC | 17 | 60 | 128 | 281 |
1,795 | 9,5 | GSM | 13 | 50 | 139 | 308 |
1,92 | 7,3 | GSM | 11 | 44 | 132 | 302 |
2,045 | 12,2 | UMTS | 11 | 44 | 146 | 330 |
2,35 | 4,3 | WiBro | 7,9 | 34 | 130 | 323 |
2,442 | 3,4 | 802.11b | 7,3 | 32 | 130 | 328 |
3,55 | 14,1 | WiMAX | 6,7 | 37 | 244 | 657 |
5,25 | 3,8 | WiMAX | 6,8 | 53 | 258 | 845 |
5,788 | 1,3 | WiMAX | 6,2 | 52 | 164 | 564 |
Значения, приведенные в
таблице B.1, могут применяться для получения представления о том, каково ожидаемое значение недопустимого уровня сигнала малой мощности в заданном рабочем диапазоне частот. Например, средняя общая излучаемая мощность сигнала сотового телефона стандарта GSM обычно меньше или равна 125 мВт в середине полосы пропускания на частоте 1795 МГц (включая полосу приема). В
таблице B.1 показано, что если значение минус 7 дБ ширины полосы частот антенны перекрывает по крайней мере 9,5% рабочего диапазона частот системы связи, то антенну, при ее расположении в 5 мм от тела человека, обязательно подвергают испытанию с учетом SAR, но можно не подвергать данному испытанию, если расстояние от тела человека больше 25 мм (например, когда антенна находится во вспомогательном удерживающем приспособлении толщиной 25 мм).
Таблица B.1 может служить только как справочная. Необходимо всегда использовать точные значения
s,
BW,
f, которые применимы к конкретному исследуемому портативному устройству беспроводной связи. Следует отметить, что указание особых частоты, режима работы и технологии не является основанием для того, чтобы требования по оценке ЭМП для таких типов устройств были подобраны или проигнорированы.
(справочное)
УСЛОВИЯ СООТВЕТСТВИЯ ПРИ НАЛИЧИИ ИМПУЛЬСНОГО ПОЛЯ
Руководство Института инженеров по электротехнике и электронике (ICNIRP) и стандарты Международной комиссии по защите от неионизирующих излучений (IEEE) содержат конкретные ограничения воздействия импульсных полей. Приведенный ниже пример взят из
[1] ввиду более простого метода расчета. Если потребуется сравнить с предельно допустимыми уровнями воздействия, указанными в
[2] или
[3], то необходимо выполнять требования данных стандартов в части воздействия импульсов.
В руководстве ICNIRP основное ограничение оценивают по параметру
SAR с усреднением по времени, равному 6 мин; в результате при воздействии на население в целом значение составляет
SARavg = 2 Вт/кг для 10 г ткани в области головы и туловища (см. приложение A,
таблица A.1). Для непрерывных импульсных сигналов с длительностью меньше 30 мкс и частотой от 300 МГц до 10 ГГц необходимо также учитывать ограничение для удельной поглощенной энергии
SA, значение которой составляет 2 мДж/кг для 10 г ткани в области головы.
Пусть
SAR, усредненная по длительности импульса, имеет обозначение
SARpulse, длительность импульса -

; период повторения
t = 1/PRF. Тогда, зная значение для одного импульса, с учетом периода повторения получают:

. (C.1)
Так как

, (C.2)
1/t = PRF, (C.3)
Если значения ограничений, указанных в ICNIRP для
SAR с шестиминутным усреднением при воздействии на голову и туловище и для
SA, подставить в
формулу (C.4), можно заметить, что если при частоте повторения импульсов больше 1000 Гц выполняется требование по ограничению
SAR, то будет обеспечено соответствие требованию по ограничению
SA. Если частота повторения импульсов меньше 1000 Гц, необходимо, чтобы соответствие требованию по ограничению
SA было доказано отдельно.
(справочное)
ТЕМАТИЧЕСКИЙ РАЗДЕЛ ИЗ ISO/IEC 17025,
ИСПОЛЬЗУЕМЫЙ ДЛЯ ПРОТОКОЛОВ ОЦЕНКИ ЭМП
Нижеприведенные данные должны быть рассмотрены при подготовке протокола оценки ЭМП. Данные взяты из ISO/IEC 17025:2005 (пункты 5.10.2 и 5.10.3) и переделаны применительно к протоколу оценки ЭМП. Информация служит руководством и, следовательно, является справочной.
Каждый протокол оценки должен содержать по крайней мере следующие данные, за исключением случаев, когда лаборатория имеет уважительные причины, чтобы не выполнять это:
a) заголовок (например, "Протокол оценки электромагнитного поля");
b) наименование и адрес лаборатории, адрес места проведения оценок и/или калибровок, если он отличается от адреса лаборатории;
c) уникальную идентификацию протокола оценки (например, регистрационный номер), приведенную на каждом его листе для признания каждого листа как неотъемлемой части протокола оценки, и четкое обозначение конца протокола оценки;
d) наименование и адрес заказчика;
e) обозначение примененного метода или стандарта;
f) наименование, условия соответствия и однозначную идентификацию объекта(ов) оценки;
g) результаты оценки и, где необходимо, единицы измерения;
h) фамилию(и) и инициалы, должность(и) и подпись(и) или равнозначное обозначение лица (лиц), которые утверждают протокол оценки;
i) если применимо, заключение о том, что результаты относятся только к оцененным объектам.
Примечание 1 - Бумажные копии протоколов оценок должны также иметь нумерацию и общее количество страниц.
Примечание 2 - Рекомендуется, чтобы лаборатории включали в протокол формулировку о том, что он не может быть полностью воспроизведен без письменного разрешения лаборатории.
В дополнение к перечисленным требованиям протоколы оценок, если это необходимо для интерпретации результатов оценок, должны содержать:
j) отступления, дополнения или исключения, относящиеся к методу испытаний, а также информацию о специальных условиях испытания, таких как условия окружающей среды;
k) в соответствующих случаях - заключение о соответствии/несоответствии требованиям и (или) стандартам;
l) если применимо, указание вычисленной неопределенности измерений; информацию о неопределенности в протоколы испытаний включают тогда, когда это может повлиять на достоверность и применение результатов испытаний, когда это указано в инструкции заказчика или когда значение неопределенности влияет на результаты соответствия предельным значениям;
m) если применимо и необходимо, заключения специалистов и интерпретацию результатов испытаний.
(справочное)
СВЕДЕНИЯ О СООТВЕТСТВИИ ССЫЛОЧНЫХ МЕЖДУНАРОДНЫХ СТАНДАРТОВ
МЕЖГОСУДАРСТВЕННЫМ СТАНДАРТАМ
Таблица ДА.1
Обозначение ссылочного международного стандарта | Степень соответствия | Обозначение и наименование соответствующего межгосударственного стандарта |
IEC 62311:2007 | - | <*> |
<*> Соответствующий межгосударственный стандарт отсутствует. До его принятия рекомендуется использовать перевод на русский язык данного международного стандарта. |
| International Commission on Non-Ionizing Radiation Protection (ICNIRP). Guidelines for limiting exposure in time-varying electric, magnetic, and electromagnetic fields (up to 300 GHz). Health Physics, 1998, vol. 74, pp. 494 - 522 (Международная комиссия по защите от неионизирующих излучений. Руководство по ограничению воздействия изменяющихся во времени электрических, магнитных и электромагнитных полей (до 300 ГГц)) |
| IEEE Std C95.11999 | IEEE standard for safety levels with respect to human exposure to radio frequency electromagnetic fields, 3 kHz to 300 GHz (Стандарт IEEE по уровням безопасности в отношении воздействия на человека электромагнитных полей от 3 кГц до 300 ГГц) |
| IEEE Std C95.12005 | IEEE standard for safety levels with respect to human exposure to radio frequency electromagnetic fields, 3 kHz to 300 GHz (Стандарт IEEE по уровням безопасности в отношении воздействия на человека электромагнитных полей от 3 кГц до 300 ГГц) |
| Ali, M., Douglas, M.G., Sayem, A.T.M., Faraone, A. and Chou, CK. Threshold power of canonical antennas for inducing SAR at compliance limits in the 300 - 3000 MHz frequency range. IEEE Trans. Electromag. Compat., Feb. 2007, vol. 49, no. 1, pp. 143 - 152 (Предельная мощность стандартных антенн для индуцирования SAR, соответствующего предельным значениям в диапазоне частот от 300 до 3000 МГц) |
| Sayem, A.T.M., Douglas, M.G., Schmid, G., Petric, B. and Ali, M. Correlating threshold power with free-space bandwidth for low directivity antennas, IEEE Trans. Electromag. Compat. (accepted for publication), 2008. (Коррелированная пороговая мощность при ширине полосы частот в свободном пространстве для антенн с низким коэффициентом направленного действия) |
[6] | IEC 60050-161:1990 | International Electrotechnical Vocabulary - Chapter 161: Electromagnetic compatibility (Международный электротехнический словарь. Глава 161. Электромагнитная совместимость) |
[7] | ISO/IEC 17025:2005 | General requirements for the competence of testing and calibration laboratories (Общие требования к компетентности испытательных и калибровочных лабораторий) |
| IEC/TR 62630:2010 | Guidance for evaluating exposure from multiple electromagnetic sources (Руководство по оценке воздействия множественных источников электромагнитного поля) |
| CISPR 32:2012 | Information technology, multimedia equipment and receivers - Radio disturbance characteristics - Limits and methods of measurement (Информационные технологии, мультимедийное оборудование и приемные устройства. Характеристики радиовозмущения. Предельные значения и методы измерения) |
| ISO/IEC Guide 983:2008 | Uncertainty of measurement - Part 3: Guide to the expression of uncertainty in measurement (GUM: 1995) (Неопределенность измерения. Часть 3. Руководство по выражению неопределенности измерения (GUM: 1995)) |
| IEC 60050-702:1992 | International Electrotechnical Vocabulary - Chapter 702: Oscillations, signals and related devices (Международный электротехнический словарь. Глава 702. Колебания, сигналы и связанные с ними устройства) |
| IEC 60050-712:1992 | International Electrotechnical Vocabulary - Chapter 712: Antennas (Международный электротехнический словарь. Глава 712. Антенны) |
| IEC 60050-705:1995 | International Electrotechnical Vocabulary - Chapter 705: Radio wave propagation (Международный электротехнический словарь. Глава 705. Распространение радиоволн) |
| ISO/IEC 17000:2004 | Conformity assessment - Vocabulary and general principles (Оценка соответствия. Словарь и общие принципы) |
УДК 621.38.029.55:537.811(083.74)(476) | | IDT |
Ключевые слова: оценка соответствия, маломощное электронное и электрическое оборудование, основное ограничение, воздействие, электромагнитные поля, мощность, частота |