Главная // Актуальные документы // ГОСТ (Государственный стандарт)СПРАВКА
Источник публикации
М.: ФГБУ "Институт стандартизации", 2024
Примечание к документу
Документ
вводится в действие с 01.07.2025.
Название документа
"ГОСТ IEC 62321-6-2020. Межгосударственный стандарт. Определение регламентированных веществ в электротехнических изделиях. Часть 6. Определение полибромированных бифенилов и полибромированных дифениловых эфиров в полимерах методом газовой хроматографии - масс-спектрометрии"
(введен в действие Приказом Росстандарта от 03.04.2024 N 403-ст)
"ГОСТ IEC 62321-6-2020. Межгосударственный стандарт. Определение регламентированных веществ в электротехнических изделиях. Часть 6. Определение полибромированных бифенилов и полибромированных дифениловых эфиров в полимерах методом газовой хроматографии - масс-спектрометрии"
(введен в действие Приказом Росстандарта от 03.04.2024 N 403-ст)
агентства по техническому
регулированию и метрологии
от 3 апреля 2024 г. N 403-ст
МЕЖГОСУДАРСТВЕННЫЙ СТАНДАРТ
ОПРЕДЕЛЕНИЕ РЕГЛАМЕНТИРОВАННЫХ ВЕЩЕСТВ
В ЭЛЕКТРОТЕХНИЧЕСКИХ ИЗДЕЛИЯХ
ЧАСТЬ 6
ОПРЕДЕЛЕНИЕ ПОЛИБРОМИРОВАННЫХ БИФЕНИЛОВ И ПОЛИБРОМИРОВАННЫХ
ДИФЕНИЛОВЫХ ЭФИРОВ В ПОЛИМЕРАХ МЕТОДОМ ГАЗОВОЙ
ХРОМАТОГРАФИИ - МАСС-СПЕКТРОМЕТРИИ
Determination of regulated substances
in electrotechnical products. Part 6.
Polybrominated biphenyls and polybrominated diphenyl ethers
in polymers by gas chromatography - mass spectrometry
(IEC 62321-6:2015, Determination of certain substances
in electrotechnical products - Part 6: Polybrominated
biphenyls and polybrominated diphenyl ethers in polymers
by gas chromatography-mass spectrometry (GC-MS), IDT)
ГОСТ IEC 62321-6-2020
Дата введения
1 июля 2025 года
Цели, основные принципы и общие правила проведения работ по межгосударственной стандартизации установлены
ГОСТ 1.0 "Межгосударственная система стандартизации. Основные положения" и
ГОСТ 1.2 "Межгосударственная система стандартизации. Стандарты межгосударственные, правила и рекомендации по межгосударственной стандартизации. Правила разработки, принятия, обновления и отмены"
1 ПОДГОТОВЛЕН Открытым акционерным обществом "Испытания и сертификация бытовой и промышленной продукции "БЕЛЛИС" на основе собственного перевода на русский язык англоязычной версии стандарта, указанного в
пункте 5
2 ВНЕСЕН Государственным комитетом по стандартизации Республики Беларусь
3 ПРИНЯТ Межгосударственным советом по стандартизации, метрологии и сертификации (протокол от 22 декабря 2020 г. N 58-2020)
За принятие проголосовали:
Краткое наименование страны по МК (ИСО 3166) 004-97 | Код страны по МК (ИСО 3166) 004-97 | Сокращенное наименование национального органа по стандартизации |
Армения | AM | ЗАО "Национальный орган по стандартизации и метрологии" Республики Армения |
Беларусь | BY | Госстандарт Республики Беларусь |
Казахстан | KZ | Госстандарт Республики Казахстан |
Киргизия | KG | Кыргызстандарт |
Россия | RU | Росстандарт |
Узбекистан | UZ | Узстандарт |
4
Приказом Федерального агентства по техническому регулированию и метрологии от 3 апреля 2024 г. N 403-ст межгосударственный стандарт ГОСТ IEC 62321-6-2020 введен в действие в качестве национального стандарта Российской Федерации с 1 июля 2025 г.
5 Настоящий стандарт идентичен международному стандарту IEC 62321-6:2015 "Определение некоторых веществ в электротехнических изделиях. Часть 6. Определение полибромированных бифенилов и полибромированных дифениловых эфиров в полимерах методом газовой хроматографии - масс-спектрометрии (GC-MS)" ("Determination of certain substances in electrotechnical products - Part 6: Polybrominated biphenyls and polybrominated diphenyl ethers in polymers by gas chromatography-mass spectrometry (GC-MS)", IDT).
Международный стандарт разработан Техническим комитетом по стандартизации IEC TC 111 "Стандартизация в области окружающей среды относительно электрических и электронных товаров и систем" Международной электротехнической комиссии (IEC).
Наименование настоящего стандарта изменено относительно наименования указанного международного стандарта для приведения в соответствие с ГОСТ 1.5-2001
(подраздел 3.6).
При применении настоящего стандарта рекомендуется использовать вместо ссылочных международных стандартов соответствующие им межгосударственные стандарты, сведения о которых приведены в дополнительном
приложении ДА
6 ВВЕДЕН ВПЕРВЫЕ
Информация о введении в действие (прекращении действия) настоящего стандарта и изменений к нему на территории указанных выше государств публикуется в указателях национальных стандартов, издаваемых в этих государствах, а также в сети Интернет на сайтах соответствующих национальных органов по стандартизации.
В случае пересмотра, изменения или отмены настоящего стандарта соответствующая информация будет опубликована на официальном интернет-сайте Межгосударственного совета по стандартизации, метрологии и сертификации в каталоге "Межгосударственные стандарты"
Широкое использование изделий электротехнического назначения повысило внимание к их воздействию на окружающую среду. Во многих странах мира были приняты технические документы, предусматривающие определенный порядок работы с отходами, веществами и затраченной энергией при использовании электротехнических изделий.
Использование регламентированных веществ, например свинца (Pb), кадмия (Cd) и полибромированных дифениловых эфиров (PBDE), в электротехнических изделиях регламентируется национальным законодательством.
Целью стандартов серии IEC 62321 является установление методов контроля, которые позволят определить уровень регламентированных веществ в электротехнических изделиях.
Настоящий стандарт устанавливает один обязательный и два справочных метода определения полибромированных бифенилов (PBB) и полибромированных дифениловых эфиров (PBDE) в полимерах электротехнических изделий.
Метод газовой хроматографии - масс-спектрометрии (GC-MS) используется для определения содержания от монобромированных до декабромированных бифенилов (PBB) и от монобромированных до декабромированных дифениловых эфиров (PBDE).
Приложения A и
C содержат методы, использующие масс-спектрометрию с присоединением иона (IAMS), объединенную с методом прямого ввода пробы (DIP), а также высокоэффективную жидкостную хроматографию, объединенную с матричным фотодиодным ультрафиолетовым детектором - (HPLC-PDA/UV). Данные методики обладают такими положительными свойствами, как быстрота, качественные и полуколичественные типы методов, но в зависимости от области их применения имеют ограничения по количеству или типу анализируемых компонентов PBB или PBDE, а также по их взаимному влиянию.
Методика масс-спектрометрии с присоединением иона (IAMS) имеет ограничения по определению таких антипиренов, как декабромированные бифенилы и технические смеси декабромированных дифениловых эфиров, октабромированных дифениловых эфиров и пентабромированных дифениловых эфиров. Определение других декабромированных бифенилов и полибромированных дифениловых эфиров с помощью данного метода не оценивалось.
Метод высокоэффективной жидкостной хроматографии имеет ограничения по определению таких антипиренов, как технические смеси декабромированных дифениловых эфиров, октабромированных дифениловых эфиров, декабромированных бифенилов и октабромированных бифенилов. Определение других декабромированных бифенилов и полибромированных дифениловых эфиров с помощью данного метода не оценивалось.
Данные методы испытаний были оценены для использования с PS-HI (ударопрочный полистирол) и PC-ABS (смесь поликарбоната и акрилонитрил-бутадиен-стирола), с содержанием отдельных PBB и PBDE в диапазоне от 20 до 2000 мг/кг и общим содержанием PBDE от 1300 до 5000 мг/кг, как указано в настоящем стандарте, в том числе в
приложении F. Использование данных методов для других видов полимеров, других соединений PBB или PBDE или диапазонов концентраций, отличающихся от тех, что указаны выше, целенаправленно не оценивалось.
В настоящем стандарте использованы нормативные ссылки на следующие стандарты [для датированных ссылок применяют только указанное издание ссылочного стандарта, для недатированных - последнее издание (включая все изменения)]:
IEC 62321:2008
<*>, Electrotechnical products - Determination of levels of six regulated substances (lead, mercury, cadmium, hexavalent chromium, polybrominated biphenyls, polybrominated diphenyl ethers) (Изделия электротехнические. Определение уровня шести регламентированных веществ (свинца, ртути, кадмия, шестивалентного хрома, полибромбифенилов, полибромированных дифениловых эфиров)
--------------------------------
<*> Заменен на IEC 62321-1:2013, IEC 62321-2:2013 (заменен на IEC 62321-2:2021), IEC 62321-3-1:2013, IEC 62321-3-2:2013 (заменен на IEC 62321-3-2:2020), IEC 62321-4:2013, IEC 62321-5:2013, IEC 62321-6:2015, IEC 62321-7-1:2015, IEC 62321-7-2:2017. Однако для однозначного соблюдения требований настоящего стандарта, выраженного в датированной ссылке, рекомендуется использовать только указанное в этой ссылке издание.
IEC 62321-1:2013, Determination of certain substances in electrotechnical products - Part 1: Introduction and overview (Определение регламентированных веществ в электротехнических изделиях. Часть 1. Введение и обзор)
IEC 62321-2:2013
<**>, Determination of certain substances in electrotechnical products - Part 2: Disassembly, disjointment and mechanical sample preparation (Определение регламентированных веществ в электротехнических изделиях. Часть 2. Разборка, отсоединение и механическая подготовка образца)
--------------------------------
<**> Заменен на IEC 62321-2:2021. Однако для однозначного соблюдения требований настоящего стандарта, выраженного в датированной ссылке, рекомендуется использовать только указанное в этой ссылке издание.
3 Термины, определения и сокращения
3.1 Термины и определения
В настоящем стандарте применены следующие термины с соответствующими определениями:
3.1.1 полуколичественный (semi-quantitative): Уровень точности в итоговом измерении с относительной неопределенностью результата в пределах 30% или лучше при определенном доверительном уровне в 68%.
3.1.2 техническая смесь (technical mixture): Коммерческий продукт (например, антипирен), изготовленный для промышленного использования, чистота которого определена неточно в отличие от калибровочных стандартных растворов с известной высокой степенью чистоты.
3.2 Сокращения
В настоящем стандарте применены следующие сокращения:
BDE - бромированный дифениловый эфир;
BFR - бромированное огнестойкое соединение;
Br - бром;
CIC - ионообменная хроматография продуктов сгорания;
DIP - прямой ввод пробы;
GC-MS - газовая хроматография - масс-спектрометрия;
HPLC-UV - высокоэффективная жидкостная хроматография с УФ-детектором;
IAMS - масс-спектрометрия с присоединением иона;
IS - внутренний стандарт;
MDL - предел обнаружения метода;
LOD - предел обнаружения;
LOQ - предел количественного определения;
PBB - полибромированные бифенилы;
PBDE - полибромированные дифениловые эфиры;
PDA - матричный фотодиодный детектор;
PS-HI (or HIPS) - ударопрочный полистирол;
PTV - программируемая температура испарения;
QC - контроль качества;
SIM - мониторинг выделенных ионов;
XRF - рентгенофлуоресцентный анализ;
TICS - предварительно идентифицированные компоненты;
RSD - относительное стандартное отклонение;
CCC - стандарт непрерывного контроля калибровки;
BSA - N, O-бис (триметилсилил) ацетамид;
BSTFA - N, O-бис (триметилсилил) трифторацетамид;
BCR 681 - сертифицированный эталонный материал Европейского бюро стандартов.
Примечание - BCR 681 содержит 7 следовых элементов в полиэтиленовой матрице. Сертифицированное значение концентрации Br составляет (98 +/- 5) мг/кг;
GC - газовая хроматография;
ABS - акрилонитрил бутадиен стирол;
PDA/UV - матричный фотодиодный УФ-детектор;
OFP - октафторпентанол;
PTFE - политетрафторэтилен.
Для определения содержания PBB и PBDE применяется метод экстракции полимеров в аппарате Сокслета с разделением посредством газовой хроматографии - масс-спектрометрии (GC-MS) для качественной и количественной оценки, используя мониторинг одиночных (или выделенных) ионов (SIM).
Перед применением все химические реактивы должны пройти испытание на степень чистоты и на величину холостой пробы, а именно:
a) толуол (класс GC или выше);
b) гелий (степень чистоты выше 99,999% (по объему));
c) технический раствор BDE-209 с BDE-209 ~ 96,9% и BDE-206 - 1,5%;
e) стандартные растворы-имитаторы и внутренние стандарты:
- внутренний стандарт, используемый для корректировки погрешностей ввода согласно
перечислению b) 8.2.1,
8.2.5 и
8.5.3, например CB209 (2,2'-, 3,3'-, 4,4'-, 5,5'-, 6,6'-декахлорбифенил).
Стандартные растворы приемлемы при использовании квадрупольного масс-спектрометра. Для масс-спектрометра высокого разрешения должны использоваться другие подходящие стандартные вещества, масса и время элюирования которых должны быть похожими на аналогичные значения аналита. Для полибромированных дифенилэфиров (PBDE) с высокой массой рекомендуются 13C-меченный по углероду нонаBDE и 13C-меченный по углероду декаBDE.
Примечание - Предлагаемые стандартные растворы применимы для измерения концентраций от моно- до октаBDE. Ввиду низкой массы и высокой летучести данные стандартные растворы могут оказаться не применимыми для измерения концентраций декаBDE и нонаBDE. 13C-меченный по углероду декаBDE или один из числа 13C-меченных по углероду нонаBDE могли бы быть намного лучшими калибровочными стандартными растворами для данных специфических аналитов. Некоторые лаборатории, работающие по принципу "большие объемы/низкая цена", могут воспринять данные меченые материалы как слишком дорогие для своего бизнес-плана. В качестве потенциальных недорогих материалов можно использовать декаBB (BB 209). BB 209 имеет высокую массу (943,1 г/моль относительно 959,1 г/моль для декаBDE или 846,2 г/моль для нонаBDE), элюирует непосредственно перед тремя материалами нонаBDE на типичной колонке DB-5. Присутствие значительных количеств декаBB в самом образце можно легко определить посредством мониторинга пиковой области данного стандартного раствора и ее сравнения с тем, что ожидалось от добавленного количества декаBB. Использование предложенных меченых стандартных растворов или декаBB должно ограничиваться теми анализами, в которых интересуемыми аналитами являются декаBDE и/или нонаBDE. Существует вероятность, что с помощью дополнительных экспериментов можно идентифицировать альтернативные стандартные растворы, имеющие высокую массу и низкую летучесть, которые необходимы для количественного определения нонаBDE и декаBDE.
Для анализа должны использоваться следующие приборы, оборудование и материалы:
a) аналитические весы с точностью измерений до 0,000 1 г;
b) мерные колбы 1, 5, 10, 100 мл;
- экстракторы Сокслета 30 мл,
- круглодонные колбы 100 мл,
- притертые пробки NS 29/32,
- холодильники Димрота NS 29/32,
- кипелки (например, стеклянный жемчуг или кольца Рашига);
d) экстракционные гильзы (целлюлоза, 30 мл, внутренний диаметр 22 мм, высота 80 мм);
e) стекловолокно (для экстракционной гильзы);
f) деактивированный вкладыш инжектора (для GC-MS);
g) колбонагреватели;
i) алюминиевая фольга.
Примечание - Сосуды коричневого и желтого цветов также могут быть использованы, как описано в тексте процедуры;
j) микролитровые шприцы или автоматические пипетки;
k) пастеровские пипетки;
l) виалы 1,5 мл со 100-микролитровой стеклянной вставкой и резьбовым колпачком с политетрафторэтиленовой (PTFE) прокладкой или в зависимости от аналитической системы аналогичные емкости для образцов. Сосуды коричневого и янтарного цветов должны быть использованы, как описано в тексте процедуры;
m) мини-шейкер (вихревой смеситель или вихревая мешалка);
n) газовый хроматограф с капиллярной колонкой, подсоединенный к масс-спектрометрическому детектору (электронная ионизация, EI). Масс-спектрометрический детектор должен обеспечивать мониторинг выделенных ионов и иметь верхний диапазон отношения массы иона к его заряду не менее 1000 m/z. Высокий диапазон отношения массы иона к его заряду требуется для обеспечения однозначной идентификации декаBDE и нонаBDE. Для обеспечения повторяемости рекомендуется использовать автоматический пробоотборник;
o) колонка длиной приблизительно 15 м обладает достаточной эффективностью разделения для соединений PBB и PBDE (см.
перечисление a) 8.3 для примера подходящей колонки);
p) мембранные фильтры из PTFE (0,45 мкм).
7 Подготовка образцов и проб
Как установлено в IEC 62321-2, если не указано иное (например, использование кусачек), рекомендуется использовать криогенное измельчение с охлаждением жидким азотом. Перед экстракцией образцы необходимо измельчить так, чтобы их частицы проходили через сито 500 мкм.
8.1 Общие инструкции по проведению испытаний
Необходимо соблюдать следующие общие инструкции.
a) Для того чтобы сократить значения холостых проб, необходимо обеспечить чистоту всей стеклянной лабораторной посуды и приборов (исключая мерные колбы) и деактивировать стекловолокно (см.
перечисление e) раздела 6) при температуре 450 °C на протяжении не менее 30 мин. Для того чтобы предотвратить разложение и/или дебромирование PBDE под воздействием УФ-излучения во время экстракции и анализа, должна использоваться стеклянная посуда и приборы из коричневого стекла.
Примечание - Если посуда из коричневого стекла отсутствует, для защиты от воздействия света можно использовать алюминиевую фольгу.
b) Если количество Br в образце (определенное с помощью XRF, CIC или другими методами) значительно превышает диапазон 0,1%, анализ необходимо произвести с использованием откорректированного размера образца или посредством повторного анализа с использованием экстракта, разбавленного надлежащим образом перед добавлением внутреннего стандарта.
Необходимо приготовить следующие исходные растворы:
a) стандартный раствор-имитатор (для мониторинга степени извлечения аналита): 50 мкг/мл в толуоле (например, DBOFB);
b) внутренний стандарт (для корректировки погрешности ввода): 10 мкг/мл в толуоле (например, CB209);
c) раствор полибромированного бифенила (PBB): 50 мкг/мл в органическом растворителе;
d) раствор полибромированного дифенилового эфира (PBDE): 50 мкг/мл в органическом растворителе; все бромированные компоненты от моно- до декабромированного бифенила (PBB) и от моно- до декабромированного дифенилового эфира (PBDE) должны быть включены в исходные растворы PBB и PBDE (см.
8.4). Могут быть использованы другие концентрации исходного раствора при условии достижения стандартных концентраций раствора, указанных в
8.5.3;
e) матричный контрольный раствор, содержащий в общем случае четыре родственных калибровочных стандартных раствора в толуоле, как указано в
таблице 1. Добавление 1 мл матричного контрольного раствора, в составе которого находится каждый из четырех конгенеров с концентрацией 10 мкг/мл, может использоваться для обеспечения необходимого количества величиной 10 мкг (см.
перечисление b) 11.2) в матричном контрольном образце.
Таблица 1
Матричный контрольный раствор
Уровень бромирования | Количество родственных PBDE | Количество родственных PBB |
От моно до пента | 1 | 1 |
От гекса до дека | 1 | 1 |
8.2.2 Предварительная очистка экстракторов Сокслета
Чтобы произвести очистку экстракционных аппаратов Сокслета (см.
перечисление c) раздела 6), проводится предварительная 2-часовая экстракция с использованием 70 мл толуола. Промывочный растворитель утилизируют.
8.2.3 Экстрагирование образца
Экстрагирование образцов производится следующим образом:
a) Количественно переносят (100 +/- 10) мг образца в экстракционную гильзу (см.
перечисление d) раздела 6) через воронку (см.
перечисление h) раздела 6). Для того чтобы обеспечить количественный перенос образца, воронку промывают приблизительно 10 мл экстрагирующего растворителя толуола. Записывают массу образца с точностью до 0,1 мг.
c) Для того чтобы образец не всплывал, гильзу закрывают стекловолокном (см.
перечисление e) раздела 6). Примерно 60 мл растворителя помещают в 100-миллиметровую круглодонную колбу. Оборудование закрывают алюминиевой фольгой для исключения воздействия света, а образец экстрагируют в течение не менее 2 ч; длительность каждого цикла составляет приблизительно от 2 до 3 мин. Сокращение времени экстрагирования может привести к снижению извлечения аналитов, в частности для PBDE с высокой молекулярной массой.
d) Экстракт помещают в 100-миллилитровую мерную колбу, а круглодонную колбу промывают с использованием примерно 5 мл растворителя.
Примечание - Если раствор мутнеет под воздействием матрицы, это можно устранить добавлением 1 мл метанола. Разница между плотностью метанола и толуола может в данном случае не учитываться при проведении расчетов.
e) Мерную колбу заполняют 100 мл растворителя. Для растворимого образца может применяться альтернативная процедура экстрагирования, описание которой приводится в
8.2.4.
8.2.4 Альтернативные процедуры экстрагирования для растворимых полимеров
Для растворимых полимеров, в частности PS-HI (или HIPS), может использоваться следующая альтернативная процедура экстрагирования.
a) Взвешивают 100 мг образца с точностью до 0,1 мг в виале из коричневого или янтарного стекла (см.
перечисление l) раздела 6) объемом не менее 20 мл.
Примечание 1 - Для образцов с потенциально очень низкими или очень высокими концентрациями PBB или PBDE могут использоваться другие количества образца.
b) Добавляют 9,8 мл соответствующего растворителя в виалу и записывают массу смеси.
Примечание 2 - Объем растворителя может регулироваться соответствующим образом для образцов с потенциально очень низкими или очень высокими концентрациями PBB или PBDE.
c) Добавляют 200 мкл стандартного раствора-имитатора (50 мкг/мл) (см.
перечисление a) 8.2.1) в виалу и записывают новую массу. Записывают общую массу образца, растворителя, виалы и колпачка.
d) Плотно закрывают виалу с образцом. Помещают ее в ультразвуковую ванну и обрабатывают ультразвуком в течение 30 мин до растворения образца. Для того чтобы колпачок не выпал из виалы, его можно прикрепить небольшим кусочком липкой ленты. После того как образец растворится, а виала остынет, следует записать массу. Убеждаются, что данная масса не отличается от массы, зарегистрированной в ходе операции, приведенной выше в
перечислении c).
e) Помещают 1,0 мл раствора в новую виалу из янтарного стекла (объем не менее 12 мл) и взвешивают аликвоту с точностью до 0,1 мг.
f) Выбирают осадитель (т.е. нерастворитель) для полимера, но хороший растворитель для PBB/PBDE. Вливают 9,0 мл осадителя в виалу и записывают значение массы виалы и содержимого с точностью до 0,1 мг.
g) Ждут, пока полимер осядет, или пропускают смесь через мембранный 0,45-микрометровый фильтр из PTFE, затем вливают 1,0 мл аликвотного раствора в 10-миллиметровую мерную колбу и взвешивают аликвоту с точностью до 0,1 мг. Используя свежий раствор, доводят объем до метки, записывают конечное значение массы и хорошо перемешивают.
Примечание 3 - Например, растворяют образец PS-HI в толуоле, а затем разбавляют 1,0 мл аликвотного раствора с использованием 9,0 мл изооктана.
h) Если была выполнена операция осаждения полимера, то готовят 10%-ный раствор растворителя в осадителе и определяют плотность полученной смеси с помощью калиброванной мерной колбы. Данную плотность используют в последующих расчетах.
i) С помощью такой же процедуры готовят холостую пробу экстракта и разбавленного раствора.
j) Выполняют аналитические процедуры, описание которых приводится в
8.2.5,
8.4 и
8.5, используя параметры, указанные в
8.3. Производят расчет концентрации PBB или PBDE в образце согласно
разделу 9.
8.2.5 Добавление внутреннего стандарта (IS)
Готовят 1 мл аликвоты каждого образца и стандартного раствора, выбранных для анализа, и помещают ее в соответствующую виалу. Добавляют 20 мкл раствора внутреннего стандарта (см.
перечисление b) 8.2.1) в виалу и закрывают ее крышкой. Переворачивают виалу два раза для перемешивания раствора.
Вводят 1 мкл раствора образца в газовый хроматограф с масс-спектрометром (GC-MS) и производят анализ, используя параметры оборудования, указанные в
8.3.
8.3 Параметры оборудования
Для оптимизации конкретной системы GC-MS с целью достижения эффективного разделения всех калибровочных конгенеров и обеспечения удовлетворения условий контроля качества (QC) и пределов обнаружения (LOD) могут потребоваться разные условия. Следующие параметры считаются подходящими и приводятся ниже в качестве примера.
a) Газохроматографическая колонка: неполярная (фенил-ариленовый полимер, эквивалентный 5%-ному фенил-метилполисилоксану), длина 15 м; внутренний диаметр 0,25 мм; толщина пленки 0,1 мкм. Для указанных условий должна использоваться высокотемпературная колонка (максимум = 400 °C).
b) Инжектор с программированием температуры испарения (PTV), холодным прямым вводом в колонку, делением потока/без деления потока или система ввода с сопоставимыми характеристиками. Следующие параметры являются рекомендуемыми/опционными значениями:
1) Программа для PTV: 50 °C - 90 °C (0 мин), подъем до 350 °C на 300 °C/мин (15 мин); время продувки с делением потока 1 мин; продувочный расход 50 мл/мин.
Примечание 1 - Оператор должен отрегулировать начальную температуру в зависимости от точки кипения используемого растворителя.
Применение инжектора прямого ввода можно предложить в качестве альтернативного способа подачи образца. Это может представлять интерес для повышения чувствительности к таким тяжелым конгенерам, как октаBDE и нонаBDE. При этом требуется определенная осторожность из-за чувствительности к воздействию матричных эффектов.
2) Программа с делением/без деления потока: 280 °C, 1,0 мкл без деления потока в течение 0,5 мин. Вентиляционный расход в режиме без деления потока - 50 мл/мин.
c) Вкладыш инжектора: 4-миллиметровый стеклянный вкладыш с одиночным нижним конусом со стекловатой на дне (деактивированный).
Примечание 2 - Закупленный деактивированный вкладыш инжектора может быть подвергнут дополнительной деактивации. Это особенно важно, если требования (см.
11.3) контроля качества PR-206 окажутся недостижимыми. Химическая деактивация может производиться следующим образом: берут обычный серийный вкладыш, деактивированный изготовителем (стеклянный вкладыш с одиночным конусом со стекловатой на дне для испарителя с делением/без деления потока) и погружают в 5%-ный раствор диметилдихлорсилана (DMDCS) в дихлорметане или толуоле на 15 мин. Затем извлекают вкладыш с помощью пинцета, выливают раствор и погружают в DMDCS еще три раза так, чтобы стекловата полностью покрывалась раствором. Далее раствор сливают из вкладыша еще раз, а остатки раствора промакивают чистой салфеткой. Погружают вкладыш в метанол на 10 - 15 мин, повторяют операцию "слить раствор/погрузить" три раза. Промывают изнутри и снаружи метанолом из пластиковой промывалки, а затем дихлорметаном тоже из пластиковой промывалки. Помещают вкладыш в вакуумную печь, продуваемую азотом, и просушивают при температуре 110 °C продолжительностью не менее 15 мин. После высыхания вкладыш готов к использованию.
e) Термостат: 110 °C в течение 2 мин, линейное повышение до 200 °C на 40 °C/мин; линейное повышение до 260 °C на 10 °C/мин; линейное повышение до 340 °C на 10 °C/мин, выдержка в течение 2 мин.
f) Трансферная линия: 300 °C, прямой ввод.
g) Температура ионного источника: 230 °C.
h) Метод ионизации: электронная ионизация (EI), 70 эВ.
i) Время выдержки: 80 мс.
Примечание 3 - Для достижения необходимого качества данных для газохроматографического пика PBB или PBDE рекомендуется, чтобы за одну секунду производилось от 3 до 4 циклов сканирования ионов, выбранных для количественного определения. Это обеспечит соответствующее время выдержки для мониторинга каждого иона (m/z). Скорость сканирования обеспечивает время выдержки в диапазоне 80 мс на ион. Следует заметить, что по умолчанию некоторые программы устанавливают время выдержки как функцию скорости сканирования. Анализ PBB и PBDE производится в режиме SIM (мониторинг выделенных ионов) с контрольными массами (выделены полужирным шрифтом), которые были использованы для количественного определения, указанными в
таблицах 2 и
3. Они считаются подходящими и приводятся здесь в качестве примеров.
Таблица 2
Контрольные значения отношений массы иона к заряду
для количественного определения PBB
Тип PBB | Отношения массы иона к заряду (m/z), контролируемые в экстракте |
Моно | | 233,9 | |
Ди | 309,8 | 311,8 | |
Три | 387,8 | 389,8 | |
Тетра | 307,8 | 309,8 | |
Пента | 385,7 | 387,7 | |
Гекса | 465,6 | 467,6 | |
Гепта | 543,6 | 545,6 | |
Окта | 623,5 | 625,5 | |
Нона | 701,4 | 703,4 | |
Дека | 781,3 | 783,3 |  (943,1; 215,8; 382,6; 384,5) |
<a> Полужирным шрифтом выделены контрольные значения для количественного определения. <b> Подчеркиванием выделены идентификационные контрольные значения. <c> В скобках указаны дополнительные контрольные значения. |
Таблица 3
Контрольные значения отношений массы иона к заряду
для количественного определения PBDE
Тип PBDE | Отношения массы иона к заряду (m/z), контролируемые в экстракте |
Моно | | 249,9 | |
Ди | 325,8 | 327,8 | |
Три | 403,8 | 405,8 | |
Тетра | 323,8 | 325,8 | |
Пента | 401,7 | 403,7 | |
Гекса | 481,6 | 483,6 | |
Гепта | 559,6 | 561,6 | |
Окта | 639,5 | 641,5 | |
Нона | 717,4 | 719,4 | |
Дека | 797,3 | 799,3 | |
<a> Полужирным шрифтом выделены контрольные значения для количественного определения. <b> Подчеркиванием выделены идентификационные контрольные значения. <c> В скобках указаны дополнительные контрольные значения. |
Полное сканирование с использованием метода масс-спектрометрии полного ионного тока (полное сканирование) также рекомендуется для проверки существования пиков/конгенеров, не присутствующих в калибровке (предположительно идентифицированные соединения или TICS) или невидимых в окне SIM. Если такие пики присутствуют, то их следует идентифицировать и определить класс соединения (например, октабромбифенил, пентабромдифениловый эфир и т.д.) посредством оценки общего ионного спектра.
Калибровка должна включать все бромированные виды соединений от моно- до декабромированного бифенила (PBB) и от моно- до декабромированного дифенилэфира (PBDE). Доступность стандартных конгенеров для определенных PBB или PBDE (например, пентаBDE) может меняться от региона к региону. В
таблице 4 приведен примерный список доступных типичных калибровочных конгенеров, которые подходят для данного анализа.
Таблица 4
Примерный список серийных калибровочных конгенеров,
считающихся пригодными для данного анализа
| Соединение |
BB-003 | 4-Бромбифенил |
BB-015 | 4,4-Дибромбифенил |
BB-029 | 2,4,5-Трибромбифенил |
BB-049 | 2,2',4,5'-Тетрабромбифенил |
BB-077 | 3,3',4,4'-Тетрабромбифенил |
BB-103 | 2,2',4,5',6-Пентабромбифенил |
BB-153 | 2,2',4,4'5,5'-Гексабромбифенил |
BB-169 | 3,3'4,4'5,5'-Гексабромбифенил |
FR-250 | Техническая смесь нонабромбифенила, октабромбифенила (80%) и гептабромбифенила |
BB-209 | Декабромбифенил |
BDE-003 | 4-Бромдифениловый эфир |
BDE-015 | 4,4'-Дибромдифениловый эфир |
BDE-033 | 2',3,4-Трибромдифениловый эфир |
BDE-028 | 2,4,4-Трибромдифениловый эфир |
BDE-047 | 2,2',4,4'-Тетрабромдифениловый эфир |
BDE-099 | 2,2',4,4',5-Пентабромдифениловый эфир |
BDE-100 | 2,2',4,4',6-Пентабромдифениловый эфир |
BDE-153 | 2,2',4,4',5,5'-Гексабромдифениловый эфир |
BDE-154 | 2,2',4,4',5,6'-Гексабромдифениловый эфир |
BDE-183 | 2,2',3,4,4',5',6-Гептабромдифениловый эфир |
BDE-203 | 2,2',3,4,4',5,5',6-Октабромдифениловый эфир |
BDE-206 | 2,2',3,3',4,4',5,5',6-Нонабромдифениловый эфир |
BDE-209 | Декабромдифениловый эфир |
<a> Для PBB и PBDE использовались классификационные номера по Бальшмитеру и Целлю. |
Если это возможно, растворитель, используемый для образца и стандартных растворов, должен быть одинаковым, чтобы избежать потенциального воздействия (эффекта) растворителя. Для количественного анализа необходимо построить калибровочную кривую. Необходимо подготовить не менее пяти калибровочных растворов, равномерно распределенных по диапазону концентрации. Количественное определение производится на основе измерения площадей пиков. Обработка каждой калибровочной кривой с помощью линейной регрессии требуется для получения относительного стандартного отклонения (RSD), которое было бы меньше или равным 15%-ной линейной функции калибровки.
Примечание - Наиболее желательна линейная регрессия калибровки. В случае, когда линейная регрессия, соответствующая требованиям (относительное стандартное отклонение (RSD), равное 15% или менее), не может быть достигнута, можно использовать многокомпонентную калибровку, если другая (иная) статистическая обработка (например, коэффициент соотношения или кривая равны 0,995 или лучшему показателю) может продемонстрировать приемлемость.
8.5.2 Исходные растворы PBB (1 мкг/мл для каждого конгенера), PBDE (1 мкг/мл для каждого конгенера) и стандартного раствора-имитатора (1 мкг/мл)
8.5.3 Стандартные растворы
Из исходного раствора PBB (1 мкг/мл для каждого конгенера), PBDE (1 мкг/мл для каждого конгенера) и стандартного раствора-имитатора (1 мкг/мл) (см.
8.5.2) можно получить следующие калибровочные растворы. Объемы, указанные в
таблице 5, с помощью пипетки помещают в мерную колбу объемом 1 мл, которая заполняется растворителем до метки. Затем добавляют 20 мкл раствора внутреннего стандарта 10 мкг/мл (см.
перечисление b) 8.2.1).
Для декаBDE может потребоваться модификация калибровочного диапазона, предложенного в
таблице 5. При разработке калибровочной кривой для декаBDE нижний диапазон должен устанавливаться в соответствии с чувствительностью прибора. Для верхнего диапазона может использоваться более высокая концентрация для компенсации обычно высоких (от 10% до 12% по массе) уровней декаBDE, присутствующих в образцах.
Таблица 5
Калибровочные растворы PBB и PBDE
Номер | Объем PBB + PBDE + имитатор, мкл (см. 8.5.2) | | c(PBB) c(PBDE), нг/мл на конгенер | c(имитатор), нг/мл |
1 | 50 | 20 | 50 | 50 |
2 | 150 | 20 | 150 | 150 |
3 | 250 | 20 | 250 | 250 |
4 | 350 | 20 | 350 | 350 |
5 | 450 | 20 | 450 | 450 |
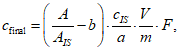
Внутренний стандарт используется для корректировки погрешности ввода. Поэтому для оценки показателя или коэффициента чувствительности используется A/AIS.
Для того чтобы построить прямые калибровочные линии, чувствительность A/AIS накладывается на кривую относительно коэффициента концентрации c/cIS.

(1)
где A - площадь пика PBB, PBDE или имитатора в калибровочном растворе;
AIS - площадь пика внутреннего стандарта;
c - концентрация PBB, PBDE или имитатора на конгенер, нг/мл;
cIS - концентрация внутреннего стандарта, нг/мл.
Примечание 1 - Общепринятая практика предусматривает настройку концентрации внутреннего стандарта на 1,00 нг/мл для методов внутреннего стандарта, когда количество и концентрация внутреннего стандарта, добавленного к образцу и калибрантам до введения, являются одинаковыми;
a - наклон калибровочной кривой;
b - пересечение на y-оси калибровочной кривой.
Примечание 2 - Полиномиальная регрессия (например, второго порядка) может использоваться в том случае, когда требования к кривой относительного отклонения стандартного раствора не могут быть выполнены с использованием линейной регрессии. При использовании полиномиальной регрессии все требования к контролю качества остаются в силе.
9 Расчет концентрации PBB и PBDE
В общую сумму должны быть включены только обнаруженные соединения PBB и PBDE.
В случае если PBDE или PBB не обнаружены в образце, общую сумму PBDE (или PBB) следует указывать как функцию конгенеров с наивысшими пределами обнаружения метода. Например, если предел обнаружения метода был 20 мг/кг для декаBB и 10 мг/кг для всех остальных PBB, но никаких полибромированных бифенилов (PBB) в образце не было обнаружено, общее значение PBB должно указываться в отчете как < 20 мг/кг.
Аналиты, обнаруженные ниже предела количественного определения (и выше предела обнаружения), суммируются с использованием предела количественного определения для обнаруженного аналита. Например, если декаBB находится выше предела обнаружения, но ниже предела квантификации, если предел квантификации составляет 60 мг/кг для декаBB и не было обнаружено других PBB выше предела обнаружения в образце, то общее содержание PBB должно быть указано как 60 мг/кг.
Количественное определение образцов проводится с использованием калибровочной кривой. Такая оценка производится, как правило, программным обеспечением приборов. Обычно уровень калибровки внутреннего стандарта для всех пяти калибровочных уровней настраивается на 1 метод в рамках прибора, но это можно сделать также и в ручном режиме с помощью уравнения аппроксимации результатов калибровки.
где y - показатель или коэффициент чувствительности (A/AIS) для конгенера в образце;
a - наклон линии, которая лучше всего подходит для калибровки согласно
формуле (1);
x - результат приборов (c/cIS, где cIS обычно равняется 1), нг/мл (концентрация конгенера в экстракте);
b - пересечение на y-оси калибровочной кривой.
Квадратичная аппроксимация рассчитывается по
формуле (3):
где y - показатель или коэффициент чувствительности (A/AIS) для конгенера в образце;
a и b - постоянные, соответствующие кривой, которая лучше всего подходит для калибровки;
x - результат приборов, нг/мл (концентрация конгенера в экстракте);
c - пересечение y-оси или концентрация, когда показатель чувствительности равняется 0.

(4)
где A - площадь пика PBB, PBDE или имитатора;
AIS - площадь пика внутреннего стандарта;
c - (промежуточная) концентрация PBB, PBDE или имитатора на конгенер, нг/мл;
cIS - концентрация внутреннего стандарта, нг/мл.
Примечание 1 - Общепринятая практика предусматривает настройку концентрации внутреннего стандарта на 1,00 нг/мл для методов внутреннего стандарта, когда количество и концентрация внутреннего стандарта, добавленного к образцу и калибрантам до ввода, являются одинаковыми;
a - наклон калибровочной кривой;
b - пересечение на y-оси калибровочной кривой.
Примечание 2 - Полиномиальная регрессия (например, второго порядка) может использоваться в том случае, когда требования к кривой относительного отклонения стандартного раствора не могут быть выполнены с использованием линейной регрессии. При использовании полиномиальной регрессии все требования к контролю качества остаются в силе.
Если концентрация каждого конгенера в образце выходит за пределы диапазона его соответствующих калибрантов, необходимо приготовить серийное разведение образца, которое позволит вернуть концентрацию конгенера в среднюю точку калибровки. Следует проанализировать разбавление и использовать коэффициент разбавления для количественной оценки концентрации тех конгенеров, которые выходили за рамки диапазона калибровки в ходе исходного анализа. Чтобы произвести расчет коэффициента разбавления
D, конечный объем разбавления необходимо разделить на объем аликвоты в соответствии с
формулой (5):

(5)
где D - коэффициент разбавления;
Vf - конечный объем, мл;
Va - объем аликвоты, мл.
Формула (4) не выводит значение конечной концентрации, так как для этого должен учитываться объем органического растворителя, масса образца, объем экстракта и любой коэффициент разведения. Необходим также коэффициент перевода
F единиц измерения из нанограмм в микрограммы. Конечную концентрацию PBB, PBDE или имитатора на конгенер в образце можно рассчитать с помощью
формулы (6):

(6)
где cfinal - концентрация PBB, PBDE или имитатора на конгенер в образце, мкг/г;
V - конечный объем экстрагирования (100 мл);
m - масса образца, г;
F - коэффициент перевода нанограмм в микрограммы (1·10-3).
Пример расчета, приведенный выше, предназначен только для калибровки методом линейной регрессии. Если используется калибровка методом полиномиальной регрессии, должен производиться отдельный расчет.
Общий результат - это сумма концентрации каждого вещества PBB (общее значение PBB) и сумма концентрации каждого вещества PBDE (общее значение PBDE).
Общее значение PBDE или общее значение PBB можно рассчитать посредством суммирования измеренных концентраций всех сигналов, которые идентифицированы как PBDE или PBB. PBB и PBDE, включенные в общее значение, должны содержать все сигналы с соответствующими параметрами: массой, временем удержания, соотношением ионов для PBB или PBDE. PBDE и PBB, включенные в общее значение, не должны ограничиваться только теми веществами, которые используются в калибровочных растворах, так как большая часть пользователей заинтересована в концентрации общих значений PBB и PBDE, а не в специфических изомерах.
Калибровочные растворы могут использоваться для установления среднего коэффициента чувствительности для каждой степени бромирования в пределах PBDE и PBB. Средние коэффициенты чувствительности могут использоваться затем в расчете измеряемой концентрации обнаруженных конгенеров в образце, которые не включены в калибровку (например, приблизительно идентифицированные соединения или TICS, см.
8.3). Автоматическое интегрирование сигналов, отвечающих условиям критерия для PBB или PBDE, является распространенной функцией программного обеспечения в следовом анализе GC-MS.
Для того чтобы произвести количественное определение полибромированных дифенилэфиров (PBDE), отделенных от экстрагированного образца (см.
8.2.3), необходимо добавить внутренний стандарт (CB 209) (см.
перечисление b) 8.2.1) к аликвотной пробе экстракта, произвести ввод раствора в GC-MS, измерить площадь пиков аналита и площадь пика CB 209 и произвести расчет концентрации аналита согласно
формулам (4) и
(6). Данные о стандартном растворе-имитаторе (DBOFB) (см.
перечисление a) 8.2.1) используются в целях контроля качества (см.
перечисление d) 11.2) и не используются каким-либо другим образом для расчета концентрации аналита в образце.
10 Прецизионность результатов
10.1 Оценка порогового значения
Общая оценка порогового значения в отношении соответствия максимально допустимому пределу концентрации < 1000 мг/кг общего PBB или PBDE по результатам межлабораторных сличительных испытаний 4B (IIS4B) указана в
таблице 6.
Таблица 6
Оценка порогового значения в соответствии с IIS4B
Идентификация образца/тип компонента | Ожидаемая оценка порогового значения P или F <a> | Количество лабораторий, предоставивших оценку пороговых значений | Количество лабораторий, предоставивших верную оценку пороговых значений | Количество лабораторий, предоставивших ошибочную оценку пороговых значений |
IIS4B-K01/Total PBB | P | 11 | 11 | 0 |
IIS4B-K01/Total PBDE | F | 11 | 10 | 1 |
IIS4B-L02/Total PBB | P | 11 | 11 | 0 |
IIS4B-L02/Total PBDE | F | 11 | 11 | 0 |
IIS4B-M03/Total PBB | P | 11 | 11 | 0 |
IIS4B-M03/Total PBDE | F | 11 | 11 | 0 |
<a> Ожидаемая оценка порогового значения P относится к результату < 1000 мг/кг, а ожидаемая оценка порогового значения F - к результату > 1000 мг/кг. |
10.2 Повторяемость и воспроизводимость
Когда значения двух независимых результатов одного испытания, полученных одним методом на идентичном испытуемом материале в одной и той же лаборатории одним и тем же оператором с использованием одного оборудования в течение короткого промежутка времени, находятся в диапазоне средних значений, указанных в
таблице 7, абсолютная разница между двумя полученными результатами испытаний не будет превышать предел повторяемости
r, полученный путем статистического анализа международных межлабораторных сличительных испытаний 4B (IIS4B), более чем в 5% случаев.
Когда значения двух отдельных результатов испытаний, полученных одним методом на идентичном испытуемом материале в разных лабораториях разными операторами с использованием различного оборудования, находятся в диапазоне средних значений, указанных в
таблице 7, абсолютная разница между двумя полученными результатами испытаний не будет превышать предел воспроизводимости
R, полученный путем статистического анализа международных межлабораторных сличительных испытаний 4B (IIS4B), более чем в 5% случаев.
Таблица 7
Повторяемость и воспроизводимость в соответствии с IIS4B
Параметр | Среднее значение, мг/кг | r, мг/кг | R, мг/кг |
Общий PBDE | 1298 | 203,4 | 429,1 |
Общий PBDE | 4620 | 586,1 | 2490,5 |
ГексаBDE | 94 | 9,3 | 47,2 |
ГексаBDE | 306 | 52,5 | 206,8 |
ГептаBDE | 519 | 129,8 | 304,7 |
ГептаBDE | 1748 | 318,4 | 939,7 |
ОктаBDE | 484 | 75,1 | 124,2 |
ОктаBDE | 1688 | 203,4 | 741,1 |
НонаBDE | 211 | 43,9 | 131,8 |
НонаBDE | 696 | 177,7 | 499,1 |
ДекаBDE | 12 | 10,1 | 37,0 |
ДекаBDE | 81 | 26,3 | 73,7 |
11 Обеспечение качества и контроль
11.1 Разрешающая способность
Для подтверждения того, что система GC-MS и параметры подходят для точного определения нонаBDE в присутствии BDE-209, а также чтобы продемонстрировать отсутствие деградации конгенера, не менее одного раза в год (или в любое время при изменении параметров приборов) нужно анализировать 5 мкг/мл технического раствора декаBDE (BDE-209, например Wellington Laboratories Cat. N TBDE-83R
<1> или эквивалент при BDE-209 ~ 96,9% и BDE-206 ~ 1,5%) с внутренним стандартом. После измерения концентрации (в мкг/мл) BDE 206 и 209, определенной во введенном растворе, производится расчет процентного соотношения 206/(206 + 209) (PR-206), как указано в
формуле (7):

(7)
где PR - процентное соотношение, PR-206;
cA - измеренная концентрация BDE-206, мкг/мл;
cB - измеренная концентрация BDE-209, мкг/мл.
--------------------------------
<1> Wellington Laboratories Cat. N TBDE-83R является примером подходящего продукта, имеющегося в продаже. Эта информация предоставлена для удобства пользователей настоящего документа и не является рекомендацией IEC.
Таблица 8
Конгенер BDE | Теоретически вводимая концентрация, мкг/мл | Измеренная концентрация, мкг/мл | PR-206, % |
BDE-209 | 4,845 | 5,200 | (0,107/5,307)·100 = 2,01 |
BDE-206 | 0,076 | 0,107 |
Общая величина | 5,307 |
Рассчитанное значение PR-206 во введенной пробе < 4,0 является приемлемым, и образцы могут подвергаться испытанию. Рассчитанное значение PR-206 > 4,0 является неприемлемым, и образцы не могут подвергаться испытанию до корректировки данных условий. К эффективным мерам корректировки можно отнести следующие: замена вкладыша инжектора, снижение температуры инжектора, снижение температуры термостата или времени набора температуры и т.д. Если изменяются параметры приборов, требуются новые исследования для определения предела обнаружения (LOD).
Контроль качества проводится следующим образом.
a) В рамках каждой серии образцов должна экстрагироваться одна холостая проба реактива, которая представляет собой 60 мл только растворителя, отобранного в процессе всей процедуры экстрагирования согласно
8.2.3 или
8.2.4. Концентрация любых соединений PBB или PBDE, обнаруженных при холостом методе, должна быть ниже пределов обнаружения метода (см.
11.3) для каждого соединения.
b) Один образец из серии или один на каждые десять образцов в зависимости от загрузки должен усиливаться 10 мкг каждого конгенера в матричном контрольном растворе (см.
перечисление e) 8.2.1). Для расчета должна использоваться
формула (8):

(8)
где R - степень извлечения каждого конгенера PBB или PBDE, %;
Cm - концентрация каждого конгенера PBB или PBDE в матричном пике, нг/мл;
C - концентрация каждого конгенера PBB или PBDE в исходном образце, нг/мл;
Cs - концентрация контрольного раствора PBB или PBDE, нг/мл.
Степень извлечения для каждого конгенера должна быть от 50% до 150%. Степень извлечения для каждого матричного пика должна регистрироваться и прослеживаться в электронной таблице с целью определения возможных матричных эффектов во время анализа.
c) После прогона каждого десятого образца и в конце каждого набора образцов необходимо произвести анализ стандарта непрерывного контроля калибровки (CCC). CCC - это неэкстрагированный калибрант среднего диапазона, который подвергается анализу как образец. Степень извлечения для каждого конгенера должна составлять от 70% до 130%. Если степень извлечения для любого конгенера в стандарте CCC выходит за пределы данного диапазона, стандарт CCC должен впрыскиваться повторно в пределах 12 ч. Если величина извлечения остается за пределами диапазона и после этого, анализ необходимо прервать и произвести техническое обслуживание системы, чтобы вернуть ее в оптимальное рабочее состояние. Все образцы, введенные перед последним успешным стандартом CCC, могут указываться в протоколе испытаний, а все образцы, использованные после неудачного стандарта CCC, должны подвергаться повторному анализу с новой калибровкой.
d) Извлечение стандартного раствора-имитатора должно контролировать для каждого образца. Степень извлечения, %, стандартного раствора-имитатора может рассчитываться с помощью
формулы (9):

(9)
где SR - степень извлечения стандартного раствора-имитатора, %;
ms - общая масса стандартного раствора-имитатора, измеренная в конечном растворе образца, мкг.
Допустимая величина извлечения должна составлять от 70% до 130%. Если степень извлечения стандартного раствора-имитатора для любого образца выходит за пределы данного диапазона, образец должен подвергаться повторному анализу. Если после анализа величина извлечения стандартного раствора-имитатора остается за пределами диапазона, требуется повторное экстрагирование и анализ образца.
e) На основании результатов пяти калибрантов (согласно
таблице 5) необходимо произвести расчет средней чувствительности (пиковая область) для внутреннего стандарта. Чувствительность внутреннего стандарта для каждого образца должна контролироваться в течение всего анализа с последующим ее сравнением со средним значением. Если в любой точке анализа чувствительность внутреннего стандарта колеблется ниже 50% или выше 150% среднего значения, образец считается неконтролируемым и должен быть подвергнут повторному анализу. Если чувствительность внутреннего стандарта находится за пределами диапазона, необходимо проверить результаты дублируемого экстракта. Если оба отклика находятся за пределами заданного диапазона и смещены в одном направлении, полученные данные необходимо зарегистрировать как подозрительные в результате матричного воздействия.
f) Цикл холостого растворителя между каждым впрыском требуется для того, чтобы исключить перенос аналита от одного образца к другому. Это особенно важно в том случае, когда производится анализ образцов, содержащих высокие концентрации декаBDE и/или другие бромированные огнестойкие добавки, потенциально препятствующие обнаружению. Прибор, не проверенный на отсутствие загрязняющих аналитов, может дать завышенные результаты анализа. Рекомендуется, чтобы растворитель содержал небольшое количество силилирующего агента (BSA, BSTFA) для поддержания инертности вкладыша инжектора.
g) Для подтверждения в качестве BDE-209 и/или BDE-206 время удерживания аналитов, имеющих идентификационную массу, соответствующую BDE-209 и BDE-206, должно быть в пределах +/- 20 с относительно стандартных растворов BDE-209 и BDE-206, используемых в калибровочных растворах, и соответствующая разница времени удерживания между BDE-209 и BDE-206 должна составлять менее 130% разницы между стандартами BDE-209 и BDE-206, используемыми в калибровочных растворах. Пики, элюированные за пределами данного диапазона, не могут быть идентифицированы как BDE-209 и/или BDE-206. В образцах, содержащих декаBDE, в качестве основного изомера нонаBDE будет присутствовать BDE-206. Использование времени удерживания в качестве критерия подтверждения является широко распространенной практикой.
11.3 Предел обнаружения (LOD) или предел обнаружения метода (MDL) и предел количественного определения (LOQ)
Предел обнаружения (LOD) или предел обнаружения метода (MDL) должен определяться до проведения данного испытания, а также каждый раз, когда метод испытаний или тип прибора претерпевает значительные изменения. Наиболее целесообразно определять LOD или MDL экспериментально путем выполнения повторных независимых измерений на низкоуровневых или концентрированных матрицах образцов (например, пластиковых), проводимых в течение всей процедуры испытания, включая экстракцию. Для этого анализа должны быть выполнены как минимум шесть повторений при концентрации аналита, в 3 - 5 раз превышающей расчетные значения LOD или MDL. Полные LOD или MDL для всей процедуры испытания определяются умножением стандартного отклонения повторений на соответствующий коэффициент. IUPAC рекомендует коэффициент 3 для как минимум шести повторений, в то время как EPA использует односторонний доверительный интервал с множителем, равным коэффициенту Стьюдента t, выбранному для количества повторений и доверительного уровня (например, t = 3,36 для шести повторений при доверительном уровне 99%).
Процедура описана далее.
a) Измельчают примерно 2 г подходящего полимера из чистого источника, известного тем, что он не содержит бромированных антипиренов или других соединений, которые могли бы мешать проведению анализа (например, полиэтиленовый материал BCR-681 или другие).
b) Взвешивают 100 мг измельченного полимера и помещают его в экстракционную гильзу. Повторяют данную операцию еще шесть раз.
c) Устанавливают экстракционную гильзу в экстракционный аппарат Сокслета.
d) Добавляют в гильзу 5 мкг каждого калибровочного конгенера, приближаясь к концентрации калибранта с наименьшей концентрацией.
e) С помощью соответствующей процедуры (экстрагирование согласно
8.2.3 или
8.2.4) производят экстрагирование и анализ каждого из образцов.
f) Степень выхода каждого конгенера должна составлять от 70% до 130%. Если величина выхода находится ниже или выше данных предельных значений, анализ следует повторить. Если величина выхода остается за пределами указанных значений и во второй раз, необходимо повторить всю процедуру экстрагирования и анализа.
g) Расчетные LOD или MDL каждого конгенера должны быть меньшими или равными 100 мг/кг. Если рассчитанный LOD или MDL какого-либо конгенера превышает данные предельные значения, процедуру, экстрагирование и анализ необходимо повторить для данного конгенера.
h) Пределы количественного определения (LOQ) каждого конгенера должны превышать не менее чем в три раза соответствующий LOD или MDL. В отличие от LOD или MDL, которые касаются только аспекта обнаружения, предел количественного определения представляет собой концентрацию, которая может быть точно определена количественно для данного соединения.
Если требования к LOD или MDL не выполняются, к процедуре экстрагирования можно добавить операцию концентрирования. Так как операция концентрирования приведет к повышению концентрации полимера в экстракте, для каждого образца рекомендуется также операция очистки. Это поможет увеличить срок службы колонки и расширить периодичность технического обслуживания прибора. Если в ходе анализа используются операции концентрирования и очистки, они должны применяться также и по отношению к образцам определения LOD или MDL.
Для целей настоящего стандарта применяется IEC 62321-1:2013 (раздел 4.8), дополненный следующим:
- идентификация технических смесей (если таковые имеются), используемых для калибровки.
(справочное)
ОПРЕДЕЛЕНИЕ PBB И PBDE В ПОЛИМЕРАХ МЕТОДОМ
МАСС-СПЕКТРОМЕТРИИ С ПРИСОЕДИНЕНИЕМ ИОНА (IAMS)
A.1 Принцип работы метода
Метод масс-спектрометрии с присоединением иона (IAMS) подходит для определения бромированных антипиренов (BFRs), основываясь на их различной массе и изотопной структуре распределения. Данный метод позволяет проводить прямой анализ полимерного образца без процесса предварительной обработки.
Примечание - Хотя конкретно настоящий метод не оценивается, IAMS также может быть использован для определения соединений от трибромированных до декабромированных бифенилов (PBB) и от трибромированных до декабромированных дифениловых эфиров (PBDE). Моно- и дибромированные соединения PBB и PBDE не могут быть точно измерены этим методом из-за их летучести.
IAMS подходит для быстрого качественного и полуколичественного анализа декабромбифенила и технических смесей декабромдифенилового эфира, октабромдифенилового эфира и пентабромдифенилового эфира в диапазоне от 100 до 2000 мг/кг и до 100 000 мг/кг для декаBDE. Поскольку изомеры не могут быть идентифицированы, могут быть распознаны только PBB и PBDE с одинаковым количеством присоединенного брома. Для одиночных конгенеров должен быть использован анализ методом GC-MS.
a) Тетрагидрофуран (класс GC или выше).
b) Сухой воздух (точка росы ниже -50 °C, класс 3).
d) Стандарт коэффициента чувствительности PBDE: см.
таблицу A.3.
e) Внутренний стандарт (IS) в полимерной матрице (для корректировки коэффициента извлечения и инструментальных отклонений). Внутренний стандарт должен присутствовать в полимерной матрице в количестве ~ 0,2% по массе с массовым числом до 500 и температурой кипения в диапазоне температуры кипения декаBDE. ABS или полистирольный полимер, содержащий IRGANOX259, (1,6-Гексаметиленбис[3-(3,5-ди-трет-бутил-4-гидроксифенил)пропионат], CAS: 35074-77-2, формула: C
40H
62O
6), был признан подходящим.
Перед применением все химические реактивы должны пройти испытание на степень чистоты и на величину холостой пробы.
A.3 Оборудование
Для анализа должны использоваться следующие приборы, оборудование и материалы:
a) аналитические весы с точностью измерений до 0,000 01 г (0,01 мг);
b) криогенный измельчитель с охлаждением жидким азотом;
c) чашка для образцов (изготовленная из нержавеющей стали, диаметр 4 мм);
d) кусачки (вид ручного инструмента для резки образца);
e) медицинская ложка;
f) пинцет (щипцы);
g) металлический стержень (диаметр ~ 4 мм);
h) масс-спектрометр, оснащенный источником присоединения ионов (IAMS). IAMS-оборудование состоит из камеры реакции присоединения ионов Li
+ с излучателем ионов Li
+. Кроме того, оборудование IAMS дополнительно соединено с устройством прямого ввода пробы (DIP), которое имеет возможность программируемого нагрева до 350 °C. Молекулы термического десорбированного образца (M) формируют продукты присоединения ((M + Li)
+) с ионами Li
+ в реакционной камере. Газообразный азот под давлением около 50 Pa вводится в реакционную камеру, которая замедляет ионы Li
+ и удаляет избыточную энергию аддуктов ионов Li
+. При анализе полимера из-за того, что невосстанавливаемый газ из матрицы снижает чувствительность ионов Li
+, для окисления образца желательно использовать сухой воздух вместо азота. Масс-спектрометрический детектор должен иметь возможность проводить мониторинг выделенных ионов и иметь верхний диапазон масс не менее 1000 m/z. В
приложении B приведена информативная диаграмма прибора IAMS.
A.4 Подготовка образцов и проб
A.4.1 Общие положения
Как описано в IEC 62321-2, если не указано иное (например, использование кусачек), рекомендуется использовать криогенное измельчение с охлаждением жидким азотом для достижения указанного размера обработанных образцов.
A.4.2 Подготовительный этап для качественного анализа
Образец нарезают на мелкие части с использованием кусачек.
A.4.3 Подготовительный этап для полуколичественного анализа
a) Образец необходимо измельчить до размера 500 мкм в диаметре.
b) Калибранты PBB/PBDE должны быть измельчены таким же образом.
A.5 Проведение испытаний
A.5.1 Общие инструкции по проведению испытаний
a) Прежде чем проводить измерения образца, оборудование IAMS должно быть оптимизировано для четкого наблюдения интенсивности калибранта, содержащего приблизительно 300 мг/кг декаBDE выше фонового шума.
b) Соотношение "сигнал-фон" (S/B) при m/z 966 необходимо в размере более 10.
A.5.2 Подготовка образца
A.5.2.1 Общие положения
Выполняется двухэтапное измерение. Первый этап - качественный для идентификации PBB/PBDE с использованием режима полного сканирования. Образцы, которые имеют обнаруживаемые на первом этапе PBB/PBDE, продолжают испытывать по второму этапу количественного анализа с использованием режима мониторинга выделенных ионов (SIM).
A.5.2.2 Подготовительный этап для качественного анализа
a) Приблизительно от 0,5 до 1,5 мг образца спрессовать в чашке для образцов с использованием металлического стержня таким образом, чтобы обеспечивалась теплопроводность.
b) Поместить чашку для образцов в устройство прямого ввода проб (DIP) и вставить его в прибор.
A.5.2.3 Подготовительный этап для полуколичественного анализа
a) Примерно 0,5 мг внутреннего стандарта с матрицей, приведенного в
перечислении e) A.2, точно взвесить в чашке для образцов.
b) Примерно от 0,5 до 1,5 мг измельченного образца точно взвесить в чашке для образцов.
c) Поместить чашку для образцов в устройство прямого ввода проб (DIP) и вставить ее в прибор.
Примечание - Пример возможности применения качественного и полуколичественного анализа приведен на блок-схеме в
приложении E.
A.5.3 Параметры приборов
Для оптимизации конкретной системы IAMS с целью достижения эффективного определения PBB и PBDE и обеспечения удовлетворения условий контроля качества (QC) и пределов обнаружения метода (MDL) могут потребоваться разные условия. Следующие параметры (см.
таблицу A.1) считаются подходящими и приводятся ниже в качестве примера.
a) В случае наличия помех при качественном анализе (в режиме SCAN) другие относительные изомер-ионы PBB/PBDE должны применяться для количественного анализа с использованием режима мониторинга выделенных ионов (SIM).
b) 1 мкг реагента декаBDE следует измерять в режиме регистрации профилей пиков (profile mode) для проверки смещения оси массы. Если положение центральной оси находится в пределах допускаемого отклонения +/- 0,15 m/z при 966,17 m/z, анализ можно продолжить. Если отклонение центральной оси больше +/- 0,15 m/z, анализ должен быть приостановлен и настройка массы должна быть проведена с использованием перфторкероцена в режиме EI.
Примечание - Для достижения требуемого качества данных для масс-спектра PBB и PBDE минимальное разрешение по массе должно составлять минимум 1 500 (m/z 966) в целях идентификации неоднозначных образцов.
c) Чувствительность детектора к октафторпентанолу (OFP), введенному в прибор в качестве стандартного газа, должна тщательно контролироваться при анализе. Если интенсивность ионов OFP (m/z 239) уменьшается до 50% и ниже ожидаемого нормального значения во время нагрева образца, анализ должен быть повторен с изменением количества образца и коэффициента нагрева (например, количество образца составляет 0,5 мг, температурная программа начинается с 30 °C с ростом температуры на 64 °C/мин до 300 °C (время выдержки 2,5 мин). Если интенсивность все еще ниже 50%, настоящий метод не может быть использован, а должен применяться метод GC-MS.
Таблица A.1
Температура источника ионов | 220 °C |
Температура устройства прямого ввода пробы (DIP) | Для полимера | 30 °C (128 °C/мин) 180 °C (64 °C/мин) 300 °C (3 мин) |
Для реагента | 30 °C (128 °C/мин) 130 °C (32 °C/мин) 180 °C (64 °C/мин) 300 °C (1 мин) |
Метод ионизации | Присоединение иона (Li+) |
Давление ионизации | 50 Pa с сухим воздухом (точка росы 70 °C) |
Качественный анализ (SCAN) | Диапазон массы: 200 - 1000 m/z |
Время цикла: 2,5 с/скан |
Количественный анализ (мониторинг выделенных ионов) | | Контролируемые ионы (m/z) |
| 239,0 |
Три-BB | | | Три-BDE | 396,8 | |
Тетра-BB | 492,7 | | Тетра-BDE | 476,7 | |
Пента-BB | 570,6 | | Пента-BDE | 554,6 | |
Гекса-BB | 650,5 | | Гекса-BDE | 634,5 | |
Гепта-BB | 730,4 | | Гепта-BDE | 714,4 | |
Окта-BB | 808,4 | | Окта-BDE | 792,3 | |
Нона-BB | 886,3 | | Нона-BDE | 870,3 | |
Дека-BB | 966,2 | | Дека-BDE | 950,2 | |
Время ожидания | 150 мс |
<a> Октафторпентанол-газ, который используется для мониторинга изменения интенсивности ионов Li +. <b> Жирным шрифтом выделены ионы для количественного определения. <c> Подчеркиванием выделены идентификационные ионы. |
В
таблицах A.2 и
A.3 показаны имеющиеся в продаже эталонные материалы, используемые в качестве калибрантов (и для коррекции помех полимерной матрицы), и стандарты коэффициента чувствительности PBDE, подходящие для анализа.
Таблица A.2
Пример списка коммерчески доступных эталонных материалов
для калибровки, подходящих для анализа
Смесь PBB - PBDE | Название(я) компонента(ов) |
NMIJ CRM8108-b, CRM8110-a | Декабромированный дифениловый эфир |
IRMM ERM590, ERM591 | Техническая смесь пентабромированных дифениловых эфиров, октабромированных дифениловых эфиров, декабромированных дифениловых эфиров и декабромированных бифенилов |
Таблица A.3
Примеры стандартов коэффициента чувствительности PBDE
(т.е. BDE-WD (Wellington), раствор/смесь конгенеров
полибромированных дифениловых эфиров (PBDE))
Общее наименование | Коммерческое наименование | Химическое наименование | Концентрация, мкг/мл |
МоноBDE | BDE-1 | 2-Бромдифениловый эфир | 1,0 |
BDE-3 | 4-Бромдифениловый эфир |
ДиBDE | BDE-10 | 2,6-Дибромдифениловый эфир | 1,0 |
BDE-15 | 4,4'-Дибромдифениловый эфир |
ТриBDE | BDE-30 | 2,4,6-Трибромдифениловый эфир | 1,0 |
BDE-37 | 3,4,4'-Трибромдифениловый эфир |
ТетраBDE | BDE-54 | 2,2,6,6'-Тетрабромдифениловый эфир | 1,0 |
BDE-60 | 2,3,4,4'-Тетрабромдифениловый эфир |
ПентаBDE | BDE-82 | 2,2',3,3',4-Пентабромдифениловый эфир | 1,0 |
BDE-104 | 2,2',4,6,6'-Пентабромдифениловый эфир |
ГексаBDE | BDE-128 | 2,2',3,3',4,4'-Гексабромдифениловый эфир | 2,0 |
BDE-155 | 2,2',4,4',6,6'-Гексабромдифениловый эфир |
ГептаBDE | BDE-170 | 2,2',3,3',4,4',5-Гептабромдифениловый эфир | 2,0 |
BDE-188 | 2,2',3,4',5,6,6'-Гептабромдифениловый эфир |
ОктаBDE | BDE-195 | 2,2',3,3',4,4',5,6-Октабромдифениловый эфир | 2,0 |
BDE-202 | 2,2',3,3',5,5',6,6'-Октабромдифениловый эфир |
НонаBDE | BDE-206 | 2,2',3,3',4,4',5,5',6-Нонабромдифениловый эфир | 5,0 |
BDE-208 | 2,2',3,3',4,5,5',6,6'-Нонабромдифениловый эфир |
ДекаBDE | BDE-209 | Декабромдифениловый эфир | 5,0 |
A.5.5.1 Общие положения
Если это возможно, растворитель, используемый для образца и стандартных растворов, должен быть одинаковым, чтобы избежать потенциального воздействия (эффекта) растворителя.
A.5.5.2 Стандартные материалы
Необходимо использовать внутренние стандарты (см.
перечисление e) A.2) с более высокими температурами плавления, чем у целевых аналитов (PBB, PBDE), чтобы избежать помех, вызванных испарением матрицы образца (например, полимера) или аналитов.
Для получения одинакового матричного эффекта в отношении исследуемого образца наиболее подходящими для построения калибровочной кривой считаются стандартные эталонные материалы (калибранты). Для калибровки используются стандартные эталонные материалы, указанные в
таблице A.2.
В каждую чашку для образцов помещают достаточное количество взвешенных калибрантов. Для калибровки используются калибровочные эталонные материалы в концентрациях, указанных в
таблице A.4.
Таблица A.4
Номер | Калибровочные эталонные материалы | Количество внутреннего стандарта с материалом, мг | Концентрация калибранта, мг/кг | Количество калибранта, мг | Абсолютное количество (PBDE), нг |
1 | CRM-8108-b | 0,2 | 312 | 0,25 | 78 |
2 | CRM-8108-b | 0,2 | 312 | 0,5 | 156 |
3 | CRM-8110-a | 0,2 | 886 | 0,35 | 310 |
4 | CRM-8110-a | 0,2 | 886 | 0,7 | 620 |
5 | CRM-8110-a | 0,2 | 886 | 1,5 | 1330 |
Внутренний стандарт используется для корректировки погрешности ввода. Поэтому для оценки показателя или коэффициента чувствительности используется отношение A/AIS.
Для того чтобы построить прямые калибровочные линии, чувствительность A/AIS·mIS накладывается на кривую относительно концентрации c.

(A.1)
где A - пиковая область PBB, PBDE в калибровочном растворе;
AIS - пиковая область внутреннего стандарта;
c - концентрация PBB, PBDE, нг;
mIS - масса внутреннего стандарта, мг.
Примечание - Общепринятая практика предусматривает настройку массы внутреннего стандарта, равной 1 для методов внутреннего стандарта, когда количество и концентрация внутреннего стандарта, добавленного к образцу и калибрантам до впрыска, являются одинаковыми;
a - наклон калибровочной кривой;
b - пересечение на y-оси калибровочной кривой.
A.6 Расчет концентрации PBB и PBDE
A.6.1 Общие положения
В общий расчет должны быть включены только обнаруженные соединения PBB и PBDE. Нецелесообразно включать пределы обнаружения в суммирование для необнаруженных аналитов.
Примечание - В случае обнаружения большого количества тетрабромбисфенола A (2,3-дибромпропиловый эфир) вместе с небольшими количествами декаBDE 500 мг/кг декаBDE можно отличить от 1% или менее тетрабромбисфенола A (2,3-дибромпропилового эфира) путем суммирования массового состава в диапазоне от 1 мин до 1 мин и 16 с. Если присутствует 1% или более тетрабромбисфенола A (2,3-дибромпропиловый эфир), анализ необходимо проводить методом GC-MS (см.
8.2).
Если PBDE или PBB не обнаружены в образце, общую сумму PBDE (или PBB) следует указывать как функцию конгенеров с наивысшими пределами обнаружения метода. Например, если предел обнаружения метода был 20 мг/кг для декаBB и 10 мг/кг для всех остальных PBB, но никаких полибромированных бифенилов (PBB) в образце не было обнаружено, общее значение PBB должно указываться в отчете как < 20 мг/кг.
Аналиты, обнаруженные ниже предела квантификации (и выше предела обнаружения), суммируются с использованием предела квантификации для обнаруженного аналита. Например, если декаBB находится выше предела обнаружения, но ниже предела квантификации, если предел квантификации составляет 60 мг/кг для декаBB и не было обнаружено других PBB выше предела обнаружения в образце, то общее содержание PBB должно быть указано как 60 мг/кг.
y = ax + b, (A.2)
где y - показатель или коэффициент чувствительности (A/AIS·mIS) для конгенера в образце;
a - наклон линии, которая лучше всего подходит для калибровки согласно
формуле (A.1);
x - результат прибора (масса, нг, конгенера в экстракте);
b - пересечение на y-оси калибровочной кривой.
где y - показатель или коэффициент чувствительности (A/AIS·mIS) для конгенера в образце;
a и b - постоянные, соответствующие кривой, которая лучше всего подходит для калибровки;
x - абсолютное количество аналита, нг;
c - пересечение y-оси или концентрация, когда показатель чувствительности равняется 0.
Калибровочные растворы или калибранты (например, ERM EC-590) могут использоваться для установления среднего коэффициента чувствительности для каждой степени бромирования PBB и PBDE.
Средние коэффициенты чувствительности для каждого конгенера могут использоваться затем в расчете измеряемой концентрации обнаруженных конгенеров в образце, которые не включены в калибровку.
Пример коэффициента чувствительности декаBDE, который рассчитывается по BDE-WD (Wellington), приведен в
таблице A.5. Конечная концентрация PBB, PBDE на конгенер в образце рассчитывается с помощью
формулы (A.4):

(A.4)
где cfinal - концентрация PBB, PBDE или имитатора на конгенер в образце, мкг/г;
A - площадь пика декаBDE в стандарте;
AIS - площадь пика внутреннего стандарта;
mIS - масса внутреннего стандарта, мг;
a - наклон линии калибровочной кривой;
b - пересечение на y-оси калибровочной кривой;
m - масса образца, мг;
S - коэффициент чувствительности каждого конгенера (см.
таблицу A.5).
Таблица A.5
Коэффициент чувствительности каждого PBDE-конгенера
<a>
PBDE-конгенер | Контролируемый ион, m/z | Количество впрыска, мкг | Коэффициент чувствительности VS декаBDE |
ТриBDE | 412,8 | 0,2 | 0,14 |
ТетраBDE | 492,7 | 0,2 | 0,11 |
ПентаBDE | 570,6 | 0,2 | 0,21 |
ГексаBDE | 650,5 | 0,4 | 0,32 |
ГептаBDE | 730,4 | 0,4 | 0,56 |
ОктаBDE | 808,4 | 0,4 | 0,62 |
НонаBDE | 886,3 | 1,0 | 0,93 |
ДекаBDE | 966,2 | 0,5 | 1,00 |
Примечание - Коэффициент чувствительности VS декаBDE для декабромбифенила (DecaBB) составляет 0,70, что можно определить с помощью эталонного материала CRM (ERM590, ERM591). -------------------------------- <a> Эталонный стандарт: BDE-WD (Wellington), раствор/смесь конгенера полибромированного дифенилового эфира (PBDE). |
A.6.3 Оценка неоднозначного спектра
В случае если определенная номинальная масса равняется m/z = 950, то невозможно утверждать однозначно, что это декаBB (m/z = 950,17) или тетрабромбисфенол A (2,3-дибромпропиловый эфир) (CAS: 21850-44-2, m/z = 950,50) (см.
рисунок A.1). В данном случае необходимо применить следующую процедуру для однозначного определения:
a) измерить неоднозначный образец вблизи состава m/z = 950, используя метод регистрации профилей пиков;
b) определение может быть выполнено по отличию в изотопной модели и точному массовому числу двух компонентов;
c) точное массовое число - это пересечение, полученное путем продления перпендикулярной линии от центра самого высокого пика к оси массы X.
Примечание - В случае обнаружения большого количества тетрабромбисфенола A (2,3-дибромпропиловый эфир) вместе с небольшими количествами декаBDE 500 мг/кг декаBDE можно отличить от 1% или менее тетрабромбисфенола A (2,3-дибромпропилового эфира) путем суммирования массового состава в диапазоне от 1 мин до 1 мин и 16 с. Если присутствует 1% или более тетрабромбисфенола A (2,3-дибромпропиловый эфир), анализ необходимо проводить методом GC-MS (см.
8.2).
Рисунок A.1 - Масс-спектры декаBB и -TBBA, получаемые
в режиме сканирования и в режиме регистрации профилей пиков
В случае если парафин препятствует количественному определению иона для тетра-, пента- и гексаBDE, особенно в присутствии полипропилена или полистирола, идентификация может быть обеспечена путем распознавания изотопной модели каждого конгенера, как показано на
рисунке A.2.
Рисунок A.2 - Идентификация тетраBDE и пентаBDE
по распознаванию изотопной модели
A.7 Точность результатов
A.7.1 Оценка порогового значения
Общая оценка порогового значения в отношении соответствия максимально допустимому пределу концентрации < 1000 мг/кг общего PBB или PBDE по результатам межлабораторных сличительных испытаний 4B (IIS4B) указана в
таблице A.6.
Таблица A.6
Оценка порогового значения в соответствии с IIS4B
Идентификация образца/тип компонента | Ожидаемая оценка порогового значения P или F <a> | Количество лабораторий, предоставивших оценку пороговых значений | Количество лабораторий, предоставивших верную оценку пороговых значений | Количество лабораторий, предоставивших ошибочную оценку пороговых значений |
IIS4B-K01/Total PBB | P | 7 | 6 | 1 |
IIS4B-K01/Total PBDE | F | 7 | 5 | 2 |
IIS4B-L02/Total PBB | P | 7 | 7 | 0 |
IIS4B-L02/Total PBDE | P | 7 | 6 | 1 |
IIS4B-M03/Total PBB | P | 7 | 6 | 1 |
IIS4B-M03/Total PBDE | F | 7 | 5 | 2 |
<a> Ожидаемая оценка порогового значения P ссылается на результат < 1000 мг/кг, и ожидаемая оценка порогового значения F ссылается на результат > 1000 мг/кг. |
A.7.2 Повторяемость и воспроизводимость
Когда значения двух независимых результатов одного испытания, полученных одним методом на идентичном испытуемом материале в одной и той же лаборатории одним и тем же оператором с использованием одного оборудования в течение короткого промежутка времени, находятся в диапазоне средних значений, указанных в
таблице A.7, абсолютная разница между двумя полученными результатами испытаний не будет превышать предел повторяемости
r, полученный путем статистического анализа международных межлабораторных сличительных испытаний 4B (IIS4B), более чем в 5% случаев.
Таблица A.7
Повторяемость и воспроизводимость в соответствии с IIS4B
Параметр | Среднее значение, мг/кг | r, мг/кг | R, мг/кг |
Общий PBDE | 1026 | 303,5 | 421,4 |
Общий PBDE | 4844 | 519,8 | 2010,0 |
ГексаBDE | 66 | 76,7 | 431,7 |
ГексаBDE | 333 | 53,9 | 75,6 |
ГептаBDE | 390 | 129,8 | 222,3 |
ГептаBDE | 1869 | 512,6 | 818,7 |
ОктаBDE | 457 | 124,7 | 316,6 |
ОктаBDE | 1921 | 295,5 | 1205,9 |
НонаBDE | 165 | 39,3 | 254,4 |
НонаBDE | 518 | 261,0 | 964,1 |
ДекаBDE | 2 | 2,9 | 16,6 |
ДекаBDE | 109 | 25,2 | 75,9 |
Когда значения двух отдельных результатов испытаний, полученных одним методом на идентичном испытуемом материале в разных лабораториях разными операторами с использованием различного оборудования, находятся в диапазоне средних значений, указанных в
таблице A.7, абсолютная разница между двумя полученными результатами испытаний не будет превышать предел воспроизводимости
R, полученный путем статистического анализа международных межлабораторных сличительных испытаний 4B (IIS4B), более чем в 5% случаев.
Примечание - Использование внутреннего стандарта (например, описанного в
A.2 и
A.5.2.3,
A.5.5 и
A.6.2) не было включено в IIS4B. Использование внутреннего стандарта, как описано в приложении A, не планируется в IIS4B в целях улучшения повторяемости и воспроизводимости метода IAMS.
A.8 Обеспечение качества и контроль
A.8.1 Чувствительность
Инструментальная чувствительность должна быть подтверждена отношением "сигнал/шум" 1 мкг декаBDE (S/B >= 30).
Необходима высокая концентрация (500 мкг/мл) декаBDE (BDE-209).
Примечание - Данная концентрация может быть достигнута путем растворения реагента декаBDE (> 98%) в тетрагидрофуране, так как раствора с такой высокой концентрацией нет в продаже.
A.8.2 Степень извлечения
a) 2 мкл раствора декаBDE (500 мкг/мл) измеряют последовательно в соответствии с условиями измерения прибора, приведенными в
таблице A.1.
b) Приблизительно 1 мг сертифицированного эталонного материала (например, NMIJ CRM8108-a) измеряют последовательно в соответствии с условиями измерения прибора, приведенными в
таблице A.1.

(A.5)

(A.6)
где Cm - концентрация декаBDE, измеренная с помощью CRM, мг/кг;
ARM - площадь пика декаBDE в CRM;
AS - площадь пика декаBDE в растворе;
m - масса CRM, мг;
R - степень извлечения декаBDE, %;
C - концентрация декаBDE в сертифицированном эталонном материале CRM, мг/кг.
Степень извлечения в процентах для каждого конгенера должна быть от 50% до 150%. Степень извлечения в процентах для каждого матричного пика должна регистрироваться и прослеживаться в электронной таблице с целью определения возможных матричных эффектов во время анализа.
После прогона каждого десятого образца и в конце каждого набора образцов необходимо произвести анализ стандарта непрерывного контроля калибровки (CCC). CCC - это калибрант среднего диапазона, который подвергается анализу как образец. Степень извлечения в процентах для каждого конгенера должна составлять от 70% до 130%. Если степень извлечения в процентах для любого конгенера в стандарте CCC выходит за пределы данного диапазона, стандарт CCC должен вводиться повторно в пределах 12 ч. Если степень извлечения остается за пределами диапазона, то после этого анализ необходимо прервать и произвести техническое обслуживание системы, чтобы вернуть ее в оптимальное рабочее состояние. Все образцы, введенные перед последним успешным стандартом CCC, могут указываться в протоколе испытаний, а все образцы, использованные после неудачного стандарта CCC, должны подвергаться повторному анализу с новой калибровкой.
A.8.3 Холостое испытание
Пустая чашка для образцов должна быть измерена в соответствии с условиями измерения прибора, приведенными в
таблице A.1. Если результат превышает 30 мг/кг, должно быть выполнено соответствующее обслуживание (чистка) оборудования и измерение пустой чашки для образцов должно повторяться до достижения приемлемых результатов перед сбором данных по образцам.
A.8.4 Предел обнаружения (LOD) и предел обнаружения метода (MDL)
Предел обнаружения (LOD) должен определяться до проведения данного испытания, а также каждый раз, когда метод испытаний или тип прибора претерпевает значительные изменения. Предел обнаружения метода (MDL) определяется как минимальная концентрация вещества, которую можно измерить и указать с 99%-ной достоверностью, из которой допустимо качественное обнаружение образца в данной матрице относительно аналита. MDL получается путем расчета стандартного отклонения как минимум для семи повторных анализов. Затем стандартное отклонение умножается на коэффициент Стьюдента t для общего числа повторов (n) для n - 1 степеней свободы.
Все анализы, используемые для расчета MDL, должны быть последовательными:
a) Раздробить примерно 2 г подходящего полимера из чистого источника, не содержащего бромированных огнестойких соединений или других компонентов, которые могут помешать анализу (например, полистирольный материал CRM8108-a или другой).
b) Проанализировать каждый из образцов в соответствии с условиями измерения прибора, приведенными в
таблице A.1. Степень извлечения каждого конгенера должна составлять от 70% до 130%. Если степень извлечения находится ниже или выше данных предельных значений, анализ следует повторить.
c) Расчетный MDL для конгенера декаBDE должен быть меньшим или равным 100 мг/кг. Если рассчитанный LOD превышает данное предельное значение, процедуру необходимо повторить.
A.9 Протокол испытаний
Для целей настоящего стандарта применяется ГОСТ IEC 62321-1-2016 (
раздел 4.8 "Протокол испытаний"), дополненный следующим:
- идентификация технических смесей (если таковые имеются), используемых для калибровки.
(справочное)
СХЕМА ИЗМЕРИТЕЛЬНОГО ПРИБОРА IAMS
На
рисунке B.1 представлена принципиальная схема измерительного прибора IAMS. Схема прибора представлена в информационных целях. Могут быть применимы и другие подходящие конфигурации прибора в случае обеспечения требований контроля качества.
Рисунок B.1 - Схема измерительного прибора IAMS
(справочное)
ОПРЕДЕЛЕНИЕ PBB И PBDE В ПОЛИМЕРАХ МЕТОДОМ ВЫСОКОЭФФЕКТИВНОЙ
ЖИДКОСТНОЙ ХРОМАТОГРАФИИ С УФ-ДЕТЕКТИРОВАНИЕМ (HPLC-UV)
C.1 Принцип работы метода
В методе HPLC-UV такие технические антипирены, как октабромированный бифенил (октаBB), декабромированный бифенил (декаBB), октабромированный дифениловый эфир (октаBDE) и декабромированный дифениловый эфир (декаBDE), определяются с помощью ультразвука (качественный анализ) или с помощью метода экстракции в аппарате Сокслета (количественный анализ) с последующим разделением под высоким давлением методом жидкостной хроматографии и детектированием в ультрафиолетовом диапазоне фотодиодной матрицей. Качественные или полуколичественные ограничения этого метода продиктованы наличием помех между октаBDE, декаBB и октаBB, октаBDE и другими полимерными примесями. Метод HPLC-UV подходит для качественного анализа соединений октаBB, декаBB, декаBDE и октаBDE в диапазоне от > 50 до 2000 мг/кг и до 2000 мг/кг для декаBDE и полуколичественного анализа соединений октаBB, декаBB, декаBDE и октаBDE в том же соответствующем диапазоне. Настоящий метод предназначен главным образом для анализа коммерческих антипиренов (например, технических смесей), а не одиночных конгенеров антипиренов. Для одиночных конгенеров должен быть использован анализ методом GC-MS.
C.2 Реактивы и материалы
a) Метанол (класс HPLC);
b) уксусная кислота (HAc) (ч.д.а., степень чистоты > 99,5%);
c) н-пропанол (класс HPLC);
Таблица C.1
Пример списка коммерчески доступных технических
калибровочных смесей, подходящих для анализа
PBB-PBDE CAS#/торговое наименование | Название(я) компонента(ов) |
13654-09-6 | Декабромированный бифенил |
FR-250 | Октабромированный бифенил (технический класс) |
DE-79 | Октабромированный дифениловый эфир (технический класс) |
DE-83R | Декабромированный дифениловый эфир (технический класс) |
C.3 Оборудование
Для анализа должны использоваться следующие приборы, оборудование и материалы:
a) аналитические весы с точностью измерений до 0,000 1 г;
b) оборудование для экстракции;
c) ультразвуковая ванна;
d) система высокоэффективного жидкостного хроматографа (HPLC), оснащенная PDA/UV-детектором, автопробоотборником, насосом и термостатом колонок;
e) мерные колбы;
f) пипетки с регулируемым объемом;
g) виалы размером 12 x 32 мм;
h) бумажные фильтры среднескоростной фильтрации, предназначены для общего лабораторного применения;
i) колонка: C18 250/4 100-7 (постоянная фаза C18, длина 250 мм и диаметр 4 мм, размер пор 100 мкм с размером частиц 7 мкм), сконфигурированная с предварительной колонкой C18 8/4 100-5 (постоянная фаза C18, 8 мм в длину и 4 мм в диаметре, размер пор 100 мкм с размером частиц 5 мкм) или подходящий эквивалент;
j) экстракционные сосуды;
k) экстракционный аппарат Сокслета:
- экстракционные аппараты Сокслета 30 мл,
- круглодонная колба 100 мл,
- притертая пробка NS 29/32,
- холодильник Димрота NS 29/32,
- кипелки (например, стеклянный жемчуг или кольца Рашига),
- экстракционная гильза (целлюлоза, 30 мл, внутренний диаметр 22 мм, высота 80 мм),
- стекловолокно (для экстракционной гильзы).
C.4 Подготовка образцов и проб
Как описано в IEC 62321-2, если не указано иное (например, использование кусачек), рекомендуется использовать криогенное измельчение с охлаждением жидким азотом для достижения обработанных образцов приблизительно в 1 мм.
C.5 Проведение испытаний
C.5.1 Общие инструкции по проведению испытаний
Метод предназначен для качественной идентификации технических антипиренов путем сравнения типичной последовательности пиков (фингерпринт) на хроматограмме времени удерживания, а также путем сравнения пиков УФ-спектров с записями базы данных эталонных стандартов того же состава. Любые антипирены семейства PBB/PBDE имеют обнаруживаемые пики. Благодаря вышеупомянутой комбинации обеих методик идентификация соответствующих соединений проста. Зачастую возможна однозначная идентификация. Количественная оценка упрощается с помощью интеграции по всем пикам и использованием единиц мг/л, а не молярных соотношений. Если в образце обнаружены последовательности пиков с требуемым шаблоном времени удерживания, но с наложением на другие пики, или если в образце присутствует более одного антипирена с наложением по времени удерживания, рекомендуется использовать анализ GC-MS в качестве метода проверки как для идентификации, так и для количественного определения. Метод не предназначен прежде всего для обнаружения одного конгенера, как это необходимо для анализа биологических образцов. Из-за низкого хроматографического разрешения по сравнению с GC-MS разделение одиночных конгенеров в каждом случае не представляется возможным.
Используемый детектор представляет собой матричный фотодиодный детектор (PDA) для анализа длин волн. Он используется в режиме сканирования для записи полных УФ-спектров.
Для подготовки образца необходима чистая стеклянная посуда (например, одноразовая) в целях исключения перекрестного загрязнения. Проверка контрольно-измерительного оборудования должна включать анализ потенциального перекрестного загрязнения между последовательными образцами. Дополнительные холостые пробы или обратная последовательность анализа помогут исключить данную проблему загрязнения.
Качественная идентификация интересующих бромированных антипиренов (BFRs) достигается с использованием как времени удерживания, так и УФ-спектров. Данные по УФ-излучению максимального пика технических смесей антипиренов, а также времени удерживания сравниваются между образцом и эталонной хроматограммой. В случае если разница во времени удерживания или корреляции УФ-спектров между образцом и эталонной хроматограммой окажется больше, чем наблюдаемая между двумя эталонными хроматограммами одного и того же бромированного антипирена, качественную идентификацию следует считать неоднозначной. В этом случае для проверки следует использовать метод GC-MS в качестве эталонного метода.
C.5.2 Подготовка образцов
C.5.2.1 Качественная экстракция
a) (100 +/- 20) мг образца экстрагируют в 2 мл н-пропанола в течение 15 мин в ультразвуковой ванне при температуре воды 50 °C. Массу образца записывают с точностью до 1 мг.
b) Затем раствор экстракта образца охлаждают в течение 1 ч (< 8 °C) и отфильтровывают через бумажный фильтр.
c) Экстракт переносят в 2-миллиметровую пробирку для HPLC с герметизирующим покрытием из PTFE.
C.5.2.2 Полуколичественная экстракция
C.5.2.2.1 Предварительная очистка экстрактора Сокслета
Для очистки экстракторов Сокслета (см.
перечисление k) раздела C.3) проводят предварительную экстракцию в течение 2 ч с 70 мл толуола. Затем моющий растворитель утилизируют.
C.5.2.2.2 Экстракция
a) Приблизительно (20 +/- 5) мг образца взвешивают в целлюлозной экстракционной гильзе для экстрактора Сокслета. Массу образца записывают с точностью до 1 мг.
b) Для экстракции с обратным холодильником используют приблизительно 70 мл н-пропанола. Для того чтобы образец не всплывал, гильзу закрывают стекловолокном. Оборудование закрывают алюминиевой фольгой для исключения воздействия света, а образец экстрагируют в течение не менее 2 ч; длительность каждого цикла составляет приблизительно от 2 до 3 мин. Сокращение времени экстрагирования может привести к снижению извлечения аналитов, в частности для PBDE с высокой молекулярной массой.
c) После 2 ч нагрева с последующим охлаждением в течение 1 ч (< 8 °C) растворитель отфильтровывают через бумажный фильтр в мерную колбу и доводят до 100 мл при температуре окружающей среды.
d) Экстракт помещают в виалу для HPLC объемом 2 мл или в виалу для автопробоотборника с крышкой и прокладкой из PTFE. Если образец хранится и не измеряется в данный момент, его следует хранить в коричневом или янтарном стекле.
Примечание - Пример возможности применения качественного и полуколичественного анализа приведен на блок-схеме в
приложении E.
C.5.3 Параметры приборов
C.5.3.1 Общие положения
Для оптимизации конкретной системы HPLC-PDA с целью достижения эффективного определения PBB и PBDE и обеспечения удовлетворения условий контроля качества (QC) и пределов обнаружения (LOD) могут потребоваться разные условия. Следующие параметры считаются подходящими и приводятся ниже в качестве примера.
C.5.3.2 Подвижная (жидкая) фаза
Подвижная фаза в газожидкостной хроматографии используется в виде смеси 99,90% метанола/0,10% уксусной кислоты (объемная доля). N-пропанол используется в качестве растворителя для растворения чистых образцов (стандартов) и для экстракции исследуемых образцов.
C.5.3.3 Неподвижная фаза (колонка)
C18 250/4 100-7 (неподвижная фаза C18, длина 250 мм и диаметр 4 мм, размер пор 100 мкм с размером частиц 7 мкм), сконфигурированная с предколонкой C18 8/4 100-5 (неподвижная фаза C18, 8 мм в длину и 4 мм в диаметре, размер пор 100 мкм с размером частиц 5 мкм) (см.
перечисление i) раздела C.3).
C.5.3.4 Условия измерений
Время работы составляет 10 мин при скорости потока 1,2 мл/мин. Подвижная фаза - метанол с 0,1% уксусной кислоты (объемная доля). Данные собираются в режиме сканирования в диапазоне длин волн между 400 и 200 нм. Объем, используемый для ввода, составляет 10 мкл, а температура колонки составляет (23 +/- 2) °C.
C.5.4 Калибранты
Технические калибровочные смеси используются в качестве калибрантов.
В
таблице C.1 показаны технические калибровочные смеси, подходящие для анализа.
C.6 Калибровка
C.6.1 Общие положения
Если это возможно, растворитель, используемый в HPLC и GC-MS для приготовления растворов образцов и стандартных растворов, должен быть одинаковым, чтобы избежать потенциального воздействия (эффекта) растворителя.
C.6.2 Стандартные растворы
Для калибровки в
таблице C.2 приведены концентрации стандартных исходных растворов из антипиренов технической чистоты, указанных в
таблице C.1. Концентрации приведены в мг/100 мл ввиду технических смесей различных соединений.
Таблица C.2
Концентрации стандартных исходных растворов (мг/100 мл)
Соединение | декаBDE | ОктаBDE | декаBB | ОктаBB |
Концентрация (мг/100 мл) | 1 | 2 | 2 | 2 |
0,75 | 1 | 1 | 1 |
0,50 | 0,75 | 0,75 | 0,75 |
0,25 | 0,50 | 0,50 | 0,50 |
0,1 | 0,25 | 0,25 | 0,25 |
0,05 | 0,1 | 0,1 | 0,1 |
| 0,05 | 0,05 | 0,05 |
Для получения калибровочных прямых область сигнала декаBDE строится по абсолютной итоговой величине в нанограммах.
где y - площадь пика калибранта;
x - абсолютное значение калибранта;
a - наклон калибровочной кривой;
b - пересечение на y-оси калибровочной кривой.
C.7 Расчет концентрации PBB и PBDE
C.7.1 Общие положения
В общий расчет должны быть включены только обнаруженные соединения PBB и PBDE. Нецелесообразно включать пределы обнаружения в суммирование для необнаруженных аналитов.
Примечание - В случае обнаружения большого количества тетрабромбисфенола A (2,3-дибромпропилового эфира) вместе с небольшими количествами декаBDE 500 мг/кг декаBDE можно отличить от 1% или менее тетрабромбисфенола A (2,3-дибромпропилового эфира) путем суммирования массового состава в диапазоне от 1 мин до 1 мин и 16 с. Если присутствует 1% или более тетрабромбисфенола A (2,3-дибромпропилового эфира), анализ необходимо проводить методом GC-MS (см.
8.2).
Если PBDE или PBB не обнаружены в образце, общую сумму PBDE (или PBB) следует указывать как функцию конгенеров с наивысшими пределами обнаружения метода. Например, если предел обнаружения метода был 20 мг/кг для декаBB и 10 мг/кг для всех остальных PBB, но никаких полибромированных бифенилов (PBB) в образце не было обнаружено, общее значение PBB должно указываться в отчете как < 20 мг/кг.
Аналиты, обнаруженные ниже предела количественного определения (и выше предела обнаружения), суммируются с использованием предела количественного определения для обнаруженного аналита. Например, если декаBB находится выше предела обнаружения, но ниже предела количественного определения, если предел количественного определения составляет 60 мг/кг для декаBB и не было обнаружено других PBB выше предела обнаружения в образце, то общее содержание PBB должно быть указано как 60 мг/кг.
C.7.2 Расчет
Для измерения методом HPLC-UV и оценки данных необходимо следовать инструкциям поставщика прибора.
В целом принципы расчета концентрации вручную аналогичны методу GC-MS, описанному в
разделе 9.
Технические смеси декаBDE могут выпадать в осадок из экстракционных растворов. Это не представляет сложностей при анализе после качественной экстракции (см.
C.5.2.1). Для анализа после полуколичественной экстракции (см.
C.5.2.2) необходимо убедиться, что найденная концентрация находится в пределах диапазона калибровки. Может возникнуть необходимость повторить экстракцию с меньшим количеством образца в том же объеме для полуколичественного измерения.
где y - область сигнала для аналита в образце; можно использовать как отдельные пики, так и группы пиков, при условии, что для калибровки и расчета концентрации используются одни и те же параметры для интеграции;
a - наклон линии, которая лучше всего подходит для калибровки согласно
формуле (C.2);
x - калиброванная концентрация в мг/100 мл;
b - пересечение на y-оси калибровочной кривой.
где y - площадь сигнала для аналита в образце; можно использовать как отдельные пики, так и группы пиков, при условии, что для калибровки и расчета концентрации используются одни и те же параметры для интегрирования;
a и b - постоянные, соответствующие кривой, которая лучше всего подходит для калибровки;
x - калибровочная концентрация в мг/100 мл;
c - пересечение на y-оси калибровочной кривой.
Растворы рассчитываются таким же образом, как для GC-MS.
C.8 Прецизионность результатов
C.8.1 Оценка порогового значения
Общая оценка порогового значения в отношении соответствия максимально допустимому пределу концентрации < 1000 мг/кг общего PBB или PBDE по результатам межлабораторных сличительных испытаний 4В (IIS4B) указана в
таблице C.3.
Таблица C.3
Оценка порогового значения в соответствии с IIS4B
Идентификация образца/тип компонента | Ожидаемая оценка порогового значения P или F <a> | Количество лабораторий, предоставивших оценку пороговых значений | Количество лабораторий, предоставивших верную оценку пороговых значений | Количество лабораторий, предоставивших ошибочную оценку пороговых значений |
IIS4B-K01/Total PBB | P | 6 | 6 | 0 |
IIS4B-K01/Total PBDE | F | 6 | 2 | 4 |
IIS4B-L02/Total PBB | P | 6 | 6 | 0 |
IIS4B-L02/Total PBDE | P | 6 | 6 | 0 |
IIS4B-M03/Total PBB | P | 6 | 6 | 0 |
IIS4B-M03/Total PBDE | F | 6 | 6 | 0 |
<a> Ожидаемая оценка порогового значения P относится к результату < 1000 мг/кг, и ожидаемая оценка порогового значения F относится к результату > 1000 мг/кг. |
C.8.2 Повторяемость и воспроизводимость
Когда значения двух независимых результатов одного испытания, полученных одним методом на идентичном испытуемом материале в одной и той же лаборатории одним и тем же оператором с использованием одного оборудования в течение короткого промежутка времени, находятся в диапазоне средних значений, приведенных в
таблице C.4, абсолютная разница между двумя полученными результатами испытаний не будет превышать предел повторяемости
r, полученный путем статистического анализа международных межлабораторных сличительных испытаний 4B (IIS4B), более чем в 5% случаев.
Когда значения двух отдельных результатов испытаний, полученных одним методом на идентичном испытуемом материале в разных лабораториях разными операторами с использованием различного оборудования, находятся в диапазоне средних значений, приведенных в
таблице C.4, абсолютная разница между двумя полученными результатами испытаний не будет превышать предел воспроизводимости
R, полученный путем статистического анализа международных межлабораторных сличительных испытаний 4B (IIS4B), более чем в 5% случаев.
Таблица C.4
Повторяемость и воспроизводимость в соответствии с IIS4B
Параметр | Среднее значение, мг/кг | r, мг/кг | R, мг/кг |
Общий PBDE | 1136 | 159,3 | 985,3 |
Общий PBDE | 3563 | 638,5 | 2133,5 |
ГексаBDE | Не предоставили данные | 0,0 | 0,0 |
ГексаBDE | Не предоставили данные | 0,0 | 0,0 |
ГептаBDE | Не предоставили данные | 0,0 | 0,0 |
ГептаBDE | Не предоставили данные | 0,0 | 0,0 |
ОктаBDE | 587 | 181,6 | 378,6 |
ОктаBDE | 2344 | 384,2 | 1960,5 |
НонаBDE | Не предоставили данные | 0,0 | 0,0 |
НонаBDE | Не предоставили данные | 0,0 | 0,0 |
ДекаBDE | Ниже предела обнаружения | Неприменимо | Неприменимо |
ДекаBDE | Ниже предела обнаружения | Неприменимо | Неприменимо |
Примечание - Для образцов, оцененных в последних двух строках таблицы C.4, ожидались только небольшие количества (18 мг/кг) декаBDE. Две лаборатории сообщили об обнаружении декаBDE, а четыре лаборатории - о значении ниже предела обнаружения. Ожидаемое значение находится на уровне или вблизи нижнего предела квантификации для этого метода. Поэтому значения повторяемости и воспроизводимости неприменимы. |
C.9 Обеспечение качества и контроль
C.9.1 Метод стандартных добавок
Чтобы определить точность и правильность извлечения, следует провести следующие эксперименты по оценке степени извлечения:
- проверить экстракт образца с помощью независимого стандарта антипирена;
- определить извлечение для независимых стандартов.
Для двух экспериментов извлечение до заданного значения должно находиться в диапазоне от 90% до 110%.
C.9.2 Внутренние контрольные образцы и холостые пробы
Частая повторная калибровка, включая измерения внутренних контрольных образцов и холостых значений, проводится, чтобы убедиться в правильности функционирования прибора.
Для обеспечения качества измерений срок действия жидких стандартных растворов не должен превышать 6 месяцев.
Каждый месяц необходимо проводить полную повторную калибровку.
Независимые стандарты контроля качества используются для сохранения площадей пиков, например стандарт декаBDE используется в качестве карты контроля качества. Приемлемые показатели извлечения для независимых проверочных стандартов составляют от 70% до 130% для качественных образцов и от 90% до 110% для количественных образцов.
C.9.3 Предел обнаружения (LOD) и предел количественного определения (LOQ)
Предел обнаружения (LOD) должен определяться до проведения данного испытания, а также каждый раз, когда метод испытаний или тип прибора претерпевает значительные изменения. Предел обнаружения (LOD) определяется как минимальная концентрация вещества, которую можно измерить и указать с 99%-ной достоверностью, из которой допустимо качественное обнаружение образца в данной матрице относительно аналита. Предел обнаружения (LOD) получается путем расчета стандартного отклонения как минимум для семи повторных анализов. Затем стандартное отклонение умножается на коэффициент Стьюдента t для общего числа повторов (n) для n - 1 степеней свободы.
Все анализы, используемые для расчета MDL, должны быть последовательными:
a) Раздробить примерно 2 г подходящего полимера из чистого источника, не содержащего бромированных антипиренов или других компонентов, которые могут помешать анализу (например, полиэтиленовый материал BCR-681 или другой).
b) Взвесить 100 мг измельченного полимера и поместить его в экстракционную гильзу. Повторить данную операцию еще шесть раз.
c) Установить экстракционную гильзу в экстракционный аппарат Сокслета.
d) Добавить в гильзу 5 мкг каждого калибровочного конгенера, приближаясь к концентрации калибранта с наименьшей концентрацией.
e) С помощью соответствующей процедуры (экстрагирование согласно
8.2.3 или
8.2.4) произвести экстрагирование и анализ каждого из образцов.
f) Степень извлечения каждого конгенера должна составлять от 70% до 130%. Если степень извлечения находится ниже или выше данных предельных значений, анализ следует повторить. Если степень извлечения выходит за пределы указанных значений и во второй раз, необходимо повторить всю процедуру экстрагирования и анализа.
g) Расчетный MDL для каждого технического огнестойкого соединения должен быть меньшим или равным 100 мг/кг.
Если требования к LOD или MDL не выполняются, к процедуре экстрагирования можно добавить операцию концентрирования. Так как операция концентрирования приведет к повышению концентрации полимера в экстракте, для каждого образца рекомендуется также операция очистки. Это поможет увеличить срок службы колонки и расширить периодичность технического обслуживания прибора. Если в ходе анализа используются операции концентрирования и очистки, они должны применяться также и по отношению к образцам определения MDL.
C.10 Протокол испытаний
Для целей настоящего стандарта применяется IEC 62321-1:2013 (раздел 4.8 "Протокол испытаний"), дополненный следующим:
- идентификация технических смесей (если таковые имеются), используемых для калибровки.
(справочное)
ПРИМЕРЫ ХРОМАТОГРАММ В ПРЕДЛАГАЕМЫХ УСЛОВИЯХ
D.1 Метод GC-MS
Таблица D.1
Конгенеры PBB и PBDE в смеси
Конгенеры PBB | Конгенеры PBDE |
B-2 = 3-бромбифенил | BDE-1 = 2-бромдифениловый эфир |
B-10 = 2,6-дибромбифенил | BDE-7 = 2,4-дибромдифениловый эфир |
B-30 = 2,4,6-трибромбифенил | BDE-28 = 2,4,4'-трибромдифениловый эфир |
B-80 = 3,3',5,5'-тетрабромбифенил | BDE-47 = 2,2',4,4'-тетрабромдифениловый эфир |
B-103 = 2,2',4,5',6-пентабромбифенил | BDE-99 = 2,2',4,4',5-пентабромдифениловый эфир |
B-169 = 3,3',4,4',5,5'-гексабромбифенил | BDE-100 = 2,2',4,4',6-пентабромдифениловый эфир |
B-194 = 2,2',3,3',4,4',5,5'-октабромбифенил | BDE-154 = 2,2',4,4',5,6'-гексабромдифениловый эфир |
B-206 = 2,2',3,3',4,4',5,5',6-нонабромбифенил | BDE-183 = 2,2',3,4,4',5',6-гептабромдифениловый эфир |
B-209 = декабромбифенил | BDE-203 = 2,2',3,4,4',5,5',6-октабромдифениловый эфир |
- | BDE-206 = 2,2',3,3',4,4',5,5',6-нонабромдифениловый эфир |
- | BDE-209 = декабромдифениловый эфир |
Рисунок D.1 - Общая ионная хроматограмма смеси PBDE от BDE-1
до BDE-206 (5 мкг/мл), BDE-209 (50 мкг/мл)
Рисунок D.2 - Общая ионная хроматограмма смеси PBB
(3,5 мкг/мл)
Рисунок D.3 - Общая ионная хроматограмма смесей PBB и PBDE
(от BDE-1 до BDE-206 5 мкг/мл, BDE-209 50 мкг/мл,
PBB 3,5 мкг/мл)
На
рисунках D.1 -
D.3 приведены хроматограммы, полученные с использованием параметров GC, описанных в
8.3.
D.2 Метод IAMS
На
рисунках D.4 -
D.7 приведены примеры масс-спектрометрических хроматограмм PBDE по методу IAMS
Рисунок D.4 - Масс-спектр каждого конгенера PBDE по IAMS-1
(от триBDE до гексаBDE)
Рисунок D.5 - Масс-спектр каждого конгенера PBDE по IAMS-2
(от гептаBDE до декаBDE)
Рисунок D.6 - Масс-спектры технического октаBDE(a)
в виде смеси
Рисунок D.7 - Температурно-программируемая хроматография
каждого конгенера PBDE в количественном анализе
эталонного материала (ERM EC-590)
D.3 Метод HPLC-UV
На
рисунках D.8 -
D.11 приведены примеры хроматограмм PBDE и PBB по методу HPLC-UV.
Рисунок D.8 - Хроматограмма и УФ-спектр декаBDE
Рисунок D.9 - Хроматограмма и УФ-спектр декаBB
Рисунок D.10 - Хроматограмма и УФ-спектр октаBDE
Рисунок D.11 - Хроматограмма и УФ-спектр октаBB
(справочное)
ПРИМЕР ВОЗМОЖНОСТИ ИСПОЛЬЗОВАНИЯ
МЕТОДОВ ИСПЫТАНИЙ IAMS, HPLC И GC-MS
На
рисунке E.1 приведен пример блок-схемы для качественного и полуколичественного применения методов испытаний IAMS, HPLC и GC-MS для определения PBB и PBDE в полимерах.
--------------------------------
<1> IAMS: технические смеси.
HPLC/UV: технические смеси.
<2> Количественный анализ возможен, если:
a) отсутствуют помехи (никаких дополнительных пиков от других соединений, кроме целевых);
b) присутствует полная последовательность пиков (присутствуют все пики смеси технических соединений).
В случае несоблюдения
перечисления a) или
b) единственным методом для применения является GC-MS.
Рисунок E.1 - Пример блок-схемы для качественного
и полуколичественного применения методов испытаний IAMS,
HPLC и GC-MS
(справочное)
РЕЗУЛЬТАТЫ МЕЖДУНАРОДНЫХ МЕЖЛАБОРАТОРНЫХ
СЛИЧИТЕЛЬНЫХ ИСПЫТАНИЙ 4B (IIS4B)
Таблица F.1
Статистические данные для GC-MS-метода
Метод | Образец | Параметр | | | | | | | | | Выброс (количество лабораторий) |
GC-MS | IIS4B-K01 | PBB | 0 | 0 | 33 | 0,0 | 0,0 | 0,0 | 0,0 | 11 | 0 |
IIS4B-L02 | PBB | 0 | 0 | 33 | 0,0 | 0,0 | 0,0 | 0,0 | 11 | 0 |
IIS4B-M03 | PBB | 0 | 0 | 33 | 0,0 | 0,0 | 0,0 | 0,0 | 11 | 0 |
IIS4B-K01 | PBDE | 1298 | 1272 | 27 | 72,6 | 203,4 | 153,3 | 429,1 | 9 | 2 |
IIS4B-L02 | PBDE | 1 | 0 | 33 | 1,5 | 4,3 | 2,1 | 5,8 | 11 | 0 |
IIS4B-M03 | PBDE | 4620 | 5000 | 30 | 209,3 | 586,1 | 889,5 | 2490,5 | 10 | 1 |
IIS4B-K01 | ГексаBDE | 94 | 93 | 27 | 3,3 | 9,3 | 16,9 | 47,2 | 9 | 2 |
IIS4B-L02 | ГексаBDE | 0 | 0 | 29 | 0,0 | 0,0 | 0,0 | 0,0 | 10 | 0 |
IIS4B-M03 | ГексаBDE | 306 | 450 | 30 | 18,7 | 52,5 | 73,8 | 206,8 | 10 | 1 |
IIS4B-K01 | ГептаBDE | 519 | 489 | 33 | 46,4 | 129,8 | 108,8 | 304,7 | 11 | 0 |
IIS4B-L02 | ГептаBDE | 0 | 0 | 30 | 0,0 | 0,0 | 0,0 | 0,0 | 10 | 0 |
IIS4B-M03 | ГептаBDE | 1748 | 2050 | 30 | 113,7 | 318,4 | 335,6 | 939,7 | 10 | 1 |
IIS4B-K01 | ОктаBDE | 484 | 426 | 27 | 26,8 | 75,1 | 44,4 | 124,2 | 9 | 2 |
IIS4B-L02 | ОктаBDE | 0 | 0 | 30 | 0,0 | 0,0 | 0,0 | 0,0 | 10 | 0 |
IIS4B-M03 | ОктаBDE | 1688 | 1800 | 27 | 72,6 | 203,4 | 264,7 | 741,1 | 9 | 2 |
IIS4B-K01 | НонаBDE | 211 | 247 | 27 | 15,7 | 43,9 | 47,1 | 131,8 | 9 | 2 |
IIS4B-L02 | НонаBDE | 0 | 0 | 30 | 0,0 | 0,0 | 0,0 | 0,0 | 10 | 0 |
IIS4B-M03 | НонаBDE | 696 | 650 | 27 | 63,5 | 177,7 | 178,2 | 499,1 | 9 | 2 |
IIS4B-K01 | ДекаBDE | 12 | 18 | 33 | 3,6 | 10,1 | 13,2 | 37,0 | 11 | 0 |
IIS4B-L02 | ДекаBDE | 1 | 0 | 30 | 1,6 | 4,5 | 2,2 | 6,1 | 10 | 0 |
IIS4B-M03 | ДекаBDE | 81 | 50 | 24 | 9,4 | 26,3 | 26,3 | 73,7 | 8 | 3 |
<a> m - общее среднее анализируемое значение, мг/кг. <b> v - ожидаемое значение, мг/кг. <c> n - количество результатов испытаний, взятых для расчета. <d> s( r) - стандартное отклонение повторяемости. <f> s( R) - стандартное отклонение воспроизводимости. <g> R - воспроизводимость. <h> p - количество лабораторий, чьи данные взяты для расчета. |
Таблица F.2
Статистические данные для IAMS-метода
Метод | Образец | Параметр | | | | | | | | | Выброс (количество лабораторий) |
IAMS | IIS4B-K01 | PBB | 0 | 0 | 18 | 0,0 | 0,0 | 0,0 | 0,0 | 6 | 1 |
IIS4B-L02 | PBB | 0 | 0 | 21 | 0,0 | 0,0 | 0,0 | 0,0 | 7 | 0 |
IIS4B-M03 | PBB | 0 | 0 | 18 | 0,0 | 0,0 | 0,0 | 0,0 | 6 | 1 |
IIS4B-K01 | PBDE | 1026 | 1272 | 18 | 108,4 | 303,5 | 150,5 | 421,4 | 6 | 1 |
IIS4B-L02 | PBDE | 0 | 0 | 18 | 0,0 | 0,0 | 0,0 | 0,0 | 6 | 1 |
IIS4B-M03 | PBDE | 4844 | 5000 | 15 | 185,6 | 519,8 | 717,9 | 2010,0 | 5 | 2 |
IIS4B-K01 | ГексаBDE | 66 | 93 | 21 | 27,4 | 76,7 | 154,2 | 431,7 | 7 | 5 |
IIS4B-L02 | ГексаBDE | 0 | 0 | 21 | 0,0 | 0,0 | 0,0 | 0,0 | 7 | 0 |
IIS4B-M03 | ГексаBDE | 333 | 450 | 9 | 19,2 | 53,9 | 27,0 | 75,6 | 3 | 4 |
IIS4B-K01 | ГептаBDE | 390 | 489 | 15 | 46,4 | 129,8 | 79,4 | 222,3 | 5 | 2 |
IIS4B-L02 | ГептаBDE | 0 | 0 | 18 | 0,0 | 0,0 | 0,0 | 0,0 | 6 | 1 |
IIS4B-M03 | ГептаBDE | 1869 | 2050 | 15 | 183,1 | 512,6 | 292,4 | 818,7 | 5 | 2 |
IIS4B-K01 | ОктаBDE | 457 | 426 | 18 | 44,5 | 124,7 | 113,1 | 316,6 | 6 | 1 |
IIS4B-L02 | ОктаBDE | 0 | 0 | 21 | 0,0 | 0,0 | 0,0 | 0,0 | 7 | 0 |
IIS4B-M03 | ОктаBDE | 1921 | 1800 | 15 | 105,5 | 295,5 | 430,7 | 1205,9 | 5 | 2 |
IIS4B-K01 | НонаBDE | 165 | 247 | 15 | 14,0 | 39,3 | 90,9 | 254,4 | 5 | 2 |
IIS4B-L02 | НонаBDE | 0 | 0 | 18 | 0,0 | 0,0 | 0,0 | 0,0 | 6 | 1 |
IIS4B-M03 | НонаBDE | 518 | 650 | 15 | 93,2 | 261,0 | 344,3 | 964,1 | 5 | 2 |
IIS4B-K01 | ДекаBDE | 2 | 18 | 18 | 1,0 | 2,9 | 5,9 | 16,6 | 6 | 1 |
IIS4B-L02 | ДекаBDE | 0 | 0 | 21 | 0,0 | 0,0 | 0,0 | 0,0 | 7 | 0 |
IIS4B-M03 | ДекаBDE | 109 | 50 | 15 | 9,0 | 25,2 | 27,1 | 75,9 | 5 | 2 |
<a> m - общее среднее анализируемое значение, мг/кг. <b> v - ожидаемое значение, мг/кг. <c > n - количество результатов испытаний, взятых для расчета. <d> s( r) - стандартное отклонение повторяемости. <f> s( R) - стандартное отклонение воспроизводимости. <g> R - воспроизводимость. <h> p - количество лабораторий, чьи данные взяты для расчета. |
Таблица F.3
Статистические данные для HPLC-UV-метода
Метод | Образец | Параметр | | | | | | | | | Выброс (количество лабораторий) |
HPLC | IIS4B-K01 | PBB | 0 | 0 | 18 | 0,0 | 0,0 | 0,0 | 0,0 | 6 | 0 |
IIS4B-L02 | PBB | 0 | 0 | 18 | 0,0 | 0,0 | 0,0 | 0,0 | 6 | 0 |
IIS4B-M03 | PBB | 0 | 0 | 18 | 0,0 | 0,0 | 0,0 | 0,0 | 6 | 0 |
IIS4B-K01 | PBDE | 1136 | 1272 | 9 | 56,9 | 159,3 | 351,9 | 985,3 | 3 | 3 |
IIS4B-L02 | PBDE | 0 | 0 | 18 | 0,0 | 0,0 | 0,0 | 0,0 | 6 | 0 |
IIS4B-M03 | PBDE | 3563 | 5000 | 12 | 228,1 | 638,5 | 762,0 | 2133,5 | 4 | 2 |
IIS4B-K01 | ГексаBDE | Нет данных | 93 | 18 | 0,0 | 0,0 | 0,0 | 0,0 | 6 | 6 |
IIS4B-L02 | ГексаBDE | 0 | 0 | 18 | 0,0 | 0,0 | 0,0 | 0,0 | 6 | 0 |
IIS4B-M03 | ГексаBDE | Нет данных | 450 | 18 | 0,0 | 0,0 | 0,0 | 0,0 | 6 | 6 |
IIS4B-K01 | ГептаBDE | Нет данных | 489 | 18 | 0,0 | 0,0 | 0,0 | 0,0 | 6 | 6 |
IIS4B-L02 | ГептаBDE | 0 | 0 | 18 | 0,0 | 0,0 | 0,0 | 0,0 | 6 | 0 |
IIS4B-M03 | ГептаBDE | Нет данных | 2050 | 18 | 0,0 | 0,0 | 0,0 | 0,0 | 6 | 6 |
IIS4B-K01 | ОктаBDE | 587 | 426 | 12 | 64,8 | 181,6 | 135,2 | 378,6 | 4 | 2 |
IIS4B-L02 | ОктаBDE | 0 | 0 | 18 | 0,0 | 0,0 | 0,0 | 0,0 | 6 | 0 |
IIS4B-M03 | ОктаBDE | 2344 | 1800 | 12 | 137,2 | 384,2 | 700,2 | 1960,5 | 4 | 2 |
IIS4B-K01 | НонаBDE | Нет данных | 247 | 18 | 0,0 | 0,0 | 0,0 | 0,0 | 6 | 6 |
IIS4B-L02 | НонаBDE | 0 | 0 | 18 | 0,0 | 0,0 | 0,0 | 0,0 | 6 | 0 |
IIS4B-M03 | НонаBDE | Нет данных | 650 | 18 | 0,0 | 0,0 | 0,0 | 0,0 | 6 | 6 |
IIS4B-K01 | ДекаBDE | Ниже уровня обнаружения | 18 | 18 | 0,3 | 0,7 | 8,3 | 23,3 | 6 | 0 |
IIS4B-L02 | ДекаBDE | 0 | 0 | 18 | 0,0 | 0,0 | 0,0 | 0,0 | 6 | 0 |
IIS4B-M03 | ДекаBDE | Ниже уровня обнаружения | 50 | 18 | 0,4 | 1,1 | 19,6 | 54,8 | 6 | 0 |
<a> m - общее среднее анализируемое значение, мг/кг. <b> v - ожидаемое значение, мг/кг. <c > n - количество результатов испытаний, взятых для расчета. <d> s( r) - стандартное отклонение повторяемости. <f> s( R) - стандартное отклонение воспроизводимости. <g> R - воспроизводимость. <h> p - количество лабораторий, чьи данные взяты для расчета. |
(справочное)
СВЕДЕНИЯ О СООТВЕТСТВИИ ССЫЛОЧНЫХ МЕЖДУНАРОДНЫХ СТАНДАРТОВ
МЕЖГОСУДАРСТВЕННЫМ СТАНДАРТАМ
Таблица ДА.1
Обозначение ссылочного международного стандарта | Степень соответствия | Обозначение и наименование соответствующего межгосударственного стандарта |
IEC 62321:2008 | - | |
IEC 62321-1:2013 | IDT | ГОСТ IEC 62321-1-2016 "Определение регламентированных веществ в электротехнических изделиях. Часть 1. Введение и обзор" |
IEC 62321-2:2013 | IDT | ГОСТ IEC 62321-2-2016 "Определение регламентированных веществ в электротехнических изделиях. Часть 2. Разборка, отсоединение и механическая подготовка образца" |
<*> Соответствующий межгосударственный стандарт отсутствует. До его принятия рекомендуется использовать перевод на русский язык данного международного стандарта. Примечание - В настоящей таблице использовано следующее условное обозначение степени соответствия стандартов: - IDT - идентичные стандарты. |
[1] | Environmental Health Criteria 152: Polybrominated Biphenyls, World Health Organisation, Geneva, 1994 http://www.inchem.org/documents/ehc/ehc/ehc152.htm |
[2] | Environmental Health Criteria 162: Brominated Biphenyl Ethers, World Health Organisation, Geneva, 1994 http://www.inchem.org/documents/ehc/ehc/ehc162.htm |
[3] | Environmental Health Criteria 172: Tetrabromobisphenol A and Derivatives, World Health Organisation, Geneva, 1995 http://www.inchem.org/documents/ehc/ehc/ehc172.htm |
[4] | RIESS M., VAN ELDIK R., CHROMATOGR J.A. 1998, 827, 65 |
[5] | SCHABRON J.F., FENSKA L.E. Anal. Chem., 1980, 52, 1411 |
[6] | Zulaikca J., Guiochon G. Anal. Chem. 1963, 35, 1725 |
[7] | HANEY M.A., DARK W.A. CHROMATOGR J., Sci., 1980, 18, 655 |
[8] | DE KOK J.J., DE KOK A., CHROMATOGR J., 1979, 171, 269 |
[9] | SATO Y., OKI M., KONDO A., TAKENAKA M., SATAKE H. Anal. Methods, 2010, 2, 701 |
[10] | KEMLEIN S. Polybrominated flame retardants: Development of an analytical method for the determination and evaluation of the occurrence in various environmental compartments, Technical University Berlin, 2000. ISBN 3-89820-128-7 |
[11] | KIMBROUGH D.E., WAKAKUWA J., Janice R. Environ. Sci. Technol., 1989, 23, 898 |
[12] |  C.C. Polybrominated biphenyls and polybrominated diphenylethers - detection and determination in selected food samples. Thesis.  zu  , 1988 |
[13] | KEMMLEIN S., BERGMANN M., JANN O. Standard measurement method for the determination of polybrominated flame retardants (pentabromodiphenylether, octabromodiphenylether) in products. Research Report 202 67 300, German Federal Environmental Agency, 2005, UBA-Texte 31/05 |
[14] | United States Environmental Protection Agency (EPA), EPA 1613: 1994: Tetra-through octa-chlorinated dioxins and furans by isotope dilution HRGC/HRMS |
[15] | United States Environmental Protection Agency (EPA), EPA 8270c: 1996: Semivolatile organic compounds by gas chromatography and mass spectrometry |
[16] | European Chemicals Bureau, Institute for Health and Consumer Protection, Bis(pentabromophenyl)ether - EINECS N 214-604-9/CAS N 1163-19-5 Final Risk Assessment Report; EUR 20402 EN; http://esis.jrc.ec.europa.eu/ |
[17] | Certification of the mass fractions of various polybrominated diphenyl ethers (PBDEs), decabrominated biphenyl and total Br and total Sb in two polymer reference materials, http://www.erm-crm.org/ERM_products/search/reports/EC590-591.pdf |
УДК 621.3:543.632.495 | | IDT |
Ключевые слова: электротехнические изделия, электронные изделия, регламентированные вещества, полибромированные бифенилы, полибромированные дифениловые эфиры |