Главная // Актуальные документы // ГОСТ (Государственный стандарт)СПРАВКА
Источник публикации
М.: ФГБУ "Институт стандартизации", 2024
Примечание к документу
Документ включен в
Перечень международных и региональных (межгосударственных) стандартов, а в случае их отсутствия - национальных (государственных) стандартов, в результате применения которых на добровольной основе обеспечивается соблюдение требований технического
регламента Таможенного союза "О безопасности низковольтного оборудования" (ТР ТС 004/2011), и
Перечень международных и региональных (межгосударственных) стандартов, а в случае их отсутствия - национальных (государственных) стандартов, содержащих правила и методы исследований (испытаний) и измерений, в том числе правила отбора образцов, необходимые для применения и исполнения требований технического
регламента Таможенного союза "О безопасности низковольтного оборудования" (ТР ТС 004/2011) и осуществления оценки соответствия объектов технического регулирования (
Решение Коллегии Евразийской экономической комиссии от 11.05.2023 N 55).
Документ был включен в
Перечень стандартов, в результате применения которых на добровольной основе обеспечивается соблюдение требований технического
регламента Таможенного союза "О безопасности низковольтного оборудования" (ТР ТС 004/2011), и
Перечень стандартов, содержащих правила и методы исследований (испытаний) и измерений, в том числе правила отбора образцов, необходимые для применения и исполнения требований технического
регламента Таможенного союза "О безопасности низковольтного оборудования" (ТР ТС 004/2011) и осуществления оценки соответствия объектов технического регулирования (
Решение Комиссии Таможенного союза от 16.08.2011 N 768).
Документ
вводится в действие с 01.01.2025 с правом досрочного применения.
Название документа
"ГОСТ IEC 62311-2013. Межгосударственный стандарт. Оценка электронного и электрического оборудования в отношении ограничений воздействия на человека электромагнитных полей (0 Гц - 300 ГГц)"
(введен в действие Приказом Росстандарта от 24.01.2024 N 48-ст)
"ГОСТ IEC 62311-2013. Межгосударственный стандарт. Оценка электронного и электрического оборудования в отношении ограничений воздействия на человека электромагнитных полей (0 Гц - 300 ГГц)"
(введен в действие Приказом Росстандарта от 24.01.2024 N 48-ст)
по техническому регулированию
и метрологии
от 24 января 2024 г. N 48-ст
МЕЖГОСУДАРСТВЕННЫЙ СТАНДАРТ
ОЦЕНКА ЭЛЕКТРОННОГО И ЭЛЕКТРИЧЕСКОГО ОБОРУДОВАНИЯ
В ОТНОШЕНИИ ОГРАНИЧЕНИЙ ВОЗДЕЙСТВИЯ НА ЧЕЛОВЕКА
ЭЛЕКТРОМАГНИТНЫХ ПОЛЕЙ (0 Гц - 300 ГГц)
Assessment of electronic and equipment related to human
exposure restrictions for electromagnetic fields
(0 Hz - 300 GHz)
(IEC 62311:2007, IDT)
ГОСТ IEC 62311-2013
Дата введения
1 января 2025 года
с правом досрочного применения
Цели, основные принципы и основной порядок проведения работ по межгосударственной стандартизации установлены
ГОСТ 1.0 "Межгосударственная система стандартизации. Основные положения" и
ГОСТ 1.2 "Межгосударственная система стандартизации. Стандарты межгосударственные, правила и рекомендации по межгосударственной стандартизации. Правила разработки, принятия, обновления и отмены"
1 ПОДГОТОВЛЕН Научно-производственным республиканским унитарным предприятием "Белорусский государственный институт стандартизации и сертификации" (БелГИСС) на основе собственного перевода на русский язык англоязычной версии стандарта, указанного в
пункте 5
2 ВНЕСЕН Федеральным агентством по техническому регулированию и метрологии Российской Федерации
3 ПРИНЯТ Межгосударственным советом по стандартизации, метрологии и сертификации (протокол от 7 июня 2013 г. N 43)
За принятие проголосовали:
Краткое наименование страны по МК (ИСО 3166) 004-97 | Код страны по МК (ИСО 3166) 004-97 | Сокращенное наименование национального органа по стандартизации |
Армения | AM | ЗАО "Национальный орган по стандартизации и метрологии" Республики Армения |
Беларусь | BY | Госстандарт Республики Беларусь |
Казахстан | KZ | Госстандарт Республики Казахстан |
Киргизия | KG | Кыргызстандарт |
Молдова | MD | Институт стандартизации Молдовы |
Россия | RU | Росстандарт |
Таджикистан | TJ | Таджикстандарт |
Узбекистан | UZ | Узстандарт |
4
Приказом Федерального агентства по техническому регулированию и метрологии от 24 января 2024 г. N 48-ст межгосударственный стандарт ГОСТ IEC 62311-2013 введен в действие в качестве национального стандарта Российской Федерации с 1 января 2025 г. с правом досрочного применения
5 Настоящий стандарт идентичен международному стандарту IEC 62311:2007 "Оценка электронного и электрического оборудования в отношении ограничений воздействия на человека электромагнитных полей (0 Гц - 300 ГГц)" ("Assessment of electronic and equipment related to human exposure restrictions for electromagnetic fields (0 Hz - 300 GHz)", IDT).
Международный стандарт разработан Техническим комитетом по стандартизации IEC/TC 106 "Методы оценки электрических, магнитных и электромагнитных полей, воздействующих на человека" Международной электротехнической комиссии (IEC).
При применении настоящего стандарта рекомендуется использовать вместо ссылочных международных стандартов соответствующие им межгосударственные стандарты, сведения о которых приведены в дополнительном
приложении ДА
6 ВВЕДЕН ВПЕРВЫЕ
Информация о введении в действие (прекращении действия) настоящего стандарта и изменений к нему на территории указанных выше государств публикуется в указателях национальных стандартов, издаваемых в этих государствах, а также в сети Интернет на сайтах соответствующих национальных органов по стандартизации.
В случае пересмотра, изменений или отмены настоящего стандарта соответствующая информация будет опубликована на официальном интернет-сайте Межгосударственного совета по стандартизации, метрологии и сертификации в каталоге "Межгосударственные стандарты"
Настоящий стандарт представляет собой прямое применение международного стандарта IEC 62311:2007 "Оценка электронного и электрического оборудования в отношении ограничений воздействия на человека электромагнитных полей (0 Гц - 300 ГГц)".
В настоящем стандарте использованы следующие шрифтовые выделения:
- требования - основной;
- методы испытаний - курсив.
Термины, приведенные в
разделе 3, в тексте стандарта выделены полужирным шрифтом.
Настоящий стандарт распространяется на электронное и электрическое оборудование, для которого отсутствует специальный стандарт на продукцию или группу продукции в отношении ограничения воздействия на человека электромагнитных полей.
Стандарт применяется для оборудования, работающего в диапазоне частот 0 Гц - 300 ГГц.
Целью настоящего основополагающего стандарта является установление методов и критериев оценки оборудования в части основных ограничений или контрольных уровней воздействия на людей, обусловленного электрическими, магнитными и электромагнитными полями, индуцированным током и током прикосновения.
Примечание - Настоящий стандарт распространяется на источники излучения как полезных, так и мешающих электромагнитных сигналов. Если оборудование соответствует требованиям другого соответствующего стандарта, например EN 50371, распространяющегося на маломощное оборудование, то требования настоящего стандарта считаются выполненными и его применение в отношении этого оборудования не требуется. См. также
7.2.
В настоящем стандарте использованы нормативные ссылки на следующие стандарты [для датированных ссылок применяют только указанное издание ссылочного стандарта, для недатированных - последнее издание (включая все изменения)]:
IEC 60050-161:1990 International Electrotechnical Vocabulary - Chapter 161: Electromagnetic compatibility (Международный электротехнический словарь. Глава 161. Электромагнитная совместимость)
В настоящем стандарте применяют следующие термины с соответствующими определениями:
3.1 время усреднения tavg (averaging time tavg): Время, в течение которого воздействие усредняется для определения соответствия.
3.2 основное ограничение (basic restriction): Максимальный уровень воздействия, который не должен быть превышен ни при каких условиях.
Примечание - Примеры основных ограничений приведены в
[6] <1> (приложение II),
[1],
[2] и
[3].
--------------------------------
<1> Цифры, указанные в квадратных скобках, относятся к ссылочным документам, указанным в
библиографии.
3.3 ток прикосновения (contact current): Ток, протекающий через тело человека в результате прикосновения к токопроводящему объекту в электромагнитном поле. Это локально протекающий через тело человека ток (как правило, через руку при непреднамеренном соприкосновении).
3.4 плотность тока J (current density J): Ток, протекающий через единицу площади внутри тела человека в результате воздействия на него электромагнитных полей.
3.5 коэффициент заполнения; рабочий цикл (duty factor; duty cycle): Отношение длительности импульса к периоду следования импульсов в периодической импульсной последовательности. Кроме того, это временная характеристика периодического излучения радиочастотного (RF) источника типа антенны системы поискового радиовызова, представляющая собой отношение средней продолжительности излучения к среднему периоду излучения. Коэффициент заполнения 1,0 соответствует непрерывному излучению.
3.6 напряженность электрического поля E (electric field strength E): Векторная величина, характеризующая свойства электрического поля в данной точке и численно равная отношению силы F, действующей на точечный бесконечно малый заряд q, к величине этого заряда:

.
3.7 испытуемое оборудование; EUT (equipment under test; EUT): Электрическая или электронная аппаратура, которую испытывают на соответствие предельно допустимым уровням воздействия.
3.8 воздействие (exposure): Воздействие электрического, магнитного или электромагнитного поля либо тока прикосновения на человека во всех случаях, за исключением обусловленных физиологическими процессами в организме человека или природными явлениями, и в любом месте, где бы человек ни находился.
3.9 уровень воздействия (exposure level): Значение физической величины, применяемой для оценки воздействия.
Примечание - Физической величиной может быть плотность индуцированного тока, удельная поглощенная мощность, плотность потока энергии, напряженность электрического или магнитного поля, ток в конечностях или ток прикосновения.
3.10 предельно допустимый уровень воздействия (exposure limit): Значение электрического, магнитного или электромагнитного поля, установленное исходя из основного ограничения с учетом допущения наихудшего варианта воздействия. Если предельно допустимый уровень воздействия не превышен, то в этом случае и основное ограничение никогда не будет превышено.
3.11 прямое воздействие (exposure, direct effect of): Результат непосредственного воздействия электромагнитных полей на организм человека.
3.12 косвенное воздействие (exposure, indirect effect of): Результат вторичного воздействия на организм человека электромагнитного поля при возникновении тока прикосновения, удара или ожога, обусловленных соприкосновением с токопроводящим объектом.
3.13 воздействие на часть тела (exposure, partial-body): Локальное воздействие на часть тела человека, приводящее к возникновению соответствующей локальной SAR или индуцированного тока, в отличие от воздействия на все тело человека.
3.14 воздействие на все тело (exposure, whole-body): Воздействие на все тело человека (или на туловище человека в случае, когда учитывается плотность индуцированного тока).
3.15 индуцированный ток (induced current): Ток, наведенный в теле человека в результате воздействия на него электромагнитного поля.
3.16 ток в конечностях (limb current): Ток, протекающий по руке или ноге и представляющий собой ток прикосновения или же индукционный ток, индуцированный внешним полем.
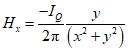
3.17 напряженность магнитного поля H (magnetic field strength H): Векторная величина, характеризующая свойства магнитного поля в данной точке, которая определяется, с какой силой F поле действует на заряд q, движущийся со скоростью v:
(или как отношение индукции магнитного поля к магнитной проницаемости среды, см.
3.18 - "индукция магнитного поля").
3.18
индукция магнитного поля B (magnetic flux density
B): Векторная величина, характеризующая свойства магнитного поля в данной точке и численно равная произведению напряженности магнитного поля
H и магнитной проницаемости среды

:

.
3.19 многочастотные поля (multiple frequency fields): Суперпозиция двух или более электромагнитных полей различной частоты.
Примечание - Это могут быть различные источники излучения внутри одного устройства, например магнетрона и трансформатора микроволновой печи, или это могут быть гармонические составляющие поля, создаваемого источником с одной номинальной частотой излучения, например трансформатором.
3.20 плотность потока энергии S (power density S): Мощность на единицу площади поверхности, расположенной перпендикулярно к направлению распространения электромагнитных волн. Для плоских волн плотность потока энергии S, напряженность электрического поля E и напряженность магнитного поля H связаны между собой волновым сопротивлением свободного пространства, т.е. 377 Ом:

.
Примечание 1 - Для многих измерительных приборов указывают единицу плотности потока энергии, хотя фактически измеряемыми физическими величинами являются E или H либо квадрат этих величин.
E и H выражаются в единицах измерения В/м и А/м, соответственно, а S - Вт/м2.
Примечание 2 - Следует отметить, что значение 377 Ом является действительным только для свободного пространства и условий измерения поля дальней зоны.
3.21 средняя по времени плотность потока энергии (power density, average (temporal)): Мгновенная плотность потока энергии, интегрированная по периоду следования импульсов. Это усреднение не следует путать с усредненным временем измерения.
3.22 плотность потока энергии плоской волны (power density, plane-wave equivalent): Обычно этот термин относится к любой электромагнитной волне, имеющей одинаковую с плоской волной плотность потока энергии и одно и то же значение напряженности электрического (E) или магнитного (H) поля.
3.23 контрольные уровни (reference levels): Значения напряженности поля или плотности потока энергии, установленные исходя из основных ограничений с учетом допущения наихудшего варианта воздействия. Если контрольные уровни не превышены, то и основные ограничения будут соблюдены, но если контрольные уровни превышены, то это не обязательно означает, что основные ограничения не будут выполнены.
3.24 среднеквадратичное значение; r.m.s. (root-mean-square, r.m.s.): Эффективное значение или действующее значение, соотнесенное с количеством выделенной теплоты, периодической электромагнитной волны. Среднеквадратичное значение определяют посредством извлечения квадратного корня из среднего квадрата значения функции:

(формула для временного интервала);

(формула для частотного интервала).
Примечание - Несмотря на то что многие измерительные приборы в высокочастотном диапазоне сразу определяют r.m.s, более достоверное значение получают, используя корень квадратный из суммы квадратов (rss) (эквивалентная напряженность поля).
3.25 корень квадратный из суммы квадратов; rss (root-sum-square; rss): Значение корня квадратного из суммы квадратов получают исходя из трех отдельных среднеквадратичных значений напряженности поля, измеренных по трем ортогональным осям без учета фаз колебаний:

.
3.26 удельная поглощенная энергия; SA (specific absorption; SA): Энергия, поглощенная единицей массы биологической ткани и выраженная в джоулях на килограмм (Дж/кг); удельная поглощенная энергия представляет собой интеграл по времени от удельной поглощенной мощности.
3.27 удельная поглощенная мощность; SAR (specific absorption rate; SAR): Мощность, поглощаемая (рассеиваемая) элементом массы, содержащимся в элементе объема биологической ткани, при воздействии электромагнитного поля. SAR выражается в ваттах на килограмм (Вт/кг). SAR используется как мера воздействия на все тело человека, а также как локальное воздействие.
3.28 оценка воздействия (exposure assessment): В настоящем стандарте под термином "оценка воздействия" понимается оценка соответствия по отношению к требуемому предельно допустимому уровню воздействия.
Контрольные уровни (например, значения предельно допустимых уровней воздействия, уровней исследования) для общего воздействия электрических, магнитных и электромагнитных полей являются производными от основных ограничений и установлены исходя из основных ограничений с учетом допущений реальных наихудших вариантов воздействия. Если контрольные уровни не превышены, то основные ограничения будут также соблюдены; если контрольные уровни превышены, то это не обязательно означает, что превышены и основные ограничения. В некоторых случаях это может быть возможно, чтобы показать соответствие непосредственно основным ограничениям. Соответствие критериям можно также получить измерением или расчетом, чтобы продемонстрировать соблюдение основных ограничений. Часто эти критерии соответствия могут быть получены исходя из реальных допущений относительно условий, при которых может произойти воздействие со стороны устройства, а не из допускаемых заниженных значений, которые являются основой для контрольных уровней.
Примечание - Предельно допустимый уровень воздействия является основным ограничением.
Если технические решения, на основе которых создано оборудование, при обычном расположении пользователя не приводят к возможности излучения электрического и магнитного полей или возникновения тока прикосновения при уровнях, превышающих контрольные уровни, например при отсутствии токопроводящих доступных частей или в случае, когда эти токопроводящие доступные части постоянно заземлены, то оборудование рассматривают как соответствующее требованиям настоящего стандарта в отношении электрического и магнитного полей или тока прикосновения без дальнейшей оценки соответствия.
5 Методы оценки соответствия
Для оценки соответствия может применяться один или более методов, указанных в
7.2.
Оценки должны быть сделаны в соответствии с основным стандартом. Если метод оценки в основном стандарте применяется не полностью, то отклонение допускается, если:
- описание применяемого метода оценки приводится в отчете об оценке соответствия;
- оценивание суммарной неопределенности измерения указывается в отчете об оценке соответствия.
Для передатчиков, предназначенных для использования с внешними антеннами, должна быть проведена оценка соответствия по крайней мере одной комбинации передатчика и антенны. Техническое описание (в условиях поля дальней зоны) этой антенны должно быть настолько подробным, чтобы можно было определить границу соблюдения основных ограничений, например с помощью диаграммы направленности излучения.
Для аппаратуры, не предназначенной для передачи радиосигналов, оценку соответствия излучения электрического и магнитного полей проводят исходя из наивысшей собственной частоты, используемой в аппаратуре или при которой аппаратура работает, учитывая следующие условия:
- если наивысшая собственная частота аппаратуры составляет менее 100 МГц, то оценка соответствия должна быть сделана только до частоты 1 ГГц;
- если наивысшая собственная частота аппаратуры находится в пределах от 100 МГц до 400 МГц, то оценка соответствия должна быть сделана только до частоты 2 ГГц;
- если наивысшая собственная частота аппаратуры находится в пределах от 400 МГц до 1 ГГц, то оценка соответствия должна быть сделана только до частоты 5 ГГц.
Если наивысшая собственная частота аппаратуры превышает 1 ГГц, то измерение выполняют при частоте, в 5 раз превышающей максимальную частоту.
6 Оценка соответствия предельно допустимым уровням воздействия
Аппаратура соответствует требованиям настоящего стандарта, если значения измеренных величин меньше или равны предельно допустимым значениям и если фактическая неопределенность оценки меньше максимальной неопределенности измерения, указанной для применяемого(ых) метода(ов). Оценивание неопределенности применяемого метода осуществляют путем расчета расширенной неопределенности для уровня доверия 95%.
Как правило, для большинства методов оценки параметров электромагнитного поля (ЭМП) используется значение относительной неопределенности, равное 30%. Поэтому этот уровень относительной неопределенности в настоящем стандарте применяется как максимальное значение.
Если значение относительной неопределенности составляет менее 30%, то значение измеренной величины Lm необходимо сравнивать с соответствующим предельно допустимым уровнем воздействия Llim.
Если относительная неопределенность превышает 30%, то фактическая неопределенность должна быть включена в оценку при сопоставлении с предельно допустимым уровнем воздействия.
Если фактическая оценка неопределенности больше, чем установленное предельно допустимое значение неопределенности, и если к тому же она превышает максимальное значение неопределенности 30%, то перед сравнением с предельно допустимым уровнем воздействия в результат измерения должна быть внесена соответствующая поправка. С другой стороны, можно также уменьшить предельно допустимый уровень
Llim на эту же поправку и сравнивать фактическое значение измеренной величины
Lm с уменьшенным предельно допустимым уровнем воздействия. Правая часть
формулы (1) показывает, как уменьшается предельно допустимый уровень
Llim в случае, когда значение фактической относительной неопределенности превышает 30%.
Примечание - Неопределенность методов оценки ЭМП, как правило, указывается в процентах (%). Если неопределенность указывается в нелинейных единицах, например в децибелах (дБ), то тогда значение, выраженное в нелинейных единицах, должно быть преобразовано в значение, выраженное в процентах (%).
Формулу 1 используют для определения того, соответствует ли измеряемая величина
Lm уменьшенному предельно допустимому уровню воздействия, если фактическая измеренная неопределенность применяемого метода оценки составляет 30% или выше.

, (1)
где Lm - измеряемая величина;
Llim - предельно допустимый уровень воздействия;
U(Lm) - абсолютная расширенная неопределенность.
Пример - Предположим, что относительная неопределенность определенного метода оценки ЭМП составляет 55%. Тогда
.
Затем, применяя формулу (1), определяют критерий для измеряемой величины:
.
Поправка к значению неопределенности (значение уменьшенного предельно допустимого уровня) в этом случае рассчитывается по формуле:
Uпоправка = Llim - 0,8Llim = 0,2Llim.
Значения неопределенности, указанные для каждого метода оценки ЭМП, являются максимально допустимыми значениями неопределенности. Если значение неопределенности не указано, то по умолчанию используется значение, равное 30%.
Примечание - Руководство по выражению неопределенности приведено в
[8] и
[9].
7 Применение методов оценки соответствия
7.1 Общие положения
Чтобы выяснить, какие части оборудования излучают ЭМП, необходимо провести соответствующий анализ. Рекомендуется описывать некоторые части оборудования, чтобы определить, какие из них излучают ЭМП. В
таблице 1 приведены характеристики и параметры оборудования, которые должны быть рассмотрены. В
таблице 2 приведен перечень возможных методов оценки.
Таблица 1
Рассматриваемые характеристики и параметры оборудования
Необходимая информация | Подробное описание необходимой информации |
Частота | Частота излучения |
Форма волны | Форма волны и другая информация, например коэффициент заполнения для определения пикового и/или среднего излучения |
Многочастотные источники излучения | Излучает ли оборудование поля более чем на одной частоте или поля, содержащие высшие гармоники? Являются ли излучения одновременными? |
Излучение электрического поля | Разность потенциалов и соединение любых частей, например металлических поверхностей, находящихся под напряжением |
Излучение магнитного поля | Протекание тока и соединение любых частей оборудования, например катушек, датчиков или контуров |
Излучение ЭМП | Прохождение или передача высокочастотных сигналов и любые излучающие части оборудования, например антенны, контуры, датчики и внешние кабели |
Ток прикосновения | Возможность прикосновения к токопроводящим поверхностям, когда поверхность или человек подвергаются воздействию электромагнитного поля |
Воздействие на все тело человека | Поля, создаваемые оборудованием, которые распространяются в той области пространства, где находится все тело человека |
Частичное воздействие на тело человека | Поля, создаваемые оборудованием, которые распространяются только в той области пространства, где находится туловище человека или где расположены его ноги |
Продолжительность/изменение воздействия во времени | Рабочий цикл излучений, время включения/выключения используемой или излучаемой оборудованием энергии. Изменение используемой или излучаемой энергии в процессе производства |
Однородность воздействия | Область поля, в которой напряженность поля изменяется в организме человека или на участке тела, подвергаемого воздействию. Может быть измерена без присутствия человека |
Поле дальней/ближней зоны | Находятся ли излучения в поле ближней зоны (см. приложение A)? Распространяется ли в поле ближней зоны? Распространяется ли в поле дальней зоны? |
Импульсное/переходное поле | Является ли излучение импульсно-модулированным? Имеются ли случайные или периодические переходные процессы в поле? |
Физические параметры | Являются ли размеры оборудования настолько незначительными, что любое существенное воздействие будет приходиться только на часть тела человека? Соотношение с длиной волны (рабочая частота) Являются ли размеры оборудования настолько большими, что разные его части будут подвергаться воздействию "независимо друг от друга"? |
Мощность | Какова мощность излучения? Какова потребляемая мощность? Если имеется антенная система, то что в этом случае является эффективной излучаемой мощностью? |
Расстояние (от источника излучения до пользователя) | Каково пространственное соотношение между оборудованием и оператором или пользователем, когда оно обычно применяется? Расстояние, используемое для оценки соответствия, должно быть указано изготовителем, и оборудование должно использоваться согласно его назначению |
Использование по назначению | Как обычно применяется оборудование? Условия использования предназначены для производства максимального излучения или поглощения? Условия эксплуатации Как применение согласно инструкции влияет на пространственные соотношения между оборудованием и пользователем? Может ли применение согласно инструкции влиять на излучаемые характеристики оборудования? Может ли оборудование быть частью системы? |
Взаимодействие источников/пользователя | Как изменяется излучаемое поле, если оборудование будет находиться близко к человеку? Соприкасается ли оборудование с телом человека во время работы? |
Таблица 2
Перечень возможных методов оценки
Методы оценки | Область применения и ограничения | Ссылка |
Расчет поля дальней зоны | Электромагнитные поля находятся далеко от источника излучения. Приборы сверхвысокой частоты небольшого размера не используются рядом с телом человека, как и низкочастотные передатчики больших размеров не используются на больших расстояниях. Эта область поля антенны, где угловое распределение поля практически не зависит от расстояния до антенны. В этой области (называемой также областью свободного пространства) поле имеет характер преимущественно плоских волн, т.е. локально равномерного распределения напряженности электрического и магнитного полей в плоскостях, расположенных перпендикулярно направлению распространения | |
Расчет поля ближней зоны | Электромагнитные поля находятся в непосредственной близости от источника излучения. В этой зоне возможно взаимное влияние между источником излучаемых полей и пользователем | |
Моделирование | Оценивание результатов измерения внутри фантома, имитирующего тело человека | |
Цифровое моделирование | Только расчет | |
Ток тела/конечность | Измерение и расчет | |
SAR | Расчет и измерения; 100 кГц - 10 ГГц. | |
Для моделирования | |
Измерения E и H | Поле ближней или дальней зоны. Непосредственное измерение для сравнения с контрольными уровнями или в качестве исходных данных для более детальной оценки | |
Источник моделирования | Прогнозирование воздействия на основе расчета излучений на определенном расстоянии | |
Непосредственное измерение физических параметров. Ток прикосновения | | |
Физические характеристики и предполагаемое применение оборудования могут оказать влияние на выбор метода оценки соответствия. Например, излучатели ЭМП, предназначенные для применения в непосредственной близости от человека, оценивают другим образом, чем передатчики, предназначенные для стационарных установок в помещениях. |
7.2 Обобщенная процедура оценки соответствия оборудования
Следующая обобщенная процедура оценки соответствия оборудования включает схему подбора необходимой информации согласно
таблицам 1 и
2:
1) Оборудование должно быть охарактеризовано так, чтобы определить характер излучений ЭМП (см.
8.1), а также предполагаемые условия эксплуатации. Оценка должна осуществляться следующим образом: поля и токи, протекающие через тело человека, должны быть определены для обычного положения пользователя при нормальных условиях эксплуатации и максимальном излучении (см.
примечание), например на основании результатов предварительных испытаний, проведенных при нормальных условиях эксплуатации, указанных изготовителем.
Примечание - По практическим соображениям допускается проведение оценки оборудования, работающего с максимальными настройками (например, с максимальной номинальной нагрузкой, максимальной номинальной потребляемой мощностью, максимальным быстродействием или др.), в соответствии с указанным изготовителем использованием по назначению. Оборудование должно работать определенное время до тех пор, пока условия работы не станут стандартными для его нормальной эксплуатации.
2) Посредством измерения или расчета (см.
8.1). Если значения величин ниже соответствующих контрольных уровней с учетом формы/частоты спектрального состава
(8.1) и любого допустимого временного или пространственного усреднения, то оборудование соответствует требованиям настоящего стандарта. В противном случае необходимо перейти к
перечислению 3).
3) Измеренные значения параметров излучения следует сравнивать с критериями соответствия, относящимися к конкретному оборудованию (например, тип излучения, рабочая частота (диапазон частот), предельно допустимые уровни), которые могут быть определены для оборудования (см.
раздел 5). Если значения параметров излучения ниже критериев соответствия для конкретного оборудования, то считают, что это оборудование соответствует требованиям настоящего стандарта. Если для электрического поля, магнитного поля или тока прикосновения, которые должны быть оценены, критерии соответствия не указаны (например, изготовителем) или если критерии соответствия указаны, но не соблюдаются, то необходимо перейти к
перечислению 4).
Примечание - Технология изготовления некоторого оборудования может допускать наличие воздействия излучения на человека, например магнитного поля, облучение части тела и т.д. На основании этого можно вывести критерии соответствия для конкретного оборудования или определенного типа оборудования, например "если напряженность магнитного поля ниже" или "если мощность ниже".
4) Чтобы сравнить уровни воздействия со всеми соответствующими основными ограничениями на воздействие, необходимо провести дальнейшую оценку, предполагающую более детальные измерения, расчеты и моделирование источника воздействия (см.
8.2). Если уровень воздействия ниже значений основных ограничений, то оборудование соответствует требованиям настоящего стандарта. В противном случае считают, что оборудование не соответствует требованиям настоящего стандарта.
Блок-схема этого процесса приведена на
рисунке 1.
Рисунок 1 - Блок-схема процесса оценки соответствия
Решение "малая мощность/по своей сути соответствует" должно быть основано на оценке в том случае, когда требования к параметрам излучения установлены в стандартах, например в стандарте на технические характеристики передатчика, и когда выходная мощность ограничивается уровнем, который не может превышать основное ограничение. Это также может быть любой стандарт, который устанавливает требования к ограничению уровня излучения, например EN 50371. Некоторая аппаратура, создающая уровни излучения, которые не превышают основных ограничений, например аппаратура, не предназначенная для передачи радиосигналов, такая как наручные часы, ADSL-модемы, компьютеры, телекоммуникационное оборудование и Hi-Fi системы. Это также должно учитываться при проведении оценки соответствия.
Выбор метода оценки соответствия согласно требованиям вышеприведенных
перечислений 3) и
4) является произвольным, но метод должен быть пригоден для оценки величины воздействия и частоты излучения. Если для конкретной величины воздействия существует несколько равноценных методов оценки соответствия, то допускается применять только один метод оценки для этой конкретной величины. Если выбирают только один метод оценки соответствия, то об этом должно быть четко указано с обоснованием причин этого выбора.
8 Многочастотные источники излучения
Основанные на технических характеристиках аппаратуры примеры, приведенные ниже, дают представление о том, какая процедура является наиболее подходящей. Не все процедуры могут быть применимы для аппаратуры. Если источники излучения являются независимыми (некогерентные источники излучения), необходимо рассмотреть возможность того, что их воздействия будут дополняющими по своему эффекту. Для того чтобы эффекты от нестабильных сигналов в диапазоне низких частот были учтены, необходимо, чтобы измерения выполнялись в течение достаточно длительного времени. Расчеты, основанные на такой аддитивности излучения, следует проводить отдельно для каждого эффекта. Поэтому для тепловых и электрических воздействий на тело человека должны быть определены отдельные оценки.
В тех случаях, когда источники не являются независимыми (когерентные источники излучения) или частотами являются гармоники только одного источника излучения, информация о фазе излучаемых колебаний должна быть учтена. В качестве примера можно привести два различных способа суммирования значений физических величин при совместном воздействии полей, установленные Международной комиссией по защите от неионизирующего излучения (ICNIRP) и Институтом инженеров по электротехнике и электронике (IEEE). Для других ограничений могут применять те же принципы.
ICNIRP установлены два различных способа суммирования значений физических величин в диапазонах частот: 1 Гц - 10 МГц для эффектов электрической стимуляции и 100 кГц - 300 ГГц для тепловых эффектов. Аддитивность излучения следует рассматривать отдельно для эффектов теплового и электрического возбуждения, при этом основные ограничения должны быть соблюдены.
IEEE также установлены два различных способа суммирования значений физических величин в диапазонах частот: 0 Гц - 5 МГц для эффектов электрической стимуляции и 3 кГц - 300 ГГц для тепловых эффектов.
8.2 Диапазон частот 1 Гц - 10 МГц (согласно ICNIRP)
8.2.1 Оценка частотной области
Для исследований в частотной области целесообразно при суммировании значений физических величин учитывать относительный сдвиг фаз излучаемых колебаний. Это может быть достигнуто посредством применения анализа Фурье для расчета полученных данных об излучаемых полях. Эту процедуру применяют, только если имеется линейчатый спектр сигнала, например для магнитных полей, имеющих основную частоту и некоторые гармоники.
В этом диапазоне частот основные ограничения устанавливают для плотности индуцированного тока или локального электрического поля. Основные ограничения на основе суммирования воздействий могут учитывать или не учитывать влияние фазы излучаемых колебаний. Наиболее применяемым вариантом является вариант, при котором информация о фазе излучаемых колебаний не принимается во внимание.
Таким образом, с учетом допущения наихудшего варианта воздействия ограничение плотности тока/локального электрического поля при различных частотах или измеренные параметры поля необходимо оценивать по следующей формуле:

,
где Ji - плотность тока при частоте i;
JL,i - основное ограничение плотности тока при частоте i.
При измерении напряженности электрического и магнитного поля значения величин воздействий должны суммироваться в соответствии со следующими формулами:
и

,
где Ei - напряженность электрического поля с частотой i;
EL,i - контрольный уровень напряженности электрического поля с частотой i;
Hj - напряженность магнитного поля с частотой j;
HL,j - контрольный уровень напряженности магнитного поля с частотой j;
a - 87 В/м;
b - 5 А/м (6,25 мкТл).
Для тока прикосновения применяют следующие формулы:

,
где Ik - ток в конечностях при частоте k;
IL,k - контрольный уровень для тока в конечностях при частоте k;
In - ток прикосновения при частоте n;
IC, n - контрольный уровень для тока прикосновения при частоте n.
Большинство вышеуказанных значений величин и формул приведены в соответствии с установленными в
[1].
Примечание 1 - Значения a и b приведены только в качестве примера.
Такое суммирование значений величин воздействий всегда приводит к переоценке воздействия и широкополосных полей, содержащих гармонические составляющие более высокой частоты или шум. Значение ограничения, основанного на формулах суммирования, является заниженным, так как составляющие компоненты в этих формулах не учитывают различие фаз излучаемых колебаний.
Примечание 2 - Более подробные рекомендации по суммированию соответствующих фаз излучаемых колебаний приведены в
[7].
Тем не менее при использовании оборудования, чаще всего применяемого для измерений, соответствующие фазы излучаемых колебаний не измеряются (например, если применяют анализатор спектра), но в этом случае может быть выполнено среднеквадратичное суммирование частотных составляющих. Это обычно дает более достоверный результат, чем полное игнорирование информации о фазе излучаемых колебаний. Примерами среднеквадратичной оценки являются

,
где Hn, En - значения Фурье-компонентов n-го порядка для воздействующего сигнала, соответствующие значениям величин HL,n и EL,n;
HL,n, EL,n - значения максимально допустимого воздействия соответственно электрического и магнитного поля для сигнала синусоидальной формы частотой fn;
k - рассматриваемая максимальная частота.
8.2.2 Оценка временной области
В целом для всех типов сигналов (например, широкополосных, несинусоидальных) применяют систему физического измерения (оценка временной области), которая включает "схему весовой обработки сигналов". Измерение выполняют во временной области, но оценка измеряемого сигнала будет зависеть от частоты. Типичными примерами источников широкополосных сигналов являются электродвигатели и мощные проволокошвейные машины.
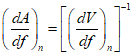
Для сравнения с установленными уровнями воздействия схема весовой обработки сигналов должна иметь частотную характеристику (передаточная функция A), которая соответствует частотной характеристике стандартного воздействия (функция V), чтобы взвешивание и суммирование спектральных компонентов происходили во временной области.
Примечание 1 - Дополнительные сведения по ограничению взвешенных значений параметров поля приведены в
[7]. Этот подход основан на ограничении взвешенного пикового значения широкополосного поля. Функция взвешивания получена для значений контрольных уровней как функция частоты. Ограничение взвешенного пикового значения может применяться для периодических сигналов несинусоидальной формы, в которых соответствующие фазы гармонических составляющих существенно не изменяются.
| "Весовая обработка сигналов" | |
Измеренные значения параметров поля | | Передаточная функция A(f) ~ {V(f)}-1 | | Взвешенные значения параметров поля |
Рисунок 2 - Схема "весовой обработки сигналов"
Пример - Построение передаточной функции исходя из зависимости значений контрольных уровней от частоты f.
V(
fC0) =
V0,
V(
fC1) =
V1 и крутизна спада

Рисунок 3 - График зависимости значений контрольных
уровней V от частоты со сглаживанием значений
Передаточная функция
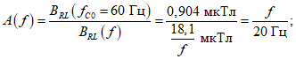
A, приведенная на
рисунке 3, является обратной, пронормированной по
V0, функцией контрольного уровня
V. Нормирование проводится на частоте
fC0, которая является масштабированной частотой оборудования (например, 50 или 60 Гц).
Передаточная функция
A, приведенная на
рисунке 4, должна быть реализована на основе фильтра первого порядка и иметь следующую характеристику (представлена в двойном логарифмическом масштабе):
Рисунок 4 - Передаточная функция
A

.
Для передаточной функции должны выполняться следующие условия:
и
крутизна нарастания

.
Примеры для измерения магнитной индукции (для других величин применяют аналогичные процедуры).
Контрольный уровень BRL(f) согласно ICNIRP может быть использован для расчета передаточной функции следующим образом:
V(f) = BRL(f);
(
f1 = 10 Гц) <=
f <= (
fC1 = 800 Гц):

;
(
fC1 = 800 Гц) <=
f <= (
f2 = 150 кГц):

(
f2 = 150 кГц) <=
f <= (
fn=3 = 400 кГц):

.
Фактически измеренное значение магнитной индукции B по сравнению с максимально допустимым значением воздействия BRL(f) при частоте fC0 (A0 = 1) должно быть:

,
где
B - фактически измеренное значение, адекватно нормированное с передаточной функцией (см.
рисунок 2);
BRL - максимально допустимое значение воздействия при частоте fC0, соответствующее значению B. Если B представляет собой r.m.s., то и значение BRL должно быть определено как r.m.s., в противном случае оно должно быть выбрано равным пиковому значению.
Примечание 2 - Для измерения полей малой длительности (менее 1 с) рекомендуется использовать приборы, предназначенные для регистрации пиковых значений. При выполнении измерений не должен использоваться автоматический выбор диапазона, если таковой имеется.
8.3 Диапазон частот 100 кГц - 300 ГГц (согласно ICNIRP)
В этом диапазоне частот требования к ограничению воздействия ориентированы на предотвращение тепловых эффектов. Основные ограничения устанавливаются для SAR и плотности потока энергии, а суммирование значений этих величин должно соответствовать формуле

,
где SAR - результат воздействия на все тело или на часть тела человека. Значения SAR частей тела человека суммируют и значения SAR всего тела человека также суммируют вместе. Значения SAR частей тела человека не должны суммироваться совместно со значениями SAR всего тела человека;
SARi - значение SAR в результате воздействия поля с частотой i;
SARL - основное ограничение по SAR;
Si - плотность потока энергии в результате воздействия поля с частотой i;
SL - основное ограничение по плотности потока энергии.
Сумма значений напряженностей воздействующего поля и значений контрольных уровней, вычисленная как rss, должна удовлетворять следующим требованиям:
и

,
где Ei - напряженность электрического поля с частотой i;
EL,i - контрольный уровень для электрического поля;
Hi - напряженность магнитного поля с частотой i;
HL,i - контрольный уровень для магнитного поля;
c - 87/f1/2, В/м (f - частота, МГц);
d - 0,73/f, А/м (f - частота, МГц).
Суммирование токов в конечностях должно проводиться в соответствии с выражением

,
где Ik - составляющая тока в конечностях при воздействии поля с частотой k;
IL,k - контрольный уровень тока для конечностей, 45 мА.
Все вышеуказанные значения величин и формулы приведены в соответствии с установленными в
[1].
Примечание - Значения c и d приведены только в качестве примера.
При таком суммировании тепловыми режимами и относительными фазами спектральных составляющих можно пренебречь.
8.4 Диапазон частот 0 кГц - 5 МГц (согласно IEEE)
8.4.1 Оценка частотной области
Суммирование значений физических величин осуществляют от самой низкой частоты воздействия до максимальной частоты, равной 5 МГц.

,
где MEi - предельно допустимый уровень воздействия или основное ограничение локального поля, образованного синусоидальным сигналом с частотой fi;
Ni - величина i-го компонента Фурье в результате воздействия сигнала, аналогичного ME.
Примечание -
Формула взята из
[2]. Дополнительная поясняющая информация приведена в указанном документе.
Необходимо учитывать, что Ni и MEi должны относиться к измерению одной и той же величины и, кроме того, должны быть выражены в одних и тех же единицах измерения.
Например, если Ni представляет собой значение плотности потока энергии, то MEi должна быть мерой плотности потока энергии. Кроме того, Ni и MEi могут быть производными поля по времени, например индуцированного локального электрического поля или плотности индуцированного тока.
8.4.2 Оценка временной области
Оценку временной области по
8.2.2 можно также применять и в соответствии с методиками, установленными IEEE. В этом случае передаточная функция исходя из контрольных уровней
BRL(f) согласно IEEE может быть рассчитана следующим образом:
(
f1 = 10 Гц) <=
f <= (
fC1 = 20 Гц):

(
fC1 = 20 Гц) <=
f <= (
f2 = 759 Гц):

;
(
f2 = 759 Гц) <=
f <= (
f3 = 3,35 кГц):

(
f3 = 3,35 кГц) <=
f <= (
f4 = 100 кГц):

;
(
f4 = 100 кГц) <=
f <= (
fn=5 = 400 кГц):

Примечание - Все вышеуказанные частоты f выражены в герцах.
8.5 Диапазон частот 3 кГц - 300 ГГц (согласно IEEE)
Когда в окружающей среде имеется несколько источников излучения, возникает необходимость рассмотреть эти источники во взаимосвязи друг с другом в отношении общего воздействия в определенной точке, так как каждый источник будет вносить свой вклад в установление ME. Сумму отношений воздействия от каждого источника излучения (в виде плотности потока энергии эквивалентной плоской волны) к соответствующему значению ME для частоты каждого источника излучения оценивают. Воздействие удовлетворяет ME, если сумма этих отношений меньше единицы:

,
и

.
Примечание - Соответствующее значение ME при вышеуказанном суммировании должно быть выражено в единицах измерения плотности потока энергии или единицах измерения напряженности поля, значение которой возведено в квадрат.
Примечание - Формула взята из
[3]. Дополнительная поясняющая информация приведена в указанном документе.
9 Отчет об оценке соответствия
9.1 Общие положения
Результаты каждой проведенной оценки соответствия, испытаний, расчетов или измерений должны быть точными, четкими, однозначными и объективными и оформлены для применяемого метода(ов) в соответствии со всеми специальными инструкциями.
Результаты должны быть отражены, как правило, в отчете об оценке соответствия и включать всю информацию, необходимую для интерпретации результатов оценки соответствия, испытаний или калибровки, а также всю необходимую информацию по применяемому методу.
Вся информация, необходимая для получения воспроизводимых результатов при проведении оценки соответствия, испытаний, расчетов или измерений, должна быть указана.
Дополнительная информация о представлении результатов оценки соответствия приведена в ISO/IEC 17025 (подраздел 5.10).
9.2 Данные, регистрируемые в отчете об оценке соответствия
9.2.1 Метод оценки соответствия
Применяемый метод оценки соответствия должен быть отражен в отчете, включая обоснование (см.
раздел 5) выбора этого метода.
9.2.2 Представление результатов
Представленные результаты должны содержать следующие данные:
- описание оборудования/серийный номер, если применимо;
- условия проведения испытаний (температура и т.д.), если применимо;
- условия эксплуатации;
- результаты проверки метода оценки соответствия;
- неопределенность измерения;
- результаты каждой проведенной оценки соответствия.
9.2.3 Оборудование с внешними антеннами
Технические характеристики внешней антенны должны быть задокументированы, чтобы можно было определить границу соблюдения основных ограничений, например, с помощью диаграммы направленности излучения. Характеристики передатчика должны быть также задокументированы (например, выходная мощность, частота, модуляция и т.д.).
10 Информация об используемом оборудовании
Изготовитель должен предоставить всю необходимую информацию об оборудовании относительно его безопасного использования. Если имеется документация по ремонту и техническому обслуживанию оборудования, то она должна содержать, в случае необходимости, особые меры предосторожности при проведении ремонта/технического обслуживания.
(справочное)
РАСЧЕТ ЭЛЕКТРОМАГНИТНОГО ПОЛЯ
A.1 Цель
Настоящее приложение содержит основные сведения о расчете электромагнитного поля, в том числе обоснование границ между зонами поля и некоторую дополнительную информацию касательно формул, применяемых в методах расчета.
A.2 Дальняя зона излучения
При расчете поля не учитываются размеры антенны, которая предполагается точечным источником излучения. Идеальная изотропная антенна используется в качестве эталона для сличения технических характеристик с реальной антенной: мощность P, Вт, равномерно излучается из точки через поверхность сферы радиусом r.
Вектор Пойтинга определяет плотность потока энергии:

.
Для свободного пространства

,
где G - коэффициент усиления изотропной антенны;

,

- полярная и азимутальная угловые координаты точки наблюдения;
r - расстояние от точки наблюдения до антенны;

- волновое сопротивление свободного пространства.
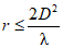
A.3 Ближняя зона излучения
Реальные антенны имеют конечные размеры (не являются точечными источниками излучения).
Рисунок A.1 - Геометрические характеристики антенны
с максимальным линейным размером D
Разность фаз между сигналами от концевой части антенны и от ее центральной части является функцией разности хода

(см.
рисунок A.1). При значении

больше значения критерия Рэлея

эта разность фаз будет существенно изменять уровень сигнала в точке наблюдения. Поэтому при

параметры свободного пространства для точечного источника излучения неприменимы. При очень малых значениях
r влияние реактивного поля является существенным (см.
рисунок A.3, указанный ниже).
Это приводит к необходимости того, чтобы границы излучающего ближнего поля определялись как

.
Если антенна очень короткая, то

может быть меньше

, и в этом случае ближняя зона излучения будет находиться внутри реактивного поля.
A.4 Реактивное поле
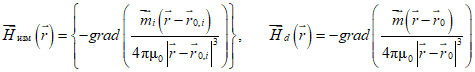
Уравнения электромагнитного поля для сложных антенных систем могут быть получены из полей, создаваемых осциллирующим током

в коротких линейных элементах (см.
рисунок A.2):

,

,

,
где

и

;

- магнитное поле;

- электрическое поле;
Er - радиальное электрическое поле;
I - основной ток, А;
dl - элемент длины, м;

, рад/с (
f - частота, Гц);

, м
-1.
Рисунок A.2 - Элемент тока

в начале
сферической системы координат

представляет собой индукцию поля,

- электростатические ближние поля возле реактивного поля. Энергия циркулирует (отток/приток) вокруг источника излучения, т.е. она не распространяется до бесконечности.
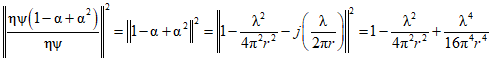
Для определения разности между неизлучающими и излучающими элементами может быть проведен следующий анализ.
Только для значений H2. Суммируют действительные и мнимые составляющие и последующим делением на излучаемую составляющую получают

.
Только для значений E2. При

(т.е. основное излучение от центрального элемента направленной антенны) и

делением действительной и мнимой составляющих

на излучаемую составляющую получают

.
Для значений E·H. При

(т.е. основное излучение от центрального элемента направленной антенны) и

делением действительной и мнимой составляющих

и

на излучаемую составляющую получают

.
Как видно, в вышеприведенных соотношениях

и

сокращаются, благодаря чему окончательные выражения не содержат величин, зависящих от времени и импеданса.
Все составляющие поля E2, H2 и E x H/излучаемые
составляющие поля в зависимости от расстояния
Рисунок A.3 - Соотношение компонентов поля E2, H2 и E·H
A.4.1 Типичная антенна
На
рисунке A.4, приведено соотношение для
E·
H между всеми составляющими поля и излучаемыми составляющими поля для трех типичных антенн. Графики были получены с использованием модели, основанной на векторном суммировании волновых уравнений бесконечно малых волновых элементов. Антенная решетка из 7 симметричных вибраторов и антенная решетка из 12 симметричных вибраторов были смоделированы с использованием аппроксимирования одной бесконечно малой части диполя. Антенна с одним диполем (симметричный вибратор) была разделена на 15 расположенных с промежутками бесконечно малых частей.
Все составляющие поля E x H/излучаемые составляющие поля
E x H для трех типов антенн, в зависимости от расстояния
Рисунок A.4 - Соотношение компонентов поля E·H
для трех типов антенн
A.4.2 Пояснение
Из
рисунка A.4 следует, что для трех типичных направленных антенн на расстоянии от их центрального элемента более

значение отношения всех составляющих поля и излучаемыми составляющими поля равно 1,1 или менее. Таким образом, если минимальное расстояние от центрального элемента направленной антенны составляет

, то максимальная разность между всеми составляющими поля и излучаемыми составляющими поля будет порядка 10% или менее.
A.4.3 Вывод
Для направленной антенны отношение всех компонентов поля к излучаемым компонентам поля для
E·
H равно

при близком расстоянии от антенны, что дает при расстоянии от антенны, равном

, значение отношения всех компонентов поля к излучаемым компонентам поля, равное 1,41. В отличие от антенны с одним диполем, для антенн с несколькими диполями увеличение расстояния от антенны на

от центра других диполей вносит вклад в отношение всех компонентов поля к излучаемым компонентам поля (радиальное
E-поле), но, как видно из
рисунка A.4, это увеличение является предельным.
Рекомендуется использовать расстояние

как границу между излучаемым ближним полем и реактивным полем для оценки соответствия RF-излучения.
Примечание - Это такая ситуация, когда необходимо сопоставление с неопределенностью оценивания SAR.
A.5 Пример расчета области поля при частоте 900 МГц (см. рисунок A.5)
Пример вертикально поляризованной антенны длиной 2 м,
с рабочей частотой 900 МГц и мощностью излучения 100 Вт
Рисунок A.5 - Поле дальней зоны - прямая линия,
излучаемое поле ближней зоны - нижняя линия,
поле ближней зоны - другая нижняя линия
(справочное)
B.1 SAR всего тела человека
B.1.1 Введение
Настоящий стандарт не содержит технических требований к выполнению измерений SAR для всего тела человека. Такие измерения являются предметом дальнейших исследований и будут приведены в следующей версии настоящего стандарта.
Измерения SAR всего тела человека не требуется для радиопередающих устройств, которые имеют уровень максимальной выходной мощности ниже, чем уровни воздействия, соответствующие предельно допустимых уровням, установленным в отношении SAR всего тела при любых условиях. В этом приложении установлены критерии оценки воздействия в отношении SAR всего тела.
Соответствие
SAR установленным требованиям может быть оценено также посредством моделирования (см.
приложение C).
B.1.2 Предполагаемое соответствие SAR всего тела
Если максимальная r.m.s. мощность, излучаемая EUT, меньше значений, указанных в
таблице B.1, то максимальное воздействие не будет превышать пределы соответствия усредненного значения
SAR всего тела при любых условиях, и, следовательно, в выполнении измерений
SAR всего тела нет необходимости.
Таблица B.1
Уровни предполагаемого соответствия
при определении SAR всего тела
Категория людей, подвергающихся воздействию | Максимальная излучаемая r.m.s. мощность, Вт |
Население | Pмакс = SARмакс·12,5 |
Профессиональные работники | Pмакс = SARмакс·42 |
Обоснование уровней мощности предполагаемого соответствия SAR всего тела:
Уровни предполагаемого соответствия при определении SAR всего тела были получены на основании следующих допущений:
a) вся излучаемая антенной мощность поглощается организмом (наихудший вариант);
b) масса тела 4-летнего ребенка и 16-летнего работника были приняты равными соответственно 12,5 и 42 кг. Это 3-й процентиль весовых данных для тела девочек и женщин (заниженные исходные данные) (см. вес тела по данным американского Национального центра статистики в области здравоохранения <1>).
--------------------------------
<1> http://www.cdc.gov/nchs/about/major/nhanes/growthcharts/charts.htm.
B.2 Локальная SAR
В этом разделе описывается процедура измерения максимального значения локальной SAR в модели, которая имитирует тело человека, подвергаемого воздействию RF-поля, излучаемого антенной. Это значение должно быть указано в протоколе измерений, который будет использован для подтверждения того, что EUT при его размещении на соответствующем расстоянии от человека удовлетворяет предельно допустимым уровням локальной SAR.
Это значение локальной SAR может быть также использовано для определения соответствующего расстояния между человеком и излучающим устройством с определенным уровнем мощности или для определения максимальной выходной мощности излучающего устройства при его размещении на требуемом расстоянии от человека.
Так как имеющаяся информация о методах измерения локальной SAR ограничена, то приведенная процедура измерения применима только при следующих условиях:
a) расстояние между моделью тела и внешней поверхностью излучающего устройства должно быть 40 см или менее;
b) площадь поверхности излучающего устройства должна быть менее 60 x 30 см;
c) частота должна быть в диапазоне от 30 до 3000 МГц.
Если эти условия не выполняются, то должна быть проведена оценка напряженности поля или плотности потока энергии в воздухе.
В связи с тем, что рекомендуемые предельно допустимые значения SAR конечностей в пять раз выше, чем для головы и туловища человека, то измерение SAR в конечностях не рассматривается. В качестве модели человека, описанной в этом разделе, было выбрано туловище взрослого мужчины. В целях упрощения изготовления и выполнения измерений модель имеет форму прямоугольного параллелепипеда. Уровень поглощения энергии у такой модели выше, чем у анатомической модели.
Те же ткани, имитирующие жидкости, указанные для измерения
SAR мобильного телефона (см.
[1] <1>, были выбраны для настоящего стандарта. Основанием для того, что диэлектрических параметров кожи и мышечных тканей, которые, как правило, наиболее разоблачены, близкие к указанным для тканей головы. Это также означает, что измерение результатов относятся также к голове экспозиции и что только один набор тканей рецепты необходимых для
SAR тестирование мобильных, портативных и фиксированной EUT.
--------------------------------
<1> Цифры в квадратных скобках в настоящем приложении относятся к ссылочным документам, указанным в
B.3.
Ссылка на
[2] указывает, что однородные фантомные модели, указанные в настоящем стандарте, могут дать локализованные значения
SAR меньше, чем максимальное значение в гетерогенных и анатомически реалистичное тело модели. Необходимы дальнейшие исследования для проверки этих результатов, и можно разработать фантом, который обеспечивает более точную оценку истинного максимума локализованной
SAR.
| IEC 62209-1:2005 | Human exposure to radio frequency fields from hand-held and body-mounted wireless communication devices - Human models, instrumentation, and procedures - Part 1: Procedure to determine the specific absorption rate (SAR) for hand-held devices used in close proximity to the ear (frequency range of 300 MHz to 3 GHz) (Воздействие на человека радиочастотных полей от ручных и находящихся на теле устройств беспроводной связи. Модели человека, измерительные приборы и процедуры. Часть 1. Процедура определения удельного коэффициента поглощения от ручных устройств, находящихся в непосредственной близости от уха (частотный диапазон от 300 МГц до 3 ГГц)) |
| Geddes, L.A. and Baker, L.E., ICRP 66 (1994), International Commission for Radiological Protection, 1994. The Specific Resistance of Biological Material - A Compendium of Data for the Biomedical Engineer. Medical and Biological Engineering, 1967, Vol. 5, pp 271 - 293 (Удельное сопротивление биологической ткани) |
(справочное)
ИНФОРМАЦИЯ О ЦИФРОВОМ МОДЕЛИРОВАНИИ
C.1 Введение
В настоящем приложении приводится информация о целях цифрового моделирования.
В
C.2 -
C.4 приведен краткий обзор моделей тела, а также цифровых моделей источника поля.
В
C.5 -
C.6 приведены методы цифрового расчета, которые могут быть использованы для различных вычислений и для подтверждения соответствия контрольным уровням и основным ограничениям (например, плотность индуцированного тока, плотность потока энергии,
SAR) в сочетании с применяемыми моделями тела и источника поля.
Примеры таких вычислений приведены в последующих подразделах приложения C.
Был проведен сравнительный анализ между различными моделями и методами, с различными степенями корреляции (
[1],
[2] <1>).
--------------------------------
<1> Цифры в квадратных скобках в этом приложении относятся к ссылочным документам, указанным в
C.8.
C.2 Анатомические модели человека
Во время разработки настоящего стандарта было рассмотрено большое количество анатомических моделей. В источниках информации, где описываются эти модели, отсутствуют данные об их предпочтительной пригодности в сравнении с другими моделями или о том, что они более достоверно отражают реальные объекты, чем другие модели. Параметры и размеры моделей могут существенно отличаться, поэтому большинство моделей масштабируют в соответствии с требованиями, установленными к стандартному человеку
([3]).
C.2.1 Проект "Видимый человек"
Совокупность полученных данных по проекту "Видимый человек" - это первый результат плана развития Национальной медицинской библиотеки (США, штат Мэриленд, Бетесда, Роквилль 8600). Это создание анатомически подробного цифрового трехмерного изображения тела мужчины, полученного посредством компьютерной томографии и магнитного резонанса, а также изображений криосекций.
C.2.2 Проект "MEET человек"
Это усовершенствованная версия проекта "Видимый человек", разработанная с целью получения набора данных трехмерного изображения с помощью элементов объемного изображения, который затем был сегментирован и классифицирован для 40 различных типов тканей организма. Эта работа была проведена Институтом биомедицинской техники университета Карлсруэ (Caiserstrasse 12, D-76128 Карлсруэ, Германия).
C.2.3 Модель "Hugo"
Это анатомическая 3D-модель также разработана на основе данных, полученных в результате реализации проекта "Видимый человек". Результаты исследований, проведенных на этой модели, в настоящее время классифицированы для 40 типов тканей организма. Данные представлены в различных формах, включая элементы объемного изображения, применимые для дозиметрии (Организация ViewTec, Schaffhauserstrasse 466, CH-8052 Цюрих, Швейцария).
C.2.4 Модель "Norman"
Эта модель представляет собой 3D-структуру, состоящую из элементов объемного изображения, каждый из которых содержит информацию об определенном типе ткани организма. Данные, полученные с помощью рентгенографических и томографических изображений, классифицированы для 37 различных типов тканей организма. Модель масштабирована в соответствии с требованиями, установленными к стандартному человеку
([3]). Эта работа была проделана Национальным комитетом радиологической защиты (NRPB) (Чилтон, Дидкот, графство Оксфордшир, Великобритания).
C.2.5 Модель, разработанная в университете штата Юта (США)
Это анатомическая модель, представляющая собой объемное изображение тела человека. Данные были получены посредством магнитно-резонансной томографии и классифицированы для 31 типа тканей организма. Модель масштабирована в соответствии с требованиями, установленными к стандартному человеку
([3]).
C.2.6 Модель, разработанная в университете штата Виктория
Это трехмерная объемная модель. Данные, полученные по результатам исследования этой модели, классифицированы для 128 различных тканей организма. Эту работу проводила группа прикладной электродинамики факультета электротехники и компьютерной техники университета штата Виктория (Британская Колумбия, Канада, V8W 3P6).
C.2.7 Модель, разработанная на базе ВВС Брукс (США)
Трехмерная анатомическая модель, созданная на основе изображений, полученных в результате реализации проекта "Видимый человек" (Национальная медицинская библиотека базы ВВС Брукс, штат Техас, США).
Элементы объемного изображения имеют цветовую маркировку более чем для 40 типов тканей тела человека с установленными значениями относительной диэлектрической проницаемости.
C.2.8 Модели тела среднего мужчины и женщины японской национальности
Эти трехмерные модели тела представляют собой анатомические модели, которые была разработаны на основе исследований посредством магнитно-резонансной томографии добровольцев мужчины и женщины японской национальности
[4]. Добровольцы были выбраны для того, чтобы определить средний рост человека японской национальности. Полученные данные классифицированы для 51 типа различных тканей организма.
Это работа была проделана Научно-исследовательской лабораторией по коммуникациям (CRL), наименование которой не было еще изменено на Национальный институт информационных и коммуникационных технологий (NICT) (4-2-1, Nukui-Kitamachi, Коганеи, Токио 184-8795, Япония). Информация об этих моделях находится в открытом доступе (см. http://www.nict.go.jp).
C.2.9 Модель тела человека корейской национальности
Модель базируется на исследовании посредством магнитно-резонансной томографии и частично компьютерной томографии тела добровольца мужчины и соответствует национальному стандарту тела (
[5],
[6],
[7]). Разрешение изображения головы, в том числе шеи, составляет 1 x 1 x 1 мм, а разрешение изображения остальных частей тела - 3 x 3 x 3 мм. Данные измерений классифицированы для 29 различных типов тканей организма. Модель разработана исследовательской группой по радиотехнике, Научно-исследовательский институт электроники и дальней связи (ETRI) (161 Гажеонгдон, Юсонгу, Тэджон, 305-350, Южная Корея).
C.3 Упрощенные однородные модели тела
Для моделирования индуцированной плотности тока или других параметров, таких как плотность потока энергии, SAR и воздействие полей, можно также использовать упрощенную форму однородного тела с равномерной удельной электропроводностью. Подходящими для моделирования тела человека являются вытянутые сфероиды и однородные модели тела. Простые диски и кубоиды также часто используются как в качестве методов для подтверждения вычислений, так как геометрию и ситуацию воздействий легче смоделировать, а затем сравнить с известными результатами и теоретическими данными.
Диэлектрические свойства такой модели часто являются усредненными для всего тела на рассматриваемых частотах, но могут, напротив, быть типичными для отдельных частей тела или типов тканей организма, которые уже были исследованы. Результат существенно зависит от размера модели, и эти модели, как правило, имеют тенденцию к завышению значений плотности тока в поле ближней зоны.
C.3.1 Сфероиды
Для различных целей применения моделей некоторые их размеры приведены в качестве примера. Эти размеры могут быть изменены в зависимости от конкретной ситуации воздействия. Высота и ширина моделей указана в миллиметрах (см.
рисунок C.1).
Туловище: 600 x 300 мм
Голова: 300 x 200 мм
Голова + туловище: 1000 x 350 мм или
1800 x 400 мм, 1800 x 80 мм, 1200 x 60 мм
Рисунок C.1 - Цифровая модель однородного сфероида
Положение модели, например высота от уровня земли, должно соответствовать эквивалентному положению тела человека для оцениваемой ситуации воздействия.
C.3.2 Кубоиды
В качестве модели тела человека применяют однородные кубоиды, приведенный на
рисунке C.2, с длиной ребер
dx =
dy = 0,4 м,
dz = 1,8 м, значения размеров которых приведены в качестве примера для расчета. Для различных целей применения моделей их размеры могут быть изменены в зависимости от конкретной ситуации воздействия.
Рисунок C.2 - Цифровая модель однородного кубоида
C.3.3 Однородные модели тела человека
Более сложными моделями являются модели, которые более точно отображают форму тела или части тела человека, например однородная модель тела, приведенная в DIN 33402-2:1986 <1> и показанная на
рисунках C.3 a) и
C.3 b).
--------------------------------
<1> DIN 33402-2:1986 Размеры антропометрические. Значения.
Размеры в миллиметрах
Рисунок C.3 a) - Изображение тела человека
Размеры в миллиметрах
Рисунок C.3 b) - Детальный чертеж модели головы и плеч
Рисунок C.3 - Цифровая модель однородного тела человека
Для различных целей применения моделей некоторые их размеры (единица измерения - мм) приведены в качестве примера. Размер нижней части (600 мм) представляет собой половину оси эллипса.
Все размеры могут быть изменены в зависимости от конкретной ситуации воздействия, т.е. размер нижней части может быть изменен с 600 мм до 150 или 200 мм.
Положение модели, например высота от уровня земли, должна соответствовать эквивалентному положению тела человека для оцениваемой ситуации воздействия.
C.4 Электрические свойства тканей
Был проведен ряд исследований по электрическим характеристикам различных типов ткани организма (
[9],
[10],
[11]). В большинстве случаев результаты исследований были опубликованы с указанием конкретных частот или диапазонов частот. Было показано, что эти характеристики зависят от частоты, и при моделировании значения этих характеристик должны быть интерполированы с учетом частоты и типа тканей организма. Возможно, также потребуется дальнейшая интерполяция и/или усреднение значений электрических характеристик тканей организма для их соответствия характеристикам конкретной анатомической модели.
Габриель и другие исследователи в своих опубликованных статьях и отчетах за 1995 - 1996 годы провели всесторонний анализ электрических характеристик тканей организма. В этих работах содержатся данные, полученные в результате новых измерений, их сравнение с данными, приведенными в существующих публикациях, и алгоритм вычисления электрических характеристик различных тканей организма в широком диапазоне частот (
[12],
[13],
[14],
[15]). Эти работы признаны наиболее полно отражающими данный вопрос на момент введения в действие настоящего стандарта. Значительная часть специалистов, занимающихся в настоящее время моделированием, использует результаты этих работ как основу, дополняя их информацией из предшествующих работ, где это необходимо. Неопределенность измерения намного возрастает при конечных значениях частоты рассматриваемых диапазонов частот, что должно быть принято во внимание. Дополнительная информация по данному вопросу приведена в ссылочных документах.
Работы в этой области продолжаются, что может в будущем привести к новым результатам.
Следует отметить, что некоторые типы тканей являются анизотропными (т.е. имеют разные свойства по различным направлениям). В связи с этим не всегда можно смоделировать этот эффект, и поэтому в модели используют усредненное значение (или близкое к нему).
Значения величин, представленные в таблицах настоящего стандарта, были получены в результате проведенных расчетов
([15]) на основании алгоритмов, указанных в отчете Габриеля (база ВВС "Брукс", США). Эти значения могут быть непосредственно использованы или интерполированы для цифрового моделирования. Более точные значения при конкретных частотах могут быть также получены из приведенных ссылочных документов или работ аналогичного характера.
Таблица C.1
Удельная электропроводность различных типов ткани
| Удельная электропроводность (См/м) |
Частота | 10 Гц | 100 Гц | 1 кГц | 10 кГц | 100 кГц | 1 МГц | 10 МГц | 100 МГц | 1 ГГц | 10 ГГц |
Типы тканей | | | | | | | | | | |
Дыхательные пути | 0,00 | 0,00 | 0,00 | 0,00 | 0,00 | 0,00 | 0,00 | 0,00 | 0,00 | 0,00 |
Аорта | 0,25 | 0,28 | 0,31 | 0,31 | 0,32 | 0,33 | 0,34 | 0,46 | 0,73 | 9,13 |
Мочевой пузырь | 0,20 | 0,21 | 0,21 | 0,21 | 0,22 | 0,24 | 0,27 | 0,29 | 0,40 | 3,78 |
Кровь | 0,70 | 0,70 | 0,70 | 0,70 | 0,70 | 0,82 | 1,10 | 1,23 | 1,58 | 13,13 |
Кости (губчатые) | 0,08 | 0,08 | 0,08 | 0,08 | 0,08 | 0,09 | 0,12 | 0,17 | 0,36 | 3,86 |
Кости (трубчатые) | 0,02 | 0,02 | 0,02 | 0,02 | 0,02 | 0,02 | 0,04 | 0,06 | 0,16 | 2,14 |
Костный мозг | 0,00 | 0,00 | 0,00 | 0,00 | 0,00 | 0,00 | 0,01 | 0,02 | 0,04 | 0,58 |
Мозг (серое вещество) | 0,03 | 0,09 | 0,10 | 0,11 | 0,13 | 0,16 | 0,29 | 0,56 | 0,99 | 10,31 |
Мозг (белое вещество) | 0,03 | 0,06 | 0,06 | 0,07 | 0,08 | 0,10 | 0,16 | 0,32 | 0,62 | 7,30 |
Жировая ткань груди | 0,02 | 0,02 | 0,02 | 0,02 | 0,03 | 0,03 | 0,03 | 0,03 | 0,05 | 0,74 |
Хрящ | 0,16 | 0,17 | 0,17 | 0,18 | 0,18 | 0,23 | 0,37 | 0,47 | 0,83 | 9,02 |
Мозжечок | 0,05 | 0,11 | 0,12 | 0,13 | 0,15 | 0,19 | 0,38 | 0,79 | 1,31 | 9,77 |
Спинномозговая жидкость | 2,00 | 2,00 | 2,00 | 2,00 | 2,00 | 2,00 | 2,00 | 2,11 | 2,46 | 15,38 |
Шейка матки | 0,30 | 0,41 | 0,52 | 0,54 | 0,55 | 0,56 | 0,63 | 0,74 | 0,99 | 10,05 |
Толстая кишка | 0,01 | 0,12 | 0,23 | 0,24 | 0,25 | 0,31 | 0,49 | 0,68 | 1,13 | 11,49 |
Роговая оболочка глаза | 0,41 | 0,42 | 0,42 | 0,44 | 0,50 | 0,66 | 0,87 | 1,04 | 1,44 | 11,33 |
Двенадцатиперстная кишка | 0,51 | 0,52 | 0,52 | 0,53 | 0,54 | 0,58 | 0,78 | 0,90 | 1,23 | 13,31 |
Твердая мозговая оболочка | 0,50 | 0,50 | 0,50 | 0,50 | 0,50 | 0,50 | 0,54 | 0,74 | 0,99 | 8,58 |
Слизистая оболочка глаза | 0,50 | 0,50 | 0,50 | 0,51 | 0,52 | 0,62 | 0,80 | 0,90 | 1,21 | 11,31 |
Жир | 0,01 | 0,02 | 0,02 | 0,02 | 0,02 | 0,03 | 0,03 | 0,04 | 0,05 | 0,59 |
Желчный пузырь | 0,90 | 0,90 | 0,90 | 0,90 | 0,90 | 0,90 | 0,90 | 1,01 | 1,29 | 12,53 |
Желчь | 1,40 | 1,40 | 1,40 | 1,40 | 1,40 | 1,40 | 1,40 | 1,54 | 1,88 | 15,36 |
Сердце | 0,05 | 0,09 | 0,11 | 0,15 | 0,22 | 0,33 | 0,50 | 0,73 | 1,28 | 11,84 |
Почки | 0,05 | 0,10 | 0,11 | 0,14 | 0,17 | 0,28 | 0,51 | 0,81 | 1,45 | 11,57 |
Хрусталик глаза | 0,26 | 0,26 | 0,26 | 0,27 | 0,28 | 0,30 | 0,43 | 0,56 | 0,83 | 8,53 |
Печень | 0,03 | 0,04 | 0,04 | 0,05 | 0,08 | 0,19 | 0,32 | 0,49 | 0,90 | 9,39 |
Легкие, не наполненные воздухом | 0,20 | 0,21 | 0,22 | 0,24 | 0,27 | 0,33 | 0,44 | 0,56 | 0,90 | 10,12 |
Легкие, наполненные воздухом | 0,04 | 0,07 | 0,08 | 0,09 | 0,11 | 0,14 | 0,23 | 0,31 | 0,47 | 4,21 |
Слизистая оболочка | 0,00 | 0,00 | 0,00 | 0,00 | 0,07 | 0,22 | 0,37 | 0,52 | 0,88 | 8,95 |
Мышца | 0,20 | 0,27 | 0,32 | 0,34 | 0,36 | 0,50 | 0,62 | 0,71 | 0,98 | 10,63 |
Нервы | 0,02 | 0,03 | 0,03 | 0,04 | 0,08 | 0,13 | 0,22 | 0,34 | 0,60 | 6,03 |
Пищевод | 0,51 | 0,52 | 0,52 | 0,53 | 0,54 | 0,58 | 0,78 | 0,90 | 1,23 | 13,31 |
Яичник | 0,31 | 0,32 | 0,32 | 0,33 | 0,34 | 0,36 | 0,46 | 0,75 | 1,34 | 9,82 |
Поджелудочная железа | 0,05 | 0,10 | 0,11 | 0,14 | 0,17 | 0,28 | 0,51 | 0,81 | 1,45 | 11,57 |
Простата | 0,41 | 0,42 | 0,42 | 0,43 | 0,44 | 0,56 | 0,78 | 0,91 | 1,25 | 12,38 |
Кожа (сухая) | 0,00 | 0,00 | 0,00 | 0,00 | 0,00 | 0,01 | 0,20 | 0,49 | 0,90 | 8,01 |
Кожа (влажная) | 0,00 | 0,00 | 0,00 | 0,00 | 0,07 | 0,22 | 0,37 | 0,52 | 0,88 | 8,95 |
Тонкая кишка | 0,51 | 0,52 | 0,53 | 0,56 | 0,59 | 0,86 | 1,34 | 1,66 | 2,22 | 12,69 |
Спинной мозг | 0,02 | 0,03 | 0,03 | 0,04 | 0,08 | 0,13 | 0,22 | 0,34 | 0,60 | 6,03 |
Селезенка | 0,04 | 0,10 | 0,10 | 0,11 | 0,12 | 0,18 | 0,51 | 0,80 | 1,32 | 11,38 |
Желудок | 0,51 | 0,52 | 0,52 | 0,53 | 0,54 | 0,58 | 0,78 | 0,90 | 1,23 | 13,31 |
Сухожилия | 0,25 | 0,30 | 0,38 | 0,39 | 0,39 | 0,39 | 0,41 | 0,49 | 0,76 | 10,34 |
Мужские половые железы | 0,41 | 0,42 | 0,42 | 0,43 | 0,44 | 0,56 | 0,78 | 0,91 | 1,25 | 12,38 |
Вилочковая железа (тимус) | 0,51 | 0,52 | 0,52 | 0,53 | 0,54 | 0,60 | 0,72 | 0,79 | 1,08 | 12,13 |
Щитовидная железа | 0,51 | 0,52 | 0,52 | 0,53 | 0,54 | 0,60 | 0,72 | 0,79 | 1,08 | 12,13 |
Язык | 0,26 | 0,27 | 0,27 | 0,28 | 0,29 | 0,39 | 0,57 | 0,67 | 0,98 | 11,08 |
Трахея | 0,30 | 0,30 | 0,30 | 0,31 | 0,34 | 0,37 | 0,46 | 0,55 | 0,80 | 8,54 |
Матка | 0,20 | 0,29 | 0,49 | 0,51 | 0,53 | 0,56 | 0,75 | 0,94 | 1,31 | 12,49 |
"Вакуумная ткань" | 0,00 | 0,00 | 0,00 | 0,00 | 0,00 | 0,00 | 0,00 | 0,00 | 0,00 | 0,00 |
Стекловидное тело | 1,50 | 1,50 | 1,50 | 1,50 | 1,50 | 1,50 | 1,50 | 1,50 | 1,67 | 15,13 |
Таблица C.2
Относительная диэлектрическая проницаемость
различных типов тканей
Частота | 100 кГц | 1 МГц | 10 МГц | 100 МГц | 1 ГГц | 10 ГГц |
Типы тканей | | | | | | |
Дыхательные пути | 1,0 | 1,0 | 1,0 | 1,0 | 1,0 | 1,0 |
Аорта | 930,0 | 218,0 | 109,5 | 59,8 | 44,6 | 32,7 |
Мочевой пузырь | 1231,0 | 343,0 | 51,5 | 22,7 | 18,9 | 14,0 |
Кровь | 5120,0 | 3026,0 | 280,0 | 76,8 | 61,1 | 45,1 |
Кости (губчатые) | 472,0 | 249,0 | 70,8 | 27,6 | 20,6 | 12,7 |
Кости (трубчатые) | 228,0 | 145,0 | 36,8 | 15,3 | 12,4 | 8,1 |
Костный мозг | 111,0 | 40,0 | 19,3 | 6,5 | 5,5 | 4,6 |
Мозг (серое вещество) | 3222,0 | 860,0 | 319,7 | 80,1 | 52,3 | 38,1 |
Мозг (белое вещество) | 2108,0 | 480,0 | 175,7 | 56,8 | 38,6 | 28,4 |
Жировая ткань груди | 71,0 | 24,0 | 7,9 | 5,7 | 5,4 | 3,9 |
Хрящ | 2572,0 | 1391,0 | 179,3 | 55,8 | 42,3 | 25,6 |
Мозжечок | 3515,0 | 1141,0 | 464,7 | 89,8 | 48,9 | 34,6 |
Спинномозговая жидкость | 109,0 | 109,0 | 108,6 | 88,9 | 68,4 | 52,4 |
Шейка матки | 1751,0 | 448,0 | 179,7 | 60,3 | 49,6 | 37,7 |
Толстая кишка | 3722,0 | 1679,0 | 271,5 | 81,8 | 57,5 | 41,9 |
Роговая оболочка глаза | 10567,0 | 2878,0 | 259,4 | 76,0 | 54,8 | 40,3 |
Двенадцатиперстная кишка | 2861,0 | 1678,0 | 246,4 | 77,9 | 64,8 | 48,9 |
Твердая мозговая оболочка | 326,0 | 253,0 | 194,9 | 60,5 | 44,2 | 33,0 |
Слизистая оболочка глаза | 4745,0 | 2178,0 | 208,3 | 67,9 | 55,0 | 41,5 |
Жир | 93,0 | 27,0 | 13,8 | 6,1 | 5,4 | 4,6 |
Желчный пузырь | 107,0 | 100,0 | 98,8 | 79,0 | 59,0 | 47,2 |
Желчь | 120,0 | 120,0 | 119,5 | 95,0 | 70,0 | 55,9 |
Сердце | 9846,0 | 1967,0 | 293,5 | 90,8 | 59,3 | 42,2 |
Почки | 7652,0 | 2251,0 | 371,2 | 98,1 | 57,9 | 40,3 |
Хрусталик глаза | 1704,0 | 829,0 | 212,5 | 55,8 | 41,8 | 30,7 |
Печень | 7499,0 | 1536,0 | 223,1 | 69,0 | 46,4 | 32,5 |
Легкие, не наполненные воздухом | 5145,0 | 1171,0 | 180,3 | 67,1 | 51,1 | 38,0 |
Легкие, наполненные воздухом | 2581,0 | 733,0 | 123,7 | 31,6 | 21,8 | 16,1 |
Слизистая оболочка | 15357,0 | 1833,0 | 221,8 | 66,0 | 45,7 | 33,5 |
Мышца | 8089,0 | 1836,0 | 170,7 | 66,0 | 54,8 | 42,8 |
Нервы | 5133,0 | 926,0 | 155,1 | 47,3 | 32,3 | 23,8 |
Пищевод | 2861,0 | 1678,0 | 246,4 | 77,9 | 64,8 | 48,9 |
Яичник | 1942,0 | 678,0 | 293,6 | 87,2 | 49,8 | 32,8 |
Поджелудочная железа | 7652,0 | 2251,0 | 371,2 | 98,1 | 57,9 | 40,3 |
Простата | 5717,0 | 2683,0 | 246,9 | 75,6 | 60,3 | 45,2 |
Кожа (сухая) | 1119,0 | 991,0 | 361,7 | 72,9 | 40,9 | 31,3 |
Кожа (влажная) | 15357,0 | 1833,0 | 221,8 | 66,0 | 45,7 | 33,5 |
Тонкая кишка | 13847,0 | 5676,0 | 488,5 | 96,5 | 58,9 | 42,0 |
Спинной мозг | 5133,0 | 926,0 | 155,1 | 47,3 | 32,3 | 23,8 |
Селезенка | 4222,0 | 2290,0 | 440,5 | 90,7 | 56,6 | 40,6 |
Желудок | 2861,0 | 1678,0 | 246,4 | 77,9 | 64,8 | 48,9 |
Сухожилия | 472,0 | 160,0 | 103,2 | 53,9 | 45,6 | 29,3 |
Мужские половые железы | 5717,0 | 2683,0 | 246,9 | 75,6 | 60,3 | 45,2 |
Вилочковая железа (тимус) | 3301,0 | 1433,0 | 162,7 | 68,8 | 59,5 | 45,2 |
Щитовидная железа | 3301,0 | 1433,0 | 162,7 | 68,8 | 59,5 | 45,2 |
Язык | 4746,0 | 2178,0 | 208,3 | 67,9 | 55,0 | 41,5 |
Трахея | 3735,0 | 775,0 | 146,1 | 53,0 | 41,8 | 31,1 |
Матка | 3411,0 | 1168,0 | 321,6 | 80,0 | 60,8 | 45,3 |
"Вакуумная ткань" | 1,0 | 1,0 | 1,0 | 1,0 | 1,0 | 1,0 |
Стекловидное тело | 98,0 | 84,0 | 70,0 | 69,1 | 68,9 | 57,9 |
C.5 Цифровые модели источника поля
Нижеперечисленные простые цифровые модели источника поля имитируют приблизительное распределение неоднородного магнитного поля рассматриваемого EUT. В этом перечне указаны не все простые модели источника поля, тем не менее, они дают общее представление:
- прямолинейный проводник;
- контур круглой формы;
- контур прямоугольной формы;
- магнитный элементарный диполь.
В настоящем стандарте контур круглой формы и прямолинейные проводники (направления Y и Z) используются для простых цифровых моделей источников поля. Кроме того, для имитации требуемой неоднородности магнитного поля используют модель эквивалентного источника поля.
C.5.1 Прямолинейный проводник (направления Y и Z)
На
рисунке C.4 показан одиночный прямолинейный проводник в направлениях
Y и
Z, который имеет длину
L и по которому протекает ток
IQ. Например, если прямолинейный проводник длиной
L (направление
Z, лежит на оси
Z и помещен в начальную точку) можно аппроксимировать как бесконечно длинный

, то значение магнитного поля (
Hx и
Hy,
Hz = 0) в точке (
x,
y,
z) может быть рассчитано согласно закону Ампера по формулам
([17])

;

.
Рисунок C.4 - Схематическое изображение прямого провода
C.5.2 Контур круглой формы
На
рисунке C.5 показан контур круглой формы, который имеет радиус
rконтур и расположен на плоскости
YZ (помещен в начальную точку) и по которому протекает ток
IQ. Значение магнитного поля (радиальное
Hr и вертикальное
Hx) в точке (
x,
y,
z) вблизи этого контура круглой формы может быть рассчитано по формулам
([17])

,

,
при этом

;

;

;

,
где K и E - эллиптические интегралы 1-го и 2-го порядка.
Рисунок C.5 - Схематическое изображение
контура круглой формы
C.5.3 Модель эквивалентного источника поля
С применением уникальных законов теории поля и принципа Гюйгенса может быть найдено распределение фиктивных (эквивалентных) источников поля (например, элементарных магнитных диполей) на (или внутри) поверхности объема для имитации реальных источников поля.
Модель эквивалентного источника поля позволяет воспроизвести вблизи EUT распределение сложных неоднородных магнитных полей (например, трехмерные векторные поля). На
рисунке C.6 показана блок-схема предлагаемого метода.
Рисунок C.6 - Блок-схема метода
Во-первых, магнитная индукция (амплитуда и фаза) измеряется на поверхности (например, цилиндра) вблизи EUT на соответствующей частоте, например с помощью автоматической измерительной системы "3D-сканирование" (
[18],
[19]), которая измеряет векторы магнитного поля с высокой точностью.
Во-вторых, цифровое преобразование поля осуществляют на основе
формулы (C.1). Элементарные магнитные диполи N располагаются, например, на поверхности цилиндра, на котором концентрируются данные о магнитном поле. В результате это приводит к неизвестным элементарным магнитным диполям

вместо измеренных магнитных полей

. В следующих линейных уравнениях

представляет собой точку наблюдения, в то время как

,

отображают координаты магнитных дипольных моментов.

. (C.1)
Решая эти линейные уравнения, определяют моменты неизвестных магнитных диполей

. Эти дипольные моменты (модель эквивалентного источника поля) создают такие же трехмерные векторные магнитные поля вблизи испытуемого прибора (за пределами измеряемого цилиндра). Методы преобразования цифрового поля приведены в
[20].
И в конечном счете модель эквивалентного источника поля используется для цифрового расчета, с помощью которого определяют, например, плотность индуцированного электрического тока внутри тела человека.
C.6 Методы цифрового моделирования
Любые цифровые методы и любые пакеты прикладных программ для расчета полей, которые подходят для моделей, указанных в
C.3, могут быть использованы для подтверждения соответствия контрольным уровням и основным ограничениям.
Как правило, применяют следующие методы:
- метод граничных элементов (boundary element method - BEM);
- конечноразностный метод в частотной области (finite difference frequency domain method - FDFD);
- конечноразностный метод во временной области (finite difference time domain method - FDTD);
- метод конечных элементов (finite element method - FEM);
- метод конечного интегрирования (finite integration technique - FIT);
- метод моментов (method of moments - MoM);
- конечноразностный метод скалярного потенциала (scalar potential finite difference method - SPFD);
- метод импеданса (impedance method - IP).
При использовании RF программных кодов для расчета плотности индуцированного электрического тока может быть применен метод частотного масштабирования
([21]).
Для любого магнитного источника излучения расчет может быть выполнен на более высокой частоте
f' (<= 500 кГц, для обеспечения квазистационарности поля). Для этого расчета удельная электропроводность

тканей организма должна учитываться для частоты
f (а не для частоты
f'). Этот расчет дает значение напряженности электрического поля
E' на частоте
f'. Затем путем масштабирования напряженности электрического поля с учетом того, что

, (C.2)
определяют значение частоты f. В результате этого напряженность электрического поля может быть рассчитана с применением закона Ома:

. (C.3)
Для валидации методов может быть использован пример расчета, приведенного в
C.7.1.
C.7 Примеры расчетов
C.7.1 Расчет плотности тока с применением кубоида и токового контура
Необходимо рассмотреть схему, изображенную на
рисунке C.7. В качестве модели тела человека на частоте
f = 50 Гц исследуют однородный кубоид с длиной ребер
dx =
dy = 0,4 м,
dz = 1,8 м и удельной электропроводностью

.
Примечание - Может быть применен также метод частотного масштабирования
([21]).
Источником поля является контур квадратной формы с током
I = 1,0 А и длиной стороны 50 мм, расположенный перед кубоидом на расстоянии 10 мм (см.
рисунок C.7).
Плотность электрического тока, индуцированного в модели тела, рассчитывают с помощью инструментальных программных средств, используемых для процедуры проверки.
Рисунок C.7 - Схема для валидации методов.
Токовый контур перед кубоидом
Источник магнитного поля создает максимальную величину локального электрического поля или плотности электрического поля внутри ткани в пределах изменения:

. (C.4)
Допустимое отклонение +/- 10% включает в себя все возможные отклонения исходных данных в применяемых различных пакетах прикладных программ (например, минимальное расстояние до поверхности кубоида, при котором возможен расчет поля).
Контрольные значения
В качестве контрольных значений представлены результаты, определенные с помощью различных пакетов прикладных программ:

; (C.5)

; (C.6)

. (C.7)
Рисунок C.8 - Распределение плотности электрического тока
J
в плоскостях x = +0,2 м (левая часть рисунка)
и y = 0,0 м (правая часть рисунка)
Примечание - Был применен метод FDTD с пакетами прикладных программ EMPIRE
([23]).
C.7.2 Расчет плотности индуцированного тока для различных размеров вытянутого сфероида
Определение плотности индуцированного тока выполняют с помощью трех вытянутых сплошных сфероидов различных размеров: 60 x 30 см, 120 x 60 см и 160 x 80 см (максимальная ширина и высота сфероида). Моделирование проводилось методом FEM с использованием доступного на рынке программного обеспечения.
Однородное поле было смоделировано с использованием контуров большого размера относительно рассматриваемых вытянутых сфероидов. Ниже приведены результаты вычисления значений созданного магнитного поля и плотности индуцированного тока, полученной в результате его воздействия, при значении удельной электропроводности 0,2 См/м (см.
рисунки C.10 -
C.12). Эти значения не являются характерными для какого-то конкретного оборудования или нормативного документа.
Соотношение между результатами расчетов показывает, как можно осуществлять моделирование, применяя только один размер сфероида и преобразовывая его в другой размер сфероида с использованием коэффициента соотношения размеров сфероидов. В
таблице C.3 приведены обобщенные результаты расчета.
C.7.2.1 Источник однородного магнитного поля
Очень большой набор катушек Гельмгольца, общая площадь поперечного сечения которых составляла 5 м
2, применялся для обеспечения однородного магнитного поля на частоте 58 кГц. Степень неоднородности магнитного поля была в пределах 1% или менее. На
рисунке C.9 показаны геометрические размеры катушек Гельмгольца и вытянутого сфероида.
Рисунок C.9 - Катушки Гельмгольца и вытянутый сфероид
C.7.2.2 Результаты моделирования для вытянутого сфероида размером 60 x 30 см
Рисунок C.10 a) - Магнитное поле
Рисунок C.10 b) - Плотность индуцированного тока
Рисунок C.10 - Результаты моделирования для
вытянутого сфероида размером 60 x 30 см
C.7.2.3 Результаты моделирования для вытянутого сфероида размером 120 x 60 см
Рисунок C.11 - Плотность индуцированного тока
C.7.2.4 Результаты моделирования для вытянутого сфероида размером 160 x 80 см
Рисунок C.12 a) - Магнитное поле
Рисунок C.12 b) - Плотность индуцированного тока
Рисунок C.12 - Результаты моделирования для
вытянутого сфероида размером 160 x 80 см
C.7.2.5 Обобщенные результаты расчета
Таблица C.3
Обобщенные результаты расчета
Размер вытянутого сфероида, см | Максимальное магнитное поле (используемое в модели), мкТл | Максимальная плотность индуцированного тока, мА/м2 | Коэффициент соотношения размеров сфероидов с размером сфероида 60 x 30 см |
60 x 30 | 17,3 | 60,0 | 1,0 |
120 x 60 | 17,5 | 119,8 | 2,0 |
160 x 80 | 17,6 | 156,7 | 2,6 |
C.7.3 Расчет плотности индуцированного тока для всего тела и головы человека
C.7.3.1 Однородное магнитное поле
| | ИС МЕГАНОРМ: примечание. В официальном тексте документа, видимо, допущена опечатка: п. [25] в разделе C.8 Приложения C отсутствует. | |
На
рисунке C.13 показано однородное магнитное поле
Beff = 100 мкТл при частоте
f = 50 Гц, примененное к модели однородного тела человека
(рисунок C.3) при

. Расчет проводился методом MoM ([25]).
Рисунок C.13 - Распределение плотности индуцированного
электрического тока
C.7.3.2 Неоднородные магнитные поля и расчет коэффициента связи
k
В качестве источников поля для расчета коэффициентов связи были использованы контуры круглой формы с протекающим по ним током. В связи с этим контуры, которые имели различный диаметр, размещались в наиболее неблагоприятном положении по отношению к цифровым моделям. Это показано на
рисунке C.14.
Рисунок C.14 - Схема размещения источника
Q
по отношению к модели K
Коэффициент связи k устанавливает соотношение между максимальной плотностью индуцированного электрического тока Jмакс(r) внутри цифровой модели тела и максимальной магнитной индукцией, измеренной при таком же расположении. Значение тока источника IQ может быть выбрано произвольно, но оно должно соответствовать расчетным значениям Jмакс и Bмакс, датчик. Поэтому результат расчета коэффициента связи k зависит от используемого датчика.
Для произвольно выбранной площади датчика Aдатчик должна быть вычислена средняя магнитная индукция (Bмакс, датчик).
Площадь датчиков Aдатчик выбирают равной 3 см2 и 100 см2.
Положение контура источника относительно датчика и модели тела показано на
рисунке C.15.
Рисунок C.15 - Расположение источника
Q, датчика и модели
K
В целях упрощения было взято двухмерное изображение, чтобы показать размещение контура на расстоянии r и расположение датчика на соответствующей площади модели тела.
Поскольку частота
f и удельная электропроводность

линейно связаны с коэффициентом
k, его можно вычислить по формуле

. (C.8)
Для удельной электропроводности цифровой однородной модели руки было выбрано среднее значение

.
Для удельной электропроводности однородной модели тела было выбрано значение

. Тем не менее, неоднородность полей и их очень незначительное проникновение в тело делают возможным использование также значения

.
Для определения коэффициента связи
k в настоящем приложении в качестве цифрового метода был применен метод MoM
[20].
Пример 1
Для контура круглой формы с радиусом
rконтура = 20 мм на расстоянии
r = 10 см и током источника
IQ = 100 А получаем для модели тела человека (

и
f = 50 Гц) плотность индуцированного электрического тока
Jмакс = 14,956 мкА/м
2. Среднее рассчитанное значение магнитной индукции для датчика площадью 100 см
2 Bмакс, датчика = 100 см
2 = 5,4683 мкТл. Исходя из этих значений коэффициент связи
k вычисляют по формуле

(C.9)
Пример 2
Для контура круглой формы с радиусом
rконтура = 20 мм на расстоянии
r = 10 см и током источника
IQ = 100 А получаем для модели головы человека (сфера с
rсфера = 10,5 см,

и
f = 60 Гц) плотность индуцированного электрического тока
Jмакс = 19,17 мкА/м
2. Среднее рассчитанное значение магнитной индукции для датчика площадью 100 см
2 
. Исходя из этих значений коэффициент связи
k вычисляют по формуле
и

. (C.10)
Обычно результатом численных расчетов является напряженность электрического поля
Ei в модели тела человека. Расчет напряженности локального электрического поля
Ei (в соответствии с IEEE Std C95.6
TM) проводят путем деления коэффициента
k на соответствующее значение удельной электропроводности

, используемое для оценки
k.
Поэтому напряженность локального электрического поля Ei,max рассчитывают по формуле
C.7.3.3 Подтверждение соответствия посредством использования коэффициента связи k
Использование коэффициента связи k для подтверждения соответствия основным ограничениям осуществляется в три этапа:
a) определение размера эквивалентного (источнику поля) контура;
b) определение значения коэффициента связи k;
c) подтверждение соответствия основным ограничениям.
Этап 1. Определение размера эквивалентного (источнику поля) контура
На этом этапе должен быть определен размер эквивалентного (источнику поля) контура для испытуемого устройства.
Измеряют магнитную индукцию B(r0) по касательной к поверхности вдоль линии наименьшего градиента от точки r0 = 0 с максимальным значением индукции. Измерения прекращают при r0 = X, где значение магнитной индукции снижается на 10% от ее максимального значения. Достаточным считается расстояние между точками измерения от 0,5 до 1 см.
Площадь применяемого для измерения датчика может составлять, например, 3 см2, но измерения могут быть также выполнены с датчиками меньших размеров.
1 - измерение по касательной плоскости вблизи точки
с максимальным значением магнитной индукции;
2 - модель бытового прибора в виде сферы;
3 - катушка как эквивалент источника поля
Рисунок C.16 - Область поверхности с наибольшими
значениями магнитной индукции

. (C.11)
Рисунок C.17 - Градиент магнитной индукции и площадь G
Результаты измерения используются для определения диаметра эквивалентного контура, который создает аналогичный градиент магнитной индукции и соответствующую площадь G. Для дальнейшего расчета допускается, что эквивалентный контур расположен под точкой с максимальным значением магнитной индукции на расстоянии dконтур, который следует оценивать, зная, где находится источник поля, и исходя из конструкции оборудования.
Примечание - Данная процедура применяется только для локальных источников поля. Распространение поля от точки максимальным значением магнитной индукции Bмакс до 0,1 Bмакс должно быть непрерывным.
Рисунок C.18 - Эквивалентный контур
Интегрируя нормированные измеренные значения магнитной индукции по оси
X, получают единственное значение параметра
G, которое используют для определения радиуса
rконтура эквивалентного контура (см.
таблицу C.4). Посредством линейной интерполяции определяют другие значения радиуса
rконтур. Для определения радиуса
rконтур расстояние
dконтур должно быть не менее
rконтур.
Примечание 1 - Расстояние
dконтур определяют исходя из расстояния источника поля внутри оборудования под точкой с максимальным значением магнитной индукции до поверхности корпуса. Для небольшого оборудования это расстояние составляет приблизительно половину диаметра оборудования. Для более крупного оборудования - это расстояние, например, от двигателя до поверхности. Этот параметр не является критическим, так как он приводит к различным радиусам контура, но в
таблице C.4 расстояние
r уже учтено в
dконтур. Поэтому результат отличается незначительно.

. (C.12)
Таблица C.4
Значения параметра
G для различных контуров
с радиусом rконтур и расстоянием dконтур
Расстояние dконтура, мм | Значение параметра G, м |
Радиус rконтура, мм |
10 | 20 | 30 | 50 | 70 | 100 |
10 | 0,01354 | | | | | |
15 | 0,01562 | | | | | |
20 | 0,01848 | 0,02703 | | | | |
25 | 0,02168 | 0,02880 | | | | |
30 | 0,02511 | 0,03117 | 0,04051 | | | |
35 | 0,02861 | 0,03390 | 0,04217 | | | |
40 | 0,03222 | 0,03689 | 0,04429 | | | |
50 | 0,03955 | 0,04334 | 0,04941 | 0,06750 | | |
70 | 0,05448 | 0,05718 | 0,06164 | 0,07535 | 0,09444 | |
100 | 0,07711 | 0,07905 | 0,08219 | 0,09213 | 0,10644 | 0,13493 |
200 | 0,15317 | 0,15415 | 0,15573 | 0,16085 | 0,16844 | 0,18420 |
300 | 0,22953 | 0,23012 | 0,23119 | 0,23461 | 0,23971 | 0,25054 |
Рисунок C.19 - Градиент измеренной магнитной индукции
и магнитной индукции, создаваемой контуром
Этап 2. Определение коэффициента связи k
Параметр радиуса контура
rконтур используется для определения коэффициента связи
k (
r,
rконтур,
f,

) (см.
C.7.3.2) между эквивалентным источником поля (контуром) и телом человека на расстоянии
r. Он показывает соотношение между магнитной индукцией, обусловленной источником поля, и плотностью тока, возникающего в теле человека.
r =
r1 +
dконтура, (C.13)
где r1 - измеренное расстояние (расстояние до оператора);
dконтур - внутреннее расстояние от эквивалентного контура до поверхности оборудования.

, (C.14)
где Jмакс - максимальная плотность тока в теле человека;
Aдатчик - измеренная площадь датчика.
В
таблице C.5 указаны значения коэффициентов связи
k для всего тела при частоте 50 Гц, удельной электропроводности 0,1 См/м и площади датчика
Aдатчик = 100 см
2. Коэффициент связи
k зависит от расстояния
r между контуром и телом человека, а также от выбранной модели тела (см.
раздел C.3), удельной электропроводности

однородной модели тела и размера датчика.
Примечание - В случае неоднородных полей применение значения

наиболее целесообразно по причине того, что максимальное воздействие поля приходится на поверхность тела человека.
Таблица C.5
Значения коэффициента связи
k всего тела при
f = 50 Гц
Расстояние r, см | Значение коэффициента связи k,  |
Радиус rконтура, мм |
10 | 20 | 30 | 50 | 70 | 100 |
1 | 21,354 | 15,326 | 8,929 | 5,060 | 3,760 | 3,523 |
5 | 4,172 | 3,937 | 3,696 | 3,180 | 2,858 | 2,546 |
10 | 2,791 | 2,735 | 2,696 | 2,660 | 2,534 | 2,411 |
20 | 2,456 | 2,374 | 2,369 | 2,404 | 2,398 | 2,488 |
30 | 2,801 | 2,735 | 2,714 | 2,778 | 2,687 | 2,744 |
40 | 3,070 | 2,969 | 2,933 | 3,042 | 2,865 | 2,916 |
50 | 3,271 | 3,137 | 3,086 | 3,251 | 2,989 | 3,040 |
60 | 3,437 | 3,271 | 3,206 | 3,429 | 3,079 | 3,134 |
70 | 3,588 | 3,388 | 3,311 | 3,595 | 3,156 | 3,216 |
100 | 3,940 | 3,659 | 3,601 | 4,022 | 3,570 | 3,604 |
Примечание - Коэффициенты k определяют путем применения контура в качестве источника поля с соответствующей цифровой моделью тела человека, как описано в C.8. Это применимо только для зоны, близкой к источнику поля, а не для однородных полей. |
Коэффициенты связи
k* для других значений частот
f и удельной электропроводности

рассчитают исходя из значений
k, указанных в
таблице C.5, по формуле

(C.15)
Этап 3. Подтверждение соответствия основным ограничениям
Коэффициент связи
k показывает соотношение между магнитной индукцией, обусловленной источником поля, и плотностью тока, созданного в теле человека в том же положении (см.
рисунок C.16). Таким образом, на основе измеренной индукции магнитного поля
Bизмер можно вычислить соответствующую плотность тока
J с целью подтверждения соответствия основному ограничению, приведенному для плотности тока.
J = K·Bизмер. (C.16)
Значение плотности тока сравнивают с основным ограничением согласно ICNRP.
Кроме того, соотношение со значениями, установленными IEEE, может быть получено исходя из формулы

. (C.17)
Примечание - Значение
Bизмер получают измерением на расстоянии
r1 между поверхностью оборудования и нормальным положением оператора (см.
рисунок C.20). Чтобы правильно выбрать коэффициент
k из
таблицы C.5, необходимо вычислить расстояние
r по
формуле (C.13).
Рисунок C.20 - Расстояния между источником поля, корпусом
прибора и поверхностью тела человека
| DIMBYLOW, P.J. Induced Current Densities from Low-Frequency Magnetic Fields in a 2 mm Resolution, Anatomically Realistic Model of the Body. Phys. Med. Biol., 1998, Vol. 43, pp. 221 - 230 (Плотность индуцированного поля от низкочастотных магнитных полей с разрешением 2 мм, анатомически реальная модель тела человека) |
| STUCHLY, MA. and GANDHI, OP. Inter-laboratory comparison of Numerical Dosimetry for Human Exposure to 60 Hz Electric and Magnetic Fields. Publication data to be advised (Межлабораторное сличение численной дозиметрии воздействия на человека электрического и магнитного полей частотой 60 Гц) |
| ICPR 66 (1994) International Commission for Radiological Protection, 1994 (Международная комиссия по радиологической защите) |
| WATANEBE, S., NAGAOKA, T., SAKURAI, K., WATANBE, S., KUNIEDA, T., TAKI, V. and YAMANAKA, Y. Development of voxel male and female whole-body models and dosimetry. XXXIIth General Assembly of the International Union of Radio Science, KB.05, Maastricht, the Netherlands, 17 - 24 August, 2002 (Разработка элементов объемного изображения моделей мужского и женского тела и дозиметрия) |
| LEE, AK., CHOI, HD., CHO, KY., CHOI, WY. and CHUNG, MS. Effects of the outer shape of a head on SAR evaluation of a mobile phone. BEMS 22th Annual Meeting Abstract Book, June 11 - 16, 2000, pp. 130 - 131 (Влияние формы головы на оценку удельного поглощения мощности от воздействия мобильного телефона) |
| LEE, AK., and PACK, JK. Study of the tissue volume for spatial-peak mass-averaged SAR evaluation. IEEE Trans. On EMC, May, 2002, vol. 44, no. 2, pp. 404 - 408 (Изучение объема ткани для оценки пространственной пиковой усредненной по массе удельной поглощенной мощности) |
| LEE, AK., CHOI, HD, LEE, HS. and PACK, JK. Human head size and SAR characteristics for handset exposure. ETRI Jour., Apr. 2002, vol. 24, no. 2, pp. 176 - 179 (Размер головы человека и характеристика удельного поглощения мощности от воздействия мобильного телефона) |
[8] | FOSTER KR. and SCHWAN HP. Dielectric Properties of Tissues. In: Handbook of Biological Effects of Electromagnetic Fields, Second Edition, Ed. E. Polk and E. Postow, CRC Press, Boca Raton, Fla., USA 1995 (Диэлектрические свойства тканей) |
| DURNEY, CH., MASSOUDI, H. and ISKANDER MF. Radio frequency Radiation Dosimetry Handbook., 4th Ed. USAF/SAM, Brooks AFB, TX, USA, 1986 (Руководство по радиочастотной радиационной дозиметрии) |
| STUCHLY MA. and STUCHLY SS. Dielectric Properties of Biological Substances - Tabulated. Journal of Microwave Power, 1980, Volume 15(1), pp. 19 - 26 (Диэлектрические свойства биологических веществ. Табличные данные) |
| GABRIEL, C., GABRIEL, S. and COURTHOUT, E. The dielectric properties Biological Tissues: I. Literature survey. Phys. Med. Biol. 1996, 41 (11), pp. 2231 - 2250 (Диэлектрические свойства биологических тканей. Часть I. Обзор публикаций) |
| GABRIEL, S. LAU, RW. and GABRIEL, C. The Dielectric Properties of Biological Tissues: II. Measurement in the frequency range 10 Hz - 20 GHz. Phys. Med. Biol. 1996, 41 (11), pp. 2251 - 2269 (Диэлектрические свойства биологических тканей. Часть II. Измерение в частотном диапазоне 10 Гц - 20 ГГц) |
| GABRIEL, S. LAU, RW. and GABRIEL, C. The Dielectric Properties of Biological Tissues: III. Parametric models for the dielectric spectrum of tissues. Phys. Med. Biol. 1996, 41 (11), pp. 2271 - 2293 (Диэлектрические свойства биологических тканей. Часть III. Параметрические модели для диэлектрического спектра тканей) |
| GABRIEL, C., GABRIEL, S. Compilation of the Dielectric Properties of Body Tissues at RF and Microwave Frequencies. Report AL/OE-TR-1996-0037, Armstrong Laboratory, Radiofrequency Radiation Division, Brooks Air Force Base, Texas 78235, USA, 1996; (Internet Site: http:www.brooks.af.mil; http://www.brooks.af.mil/AFRL/HED/hedr/reports/dielectric/Title/Title.html) (Компиляция диэлектрических свойств тканей тела при радио- и микроволновых частотах) |
| The Electromagnetic Wave Research Institute of the Italian National Research Council, Via Panciatichi 64, 50127 Florence, Italy (Internet Site: http://www.iroe.fi.cnr.it; http://sparc10.iroe.fi.cnr.it/tisspro) (Институт исследования электромагнитных волн Итальянского национального исследовательского совета) |
[16] | JACKSON, John David Classical Electrodynamics. Third Edition. John Wiley Sons, Inc., 1998 (Классическая электродинамика) |
| NISHIZAWA, S., LANDSTORFER, F. and HASHIMOTO, O. Experimental study on equivalent magnetic source in BLF range. IEICE, B, 2003, Vol. J86-B, No. 7, pp. 1251 - 1254 (Экспериментальное изучение эквивалентного магнитного источника для частот диапазона BLF-частот ниже 300 Гц) |
| KAMPET, U. and HILLER, W. Measurement of magnetic flux densities in the space around household appliances. In: Proceedings of NIR 99, Nichtionisierende Strahlung, 31. Jahrestagung des Fachverbandes fuer Strahlenschutz, Koln, 1999, vol. II, pp. 885 - 891 (Измерение магнитной индукции в пространстве вокруг бытовых приборов) |
| NISHIZAWA, S., RUOSS, H.-O., LANDSTORFER, F. and HASHIMOTO, O. Numerical study on an equivalent source mode for inhomogeneous magnetic field dosimetry in the low frequency range. IEEE Transaction on Biomedical Engineering. IEEE transactions on biomedical engineering, April 2004, Vol 51, No. 4. (Численное исследование в режиме эквивалентного источника дозиметрии неоднородного поля в низкочастотном диапазоне) |
| FURSE C.M. and GANDHI, OP. Calculation of electric fields and currents induced in a millimeter-resolution human model at 60 Hz using the FDTD method. Bioelectromagnetics, 1998, vol. 19, pp. 293 - 299 (Расчет электрических полей и токов, индуцированных в модели тела, на основе применения метода FDTD с миллиметровым разрешением на частоте 60 Гц) |
| ORCUTT, N. and GANDHI, OP. A 3-D Impedance Method to Calculate Power Deposition in Biological Bodies Subjected to Time Varying Magnetic Fields. IEEE transactions on biomedical engineering, August 1988, Vol. 35, No. 8 (Трехмерный импедансный метод расчета поглощения энергии в биологических телах, подвергаемых изменяющимся во времени магнитным полям) |
| Program EMPIRE, http://www.imst.de/ (Программа EMPIRE) |
| DAWSON, TW., CAPUTA, K and STUCHLY, MA. Numerical evaluation of 60 Hz magnetic induction in the human body in complex occupational environments. Physics in Medicine & Biology, April 1999, Vol. 44 (4), pp. 1025 - 1040 (Численный расчет магнитной индукции при 60 Гц в теле человека в сложной производственной среде) |
| JACOBUS, U. Erweiterte Momentenmethode zur Behandlung kompliziert aufgebauter und elecktrisch grosser elektromagnetischer Steuprobleme. Fortschrittsberichte VDI, Reihe 21, Nr. 171, VDI Verlag, Dusseldorf, 1995 (Дополнительный метод вычисления моментов для рассмотрения вопроса образования рассеяния электромагнитных волн) |
(справочное)
ИЗМЕРЕНИЕ ФИЗИЧЕСКИХ ПАРАМЕТРОВ И ТОКОВ,
ПРОТЕКАЮЩИХ ЧЕРЕЗ ТЕЛО ЧЕЛОВЕКА
D.1 Измерение тока, протекающего через тело человека
Аппаратура для измерения тока, протекающего через тело, подразделяется на два вида:
- аппаратура для измерения тока, протекающего через тело человека на землю;
- аппаратура для измерения тока прикосновения.
Следует отметить, что аппаратура обоих видов может также применяться для измерения высокочастотного тока, протекающего через тело человека. Когда люди подвергаются допустимому уровню воздействия в нормальных рабочих или бытовых условиях, то выполнение дополнительных измерений с применением такой аппаратуры не требуется, так как влияние этого воздействия на человека уже было изучено. Однако в тех случаях, когда новые и/или вновь обнаруженные воздействия изучены и если, например, измерения выполняются третьей стороной в зонах и ситуациях, которые обычно не встречаются, должны быть выполнены предварительные измерения с применением устройств бесконтактного измерения тока, чтобы определить отсутствие опасности. Только затем нижеприведенные методы следует применять для более точного определения значений реальных токов, протекающих через тело человека.
Такой подход целесообразен для высокочастотных токов, протекающих через тело человека, так как при оценке соответствия предельно допустимому уровню воздействия такие токи учитываются с усреднением по времени. Кратковременное (мгновенное) воздействие на человека, превышающее усредненное по времени значение тока, допускается, если только это воздействие соответствует установленному предельно-допустимому уровню.
На частотах, при которых усреднение по времени протекающих через тело человека токов не допускается, воздействие в целях проверки соответствия предельно допустимому уровню не должно включать потенциально возможное воздействие, обусловленное процессом измерения.
В этих случаях, а также в случаях, когда значения усредненных по времени высокочастотных токов, протекающих через тело человека, могли бы быть сравнимы или превысить соответствующий предельно допустимый уровень, необходимо смоделировать полное сопротивление тела человека посредством упорядоченной последовательности электрических компонентов или физической модели тела человека с полным сопротивлением, равным или меньшим, чем то, которым обладает тело человека на соответствующей частоте.
D.2 Измерение индуцированных высокочастотных токов, протекающих через тело человека
Токи, протекающие через тело человека, являются индуцированными токами, возникающими в результате воздействия на человека радиочастотных полей при отсутствии контакта с объектами, за исключением контакта с поверхностью земли. Два основных вида аппаратуры, используемой для измерения токов, протекающих через тело человека, содержат трансформатор тока клещевого типа (соленоидный) для измерения тока в конечностях и устройство с плоскопараллельными пластинами, которое позволяет измерять токи, протекающие через ноги человека на землю.
Разработаны приспособления для крепления клещевых трансформаторов тока. Измерительное устройство либо монтируется непосредственно на трансформаторе, либо подсоединяется через волоконно-оптическую линию связи к индикатору, регистрирующему ток в конечности, вокруг которой закреплен трансформатор тока. Ток, измеренный этим устройством, может быть проанализирован с использованием либо узкополосной аппаратуры, например анализатора спектра, или приемников прямого усиления, которые обладают тем преимуществом, что позволяют определить распределение частот индуцированного тока при одновременном воздействии нескольких источников излучения, либо широкополосной аппаратуры, использующей диодное детектирование или тепловое преобразование энергии.
Разработаны приборы, обеспечивающие измерение истинного r.m.s при наличии нескольких частот и/или амплитудной модуляции сигналов.
Верхняя граничная частота полосы пропускания трансформаторов тока обычно составляет примерно 100 МГц, однако трансформаторы с воздушным сердечником (в отличие от трансформаторов с ферритовым сердечником) могут быть использованы для расширения верхней граничной частоты полосы пропускания этой аппаратуры. К тому же трансформаторы с воздушным сердечником имеют небольшой вес, вследствие чего они удобны при длительных измерениях, однако значительно менее чувствительны, чем устройства с ферритовым сердечником.
Альтернативой измерительному устройству клещевого типа является устройство с плоскопараллельными пластинами. В этом устройстве ток, протекающий через тело человека, проходит через его ноги к токопроводящей верхней пластине, затем через датчик тока, который имеет определенную форму и установлен между пластинами, и после этого на землю. Ток, протекающий между верхней и нижней пластинами, может быть определен посредством измерения падения высокочастотного напряжения на резисторе с малым полным сопротивлением. Как вариант клещевой трансформатор высокочастотного тока с малой апертурой (раскрытием зажимов) или вакуумную термопару можно использовать для измерения тока, протекающего через проводник между двумя пластинами.
Имеется аппаратура с плоской амплитудно-частотной характеристикой в полосе пропускания от 3 кГц до 100 МГц. При выборе прибора для измерения индуцированного тока необходимо учесть некоторые аспекты.
Во-первых, измерительные приборы с плоскопараллельными пластинами подвергаются влиянию электрического поля, создаваемого токами смещения, которые обусловлены линиями поля, оканчивающимися на верхней пластине. Исследования показали, что очевидные ошибки, возникающие при отсутствии человека, не являются существенными для функционирования измерительных приборов в том случае, если человек присутствует.
Во-вторых, сумма токов в обеих лодыжках, измеренных посредством измерительных приборов клещевого типа, как правило, несколько больше, чем соответствующее значение, измеренное приборами пластинчатого типа. Величина этого эффекта, который является функцией радиочастоты и геометрических характеристик измерительного прибора, не является существенной. Тем не менее, более точным методом оценки токов в конечностях является использование трансформатора тока. Точность метода измерения определяется требованиями по обеспечению безопасности, на соответствие которым проводят оценку соответствия.
В-третьих, необходимо учитывать возможность измерения индуцированных токов в конечностях для реальных грунтовых условий, таких, которые существуют на практике. В частности, различная степень электрического контакта между землей и нижней пластиной устройства с плоскопараллельными пластинами и фактическая поверхность грунта могут влиять на истинное значение тока, текущего на землю.
Измерения могут быть выполнены с использованием антенн в качестве эквивалента тела человека. Это обеспечивает применение стандартизованных методов расчета и позволяет выполнять измерения тока без наличия людей, которые могут подвергаться воздействию потенциально опасных токов и полей.
D.3 Измерение тока прикосновения
Измерительный прибор должен быть установлен между рукой человека и токопроводящим объектом. Измерительный прибор может содержать металлический щуп (определенная площадь контакта), один конец которого удерживается рукой, тогда как другой соприкасается с токопроводящим объектом. Датчик тока в виде токоизмерительных клещей (трансформатор тока), как указано в
D.2, может использоваться для измерения тока прикосновения, протекающего через руку человека, которая соприкасается с токопроводящим объектом.
В случае чрезмерно высоких токов предполагается, что электрическая цепь, состоящая из резисторов и конденсаторов, может имитировать эквивалентное полное сопротивление тела человека.
Альтернативными методами являются:
- измерение разности потенциалов (падение напряжения) на неиндуктивном резисторе (диапазон сопротивления резистора - 5 - 10 Ом), подключенным между объектом и металлическим щупом, удерживаемым в руке;
- использование последовательно включенной термопары.
Соединяющие проводники и измеритель тока должны быть размещены таким образом, чтобы помехи и погрешности, обусловленные их воздействием на чувствительные элементы, были минимизированы.
D.4 Измерение напряжения прикосновения
Напряжение прикосновения (напряжение холостого хода) измеряют с помощью соответствующего вольтметра или осциллографа в требуемом диапазоне частот. Измерительную аппаратуру подключают между токопроводящим объектом, находящимся под напряжением, индуцированным полем, и опорным потенциалом (землей). Входное полное сопротивление вольтметра должно быть не менее 10 кОм.
D.5 Ссылочные документы
[1] | DIMBLOW, PJ, Induced Current Densities from Low-Frequency Magnetic Fields in a 2 mm Resolution, Anatomically Realistic Model of the Body. Phys. Med. Biol., 1998, Vol. 43, pp. 221 - 230 (Анатомическая реальная модель тела человека) |
[2] | STUCHLY MA. and GANDHI OP. Inter-Laboratory Comparison of Numerical Dosimetry for Human Exposure to 60 Hz Electric and Magnetic Fields. Publication data to be advised (Межлабораторное сличение цифровой дозиметрии воздействия на человека электрического и магнитного полей при частоте 60 Гц) |
[3] | ICPR 66 (1994), International Commission for Radiological Protection, 1994 (Международная комиссия по радиологической защите) |
[4] | GEDDES, LA and BAKER, LE. The Specific Resistance of Biological Material - A Compendium of Data for the Biomedical Engineer. Medical and Biological Engineering, 1967, Vol. 5, pp. 271 - 293 (Определенное сопротивление биологического материала. Краткое руководство по данным для инженера биомедицинской техники) |
[5] | FOSTER, KR. And SCHWAN, HP. Dielectric Properties of Tissues. In: Handbook of Biological Effects of Electromagnetic Fields, Second Edition, Ed. E. Polk and E. Postow, CRC Press, Boca Raton, Fla., USA, 1995 (Диэлектрические свойства тканей организма) |
[6] | DURNEY, CH., MASSOUDI, H. and ISKANDER MF. Radiofrequency Radiation Dosimetry Handbook., 4th Ed. USAF/SAM, Brooks AFB, TX, USA 1986 (Руководство по радиочастотной радиационной дозиметрии) |
[7] | STUCHLY MA. and STUCHLY SS. Dielectric Properties of Biological Substances - Tabulated. Journal of Microwave Power, 1980, Volume 15(1), pp. 19 - 26 (Диэлектрические свойства биологических веществ. Табличные данные.) |
[8] | GABRIEL, C., GABRIEL, S and COURTHOUT, E. The Dielectric Properties of Biological Tisues: I. Literature survey. Phys. Med. Biol. 1996, 41(11), pp. 2231 - 2250 (Диэлектрические свойства биологических тканей. Часть I. Обзор публикаций) |
[9] | GABRIEL, S., LAU, RW. and GABRIEL, C. The Dielectric Properties of Biological Tissues: II. Measurement in the frequency range 10 Hz - 20 GHz. Phys. Med. Biol. 1996, 41(11), pp. 2251 - 2269 (Диэлектрические свойства биологических тканей. Часть II. Измерение в частотном диапазоне 10 Гц - 20 ГГц) |
[10] | GABRIEL, S., LAU, RW. and GABRIEL, C. The Dielectric Properties of Biological Tissues: III. Parametric models for the dielectric spectrum of tissues. Phys. Med. Biol. 1996, 41(11), pp. 2271 - 2293 (Диэлектрические свойства биологических тканей. Часть III. Параметрические модели диэлектрического спектра тканей) |
[11] | GABRIEL, C., GABRIEL, S. Compilation of the Dielectric Properties of Body Tissues at RF and Microwave Frequencies. Report AL/OE-TR-1996-0037, Armstrong USA, 1996; (Internet Site: - http://www.brooks.af.mil; - http://www.brooks.af.mil/AFRL/HED/hedr/reports/dielectric/Title/Title.html) (Компиляция диэлектрических свойств тканей тела при радио- и микроволновых частотах) |
[12] | The Electromagnetic Wave Research Institute of the Italian National Research Council, Via Panciatichi 64, 50127 Florence, Italy (Internet Site: - http://www.iroe.fi.cnr.it; - http://sparc10.iroe.fi.cnr.it/tisspro) (Исследовательский институт электромагнитных волн Итальянского национального совета по исследованиям) |
Веб-сайт по свойствам тканей организма Института электромагнитных волн Итальянского национального совета по исследованиям:
http://niremf.ifac.cnr.it/tissprop/, хотя в настоящее время все еще действует http://sparc10.iroe.fi.cnr.it/tissprop.
Федеральным агентством по связи США создан веб-сайт по свойствам тканей организма, основанный также на Gabriel/Brooks AFB, который расположен на http://www.fcc.gov/cgi-bin/dielec.sh.
Проект "Международное руководство по дозиметрии электромагнитных полей" находится на: http://www.emfdosimetry.org/
Здесь имеется доступ к:
1) руководству V4 по дозиметрии радиочастотной радиации;
2) отчету Габриэля (база ВВС "Брукс", США);
3) информации о текущей разработке следующей версии руководства по дозиметрии.
(справочное)
УДЕЛЬНАЯ ПОГЛОЩЕННАЯ МОЩНОСТЬ (SAR)
E.1 Методика измерения SAR
E.1.1 Методика измерения напряженности электрического поля
SAR также пропорционально квадрату r.m.s. напряженности электрического поля E, В/м, внутри облученной ткани организма:

,
где

(См/м) - электрическая проводимость;

(кг/м
3) - плотность массы ткани организма в рассматриваемом положении.
При исследовании электрического изотропного поля с помощью датчика определяют локальную
SAR внутри облученной модели тела человека. Перемещая датчик и повторяя измерения напряженности электрического поля, воздействующего на все тело человека или его отдельную часть, определяют распределение
SAR и усредненные значения
SAR всего тела человека или отдельной части тела. Однократное измерение напряженности электрического поля занимает всего несколько секунд, что означает, что трехмерные распределения
SAR могут быть определены с высоким пространственным разрешением и приемлемым временем измерения (обычно менее часа). В
приложении B определены процедуры оценок локальных максимальных значений
SAR портативных радиопередающих устройств и базовых радиостанций.
E.1.2 Методика измерения температуры
SAR пропорциональна начальной скорости возрастания температуры dT/dt, К/с, в ткани организма облученного объекта:

,
где c - удельная теплоемкость ткани (Дж/кг·К).
Используя определенные температурные датчики, определяют локальную
SAR внутри модели облученного тела. Один или несколько датчиков используют для определения повышения температуры

во время кратковременного воздействия

(обычно менее 30 с, чтобы предотвратить теплообмен). Начальная скорость повышения температуры приблизительно равна

, а значение локальной
SAR рассчитывают для каждой точки измерения. Повторяя измерения температуры во всем теле или в части тела, определяют средние значения
SAR.
Измерения трехмерного распределения SAR занимают очень много времени вследствие большого количества точек измерения. Для достижения приемлемого периода времени количество точек должно быть ограничено. Это означает, что очень трудно точно измерить неоднородные распределения SAR. Точность измерения температуры также зависит от теплопроводности и конвекции во время измерений или между измерениями.
E.1.3 Методика выполнения калориметрических измерений
Среднее значение SAR всего тела определяют калориметрическими методами. При обычных калориметрических измерениях полноразмерную или масштабированную модель тела при тепловом равновесии облучают в течение определенного периода времени. Калориметр используют для измерения теплового потока от тела до тех пор, пока модель тела человека снова не достигнет теплового равновесия. Полученное значение общей поглощенной энергии делят на время воздействия и массу модели тела, что дает в результате SAR всего тела. При применении калориметрической "двухкарманной" методики используют два калориметра и две одинаковые модели тела. Одну из моделей облучают, а вторую используют в качестве тепловой образцовой меры. Это означает, что измерения могут быть выполнены в менее контролируемых тепловых условиях, чем обычные калориметрические измерения.
Калориметрические измерения дают достаточно точное определение SAR всего тела, но не дают никакой информации о внутреннем распределении SAR. Для получения более точных результатов требуется достаточно большой уровень энергетического воздействия. Общее время измерения, которое определяется временем достижения теплового равновесия после воздействия, может составлять порядка нескольких часов. SAR отдельных частей тела измеряют с помощью частей моделей тела и небольших калориметров.
(справочное)
F.1 Измерение внешних электромагнитных полей
F.1.1 Общие положения
Измерение внешних полей в отношении оценки их воздействия на человека зависит от конкретной задачи. В первую очередь, измерения могут выполняться просто для оценки соответствия уровней напряженности внешнего поля значениям контрольных уровней, указанным в нормативных документах. В некоторых нормативных документах установлены требования относительно необходимости проведения пространственного усреднения неоднородных полей. В других случаях подробные данные о распределении поля могут быть необходимы для аналитических или численных методов с целью оценки соответствия основным ограничениям, установленным в нормативных документах. Используемые исходные данные и пространственное разрешение применяемых измерительных приборов для решения этих задач могут существенно различаться.
До выполнения измерений необходимо оценить напряженность воздействующего поля и определить тип требуемого прибора. Дополнительные исходные данные и уравнения для расчета напряженности поля в различных ситуациях приведены в
приложении A. В зависимости от источника поля и имеющихся данных процедуры выполнения измерений могут быть различными.
При наличии адекватной информации и после оценки ожидаемого уровня напряженности поля и выбора измерительного прибора приступают к измерениям. При выполнении измерений необходимо использовать прибор с датчиком, предназначенным для работы при большом уровне излучения, и переключателем диапазонов, установленным на наиболее чувствительную шкалу. К области поля с высокой напряженностью, например главный лепесток диаграммы направленности антенны, необходимо приближаться постепенно, чтобы избежать перегорания датчика. Для предотвращения чрезмерного воздействия поля на оператора, выполняющего измерение, и измерительный прибор следует соблюдать особую осторожность. Измерения поля выполняют при обычном положении пользователя.
С другой стороны, если данные о предполагаемом воздействии поля определены не вполне корректно (например, предполагаются сильные прерывистые помехи), то в этом случае трудно судить о наличии истинной опасности без проведения ее эмпирической оценки. Для исследования потенциально опасных полей с неустановленной частотой, модуляцией, распределением внутри исследуемой области и т.д. может потребоваться использование нескольких приборов.
При выполнении измерений суммарная неопределенность измерения должна быть спрогнозирована и оценена. Все возможные источники неопределенности, в том числе технические характеристики приборов и параметры конкретной ситуации должны быть приняты во внимание.
F.1.2 Напряженность эквивалентного поля
F.1.2.1 Напряженность электрического поля
Электрическая составляющая электромагнитного поля может быть легко измерена с помощью пригодных антенн, например биконических, логопериодических и т.д. Однако для оценки воздействия малые элементарные (точечные) диполи обычно используются в качестве датчиков для обеспечения минимального возмущения поля и хорошего пространственного разрешения. Направленные датчики содержат только один диполь, тогда как изотропные датчики содержат три ортогональных диполя.
Если используется один диполь, то необходимо выполнить три измерения в трех ортогональных направлениях, чтобы получить различные составляющие поля. Общую напряженность электрического поля определяют по формуле

.
F.1.2.2 Напряженность магнитного поля
Магнитную составляющую электромагнитного поля обычно измеряют рамочными антеннами, так как ток, индуцируемый в контуре рамки, пропорционален напряженности магнитного поля, пересекающего контур. Также для оценки воздействия в качестве датчиков обычно используют контуры небольших размеров, чтобы обеспечить минимальное возмущение поля и хорошее пространственное разрешение.
Широко используются направленные датчики (один контур), но существует также множество изотропных датчиков с тремя ортогональными контурами.
Если используется один контур, то необходимо выполнить три измерения в трех ортогональных плоскостях, чтобы получить различные составляющие поля. Общую напряженность магнитного поля определяют по формуле

.
F.1.2.3 Широкополосные измерения
Если в исследуемом диапазоне частот присутствует несколько частот (и различные виды модуляции), то непосредственно с помощью широкополосного измерительного оборудования можно измерить либо пиковое значение, либо r.m.s. сигнала (независимо от формы сигнала).
В случае, если все существующие спектральные частоты соответствуют одному и тому же уровню, то используют широкополосный датчик с плоской амплитудно-частотной характеристикой.
Однако если имеется несколько частот с различными уровнями, то используют широкополосные датчики, которые целенаправленно и автоматически взвешивают вклад каждой отдельной измеренной частоты относительно соответствующего контрольного уровня.
В случае низкочастотных сигналов может быть использован второй вариант измерения электромагнитных полей, содержащих несколько спектральных частот с различной формой сигналов, который называется методом анализа во временной области (см.
8.2.2). Тем самым, используя фильтрующие устройства, сигнал является взвешенным во временной области.
Для всех трех методов должно быть гарантировано, что полоса частот прибора и датчика является достаточно широкой, чтобы регистрировать все потенциально возникающие спектральные частоты.
В зависимости от используемого датчика может быть также отдельно оценен вклад спектральных составляющих по каждой из трех осей: X, Y и Z. Размер обычно используемого датчика составляет 100 см2.
F.1.2.4 Узкополосные измерения
Если несколько частот (и различные виды модуляции) присутствуют в исследуемом диапазоне частот и если каждая из этих частот соответствует одному и тому же уровню, то пиковое значение и r.m.s. на каждой частоте могут быть измерены непосредственно с использованием частотно-селективного измерительного оборудования. В этом случае следует отметить, что максимальные значения отдельных частот (независимых друг от друга) с целью определения максимального пикового значения должны быть просуммированы линейно, в то время как значения отдельных частот должны быть просуммированы в геометрической прогрессии с целью определения результирующего r.m.s.
В случае измерения вклада только одного спектрального сигнала из многочастотной совокупности сигналов, можно использовать селективное измерительное оборудование с возможностью измерения в режиме нулевой полосы обзора, который общеизвестен при применении анализаторов спектра.
Результат должен быть представлен в виде r.m.s. или пикового значения.
Примечание - Измерение пикового значения не рекомендуется, потому что предельно допустимые значения выражены в r.m.s. и вследствие затруднений с воспроизводимостью результатов измерений.
Если уровни для всех оцениваемых частотных составляющих являются различными, то должна быть выбрана достаточно узкая полоса пропускания, чтобы обеспечить минимальное влияние на результат измерения других частотных составляющих в диапазоне полосы пропускания прибора.
Если измерения выполняют во временной области (с использованием устройства регистрации быстропротекающих процессов) и частотный спектр рассчитывают посредством преобразования Фурье, то должна быть обеспечена разрешающая способность по частоте, чтобы облегчить оценку предельных значений (это неприменимо, если частоты независимы друг от друга).
(справочное)
G.1 Цифровое моделирование
G.1.1 Описание существующих методов
Аналитические методы могут применяться для расчета электромагнитных свойств только в некоторых специальных случаях и для определения геометрических характеристик. Для решения общих проблем применяют численные методы. Ниже перечислены наиболее распространенные численные методы расчета электромагнитных полей от излучающего источника и удельной поглощенной мощности в биологических телах. Также дается краткое описание этих методов. Наиболее подходящая методика для определенной задачи зависит от рассматриваемого диапазона частот, геометрических характеристик объектов, которые необходимо смоделировать, и типа воздействия (ближнее или дальнее поле). Ссылочные документы
[1] -
[7] содержат подробную информацию об этих методах и их применении.
Методы цифрового моделирования:
- метод физической оптики (physical optics - PO);
- метод физической теории дифракции (physical theory of diffraction - PTD);
- метод геометрической оптики (geometrical optics - GO);
- метод геометрической теории дифракции (geometrical theory of diffraction - GTD);
- метод однородной теории дифракции (uniform theory of diffraction - UTD);
- метод эквивалентных токов (method of equivalent currents - MEC);
- метод моментов (method of moments - MoM);
- метод множественных мультиполей (multiple multipole method - MMP);
- конечно-разностный метод во временной области (FDTD);
- метод конечного элемента (FEM);
- метод импеданса (IP);
- метод быстрого преобразования Фурье/метод сопряженных градиентов (fast Fourier transform/conjugate gradient method - FFT/CG).
G.1.1.1 Метод MoM
Метод MoM является широко распространенным методом для решения электромагнитных задач и для выполнения расчетов SAR в моделях биологических тел. Применение этого метода позволяет вычислять электрические поля внутри биологического тела посредством решения функции Грина и интегральных уравнений Максвелла.
G.1.1.2 Метод FFT/CG
Метод FFT/CG является усовершенствованным методом MoM. Итерационные алгоритмы, основанные на быстром преобразовании Фурье и градиентной процедуре, используются для решения линейных уравнений, полученных методом MoM.
G.1.1.3 Метод FDTD
Метод FDTD - это численный метод для решения дифференциальных уравнений Максвелла во временной области. Он может применяться для расчета внутреннего и внешнего электромагнитных полей и распределения SAR в биологических телах при воздействии как ближнего, так и дальнего полей. В основе этого метода лежат дискретные во времени и пространстве преобразования, и биологическое тело моделируется путем задания значений относительной диэлектрической проницаемости и удельной электропроводности пространственным ячейкам, из которых оно состоит. Требуемая компьютерная память должна быть пропорциональна количеству пространственных ячеек. Данный метод рассматривают как перспективный для вычисления SAR, но для точных вычислений необходимы очень мощные компьютеры.
G.1.1.4 Метод MMP
Метод MMP основан на аналитическом решении уравнений поля, созданного мультиполем в одной точке пространства, и применяется совместно с обобщенным мультипольным методом (generalized multipole technique - GMP). Метод MMP особенно подходит для моделирования тел с так называемыми "потерями за счет рассеяния", которые находятся вблизи источников излучения, т.е. в пределах ближнего поля.
G.1.1.5 Метод IP
Метод IP успешно применяется для решения дозиметрических задач посредством квазистатической аппроксимации. Для расчета SAR в теле человека применение этого метода оказалось очень эффективным на частотах до 40 МГц. В данном методе биологическое тело моделируется трехмерной цепью комплексных импедансов.
G.2 Расчет напряженности поля
Большинство вышеперечисленных методов применяют для расчета уровней напряженности поля от источников электромагнитного излучения. Точность результатов во многом зависит от того, насколько хорошо смоделирован излучатель (например, антенна). Если объекты находятся вблизи излучателя, между излучателем и расчетной точкой или вблизи расчетной точки напряженности поля и могут оказать существенное влияние на уровень напряженности поля, то такие объекты также должны быть смоделированы.
Какой из этих методов является наиболее подходящим для решения конкретной задачи, зависит, например, от частоты, условий воздействия, размера объекта, подвергаемого воздействию, требуемой точности и максимального приемлемого времени расчета. Каждый метод требует наличия опыта проведения биофизического и цифрового анализа.
Для применения любого из этих методов требуется наличие трехмерной геометрической цифровой модели тела или части тела, подвергаемых воздействию. Электрические характеристики на частоте воздействия поля должны быть известны для различных частей тела. В зависимости от требуемой точности применяют модели различной сложности.
Также необходима трехмерная информация, касающаяся геометрических характеристик передающей антенны, и подробная информация, касающаяся устройства возбуждения передающей антенны. Устройства возбуждения передающей антенны могут быть сложными в случае антенн FM- или TV-вещания или передающих базовых станций на основе GSM, и это в значительной степени влияет на достоверность модели передающей антенны.
G.3 Подробные расчеты скорости поглощения энергии
Из-за трудности измерения усредненного или локального пикового значения SAR всего тела во многих случаях воздействия при численных расчетах применяют несколько вышеупомянутых цифровых методов для оценки распределения удельной поглощенной мощности в биологическом теле, подвергаемом воздействию поля как ближней, так и дальней зоны, например методы FDTD, MoM и MMP.
Какой из этих методов является наиболее подходящим для решения конкретной задачи, зависит, например, от частоты, условий воздействия, размера объекта, подвергаемого воздействию, требуемой точности и максимального приемлемого времени расчета. Каждый метод требует наличия опыта проведения биофизического и цифрового анализа.
Для применения любого из этих методов требуется наличие трехмерной геометрической цифровой модели тела или части тела, подвергаемых воздействию. Электрические характеристики на частоте воздействия поля должны быть известны для различных частей тела. В зависимости от требуемой точности применяют модели различной сложности. В некоторых случаях для моделей тела подходят простые формы, аналогичные сферам и цилиндрам. Данные о диэлектрических свойствах тканей человека приведены в
[8]. Используя изображения тела человека, полученные посредством магнитного резонанса (magnetic resonance - MR), разрабатывают очень сложные и достоверные цифровые модели тела. Модели, разработанные на основе изображений, полученных посредством MR для различных типов ткани и с пространственным разрешением менее нескольких миллиметров, использовались для вычислений по методу FDTD распределения
SAR в теле человека, подвергаемого воздействию электромагнитных полей от портативных радиотехнических устройств (
[9],
[10]).
Также необходима трехмерная информация, касающаяся геометрических характеристик передающей антенны, и подробная информация, касающаяся устройства возбуждения передающей антенны. Устройства возбуждения передающей антенны могут быть сложными в случае антенн FM- или TV-вещания или передающих базовых станций на основе GSM, и это в значительной степени влияет на достоверность модели передающей антенны.
G.4 Ссылочные документы
| BALANIS, C.A. Advanced Engineering Electromagnetic. John Wiley & Sons, New York. (Усовершенствованные инженерные решения в электромагнитной области) |
[2] | UFIMTSEV, P.Y. Method of waves in the Physical Theory of Diffraction (In Russian), Izd. Vo. Sov. Radio, pp. 1 - 243, 1962 (Translation prepared by the U.S. Air Force Technology Division, Wright-Patterson AFB, Ohio) (Метод волн в физической теории дифракции) |
[3] | HARRINGTON, R.F. Field Computation by Moment Methods, Mcmillan, New York, 1968 (Вычисление поля методом моментов) |
[4] | Kunz, K.S. and Luebbers, R.J. The Finite Difference Time Domain Method for Electromagnetic. CRC Press, Boca Raton, FL, 1993 (Конечноразностный метод во временной области для расчета электромагнитных полей) |
[5] | MORGAN, M.A. (Editor), Finite Element and Finite Difference Methods in Electromagnetic Scattering. Eisevier Science Publishing, New York, 1990 (Метод конечных элементов и конечноразностные методы для расчета электромагнитного излучения) |
[6] | GANDHI, O.P. (Editor). Biological Effects and Medical Applications of Electromagnetic Energy. Prentice Hall, Englewood Cliffs, N.J., 1990 (Биологические воздействия и медицинские применения электромагнитной энергии) |
| KUSTER, N. Multiple Multipole Method for Simulating EM Problems Involving Biological Bodies. IEEE Trans. Biomed. Eng., July 1993, vol. 40, no. 7 (Метод множественных мультиполей для имитирования электромагнитных проблем, включая биологические тела) |
| FOSTER, K.R. and SCHWAN, H.P. Dielectric properties of tissues and biological materials: A critical review. Critical Reviews in Biomedical Engineering, vol. 17, 1989 (Диэлектрические свойства тканей и биологические материалы. Критический анализ) |
| DIMBYLOW P.J. and MANN, S.M. SAR calculations in an automatically realistic model of the head for mobile communication transceivers at 90 MHz and 1.8 GHz. Phys. Med. Biol., 1994 vol 39 (Вычисление SAR в автоматически реализуемой модели головы для мобильных приемопередатчиков системы связи) |
| HOMBACH, V., MEIER, K., KUHN, E and KUSTER, N. The dependence of human head modeling on EM absorption. IEEE Transactions on Microwave Theory and Techniques, 1996 (Зависимость моделирования головы человека от электромагнитного поглощения) |
(справочное)
СВЕДЕНИЯ О СООТВЕТСТВИИ ССЫЛОЧНЫХ МЕЖДУНАРОДНЫХ СТАНДАРТОВ
МЕЖГОСУДАРСТВЕННЫМ СТАНДАРТАМ
Таблица ДА.1
Обозначение ссылочного международного стандарта | Степень соответствия | Обозначение и наименование соответствующего межгосударственного стандарта |
IEC 60050-161:1990 | MOD | ГОСТ 30372-2017 (IEC 60050-161:1990) "Совместимость технических средств электромагнитная. Термины и определения" |
Примечание - В настоящей таблице использовано следующее условное обозначение степени соответствия стандартов: - MOD - модифицированный стандарт. |
| ICNIRP Guidelines. Guidelines for Limiting Exposure to Time-Varying Electric, Magnetic and Electromagnetic Fields (up to 300 GHz). Health Physics 74(4): 494 - 522, 1998 (Руководство по ограничению электрических, магнитных и электромагнитных полей, изменяющихся во времени (до 300 МГц)) |
| IEEE Std C95.6TM | IEEE Standard for Safety Levels with Respect to Human Exposure to Electromagnetic Fields, 0 - 3 kHz, 2002 (Стандарт по безопасным уровням в отношении воздействия на человека электромагнитных полей частотой 0 - 3 кГц) |
| IEEE Std C95.1TM | IEEE Standard for Safety Levels with Respect to Human Exposure to Radio Frequency Electromagnetic Fields, 3 kHz - 300 GHz, 2005 (Стандарт по безопасным уровням в отношении воздействия на человека электромагнитных полей частотой 3 кГц - 300 ГГц) |
[4] | IEC 61786:1998 | Measurement of low-frequency magnetic and electric fields with regard to exposure of human beings - Special requirements for instruments and guidance for measurements (Измерение низкочастотных магнитных и электрических полей, воздействующих на человека. Специальные требования к приборам и методика измерения) |
[5] | ISO/IEC 17025:2005 | General requirements for the competence of testing and calibration laboratories (Общие требования к компетентности испытательных и калибровочных лабораторий) |
| European Council Recommendation 1999/519/EC of 12 July 1999 on the limitation of exposure of the general public to electromagnetic fields (0 Hz to 300 GHz) (Рекомендация 1999/519/EC от 12 июля 1999 г. по ограничению воздействия электромагнитных полей на людей) |
| CNIRP Guidance on determining compliance of exposure to pulsed and complex non-sinusoidal waveforms below 100 kHz with ICNIRP guidelines. Health Physics, 2003, vol 84. No. 3, pp. 383 - 387 (Руководство ICNIRP по определению соответствия воздействия импульсных и сложных несинусоидальных колебаний ниже 100 кГц согласно указаниям ICNIRP) |
| ANSI NCSL Z540-2 | US guide to the expression of uncertainty in measurement (Руководство США по выражению неопределенности измерения) |
| BIPM, IEC, IFCC, ISO, IUPAC, IUPAP and OIML, 1995, Guide to the expression of uncertainty in measurement (Руководство по выражению неопределенности измерения) |
УДК 621.38.082.7:613.647(083.74)(476) | | IDT |
Ключевые слова: электронное и электрическое оборудование; электромагнитное поле, удельное поглощение энергии, удельное поглощение мощности, предельно допустимый уровень, цифровое моделирование |