Главная // Актуальные документы // ГОСТ (Государственный стандарт)СПРАВКА
Источник публикации
М.: ФГБУ "Институт стандартизации", 2024
Примечание к документу
Документ включен в
Перечень международных и региональных (межгосударственных) стандартов, а в случае их отсутствия - национальных (государственных) стандартов, в результате применения которых на добровольной основе обеспечивается соблюдение требований технического
регламента Таможенного союза "О безопасности низковольтного оборудования" (ТР ТС 004/2011) и в
Перечень международных и региональных (межгосударственных) стандартов, а в случае их отсутствия - национальных (государственных) стандартов, содержащих правила и методы исследований (испытаний) и измерений, в том числе правила отбора образцов, необходимые для применения и исполнения требований технического
регламента Таможенного союза "О безопасности низковольтного оборудования" (ТР ТС 004/2011) и осуществления оценки соответствия объектов технического регулирования (
Решение Коллегии Евразийской экономической комиссии от 11.05.2023 N 55).
Документ
вводится в действие с 01.01.2025 с правом досрочного применения.
Название документа
"ГОСТ EN 62233-2013. Межгосударственный стандарт. Методы измерений электромагнитных полей, создаваемых бытовыми и аналогичными электрическими приборами, в части их воздействия на человека"
(введен в действие Приказом Росстандарта от 24.01.2024 N 47-ст)
"ГОСТ EN 62233-2013. Межгосударственный стандарт. Методы измерений электромагнитных полей, создаваемых бытовыми и аналогичными электрическими приборами, в части их воздействия на человека"
(введен в действие Приказом Росстандарта от 24.01.2024 N 47-ст)
агентства по техническому
регулированию и метрологии
от 24 января 2024 г. N 47-ст
МЕЖГОСУДАРСТВЕННЫЙ СТАНДАРТ
МЕТОДЫ ИЗМЕРЕНИЙ ЭЛЕКТРОМАГНИТНЫХ ПОЛЕЙ,
СОЗДАВАЕМЫХ БЫТОВЫМИ И АНАЛОГИЧНЫМИ ЭЛЕКТРИЧЕСКИМИ
ПРИБОРАМИ, В ЧАСТИ ИХ ВОЗДЕЙСТВИЯ НА ЧЕЛОВЕКА
Measurement methods for electromagnetic fields
of household appliances and similar apparatus
with regard to human exposure
(EN 62233:2008, IDT)
ГОСТ EN 62233-2013
Дата введения
1 января 2025 года
с правом досрочного применения
Цели, основные принципы и общие правила проведения работ по межгосударственной стандартизации установлены
ГОСТ 1.0 "Межгосударственная система стандартизации. Основные положения" и
ГОСТ 1.2 "Межгосударственная система стандартизации. Стандарты межгосударственные, правила и рекомендации по межгосударственной стандартизации. Правила разработки, принятия, обновления и отмены"
1 ПОДГОТОВЛЕН научно-производственным республиканским унитарным предприятием "Белорусский государственный институт стандартизации и сертификации" (БелГИСС) на основе собственного перевода на русский язык англоязычной версии стандарта, указанного в
пункте 5
2 ВНЕСЕН Государственным комитетом по стандартизации Республики Беларусь
3 ПРИНЯТ Межгосударственным советом по стандартизации, метрологии и сертификации (протокол от 7 июня 2013 г. N 43-2013)
За принятие проголосовали:
Краткое наименование страны по МК (ИСО 3166) 004-97 | Код страны по МК (ИСО 3166) 004-97 | Сокращенное наименование национального органа по стандартизации |
Армения | AM | ЗАО "Национальный орган по стандартизации и метрологии" Республики Армения |
Беларусь | BY | Госстандарт Республики Беларусь |
Казахстан | KZ | Госстандарт Республики Казахстан |
Киргизия | KG | Кыргызстандарт |
Россия | RU | Росстандарт |
Таджикистан | TJ | Таджикстандарт |
Узбекистан | UZ | Узстандарт |
4
Приказом Федерального агентства по техническому регулированию и метрологии от 24 января 2024 г. N 47-ст межгосударственный стандарт ГОСТ EN 62233-2013 введен в действие в качестве национального стандарта Российской Федерации с 1 января 2025 г. с правом досрочного применения
5 Настоящий стандарт идентичен европейскому стандарту EN 62233:2008 "Методы измерений электромагнитных полей, создаваемых бытовыми и аналогичными электрическими приборами, в части их воздействия на человека" ("Measurement methods for electromagnetic fields of household appliances and similar apparatus with regard to human exposure", IDT).
Европейский стандарт разработан совместной редакторской группой технических комитетов по стандартизации CENELEC TC 61 "Безопасность бытовых и аналогичных электрических приборов" и CENELEC TC 106X "Электромагнитные поля в окружающей человека среде" Европейского комитета по стандартизации в области электротехники (CENELEC).
При применении настоящего стандарта рекомендуется использовать вместо ссылочных международных стандартов соответствующие им межгосударственные стандарты, сведения о которых приведены в дополнительном
приложении ДА
6 ВВЕДЕН ВПЕРВЫЕ
Информация о введении в действие (прекращении действия) настоящего стандарта и изменений к нему на территории указанных выше государств публикуется в указателях национальных стандартов, издаваемых в этих государствах, а также в сети Интернет на сайтах соответствующих национальных органов по стандартизации.
В случае пересмотра, изменений или отмены настоящего стандарта соответствующая информация будет опубликована на официальном интернет-сайте Межгосударственного совета по стандартизации, метрологии и сертификации в каталоге "Межгосударственные стандарты"
Европейский стандарт EN 62233:2008 является модифицированным по отношению к международному стандарту IEC 62233:2005.
В настоящем стандарте использованы следующие шрифтовые выделения:
- требования - основной шрифт;
- примечания - петит.
Термины, приведенные в
разделе 3, в тексте стандарта выделены полужирным шрифтом.
Настоящий стандарт устанавливает методы измерений напряженности электромагнитных полей частотой до 300 ГГц, напряженности электрического поля и магнитной индукции, создаваемых бытовыми и аналогичными электрическими приборами, включая условия проведения испытаний, такие как измерительное расстояние и положение.
Настоящий стандарт распространяется на приборы со встроенными электродвигателями, нагревательными элементами и их комбинациями, с электрическим и электронным управлением, которые могут получать электропитание от сети, батарей или любых других источников электроэнергии.
К таким приборам также относятся бытовые электрические инструменты и электрические игрушки.
Также подпадают под действие настоящего стандарта приборы, непосредственно не предназначенные для бытового применения, однако которые могут быть доступны для населения.
Настоящий стандарт не распространяется на:
- оборудование и приборы, разработанные исключительно для промышленного применения;
- оборудование, предназначенное для встраивания в стационарные электрические установки, здания и сооружения (предохранители, устройства защитного отключения, кабели, выключатели и т.д.);
- радиоприемники и телевизоры, аудио- и видеоаппаратуру и электрические музыкальные инструменты;
- медицинское электрооборудование;
- персональные компьютеры и аналогичное оборудование;
- радиопередающие устройства;
- оборудование, предназначенное для использования исключительно на транспортных средствах.
Поля, создаваемые многофункциональным оборудованием, будут рассмотрены в других стандартах и/или в стандартах на конкретные виды приборов и оборудования.
Ненормальная работа оборудования не является предметом настоящего стандарта.
Настоящий стандарт включает в себя следующие специфические процедуры для оценки воздействия полей на человека:
- определение необходимых датчиков;
- определение методов измерения;
- определение необходимых действий для проведения испытаний электрических приборов;
- определение измерительных расстояния и положения электрических приборов при проведении измерений.
Установленные методы измерения применимы для частот от 10 Гц до 400 кГц. В диапазоне частот выше 400 кГц и ниже 10 Гц электрические приборы, входящие в область применения настоящего стандарта, считаются соответствующими требованиям без тестирования, если иное не указано в стандартах серии IEC 60335.
Примечание - Данные методы измерений не применяют для сравнения полей, создаваемых различными приборами.
В настоящем стандарте использованы нормативные ссылки на следующие стандарты [для датированных ссылок применяют только указанное издание ссылочного стандарта, для недатированных - последнее издание (включая все изменения)]:
IEC 60335 (все части) Safety of household and similar electrical appliances (Бытовые и аналогичные электрические приборы)
IEC 61786:1998
<1> Measurement of low-frequency magnetic and electric fields with regard to exposure of human beings - Special requirements for instruments and guidance for measurements (Измерение низкочастотных магнитных и электрических полей, воздействующих на человека. Специальные требования к приборам и методика измерения)
--------------------------------
<1> Заменен на IEC 61786-1:2013. Однако для однозначного соблюдения требования настоящего стандарта, выраженного в датированной ссылке, рекомендуется использовать только указанное в этой ссылке издание.
IEC 62311:2007
<2> Assessment of electronic and electrical equipment related to human exposure restrictions for electromagnetic fields (0 Hz - 300 GHz) (Оценка электронного и электрического оборудования в отношении ограничений воздействия на человека электромагнитных полей (0 Гц - 300 ГГц)
--------------------------------
<2> Заменен на IEC 62311:2019. Однако для однозначного соблюдения требования настоящего стандарта, выраженного в датированной ссылке, рекомендуется использовать только указанное в этой ссылке издание.
CISPR 14-1:2006
<3> Electromagnetic compatibility - Requirements for household appliances, electric tools and similar apparatus - Part 1: Emission (Совместимость электромагнитная. Требования к бытовой аппаратуре, электрическому инструменту и аналогичным приборам. Часть 1. Помехоэмиссия)
--------------------------------
<3> Заменен на CISPR 14-1:2020. Однако для однозначного соблюдения требования настоящего стандарта, выраженного в датированной ссылке, рекомендуется использовать только указанное в этой ссылке издание.
В настоящем стандарте применяют следующие термины с соответствующими определениями, а также используют единицы измерений международной системы СИ.
3.1 Физические величины и единицы измерений
Величина | Обозначение | Единица измерений | Размерность |
Удельная электропроводность | | Сименс/метр | См/м |
Плотность тока | J | Ампер/метр квадратный | А/м2 |
Напряженность электрического поля | E | Вольт/метр | В/м |
Частота | f | Герц | Гц |
Напряженность магнитного поля | H | Ампер/метр | А/м |
Магнитная индукция | B | Тесла | Тл (Вб/м2) |
3.2 Термины и определения
3.2.1 основное ограничение (basic restriction): Предельно допустимые уровни воздействия электрических, магнитных и электромагнитных полей, основанные непосредственно на требованиях сохранения здоровья человека и биологических факторах. Основное ограничение для плотности тока обозначают JBR, основное ограничение для напряженности электрического поля - EBR.
3.2.Z1 расстояние до оператора (operator distance): Расстояние между поверхностью прибора и ближайшей точкой головы или туловища оператора.
3.2.2 поправочный коэффициент ac(r1) (coupling factor): Коэффициент, учитывающий неравномерность магнитных полей вокруг приборов, площадь измерительного контура датчика, размеры туловища и головы оператора, а также измерительное расстояние.
3.2.3 преобразование Фурье (Fourier transformation): Математический метод описания функции зависимости частоты от времени (IEV 101-13-09).
3.2.4 быстрое преобразование Фурье FFT (transformation Fourier fast, FFT): Оптимизированное по скорости преобразование Фурье.
3.2.5 точка максимальной интенсивности (hot spot): Точка локальной области с максимальной напряженностью поля в силу неравномерности распределения поля в пространстве.
3.2.6
измерительное расстояние r1 (measuring distance;
r1): Расстояние между поверхностью прибора и ближайшей точкой на поверхности датчика (см.
приложение A).
3.2.7
измерительное положение (measuring positions):
3.2.7.1 вокруг (around): Датчик перемещается вокруг прибора на неизменном расстоянии в месте предполагаемого нахождения человека.
3.2.7.2 верх (top): Датчик перемещается на установленном неизменном расстоянии от верхней части прибора.
3.2.7.3 фронт (front): Датчик перемещается на установленном расстоянии от фронтальной поверхности прибора.
3.2.8
контрольный уровень; максимально допустимый уровень воздействия; BRL (reference level; maximum permissible exposure level;
BRL): Максимальный допустимый уровень интенсивности поля, установленный исходя из основных ограничений для наихудшего варианта воздействия (например, воздействия однородного поля).
Примечание - Контрольные уровни могут быть превышены при условии, что основные ограничения выполнены.
3.2.9 время отклика (response time): Время, необходимое измерительному средству для получения установленного процента окончательного достоверного параметра поля, начиная с момента помещения этого измерительного средства в измеряемое поле.
3.2.10 взвешенный результат; W (weighted result; W): Окончательный результат измерений, полученный путем суммирования результатов измерений на всех контрольных частотных уровнях.
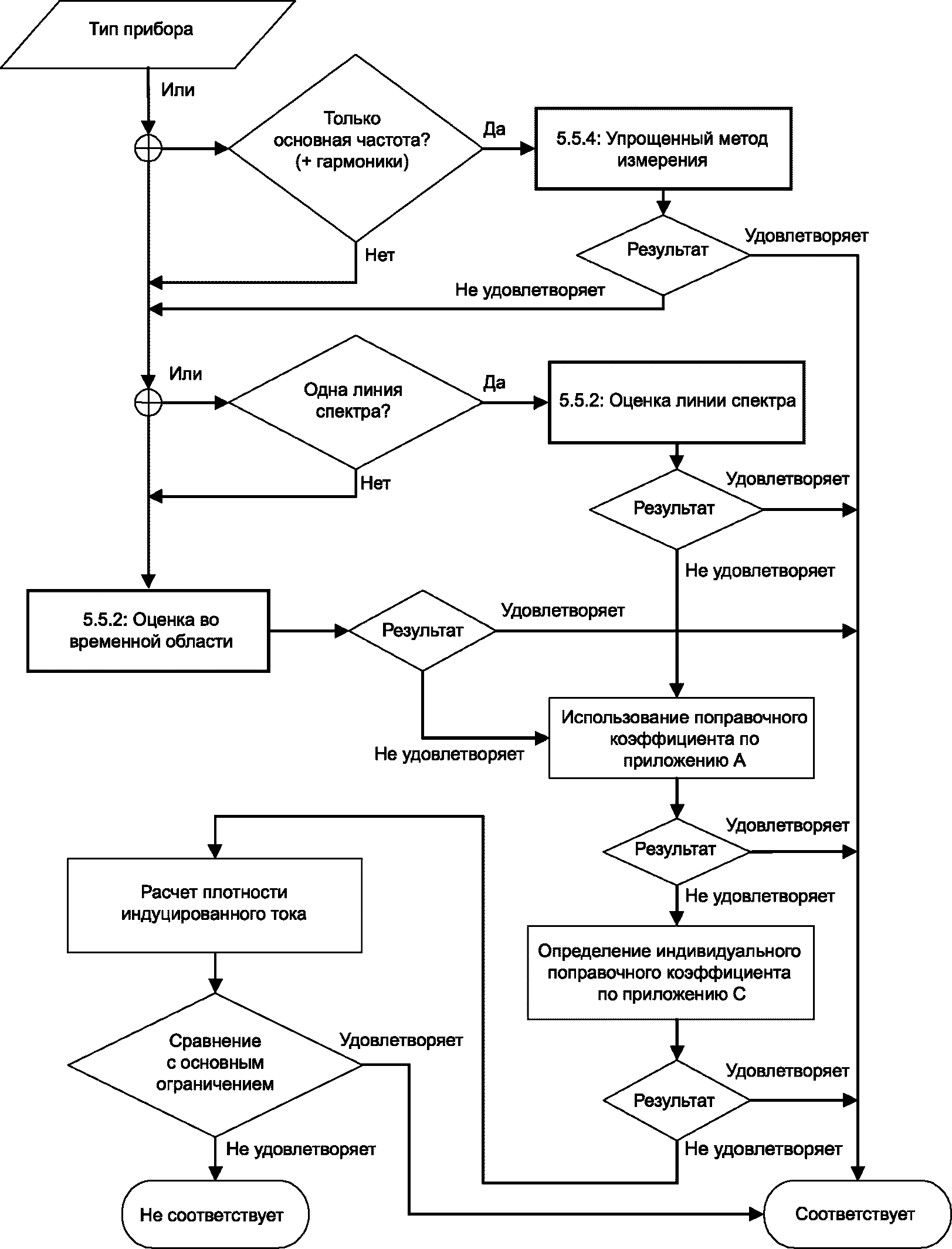
4 Выбор методов испытаний
Независимо от спектра частот генерируемых полей для всех приборов должна применяться процедура испытаний согласно
5.5.2. Это эталонный метод, который следует использовать в случае разногласий.
Процедура согласно
5.5.3 должна применяться к приборам, создающим линейный спектр, который состоит из одной спектральной линии и ее гармоник.
Для приборов, создающих значительные по интенсивности поля только основной частоты с ее гармониками, может применяться один из упрощенных методов испытаний согласно
5.5.4.
Измерения для приборов с полным рабочим циклом менее 1 с проводятся в соответствии с IEC 62311 для импульсных полей, однако условия работы, измерительное расстояние и поправочный коэффициент приведены в настоящем стандарте.
Может применяться пошаговая процедура, начиная с самых простых методов к более сложным (см. блок-схему на
рисунке 1).
Рисунок 1 - Рекомендации по выбору метода испытания начиная
с оценки контрольных уровней
Метод измерения находится в стадии разработки.
Если приборы со встроенными трансформаторами и электронными цепями работают при напряжении ниже 1000 В, то они считаются соответствующими требованиям настоящего стандарта без тестирования.
Рассматриваемый диапазон частот - от 10 Гц до 400 кГц (см. область применения,
раздел 1).
Если не представляется возможным охватить диапазон частот при проведении одного измерения, то должны быть суммированы взвешенные результаты для каждого измеряемого частотного диапазона.
5.3 Измерительное расстояние, расположение и режим функционирования
Измерительное расстояние, месторасположение датчика и режим функционирования установлены в
приложении A.
Конфигурация и порядок работы в процессе измерений должны быть указаны в протоколе испытаний.
5.4 Измерение магнитного поля
Измеренные значения магнитной индукции усредняют для участка площадью 100 см2 в каждом направлении. С целью обеспечения изотропной чувствительности контрольный датчик состоит из трех взаимно перпендикулярных концентрических контуров и имеет площадь измерения (100 +/- 5) см2. Внешний диаметр контрольного датчика не должен превышать 13 см.
При определении
поправочных коэффициентов, как установлено в
приложении C, используется изотропный датчик с площадью измерения (3 +/- 0,3) см
2.
Примечание - Допускается применение одного однонаправленного датчика с последующим суммированием результатов.
Примечание - Конечное значение магнитной индукции представляет собой векторную сумму значений, полученных при измерении в каждом направлении. Таким образом, обеспечивается независимость измеренного значения от направления магнитного поля.
5.5 Процедуры измерения магнитных полей
5.5.1 Общие положения
Измеренный сигнал должен оцениваться в зависимости от частоты.
Магнитные поля со временем действия менее 200 мс, например переходные процессы при включении и выключении, не учитываются.
Если в процессе измерения произошло отключение (переключение), то измерение проводят повторно.
Измерительное оборудование должно иметь максимальный уровень шума не более 5% от предельного значения. Все измеренные значения ниже максимального уровня шума не учитываются.
Фоновый уровень шума должен быть менее 5% от предельного значения.
Время отклика измерительного оборудования, необходимое для достижения 90% конечного значения измерений, не должно превышать 1 с.
Значение магнитной индукции определяют с применением времени усреднения, равного 1 с.
Уменьшенное время измерения может применяться, если продемонстрировано, что источник поля стабилен в течение времени более 1 с для сигналов с частотой от 10 до 400 Гц.
При выполнении заключительных измерений датчик должен оставаться неподвижным.
5.5.2 Оценка во временной области
Данный метод является эталонным и применяется в случае возникновения сомнений в достоверности результатов.
Измерение магнитной индукции во временной области должно проводиться независимо от типа сигнала. Для полей с несколькими частотными составляющими следует учитывать зависимость от частоты контрольных уровней путем применения передаточной функции A, которая является обратной контрольному уровню, выраженному как функция частоты.
Передаточная функция должна реализовываться с помощью фильтра первого порядка и иметь характеристики, указанные на рисунке Z1.
Примечание - Логарифмическая шкала используется для обеих осей.
Рисунок Z1 - Передаточная функция
Для измерений используется следующий алгоритм действий:
- выполняют отдельное измерение для каждого сигнала контура;
- применяют процедуру получения взвешенного значения к каждому сигналу, используя передаточную функцию;
- возводят в квадрат взвешенные значения сигналов;
- суммируют сигналы, возведенные в квадрат;
- усредняют сумму;
- извлекают квадратный корень из среднего значения.
Результатом является взвешенное среднеквадратичное значение магнитной индукции.
Данная процедура схематически изображается на рисунке Z2.
Примечание - Различные способы, которыми передаточная функция может применяться к изменяющемуся во времени сигналу, включают в себя применение: аналогового фильтра электронной схемы, предварительно программированного процессора, анализатора сигналов или компьютерного цифрового расчета с помощью электронных таблиц или программ, созданных по заказу.
Рисунок Z2 - Блок-схема эталонного метода
Измеренное значение следует сравнить непосредственно с эталонным уровнем
BRL магнитной индукции при частоте 50 Гц. При наличии устройств с сильно локализованными полями это сравнение следует провести с учетом поправочного коэффициента
ac(
r1), приведенного в
приложении C. Окончательный взвешенный результат,
W, можно получить следующим образом:
или применяя поправочный коэффициент ac(r1)
Wnc = ac(r1)Wn,
где Wn - взвешенный результат;
Br.m.s - среднеквадратичное значение магнитной индукции;
BRL - контрольный уровень магнитной индукции при fC0;
ac(r1) - поправочный коэффициент;
Wnc - взвешенный результат одного измерения, учитывающий неоднородность поля посредством применения ac(r1).
Взвешенный результат W не должен быть более 1.
5.5.3 Оценка спектральных линий
Настоящий метод может использоваться только для сигналов линейчатых спектров, например магнитных полей с основной частотой 50 Гц и присутствующих рядом гармонических составляющих.
Магнитную индукцию измеряют на каждой соответствующей частоте. Это может быть выполнено путем записи временного сигнала магнитной индукции и использования преобразования Фурье для оценки спектральных компонентов.
Измерения проводят в следующей последовательности:
- конкретное измерение сигнала каждым контуром (x, y, z);
- интегрирование сигналов для получения значения, пропорционального B(t);
- преобразование Фурье для сигнала каждого контура с целью оценки дискретных значений спектральных составляющих B(i), представляющих среднеквадратичные значения дискретной частоты f(i) = i/T0 (где T0 - время измерения);
- нахождение максимального локального значения B(j) с частотой f(j) для интерполирования дискретного спектра B(i);
- векторное сложение значений каждой дискретной спектральной линии B(j) для трех направлений
Примечание - Используя формулу, в двух последних операциях допускается заменять B(i) на B(j).
В результате получают значение магнитной индукции для каждой исследуемой частоты.
Для сравнения результатов измерений с предельно допустимыми уровнями может использоваться контрольный уровень
BRL(
j). Для приборов, создающих сильно локализованные поля, должен быть учтен поправочный коэффициент
ac(
r1), указанный в
приложении C. Для полей с несколькими частотными диапазонами необходимо рассчитать взвешенные суммы.
Взвешенный результат получают исходя из следующей формулы:
или применяя поправочный коэффициент ac(r1)
Wnc = ac(r1)·Wn.
Примечание - Поправочный коэффициент должен быть независим от частоты (для более полного уточнения см.
приложение C).
B(j) - магнитная индукция, измеренная для спектральной линии с частотой j;
BRL(j) - контрольный уровень магнитной индукции с частотой j;
Wn - взвешенный результат измерений;
Wnc - взвешенный результат измерений для неоднородных полей с учетом поправочного коэффициента ac(r1).
Полученный взвешенный результат W не должен превышать 1.
Примечание - Простое суммирование всегда приводит к переоценке результата (воздействия). Для широкополосного поля, содержащего более высокочастотные гармоники и шумы, пределы на основе формулы суммирования очень относительны, поскольку амплитуды в широкополосных полях находятся не в одной фазе. При использовании большинства измерительных средств соответствующие фазы не измеряются (например, при использовании анализатора спектра осуществляется только суммирование среднеквадратичных частотных составляющих). Учет фаз при измерениях дает, как правило, более точный результат.
5.5.4 Упрощенные методы испытаний
Приборы, создающие магнитные поля только на промышленной частоте с гармоническими составляющими, должны испытываться только в диапазоне частот ниже 2 кГц.
Приборы считают соответствующими требованиям настоящего стандарта при выполнении следующих условий:
- известны токи, включая токи гармонических составляющих, создающие магнитные поля;
- все токи гармонических составляющих со значением амплитуды, превышающим 10% от амплитуды тока промышленной частоты, непрерывно понижаются по диапазону частот;
- значение магнитной индукции, измеренной при промышленной частоте, составляет менее 50% от контрольного уровня, установленного для промышленной частоты;
- значения магнитной индукции, полученные в процессе измерения всего частотного спектра, при подавленной промышленной частоте составляют менее 15% контрольного уровня, установленного для промышленной частоты.
Примечание - Активный узкополосный режекторный фильтр является средством для подавления помех промышленной частоты. Если условие не выполняется, рекомендуется проведение другого измерения в соответствии с эталонным методом.
Приборы, создающие только очень слабые магнитные поля (при доминирующей промышленной частоте), считаются соответствующими требованиям настоящего стандарта, если выполняются следующие условия:
- известны токи, включая токи гармонических составляющих, создающие магнитные поля;
- все токи гармонических составляющих со значением амплитуды, превышающим 10% от амплитуды тока промышленной частоты, непрерывно понижаются по диапазону частот;
- значения магнитной индукции, полученные в процессе измерения во всем диапазоне частот, составляют менее 30% от контрольного уровня, установленного для промышленной частоты.
5.6 Неопределенность измерения
Максимальная суммарная неопределенность измерения не должна превышать 25% предельно допустимого уровня воздействия. Рекомендации по оцениванию неопределенности измерения приведены в IEC 61786.
Примечание 1 - Полная неопределенность измерения может учитывать такие факторы, как месторасположение датчика, условия эксплуатации, фоновый шум или электромагнитное излучение, превышающие динамический диапазон измерительного прибора.
Когда результат измерения сравнивают с предельно допустимым уровнем воздействия, неопределенность измерения учитывают следующим образом:
- определяют, создает ли прибор поля ниже предельно допустимого уровня воздействия; тогда неопределенность измерения прибавляют к результату измерения и полученную сумму сравнивают с предельно допустимым уровнем воздействия.
Примечание - Это применимо к измерениям, выполняемым изготовителем;
- определяют, создает ли прибор поля выше предельно допустимого уровня воздействия; тогда неопределенность измерения вычитают из результата измерения и полученную разницу сравнивают с предельно допустимым уровнем воздействия.
Примечание - Это применимо к измерениям, выполняемым органами, отвечающими за надзор за размещенной на рынке продукцией.
Протокол испытаний должен (по меньшей мере) включать в себя следующие данные:
- указания типа испытуемого прибора;
- спецификацию измерительного оборудования;
- эксплуатационный режим, измерительные расстояния и положения, если это не указано в
приложении A;
- номинальное напряжение и частоту;
- метод измерения;
- максимальные измеренные значения, взвешенный результат и поправочный коэффициент, если это применимо;
- неопределенность измерения, если результат измерения составляет более 75% предельно допустимого уровня воздействия.
| | Применение на добровольной основе разд. 6 обеспечивает соблюдение требований технического регламента Таможенного союза "О безопасности низковольтного оборудования" (ТР ТС 004/2011) (Решение Коллегии Евразийской экономической комиссии от 11.05.2023 N 55). | |
Требования настоящего стандарта считаются выполненными в случае:
- если измеренные значения с учетом неопределенности измерения (см.
5.6) не превышают
контрольный уровень;
- если измеренное значение превышает
контрольный уровень, может быть применен
поправочный коэффициент в целях уточнения соответствия
основному ограничению. Для конкретного электрического прибора
поправочный коэффициент ac(
r1) может быть установлен в соответствии с
приложением C;
- если измеренное значение продолжает превышать контрольный уровень, это необязательно означает, что превышено основное ограничение. Могут быть использованы расчетные методики для проверки соблюдения основного ограничения.
Примечание - Должны быть использованы методы расчета, установленные в IEC 62226.
(обязательное)
ПРИ ПРОВЕДЕНИИ ИЗМЕРЕНИЙ МАГНИТНОЙ ИНДУКЦИИ
A.1 Общие положения
Измерения проводят в условиях, указанных в
таблице A.1. Прибор при этом размещают так же, как при нормальной эксплуатации.
Таблица A.1
Измерительное расстояние, расположение датчика, условия
эксплуатации и поправочный коэффициент
<a>
Тип прибора | Измерительное расстояние r1, см | Расположение датчика | Условия эксплуатации | Поправочный коэффициент ac( r1) для  и f = 8 - 800 Гц |
Приборы, не указанные в таблице | Расстояние до оператора | Все поверхности | Как установлено в EN 55014-1 | |
Воздухоочистители | 30 | Все поверхности | Постоянно | 0,17 |
Кондиционеры воздуха | 30 | Вокруг | Постоянно. При установке максимальной температуры охлаждения. При установке максимальной температуры нагрева | 0,18 |
Зарядные устройства (включая индуктивные) | 30 | Все поверхности | Зарядка разряженной батареи, имеющей самую высокую емкость, установленную производителем | 0,15 |
Одеяла | 0 | Верхняя часть | Расстилают и укладывают на термоизолирующую пластину | 0,19 |
Блендеры | 30 | Вокруг | Постоянно, без нагрузки | 0,16 |
Прессы для цитрусовых | 30 | Вокруг | Постоянно, без нагрузки | 0,15 |
Часы | 30 | Вокруг | Постоянно | 0,15 |
Кофеварки | 30 | Вокруг | Как установлено в 3.1.9 EN 60335-2-15 | 0,16 |
Кофемолки | 30 | Все поверхности | Как установлено в 3.1.9.108 EN 60335-2-14 | 0,15 |
Конвекторы | 30 | Вокруг | При самой высокой производительности | 0,20 |
Фритюрницы | 30 | Вокруг | Как установлено в 3.1.9 EN 60335-2-13 | 0,16 |
Устройства для гигиены зубов и полости рта | 0 | Все поверхности | Как установлено в 3.1.9 EN 60335-2-52 | 0,19 |
Депиляторы | 0 | Напротив режущей части | Постоянно, без нагрузки | 0,30 |
Посудомоечные машины | 30 | Верхняя и передняя части | Без посуды в режимах мойки и сушки | 0,18 |
Яйцеварки | 30 | Вокруг | Как установлено в 3.1.9 EN 60335-2-15 | 0,15 |
Электрические и электронные трековые системы | 30 | Все поверхности | Постоянно | 0,17 |
Устройства типа "паровая баня" для лица | 10 | Верхняя часть | Постоянно | 0,12 |
Вентиляторы | 30 | Передняя часть | Постоянно | 0,16 |
Вентиляторные обогреватели | 30 | Передняя часть | Постоянно. При установке максимальной температуры обогрева | 0,16 |
Паркетно-шлифовальные машины | 30 | Все поверхности | Постоянно, без какой-либо механической нагрузки на полирующие щетки | 0,19 |
Кухонные комбайны | 30 | Вокруг | Постоянно, без нагрузки, на самой высокой скорости | 0,17 |
Жарочные шкафы | 30 | Передняя часть | Постоянно, без нагрузки, при самой высокой температуре нагрева | 0,15 |
Обогреватели для ног | 30 | Верхняя часть | Постоянно, без нагрузки, при самой высокой температуре нагрева | 0,15 |
Газонагревательные приборы, установленные на стенах | 30 | Передние левая и правая части | Постоянно, без нагрузки, при самой высокой температуре нагрева с работающим насосом | 0,16 |
Напольные газонагревательные приборы | 30 | Передние левая и правая части | Постоянно, без нагрузки, при самой высокой температуре нагрева с работающим насосом | 0,20 |
Устройства для зажигания газа | 30 | Все поверхности | Постоянно | 0,15 |
Грили | 30 | Вокруг | Постоянно, без нагрузки, при самой высокой температуре нагрева | 0,17 |
Машинки для стрижки волос | 0 | Напротив режущей части | Постоянно, без нагрузки | 0,30 |
Фены | 10 | Все поверхности | Постоянно, без нагрузки, при самой высокой температуре нагрева | 0,12 |
Тепловые насосы | 30 | Вокруг | Постоянно. При установке максимальной температуры охлаждения. При установке максимальной температуры нагрева | 0,17 |
Нагревательные маты | 0 | Верхняя часть | Расстилают и укладывают на термоизолирующую пластину | 0,15 |
Грелки-матрацы | 0 | Верхняя часть | Расстилают и укладывают на термоизолирующую пластину | 0,14 |
Конфорки | 30 | Верхняя передняя часть | Как установлено в 3.1.9 EN 60335-2-6, но с самыми высокими настройками для каждого отдельного нагревательного элемента | 0,18 |
Электрические плиты | 30 | Вокруг | Как установлено в 3.1.9 EN 60335-2-9, но с самыми высокими настройками для каждого отдельного нагревательного элемента | 0,17 |
Мороженицы | 30 | Вокруг | Постоянно, без нагрузки, при самой низкой температуре | 0,18 |
Кипятильники | 30 | Вокруг | При полном погружении нагревательного элемента | 0,16 |
Индукционные конфорки и плиты | | | | |
Утюги | 30 | Все поверхности | Как установлено в 3.1.9 EN 60335-2-3 | 0,15 |
Устройства гладильные | 30 | Все поверхности | Как установлено в 3.1.9 EN 60335-2-44 | 0,19 |
Соковыжималки | 30 | Вокруг | Постоянно, без нагрузки | 0,17 |
Электрочайники | 30 | Вокруг | Наполовину наполненные водой | 0,17 |
Кухонные весы | 30 | Вокруг | Постоянно, без нагрузки | 0,14 |
Ножи | 30 | Все поверхности | Постоянно, без нагрузки | 0,16 |
Устройства для массажа | 0 | Напротив массажной головки | Постоянно, без нагрузки, при самой высокой скорости | 0,21 |
Микроволновые печи | 30 | Верхняя передняя часть | Постоянно, при самой высокой мощности. Обычные нагревательные элементы, если доступны, одновременно работают на своей самой высокой мощности. Груз, состоящий из 1 л водопроводной воды, размещают в центре поддона. Контейнер для воды должен быть изготовлен из непроводящих электричество материалов, например стекла или пластмассы | 0,17 |
Миксеры | 30 | Вокруг поверхности | Постоянно, без нагрузки, при самой высокой скорости | 0,16 |
Масляные радиаторы | 30 | Вокруг | Постоянно, без нагрузки, при самой высокой температуре | 0,20 |
Духовки | 30 | Верхняя передняя часть | Пустая духовка с закрытой дверью, на самых высоких настройках термостата. Также, в режиме очистки, если имеется, согласно инструкциям руководства пользователя | 0,20 |
Кухонные плиты | 30 | Верхняя передняя часть | Каждая функция проверяется отдельно | 0,20 |
Вытяжки | 30 | Задняя передняя часть | Средства управления на самых высоких настройках | 0,19 |
Холодильные установки | 30 | Верхняя передняя часть | Постоянно, с закрытой дверцей. Термостат настроен на самую низкую температуру. Шкаф пустой. Измерение проводится после установки устойчивого состояния, но с активным охлаждением во всех отделениях | 0,18 |
Рисоварки | 30 | Вокруг | Наполовину наполненные водой, без крышки и при самой высокой настройке температуры | 0,16 |
Электробритвы | 0 | Напротив режущей части | Постоянно, без нагрузки | 0,30 |
Ломтерезальные машины | 30 | Все поверхности | Постоянно, без нагрузки, при самой высокой скорости | 0,17 |
Солярии | | | | |
- части, соприкасающиеся с телом человека; | 0 | Вокруг | Постоянно, при самых высоких настройках | 0,18 |
- другие части | 30 | Вокруг | Постоянно, при самых высоких настройках | 0,20 |
Центрифуги | 30 | Верхняя передняя часть | Постоянно, без нагрузки | 0,18 |
Тепловые аккумуляторы | 30 | Верхняя передняя часть | Постоянно, при самых высоких настройках | 0,20 |
Электрозаварники | 30 | Вокруг | Постоянно, без нагрузки | 0,16 |
Тостеры | 30 | Вокруг | Постоянно, без нагрузки | 0,16 |
Ручные электрические инструменты | 30 | Вокруг, за исключением случая, когда одна и та же сторона постоянно направлена на пользователя | Без нагрузки, все настройки, например скорость, установлены на максимум | 0,15 |
Переносные электрические инструменты | 30 | Вокруг, за исключением случая, когда одна и та же сторона постоянно направлена на пользователя | Без нагрузки, все настройки, например скорость, установлены на максимум | 0,15 |
Транспортируемые электрические инструменты | 30 | Верхняя часть и сторона, направленная на пользователя | Без нагрузки, все настройки, например скорость, установлены на максимум | 0,16 |
Инструменты с нагревательными элементами | 30 | Вокруг, за исключением случая, когда одна и та же сторона постоянно направлена на пользователя | Установлена самая высокая температура. Пистолеты для склеивания со склеивающим стержнем в рабочей позиции | 0,15 |
Сушильные барабаны | 30 | Верхняя передняя часть | Барабан, заполненный текстильным материалом с массой в сухом состоянии, составляющей 50% от максимальной нагрузки. Текстильный материал состоит из предварительно очищенной ткани, изготовленной из хлопковой нити двойного плетения, размером примерно 70 x 70 см с массой 140 - 170 г/м2 в сухом состоянии. Материал пропитывают водой, составляющей 60% массы текстильного материала | 0,18 |
Пылесосы ручные | 30 | Все поверхности | Как установлено в 3.1.9 EN 60335-2-2 | 0,16 |
Пылесосы портативные | 0 | Все поверхности | Как установлено в 3.1.9 EN 60335-2-2 | 0,13 |
Пылесосы другие | 30 | Вокруг | Как установлено в 3.1.9 EN 60335-2-2 | 0,16 |
Стиральные и посудомоечные машины | 30 | Верхняя передняя часть | Без текстильных изделий, в режиме с самой высокой скоростью вращения | 0,18 |
Обогреватели для водяных матрасов | 10 | Верхняя часть | Расстилают и укладывают на термоизолирующую пластину | 0,14 |
Водонагреватели | 30 | Вокруг | Средства управления на максимальных настройках, с льющейся водой, если необходимо | 0,17 |
Гидромассажные ванны | | | | |
- внутри | 0 | Вокруг | Постоянно | 0,18 |
- за пределами | 30 | Вокруг | Постоянно | 0,20 |
<a> Наиболее неблагоприятные поправочные коэффициенты были рассчитаны для частот до 800 Гц. Для основных рабочих частот выше 800 Гц и ниже 15 кГц значение поправочного коэффициента составляет ac( r1) x 1,25. |
A.1.1 Условия эксплуатации, если они не установлены в таблице A.1
a) максимально точная настройка;
b) условия эксплуатации, как установлено для соответствующей нагрузки в стандартах серии CISPR 14-1, если это возможно.
Должны быть приняты во внимание спецификации изготовителя относительно минимального времени применения.
Время приработки не устанавливается, но перед проведением испытаний прибор должен функционировать в течение достаточно длительного времени, чтобы обеспечить условия, соответствующие нормальной эксплуатации.
Прибор должен работать, как при нормальной эксплуатации, от источника питания, напряжение и/или частота которого может отличаться от номинальных для данного прибора не более чем на +/- 2%.
Если для прибора изготовителем указан диапазон номинальных напряжений и/или частот, то напряжение и/или частота должны соответствовать тем номинальным величинам, которые приняты в стране или регионе, для эксплуатации в которых предназначен прибор.
Средствами управления настраивают прибор на максимальные значения. Тем не менее в случае наличия предварительной настройки прибор используют в предполагаемом положении. Измерения проводятся, когда устройство находится в активном режиме с подключенным электропитанием.
Испытания проводят при температуре окружающей среды (25 +/- 10) °C.
A.1.2 Измерительное расстояние, если оно не установлено в таблице A.1
a) когда используются приборы, находящиеся в контакте с различными частями тела, измерительное расстояние - 0 см.
b) для других приборов - 30 см.
A.1.3 Расположение датчика, если оно не установлено в таблице A.1
a) приборы, используемые в контакте с соответствующими частями тела: датчик располагают в направлении пользователя (контактирующая сторона);
b) крупногабаритные стационарные приборы: датчик располагают с фронтальной стороны (места оператора), а также с других сторон, куда персонал имеет доступ (см.
рисунок A.1);
c) другие приборы: датчик перемещают вокруг прибора (см.
рисунок A.2).
Рисунок A.1 - Измерительное положение верх/передняя часть
Рисунок A.2 - Измерительное положение вокруг (см.
3.2.7)
A.2 Измерительное расстояние, месторасположение датчика для специального оборудования
A.2.1 Многофункциональный прибор
Многофункциональный прибор, который одновременно подпадает под действие настоящего стандарта, должен быть испытан в каждом режиме функционирования в соответствующей комплектации, если это возможно.
Для приборов, которые невозможно испытать подобным образом, испытания должны быть проведены для максимально возможного количества функций и комплектаций.
A.2.2 Прибор, питающийся от батарей
Приборы, получающие питание от батарей, испытывают с полностью заряженной батареей.
A.2.3 Измерительное расстояние и расположение датчика
Примечание - Измерительные расстояния в
таблице A.1 были определены на основе предполагаемого размещения оператора во время нормального режима работы, для защиты от воздействия полей на центральную нервную систему головного мозга и тела человека.
A.3 Условия испытаний индукционных конфорочных панелей и плит
A.3.1 Измерительное расстояние
Для каждой рабочей зоны измерения проводят вдоль четырех вертикальных линий (A, B, C, D) на расстоянии 30 см от краев прибора (см.
рисунок A.3). Измерения проводят на расстоянии до 1 м над рабочей зоной и 0,5 м под ней. Если правила эксплуатации прибора предусматривают его размещение вплотную к стене, то измерения с тыльной стороны прибора не проводят.
Линиями A, B, C и D обозначены позиции датчика при проведении измерений.
На данном рисунке показан передний левый индукционный нагревательный элемент четырехконфорочной панели в рабочем состоянии.
Рисунок A.3 - Измерительное расстояние для индукционных
конфорочных панелей и плит
В эмалированный стальной кухонный сосуд наливают воду из крана до 50% объема емкости. Сосуд устанавливают в центр зоны измерений.
Используют самый маленький сосуд, рекомендуемый в руководстве по эксплуатации. Если рекомендации не представлены, то используют наименьший стандартный сосуд, покрывающий площадь обозначенной рабочей зоны. Диаметр дна стандартных сосудов для приготовления пищи составляет 110, 145, 180, 210, 300 мм.
Элементы индукционного нагрева включают по очереди на максимальную потребляемую мощность, при этом другие рабочие зоны должны оставаться свободными.
Все регулировки выставляются на максимальное значение.
Измерение эффективнее в несколько раз, если его проводят при достижении оборудованием стабильного режима работы.
Примечание Z1 - Устойчивыми рабочими условиями считаются условия, достигнутые после начала кипения воды, а также если магнитное поле или мощность питающей сети стабилизированы.
Измерения проводят при достижении устойчивых рабочих условий. Если устойчивое состояние не может быть достигнуто, измерение проводят через 30 с, при этом уровень помех определяют по максимальному уровню флюктуации источника поля.
Примечание - Так как мощность распределяется между индукционными нагревательными блоками, то наибольшее непрерывное магнитное поле получается, когда нагревательный блок работает отдельно.
(справочное)
ОСНОВНЫЕ ОГРАНИЧЕНИЯ И КОНТРОЛЬНЫЕ УРОВНИ
В соответствии с Рекомендациями 1999/519/EC применяют следующие основные ограничения и контрольные уровни.
Таблица B.1
Основные ограничения для электрических, магнитных
и электромагнитных полей (от 0 Гц до 300 ГГц)
Диапазон частот | Магнитная индукция, мТл | Плотность тока, r.m.s., мА/м2 | Средняя удельная мощность поглощения (все тело), Вт/кг | Локальная удельная мощность поглощения (голова и туловище), Вт/кг | Локальная удельная мощность поглощения (конечности), Вт/кг | Плотность потока энергии, S, Вт/м2 |
0 Гц | 40 | | | | | |
> 0 - 1 Гц | | | | | | |
1 - 4 Гц | | 8 | | | | |
4 - 1000 Гц | | 8/f | | | | |
1 - 100 кГц | | 2 | | | | |
10 кГц - 10 МГц | | f/500 | 0,08 | 2 | 4 | |
10 МГц - 300 ГГц | | f/500 | 0,08 | 2 | 4 | 10 |
f - частота в Гц. |
Таблица B.2
Контрольные уровни для электрических, магнитных
и электромагнитных полей (от 0 Гц до 300 ГГц,
среднеквадратичные значения для невозмущенного поля)
Диапазон частот | Напряженность электрического поля, В/м | Напряженность магнитного поля, А/м | Магнитная индукция, мкТл | Эквивалентная плотность потока энергии эквивалентной плоской волны Seq, Вт/м2 |
0 - 1 Гц | - | 3,2 x 104 | 4 x 104 | - |
1 - 8 Гц | 10 000 | 3,2 x 104/f2 | 4 х 104/f2 | - |
8 - 25 Гц | 10 000 | 4000/f | 5000/f | - |
0,025 - 0,8 кГц | 250/f | 4/f | 5/f | - |
0,8 - 3 кГц | 250/f | 5 | 6,25 | - |
3 - 150 кГц | 87 | 5 | 6,25 | - |
0,15 - 1 МГц | 87 | 0,73/f | 0,92/f | - |
1 - 10 МГц | 87/f1/2 | 0,73/f | 0,92/f | - |
10 - 400 МГц | 28 | 0,073 | 0,092 | 2 |
400 - 2000 МГц | 1,375f1/2 | 0,0037f1/2 | 0,0046f1/2 | f/200 |
2 - 300 ГГц | 61 | 0,16 | 0,20 | 10 |
f - значение частоты, указанное в графе "Диапазон частот". |
Примечание - Данные нормы не применяют в целях обеспечения защиты производственного персонала от воздействия электромагнитных полей.
(справочное)
ОПРЕДЕЛЕНИЕ ПОПРАВОЧНЫХ КОЭФФИЦИЕНТОВ
C.1 Определение поправочных коэффициентов расчетным путем
Контрольные уровни магнитной индукции
BRL, указанные в
приложении B, установлены для однородных полей. Значительная неоднородность магнитных полей вокруг приборов учитывается в настоящем стандарте при помощи коэффициента
ac(
r1). Поправочные коэффициенты учитывают размер части тела, на которую воздействует поле.
Процедуру применяют только для сильно локализованных полей. Распределение поля от точки с максимальной магнитной индукцией со значением Bmax до точки со значением 0,1Bmax должно быть рассмотрено в дальнейшем.
Уточненное измеренное значение Bmc(r1), которое сравнивается со значением контрольного уровня BRL, переводится в скорректированное измеренное значение Bm по формуле
Bmc(r1) = ac(r1)Bm и Wnc = ac(r1)·Wn. (C.1)
Определение поправочного коэффициента ac(r1) осуществляется в четыре этапа на основной рабочей частоте.
Этап 1. Определение протяженности области с наибольшей магнитной индукцией
Магнитную индукцию
B(
r0) измеряют по касательной к поверхности вдоль линии наименьшего градиента, начинающегося в точке максимальной магнитной индукции (
r0 = 0). Измерение прекращают в точке
r0 =
X, где магнитная индукция снижается до 10% максимального значения в области максимальной плотности, как показано на
рисунках C.1 и
C.2.
Рисунок C.1 - Точка максимальной интенсивности поля
Рисунок C.2 - Градиент плотности магнитной индукции
Расстояние между точками измерений составляет 5 - 10 мм.
Примечание 1 - Оценка поправочного коэффициента может быть сделана в узкой полосе, например, рабочего диапазона частот.
Примечание 2 - Рекомендуется использовать маленький датчик, например датчик с измерительным контуром площадью 3 см
2, который определен в
5.4.

(C.2)
Этап 2. Определение радиуса эквивалентного контура
Результаты измерений
этапа 1 применяют для определения радиуса эквивалентного контура, который обеспечивает результат, аналогичный интегралу G. В дальнейших расчетах предполагается, что этот контур расположен на расстоянии
lконтура, что соответствует положению источника магнитного поля внутри прибора (см.
рисунок C.3).
Рисунок C.3 - Месторасположение эквивалентного контура
В результате интегрирования нормированной измеренной магнитной индукции получают единственное значение
G, которое может быть использовано для определения радиуса
rконтура эквивалентного контура (см.
таблицу C.1). Для определения других значений
rконтура, которые не должны превышать значение
lконтура, можно использовать линейную интерполяцию.
Примечание 1 - Принимается, что в малогабаритных приборах источник магнитного поля находится в центре прибора. Для крупногабаритных приборов расположение каждого источника магнитного поля определяют в ходе проверки прибора.
Примечание 2 - Процедура применяется только для сильно локализованных полей. Распределение поля от точки с максимальной магнитной индукцией со значением Bmax до точки со значением 0,1Bmax должно быть рассмотрено в дальнейшем.
Таблица C.1
Значения
G для различных контуров
Расстояние lконтура, мм | Значение параметра G |
Радиус rконтура, мм |
10 | 20 | 30 | 50 | 70 | 100 |
10 | 0,01354 | | | | | |
15 | 0,01562 | | | | | |
20 | 0,01848 | 0,02703 | | | | |
25 | 0,02168 | 0,02880 | | | | |
30 | 0,02511 | 0,03117 | 0,04051 | | | |
35 | 0,02861 | 0,03390 | 0,04217 | | | |
40 | 0,03222 | 0,03689 | 0,04429 | | | |
50 | 0,03955 | 0,04334 | 0,04941 | 0,06750 | | |
70 | 0,05448 | 0,05718 | 0,06164 | 0,07535 | 0,09444 | |
100 | 0,07711 | 0,07905 | 0,08219 | 0,09213 | 0,10644 | 0,13493 |
200 | 0,15317 | 0,15415 | 0,15573 | 0,16085 | 0,16845 | 0,18420 |
300 | 0,22953 | 0,23012 | 0,23119 | 0,23461 | 0,23971 | 0,25054 |
Примечание - Для остальных контуров, которые находятся в более худших условиях и излучение которых значительно ниже, значение G должно быть подобрано.
Рисунок C.4 - Градиент измеренной магнитной индукции
и магнитной индукции, создаваемой контуром с током
Значение G рассчитывают по формуле

(C.3)
Этап 3. Определение коэффициента k
Радиус контура
rконтура применяют для определения коэффициента
k(
r,
rконтура,
f,

) между эквивалентным контуром и телом человека на расстоянии
r.
где
r1 - измерительное расстояние (см.
3.2.6);
lконтура - расстояние между эквивалентным контуром и поверхностью.
Примечание - Суммирование осуществляют в одинаковых единицах измерения.

(C.5)
где Jmax - плотность тока в тканях человека, А/м2;
Aдатчик - площадь поверхности датчика, см2.
Коэффициент
k, который зависит от частоты, зависит также от расстояния
r между контуром и телом человека, удельной электропроводности

однородной модели человеческого тела и размеров датчика. Зависимость от частоты может быть компенсирована путем масштабирования перехода на
контрольный уровень вместо
основного ограничения (см.
этап 4).
| | ИС МЕГАНОРМ: примечание. В официальном тексте документа, видимо, допущена опечатка: пункт D.2.2 отсутствует. | |
Для неоднородных полей величина

составляет 0,1 См/м, так как высокие значения этого поля возникают на поверхности тела человека (см. D.2.2). Нижеследующие расчеты основаны на этом значении и применении контрольных датчиков, как описано в
5.4. В
таблице C.2 приведены значения коэффициента
k для всего тела человека.
Таблица C.2
Значения коэффициента
k при 50 Гц для всего тела человека
Расстояние r, см | Значение коэффициента k,  |
Радиус rконтура, мм |
10 | 20 | 30 | 50 | 70 | 100 |
1 | 21,354 | 15,326 | 8,929 | 5,060 | 3,760 | 3,523 |
5 | 4,172 | 3,937 | 3,696 | 3,180 | 2,858 | 2,546 |
10 | 2,791 | 2,735 | 2,696 | 2,660 | 2,534 | 2,411 |
20 | 2,456 | 2,374 | 2,369 | 2,404 | 2,398 | 2,488 |
30 | 2,801 | 2,735 | 2,714 | 2,778 | 2,687 | 2,744 |
40 | 3,070 | 2,969 | 2,933 | 3,042 | 2,865 | 2,916 |
50 | 3,271 | 3,137 | 3,086 | 3,251 | 2,989 | 3,040 |
60 | 3,437 | 3,271 | 3,206 | 3,429 | 3,079 | 3,134 |
70 | 3,588 | 3,388 | 3,311 | 3,595 | 3,156 | 3,216 |
100 | 3,940 | 3,659 | 3,601 | 4,022 | 3,570 | 3,604 |
| | ИС МЕГАНОРМ: примечание. В официальном тексте документа, видимо, допущена опечатка: раздел C.8 отсутствует. | |
|
Примечание - Коэффициенты k определяют путем применения контура в качестве источника поля с соответствующей цифровой моделью тела человека, как описано в разделе C.8. Это применимо только для зоны, близкой к источнику поля, а не для однородных полей. |
Коэффициенты
k для других частот
f и удельной электропроводности

рассчитывают исходя из значений, указанных в
таблице C.2, по формуле

(C.6)
Этап 4. Расчет поправочного коэффициента
Поправочный коэффициент ac(r) представляет собой результат изменения масштабирования k и может быть определен из уравнения

(C.7)
Примечание 1 - Выражение
BRL(
f)/
JBR(
f) пропорционально 1/
f в диапазонах частот от 8 до 800 Гц и от 1 до 100 кГц. Как следствие, в результате коэффициент
ac(
r) зависит от частоты в пределах данных диапазонов (см.
рисунок C.5).
Рисунок C.5 - Поправочный коэффициент
ac(
r1) для полей
с удельной электропроводностью 0,1 См/м и датчиком площадью
Aдатчика = 100 см2 для модели тела человека (применяются
шкалы значений пределов согласно ICNIRP
[11])
| | ИС МЕГАНОРМ: примечание. В официальном тексте документа, видимо, допущена опечатка: пункт 5.2.2 отсутствует. Возможно, имеется в виду пункт 5.5.2. | |
В случае измерения в соответствии с
5.2.2 -
5.5.3 используется эквивалент
fC0. Следовательно, поправочный коэффициент
ac(
r) оценивают согласно

(C.8)
Примечание 2 - Поправочный коэффициент
ac(
r) может быть определен с помощью
рисунка C.5, с использованием
уравнения C.4.
Пример изменения масштабирования с применением Рекомендации 1999/519/EC при
f = 50 Гц и

для всего тела и контура
rконтура = 10 мм на расстоянии
r = 50 см:
C.2 Графический метод расчета поправочных коэффициентов
Поправочный коэффициент можно определить, используя
рисунок C.5 и
уравнение (C.4). Этот метод обеспечивает значение для поправочного коэффициента в зависимости от радиуса эквивалентного контура (
rконтура).
Расстояние
r =
r1 +
lконтура, где
r1 - расстояние до объекта измерений, указанное в
таблице A.1.
(справочное)
ПРИМЕРЫ ПРИМЕНЕНИЯ ОСНОВНЫХ ОГРАНИЧЕНИЙ
D.1 Передаточная функция
Контрольный уровень BRL(f) согласно ICNIRP для общего применения может быть использован для расчета передаточной функции следующим образом (пример для нормированной точки на частоте 50 Гц).
Таблица D.1
Передаточная функция для общего применения согласно ICNIRP
(f1 = 10 Гц) <= f <= (fC1 = 800 Гц) | |
(fC1 = 800 Гц) <= f <= (f2 = 150 кГц) | |
(f2 = 150 кГц) <= f <= (fn=3 = 400 кГц) | |
Максимально допустимые уровни воздействия магнитного поля согласно IEEE
(п. 3.2.8) для области головы и торса могут быть использованы для расчета передаточной функции следующим образом (пример для нормализованной точки с частотой 50 Гц), как указано в
таблице D.1.
Таблица D.2
Передаточная функция для общего применения согласно IEEE
(f1 = 10 Гц) <= f <= (fC1 = 20 Гц) | |
(fC1 = 20 Гц) <= f <= (f2 = 759 Гц) | |
(f2 = 759 Гц) <= f <= (f3 = 3,35 кГц) | |
(f3 = 3,35 кГц) <= f <= (f4 = 100 кГц) | |
(f4 = 100 кГц) <= f <= (fn=5 = 400 кГц) | |
Примечание - Все вышеуказанные частоты f выражены в Гц. |
D.2 Поправочный коэффициент
Таблица D.3
Поправочный коэффициент
ac(
r1)
Вид прибора | Измерительное расстояние r1, см | Поправочный коэффициент ac(r1) согласно ICNIRP | Поправочный коэффициент ac(r1) согласно IEEE (60 Гц) |
Малогабаритный | 0 | 1,00 | 0,330 |
Крупногабаритный | 0 | 0,15 | 0,048 |
Малогабаритный | 10 | 0,14 | 0,043 |
Крупногабаритный | 10 | 0,16 | 0,051 |
Малогабаритный | 30 | 0,14 | 0,043 |
Крупногабаритный | 30 | 0,18 | 0,056 |
Малогабаритный: источник поля находится внутри оболочки или встроен в прибор. Крупногабаритный: источник поля находится на расстоянии от 10 до 40 см от прибора и не встроен в него. Примечание 1 - Возможные варианты расчета для наихудших случаев определяются с помощью уравнения (C.7) для всего тела человека. Примечание 2 - Самое низкое значение контрольного уровня по IEEE (несмотря на то, что оно в 10 раз выше, чем по ICNIRP) может иметь для других тканей (помимо центральной нервной системы головы и тела) значение, более чем в 35 раз превышающее основное ограничение. |
D.3 Пример определения поправочного коэффициента
Расчет
поправочного коэффициента ac(
r) проводят в четыре этапа, как указано в
приложении C.
Этап 1. Определение протяженности области с наибольшей магнитной индукцией
1 - измерение по касательной плоскости вокруг точки
с максимальной интенсивностью; 2 - модель бытового
электрического прибора в виде сферы; 3 - контур в качестве
эквивалентного источника поля
Рисунок D.1 - Измерение магнитной индукции
Рисунок D.2 - Нормированное распределение поля
вдоль расстояния r0 по касательной
Этап 2. Определение эквивалентного контура
В результате интегрирования нормированной измеренной магнитной индукции получается значение G = 0,07166 м.
Этап 3. Определение коэффициента k
Используя значение
G, полученное на
этапе 2, можно определить радиус
rконтура эквивалентного контура (см.
таблицу C.1). В данном примере предполагается, что расстояние до контура
lконтура = 70 мм. Согласно
таблице C.1 для расстояния
lконтура = 70 мм значение
G, ближайшее к значению, определенному на
этапе 2, составляет 0,07535 м, а это соответствует радиусу
rконтура = 50 мм. Этот контур представлен в виде кривой нормированной модели контура на
рисунке D.2 и демонстрирует, что является хорошей аппроксимацией.
Затем определяют значение коэффициента
k, например для
r1 = 0, исходя из данных
таблицы C.2 для
r = 7 см,
rконтура = 50 мм в зависимости от соответствующей модели. Для всего тела человека ближайшим значением является
r = 5 см, тогда
k = 3,180 (для

,
Aдатчика = 100 см
2).
Этап 4. Расчет поправочного коэффициента
В методах измерений, установленных в
5.5.2 и
5.5.3, использовалась эквивалентная частота 50 Гц и соответствующая оценка была уже сделана. Таким образом, поправочный коэффициент
ac(
r) для

оценивают как:

(D.1)
Это окончательный результат для поправочного коэффициента: ac(r) = 0,159 для всего тела человека.
В случае определения поправочного коэффициента
ac(
r) при

результат должен быть умножен на

.
Пример определения поправочного коэффициента для

(для всего тела человека):
D.4 Дополнительные пояснения к определению поправочного коэффициента
D.4.1 Цифровые однородные модели тела человека
На
рисунке D.3 показаны размеры используемых цифровых однородных моделей тела человека для расчета
поправочных коэффициентов. Нижняя часть представляет собой половину эллипса с нижней оконечностью в районе голени и габаритами по осям 350 мм/1200 мм. Средняя часть представляет собой цилиндр диаметром 350 мм. Детали головы и плеч показаны на
рисунке D.4.
Примечание - На основе немецкого стандарта DIN 33402, часть 2, 1986.
Рисунок D.3 - Цифровая однородная модель тела человека
(размеры указаны в мм)
Рисунок D.4 - Деталировочный чертеж модели головы и плеч
D.4.2 Расчет коэффициента k для неоднородных магнитных полей
Перечень источников неоднородных магнитных полей, указанных ниже, является не исчерпывающим, а обзорно кратким:
- контур круглой формы с током;
- контур прямоугольной формы с током;
- одиночный проводник с током;
- катушка с током;
- элементарный диполь.
Однако только контур круглой формы используется для расчета поправочного коэффициента. Контуры с током различных диаметров должны располагаться в соответствующем месте для обеспечения наибольшего взаимодействия с цифровой моделью. Это показано на
рисунке D.5.
Рисунок D.5 - Схема размещения источника
Q по отношению
к модели K
При расчете поправочного коэффициента должна быть учтена удельная электропроводность

тканей тела человека для воздействующего поля частотой
f. В конце расчета плотность тока
J внутри модели тела человека должна быть оценена по закону Ома:

(D.2)
Поправочный коэффициент
k представляет отношение максимальной плотности индуцированного тока
Jmax(
r) в цифровой модели и максимальной магнитной индукции, измеренной в соответствующей точке модели. Оценка коэффициента
k зависит от используемого датчика. Для датчика с произвольной площадью
Aдатчика должно быть рассчитано среднее значение индукции магнитного поля, пересекающего его поверхность. Должно использоваться максимальное значение
Bmax,датчика. Поскольку частота
f и удельная электропроводность

линейно связаны с коэффициентом
k, то его можно вычислить по формуле

(D.3)
Для удельной электропроводности цифровой однородной модели руки было выбрано среднее значение

.
Для удельной электропроводности однородной модели тела человека в однородном поле может быть принято значение

. Тем не менее сильная неоднородность поля вблизи электрического прибора и весьма незначительное проникновение поля в тело человека делает возможным использование также и значения

.
Примечание - Удельная электропроводность со значением 0,1 См/м вблизи лицевой части тела человека должна быть включена в расчеты вместе с проводимостью тела человека.
Подробные значения удельной электропроводности

определены в
[9].
Для определения поправочного коэффициента
k в
приложении C в качестве численного метода был использован метод MoM
[5].
Пример 1
Для контура круглой формы с радиусом
rконтура = 20 мм на расстоянии
r = 10 см и током источника
IQ = 100 А получаем для модели тела человека (

и
f = 50 Гц) плотность индуцированного электрического тока
Jmax = 14,956 мкА/м
2. Среднее рассчитанное значение магнитной индукции для датчика площадью 100 см
2 равно

. Исходя из этих значений поправочный коэффициент
k вычисляют по формуле

(D.4)
D.4.3 Расчет плотности индуцированного тока
| | ИС МЕГАНОРМ: примечание. В официальном тексте документа, видимо, допущена опечатка: пункты D.2.1 и D.2.2 отсутствуют. | |
Любые численные методы и любые прикладные программы для расчета полей, которые подходят для процедур, указанных в D.2.1 и D.2.2, должны быть использованы для расчетов.
Основными являются следующие методы:
- метод граничных элементов (boundary element method - BEM);
- конечно-разностный метод в частотной области (finite difference frequency domain method - FDFD);
- конечно-разностный метод во временной области (finite difference time domain method - FDTD);
- метод конечных элементов (finite element method - FEM);
- метод конечного интегрирования (finite integration technique - FIT);
- метод моментов (method of moments - MoM);
- конечно-разностный метод скалярного потенциала (scalar potential finite difference method - SPFD);
- метод импеданса (impedance method - IP).
При использовании радиочастотных программных кодов для расчета плотности индуцированного тока может быть применен метод частотного масштабирования
[4].
Для любого магнитного источника излучения расчет может быть выполнен на более высокой частоте
f (<= 0,5 МГц - для обеспечения квазистационарности поля). Для этого расчета удельная электропроводность

тканей организма должна учитываться для частоты
f (а не для частоты
f'). Этот расчет дает значение напряженности электрического поля
E' на частоте
f'. Затем путем масштабирования напряженности электрического поля с учетом того, что

(D.5)
определяют значение частоты (f). В результате напряженность электрического поля можно рассчитать, применяя закон Ома:

(D.6)
(обязательное)
НОРМАТИВНЫЕ ССЫЛКИ НА МЕЖДУНАРОДНЫЕ СТАНДАРТЫ
И СООТВЕТСТВУЮЩИЕ ИМ ЕВРОПЕЙСКИЕ СТАНДАРТЫ
Для применения настоящего стандарта необходимы следующие стандарты. Для датированных ссылок применяют только указанное издание ссылочного стандарта (документа), для недатированных ссылок применяют последнее издание ссылочного стандарта (документа) (включая все его изменения).
Примечание - Если международные стандарты были изменены, то применяют европейские стандарты/гармонизированные документы (EN/HD), соответствующие указанным изменениям.
Стандарт | Год | Наименование | EN/HD | Год |
IEC 60335 (изменен) | Серия | Безопасность бытовых и аналогичных электрических приборов | EN 60335 | Серия |
IEC 61786 | | Измерение низкочастотных магнитных и электрических полей, воздействующих на человека. Специальные требования к приборам и методика измерения | - | - |
IEC 62311 (изменен) | | Оценка электронного и электрического оборудования в отношении ограничений воздействия на человека электромагнитных полей (0 Гц - 300 ГГц) | EN 62311 | |
CISPR 14-1 | | Совместимость электромагнитная. Требования к бытовой аппаратуре, электрическому инструменту и аналогичным приборам. Часть 1. Помехоэмиссия | EN 55014-1 | |
--------------------------------
<1> Недатированная ссылка.
<2> Издание действительно в год публикации.
(справочное)
СВЕДЕНИЯ О СООТВЕТСТВИИ ССЫЛОЧНЫХ МЕЖДУНАРОДНЫХ СТАНДАРТОВ
МЕЖГОСУДАРСТВЕННЫМ СТАНДАРТАМ
Таблица ДА.1
Обозначение международного стандарта | Степень соответствия | Обозначение и наименование межгосударственного стандарта |
| | ИС МЕГАНОРМ: примечание. В официальном тексте документа, видимо, допущена опечатка: стандарт имеет номер ГОСТ МЭК 60335-2-6-2010, а не ГОСТ IEC 60335-2-6-2010. | |
|
IEC 60335-2-6:2008 | IDT | ГОСТ IEC 60335-2-6-2010 "Бытовые и аналогичные электрические приборы. Безопасность. Часть 2-6. Дополнительные требования к стационарным кухонным плитам, конфорочным панелям, духовкам и аналогичным приборам" |
| | ИС МЕГАНОРМ: примечание. В официальном тексте документа, видимо, допущена опечатка: стандарт имеет номер ГОСТ МЭК 60335-2-31-2010, а не ГОСТ IEC 60335-2-31-2010. | |
|
IEC 60335-2-31:2009 | IDT | ГОСТ IEC 60335-2-31-2010 "Бытовые и аналогичные электрические приборы. Безопасность. Часть 2-31. Дополнительные требования к кухонным воздухоочистителям и другим устройствам для удаления кухонных испарений" |
IEC 60335-2-40:2005 | IDT | ГОСТ IEC 60335-2-40-2010 "Бытовые и аналогичные электрические приборы. Безопасность. Часть 2-40. Дополнительные требования к электрическим тепловым насосам, воздушным кондиционерам и осушителям" |
IEC 62311:2007 | IDT | ГОСТ IEC 62311-2013 "Оценка электронного и электрического оборудования в отношении ограничений воздействия на человека электромагнитных полей (0 Гц - 300 ГГц)" |
Примечание - В настоящей таблице использованы следующие условные обозначения степени соответствия стандартов: - IDT - идентичные стандарты. |
[1] | RUOSS, H-O., SPREITZER, W., NISHIZAWA, S., MESSY, S. and KLAR, M. Efficient determination of current densities induced in the human body from measured lowfrequency inhomogeneous magnetic fields. Microwave and Optical Technology Letters, May 20, 2001, vol. 29, no. 4, pp. 211 - 213 (Эффективное определение плотности токов, индуцированных в теле человека измеренными низкочастотными неоднородными магнитными полями. Основы микроволновой и оптической технологии) |
[2] | NISHIZAWA, S., SPREITZER, W., RUOSS, H-O., LANDSTORFER, F. and HASHIMOTO, O. Equivalent source model for electrical appliances emitting low frequency magnetic fields. Proceeding of 31th European Microwave Conference 2001, September 2001, Vol. 3, pp. 117 - 120 (Эквивалентная модель источника для электрических приборов, излучающих низкочастотные магнитные поля. Материалы 31-й Европейской микроволновой конференции 2001 г.) |
[3] | KAMPET, U. and HILLER, W. Measurement of magnetic flux densities in the space around household appliances. In: Proceedings of NIR 99, Nichtionisierende Strahlung, 31. Jahrestagung des Fachverbandes  Strahlenschutz,  , 1999, vol. II, pp. 885 - 891 (Измерение магнитной индукции в зоне вокруг бытовых приборов. В: Труды НИР 99) |
| FURSE, CM and GANDHI, OP. Calculation of electric fields and currents induced in a millimeter-resolution human model at 60 Hz using the FDTD method. Bioelectromagnetics, 1998, vol. 19, pp. 293 - 299 (Расчеты электрических полей и токов, индуцированных в модели человека миллиметрового разрешения при 60 Гц с использованием FDTD-метода. Биоэлектромагнитные явления) |
| JAKOBUS, U. Erweiterte Momentenmethode zur Behandlung kompliziert aufgebauter und elektrisch grosser elektromagnetischer Streuprobleme. Fortschrittsberichte VDI, Reihe 21, Nr. 171, 1995, VDI Verlag,  (Расширенный метод вычисления моментов для решения проблем сложного электромагнитного рассеяния) |
[6] | Programm EMPIRE, http://www.imst.de/ (Программа EMPIRE) |
[7] | SHEWCHUCK, JR. An introduction to the conjugate gradient method without the agonizing pain. School of Computer Science, Carnegie Mellon University, Pittsburgh, 1994 (Введение в метод сопряженных градиентов без мучительных усилий. Школа компьютерной науки) |
[8] | RUO., H-O. and KAMPET, U. Numerical calculation of current densities induced in the human body caused by low frequency inhomogeneous magnetic sources. Kleinheubacher Berichte 2001, Band 144, pp. 155 - 162 (Численные расчеты плотности токов, индуцированных в теле человека низкочастотными неоднородными магнитными полями) |
| Italian National Research Council; Institute for Applied Physics: Calculation of the Dielectric Properties of Body Tissues in the frequency range 10 Hz - 100 GHz. Florence (Italy), 1997 - 2002; http://sparc10.iroe.fi.cnr.it/tissprop/htmlclie/htmlclie.htm#atsftag (Итальянский научно-исследовательский совет; Институт прикладной физики: Расчет диэлектрических свойств тканей тела в частотном диапазоне 10 Гц - 100 ГГц) |
[10] | FEKO: EM Software & System, www.feko.co.za (FEKO: Программное обеспечение и система EM) |
| ICNIRP. Guidelines for limiting exposure to time-varying electric, magnetic and electromagnetic fields (up to 300 GHz). Health Phys., 1998, vol. 41, no. 4, pp. 449 - 522 (ICNIRP. Руководство по ограничению воздействия неустановившихся электрических, магнитных и электромагнитных полей (до 300 ГГц). Физиология здоровья) |
[12] | IEEE C95.6:2002 | IEEE Standard for Safety Levels With Respect to Human Exposure to Electromagnetic Fields, 0 - 3 kHz (Стандарт IEEE по уровням безопасности относительно воздействия на тело человека электромагнитных полей 0 - 3 кГц) |
[13] | BIPM, IEC, IFCC, ISO, IUPAC, IUPAP and OIML: 1995, Guide to the Expression of Uncertainty in Measurement, ISBN 92-67-10188-9 (Руководство по выражению неопределенности при измерении. Служба аккредитации Соединенного Королевства) |
[14] | NIS 81, The Treatment of Uncertainty in EMC Measurements. United Kingdom Accreditation Service, Teddington, Middlesex, UK, Ed. 1, 1994 (Интерпретация неопределенности при измерении ЭМС) |
[15] | IEC 61786:1998 | Measurement of low-frequency magnetic and electric fields with regard to exposure of human beings - Special requirements for instruments and guidance for measurements (Измерение низкочастотных магнитных и электрических полей, воздействующих на человека. Специальные требования к приборам и методика измерения) |
[16] | ORCUTT, Neil and GANDHI, OM P. A 3-D Impedance Method to Calculate Power Deposition in Biological Bodies Subjected to Time Varying Magnetic Fields. IEEE Transactions on Biomedical Engineering, August 1988, Vol. 35, No. 8 (Метод 3-D импедансов для расчета депонирования энергии в биологических телах, подвергаемых воздействию неустановившихся магнитных полей. Труды IEEE по биомедицинскому инжинирингу) |
[17] | GANDHI, OM P., DEFORD, John F. and KANAI, Hiroshi. Impedance Method for Calculation of Power Deposition Patterns in Magnetically induced Hyperthermia. IEEE Transactions on Biomedical Engineering, October 1984, Vol. BME 31, No. 10 (Метод импедансов для расчета характеристик депонирования энергии при гипертермии, вызванной магнитными полями. Труды IEEE по биомедицинскому инжинирингу) |
[18] | DAWSON, T.W., CAPUTA, K. and STUCHLY, M.A. Numerical evaluation of 60 Hz magnetic induction in the human body in complex occupational environments. Physics in Medicine & Biology, April 1999, Vol. 44 (4), pp. 1025 - 1040 (Численная оценка магнитной индукции в 60 Гц в человеческом теле в сложных производственных условиях. Физика в медицине и биологии) |
[19] | NISHIZAWA, Shinichiro, LANDSTORFER, Friedrich (University of Stuttgart, Germany) and HASHIMOTO, Osamu (Aoyama Gakuin University, Japan). Study of the magnetic field properties around household appliances using magnetic source models as prescribed by the CENELEC standard EN 50366. Submitted in IEIEC Tokyo. Japan (Исследование свойств магнитного поля вокруг бытовых приборов с использованием моделей магнитных источников, как установлено в стандарте CENELEC EN 50366) |
[20] | NISHIZAWA, S., RUOSS, H-O., LANDSTORFER, F. and HASHIMOTO, O. Numerical study on an equivalent source model for inhomogeneous magnetic field dosimetry in the low-frequency range. IEEE Transaction on Biomedical Engineering, Vol. 51, No. 4, April 2004 (Численное исследование на эквивалентной модели источника для дозиметрии неоднородных магнитных полей в низкочастотном диапазоне. Труды IEEE по биомедицинскому инжинирингу) |
[21] | NISHIZAWA, Shinichiro, LANDSTORFER, Friedrich, and HASHIMOTO, Osamu Dosimetric study of induction heater using the coil source model prescribed by the EN 50366. Proceeding of 3rd International Workshop on Biological Effects of Electromagnetic Fields, Volume 2, (October 2004), pp. 894 - 903 (Дозиметрическое исследование индукционного нагревателя с использованием модели источника с катушкой индуктивности, как установлено в стандарте EN 50366. Материалы 3-го международного семинара по биологическим эффектам электромагнитных полей) |
[22] | IEEE Std C95.1:1999 | IEEE Standard for Safety Levels with Respect to Human Exposure to Radio Frequency Electromagnetic Fields, 3 kHz - 300 GHz, 2005 (Стандарт IEEE по уровням безопасности относительно воздействия на тело человека электромагнитных полей 3 кГц - 300 ГГц) |
[23] | IEC 62226-1 | Exposure to electric and magnetic fields in the low and intermediate frequency range - Methods for calculating the current density and internal electric fieldinduced in the human body - Part 1: General (Воздействие электрических или магнитных полей в диапазоне низких и промежуточных частот. Методы расчета плотности тока и внутреннего электрического поля, индуцированного в теле человека. Часть 1. Общие положения) |
[24] | IEC 62226-2-1 | Exposure to electric and magnetic fields in the low and intermediate frequency range - Methods for calculating the current density and internal electric field induced in the human body - Part 2-1: Exposure to magnetic fields - 2D models (Воздействие электрических или магнитных полей в диапазоне низких и промежуточных частот. Методы расчета плотности тока и внутреннего электрического поля, индуцированного в теле человека. Часть 2-1. Воздействие магнитных полей. Модели 2D) |
УДК 621.3:613.648.2(083.74)(476) | | IDT |
Ключевые слова: бытовые и аналогичные электрические приборы, воздействие электромагнитных полей, основные ограничения, контрольные уровни, магнитная индукция, методы измерений |