Главная // Актуальные документы // ГОСТ (Государственный стандарт)СПРАВКА
Источник публикации
М.: ФГБУ "Институт стандартизации", 2023
Примечание к документу
Текст данного документа приведен с учетом
поправки, опубликованной в "ИУС", N 4, 2024.
Документ
вводится в действие с 01.01.2025 с правом досрочного применения.
Название документа
"ГОСТ 5867-2023. Межгосударственный стандарт. Молоко и продукты переработки молока. Методы определения жира"
(введен в действие Приказом Росстандарта от 05.10.2023 N 1069-ст)
"ГОСТ 5867-2023. Межгосударственный стандарт. Молоко и продукты переработки молока. Методы определения жира"
(введен в действие Приказом Росстандарта от 05.10.2023 N 1069-ст)
агентства по техническому
регулированию и метрологии
от 5 октября 2023 г. N 1069-ст
МЕЖГОСУДАРСТВЕННЫЙ СТАНДАРТ
МОЛОКО И ПРОДУКТЫ ПЕРЕРАБОТКИ МОЛОКА
МЕТОДЫ ОПРЕДЕЛЕНИЯ ЖИРА
Milk and dairy products.
Methods for determination of fat content
ГОСТ 5867-2023
Дата введения
1 января 2025 года
с правом досрочного применения
Цели, основные принципы и общие правила проведения работ по межгосударственной стандартизации установлены
ГОСТ 1.0 "Межгосударственная система стандартизации. Основные положения" и
ГОСТ 1.2 "Межгосударственная система стандартизации. Стандарты межгосударственные, правила и рекомендации по межгосударственной стандартизации. Правила разработки, принятия, обновления и отмены"
1 РАЗРАБОТАН Федеральным государственным автономным научным учреждением "Всероссийский научно-исследовательский институт молочной промышленности" (ФГАНУ "ВНИМИ")
2 ВНЕСЕН Федеральным агентством по техническому регулированию и метрологии
3 ПРИНЯТ Межгосударственным советом по стандартизации, метрологии и сертификации (протокол от 31 августа 2023 г. N 164-П)
За принятие проголосовали:
Краткое наименование страны по МК (ИСО 3166) 004-97 | Код страны по МК (ИСО 3166) 004-97 | Сокращенное наименование национального органа по стандартизации |
Армения | AM | ЗАО "Национальный орган по стандартизации и метрологии" Республики Армения |
Беларусь | BY | Госстандарт Республики Беларусь |
Казахстан | KZ | Госстандарт Республики Казахстан |
Россия | RU | Росстандарт |
Таджикистан | TJ | Таджикстандарт |
Узбекистан | UZ | Узстандарт |
4
Приказом Федерального агентства по техническому регулированию и метрологии от 5 октября 2023 г. N 1069-ст межгосударственный стандарт ГОСТ 5867-2023 введен в действие в качестве национального стандарта Российской Федерации с 1 января 2025 г. с правом досрочного применения
Информация о введении в действие (прекращении действия) настоящего стандарта и изменений к нему на территории указанных выше государств публикуется в указателях национальных стандартов, издаваемых в этих государствах, а также в сети Интернет на сайтах соответствующих национальных органов по стандартизации.
В случае пересмотра, изменения или отмены настоящего стандарта соответствующая информация будет опубликована на официальном интернет-сайте Межгосударственного совета по стандартизации, метрологии и сертификации в каталоге "Межгосударственные стандарты"
Настоящий стандарт распространяется на молоко и продукты переработки молока (далее - продукты) и устанавливает методы определения массовой доли жира:
- кислотный метод в молоке, молочных, молочных составных и молокосодержащих продуктах, а также в спреде сливочно-растительном и твороге с применением ультрафильтрации или сепарирования для детского питания;
- экстракционный метод в сырах и плавленых сырах.
Стандарт не распространяется на казеин, молочные сгущенные и сухие консервы, продукты детского питания, а также молокосодержащие продукты с заменителем молочного жира.
В настоящем стандарте использованы нормативные ссылки на следующие межгосударственные стандарты:
ГОСТ 12.1.004 Система стандартов безопасности труда. Пожарная безопасность. Общие требования
ГОСТ 12.1.005 Система стандартов безопасности труда. Общие санитарно-гигиенические требования к воздуху рабочей зоны
ГОСТ 12.1.007 Система стандартов безопасности труда. Вредные вещества. Классификация и общие требования безопасности
ГОСТ 12.1.019 Система стандартов безопасности труда. Электробезопасность. Общие требования и номенклатура видов защиты
ГОСТ 12.4.009 Система стандартов безопасности труда. Пожарная техника для защиты объектов. Основные виды. Размещение и обслуживание
ГОСТ 12.4.021 Система стандартов безопасности труда. Системы вентиляционные. Общие требования
ГОСТ 1770 (ИСО 1042-83, ИСО 4788-80) Посуда мерная лабораторная стеклянная. Цилиндры, мензурки, колбы, пробирки. Общие технические условия
ГОСТ 3118 Реактивы. Кислота соляная. Технические условия
ГОСТ 3626 Молоко и молочные продукты. Методы определения влаги и сухого вещества
ГОСТ 4204 Реактивы. Кислота серная. Технические условия
ГОСТ 4517-2016 Реактивы. Методы приготовления вспомогательных реактивов и растворов, применяемых при анализе
ГОСТ 5830 Реактивы. Спирт изоамиловый. Технические условия
ГОСТ 5962 Спирт этиловый ректификованный из пищевого сырья. Технические условия
--------------------------------
ГОСТ 6859 Приборы для отмеривания и отбора жидкостей. Технические условия
ГОСТ 9147 Посуда и оборудование лабораторные фарфоровые. Технические условия
ГОСТ 13928 Молоко и сливки заготовляемые. Правила приемки, методы отбора проб и подготовка их к анализу
ГОСТ 18481 Ареометры и цилиндры стеклянные. Общие технические условия
ГОСТ 23094 Жиромеры стеклянные. Общие технические условия
ГОСТ 25336 Посуда и оборудование лабораторные стеклянные. Типы, основные параметры и размеры
ГОСТ 26809.1 Молоко и молочная продукция. Правила приемки, методы отбора и подготовка проб к анализу. Часть 1. Молоко, молочные, молочные составные и молокосодержащие продукты
ГОСТ 26809.2 Молоко и молочная продукция. Правила приемки, методы отбора и подготовка проб к анализу. Часть 2. Масло из коровьего молока, спреды, сыры и сырные продукты, плавленые сыры и плавленые сырные продукты
ГОСТ 27752 Часы электронно-механические кварцевые настольные, настенные и часы-будильники. Общие технические условия
ГОСТ 28498 Термометры жидкостные стеклянные. Общие технические требования. Методы испытаний
ГОСТ 29169 (ИСО 648-77) Посуда лабораторная стеклянная. Пипетки с одной отметкой
ГОСТ ISO 707
<2> Молоко и молочные продукты. Руководство по отбору проб
--------------------------------
ГОСТ ИСО 5725-6-2003
<3> Точность (правильность и прецизионность) методов и результатов измерений. Часть 6. Использование значений точности на практике
--------------------------------
ГОСТ OIML R 76-1 Государственная система обеспечения единства измерений. Весы неавтоматического действия. Часть 1. Метрологические и технические требования. Испытания
Примечание - При пользовании настоящим стандартом целесообразно проверить действие ссылочных стандартов и классификаторов на официальном интернет-сайте Межгосударственного совета по стандартизации, метрологии и сертификации (www.easc.by) или по указателям национальных стандартов, издаваемым в государствах, указанных в предисловии, или на официальных сайтах соответствующих национальных органов по стандартизации. Если на документ дана недатированная ссылка, то следует использовать документ, действующий на текущий момент, с учетом всех внесенных в него изменений. Если заменен ссылочный документ, на который дана датированная ссылка, то следует использовать указанную версию этого документа. Если после принятия настоящего стандарта в ссылочный документ, на который дана датированная ссылка, внесено изменение, затрагивающее положение, на которое дана ссылка, то это положение применяется без учета данного изменения. Если ссылочный документ отменен без замены, то положение, в котором дана ссылка на него, применяется в части, не затрагивающей эту ссылку.
В настоящем стандарте применены термины по
[1].
4 Отбор проб и подготовка их к измерениям
4.2 Пробы сырого молока и сырых сливок, если измерение не может быть проведено непосредственно после отбора проб, хранят в холодильнике при температуре (4 +/- 2) °C не более 36 ч.
4.3 При исследовании продуктов с сахаром и немолочными компонентами анализируемую пробу продукта помещают в стакан вместимостью 500 см
3 и нагревают на водяной бане до температуры (30 +/- 2) °C, тщательно перемешивая шпателем до получения однородной смеси, перемещая нижние слои пробы к поверхности. Подготовленный образец переносят в стакан гомогенизатора и гомогенизируют в течение 1 - 3 мин до получения однородной массы.
Если в пробе наблюдают отделение жира, то для обеспечения лучшей гомогенизации образец нагревают на водяной бане до температуры (40 +/- 2) °C, затем охлаждают до температуры (20 +/- 2) °C.
Во избежание расслоения продукта пробу для анализа отбирают непосредственно после гомогенизации.
Не допускается хранение подготовленного образца.
5 Условия проведения измерений
При выполнении измерений в лаборатории необходимо соблюдать следующие условия:
температура окружающего воздуха .................. от 15 °C до 30 °C;
относительная влажность воздуха .................. не более 80%;
атмосферное давление ............................. (96 +/- 10) кПа.
6 Кислотный метод определения массовой доли жира в молоке и молочной продукции
6.1 Сущность метода
Метод основан на выделении жира из молока и молочной продукции под действием концентрированной серной кислоты и изоамилового спирта с последующим центрифугированием и измерением объема выделившегося жира в градуированной части жиромера (бутирометра).
6.2 Средства измерений, вспомогательное оборудование, посуда и реактивы
Весы с пределом допускаемой абсолютной погрешности не более +/- 0,03 г по
ГОСТ OIML R 76-1.
Центрифуга, обеспечивающая вращение жиромеров и создающая при полной нагрузке в течение 2 мин относительное центробежное ускорение (350 +/- 50)
g на внешнем конце пробки жиромера. Такое ускорение может быть получено с центрифугами, имеющими эффективный радиус (горизонтальное расстояние между центром вращения ротора центрифуги и внешним концом пробки жиромера) и работающими при частоте вращения, приведенной в
таблице 1.
Таблица 1
Эффективный радиус центрифуги и частота вращения
для создания относительного центробежного ускорения
(350 +/- 50) g
Эффективный радиус, мм | Частота вращения, об/мин |
240 | 1140 |
245 | 1130 |
250 | 1120 |
255 | 1110 |
260 | 1100 |
265 | 1090 |
270 | 1080 |
275 | 1070 |
300 | 1020 |
325 | 980 |
Примечание - Относительное центробежное ускорение (RCF), g, рассчитывают по формуле
RCF = 1,12·r·n2·10-6, (1)
где r - эффективный горизонтальный радиус (расстояние от центра вращения ротора до внешнего конца пробки жиромера), мм;
n - частота вращения, об/мин.
Баня водяная термостатирующая, обеспечивающая регулирование температуры от 30 °C до 100 °C с точностью поддержания температуры +/- 2 °C, оснащенная штативом, позволяющим расположить жиромеры вертикально, при этом шкала жиромера должна быть полностью погружена в воду.
Ареометр общего назначения с диапазоном измерения от 700 до 2000 кг/м
3 по
ГОСТ 18481.
Термометр жидкостный (не ртутный) с диапазоном измерения от 0 °C до 100 °C и ценой деления шкалы 1 °C по
ГОСТ 28498.
Устройство измельчающее, позволяющее измельчать пробу без ее нагрева, потери или поглощения влаги, или блендер (миксер) со стаканом вместимостью 250 (500) см3, или гомогенизатор (миксер) любой конфигурации.
Жиромеры (бутирометры) стеклянные 2-0,5; 1-6; 1-40 по
ГОСТ 23094, а также бутирометры для масла 0-70-90% по нормативным документам.
Пробки для жиромеров (бутирометров).
Приборы (дозаторы) для отмеривания изоамилового спирта и серной кислоты вместимостью, соответственно, 1 и 10 см
3 по
ГОСТ 6859.
Штатив для жиромеров.
Кислота серная по
ГОСТ 4204, х.ч. Растворы серной кислоты с плотностью, указанной в
таблице 2, готовят в соответствии с процедурой, описанной в ГОСТ 4517-2016
(подраздел 4.89).
Таблица 2
Условия проведения измерений.
Требования к проведению измерений
Наименование продукта | Тип жиромера | Объем/масса образца для анализа | Объем добавленной дистиллированной воды, см3 | Плотность серной кислоты, кг/м3 | Объем серной кислоты, см3 | Количество центрифугирований |
Молоко, кроме обезжиренного, с массовой долей жира до 6% включ., негомогенизированное | 1-6 | 10,77 см3, 11,00 г | - | От 1810 до 1820 | 10 | 1 |
Молоко, кроме обезжиренного, с массовой долей жира до 6% включ., гомогенизированное | 1-6 | 10,77 см3, 11,00 г | - | От 1810 до 1820 | 10 | 3 |
Молоко обезжиренное | 2-0,5 | | - | От 1810 до 1820 | 20 | 2 |
Молоко негомогенизированное и гомогенизированное с массовой долей жира более 6% | 1-6 | 5,50 г | 5,50 г | От 1810 до 1820 | 10 | 3 |
Напиток молочный без сахара | 1-6 | 11,00 г | - | От 1810 до 1820 | 10 | 1 |
Напиток молочный с сахаром и с/без добавления немолочных компонентов | 1-6 | 11,00 г | - | От 1750 до 1770 | 10 | 4 |
Пахта | 1-6 | 11,00 г | - | От 1810 до 1820 | 10 | 3 |
Сливки негомогенизированные с массовой долей жира до 40% включ. | 1-40 | 5,00 г | 5,00 | От 1810 до 1820 | 10 | 1 |
Сливки негомогенизированные с массовой долей жира более 40% | 1-40 | 2,50 г | 7,50 | От 1810 до 1820 | 10 | 1 |
Сливки гомогенизированные с массовой долей жира до 40% включ. | 1-40 | 5,00 г | 5,00 | От 1810 до 1820 | 10 | 3 |
Сливки гомогенизированные с массовой долей жира более 40% | 1-40 | 2,50 г | 7,50 | От 1810 до 1820 | 10 | 3 |
Сыворотка молочная жидкая | 2-0,5 | | - | От 1780 до 1800 | 20 | 3 |
Напиток из молочной сыворотки с сахаром и с/без добавления немолочных компонентов | 2-0,5 | | - | 1780 | 20 | 3 |
1-6 | 11,00 г | - | 1780 | 10 | 3 |
Кисломолочные продукты из негомогенизированного молока с массовой долей жира до 6% включ. | 1-6 | 11,00 г | - | От 1810 до 1820 | 10 | 1 |
Кисломолочные продукты из гомогенизированного молока с массовой долей жира до 6% включ. | 1-6 | 11,00 г | - | От 1810 до 1820 | 10 | 3 |
Кисломолочные продукты из гомогенизированного молока с массовой долей жира более 6% | 1-6 | 5,50 г | 5,50 | От 1810 до 1820 | 10 | 3 |
Кисломолочные продукты из гомогенизированного молока с сахаром с массовой долей жира до 6% включ. | 1-6 | 11,00 г | - | От 1750 до 1770 | 10 | 4 |
Кисломолочные продукты из гомогенизированного молока с сахаром с массовой долей жира более 6% | 1-6 | 5,50 г | 5,50 | От 1750 до 1770 | 10 | 4 |
Кисломолочные продукты, сквашенные молочные составные продукты, с сахаром, с/без добавления немолочных компонентов, с массовой долей жира до 6% включ. | 1-6 | 11,00 г | - | От 1750 до 1770 | 10 | 4 |
Кисломолочные продукты, сквашенные молочные составные продукты, с сахаром, с/без добавления немолочных компонентов, с массовой долей жира более 6% | 1-6 | 5,50 г | 5,50 | От 1750 до 1770 | 10 | 4 |
Сметана с массовой долей жира до 40% включ. | 1-40 | 5,00 г | 5,00 | От 1810 до 1820 | 10 | 3 |
Сметана с массовой долей жира более 40% | 1-40 | 2,50 г | 7,50 | От 1810 до 1820 | 10 | 4 |
Творог с массовой долей жира до 6% включ. | 1-6 | 5,00 г | 5,00 | От 1810 до 1820 | 10 | 3 |
Творог с массовой долей жира более 6% | 1-40 | 5,00 г | 5,00 | От 1810 до 1820 | 10 | 3 |
Творожные продукты, творог зерненый, творог с применением ультрафильтрации или сепарирования, в том числе для детского питания, с/без наполнителей и без | 1-6 | 5,00 г | 5,00 | От 1750 до 1770 | 10 | 4 |
Творожные продукты с сахаром с/без добавления немолочных компонентов | 1-40 | 5,00 г | 5,00 | От 1750 до 1770 | 10 | 4 |
Мороженое с массовой долей жира до 6% включ. | 1-6 | 5,00 г | - | От 1500 до 1550 | 16 | 4 |
Мороженое молокосодержащее с массовой долей жира до 6% включ. | 1-6 | 5,00 г | - | От 1500 до 1550 | 16 | 4 |
Мороженое с массовой долей жира более 6% | 1-40 | 5,00 г | - | От 1500 до 1550 | 16 | 4 |
Мороженое молокосодержащее с массовой долей жира более 6% | 1-40 | 5,00 г | - | От 1500 до 1550 | 16 | 4 |
Сыры и сыры плавленые | 1-6 | 1,50 г | - | От 1500 до 1550 | 19 | 2 |
Масло сливочное, спред сливочно-растительный с массовой долей жира до 80% включ., паста масляная | 1-40 | 2,50 г | - | От 1500 до 1550 | 16 | 3 |
Масло сливочное, спред сливочно-растительный с массовой долей жира более 80% | 1-40 | 2,00 г | - | От 1500 до 1550 | 16 | 3 |
1-70-90 | 5,00 г | - | От 1500 до 1550 | 20 | 1 |
Масло сливочное с компонентами, спред сливочно-растительный с компонентами с массовой долей жира до 80% включ., паста масляная с компонентами | 1-40 | 2,50 г | - | От 1500 до 1550 | 16 | 4 |
<*> Указанный объем берется дважды. |
Допускается применение других средств измерений и вспомогательного оборудования, не уступающих вышеуказанным по метрологическим и техническим характеристикам и обеспечивающих необходимую точность измерений, а также реактивов по качеству не ниже вышеуказанных.
6.3 Проведение измерений
6.3.1 Молоко, кроме обезжиренного, молочный напиток, с массовой долей жира до 6% включительно
6.3.1.1 В два жиромера 1-6, стараясь не смочить горловину, наливают дозатором по 10 см
3 серной кислоты плотностью от 1810 до 1820 кг/м
3.
Удерживая жиромер в вертикальном положении, осторожно, избегая смешивания жидкостей в жиромере, добавляют пипеткой по 10,77 см3 молока, для чего пипетку наклоняют под углом приблизительно 45°, при этом выпускное отверстие пипетки располагают ниже горловины жиромера. Уровень молока в пипетке устанавливают по нижней точке мениска.
Молоко из пипетки должно вытекать медленно. После истечения молока выжидают 3 с, кончиком пипетки касаются внутренней части основания горловины жиромера и затем вынимают пипетку, стараясь не смочить горловину молоком. Выдувание молока из пипетки не допускается.
Затем, стараясь не смочить горловину, в жиромеры добавляют дозатором по 1 см3 изоамилового спирта.
Уровень смеси в жиромере устанавливают на 1 - 2 мм ниже основания горловины жиромера, для чего допускается добавлять в жиромер серную кислоту.
6.3.1.2 При применении взвешивания при дозировке пробы в жиромер помещают 11,00 г продукта, взвешенного с отсчетом показаний до 0,005 г, затем приливают 10 см3 серной кислоты плотностью от 1810 до 1820 кг/м3 и 1 см3 изоамилового спирта.
6.3.1.3 Жиромеры закрывают сухими пробками, вводя их немного более, чем наполовину, в горловину жиромеров. Допускается наносить мел на поверхность пробок для укупорки жиромеров.
Жиромеры встряхивают до полного растворения белковых веществ, переворачивая не менее пяти раз таким образом, чтобы жидкости в них полностью перемешались.
6.3.1.4 Жиромеры помещают в водяную баню температурой (65 +/- 2) °C, располагая их пробками вниз, и выдерживают в течение 5 мин. При этом уровень воды в бане должен быть выше уровня смеси в жиромере.
6.3.1.5 По окончании термостатирования жиромеры помещают в стаканы центрифуги, направляя градуированной частью (головкой) к центру и располагая симметрично, один против другого. При нечетном количестве жиромеров с анализируемым продуктом в центрифугу для равновесия помещают жиромер, наполненный дистиллированной водой, серной кислотой и изоамиловым спиртом в том же соотношении, что и для анализа.
Жиромеры центрифугируют в течение 5 мин. По окончании центрифугирования каждый жиромер вынимают из центрифуги и движением пробки регулируют столбик жира таким образом, чтобы он находился в области шкалы жиромера.
6.3.1.6 Повторно жиромеры помещают в водяную баню температурой (65 +/- 2) °C, располагая их пробками вниз, и выдерживают в течение 5 мин. При этом уровень воды в бане должен быть несколько выше уровня столбика жира в жиромере.
6.3.1.7 Жиромеры вынимают по одному из водяной бани и сразу же проводят отсчет жира. При отсчете жиромер держат вертикально, граница жира должна находиться на уровне глаз. Движением пробки вверх и вниз устанавливают нижнюю границу столбика жира на нулевом или целом делении шкалы жиромера. От него отсчитывают число делений до нижней точки мениска верхнего края столбика жира с точностью до наименьшего деления шкалы жиромера.
Если нижняя точка мениска находится между делениями шкалы, то отсчет показаний следует проводить по нижнему делению.
При считывании показаний результат считается точным, если мениск находится на одном уровне с делением шкалы жиромера.
Граница раздела жира и кислоты должна быть резкой, а столбик жира прозрачным. При наличии "кольца" (пробки) буроватого или темно-желтого цвета, различных примесей в столбике жира или размытой нижней границы проводят повторное измерение.
6.3.1.8 При анализе гомогенизированного молока определение в нем массовой доли жира проводят в соответствии с вышеописанными требованиями, но применяют трехкратное центрифугирование и нагревание между каждым центрифугированием в водяной бане при температуре (65 +/- 2) °C в течение 5 мин.
6.3.1.9 При анализе молочного напитка, не содержащего сахар, определение в нем массовой доли жира проводят в соответствии с
6.3.1.1 -
6.3.1.7. При этом в жиромер помещают 11,00 г продукта, взвешенного с отсчетом показаний до 0,005 г, затем приливают 10 см
3 серной кислоты плотностью от 1810 до 1820 кг/м
3 и 1 см
3 изоамилового спирта.
6.3.1.10 При анализе молочного напитка, содержащего сахар, подготовку пробы проводят по
4.3. Определение в подготовленном продукте массовой доли жира проводят в соответствии с
6.3.1.1 -
6.3.1.7. При этом в жиромер помещают 11,00 г продукта, взвешенного с отсчетом показаний до 0,005 г, затем приливают серную кислоту и изоамиловый спирт. Проводят четырехкратное центрифугирование и нагревание между каждым центрифугированием в водяной бане при температуре (65 +/- 2) °C в течение 5 мин.
6.3.1.11 При использовании центрифуги с подогревом жиромеров допускается проведение одного центрифугирования в течение 15 мин для молока и в течение 20 мин для молочного напитка с последующей выдержкой в водяной бане при температуре (65 +/- 2) °C в течение 5 мин.
6.3.2 Молоко с массовой долей жира более 6%
Определение массовой доли жира проводят в соответствии с
6.3.1 и требованиями, приведенными в
таблице 2, со следующими дополнениями:
- последовательность операций при заполнении жиромера - взвешивание продукта, подготовленного по
4.1 -
4.3, в жиромер с отсчетом показаний до 0,005 г, добавление дистиллированной воды, серной кислоты и изоамилового спирта;
- серную кислоту в жиромер с водой добавляют осторожно, слегка наклонив жиромер.
6.3.3 Обезжиренное молоко
6.3.3.1 Определение массовой доли жира проводят в соответствии с требованиями, приведенными в
таблице 2.
6.3.3.2 В два жиромера для обезжиренного молока, горловины которых со стороны градуированной части закрыты пробками, стараясь не смочить горловину, наливают дозатором по 20 см3 серной кислоты.
Удерживая жиромер в вертикальном положении, осторожно, чтобы жидкости не смешивались, при помощи пипетки вместимостью 10,77 см
3 (по два раза) помещают анализируемую пробу продукта, подготовленного по
4.1, осторожно сливая ее по стенке жиромера.
6.3.3.3 Используя дозатор, в жиромеры добавляют по 2 см3 изоамилового спирта.
6.3.3.4 Жиромеры закрывают большими пробками и встряхивают до полного растворения белковых веществ, время от времени переворачивая.
6.3.3.5 Жиромеры помещают в водяную баню температурой (65 +/- 2) °C, располагая их большой пробкой вниз, и выдерживают в течение 5 мин. При этом уровень воды в бане должен быть выше уровня смеси в жиромере.
6.3.3.6 По окончании термостатирования жиромеры помещают в стаканы центрифуги, направляя градуированной частью к центру и располагая симметрично, один напротив другого. При нечетном количестве жиромеров с анализируемым продуктом в центрифугу для равновесия помещают жиромер, наполненный дистиллированной водой вместо продукта, серной кислотой и изоамиловым спиртом в том же соотношении, что и для анализа.
Жиромеры центрифугируют два раза по 10 мин. Между центрифугированием жиромеры термостатируют по 5 мин в водяной бане при температуре (65 +/- 2) °C.
6.3.3.7 После первого центрифугирования, для облегчения регулирования уровня жира в жиромере, маленькую пробку слегка приоткрывают, не вынимая ее полностью. С помощью большой пробки устанавливают верхний уровень жидкости в градуированной части жиромера. Затем меньшее отверстие плотно закрывают.
После второго центрифугирования вынимают из жиромеров маленькие пробки, помещают на 5 мин в водяную баню при температуре (65 +/- 2) °C и следят, чтобы уровень жидкости не поднимался выше делений шкалы.
6.3.3.8 По окончании термостатирования каждый жиромер вынимают из водяной бани и, регулируя большой пробкой положение столбика жира, устанавливают его нижнюю границу на нулевом или ближайшем целом делении шкалы и быстро проводят отсчет жира.
6.3.4 Пахта
Определение массовой доли жира проводят в соответствии с
6.3.3 и требованиями, приведенными в
таблице 2.
В жиромер помещают 11,00 г продукта, взвешенного с отсчетом показаний до 0,005 г, затем приливают серную кислоту и изоамиловый спирт.
6.3.5 Сливки
Определение массовой доли жира проводят в соответствии с
6.3.1 и требованиями, приведенными в
таблице 2, со следующими дополнениями:
- последовательность операций при заполнении жиромера - взвешивание продукта, подготовленного по
4.1 -
4.3, в жиромер с отсчетом до 0,005 г, добавление дистиллированной воды, серной кислоты и изоамилового спирта;
- серную кислоту в жиромер с водой добавляют осторожно, слегка наклонив жиромер;
- при подогревании жиромеров с исследуемой смесью в водяной бане перед центрифугированием их встряхивают до полного растворения белка;
- уровень смеси в жиромере устанавливают на 4 - 5 мм ниже основания горловины жиромера.
6.3.6 Жидкая молочная сыворотка, напитки из молочной сыворотки
6.3.6.1 Пробы продуктов помещают в лабораторный стакан и нагревают на водяной бане до температуры (35 +/- 5) °C, после чего гомогенизируют в течение 1 - 3 мин до получения однородной массы. Затем пробу переносят в колбу с притертой пробкой и охлаждают до температуры (20 +/- 2) °C. Пробу для анализа отбирают непосредственно после гомогенизации.
6.3.6.2 Определение массовой доли жира проводят в соответствии с
6.3.3 и требованиями, приведенными в
таблице 2.
6.3.7 Кисломолочные продукты, сквашенные молочные составные продукты
Определение массовой доли жира проводят в соответствии с
6.3.1 и требованиями, приведенными в
таблице 2, со следующими дополнениями:
- пробы, содержащие сахар и немолочные компоненты, предварительно подготавливают в соответствии с
4.3;
- последовательность операций при заполнении жиромера - взвешивание продукта, подготовленного по
4.3, в жиромер с отсчетом до 0,005 г, добавление дистиллированной воды (при необходимости), серной кислоты и изоамилового спирта;
- серную кислоту в жиромер с дистиллированной водой добавляют осторожно, слегка наклонив жиромер;
- при подогревании жиромеров с исследуемой смесью в водяной бане перед центрифугированием их встряхивают до полного растворения белка.
6.3.8 Сметана
Определение массовой доли жира проводят в соответствии с
6.3.1 и требованиями, приведенными в
таблице 2, со следующими дополнениями:
- последовательность операций при заполнении жиромера - взвешивание продукта, подготовленного по
4.1, в жиромер с отсчетом до 0,005 г, добавление дистиллированной воды, серной кислоты и изоамилового спирта;
- серную кислоту в жиромер с дистиллированной водой добавляют осторожно, слегка наклонив жиромер;
- при подогревании жиромеров с исследуемой смесью в водяной бане перед центрифугированием их встряхивают до полного растворения белка;
- уровень смеси в жиромере устанавливают на 4 - 5 мм ниже основания горловины жиромера.
6.3.9 Творог, творожные продукты, зерненый творог
Определение массовой доли жира проводят в соответствии с
6.3.1 и требованиями, приведенными в
таблице 2, со следующими дополнениями:
- пробы, содержащие сахар и немолочные компоненты, предварительно подготавливают в соответствии с
4.3;
- последовательность операций при заполнении жиромера - взвешивание продукта, подготовленного по
4.1 и
4.3, в жиромер с отсчетом до 0,005 г, добавление дистиллированной воды, серной кислоты и изоамилового спирта;
- серную кислоту в жиромер добавляют осторожно, слегка наклонив жиромер;
- при подогревании жиромеров с исследуемой смесью в водяной бане перед центрифугированием их встряхивают до полного растворения белка.
6.3.10 Мороженое
Определение массовой доли жира проводят в соответствии с
6.3.1 и требованиями, приведенными в
таблице 2, со следующими дополнениями:
- последовательность операций при заполнении жиромера - взвешивание продукта, подготовленного по
4.1 и
4.3, в жиромер с отсчетом до 0,005 г, добавление серной кислоты и изоамилового спирта;
- серную кислоту в жиромер добавляют осторожно, слегка наклонив жиромер;
- при подогревании жиромеров с исследуемой смесью в водяной бане перед центрифугированием их встряхивают до полного растворения белка;
- при определении жира в мороженом с массовой долей жира до 6% включительно уровень смеси в жиромере устанавливают на 4 - 5 мм ниже основания горловины жиромера, при определении жира в мороженом с массовой долей жира более 6% - на 6 - 10 мм.
6.3.11 Сыры и плавленые сыры
6.3.11.1 Определение массовой доли жира проводят в соответствии с требованиями, приведенными в
таблице 2.
6.3.11.2 В два жиромера помещают по 1,50 г пробы анализируемого продукта, подготовленного по
4.1, с отсчетом показаний до 0,005 г. Стараясь не смочить горловину, в жиромеры добавляют дозатором по 10 см
3 серной кислоты, затем приливают по (9 +/- 1) см
3 серной кислоты таким образом, чтобы уровень жидкости был на 4 - 6 мм ниже основания горловины жиромера.
Стараясь не смочить горловину, в жиромеры добавляют дозатором по 1 см3 изоамилового спирта.
Жиромеры закрывают пробками и помещают в водяную баню пробками вверх при температуре (65 +/- 2) °C и выдерживают в водяной бане при частом встряхивании до полного растворения пробы в течение (60 +/- 10) мин.
6.3.11.3 При неполном растворении белка в течение указанного времени допускается устанавливать температуру водяной бани (73 +/- 3) °C. Отсчет показаний жиромера при этом проводят после пятиминутной выдержки жиромеров в водяной бане при температуре (65 +/- 2) °C.
6.3.12 Сливочное масло, масляная паста, сливочно-растительный спред
6.3.12.1 Сливочное масло, сливочно-растительный спред с массовой долей жира до 80% включительно, масляная паста
Определение массовой доли жира проводят в соответствии с требованиями, приведенными в
таблице 2.
В два жиромера помещают по 2,50 г пробы анализируемого продукта, подготовленного по
4.1, с отсчетом показаний до 0,005 г. Стараясь не смочить горловину, в жиромеры добавляют дозатором по 10 см
3 серной кислоты, затем приливают по (6 +/- 1) см
3 серной кислоты таким образом, чтобы уровень жидкости был на 4 - 6 мм ниже основания горловины жиромера.
Стараясь не смочить горловину, в жиромеры добавляют дозатором по 1 см3 изоамилового спирта.
Жиромеры закрывают пробками и помещают в водяную баню при температуре (65 +/- 2) °C и выдерживают в водяной бане при частом встряхивании до полного растворения пробы. Далее измерения проводят по
6.3.1.6,
6.3.1.7.
6.3.12.2 Сливочное масло, сливочно-растительный спред с массовой долей жира более 80% с применением жиромера 1-40
Определение массовой доли жира проводят в соответствии с требованиями, приведенными в
таблице 2.
В два жиромера помещают по 2,00 г пробы анализируемого продукта, подготовленного по
4.1, с отсчетом показаний до 0,005 г. Стараясь не смочить горловину, в жиромеры добавляют дозатором по 10 см
3 серной кислоты, затем приливают по (6 +/- 1) см
3 серной кислоты таким образом, чтобы уровень жидкости был на 4 - 6 мм ниже основания горловины жиромера.
Стараясь не смочить горловину, в жиромеры добавляют дозатором по 1 см3 изоамилового спирта.
Жиромеры закрывают пробками и помещают в водяную баню при температуре (65 +/- 2) °C и выдерживают в водяной бане при частом встряхивании до полного растворения белка. Далее измерения проводят по
6.3.1.6,
6.3.1.7.
6.3.12.3 Сливочное масло, сливочно-растительный спред с массовой долей жира более 80% с применением жиромера 1-70-90
В нижнее отверстие жиромера (со стороны широкой горловины) помещают 5,00 г пробы анализируемого продукта, подготовленного по
4.1, с отсчетом показаний до 0,005 г, и закрывают пробкой.
Стараясь не смочить горловину, через верхнее (более узкое) отверстие со стороны градуированной части в жиромер добавляют дозатором 20 см3 серной кислоты плотностью от 1500 до 1550 кг/м3. Жиромер закрывают пробкой, помещают в водяную баню температурой (70 +/- 2) °C, располагая его большой пробкой вниз, и выдерживают, постоянно встряхивая, пока белок полностью не растворится. Уровень воды в водяной бане должен быть выше уровня смеси в жиромере.
После растворения белка в жиромер добавляют серную кислоту до уровня начала шкалы. Стараясь не смочить горловину, в жиромер добавляют дозатором 1 см3 изоамилового спирта. Жиромер закрывают пробкой, встряхивают и помещают в водяную баню температурой (70 +/- 2) °C на 10 мин.
По окончании термостатирования жиромеры помещают в стаканы центрифуги, направляя градуированной частью к центру и располагая симметрично, один напротив другого.
Жиромеры центрифугируют 5 мин. По окончании центрифугирования жиромеры помещают в водяную баню и выдерживают в течение 5 мин при температуре (65 +/- 2) °C.
По окончании термостатирования жиромер вынимают из водяной бани и, регулируя большой пробкой положение столбика жира, устанавливают его нижнюю границу на нулевом или ближайшем целом делении шкалы и незамедлительно проводят отсчет жира по нижнему краю мениска.
6.4 Обработка результатов измерений
6.4.1 За окончательный результат принимают среднеарифметическое значение результатов двух параллельных измерений, округленное до второго десятичного знака, если выполняется условие приемлемости по
разделу 8.
6.4.2 Молоко с массовой долей жира до 6% включительно, молочный напиток, пахта, сыворотка, напитки из молочной сыворотки, кисломолочные продукты с массовой долей жира до 6% включительно, кисломолочные сквашенные молочные составные продукты с массовой долей жира до 6% включительно
Показание жиромера при измерениях соответствует массовой доле жира в процентах.
6.4.3 Молоко с массовой долей жира более 6% и кисломолочные продукты с массовой долей жира более 6%, кисломолочные продукты, сквашенные молочные составные продукты с массовой долей жира более 6%
Массовую долю жира X1, %, в молоке и кисломолочных продуктах с массовой долей жира более 6% вычисляют по формуле
X1 = P·2, (2)
где P - значение массовой доли жира, полученное по шкале жиромера (показание жиромера), %;
2 - коэффициент разбавления.
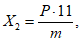
6.4.4 Творог и творожные продукты с массовой долей жира до 6% включительно
Массовую долю жира X2, %, в твороге и творожных продуктах с массовой долей жира до 6% включительно вычисляют по формуле

(3)
где 11 - масса навески пробы продукта, используемая для градуировки жиромеров 1-6, г;
m - масса навески продукта, г.
6.4.5 Сливки и сметана с массовой долей жира до 40% включительно, творог и творожные продукты с массовой долей жира более 6%, мороженое и смесь для мороженого с массовой долей жира более 6%
Показание жиромера при измерениях соответствует массовой доле жира в процентах.
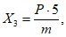
6.4.6 Сливки и сметана с массовой долей жира более 40%, сливочное масло, масляная паста, сливочно-растительный спред с применением жиромера 1-40
Массовую долю жира X3, %, в сливках с массовой долей жира более 40%, сливочном масле и масляной пасте вычисляют по формуле

(4)
где 5 - масса навески пробы продукта, используемая для градуировки жиромеров 1-40, г;
m - масса навески продукта, г.
6.4.7 Сливочное масло, масляная паста, сливочно-растительный спред, с применением жиромера 1-7-90
Показание жиромера при измерениях соответствует массовой доле жира в процентах.
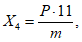
6.4.8 Мороженое и смесь для мороженого с массовой долей жира до 6% включительно, сыры и плавленые сыры
Массовую долю жира X4, %, в мороженом и смеси для мороженого с массовой долей жира до 6% включительно, сырах и плавленых сырах вычисляют по формуле

(5)
где 11 - масса навески пробы продукта, используемая для градуировки жиромеров 1-6, г.
6.4.9 Массовая доля жира в сыре и плавленом сыре в пересчете на сухое вещество
Массовую долю жира X5, %, в сыре и плавленом сыре в пересчете на сухое вещество вычисляют по формуле

(6)
где
B - массовая доля влаги в сыре и плавленом сыре, определенная по
ГОСТ 3626, %;
100 - коэффициент пересчета массовой доли жира на 100 г продукта.
6.5 Метрологические характеристики метода определения массовой доли жира кислотным методом
Метод обеспечивает определение массовой доли жира в диапазоне от 0% до 1% при применении жиромеров 2-0,5; в диапазоне от 0% до 12% при применении жиромеров 1-6; в диапазоне от 10% до 80% при применении жиромеров 1-40; в диапазоне от 60% до 100% при применении жиромеров 1-70-90.
Метрологические характеристики метода определения массовой доли жира кислотным методом при доверительной вероятности
P = 0,95 приведены в
таблице 3.
Таблица 3
Метрологические характеристики метода определения
массовой доли жира кислотным методом
В процентах
Наименование продукта | Предел повторяемости r | Предел воспроизводимости R | Границы абсолютной погрешности  |
Молоко, кроме обезжиренного, напиток молочный без сахара, пахта | 0,10 | 0,20 | 0,15 |
Молоко обезжиренное | 0,02 | 0,04 | 0,03 |
Напиток молочный с сахаром с/без добавления немолочных компонентов | 0,20 | 0,40 | 0,28 |
Сливки с массовой долей жира до 40% включ. | 0,50 | 1,00 | 0,70 |
Сливки с массовой долей жира более 40% | 0,50 | 1,50 | 1,10 |
Сыворотка молочная жидкая | 0,02 | 0,04 | 0,03 |
Напиток из молочной сыворотки с сахаром и с/без добавления немолочных компонентов с применением жиромера 2-0,5 | 0,04 | 0,06 | 0,04 |
Напиток из молочной сыворотки с сахаром и с/без добавления немолочных компонентов с применением жиромера 1-6 | 0,10 | 0,20 | 0,15 |
Кисломолочные продукты с массовой долей жира до 6% включ. | 0,10 | 0,20 | 0,15 |
Кисломолочные продукты с массовой долей жира более 6% | 0,20 | 0,40 | 0,28 |
Кисломолочные продукты с сахаром с массовой долей жира до 6% включ. | 0,10 | 0,30 | 0,22 |
Кисломолочные продукты с сахаром с массовой долей жира более 6% | 0,20 | 0,50 | 0,35 |
Кисломолочные продукты, сквашенные молочные составные продукты, с сахаром, с/без добавления немолочных компонентов, с массовой долей жира до 6% включ. | 0,20 | 0,40 | 0,28 |
Кисломолочные продукты, сквашенные молочные составные продукты, с сахаром, с/без добавления немолочных компонентов, с массовой долей жира более 6% | 0,20 | 0,50 | 0,35 |
Сметана с массовой долей жира до 40% включ. | 0,50 | 1,00 | 0,70 |
Сметана с массовой долей жира более 40% | 0,50 | 1,50 | 1,10 |
Творог с массовой долей жира до 6% включ. | 0,10 | 0,30 | 0,22 |
Творог с массовой долей жира более 6% | 0,50 | 1,00 | 0,70 |
Творожные продукты, творог зерненый, творог с применением ультрафильтрации или сепарирования, в том числе для детского питания | 0,10 | 0,30 | 0,22 |
Творожные продукты с сахаром с/без добавления немолочных компонентов | 0,5 | 1,50 | 1,10 |
Мороженое с массовой долей жира до 6% включ. | 0,20 | 0,50 | 0,35 |
Мороженое молокосодержащее с массовой долей жира до 6% включ. | 0,30 | 0,60 | 0,42 |
Мороженое с массовой долей жира более 6% | 0,50 | 1,50 | 1,10 |
Мороженое молокосодержащее с массовой долей жира более 6% | 1,00 | 1,50 | 1,20 |
Сыры и сыры плавленые | 1,00 | 1,50 | 1,10 |
Масло сливочное, спред сливочно-растительный с массовой долей жира до 80% включ., паста масляная | 1,20 | 1,90 | 1,30 |
Масло сливочное, спред сливочно-растительный с массовой долей жира более 80% | 1,20 | 1,90 | 1,30 |
Масло сливочное с компонентами, спред сливочно-растительный с компонентами с массовой долей жира до 80% включ., паста масляная с компонентами | 1,50 | 2,30 | 1,60 |
7 Экстракционный метод определения массовой доли жира в сырах и плавленых сырах
7.1 Сущность метода
Метод основан на экстрагировании жира диэтиловым и петролейным эфирами после обработки пробы кипящим раствором соляной кислоты, на выпаривании растворителей и взвешивании полученного остатка (принцип Шмидта-Бондзински-Рацлава).
Метод применяют при возникновении разногласий в оценке качества продукта.
7.2 Средства измерений, вспомогательное оборудование, посуда и реактивы
Весы аналитические с пределом допускаемой абсолютной погрешности не более +/- 0,003 г по
ГОСТ OIML R 76-1.
Термометр жидкостный (не ртутный) с диапазоном измерения от 0 °C до 100 °C и ценой деления шкалы 1 °C по
ГОСТ 28498.
Центрифуга частотой вращения 500 - 600 об/мин.
Шкаф сушильный лабораторный, обеспечивающий поддержание температуры (102 +/- 2) °C.
Испаритель ротационный, с водяной баней.
Баня водяная.
Колба Можонье для экстрагирования с пробкой.
Колба плоскодонная П-1-250-29/32 ТС по
ГОСТ 25336.
Колбы Кн-1-250-29/32, Кн-1-500-29/32 с притертыми пробками, ТС по
ГОСТ 25336.
Материал, облегчающий кипение: стеклянные шарики, обезжиренный непористый фарфор или карбид кремния.
Терка для измельчения сыра.
Цилиндр 1-25-2, 3-25-2, 1-50-2, 3-50-2 по
ГОСТ 1770.
Пленка целлюлозная, нелакированная, растворимая в соляной кислоте и не влияющая на результаты испытания.
Эфир диэтиловый, х.ч.
Эфир петролейный, фракция с температурой кипения 40 °C - 70 °C, х.ч.
Допускается применение других средств измерений с метрологическими характеристиками и оборудования с техническими характеристиками не хуже, а также реактивов по качеству не ниже вышеуказанных.
7.3 Подготовка к проведению измерений
7.3.1 Подготовка пробы
Пробу продукта измельчают, помещают в фарфоровую ступку и тщательно растирают до получения пастообразной массы.
Пробу готовят непосредственно перед проведением измерения.
7.3.2 Подготовка колбы для сбора жира
Колбу с материалом для облегчения кипения высушивают при температуре (102 +/- 2) °C в сушильном шкафу в течение 1 ч. Затем колбу охлаждают до (20 +/- 2) °C в эксикаторе в течение 1 ч и взвешивают с отсчетом результата до 0,1 мг.
7.3.3 Приготовление смешанного растворителя
Смешанный растворитель готовят из равных объемов диэтилового и петролейного эфиров. Раствор готовят непосредственно перед применением.
7.4 Проведение измерений
7.4.1 В нижний (малый) резервуар колбы для экстрагирования (см.
рисунок 1) помещают 2 г измельченной пробы анализируемого продукта, взвешенного с отсчетом до 0,1 мг.
1 - растворитель; 2 - водный слой; 3 - поверхность раздела
при первом экстрагировании; 4 - поверхность раздела
при втором экстрагировании
Рисунок 1 - Слив экстрагированного жира
7.4.2 В колбу для экстрагирования с навеской продукта добавляют 9 см3 соляной кислоты, помещают ее в кипящую водяную баню и выдерживают при постоянном встряхивании до тех пор, пока продукт полностью не растворится. После этого колбу для экстрагирования оставляют в кипящей водяной бане на 10 - 20 мин и охлаждают в проточной воде.
7.4.3 В колбу для экстрагирования с растворенным продуктом приливают 10 см
3 этилового спирта и осторожно, но тщательно перемешивают, переливая раствор из нижнего резервуара в верхний и обратно.
Затем добавляют 25 см3 диэтилового эфира. Колбу для экстрагирования закрывают пробкой и аккуратно встряхивают при постоянном переворачивании, не допуская образования устойчивой эмульсии. В течение 1 мин при горизонтальном положении колбы для экстрагирования и направленном вверх малом резервуаре переливают раствор из большого резервуара в малый и обратно. При необходимости колбу для экстрагирования охлаждают в проточной воде.
Затем осторожно вынимают пробку и добавляют 25 см3 петролейного эфира, используя первые 5 - 10 см3 для ополаскивания пробки и внутренней стороны горловины колбы для экстрагирования, затем закрывают пробкой и встряхивают при постоянном переворачивании в течение 30 с.
7.4.4 Колбу для экстрагирования оставляют в покое до тех пор, пока верхний слой жидкости не будет чистым и четко отделенным от нижнего слоя. Если четкое разделение слоев не достигается, то колбу для экстрагирования помещают в центрифугу и центрифугируют в течение 3 мин при частоте вращения от 500 до 600 об/мин.
7.4.5 Затем из колбы для экстрагирования вынимают пробку, ополаскивают ее и внутреннюю поверхность горловины колбы 5 - 10 см
3 смешанного растворителя таким образом, чтобы он стекал в экстрактор. После этого аккуратно переливают по возможности большую часть слоя жира, растворенного в эфирах, в колбу для сбора жира, подготовленную по
7.3.2, удерживая экстрактор за малую емкость и не допуская при этом переливания водного слоя.
Ополаскивают внешнюю и внутреннюю поверхность горловины колбы для экстрагирования 5 - 10 см3 смешанного растворителя, при этом растворитель с внешней стороны горловины колбы должен стекать в плоскодонную колбу, а с внутренней стороны - в экстракционную колбу.
7.4.6 Проводят второе экстрагирование в соответствии с
7.4.3 -
7.4.5, добавляя при этом по 15 см
3 диэтилового и петролейного эфиров соответственно.
7.4.7 Третье экстрагирование проводят в соответствии с
7.4.3 -
7.4.5, но не добавляя этиловый спирт и используя 15 см
3 диэтилового и 15 см
3 петролейного эфиров.
7.4.8 Внутреннюю поверхность горла колбы для сбора жира ополаскивают смешанным растворителем и устанавливают ее в аппарат для перегонки (ротационный испаритель). Осторожно отгоняют весь растворитель из колбы для экстрагирования, по мере удаления диэтилового и петролейного эфиров повышая температуру водяной бани от (30 +/- 2) °C до (60 +/- 2) °C.
7.4.9 Колбу для экстрагирования (положив ее на бок для лучшего испарения растворителя) помещают в сушильный шкаф, выдерживают при температуре (102 +/- 2) °C в течение 1 ч, охлаждают в эксикаторе до температуры помещения, в котором будут проводить взвешивание, и взвешивают с отсчетом результата до 0,0001 г. На весы колбу помещают с помощью металлических щипцов.
7.4.10 Высушивание колбы по
7.4.9 повторяют до тех пор, пока разница между двумя последовательными взвешиваниями не будет превышать 0,001 г или при одном из взвешиваний после высушивания не будет наблюдаться увеличение массы. В качестве массы колбы и экстрагируемого вещества принимают минимальное значение массы.
7.4.11 Для проверки полноты растворения экстрагированной фракции в колбу добавляют (20 +/- 5) см3 петролейного эфира, при этом колбу постепенно нагревают до температуры не выше 60 °C при постоянном перемешивании содержимого колбы круговыми движениями до полного растворения жира.
Если экстрагированная фракция не растворяется в петролейном эфире полностью, то содержание нерастворимого осадка определяют после удаления жира петролейным эфиром. Обработку эфиром повторяют не менее трех раз. Перед каждой декантацией дают осесть на дно нерастворимому остатку. После полного удаления жира колбу с нерастворимым остатком подогревают в водяной бане, постепенно повышая ее температуру до 60 °C с целью наиболее полного удаления петролейного эфира. После исчезновения запаха петролейного эфира колбу с нерастворившимся остатком сушат в сушильном шкафу (или вакуум-сушильном) в течение 1 ч, охлаждают до температуры (20 +/- 2) °C и взвешивают с отсчетом до 0,0001 г.
7.4.12 Одновременно с определением массовой доли жира проводят контрольный опыт, используя вместо анализируемой пробы 10 см3 дистиллированной воды.
Если масса сухого остатка в колбе после высушивания превышает 0,0005 г, то реактивы следует проверить на чистоту или заменить.
7.5 Обработка результатов измерений
7.5.1 Массовую долю жира X6, %, в сыре и плавленом сыре вычисляют по формуле

(7)
где m1 - масса колбы с жиром, высушенная до постоянной массы, г;
m2 - масса колбы без жира, высушенная до постоянной массы, г;
m3 - масса колбы в контрольном опыте после определения, г;
m4 - масса колбы в контрольном опыте до определения, г;
m0 - масса навески продукта, г;
100 - коэффициент пересчета в проценты.
За окончательный результат определения принимают среднеарифметическое значение результатов двух параллельных определений, округленное до второго десятичного знака.
7.5.2 Метрологические характеристики метода определения массовой доли жира экстракционным методом при доверительной вероятности
P = 0,95 приведены в
таблице 4.
Таблица 4
Метрологические характеристики метода определения
массовой доли жира экстракционным методом
В процентах
Диапазон измерений массовой доли жира | Предел повторяемости r | Предел воспроизводимости R | Границы абсолютной погрешности  |
От 1,0 до 40,0 включ. | 0,20 | 0,32 | 0,24 |
8 Контроль точности результатов измерений
8.1 Контроль стабильности результатов измерений (повторяемости, промежуточной прецизионности и погрешности) проводят в соответствии с порядком, установленным в лаборатории, по ГОСТ ИСО 5725-6-2003 (подраздел 6.2).
8.2 Проверка приемлемости результатов измерений, полученных в условиях повторяемости
Проверку приемлемости результатов определения массовой доли жира в анализируемом продукте, полученных в условиях повторяемости (два параллельных определения, n = 2), проводят с учетом требований ГОСТ ИСО 5725-6-2003 (пункт 5.2.2).
Результаты измерений считаются приемлемыми при условии:
|X1 - X2| <= r,
где X1, X2 - значения результатов двух параллельных определений массовой доли жира в анализируемом продукте, полученные в условиях повторяемости, %;
r - предел повторяемости (сходимости), значение которого приведено в
таблицах 3 и
4, %.
Если данное условие не выполняется, то проводят повторные измерения и проверку приемлемости результатов измерений в условиях повторяемости в соответствии с требованиями ГОСТ ИСО 5725-6-2003 (пункт 5.2.2).
При повторном превышении указанного норматива выясняют причины, приводящие к неудовлетворительным результатам анализа.
8.3 Проверка приемлемости результатов измерений, полученных в условиях воспроизводимости
Проверку приемлемости результатов определения массовой доли жира в анализируемом продукте, полученных в условиях воспроизводимости (в двух лабораториях, m = 2), проводят с учетом требований ГОСТ ИСО 5725-6-2003 (подпункт 5.3.2.1).
Результаты измерений, выполненные в условиях воспроизводимости, считаются приемлемыми при условии:
где

,

- значения результатов двух определений массовой доли жира в анализируемом продукте, полученные в двух лабораториях в условиях воспроизводимости, %;
R - предел воспроизводимости, значение которого приведено в
таблицах 3 и
4, %.
Если данное условие не выполняется, то проверяют процедуры в соответствии с требованиями ГОСТ ИСО 5725-6-2003 (пункт 5.3.3).
9 Оформление результатов измерения
Результат определения массовой доли жира в анализируемом продукте представляют в документах, предусматривающих его использование, в виде

, %, при
P = 0,95,
где
Xср - среднеарифметическое значение результатов двух параллельных определений, удовлетворяющих условию приемлемости по
8.1, %;

- границы абсолютной погрешности измерений, % (см.
таблицы 3 и
4).
10 Требования, обеспечивающие безопасность
10.1 При выполнении работ необходимо соблюдать следующие требования:
- помещение лаборатории должно быть оборудовано общей приточно-вытяжной вентиляцией в соответствии с требованиями
ГОСТ 12.4.021. Содержание вредных веществ в воздухе рабочей зоны не должно превышать норм, установленных в
ГОСТ 12.1.005;
- требования техники безопасности при работе с химическими реактивами в соответствии с
ГОСТ 12.1.007 - наличие защитных очков, масок и резиновых перчаток;
- требования техники безопасности при работе с электроустановками в соответствии с
ГОСТ 12.1.019.
Помещение лаборатории должно соответствовать требованиям пожарной безопасности по
ГОСТ 12.1.004 и быть оснащено средствами пожаротушения по
ГОСТ 12.4.009.
11 Требования к оператору
Выполнение измерений может проводить специалист, имеющий соответствующую квалификацию и освоивший метод в соответствии с требованиями настоящего стандарта.
| Технический регламент Таможенного союза | О безопасности молока и молочной продукции |
УДК 637.12.04/.07:637.14.04/.07:006.354 | |
Ключевые слова: молоко, продукты переработки молока, массовая доля жира, кислотный метод, экстракционный метод |