Главная // Актуальные документы // ГОСТ (Государственный стандарт)СПРАВКА
Источник публикации
М.: ФГБУ "Институт стандартизации", 2023
Примечание к документу
Текст данного документа приведен с учетом
поправки, опубликованной в "ИУС", N 5, 2024.
Документ
вводится в действие с 01.01.2025.
Название документа
"ГОСТ 27893-2023. Межгосударственный стандарт. Кабели связи. Методы испытаний"
(введен в действие Приказом Росстандарта от 24.11.2023 N 1473-ст)
"ГОСТ 27893-2023. Межгосударственный стандарт. Кабели связи. Методы испытаний"
(введен в действие Приказом Росстандарта от 24.11.2023 N 1473-ст)
агентства по техническому
регулированию и метрологии
от 24 ноября 2023 г. N 1473-ст
МЕЖГОСУДАРСТВЕННЫЙ СТАНДАРТ
КАБЕЛИ СВЯЗИ
МЕТОДЫ ИСПЫТАНИЙ
Telephone cables. Test methods
ГОСТ 27893-2023
Дата введения
1 января 2025 года
Цели, основные принципы и общие правила проведения работ по межгосударственной стандартизации установлены
ГОСТ 1.0 "Межгосударственная система стандартизации. Основные положения" и
ГОСТ 1.2 "Межгосударственная система стандартизации. Стандарты межгосударственные, правила и рекомендации по межгосударственной стандартизации. Правила разработки, принятия, обновления и отмены"
1 РАЗРАБОТАН Открытым акционерным обществом "Всероссийский научно-исследовательский, проектно-конструкторский и технологический институт кабельной промышленности" (ОАО "ВНИИКП")
2 ВНЕСЕН Межгосударственным техническим комитетом по стандартизации МТК 046 "Кабельные изделия"
3 ПРИНЯТ Межгосударственным советом по стандартизации, метрологии и сертификации (протокол от 17 ноября 2023 г. N 167-П)
За принятие проголосовали:
Краткое наименование страны по МК (ИСО 3166) 004-97 | Код страны по МК (ИСО 3166) 004-97 | Сокращенное наименование национального органа по стандартизации |
Армения | AM | ЗАО "Национальный орган по стандартизации и метрологии" Республики Армения |
Беларусь | BY | Госстандарт Республики Беларусь |
Россия | RU | Росстандарт |
Таджикистан | TJ | Таджикстандарт |
Узбекистан | UZ | Узстандарт |
4
Приказом Федерального агентства по техническому регулированию и метрологии от 24 ноября 2023 г. N 1473-ст межгосударственный стандарт ГОСТ 27893-2023 введен в действие в качестве национального стандарта Российской Федерации с 1 января 2025 г.
Информация о введении в действие (прекращении действия) настоящего стандарта и изменений к нему на территории указанных выше государств публикуется в указателях национальных стандартов, издаваемых в этих государствах, а также в сети Интернет на сайтах соответствующих национальных органов по стандартизации.
В случае пересмотра, изменения или отмены настоящего стандарта соответствующая информация будет опубликована на официальном интернет-сайте Межгосударственного совета по стандартизации, метрологии и сертификации в каталоге "Межгосударственные стандарты"
Настоящий стандарт распространяется на кабели связи с металлическими жилами, предназначенные для работы в диапазоне низких и высоких частот (далее - кабели) и устанавливает методы проведения испытаний кабелей связи и элементов их конструкции.
В настоящем стандарте использованы нормативные ссылки на следующие межгосударственные стандарты:
ГОСТ 2990 Кабели, провода и шнуры. Методы испытания напряжением
ГОСТ 15150 Машины, приборы и другие технические изделия. Исполнения для различных климатических районов. Категории, условия эксплуатации, хранения и транспортирования в части воздействия климатических факторов внешней среды
ГОСТ 15845 Изделия кабельные. Термины и определения
Примечание - При пользовании настоящим стандартом целесообразно проверить действие ссылочных стандартов и классификаторов на официальном интернет-сайте Межгосударственного совета по стандартизации, метрологии и сертификации (www.easc.by) или по указателям национальных стандартов, издаваемым в государствах, указанных в предисловии, или на официальных сайтах соответствующих национальных органов по стандартизации. Если на ссылочный документ дана недатированная ссылка, то следует использовать документ, действующий на текущий момент, с учетом всех внесенных в него изменений. Если заменен ссылочный документ, на который дана датированная ссылка, то следует использовать указанную версию этого документа. Если после принятия настоящего стандарта в ссылочный документ, на который дана датированная ссылка, внесено изменение, затрагивающее положение, на которое дана ссылка, то это положение применяется без учета данного изменения. Если ссылочный документ отменен без замены, то положение, в котором дана ссылка на него, применяется в части, не затрагивающей эту ссылку.
В настоящем стандарте применены термины по
ГОСТ 15845, а также следующие термины с соответствующими определениями:
3.1 переходное затухание на ближнем конце A0: Разность между уровнем по мощности (напряжению) сигнала на ближнем конце влияющей пары и уровнем помехи на ближнем конце подверженной влиянию пары кабеля.
3.2 защищенность на дальнем конце Aз: Разность между уровнем по мощности (напряжению) сигнала на дальнем конце влияющей пары и уровнем помехи на дальнем конце подверженной влиянию пары кабеля.
3.3 входное сопротивление Zвх: Комплексная величина, равная отношению амплитуды напряжения к амплитуде тока на входе пары кабеля.
3.4 волновое сопротивление Z0: Среднее геометрическое значение модулей входных сопротивлений пары кабеля, измеренных в режимах "холостого хода" и "короткого замыкания".
3.5 влагонепроницаемость: Герметичность в продольном направлении.
4 Метод испытания на изгиб (метод 1)
4.1 Испытательное оборудование
Для проведения испытания кабелей на изгиб применяют цилиндрические стержни, диаметры которых должны соответствовать указанным в нормативной документации на кабели конкретных марок.
4.2 Подготовка к испытанию
4.2.1 Испытание проводят в нормальных климатических условиях по
ГОСТ 15150, если в нормативной документации на кабели конкретных марок не указано иное.
Перед проведением испытания образцы кабеля выдерживают в нормальных климатических условиях по
ГОСТ 15150 в течение не менее 1 ч, если в нормативной документации на кабели конкретных марок не указано другое время выдержки.
4.2.2 При необходимости перед проведением испытания проводят разделку образцов кабеля без повреждения испытуемых элементов конструкции.
4.3 Проведение испытания
4.3.1 Испытанию подвергают образцы кабелей длиной не менее 60-кратного наружного диаметра кабеля без удаления наружных покровов, если в нормативной документации на кабели конкретных марок не указано иное.
4.3.2 Цикл заключается в изгибании образцов кабелей полным витком сначала в одном направлении, затем, после выпрямления, в противоположном направлении таким образом, чтобы слои, растягиваемые в первом случае, были сжимаемы во втором.
4.3.3 Кабели со свинцовыми и гофрированными стальными и алюминиевыми оболочками подвергают трем циклам испытаний, с гладкими алюминиевыми и пластмассовыми оболочками - двум циклам.
4.4 Оценка результатов испытаний
Кабели считают выдержавшими испытание, если после изгибов и удаления всех наружных и защитных покровов оболочка образцов кабеля выдержала испытание на герметичность по методу 2-А.
Образец кабеля, не допускающий прокачку газа под давлением, считают выдержавшим испытание, если при внешнем осмотре на поверхности оболочки не обнаружено трещин, видимых без применения увеличительных приборов.
5 Методы определения герметичности кабельных оболочек (метод 2)
5.1 Испытательное оборудование
5.1.1 Метод 2-А
Манометр с пределом измерения до 0,6 МПа класса точности не ниже 1,0 и ценой деления не более 0,01 МПа.
5.1.2 Метод 2-Б
Установка для испытания переменным или импульсным электрическим напряжением на проход по
ГОСТ 2990.
5.2 Подготовка к испытаниям
Подготовку кабелей к испытаниям проводят по
4.2.
5.3 Проведение испытаний
5.3.1 Испытания проводят на строительных длинах кабелей, если в нормативной документации на кабели конкретных марок не указана другая длина кабеля.
5.3.2 Метод испытания кабельных оболочек (метод 2-А)
Для проверки герметичности кабельной оболочки, перед наложением или после наложения брони или защитного покрова, под оболочку кабеля необходимо ввести сухой инертный газ или сухой воздух под избыточным давлением от 0,08 до 0,12 МПа - для кабелей с пластмассовой или слоистой (металлопластмассовой) оболочками, от 0,2 до 0,5 МПа - для кабелей с металлической оболочкой, если в нормативной документации на кабели конкретных марок не указаны другие значения.
Инертный газ или воздух под давлением необходимо вводить до тех пор, пока манометр, установленный на дальнем герметично заделанном конце образца кабеля, не покажет заданное давление.
Допускается проверка герметичности оболочки на готовом изделии. Метод используется при разногласиях в оценке качества.
Примечание - Сухой инертный газ или воздух - это инертный газ или воздух, который дает изменение окраски мелкодисперсного индикатора типа "силикагель" до голубого цвета (для испытания кабелей с воздушно-бумажной изоляцией) и до серого цвета (для испытания кабелей с пластмассовой изоляцией).
5.3.3 Метод испытания пластмассовых оболочек и защитных шлангов (метод 2-Б)
Испытание проводят на кабелях с пластмассовой или металлопластмассовой оболочкой и/или защитным шлангом, имеющими экран, металлическую оболочку или броню.
Испытания проводят переменным или импульсным электрическим напряжением на проход по
ГОСТ 2990.
Пиковое значение испытательного напряжения должно соответствовать указанному в нормативной документации на кабели конкретных марок.
5.4 Оценка результатов испытаний
5.4.1 Метод 2-А
Оболочку кабеля считают герметичной, если после выравнивания давления в течение не менее 2 ч на конце кабеля (образца кабеля) при неизменной температуре давление остается постоянным в пределах погрешности используемого при испытании манометра.
5.4.2 Метод 2-Б
Пластмассовую оболочку или защитный шланг кабеля считают герметичными, если они выдержали испытание напряжением.
6 Методы измерения электрической емкости (метод 3)
6.1 Средства измерений
Для проведения измерений используют средства измерений, в том числе системы автоматического измерения параметров кабелей, обеспечивающие точность измерения с погрешностью:
+/- (2% измеренного значения плюс 50 пФ);
+/- (1% " " " 10 пФ);
+/- (1% " " " 5 пФ);
+/- (0,5% " " " 2 пФ).
При отсутствии в нормативной документации на кабели конкретных марок требований к погрешности измерения емкость должна быть измерена с погрешностью +/- (2% измеренного значения плюс 50 пФ).
6.2 Подготовка к измерениям
6.2.1 Подготовку кабелей к измерениям проводят по
4.2.
6.2.2 Способы разделки концов кабеля должны обеспечивать удобство измерения и отсутствие непредусмотренных контактов между жилами и электропроводящими покровами.
6.3 Проведение измерений
6.3.1 Измерение емкости симметричных, коаксиальных пар и одиночных жил строительных длин кабелей и образцов кабелей длиной не менее 5 м проводят на частоте 800 Гц.
Допускается проводить измерение на одной из частот в диапазоне от 10 до 2000 Гц.
6.3.2 При измерении электрической емкости измеряемая цепь должна быть подключена к зажимам средства измерения непосредственно или через соединительную линию.
Емкость соединительной линии должна быть скомпенсирована предварительным уравновешиванием или ее значение должно вычитаться из результата измерения.
Противоположный конец измеряемой цепи должен быть разомкнут. Экраны и металлическая оболочка кабеля должны быть заземлены.
6.3.3 Рабочая емкость симметричной пары должна быть измерена между токопроводящими жилами, принадлежащими к одной паре, причем измерительное напряжение должно быть приложено к измеряемой паре симметрично по отношению к экрану или металлической оболочке.
При измерении рабочей емкости соединительная линия должна быть симметричной, токопроводящие жилы, не участвующие при измерении, должны быть изолированы от земли, если в нормативной документации на кабели конкретных марок не установлены другие требования.
6.3.4 Емкость коаксиальной пары должна быть измерена между внутренним и внешним проводниками коаксиальной пары.
При измерении емкости коаксиальных пар все остальные цепи и проводники, не участвующие при измерении, должны быть заземлены.
6.3.5 При отсутствии в конструкции кабеля металлической оболочки, экрана или брони испытуемый образец должен быть помещен в специальный бак с водой, соединенной с землей, если в нормативной документации на кабели конкретных марок не указано другое требование.
Емкость кабелей измеряют между жилой и всеми остальными жилами, соединенными вместе, а емкость кабелей парной и четверочной скрутки измеряют между жилами в парах.
6.3.6 Емкость одножильного провода (одиночной жилы) измеряют после погружения его в бак с водой, соединенный с землей, между жилой и водой, если в нормативной документации на провода или кабели конкретных марок не указано иное.
6.4 Обработка и оценка результатов измерений
6.4.1 Пересчет емкости C, нФ, на 1 км длины кабеля должен быть проведен по формуле

(1)
где CИ - измеренная емкость кабеля, нФ;
lu - длина измеряемого кабеля, м.
6.4.2 Округление результатов измерений должно быть проведено до того десятичного знака, с которым указаны требуемые значения.
Для округления действуют следующие правила: если после десятичного знака, до которого следует округлять, стоят цифры 0; 1; 2; 3 или 4, то десятичный знак остается без изменения; если после десятичного знака, до которого следует округлять, стоят цифры 5; 6; 7; 8; 9, то он увеличивается на единицу.
6.4.3 Кабель считают выдержавшим испытание, если пересчитанные значения емкости соответствуют указанным в нормативной документации на кабели конкретных марок.
7 Метод измерения емкостных связей и емкостной асимметрии (метод 4)
7.1 Средства измерений
7.1.1 Измерение емкостных связей и емкостной асимметрии проводят средством измерения типа ИЕА (измеритель емкостной асимметрии) или другими аналогичными средствами измерений, в том числе системами автоматического измерения параметров кабелей.
Частота тока измерения должна быть в пределах от 10 до 2000 Гц.
7.1.2 Неавтоматизированное средство измерения с учетом экранированных шнуров должно обеспечивать измерение с погрешностью:
+/- 4 пФ в диапазоне измерения до 200 пФ;
+/- 10 пФ в диапазоне измерения от 200 до 400 пФ включительно;
+/- (2% измеренного значения плюс 2 пФ) в диапазоне измерения свыше 400 пФ.
7.1.3 Автоматическое устройство должно обеспечивать измерение с погрешностью +/- (2% измеренного значения плюс 5 пФ).
7.2 Подготовка к измерениям
Подготовку кабелей к измерениям проводят по
4.2 и
6.2.2.
7.3 Проведение измерений
7.3.1 Измерение емкостных связей и емкостной асимметрии симметричных кабелей связи проводят на строительных длинах.
Метод может быть применен для измерения на шагах симметрирования при строительстве кабельных линий связи.
Виды емкостных связей и емкостной асимметрии симметричных цепей кабелей связи и их обозначения приведены в
приложении А.
Виды измеряемых цепей и их обозначения приведены в
приложении Б.
7.3.2 Перед измерениями должна быть проведена начальная балансировка схемы измерителя вместе с включенными экранированными шнурами, экраны которых должны быть заземлены. Зажимы на концах шнуров должны обеспечивать надежный электрический контакт.
7.3.3 При измерении емкостной связи и емкостной асимметрии жилы измеряемых элементов скрутки (пар, четверок) должны быть подключены к зажимам средств измерения в соответствии с имеющейся на измерителе маркировкой и обозначениями, указанными в
приложении Б.
7.3.4 При измерении емкостных связей K, K1 - K12 и полной емкостной асимметрии по отношению к земле e, e1, e2, e3 металлическая оболочка, экран и броня должны быть заземлены. Токопроводящие жилы, не участвующие в измерении, должны быть разомкнуты.
7.3.5 При измерении частичной емкостной асимметрии по отношению к земле ea, ea1, ea2, ea3 свободные жилы испытуемого элемента кабеля и все остальные жилы кабеля, не участвующие в измерении, должны быть подключены к средней точке дифференциального трансформатора средства измерения. Металлическая оболочка, экран и броня должны быть заземлены.
7.4 Обработка и оценка результатов измерений
7.4.1 Пересчет емкостных связей K, пФ, и емкостной асимметрии e, пФ, на нормированную строительную длину кабеля должен быть проведен по формуле

(2)
где K(e)u - измеренное значение, пФ;
lн - нормированная строительная длина кабеля, м.
7.4.2 Округление результатов измерений - по
6.4.2.
7.4.3 Кабели считают выдержавшими испытание, если пересчитанные значения коэффициентов емкостных связей и емкостной асимметрии соответствуют указанным в нормативной документации на кабели конкретных марок.
8 Метод измерения переходного затухания на ближнем конце кабеля и защищенности на дальнем конце кабеля между цепями симметричных кабелей (метод 5)
8.1 Отбор образцов
Для измерений должны быть отобраны строительные длины кабелей, в измерительных цепях которых отсутствуют обрывы жил, экрана и брони, а также контакты между жилами, между жилами и экраном, между экраном и броней.
8.2 Средства измерений
8.2.1 Для измерения применяют средства измерений, в том числе системы автоматического измерения параметров кабелей, обеспечивающие процесс измерений в требуемом диапазоне измерительных частот на любой частоте или на фиксированных частотах, а также в требуемом диапазоне измеряемых параметров с симметрирующими устройствами для подключения измеряемых цепей и обеспечивающими применение нагрузок, с сопротивлениями, соответствующими волновому сопротивлению измеряемых цепей.
8.2.2 Для соединения приборов между собой и с измерительными цепями должны применяться экранированные шнуры.
8.2.3 Комплект приборов для измерения переходных затуханий и защищенности должен иметь погрешность измерения:
+/- 2 дБ в диапазоне измерения до 90 дБ включительно;
+/- 3 дБ в диапазоне измерения свыше 90 дБ.
8.3 Подготовка к измерениям
Подготовку кабелей к измерениям проводят по
4.2 и
6.2.2.
8.4 Проведение измерений
8.4.1 Измерения переходного затухания на ближнем конце кабеля и защищенности на дальнем конце кабеля между цепями проводят методом сравнения или другими аналогичными по назначению методами. Схема подключения измеряемого объекта должна соответствовать указанной в инструкции по эксплуатации применяемого прибора. Обозначения видов переходных затуханий и защищенности между цепями приведены в
приложении В.
8.4.1.1 Переходное затухание на ближнем конце
A0 между парами кабеля определяют по схеме, приведенной на
рисунке 1.
1 - анализатор цепей или генератор сигналов; 2 - анализатор
цепей или измерительный приемник; 3 - симметрирующий
трансформатор; 4 - измеряемый кабель; RH - безындуктивное
сопротивление; lu - длина измеряемого кабеля;
P1n (U1n) - мощность (напряжение) сигнала на ближнем конце
влияющей пары; P2n (U2n) - мощность (напряжение) сигнала
на ближнем конце подверженной влиянию пары
Рисунок 1 - Схема измерения переходного затухания
на ближнем конце между парами кабеля
Переходное затухание на ближнем конце A0, дБ, вычисляют по формуле

(3)
где P1n (U1n) - мощность (напряжение) сигнала на ближнем конце влияющей пары, Вт (В);
P2n (U2n) - мощность (напряжение) сигнала на ближнем конце подверженной влиянию пары, Вт (В);
Z1 и Z2 - номинальные волновые сопротивления влияющей и подверженной влиянию пары соответственно, Ом.
8.4.1.2 Защищенность на дальнем конце A3 между парами кабеля определяют по результатам измерения переходного затухания на дальнем конце Af между парами кабеля.
Переходное затухание на дальнем конце
Af определяют по схеме, приведенной на
рисунке 2.
1 - анализатор цепей или генератор сигналов; 2 - анализатор
цепей или измерительный приемник; 3 - симметрирующий
трансформатор; 4 - измеряемый кабель; RH - безындуктивное
сопротивление; lu - длина измеряемого кабеля;
P1n (U1n) - мощность (напряжение) сигнала на ближнем конце
влияющей пары; P2f (U2f) - мощность (напряжение) сигнала
на дальнем конце подверженной влиянию пары
Рисунок 2 - Схема измерений переходного затухания
на дальнем конце между парами кабеля
Переходное затухание на дальнем конце Af, дБ, между парами кабеля вычисляют по формуле

(4)
где P1n (U1n) - мощность (напряжение) сигнала на ближнем конце влияющей пары, Вт (В);
P2f (U2f) - мощность (напряжение) сигнала на дальнем конце подверженной влиянию пары, Вт (В).
Защищенность на дальнем конце A3, дБ, вычисляют по формуле

(5)
где

- затухание влияющей пары, дБ.
8.4.2 При измерении влияющие и подверженные влиянию цепи кабеля должны быть нагружены безындуктивными сопротивлениями с допустимым отклонением +/- 5%, помещенными в экранирующие корпуса.
Значения нагрузочных сопротивлений должны быть указаны в нормативной документации на кабели конкретных марок или установлены расчетным путем.
8.4.3 Токопроводящие покровы, металлические кабельные оболочки, экраны цепей и сердечников, корпуса приборов и нагрузочных сопротивлений, экраны приспособлений и оплетки измерительных шнуров должны быть соединены друг с другом перемычками минимальной длины и заземлены. Все остальные цепи, не участвующие в измерении, должны находиться в режиме холостого хода.
8.4.4 Диапазон частот или фиксированные частоты, на которых проводят измерения, должны быть указаны в нормативной документации на кабели конкретных марок.
8.5 Обработка и оценка результатов измерений
8.5.1 Округление результатов измерений проводят по
6.4.2.
8.5.2 Если длина испытуемых образцов отличается от нормированной, то к нормированному значению измеряемого параметра добавляют поправку, указанную в нормативной документации на кабели конкретных марок, и результаты измерений с учетом поправки, указанной выше, сопоставляют с вычисленным значением.
8.5.3 Кабели считают выдержавшими испытание, если полученные значения переходных затуханий и защищенности соответствуют указанным в нормативной документации на кабели конкретных марок.
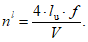
9 Метод определения волнового сопротивления, коэффициента затухания и коэффициента фазы симметричных кабелей (метод 6)
9.1 Средства измерений
Измерение проводят средствами для измерения входного сопротивления или входной проводимости.
Погрешность измерения должна быть определена классом точности применяемых средств измерений, если в нормативной документации на кабели конкретных марок не указаны другие требования.
9.2 Подготовка к измерениям
Подготовку кабелей к измерениям проводят по
4.2 и
6.2.2.
9.3 Проведение измерений
9.3.1 Определение волнового сопротивления, коэффициента затухания и коэффициента фазы проводят методом холостого хода и короткого замыкания с последующим определением волнового сопротивления, коэффициента затухания и коэффициента фазы.
9.3.2 Допускается проводить измерения другими равноценными методами и средствами измерений, в том числе системами автоматического измерения параметров кабелей, при этом методика измерений должна быть указана в нормативной документации на кабели конкретных марок.
9.3.3 Измерения проводят на строительных длинах кабелей, в измеряемых цепях которых отсутствуют обрывы жил, экрана и брони, а также контакты между жилами, между жилами и экраном, между экраном и броней, если в нормативной документации на кабели конкретных марок не указаны другие требования.
9.3.4 Измерение комплексных входных сопротивлений и комплексных входных проводимостей холостого хода и короткого замыкания проводят с учетом мест отражения, образующихся в зависимости от длины кабеля и частоты измерения.
9.3.5 Диапазон частот или измерительные частоты, на которых проводят измерения, должны быть указаны в нормативной документации на кабели конкретных марок.
9.4 Обработка результатов измерений
9.4.1 По значениям комплексных входных сопротивлений холостого хода

, Ом, и короткого замыкания

, Ом, или комплексных входных проводимостей холостого хода

, Сим, и короткого замыкания

, Сим, должно быть определено комплексное волновое сопротивление

, Ом, коэффициенты затухания

и фазы

по формулам:

(6)

(7)
| | ИС МЕГАНОРМ: примечание. Обозначения даны в соответствии с официальным текстом документа. | |
где

- комплексное входное сопротивление холостого хода, Ом;

- комплексное входное сопротивление короткого замыкания, Ом;
Yх.х - комплексная входная проводимость холостого хода, Сим;

- комплексная входная проводимость короткого замыкания, Сим;
g - комплексная постоянная распространения;

(8)

(9)

(10)

(11)
где Gх.х, Gк.з - входные проводимости пары в режимах холостого хода и короткого замыкания, Сим;
Cх.х, Cк.з - входные емкости пары в режимах холостого хода и короткого замыкания, Ф (с учетом знака);
Rх.х, Rк.з - активные составляющие входного сопротивления пары в режимах холостого хода и короткого замыкания, Ом;
Xх.х, Xк.з - реактивные составляющие входного сопротивления пары в режимах холостого хода и короткого замыкания, Ом (с учетом знака).
Значения коэффициентов затухания

и фазы

должны быть пересчитаны на 1 км длины кабеля и температуру 20 °C и указаны в виде:

- коэффициент затухания, дБ/км,

- коэффициент фазы, рад/км.
Коэффициент затухания

, дБ/км, при температуре проведения измерений
t определяют по формуле

(12)
При измерении комплексных входных сопротивлений параметры
T и

, рад,

, рад,

, рад, рассчитывают по формулам:

(13)

(14)

(15)

(16)
При измерении комплексных входных проводимостей параметры
T и

, рад,

, рад,

, рад, рассчитывают по формулам:

(17)

(18)

(19)

(20)

(21)
где lu - длина измеряемого кабеля (линии), км;
f - частота, Гц.
Коэффициент затухания

, дБ/км, пары кабеля при температуре 20 °C вычисляют по формуле

(22)
где

- температурный коэффициент коэффициента затухания, 1/°C.
Значения температурного коэффициента, коэффициента затухания должны быть указаны в нормативной документации на кабели конкретных марок.
Коэффициент фазы

, рад/км, вычисляют по формуле

(23)
где n - это целое число.
Ориентировочное значение nl вычисляют по формуле

(24)
Значение n выбирают по nl, округлив его до целого большего,
где V - скорость распространения сигнала по кабелю, км/с,
V - 190000 км/с.
Модуль волнового сопротивления ZB, Ом, вычисляют по формулам:
при измерении комплексных входных сопротивлений

(25)
при измерении комплексных входных проводимостей

(26)
Угол волнового сопротивления

, рад, вычисляют по формулам:
при измерении комплексных входных сопротивлений

(27)
при измерении комплексных входных проводимостей

(28)
9.4.2 Округление результатов измерений проводят по
6.4.2.
9.4.3 Полученные результаты должны быть сопоставлены со значениями, указанными в нормативной документации на кабели конкретных марок, и при необходимости изображены графически.
10 Метод измерения индуктивности (метод 7)
10.1 Средства измерений
Для проведения измерений используют средства измерений, обеспечивающие точность измерения с погрешностью не более +/- 1%.
10.2 Подготовка к измерениям
Подготовку кабелей к измерениям проводят по
4.2 и
6.2.2.
10.3 Проведение измерений
10.3.1 Измерение индуктивности шлейфа (цепи) двух жил пары строительных длин кабелей и образцов кабелей длиной не менее 5 м проводят на частотах 800 или 1000 Гц.
Измерение проводят в автоматическом режиме с усреднением за 10 измерительных циклов.
Для получения экспертной оценки допускается проведение измерений в режиме ручного одиночного измерения.
10.3.2 Измерения между двумя токопроводящими жилами, принадлежащими к одной паре, проводят по двухзажимной схеме. Жилу с условным обозначением "а" подключают к одному зажиму средства измерений, жилу с условным обозначением "б" подключают к другому зажиму средства измерений, а на дальнем конце кабеля жилы замыкают между собой.
При измерении индуктивности шлейфа токопроводящие жилы, не участвующие в измерении, экраны, металлические оболочки и броня (при их наличии) должны быть изолированы от земли.
10.4 Обработка и оценка результатов измерений
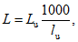
10.4.1 Пересчет индуктивности шлейфа L, Гн, на 1 км длины кабеля проводят по формуле

(29)
где Lu - измеренная индуктивность шлейфа, Гн;
lu - длина измеряемого кабеля, км.
10.4.2 Округление результатов измерений проводят по
6.4.2.
10.4.3 Кабели считают выдержавшими испытание, если пересчитанные значения индуктивности соответствуют указанным в нормативной документации на кабели конкретных марок.
11 Метод определения идеального коэффициента защитного действия (метод 8)
11.1 Средства измерений
11.1.1 Для проведения измерений используют установку, включающую в себя:
- источник напряжения с коэффициентом амплитуды

;
- регулируемый трансформатор;
- прибор для измерения эффективных значений синусоидальных переменных напряжений (милливольтметр) классом точности не ниже 2,5.
Допускается проводить измерения другими равноценными средствами измерений.
11.1.2 Схема измерительной установки для определения идеального коэффициента защитного действия приведена на
рисунке 3.
1 и 2 - токовые зажимы; 3, 4 и 5 - потенциальные зажимы;
6 - любая измеряемая жила кабеля; 7 - остальные жилы кабеля,
изолированные друг от друга и от кабельной оболочки;
8 - металлическая оболочка; 9 и 11 - кольцевые электроды;
10 - броня; 12 - точка соединения измеряемой жилы 6
с измерительным проводом M и металлической оболочкой 8;
S - токовый провод; M - измерительный провод, изолированный
от токового провода S; a - аксиальное расстояние
между продольной осью кабеля и токовым проводом S;
T - регулируемый трансформатор для высоких токовых нагрузок
Рисунок 3 - Схема измерительной установки
11.1.3 Погрешность измерительной установки должна быть не более 10%.
11.2 Подготовка к измерениям
Подготовку кабелей к измерениям проводят по
4.2 и
6.2.2.
11.3 Проведение измерений
11.3.1 Ток, имитирующий внешние помехи на кабель, подводят к металлическим покровам кабеля (оболочке, броне и дополнительным металлическим элементам) и регулируют так, чтобы можно было установить регламентированное нормативной документацией на кабели конкретных марок напряжение на металлических покровах UH = U3,4. При этом необходимо, чтобы к точкам 1 и 2 для всех применяемых нагрузок было приложено синусоидальное напряжение.
Кривая напряжения считается синусоидальной, если ни одно из ее мгновенных значений не отличается от мгновенных значений той же фазы основной волны (первой гармоники) более чем на 10%.
11.3.2 Ток от трансформатора T должен быть подведен к кольцевым электродам кабеля. Кольцевые электроды из медной проволоки должны иметь хороший электрический контакт со всеми элементами металлических покровов кабеля. Сечение кольцевых электродов должно быть не менее 20 мм2.
Провод
S и измерительный провод
M (см.
рисунок 3) должны быть расположены близко друг от друга, так, чтобы они вместе с отрезком кабеля образовывали два прямоугольных контура (контур "кабельная оболочка - токовый провод" и контур "кабельная оболочка - измерительный провод"), взаимоиндукция которых воспроизводит наружную индуктивность кабеля, проложенного в земле.
Величина индуктивности должна быть порядка 2 мГн, пересчитанная на 1 км длины кабеля, если в нормативной документации на кабели конкретных марок не указано другое. Такая величина индуктивности получается при аксиальном расстоянии a = 400 мм (от продольной оси кабеля до токового провода) для шлейфа измерительного устройства.
В качестве провода S для малых сил тока может быть применена 19-проволочная медная жила общим сечением не менее 50 мм2, у которой в наружном повиве имеется одна медная изолированная жила, применяемая в качестве измерительного провода.
При больших силах тока токовый провод может состоять из двух параллельно расположенных плоских медных шин, расстояние между которыми приблизительно должно быть равно толщине шины. Между шинами располагается изолированный измерительный провод M. Аксиальное расстояние a в этом случае выбирают таким, чтобы индуктивность шлейфа была порядка 2 мГн, пересчитанная на 1 км длины кабеля. Индуктивность шлейфа измеряют в соответствии с разделом 10.
Измеряемая жила кабеля должна быть соединена с точкой 5 на одном конце образца кабеля и с точкой 12 на другом конце, причем соединение с точкой 12 должно быть произведено кратчайшим путем.
Все остальные жилы должны быть изолированы друг от друга и от металлических покровов кабеля.
11.3.3 С помощью измерительного устройства должны быть измерены напряжения UA = U3,5 и UH = U3,4.
Значения напряжений UH и измерительные частоты должны быть указаны в нормативной документации на кабели конкретных марок.
11.4 Обработка и оценка результатов измерений
11.4.1 Идеальный коэффициент защитного действия (ИКЗД) должен быть определен из соотношения соответствующих значений напряжения по формуле

(30)
где UA - напряжение на измеряемой жиле образца кабеля, мВ;
UH - напряжение на металлических покровах образца кабеля, мВ.
В случае необходимости значения ИКЗД изображают в виде графика зависимости от продольной э.д.с. на оболочке f(Eобол)
ИКЗД = f(Eобол). (31)
Продольную э.д.с. на оболочке Eобол, В/км, рассчитывают по формуле

(32)
где UH - напряжение на металлических покровах образца кабеля, В;
lu - длина образца кабеля, км.
11.4.2 Округление результатов измерений проводят по
6.4.2.
11.4.3 Кабели считают выдержавшими испытание, если рассчитанные значения ИКЗД соответствуют указанным в нормативной документации на кабели конкретных марок.
12 Метод определения адгезии между слоями слоистой (металлопластмассовой) оболочки (метод 9)
12.1 Испытательное оборудование
Для проведения испытания применяют разрывную машину с записывающим устройством.
12.2 Подготовка к испытанию
12.2.1 Подготовку образцов к испытанию проводят по
4.2.
12.2.2 Образцы для испытания прямоугольной формы длиной не менее 150 мм, шириной не менее 15 мм, если в нормативной документации на кабели конкретных марок не указаны другие требования, должны быть вырезаны из оболочки готового кабеля в продольном направлении за одну операцию с помощью вырезного штампа или дисковой пилы с тонкорежущим полотном. При этом образцы, вырезанные из оболочки, не должны иметь перекрытий алюминиевой ленты.
С одного конца испытуемого образца алюминиевая лента при помощи специального растворителя или механическим путем должна быть отделена от оболочки на расстоянии не менее 50 мм, если в нормативной документации на кабели конкретных марок не указано другое.
12.3 Проведение испытаний
Подготовленные образцы должны быть последовательно закреплены отслоенным концом алюминиевой ленты в верхнем зажиме разрывной машины и концом оболочки без алюминиевой ленты в нижнем зажиме.
Затем зажимы раздвигают со скоростью (100 +/- 50) мм/мин до отделения алюминиевой ленты от оболочки.
На пути отслоения, равном не менее 100 мм, в процессе растяжения у каждого образца должна быть измерена сила отслоения, необходимая для отделения алюминиевой ленты от оболочки.
12.4 Оценка результатов испытания
Образец считают выдержавшим испытание, если рассчитанное из трех измерений среднее значение силы отслаивания не ниже значения, установленного в нормативной документации на кабели конкретных марок.
13 Методы испытаний на влагонепроницаемость кабелей (метод 10)
13.1 Испытательное оборудование
13.1.1 Метод 10-А
Для испытания применяют устройство, схема которого приведена на
рисунке 4.
1 - колпак; 2 - вода; 3 - кабель
Рисунок 4 - Испытательное устройство
13.1.2 Метод 10-Б
Для испытания применяют устройство, схема которого приведена на
рисунке 5.
1 - вода; 2 - уплотнение; 3 - кабель
Рисунок 5 - Испытательное устройство
13.2 Подготовка к испытаниям
13.2.1 Подготовку образцов к испытаниям проводят по
4.2.
13.2.2 Многопроволочные жилы кабеля должны быть загерметизированы соответствующим материалом на обоих концах кабеля.
13.3 Проведение испытаний
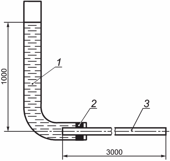
13.3.1 Метод испытания на влагонепроницаемость сердечника кабеля (метод 10-А)
На образце кабеля длиной не менее 3100 мм, предназначенном для испытания, на длине (3000 +/- 5) мм от конца образца должна быть вырезана и удалена по всему периметру на длине (25 +/- 1) мм пластмассовая, металлопластмассовая или металлическая оболочка и покрытие поверх скрученного сердечника кабеля. Поверхности среза должны быть загерметизированы соответствующим материалом так, чтобы перекрывался вырез оболочки и предотвращалось распространение воды между сердечником и другими элементами конструкции кабеля.
Испытуемый образец должен быть расположен горизонтально.
Образец кабеля, подготовленный к испытанию, должен быть подвергнут действию водяного столба высотой 1 м в течение 24 ч при температуре (20 +/- 5) °C, если в нормативной документации на кабели конкретных марок не указаны другие условия испытания.
13.3.2 Метод испытания на влагонепроницаемость кабеля (метод 10-Б)
Образец кабеля длиной (3000 +/- 5) мм должен быть присоединен одним концом к испытательному устройству. При этом присоединение должно быть выполнено таким образом, чтобы был свободный доступ воды под оболочку кабеля.
Испытуемый образец должен быть расположен горизонтально.
Образец кабеля, подготовленный к испытанию, должен быть подвергнут действию водяного столба высотой 1 м в течение 24 ч, если в нормативной документации на кабели конкретных марок не указано иное.
13.3.3 Допускается применение других равноценных методов испытаний на влагонепроницаемость, при этом метод испытаний должен быть указан в нормативной документации на кабели конкретных марок.
13.4 Оценка результатов испытаний
13.4.1 Метод 10-А
Кабели считают выдержавшими испытания, если при внешнем осмотре на свободном конце образца кабеля не обнаружено просачивание воды.
13.4.2 Метод 10-Б
Кабели считают выдержавшими испытание, если при внешнем осмотре на свободном конце образца кабеля не обнаружено просачивание воды.
(справочное)
ВИДЫ ЕМКОСТНЫХ СВЯЗЕЙ И ЕМКОСТНОЙ АСИММЕТРИИ
СИММЕТРИЧНЫХ ЦЕПЕЙ КАБЕЛЕЙ СВЯЗИ
Таблица А.1
Виды емкостных связей и емкостной асимметрии симметричных
цепей кабелей связи
Участвующие элементы скрутки | Вид связи | Обозначение |
I Емкостные связи |
1 Пары I и II | Емкостная связь между парами I и II | K |
2 Четверка с основными цепями I1 и I2 | Емкостная связь между первой и второй основными цепями четверки I1/I2 | K1 |
Емкостная связь между первой основной цепью и искусственной цепью четверки I1/И | K2 |
Емкостная связь между второй основной цепью и искусственной цепью четверки I2/И | K3 |
3 Одна пара I и одна четверка с основными цепями I1 и I2 | Емкостная связь между парой и искусственной цепью четверки I/И | K5 |
Емкостная связь между парой и первой основной цепью четверки I/I1 | K9 |
Емкостная связь между парой и второй основной цепью четверки I/I2 | K10 |
4 Четверка I с основными цепями I1 и I2 и четверка II с основными цепями II1 и II2 | Емкостная связь между искусственной цепью четверки I и искусственной цепью четверки II И1/И2 | K4 |
Емкостная связь между первой основной цепью четверки I и искусственной цепью четверки II I1/И2 | K5 |
Емкостная связь между второй основной цепью четверки I и искусственной цепью четверки II I2/И2 | K6 |
Емкостная связь между искусственной цепью четверки I и первой основной цепью четверки II И1/II1 | K7 |
Емкостная связь между искусственной цепью четверки I и второй основной цепью четверки II И1/II2 | K8 |
Емкостная связь между первой основной цепью четверки I и первой основной цепью четверки II I1/II1 | K9 |
Емкостная связь между первой основной цепью четверки I и второй основной цепью четверки II I1/II2 | K10 |
Емкостная связь между второй основной цепью четверки I и первой основной цепью четверки II I2/II1 | K11 |
Емкостная связь между второй основной цепью четверки I и второй основной цепью четверки II I2/II2 | K12 |
II Полная емкостная асимметрия по отношению к земле |
1 Одна пара | Полная емкостная асимметрия пары по отношению к земле | e |
2 Четверка с основными цепями | Полная емкостная асимметрия первой основной цепи четверки по отношению к земле | e1 |
Полная емкостная асимметрия второй основной цепи четверки по отношению к земле | e2 |
Полная емкостная асимметрия искусственной цепи четверки по отношению к земле | e3 |
III Частичная емкостная асимметрия по отношению к земле (внешняя) |
1 Одна пара | Частичная емкостная асимметрия пары по отношению к земле | ea |
2 Четверка с основными цепями | Частичная емкостная асимметрия первой основной цепи четверки по отношению к земле | ea1 |
Частичная емкостная асимметрия второй основной цепи четверки по отношению к земле | ea2 |
Частичная емкостная асимметрия искусственной цепи четверки по отношению к земле | ea3 |
(справочное)
ВИДЫ ИЗМЕРЯЕМЫХ ЦЕПЕЙ И ИХ ОБОЗНАЧЕНИЯ
Б.1 Любая звездная (или двойная парная) четверка имеет три симметричные цепи, из которых одну цепь образует первая пара четверки (красная и натуральная жилы), обозначаемая I1.
Вторую цепь образует вторая пара четверки (синяя и зеленая жилы), обозначаемая I2.
Третью цепь, обозначаемую И (искусственная), образуют первая и вторая пары четверки, причем первая пара образует прямой, а вторая пара - обратный провод искусственной цепи.
Б.2 При измерении двух пар создают две цепи: первую цепь, обозначаемую I, образует пара I; вторую цепь, обозначаемую II, образует пара II.
Б.3 При измерении одной пары и одной четверки создают четыре цепи: первую цепь, обозначаемую I, образует одна пара I; вторую цепь, обозначаемую I1, образует первая пара четверки (красная и натуральная жилы); третью цепь, обозначаемую I2, образует вторая пара четверки (синяя и зеленая жилы); четвертую цепь, обозначаемую И (искусственная), образуют первая и вторая пары четверки, причем первая пара образует прямой, а вторая - обратный провод искусственной цепи.
Б.4 При измерении двух четверок I и II создают шесть цепей:
- первую цепь, обозначаемую I1, образует первая пара четверки I (красная и натуральная жилы);
- вторую цепь, обозначаемую I2, образует вторая пара четверки I (синяя и зеленая жилы);
- третью цепь, обозначаемую И1 (искусственная), образуют первая и вторая пара четверки I, причем первая пара образует прямой, а вторая - обратный провод искусственной цепи;
- четвертую цепь, обозначаемую II1, образует первая пара четверки II (красная и натуральная жилы);
- пятую цепь, обозначаемую II2, образует вторая пара четверки II (синяя и зеленая жилы);
- шестую цепь, обозначаемую И2 (искусственная), образуют первая и вторая пара четверки II, причем первая пара образует прямой, а вторая - обратный провод искусственной цепи.
Допускаются другие сочетания цветов изоляции жил в парах, если это указано в нормативной документации на кабели конкретных марок.
(справочное)
ВИДЫ ПЕРЕХОДНЫХ ЗАТУХАНИЙ И ЗАЩИЩЕННОСТИ И ИХ ОБОЗНАЧЕНИЯ
Таблица В.1
Виды переходных затуханий и защищенности и их обозначения
Виды переходных затуханий и защищенности | Обозначение |
Переходное затухание на ближнем конце между влияющей основной цепью I1 и подверженной влиянию основной цепью I2 внутри четверки или между цепями парной скрутки | |
Переходное затухание на ближнем конце между влияющими основными цепями четверки I и подверженными влиянию основными цепями четверки II (  - I цепь I четверки I на I цепь II четверки,  - I цепь I четверки на II цепь II четверки и т.д.) |  до  |
Защищенность на дальнем конце между влияющей основной цепью I1 и подверженной влиянию основной цепью I2 внутри четверки или между цепями парной скрутки | |
Защищенность на дальнем конце между влияющими основными цепями четверки I и подверженными влиянию основными цепями четверки II |  до  |
УДК 621.315.2:006.354 | |
Ключевые слова: кабели связи, метод, испытание, измерение, изгиб, герметичность, емкость, емкостные связи, емкостная асимметрия, переходное затухание, защищенность, волновое сопротивление, коэффициент затухания, индуктивность, идеальный коэффициент защитного действия, адгезия, влагонепроницаемость |