Главная // Актуальные документы // ГОСТ (Государственный стандарт)СПРАВКА
Источник публикации
М.: Издательство стандартов, 1988
Примечание к документу
Документ утратил силу на территории Российской Федерации с 01.01.2021 в связи с изданием
Приказа Росстандарта от 29.07.2020 N 426-ст. Взамен введен в действие
ГОСТ Р 58943-2020.
Документ включен в
Перечень документов в области стандартизации, в результате применения которых на добровольной основе обеспечивается соблюдение требований Федерального
закона от 30.12.2009 N 384-ФЗ "Технический регламент о безопасности зданий и сооружений" (
Приказ Росстандарта от 02.04.2020 N 687).
Документ включен в
Перечень документов в области стандартизации, в результате применения которых на добровольной основе обеспечивается соблюдение требований Федерального
закона от 30.12.2009 N 384-ФЗ "Технический регламент о безопасности зданий и сооружений" (
Приказ Росстандарта от 17.04.2019 N 831).
Документ включен в
Перечень документов в области стандартизации, в результате применения которых на добровольной основе обеспечивается соблюдение требований Федерального
закона от 30.12.2009 N 384-ФЗ "Технический регламент о безопасности зданий и сооружений" (
Приказ Росстандарта от 30.03.2015 N 365).
Документ включен в
Перечень национальных стандартов, в результате применения которых на добровольной основе обеспечивается соблюдение требований Федерального
закона от 30.12.2009 N 384-ФЗ "Технический регламент о безопасности зданий и сооружений" (
Приказ Ростехрегулирования от 01.06.2010 N 2079).
С 1 июля 2003 года до вступления в силу технических регламентов акты федеральных органов исполнительной власти в сфере технического регулирования носят рекомендательный характер и подлежат обязательному исполнению только в части, соответствующей целям, указанным в
пункте 1 статьи 46 Федерального закона от 27.12.2002 N 184-ФЗ.
Введен в действие с 01.01.1980.
Название документа
"ГОСТ 23616-79* (СТ СЭВ 4234-83). Система обеспечения точности геометрических параметров в строительстве. Контроль точности"
(введен в действие Постановлением Госстроя СССР от 12.04.1979 N 55)
(ред. от 01.05.1984)
"ГОСТ 23616-79* (СТ СЭВ 4234-83). Система обеспечения точности геометрических параметров в строительстве. Контроль точности"
(введен в действие Постановлением Госстроя СССР от 12.04.1979 N 55)
(ред. от 01.05.1984)
Постановлением Госстроя СССР
от 12 апреля 1979 г. N 55
ГОСУДАРСТВЕННЫЙ СТАНДАРТ СОЮЗА ССР
СИСТЕМА ОБЕСПЕЧЕНИЯ ТОЧНОСТИ
ГЕОМЕТРИЧЕСКИХ ПАРАМЕТРОВ В СТРОИТЕЛЬСТВЕ
КОНТРОЛЬ ТОЧНОСТИ
System for ensuring accuracy of geometrical
parameters in construction. Control of accuracy
ГОСТ 23616-79*
(СТ СЭВ 4234-83)
| | Список изменяющих документов (в ред. Изменения N 1, утв. в мае 1984 г.) | |
Постановлением Государственного комитета СССР по делам строительства от 12 апреля 1979 г. N 55 срок введения установлен с 01.01.1980.
Переиздание (май 1988 г.) с Изменением N 1, утвержденным в мае 1984 г. (ИУС 9-84).
Настоящий стандарт распространяется на строительство зданий и сооружений, изготовление элементов для них (конструкций, изделий, деталей) и устанавливает основные правила и методы контроля точности геометрических параметров.
Правила контроля точности геометрических параметров конкретных видов конструкций зданий и сооружений и их элементов, а также выполняемых работ назначают на основе настоящего стандарта в соответствующих стандартах или в других нормативно-технических, а также технологических документах.
Применяемые в стандарте термины по статистическому контролю соответствуют приведенным в
ГОСТ 15895-77.
Стандарт соответствует СТ СЭВ 4234-83 (см. справочное
Приложение 1а).
(Измененная редакция, Изм. N 1).
1.1. Контроль точности геометрических параметров является обязательной составной частью контроля качества и производится посредством сопоставления действительных значений параметров или характеристик точности с установленными.
1.2. В процессе производства на предприятиях и в строительных организациях следует выполнять входной, операционный и приемочный контроль точности.
1.3. Контроль точности должен обеспечивать:
определение с заданной вероятностью соответствия точности геометрических параметров требованиям нормативно-технической, технологической и проектной документации на объекты контроля;
получение необходимой информации для оценки и регулирования точности технологических процессов.
(Измененная редакция, Изм. N 1).
1.4. Контролю точности подлежат:
геометрические параметры элементов и параметры, определяющие положение ориентиров разбивочных осей и ориентиров для установки элементов, а также положение элементов в конструкциях (номенклатура допусков указанных параметров приведена в
ГОСТ 21779-82 к
ГОСТ 21780-83);
геометрические параметры технологического оборудования, форм и оснастки, оказывающие влияние на точность изготовления элементов и их установки в конструкциях и указанные в соответствующих технологических документах.
1.5. Правила контроля точности устанавливают в зависимости от характера объекта контроля и контролируемых параметров, объемов производства и стабильности технологических процессов с учетом стоимости и требуемой надежности контроля.
1.6. В стандартах и других нормативно-технических документах, устанавливающих правила контроля, должны быть определены:
контролируемые параметры;
применяемый метод контроля;
план контроля и порядок его проведения;
средства контроля, правила выполнения и требования к точности измерений;
метод оценки результатов контроля.
1.4 - 1.6. (Измененная редакция, Изм. N 1).
1.7. На предприятиях и в строительных организациях следует разрабатывать стандарты предприятия, карты и ведомости контроля и другие технологические документы на процессы и операции контроля, определяющие для конкретных объектов контроля размещение постов контроля по технологическому процессу, исполнителей, объем и содержание работ по контролю, методики и схемы измерений, правила сбора, обработки и использования информации о результатах контроля.
1.8. Нормативно-технические и технологические документы, устанавливающие правила контроля точности, должны проходить метрологическую экспертизу в соответствии с требованиями стандартов Государственной системы обеспечения единства измерений.
2. НАЗНАЧЕНИЕ МЕТОДОВ КОНТРОЛЯ
2.1. Контроль точности назначают преимущественно выборочным по альтернативному или количественному признакам, а в необходимых случаях - сплошным.
2.2. Сплошной контроль следует назначать:
при небольших объемах производства, когда выборочный контроль неосуществим;
при нестабильном характере производства, в том числе в период наладки технологических процессов;
при повышенных требованиях к обеспечению заданной точности, связанных с необходимостью применения выборок большого объема.
2.3. Выборочный контроль следует назначать при налаженном стабильном производстве, когда обеспечена статистическая однородность технологического процесса.
2.4. При выборочном методе преимущественно следует применять контроль по альтернативному признаку.
Контроль по количественному признаку применяют для наиболее ответственных параметров, когда их количество невелико и имеется необходимость в дальнейшей отработке процесса, а также, если по условиям производства целесообразно сократить объем выборок по сравнению с контролем по альтернативному признаку. Этот метод применим, когда контролируемые параметры независимы друг от друга и имеют нормальное распределение.
При необходимости часть параметров можно контролировать по количественному признаку, а часть - по альтернативному.
2.5. Инспекционный контроль следует проводить с применением методов, установленных в соответствующих нормативно-технических документах для приемочного контроля.
2.6. Виды, методы и объекты контроля по стадиям производства приведены в рекомендуемом
Приложении 1.
3.1. При сплошном контроле точность данного геометрического параметра проверяют в каждом объекте контроля (единице продукции).
3.2. Контроль производят по мере завершения соответствующих технологических операций или выпуска готового изделия либо после формирования партий продукции или выполнения определенного объема строительно-монтажных работ.
3.3. Контрольными нормативами при сплошном контроле являются верхнее

и нижнее

предельные отклонения от номинальных размеров или от номинального положения ориентира, точки прямой или плоскости, определяющие требования к точности контролируемого параметра.
В отдельных случаях контрольными нормативами могут быть наибольший

или наименьший

предельные размеры.
3.4. Для определения соответствия геометрических параметров контрольным нормативам согласно установленным правилам измерений находят действительные отклонения

или действительные размеры

.
3.5. Объект контроля считают годным по данному контролируемому параметру, если соблюдено одно из следующих условий:

; (1)

. (2)
3.6. В целях сокращения трудоемкости контроля, проверка соблюдения условий (1) и (2) может производиться без определения количественных значений

и

с помощью предельных калибров или шаблонов.
3.3 - 3.6. (Измененная редакция, Изм. N 1).
4.1. При выборочном контроле точность данного геометрического параметра проверяют по установленному плану контроля в выборке, состоящей из определенного количества объектов контроля (единиц продукции) в общем объеме партии (в потоке) продукции или в объеме выполненных работ.
Возможность применения эффективного выборочного контроля устанавливают на основе результатов статистического анализа точности по
ГОСТ 23615-79.
4.2. Для контроля формируют случайные выборки в соответствии с требованиями
ГОСТ 18321-73.
При контроле точности разбивочных работ и установки элементов выборку составляют из определенного количества закрепленных в натуре ориентиров или установленных элементов из их общего числа, входящего в принимаемый за партию объем строительно-монтажных работ.
4.3. При контроле по альтернативному признаку контрольными нормативами являются предельные отклонения

и

(или

и

) и приемочные и браковочные числа Ac и Re, характеризующие предельное количество дефектных единиц в выборке.
Может быть принят одноступенчатый или двухступенчатый способ контроля, которые равнозначны по получаемой оценке.
При этом планы контроля устанавливают в соответствии с рекомендуемым
Приложением 2 в зависимости от условий производства и приемочного уровня дефектности, принятого для данного контролируемого параметра с учетом рекомендуемого
Приложения 3.
В обоснованных случаях допускается применение других планов контроля по
ГОСТ 18242-72.
(Измененная редакция, Изм. N 1).
4.4. При контроле по альтернативному признаку определяют количество дефектных объектов контроля (единиц продукции) в выборке путем ее сплошного контроля в соответствии с
разд. 3.
4.5. Партия принимается, если количество дефектных объектов контроля в выборке меньше или равно приемочному числу

, и не принимается, если это количество больше или равно браковочному числу

.
При двухступенчатом контроле, в случаях, когда число дефектных объектов контроля в выборке больше

и меньше

, извлекается вторая выборка. Если общее число дефектных единиц в двух выборках меньше или равно приемочному числу

, партия принимается, если больше или равно браковочному числу

- не принимается.
(Измененная редакция, Изм. N 1).
4.6. При контроле по количественному признаку контрольными нормативами являются

,

и табличные коэффициенты, характеризующие допустимое для данного плана контроля соотношение между действительными и нормативными характеристиками точности.
Правила контроля по количественному признаку назначают в соответствии с ГОСТ 20736-75.
4.7. Отклоненные при выборочном контроле партии могут быть предъявлены для сплошного контроля.
5. МЕТОДЫ И СРЕДСТВА ИЗМЕРЕНИЙ
5.1. Применяемые для контроля точности методы и средства измерений должны обеспечивать необходимую точность и достоверность этих измерений и назначаться в соответствии с особенностями объекта контроля и контролируемого параметра с учетом их трудоемкости и стоимости.
5.2. Точность контрольных измерений должна соответствовать условию

, (3)
где

- предельное значение абсолютной погрешности измерения;

- допуск контролируемого параметра.
(Измененная редакция, Изм. N 1).
5.3. При расчете предельных значений погрешностей учитывают случайные и неустранимые систематические погрешности метода и средств измерений.
5.4. Метод учета дополнительного риска неправильной оценки результатов контроля, вызываемого погрешностями измерений, приведен в справочном
Приложении 4.
(Измененная редакция, Изм. N 1).
5.5, 5.6. (Исключены, Изм. N 1).
5.7. Применяемые средства, а также методики измерений должны быть аттестованы государственной или ведомственной метрологической службой в соответствии с требованиями стандартов Государственной системы обеспечения единства измерений.
Рекомендуемое
ВИДЫ, МЕТОДЫ И ОБЪЕКТЫ КОНТРОЛЯ
ПО СТАДИЯМ ПРОИЗВОДСТВА
───────────┬──────────────┬──────────────────────┬────────────────
Вид │ Стадия │ Объекты контроля │Методы контроля
контроля │ производства │ │
───────────┼──────────────┼──────────────────────┼────────────────
1. Входной│ Изготовление │ Проектная │ -
контроль │элементов │документация │
│ │ Изделия, детали │ Выборочный по
│ │и полуфабрикаты, │альтернативному
│ │поступающие в │признаку
│ │производство │
│ │ Рабочие органы │ Сплошной
│ │и регулирующие уст- │
│ │ройства оборудования │
│ │и оснастка │
│ Строительно- │ Проектная │ -
│монтажные │документация │
│работы (при │ Ориентиры разби- │ Выборочный по
│организации │вочных осей, отметки │альтернативному
│работ по │дна котлована, эле- │или количест-
│каждому │менты строительных │венному
│последующему │конструкций после │признакам
│этапу) │завершения работ │
│ │предыдущего этапа │
│ │ Элементы сборных │ Выборочный по
│ │конструкций зданий │альтернативному
│ │и сооружений, │признаку. В от-
│ │поступающие на │дельных случа-
│ │строительную площадку │ях - сплошной
│ │ Приспособления и │ Сплошной
│ │монтажная оснастка │
2. Опера- │ Изготовление │ Результаты выполне- │ Выборочный по
ционный │элементов │ния технологических │количественному
контроль │ │операций, влияющих │или альтерна-
│ │на точность │тивному призна-
│ │геометрических │кам; в случае
│ │параметров готовой │необходимости -
│ │продукции │сплошной
│ │ Технологическое │ Сплошной или
│ │оборудование, формы │выборочный
│ │и оснастка │
│ Строительно- │ Ориентиры разбивки │ Выборочный по
│монтажные │точек и осей, │количественному
│работы │высотные отметки │или альтерна-
│(в процессе │опорных плоскостей │тивному призна-
│выполнения │и установочные │кам или сплошной
│работ по │ориентиры │
│определенному │ Элементы сборных │ Сплошной
│этапу) │конструкций в │
│ │процессе установки │
│ │и временного │
│ │закрепления │
│ │ Оснастка, применя- │ Сплошной
│ │емая для установки │
│ │элементов │
3. При- │ Изготовление │ Элементы сборных │ Сплошной или
емочный │элементов │конструкций после │выборочный по
контроль │ │завершения цикла │альтернативному
│ │изготовления │или количест-
│ │ │венному
│ │ │признакам
│ Строительно- │ Ориентиры разбивоч- │ Выборочный по
│монтажные │ных осей, высотные │альтернативному
│работы (после │отметки опорных │признаку
│выполнения │плоскостей и │
│работ по │установочные │
│определенному │ориентиры │
│этапу) │ Элементы сборных │ Выборочный по
│ │конструкций после │альтернативному
│ │постоянного │признаку; в
│ │закрепления, а также │отдельных
│ │их сопряжения │случаях -
│ │ │сплошной
(Измененная редакция, Изм. N 1).
Справочное
О СООТВЕТСТВИИ ГОСТ 23616-79 СТ СЭВ 4234-83
──────────────────────────────────┬───────────────────────────────
Пункт настоящего стандарта │ Пункт СТ СЭВ 4234-83
──────────────────────────────────┼───────────────────────────────
Рекомендуемое │ Информационное
Рекомендуемое
ВЫБОРОЧНОГО КОНТРОЛЯ ПО АЛЬТЕРНАТИВНОМУ ПРИЗНАКУ
1. Одноступенчатый контроль
───────────────────┬────────┬─────────────────────────────────────
Объем партии │ Объем │Приемочные Ac и браковочные Re числа
│выборки │при приемочном уровне дефектности, %
│ ├──────────────┬──────┬───────┬───────
│ │ 0,25 │ 1,5 │ 4,0 │ 10,0
───────────────────┼────────┼──────────────┼──────┼───────┼───────
│ │Зона сплошного│ | │ │
До 25 │ 5 │ контроля │ \|/ │ 0 1 │ 1 2
│ │ ┌───────┤ │ │
│ │ │ │ │ │
От 26 до 90 │ 8 │ │ │ 0 1 │ 1 2 │ 2 3
│ ├──────┤ │ │ │
│ │ │ │ │ │
" 91 " 280 │ 13 │ | │ │ /|\ │ 1 2 │ 3 4
│ │ | │ │ | │ │
│ │ | │ │ │ │
" 281 " 500 │ 20 │ | │ │ | │ 2 3 │ 5 6
│ │ | │ │ \|/ │ │
│ │ | │ │ │ │
" 501 " 1200 │ 32 │ \|/ │ │ 1 2 │ 3 4 │ 7 8
│ │ │ │ │ │
│ │ │ │ │ │
" 1201 " 3200 │ 50 │ 0 1 │ │ 2 3 │ 5 6 │10 11
│ │ │ │ │ │
│ │ │ │ │ │
" 3201 " 10000 │ 80 │ /|\ │ │ 3 4 │ 7 8 │14 15
│ │ | │ │ │ │
│ │ │ │ │ │
" 10001 " 35000 │ 125 │ | │ │ 5 6 │10 11 │21 22
│ │ \|/ │ │ │ │
│ │ │ │ │ │
Более 35000 │ 200 │ 1 2 │ │ 7 8 │14 15 │ /|\
│ │ │ │ │ │ |
Примечания. 1.

- применяется та часть плана, включая объем выборки, которая расположена под стрелкой.
2.

- применяется та часть плана, включая объем выборки, которая расположена над стрелкой.
3. Приемочное число Ac расположено слева, браковочное Re - справа.
2. Двухступенчатый контроль
─────────────────┬────────┬────────┬──────────────────────────────
Объем партии │ Номер │ Объем │ Приемочные Ac и Ac
│выборки │выборки │ 1 2
│ │ │и браковочные Re и Re числа
│ │ │ 1 2
│ │ │ при приемочном уровне
│ │ │ дефектности, %
│ │ ├───────────┬─────┬─────┬──────
│ │ │ 0,25 │ 1,6 │ 4,0 │10,0
─────────────────┼────────┼────────┼───────────┴─────┴─────┼──────
До 25 │ 1 │ 3 │ Зона одноступенчатого │ 0 2
│ 2 │ 3 │или сплошного контроля │ 1 2
─────────────────┼────────┼────────┤ ┌─────┼──────
От 26 до 90 │ 1 │ 5 │ │ 0 2 │ 0 3
│ 2 │ 5 │ │ 1 2 │ 3 4
─────────────────┼────────┼────────┤ ├─────┼──────
От 91 до 280 │ 1 │ 8 │ │ 0 2 │ 1 4
│ 2 │ 8 │ │ 1 2 │ 4 5
─────────────────┼────────┼────────┤ ┌─────┼─────┼──────
От 281 до 500 │ 1 │ 13 │ │ | │ 0 3 │ 2 5
│ 2 │ 13 │ │ \|/ │ 3 4 │ 6 7
─────────────────┼────────┼────────┤ ├─────┼─────┼──────
От 501 до 1200 │ 1 │ 20 │ │ 0 2 │ 1 4 │ 3 7
│ 2 │ 20 │ │ 1 2 │ 4 5 │ 8 9
─────────────────┼────────┼────────┤ ┌─────┼─────┼─────┼──────
От 1201 до 3200 │ 1 │ 32 │ │ │ 0 3 │ 2 5 │ 5 9
│ 2 │ 32 │ │ │ 3 4 │ 6 7 │12 13
─────────────────┼────────┼────────┤ │ ├─────┼─────┼──────
От 3201 до 10000 │ 1 │ 50 │ │ │ 1 4 │ 3 7 │7 11
│ 2 │ 50 │ │ │ 4 5 │ 8 9 │18 19
─────────────────┼────────┼────────┼─────┤ ├─────┼─────┼──────
От 10001 до 35000│ 1 │ 80 │ | │ │ 2 5 │ 5 9 │11 16
│ 2 │ 80 │ \|/ │ │ 6 7 │12 13│26 27
─────────────────┼────────┼────────┼─────┤ ├─────┼─────┼──────
Более 35000 │ 1 │ 125 │ 0 2 │ │ 3 7 │7 11 │ /|\
│ 2 │ 125 │ 1 2 │ │ 8 9 │18 19│ |
Примечания. 1.

- применяется та часть плана, включая объем выборки, которая расположена под стрелкой.
2.

- применяется та часть плана, включая объем выборки, которая расположена над стрелкой.
3. Приемочные числа

,

расположены слева, а браковочные числа

и

- справа.
(Измененная редакция, Изм. N 1).
Рекомендуемое
ЗНАЧЕНИЯ ПРИЕМОЧНОГО УРОВНЯ ДЕФЕКТНОСТИ
──────────────┬───────────────────────────────────────────────────
Приемочный │ Область применения
уровень │
дефектности, %│
──────────────┼───────────────────────────────────────────────────
0,25; 1,5 │ Параметры, являющиеся составляющими или
│результирующими при расчете точности конструкций
│сооружения в эксплуатации, к обеспечению точности
│которых предъявляются повышенные требования.
│Нарушение требований к точности таких параметров
│является критическим дефектом
4,0 │ Параметры, являющиеся составляющими или
│результирующими при расчете точности конструкций
│эксплуатационные свойства объекта контроля.
│Нарушение требований к точности указанных
│параметров является значительным дефектом
10,0 │ Параметры, не входящие в исходные уравнения
│или пригоняемые по месту. Нарушение требований
│к точности указанных параметров является
│малозначительным дефектом
(Измененная редакция, Изм. N 1).
Справочное
УЧЕТА ДОПОЛНИТЕЛЬНОГО РИСКА
НЕПРАВИЛЬНОЙ ОЦЕНКИ РЕЗУЛЬТАТОВ КОНТРОЛЯ,
ВЫЗЫВАЕМОГО ПОГРЕШНОСТЬЮ ИЗМЕРЕНИЙ
1. При назначении точности и выборе средств измерения следует учитывать, что погрешности измерения увеличивают риск неправильной оценки результатов контроля. При этом возрастает вероятность бракования годного объекта контроля или приемки бракованного в качестве годного.
2. При необходимости сохранения стандартных значений указанного риска, принятых в планах контроля по
ГОСТ 18242-72 и ГОСТ 20736-75, при назначении планов выборочного контроля может быть увеличен объем выборки.
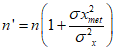
В таблице приведены значения увеличенного объема выборки n', вычисленные для нормального закона распределения контролируемого параметра и погрешности измерения

по формуле

,
где n - объем выборки по плану контроля;

- среднее квадратическое отклонение измеряемого геометрического параметра;

- средняя квадратическая погрешность измерений.
Критерии оценки результатов контроля по увеличенному объему выборки принимают по плану контроля для выборки n.
─────────────────────────────┬────────────────────────────────────
Предельная погрешность │ Увеличенный объем выборки n' при
измерений дельта x │ приемочном уровне дефектности, %
met │
в долях от технологического ├────────┬────────┬────────┬─────────
допуска контролируемого │ 0,25 │ 1,5 │ 4,0 │ 10,0
параметра │ │ │ │
─────────────────────────────┼────────┼────────┼────────┼─────────
Дельта x │ │ │ │
0,3 -------- │ 1,13n │ 1,08n │ 1,06n │ 1,036n
2 │ │ │ │
│ │ │ │
Дельта x │ │ │ │
0,4 -------- │ 1,23n │ 1,15n │ 1,11n │ 1,065n
2 │ │ │ │
(Введено дополнительно, Изм. N 1).