Главная // Актуальные документы // ГОСТ (Государственный стандарт)
СПРАВКА
Источник публикации
В данном виде документ опубликован не был.
Первоначальный текст документа опубликован в издании
М.: Издательство стандартов, 1982.
Информацию о публикации документов, создающих данную редакцию, см. в справке к этим документам.
Примечание к документу
Документ включен в Перечень основных нормативных документов РФ и действующих стандартов, распространяющихся на деятельность авиационных предприятий ГА в области сертификации и стандартизации технической эксплуатации гражданской авиационной техники (согласовано УНПЛГ ГВС ФСНСТ 14.08.2006).

С 1 июля 2003 года до вступления в силу технических регламентов акты федеральных органов исполнительной власти в сфере технического регулирования носят рекомендательный характер и подлежат обязательному исполнению только в части, соответствующей целям, указанным в пункте 1 статьи 46 Федерального закона от 27.12.2002 N 184-ФЗ.

Изменение N 1 введено в действие с 1 октября 2017 года Приказом Росстандарта от 20.04.2017 N 286-ст.
Название документа
"ГОСТ 25142-82 (СТ СЭВ 1156-78). Государственный стандарт Союза ССР. Шероховатость поверхности. Термины и определения"
(утв. Постановлением Госстандарта СССР от 18.02.1982 N 730)
(ред. от 20.04.2017)


"ГОСТ 25142-82 (СТ СЭВ 1156-78). Государственный стандарт Союза ССР. Шероховатость поверхности. Термины и определения"
(утв. Постановлением Госстандарта СССР от 18.02.1982 N 730)
(ред. от 20.04.2017)


Содержание


Утвержден и введен в действие
Постановлением Госстандарта СССР
от 18 февраля 1982 г. N 730
ГОСУДАРСТВЕННЫЙ СТАНДАРТ СОЮЗА ССР
ШЕРОХОВАТОСТЬ ПОВЕРХНОСТИ
ТЕРМИНЫ И ОПРЕДЕЛЕНИЯ
Surface roughness. Terms and definitions.
ГОСТ 25142-82
(СТ СЭВ 1156-78)
Список изменяющих документов
(в ред. Изменения N 1, введенного в действие
Приказом Росстандарта от 20.04.2017 N 286-ст)
Группа Г00
Постановлением Государственного комитета СССР по стандартам от 18 февраля 1982 г. N 730 срок введения установлен
с 1 января 1983 года
Разработан Государственным комитетом СССР по стандартам.
Исполнители: В.С. Лукьянов (руководитель темы); Н.А. Табачникова.
Внесен Государственным комитетом СССР по стандартам.
Член Госстандарта Л.К. Исаев.
Утвержден и введен в действие Постановлением Государственного комитета СССР по стандартам от 18 февраля 1982 г. N 730.
Настоящий стандарт устанавливает применяемые в науке, технике и производстве термины и определения основных понятий, относящихся к шероховатости поверхности.
Термины, установленные стандартом, обязательны для применения в документации всех видов, научно-технической, учебной и справочной литературе.
Абзац исключен с 1 октября 2017 года. - Изменение N 1, введенное в действие Приказом Росстандарта от 20.04.2017 N 286-ст.
Для каждого понятия установлен один стандартизованный термин. Применение терминов-синонимов стандартизованного термина запрещается.
Установленные определения можно, при необходимости, изменять по форме изложения, не допуская нарушения границ понятий.
В стандарте приведен алфавитный указатель содержащихся в нем терминов на русском языке и их иностранных эквивалентов на английском (E) и французском (F) языках.
Термин
Определение
1. Поверхность, профиль и базы отсчета
1.1. Реальная поверхность
Поверхность, ограничивающая тело и отделяющая его от окружающей среды (черт. 1)
Черт. 1
1.2. Номинальная поверхность
Поверхность, заданная в технической документации без учета допускаемых отклонений (неровностей) (черт. 2)
Черт. 2
1.3. Базовая линия (поверхность)
Линия (поверхность) заданной геометрической формы, определенным образом проведенная относительно профиля (поверхности) и служащая для оценки геометрических параметров поверхности
1.4. Нормальное сечение
Сечение, перпендикулярное базовой поверхности (черт. 3)
Черт. 3
1.5. Косое сечение
Сечение, наклонное к базовой поверхности (черт. 4)
Черт. 4
1.6. Эквидистантное сечение
Сечение реальной поверхности поверхностью, имеющей форму номинальной поверхности и расположенной эквидистантно базовой поверхности (черт. 5)
Черт. 5
1.7. Касательное сечение
Эквидистантное сечение, касательное реальной поверхности для случая плоской номинальной поверхности (черт. 6)
Черт. 6
1.8. Контурная картина поверхности
Совокупность линий пересечения реальной поверхности эквидистантными сечениями (черт. 7)
Черт. 7
1.9. Профиль поверхности
Линия пересечения поверхности с плоскостью
1.10. Реальный профиль
Профиль реальной поверхности (черт. 8)
Черт. 8
1.11. Номинальный профиль
Профиль номинальной поверхности (черт. 9)
Черт. 9
1.12. Поперечный профиль
Профиль, получаемый при сечении поверхности плоскостью, перпендикулярной направлению неровностей (черт. 10)
Черт. 10
1.13. Продольный профиль
Профиль, получаемый при сечении поверхности плоскостью, параллельной направлению неровностей (черт. 11)
Черт. 11
1.14. Периодический профиль
Профиль, который может быть описан периодической функцией
1.15. Случайный профиль
Апериодический профиль, который описывается случайной функцией
1.16. Базовая длина l
Длина базовой линии, используемая для выделения неровностей, характеризирующих шероховатость поверхности (черт. 12)
Черт. 12
1.17. Длина оценки L
Длина, на которой оцениваются значения параметров шероховатости. Она может содержать одну или несколько базовых длин
1.18. Отклонение профиля y
Расстояние между точкой профиля и базовой линией (черт. 13)
Черт. 13
1.19. Средняя линия профиля
Базовая линия, имеющая форму номинального профиля и проведенная так, что в пределах базовой длины среднее квадратическое отклонение профиля до этой линии минимально (черт. 14)
Черт. 14
1.20, чертеж 15. Исключены с 1 октября 2017 года. - Изменение N 1, введенное в действие Приказом Росстандарта от 20.04.2017 N 286-ст.
1.21. Система средней линии
Система отсчета, используемая при оценке параметров шероховатости поверхности, в которой в качестве базовой линии используется средняя линия
1.22. Местный выступ профиля
Часть профиля, расположенная между двумя соседними минимумами профиля (черт. 16)
Черт. 16
1.23. Местная впадина профиля
Часть профиля, расположенная между двумя соседними максимумами профиля (черт. 17)
Черт. 17
1.24. Местная неровность
Местный выступ и сопряженная с ним местная впадина
1.25. Выступ профиля
Часть профиля, соединяющая две соседние точки пересечения его со средней линией профиля, направленная из тела (черт. 18)
Черт. 18
Примечание. Часть профиля, направленная из тела, в начале или конце базовой длины должна всегда рассматриваться как выступ профиля
1.26. Впадина профиля
Часть профиля, соединяющая две соседние точки пересечения его со средней линией профиля, направленная в тело (черт. 19)
Черт. 19
Примечание. Направленная в тело часть профиля в начале или конце базовой длины всегда должна рассматриваться как впадина
1.27. Неровность профиля
Выступ профиля и сопряженная с ним впадина профиля
1.28. Направление неровностей поверхности
Условный рисунок, образованный нормальными проекциями экстремальных точек неровностей поверхности на среднюю поверхность
1.29. Шероховатость поверхности
Совокупность неровностей поверхности с относительно малыми шагами, выделенная, например, с помощью базовой длины
1.30. Линия выступов профиля
Линия, эквидистантная средней линии, проходящая через высшую точку профиля в пределах базовой длины (черт. 20)
Черт. 20
1.31. Линия впадин профиля
Линия, эквидистантная средней линии, проходящая через низшую точку профиля в пределах базовой длины (черт. 21)
Черт. 21
1.32. Уровень сечения профиля p
Расстояние между линией выступов профиля и линией, пересекающей профиль эквидистантно линии выступов профиля
2. Параметры шероховатости, связанные с высотными свойствами неровностей
2.1. Высота выступа профиля 
Расстояние от средней линии профиля до высшей точки выступа профиля (черт. 22)
Черт. 22
2.2. Глубина впадины профиля 
Расстояние от средней линии профиля до низшей точки впадины профиля (черт. 23)
Черт. 23
2.3. Высота неровности профиля
Сумма высоты выступа профиля и глубины сопряженной с ним впадины профиля (черт. 24)
Черт. 24
2.4. Высота наибольшего выступа профиля 
Расстояние от средней линии до высшей точки профиля в пределах базовой длины (черт. 25)
2.5. Глубина наибольшей впадины профиля 
Расстояние от низшей точки профиля до средней линии в пределах базовой длины (черт. 25)
Черт. 25
(в ред. Изменения N 1, введенного в действие Приказом Росстандарта от 20.04.2017 N 286-ст)
2.6. Полная высота профиля Rmax
Сумма высоты наибольшего выступа профиля Rp и глубины наибольшей впадины профиля Rv в пределах длины оценки L (черт. 26)
(п. 2.6 в ред. Изменения N 1, введенного в действие Приказом Росстандарта от 20.04.2017 N 286-ст)
Черт. 26
(в ред. Изменения N 1, введенного в действие Приказом Росстандарта от 20.04.2017 N 286-ст)
2.7. Наибольшая высота профиля Rz
Сумма высоты наибольшего выступа профиля Rp и глубины наибольшей впадины профиля Rv в пределах базовой длины l (черт. 27)
(п. 2.7 в ред. Изменения N 1, введенного в действие Приказом Росстандарта от 20.04.2017 N 286-ст)
Черт. 27
(чертеж 27 в ред. Изменения N 1, введенного в действие Приказом Росстандарта от 20.04.2017 N 286-ст)
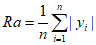
2.8. Среднее арифметическое отклонение профиля Ra
Среднее арифметическое абсолютных значений отклонений профиля в пределах базовой длины (черт. 28)
Черт. 28
2.9. Среднее квадратическое отклонение профиля Rq
Среднее квадратическое значение отклонений профиля в пределах базовой длины
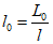
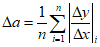
2.10. Среднее значение параметра шероховатости поверхности 
Среднее значений параметра шероховатости, определенных на всех длинах оценки
,
где k - число единичных длин оценки;
- значение параметра, определенное на одной базовой длине;
n - число базовых длин на единичной длине оценки
3. Параметры шероховатости, связанные со свойствами неровностей в направлении длины профиля
3.1. Шаг неровностей профиля
Отрезок средней линии профиля, содержащий неровность профиля (черт. 29)
Черт. 29
3.2. Средний шаг неровностей профиля 
Среднее значение шага неровностей профиля в пределах базовой длины
3.3. Шаг местных выступов профиля
Отрезок средней линии между проекциями на нее наивысших точек соседних местных выступов профиля (черт. 30)
Черт. 30
3.4. Средний шаг местных выступов профиля S
Среднее значение шагов местных выступов профиля, находящихся в пределах базовой длины
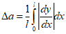
3.5. Средняя квадратическая длина волны профиля 
Величина, пропорциональная отношению среднего квадратического отклонения профиля Rq к среднему квадратическому наклону профиля 
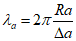
3.6. Средняя длина волны профиля 
Величина, пропорциональная отношению среднего арифметического отклонения профиля Ra к среднему арифметическому наклону профиля 
3.7. Длина растянутого профиля 
Длина, получающаяся, если все выступы и впадины профиля в пределах базовой длины вытянуть в прямую линию (черт. 31)
Черт. 31
3.8. Относительная длина профиля 
Отношение длины профиля к базовой длине l
3.9. Плотность выступов профиля D
Число выступов профиля на единицу длины
4. Параметры шероховатости, связанные с формой неровностей профиля
4.1. Наклон профиля
Тангенс угла наклона в любой точке профиля в пределах базовой длины
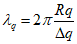
4.2. Средний квадратический наклон профиля 
Среднее квадратическое значение наклона профиля в пределах базовой длины
или
,
где - тангенс угла наклона в точке профиля
4.3. Средний арифметический наклон профиля 
Среднее арифметическое значение наклонов профиля в пределах базовой длины
или
4.4. Опорная длина профиля 
Сумма длин отрезков, отсекаемых на заданном уровне в материале профиля линией, эквидистантной средней линии в пределах базовой длины (черт. 32)
Черт. 32
4.5. Относительная опорная длина профиля 
Отношение опорной длины профиля к базовой длине
4.6. Относительная опорная кривая профиля
Графическое изображение зависимости значений относительной опорной длины профиля от уровня сечения профиля (черт. 33)
Черт. 33
АЛФАВИТНЫЙ УКАЗАТЕЛЬ ТЕРМИНОВ НА РУССКОМ ЯЗЫКЕ
1.16. Базовая длина
1.3. Базовая линия (поверхность)
1.26. Впадина профиля
1.25. Выступ профиля
2.1. Высота выступа профиля 
2.4. Высота наибольшего выступа профиля 
2.3. Высота неровности профиля
2.7. Высота неровностей профиля по десяти точкам Rz
2.2. Глубина впадины профиля 
2.5. Глубина наибольшей впадины профиля 
1.17. Длина оценки
3.7. Длина растянутого профиля 
1.7. Касательное сечение
1.8. Контурная картина поверхности
1.5. Косое сечение
1.31. Линия впадин профиля
1.30. Линия выступов профиля
1.23. Местная впадина профиля
1.24. Местная неровность
1.22. Местный выступ профиля
4.1. Наклон профиля
2.6. Наибольшая высота неровностей профиля 
1.28. Направление неровностей поверхности
1.27. Неровность профиля
1.2. Номинальная поверхность
1.11. Номинальный профиль
1.4. Нормальное сечение
4.4. Опорная длина профиля 
1.18. Отклонение профиля y
3.8. Относительная длина профиля 
4.5. Относительная опорная длина профиля
4.6. Относительная опорная кривая профиля
1.14. Периодический профиль
3.9. Плотность выступов профиля D
1.12. Поперечный профиль
1.13. Продольный профиль
1.9. Профиль поверхности
1.1. Реальная поверхность
1.10. Реальный профиль
1.21. Система средней линии
1.15. Случайный профиль
2.8. Среднее арифметическое отклонение профиля Ra
2.10. Среднее значение параметра шероховатости поверхности 
2.9. Среднее квадратическое отклонение профиля 
3.6. Средняя длина волны профиля 
1.19. Средняя линия профиля
3.5. Средняя квадратическая длина волны профиля 
4.3. Средний арифметический наклон профиля 
4.2. Средний квадратический наклон профиля
3.4. Средний шаг местных выступов профиля
3.2. Средний шаг неровностей профиля 
1.32. Уровень сечения профиля p
1.20. Центральная линия профиля
3.3. Шаг местных выступов профиля
3.1. Шаг неровностей профиля
1.29. Шероховатость поверхности
ИС МЕГАНОРМ: примечание.
В официальном тексте документа, видимо, допущена опечатка: имеется в виду пункт 1.6, а не пункт 1.16.
1.16. Эквидистантное сечение
АЛФАВИТНЫЙ УКАЗАТЕЛЬ ТЕРМИНОВ НА АНГЛИЙСКОМ ЯЗЫКЕ
2.8. Arithmetical mean deviation of the profile Ra
4.3. Arithmetical mean slope of the profile
2.10. Average value of the surface roughness parameter
3.6. Average wavelength of the profile
1.20. Centre line of the profile
1.8. Contour picture of the surface
4.5. Curve of the profile bearing length
2.5. Depth of maximum profile valley
3.7. Developed profile length
ИС МЕГАНОРМ: примечание.
В официальном тексте документа, видимо, допущена опечатка: имеется в виду пункт 1.6, а не пункт 1.16.
1.16. Equidistant section
1.17. Evaluation length
2.4. Height of maximum profile peak
1.24. Local irregularity
1.31. Line of profile valley
1.30. Line of profile peaks
1.23. Local valley of profile
1.22. Local peak of profile
1.13. Longtitudinal profile
2.6. Maximum height of the profile
1.21. Mean line system
1.19. Mean line of the profile
3.4. Mean spacing of local peaks of the profile
3.2. Mean spacing of the profile irregularities
1.2. Nominal surface
1.11. Nominal profile
1.4. Normal section
1.5. Oblique section
4.4. Profile bearing length ratio
4.3. Profile bearing length
1.18. Profile departure
1.27. Profile irregularity
2.3. Profile irregularity height
3.8. Profile length ratio
1.25. Profile peak
3.9. Profile peak density
2.1. Profile peak height
1.32. Profile section level
1.26. Profile valley
2.2. Profile valley depth
1.15. Random profile
1.10. Real profile
1.1. Real surface
1.3. Reference line
2.9. Root-mean-square deviation of the profile
3.5. Root-mean-square wavelength
4.2. Root-mean-square slope of the profile
1.16. Sampling length
4.1. Slope of the profile
3.3. Spacing of local peaks of the profile
3.1. Spacing of the profile irregularities
1.28. Surface lay
1.29. Surface roughness
1.7. Tangential section
2.7. Ten point height of irregularities
1.12. Transverse profile
АЛФАВИТНЫЙ УКАЗАТЕЛЬ ТЕРМИНОВ НА ФРАНЦУЗСКОМ ЯЗЫКЕ
4.5. Courbe du taux de longueur portante
1.4. Coupe nominale
1.5. Couple oblique
1.26. Creux du profil
1.23. Creux local du profil
1.28. Direction des irrgularits
3.9. Densit des saillies du profil
1.18. Ecart du profil
2.8. Ecart moyen arithmtique du profil
2.9. Ecart moyen quadratique du profil
2.4. Hauteur de la saillie maximale
2.1. Hauteur d'une saillie du profil
2.3. Hauteur d'une irrgularit du profil
2.7. Hauteur des irrgularits sur dix points
2.6. Hauteur maximale du profil
1.8. Image contour d'une surface
1.24. Irrgularit locale
1.27. Irrgularit du profil
1.20. Ligne centrale du profil
1.3. Ligne de rfrence
1.31. Ligne des creux du profil
1.30. Ligne des saillies du profil
1.19. Ligne moyenne du profil
1.16. Longueur de base
1.17. Longueur d'valuation
3.7. Longueur dveloppe du profil
4.3. Longueur portante du profil
3.6. Longueur d'onde moyenne du profil
3.5. Longueur d'onde quadratique moyenne
1.32. Niveau de coupe du profil
3.1. Pas des irrgularits du profil
3.2. Pas moyen des irrgularits du profil
3.4. Pas moyen des saillies locales de profil
4.3. Pente arithmtique moyenne du profil
4.1. Pente du profil
4.2. Pente quadratique moyenne du profil
1.15. Profil alatoire
1.13. Profil longitudinal
1.11. Profil nominal
1.14. Profil priodique
1.10. Profil rel
1.12. Profil transversal
2.5. Profondeur des creux maximales
2.2. Profondeur d'un creux du profil
3.8. Rapport de longueur du profil
1.29. Rugosit de surface
1.25. Saillie du profil
1.22. Saillie locale du profil
ИС МЕГАНОРМ: примечание.
В официальном тексте документа, видимо, допущена опечатка: имеется в виду пункт 1.6, а не пункт 1.16.
1.16. Section quidistante
1.7. Section tangentielle
1.2. Surface nominale
1.1. Surface relle
1.21. Systme de la ligne moyenne
4.4. Taux de longueur portante
2.10. Vaieur moyenne du paramtre de la rugosit de surface