Главная // Актуальные документы // ГОСТ (Государственный стандарт)СПРАВКА
Источник публикации
В данном виде документ опубликован не был.
Первоначальный текст документа опубликован в издании
М.: Стандартинформ, 2016.
Информацию о публикации документов, создающих данную редакцию, см. в справке к этим документам.
Примечание к документу
Текст данного документа приведен с учетом
поправки, опубликованной в "ИУС", N 2, 2019;
поправки, опубликованной в "ИУС", N 4, 2020.
Название документа
"ГОСТ 31610.11-2014 (IEC 60079-11:2011). Межгосударственный стандарт. Взрывоопасные среды. Часть 11. Оборудование с видом взрывозащиты "искробезопасная электрическая цепь "i"
(введен в действие Приказом Росстандарта от 17.06.2015 N 734-ст)
(ред. от 21.10.2020)
"ГОСТ 31610.11-2014 (IEC 60079-11:2011). Межгосударственный стандарт. Взрывоопасные среды. Часть 11. Оборудование с видом взрывозащиты "искробезопасная электрическая цепь "i"
(введен в действие Приказом Росстандарта от 17.06.2015 N 734-ст)
(ред. от 21.10.2020)
агентства по техническому
регулированию и метрологии
от 17 июня 2015 г. N 734-ст
МЕЖГОСУДАРСТВЕННЫЙ СТАНДАРТ
ВЗРЫВООПАСНЫЕ СРЕДЫ
ЧАСТЬ 11
ОБОРУДОВАНИЕ С ВИДОМ ВЗРЫВОЗАЩИТЫ
"ИСКРОБЕЗОПАСНАЯ ЭЛЕКТРИЧЕСКАЯ ЦЕПЬ "i"
Explosive atmospheres. Part 11. Equipment with type
of explosion protection "intrinsically safe
electrical circuit "i"
(IEC 60079-11:2011, MOD)
ГОСТ 31610.11-2014
(IEC 60079-11:2011)
| | Список изменяющих документов Росстандарта от 21.10.2020 N 881-ст) | |
Дата введения
1 декабря 2016 года
Цели, основные принципы и порядок проведения работ по межгосударственной стандартизации установлены
ГОСТ 1.0-92 "Межгосударственная система стандартизации. Основные положения" и
ГОСТ 1.2-2009 "Межгосударственная система стандартизации. Стандарты межгосударственные, правила и рекомендации по межгосударственной стандартизации. Правила разработки, принятия, применения, обновления и отмены".
1 ПОДГОТОВЛЕН Автономной некоммерческой национальной организацией "Ex-стандарт" (АННО "Ex-стандарт") на основе собственного аутентичного перевода на русский язык международного стандарта, указанного в
пункте 5
2 ВНЕСЕН Федеральным агентством по техническому регулированию и метрологии (Росстандарт)
3 ПРИНЯТ Межгосударственным советом по стандартизации, метрологии и сертификации (протокол от 14 ноября 2014 г. N 72-П)
За принятие проголосовали:
Краткое наименование страны по МК (ИСО 3166) 004-97 | Код страны по МК (ИСО 3166) 004-97 | Сокращенное наименование национального органа по стандартизации |
Азербайджан | AZ | Азстандарт |
Армения | AM | Минэкономики Республики Армения |
Беларусь | BY | Госстандарт Республики Беларусь |
Казахстан | KZ | Госстандарт Республики Казахстан |
Киргизия | KG | Кыргызстандарт |
Молдова | MD | Молдова-Стандарт |
Россия | RU | Росстандарт |
Таджикистан | TJ | Таджикстандарт |
Узбекистан | UZ | Узстандарт |
4
Приказом Федерального агентства по техническому регулированию и метрологии от 17 июня 2015 г. N 734-ст межгосударственный стандарт ГОСТ 31610.11-2014 (IEC 60079-11:2011) введен в действие в качестве национального стандарта Российской Федерации с 1 декабря 2016 г.
5 Настоящий стандарт модифицирован по отношению к международному стандарту IEC 60079-11:2011 Explosive atmospheres - Part 11: Equipment protection by intrinsic safety "i" (Взрывоопасные среды. Часть 11: Оборудование с видом взрывозащиты "i"), включая поправку Cor. 1 (2012), путем внесения дополнительных положений, что обусловлено потребностями экономики стран СНГ.
Дополнительные положения внесены в текст стандарта и выделены курсивом.
Разъяснение причин их внесения дано во введении.
Ссылки на международные стандарты, которые приняты в качестве межгосударственных стандартов, заменены в
разделе "Нормативные ссылки" и тексте стандарта ссылками на соответствующие идентичные и модифицированные межгосударственные стандарты.
Международный стандарт разработан техническим комитетом по стандартизации ТС31 "Оборудование для взрывоопасных сред" Международной электротехнической комиссии (IEC).
Перевод с английского языка (en).
Официальные экземпляры международного стандарта, на основе которого подготовлен настоящий межгосударственный стандарт, и международных стандартов, на которые даны ссылки, имеются в Федеральном агентстве по техническому регулированию и метрологии.
Степень соответствия - модифицированная (MOD)
6 ВВЕДЕН ВПЕРВЫЕ
Информация об изменениях к настоящему стандарту публикуется в ежегодном информационном указателе "Национальные стандарты", а текст изменений и поправок - в ежемесячном информационном указателе "Национальные стандарты". В случае пересмотра (замены) или отмены настоящего стандарта соответствующее уведомление будет опубликовано в ежемесячном информационном указателе "Национальные стандарты". Соответствующая информация, уведомление и тексты размещаются также в информационной системе общего пользования - на официальном сайте Федерального агентства по техническому регулированию и метрологии в сети Интернет
Настоящий стандарт является модифицированным по отношению к международному стандарту IEC 60079-11:2011 с поправкой Cor. 1 (2012), включенному в международную систему сертификации МЭКEx и европейскую систему сертификации на основе Директивы ATEX 94/9 ЕС; его требования полностью отвечают потребностям экономики стран СНГ.
Настоящий стандарт является одним из комплекса стандартов на взрывозащиту конкретных видов для электрооборудования, применяемого во взрывоопасных средах.
Стандарт предназначен для использования в целях нормативного обеспечения обязательного подтверждения соответствия и испытаний.
Выполнение установленных настоящим стандартом требований вместе с требованиями стандартов на взрывозащиту конкретных видов обеспечивают безопасность применения оборудования на опасных производственных объектах в угольной, газовой, нефтяной, нефтеперерабатывающей и других отраслях промышленности.
В целях удобства обращения к конкретным техническим требованиям в настоящем стандарте сохранена нумерация разделов, подразделов и пунктов, данных в стандарте IEC 60079-11:2011.
В настоящий стандарт включены дополнительные по отношению к международному стандарту IEC 60079-11:2011 положения (слова), отражающие потребности экономики стран СНГ, выделенные курсивом, а именно:
- в
таблицу 1 добавлены библиографические ссылки на IEC 60079-0:2007 и IEC 60079-0:2011;
- в соответствии с требованиями
ГОСТ 1.5-2001 в связи с невведенностью IEC 60079-25, IEC 60085, IEC 60317-7, IEC 60317-8, IEC 60317-13, IEC 60664-1:2007, IEC 60664-3:2003, IEC 61158, ANSI/UL 248-1 в качестве межгосударственных стандартов данные документы перенесены из
раздела нормативных ссылок в структурный элемент
"Библиография". Нормативные ссылки на международные стандарты IEC 60079-0, IEC 60079-7, IEC 60112, IEC 60127, IEC 60529, IEC 62013-1 заменены соответственно на соответствующие им
ГОСТ 31610.0,
ГОСТ 31610.7,
ГОСТ 27473,
ГОСТ IEC 60127-1,
ГОСТ 14254,
ГОСТ 31610.35-1;
- в
подразделе 12.4 перечисления a -
f) приведена дополнительная маркировка для оборудования (за исключением связанного оборудования) путем нанесения знака уровня взрывозащиты, размещаемого перед знаком Ex в соответствии с
ГОСТ 31610.0;
Основные изменения, внесенные в настоящий стандарт, по сравнению с
предыдущим изданием, представлены в виде таблицы.
(абзац введен
Изменением N 1, введенным в действие Приказом Росстандарта от 21.10.2020 N 881-ст)
Таблица
Объяснение значимости изменений | Раздел, пункт | Вид |
Незначительные и редакционные изменения | Расширение | Существенные технические изменения |
Общее: удалены ссылки на конкретные пункты ссылочных стандартов | Область применения | X | | |
Область применения: расширена. Добавлена группа III | | | X | |
| | | X | |
Нормативные ссылки: удалена ссылка на МЭК 60079-27, добавлена ссылка на МЭК 61158-2 [15] и ГОСТ 31610.35-1 | | X | | |
Термины и определения: термины общего характера перенесены в ГОСТ 31610.0. Определения, касающиеся ограничения энергии, перенесены из ГОСТ 31610.0. Добавлены новые термины | | X | | |
Соответствие требованиям в отношении искрового воспламенения: добавлены требования в отношении искрового воспламенения для группы III | | | X | |
Температура поверхности малых элементов оборудования группы I и II: требования перенесены в ГОСТ 31610.0 | | X | | |
Уточнены положения в части температуры искробезопасного оборудования и компонентов для группы III | | | X | |
Уточнены положения в части оболочек для оборудования группы I или II | | X | | |
Уточнены положения в части оборудования, соответствующего приложению F | | X | | |
Уточнены положения в части оболочек для оборудования группы III | | | X | |
Уточнены требования к соединениям и вспомогательному оборудованию для искробезопасного оборудования, расположенного в невзрывоопасной зоне | | | | C1 |
Уточнены положения в части разделения токопроводящих частей | | X | | |
Уточнены общие требования | | X | | |
Уточнены положения в части герметизации, используемой для исключения взрывоопасной среды | | | | C2 |
Уточнены общие требования | | | X | |
Уточнены положения в части конструкции оболочки (отсека) для батареи | | | X | |
Уточнены положения в части уровня взрывозащиты "ic" | | X | | |
Уточнены положения в части конденсатора фильтра | | | X | |
Уточнены положения в части проводов, проводников печатных плат и соединений | | X | | |
Уточнены положения в части оборудования FISCO | | | X | |
Уточнены положения в части ручных и головных светильников | | | X | |
Уточнены положения, относящиеся к цепям с индуктивностью и емкостью | | X | | |
Уточнены положения, относящиеся к испытаниям элементов и батарей на утечку электролита | | X | | |
Воспламенение вследствие искры и превышения температуры поверхности элементов и батарей | | X | | |
Испытания предохранителей с заливкой компаундом | | | X | |
Испытания оптических разделительных устройств | | | X | |
Маркировка | | X | | |
Герметизация | | | | C2 |
Искробезопасная система полевой шины (FISCO). Требования к оборудованию | | | X | |
Испытание на воспламенение полупроводниковых искробезопасных цепей | | | X | |
(таблица введена
Изменением N 1, введенным в действие Приказом Росстандарта от 21.10.2020 N 881-ст)
Примечание - Указанные технические изменения включают в себя значимые технические изменения в пересмотренном стандарте, но они не представляют собой исчерпывающий список всех изменений по сравнению с предыдущей версией.
(примечание введено
Изменением N 1, введенным в действие Приказом Росстандарта от 21.10.2020 N 881-ст)
Разъяснение видов изменений
(абзац введен
Изменением N 1, введенным в действие Приказом Росстандарта от 21.10.2020 N 881-ст)
A) Определения
(абзац введен
Изменением N 1, введенным в действие Приказом Росстандарта от 21.10.2020 N 881-ст)
1 Незначительные и редакционные изменения:
- разъяснение;
- сокращение технических требований;
- незначительные технические изменения;
- редакторские правки.
(абзац введен
Изменением N 1, введенным в действие Приказом Росстандарта от 21.10.2020 N 881-ст)
Такие изменения являются модификацией требований редакционного характера или вносят незначительные технические поправки. К ним относятся: изменение формулировок для уточнения технических требований без внесения технических изменений или сокращение в рамках существующих требований.
(абзац введен
Изменением N 1, введенным в действие Приказом Росстандарта от 21.10.2020 N 881-ст)
2 Расширение: внесение технических дополнений
(абзац введен
Изменением N 1, введенным в действие Приказом Росстандарта от 21.10.2020 N 881-ст)
Данные изменения представляют собой добавление новых или модификацию существующих технических требований, например введение дополнительных вариантов. При этом не допускается расширения требований для оборудования, которое полностью соответствовало требованиям предыдущего издания. Таким образом, данные изменения не должны распространяться на изделия, которые выполнены в соответствии с предыдущим изданием.
(абзац введен
Изменением N 1, введенным в действие Приказом Росстандарта от 21.10.2020 N 881-ст)
3 Значительные технические изменения: дополнение технических требований, расширение технических требований
(абзац введен
Изменением N 1, введенным в действие Приказом Росстандарта от 21.10.2020 N 881-ст)
Данные изменения модифицируют технические требования (дополняют, расширяют область применения или отменяют требования) таким образом, что оборудование, которое соответствовало требованиям, установленным в предыдущем издании, уже не будет соответствовать требованиям, установленным в новом издании. Данные изменения должны быть рассмотрены с точки зрения их применения к оборудованию, соответствующему предыдущему изданию. Дополнительные сведения указаны в
перечислении B).
(абзац введен
Изменением N 1, введенным в действие Приказом Росстандарта от 21.10.2020 N 881-ст)
Примечание - Данные изменения отражают достижения современных технологий. Однако такие изменения, как правило, не должны влиять на оборудование, уже выпущенное на рынок.
(примечание введено
Изменением N 1, введенным в действие Приказом Росстандарта от 21.10.2020 N 881-ст)
B) Обоснование внесения значительных технических изменений
(абзац введен
Изменением N 1, введенным в действие Приказом Росстандарта от 21.10.2020 N 881-ст)
C1 - добавлены требования к внешним соединениям, кроме разъемов для зарядки аккумулятора, которые предназначены для использования только в том случае, если отсутствует взрывоопасная газовая или пылевая среда, например, в неопасной зоне или когда применение допускается только при отсутствии газа.
(абзац введен
Изменением N 1, введенным в действие Приказом Росстандарта от 21.10.2020 N 881-ст)
C2 - требования к герметизации, указанные в
6.6.2 и подробно изложенные в
Приложении D, были изменены с точки зрения толщины свободной поверхности и расширены в отношении требований к формовке.
Приложение D изменено со справочного на обязательное.
(абзац введен
Изменением N 1, введенным в действие Приказом Росстандарта от 21.10.2020 N 881-ст)
По мере принятия межгосударственных стандартов, гармонизированных со стандартами МЭК и ИСО и приведенных в
разделе "Библиография" (идентичных международным или модифицированных), а также нормативных документов, определяющих область применения электрооборудования для взрывоопасных сред в зависимости от уровня его взрывозащиты или категории применения, в настоящий стандарт будут вноситься соответствующие изменения.
Настоящий стандарт устанавливает требования к конструкции и испытанию искробезопасного оборудования, предназначенного для применения во взрывоопасных средах, а также связанного оборудования, предназначенного для подключения к искробезопасным цепям, входящим во взрывоопасные среды.
Данный вид взрывозащиты применим к электрооборудованию, в котором электрические цепи не способны вызвать взрыв окружающих взрывоопасных сред.
Настоящий стандарт также распространяется на электрооборудование или части электрооборудования, находящиеся вне взрывоопасной среды или имеющие другой вид взрывозащиты из перечисленных в
ГОСТ 31610.0, в тех случаях, когда искробезопасность электрических цепей во взрывоопасной среде может зависеть от конструкции и исполнения такого электрооборудования или его частей. С помощью данного стандарта оценивают возможность применения во взрывоопасных средах электрических цепей, подвергающихся воздействию взрывоопасной среды.
Требования к искробезопасным системам приведены в
[1].
Настоящий стандарт дополняет и изменяет общие требования
ГОСТ 31610.0, за исключением разделов и пунктов, приведенных в таблице 1. В тех случаях, когда какое-либо требование настоящего стандарта противоречит требованию
ГОСТ 31610.0, требования настоящего стандарта имеют преимущественное значение.
Таблица 1
Раздел/пункт IEC 60079-0 [2] и [3] | |
Искробезопасное оборудование | Связанное оборудование |
Издание 5.0 (2007) (справочные сведения) | Издание 6.0 (2011) (справочные сведения) | Название раздела/пункта (обязательные требования) | Группа I и группа II | Группа III |
1 | 1 | Область применения | Применяется | Применяется | Применяется |
2 | 2 | Нормативные ссылки | Применяется | Применяется | Применяется |
3 | 3 | Термины и определения | Применяется | Применяется | Применяется |
4 | 4 | Классификация оборудования по группам | Применяется | Применяется | Применяется |
4.1 | 4.1 | Оборудование группы I | Применяется | Не применяется | Применяется |
4.2 | 4.2 | Оборудование группы II | Применяется | Не применяется | Применяется |
4.3 | 4.3 | Оборудование группы III | Не применяется | Применяется | Применяется |
4.4 | 4.4 | Оборудование для конкретной взрывоопасной среды | Применяется | Применяется | Применяется |
5.1 | 5.1 | Влияние окружающей среды | Применяется | Применяется | Применяется |
5.1.1 | 5.1.1 | Температура окружающей среды | Применяется | Применяется | Применяется |
5.1.2 | 5.1.2 | Внешние источники нагрева или охлаждения | Применяется | Применяется | Применяется |
5.2 | 5.2 | Эксплуатационная температура | Применяется | Применяется | Применяется |
5.3.1 | 5.3.1 | Определение максимальной температуры поверхности | Применяется | Применяется | Не применяется |
5.3.2.1 | 5.3.2.1 | Электрооборудование группы I | Применяется | Не применяется | Не применяется |
5.3.2.2 | 5.3.2.2 | Электрооборудование группы II | Применяется | Не применяется | Не применяется |
5.3.2.3 | 5.3.2.3 | Электрооборудование группы III | Не применяется | Применяется | Не применяется |
5.3.3 | 5.3.3 | Температура малых компонентов для электрооборудования группы I и группы II | Применяется | Не применяется | Не применяется |
6.1 | 6.1 | Общие требования | Применяется | Применяется | Применяется |
6.2 | 6.2 | Механическая прочность | Не применяется, за исключением случаев, когда применяется 6.1.2.3a) | Не применяется, за исключением случаев, когда применяется 6.1.3a) | Не применяется, за исключением случаев, когда применяется 6.1.2.3a) |
6.3 | 6.3 | Время открытия оболочки | Не применяется | Не применяется | Не применяется |
6.4 | 6.4 | Блуждающие токи в оболочках (например, крупных электрических машин) | Не применяется | Не применяется | Не применяется |
6.5 | 6.5 | Крепление прокладки | Не применяется, за исключением случаев, когда применяется 6.1.2.3a) | Не применяется, за исключением случаев, когда применяется 6.1.3a) | Не применяется, за исключением случаев, когда применяется 6.1.2.3a) |
6.6 | 6.6 | Электрооборудование, генерирующее электромагнитные и ультразвуковые излучения | Применяется | Применяется | Не применяется |
7.1.1 | 7.1.1 | Применяемость | Не применяется, за исключением случаев, когда применяется 6.1.2.3a) | Не применяется, за исключением случаев, когда применяется 6.1.3a) | Не применяется, за исключением случаев, когда применяется 6.1.2.3a) |
7.1.2 | 7.1.2.1 | Технические требования к материалам | Не применяется, за исключением случаев, когда применяется 6.1.2.3a) | Не применяется, за исключением случаев, когда применяется 6.1.3a) | Не применяется, за исключением случаев, когда применяется 6.1.2.3a) |
7.1.3 | 7.1.2.2 | Пластмассовые материалы | Не применяется, за исключением случаев, когда применяется 6.1.2.3a) | Не применяется, за исключением случаев, когда применяется 6.1.3a) | Не применяется, за исключением случаев, когда применяется 6.1.2.3a) |
7.1.4 | 7.1.2.3 | Эластомерные материалы | Не применяется, за исключением случаев, когда применяется 6.1.2.3a) | Не применяется, за исключением случаев, когда применяется 6.1.3a) | Не применяется, за исключением случаев, когда применяется 6.1.2.3a) |
7.2 | 7.2 | Теплостойкость | Не применяется, за исключением случаев, когда применяется 6.1.2.3a) | Не применяется, за исключением случаев, когда применяется 6.1.3a) | Не применяется, за исключением случаев, когда применяется 6.1.2.3a) |
7.3 | 7.3 | Светостойкость | Не применяется, за исключением случаев, когда применяется 6.1.2.3a) | Не применяется, за исключением случаев, когда применяется 6.1.3a) | Не применяется, за исключением случаев, когда применяется 6.1.2.3a) |
7.4 | 7.4 | Заряды статического электричества на внешних неметаллических оболочках или их частях | Применяется | Применяется | Не применяется |
Нет | 7.5 | Незаземленные металлические части | Применяется | Применяется | Не применяется |
7.5 | Нет | Резьбовые отверстия | Не применяется, за исключением случаев, когда применяется 6.1.2.3a) | Не применяется, за исключением случаев, когда применяется 6.1.3a) | Не применяется, за исключением случаев, когда применяется 6.1.2.3a) |
8.1 | 8.1 | Состав материала | Применяется | Применяется | Не применяется |
8.1.1 | 8.2 | Оборудование группы I | Применяется | Не применяется | Не применяется |
8.1.2 | 8.3 | Оборудование группы II | Применяется | Не применяется | Не применяется |
8.1.3 | 8.4 | Оборудование группы III | Не применяется | Применяется | Не применяется |
8.2 | Нет | Резьбовые отверстия | Не применяется, за исключением случаев, когда применяется 6.1.2.3a) | Не применяется, за исключением случаев, когда применяется 6.1.3a) | Не применяется, за исключением случаев, когда применяется 6.1.2.3a) |
9 | 9 | Крепежные детали | Не применяется | Не применяется | Не применяется |
10 | 10 | Блокировки | Не применяется | Не применяется | Не применяется |
11 | 11 | Проходные изоляторы | Не применяется | Не применяется | Не применяется |
12 | 12 | Материалы, используемые в качестве герметиков | Не применяется, за исключением случаев, когда применяется 6.1.2.3a) | Не применяется, за исключением случаев, когда применяется 6.1.3a) | Не применяется, за исключением случаев, когда применяется 6.1.2.3a) |
13 | 13 | Ex-компоненты | Применяется | Применяется | Применяется |
14 | 14 | Вводные устройства и соединительные контактные зажимы | Не применяется | Не применяется | Не применяется |
15 | 15 | Соединительные контактные зажимы для заземляющих или нулевых защитных проводников | Не применяется | Не применяется | Не применяется |
16 | 16 | Вводы в оболочках | Не применяется, за исключением случаев, когда применяется 6.1.2.3a) | Не применяется, за исключением случаев, когда применяется 6.1.3a) | Не применяется, за исключением случаев, когда применяется 6.1.2.3a) |
17 | 17 | Дополнительные требования к вращающимся электрическим машинам | Не применяется | Не применяется | Не применяется |
18 | 18 | Дополнительные требования к коммутационным аппаратам | Не применяется | Не применяется | Не применяется |
19 | 19 | Дополнительные требования к предохранителям | Не применяется | Не применяется | Не применяется |
20 | 20 | Дополнительные требования к соединителям | Не применяется | Не применяется | Не применяется |
21 | 21 | Дополнительные требования к осветительным приборам | Не применяется | Не применяется | Не применяется |
22 | 22 | Дополнительные требования к головным и ручным светильникам | Изменено | Изменено | Не применяется |
23.1 | 23.1 | Общие требования | Применяется | Применяется | Применяется |
23.2 | 23.2 | Батареи | Не применяется | Не применяется | Не применяется |
23.3 | 23.3 | Типы элементов | Применяется | Применяется | Применяется |
23.4 | 23.4 | Элементы в батарее | Применяется | Применяется | Применяется |
23.5 | 23.5 | Номинальные параметры батарей | Применяется | Применяется | Применяется |
23.6 | 23.6 | Взаимозаменяемость | Применяется | Применяется | Применяется |
23.7 | 23.7 | Зарядка первичных батарей | Применяется | Применяется | Применяется |
23.8 | 23.8 | Утечка | Применяется | Применяется | Применяется |
23.9 | 23.9 | Подключение | Применяется | Применяется | Применяется |
23.10 | 23.10 | Расположение | Применяется | Применяется | Применяется |
23.11 | 23.11 | Замена элементов или батарей | Применяется | Применяется | Применяется |
23.12 | 23.12 | Заменяемый портативный батарейный источник питания | Применяется | Применяется | Применяется |
24 | 24 | Документация | Применяется | Применяется | Применяется |
25 | 25 | Соответствие прототипа или образца документам | Применяется | Применяется | Применяется |
26.1 | 26.1 | Общие требования | Применяется | Применяется | Применяется |
26.2 | 26.2 | Условия испытания | Применяется | Применяется | Применяется |
26.3 | 26.3 | Испытания во взрывоопасных испытательных смесях | Применяется | Применяется | Применяется |
26.4.1 | 26.4.1 | Порядок проведения испытаний | Не применяется, за исключением случаев, когда применяется 6.1.2.3a) | Не применяется, за исключением случаев, когда применяется 6.1.3a) | Не применяется, за исключением случаев, когда применяется 6.1.2.3a) |
26.4.1.1 | 26.4.1.1 | Оболочки и их части из металла и части оболочек из стекла | Не применяется, за исключением случаев, когда применяется 6.1.2.3a) | Не применяется, за исключением случаев, когда применяется 6.1.3a) | Не применяется, за исключением случаев, когда применяется 6.1.2.3a) |
26.4.1.2 | 26.4.1.2 | Испытания неметаллических оболочек или неметаллических частей иных оболочек | Не применяется, за исключением случаев, когда применяется 6.1.2.3a) | Не применяется, за исключением случаев, когда применяется 6.1.3a) | Не применяется, за исключением случаев, когда применяется 6.1.2.3a) |
26.4.1.2.1 | 26.4.1.2.1 | Электрооборудование для группы I | Не применяется, за исключением случаев, когда применяется 6.1.2.3a) | Не применяется | Не применяется, за исключением случаев, когда применяется 6.1.2.3a) |
26.4.1.2.2 | 26.4.1.2.2 | Электрооборудование для групп II и III | Не применяется, за исключением случаев, когда применяется 6.1.2.3a) | Не применяется, за исключением случаев, когда применяется 6.1.3a) | Не применяется, за исключением случаев, когда применяется 6.1.2.3a) |
26.4.2 | 26.4.2 | Испытание на ударостойкость | Не применяется, за исключением случаев, когда применяется 6.1.2.3a) | Не применяется, за исключением случаев, когда применяется 6.1.3a) | Не применяется, за исключением случаев, когда применяется 6.1.2.3a) |
26.4.3 | 26.4.3 | Испытание сбрасыванием | Применяется | Применяется | Не применяется, за исключением случаев, когда применяется 6.1.2.3a) |
26.4.4 | 26.4.4 | Критерии оценки результатов испытаний | Применяется | Применяется | Не применяется, за исключением случаев, когда применяется 6.1.2.3a) |
26.4.5 | 26.4.5 | Проверка соответствия степени защиты, обеспечиваемой оболочками (IP) | Применяется | Применяется | Применяется |
26.5.1.1 | 26.5.1.1 | Общие требования | Применяется | Применяется | Не применяется |
26.5.1.2 | 26.5.1.2 | Эксплуатационная температура | Изменено | Изменено | Изменено |
26.5.1.3 | 26.5.1.3 | Максимальная температура поверхности | Изменено | Изменено | Не применяется |
26.5.2 | 26.5.2 | Испытание на тепловой удар | Не применяется, за исключением случаев, когда применяется 6.1.2.3a) | Не применяется, за исключением случаев, когда применяется 6.1.3a) | Не применяется, за исключением случаев, когда применяется 6.1.2.3a) |
26.5.3 | 26.5.3 | Испытание малых элементов на воспламенение взрывоопасных смесей (электрооборудование групп I и II) | Применяется | Не применяется | Не применяется |
26.6 | 26.6 | Испытание проходных изоляторов крутящим моментом | Не применяется | Не применяется | Не применяется |
26.7 | 26.7 | Неметаллические оболочки или неметаллические части иных оболочек | Не применяется, за исключением случаев, когда применяется 6.1.2.3a) | Не применяется, за исключением случаев, когда применяется 6.1.3a) | Не применяется, за исключением случаев, когда применяется 6.1.2.3a) |
26.8 | 26.8 | Теплостойкость | Не применяется, за исключением случаев, когда применяется 6.1.2.3a) | Не применяется, за исключением случаев, когда применяется 6.1.3a) | Не применяется, за исключением случаев, когда применяется 6.1.2.3a) |
26.9 | 26.9 | Холодостойкость | Не применяется, за исключением случаев, когда применяется 6.1.2.3a) | Не применяется, за исключением случаев, когда применяется 6.1.3a) | Не применяется, за исключением случаев, когда применяется 6.1.2.3a) |
26.10 | 26.10 | Светостойкость | Не применяется, за исключением случаев, когда применяется 6.1.2.3a) | Не применяется, за исключением случаев, когда применяется 6.1.3a) | Не применяется, за исключением случаев, когда применяется 6.1.2.3a) |
26.11 | 26.11 | Стойкость электрооборудования группы I к воздействию химических агентов | Не применяется, за исключением случаев, когда применяется 6.1.2.3a) | Не применяется | Не применяется |
26.12 | 26.12 | Проверка целостности заземления | Не применяется | Не применяется | Не применяется |
26.13 | 26.13 | Испытание по определению сопротивления изоляции частей оболочек из неметаллических материалов | Применяется | Применяется | Не применяется |
26.15 | 26.14 | Измерение емкости | Применяется | Применяется | Не применяется |
Нет | 26.15 | Проверка номинальных характеристик вентиляторов | Не применяется | Не применяется | Не применяется |
Нет | 26.16 | Альтернативные испытания эластомерных уплотнительных колец | Не применяется, за исключением случаев, когда применяется 6.1.2.3a) | Не применяется, за исключением случаев, когда применяется 6.1.3a) | Не применяется, за исключением случаев, когда применяется 6.1.2.3a) |
27 | 27 | Контрольные испытания | Применяется | Применяется | Применяется |
28 | 28 | Ответственность изготовителей | Применяется | Применяется | Применяется |
29 | 29 | Маркировка | Применяется | Применяется | Применяется |
30 | 30 | Инструкции | Применяется | Применяется | Применяется |
Приложение A (обязательное) | Приложение A (обязательное) | Дополнительные требования к кабельным вводам | Не применяется | Не применяется | Не применяется |
Приложение B (обязательное) | Приложение B (обязательное) | Требования для Ex-компонентов | Применяется | Применяется | Применяется |
Приложение C (справочное) | Приложение C (справочное) | Пример установки для испытаний на ударостойкость | Применяется | Применяется | Не применяется, за исключением случаев, когда применяется 6.1.2.3a) |
Приложение D (справочное) | Нет | Альтернативный метод оценки риска с использованием уровней взрывозащиты оборудования для Ex-оборудования | Применяется | Применяется | Применяется |
Приложение E (справочное) | Приложение D (справочное) | Электродвигатели, получающие питание от преобразователей | Не применяется | Не применяется | Не применяется |
Нет | Приложение E (справочное) | Тепловые испытания электрических машин | Не применяется | Не применяется | Не применяется |
Нет | Приложение F (справочное) | Схема испытаний неметаллических оболочек или неметаллических частей иных оболочек (26.4) | Не применяется, за исключением случаев, когда применяется 6.1.2.3a) | Не применяется, за исключением случаев, когда применяется 6.1.3a) | Не применяется, за исключением случаев, когда применяется 6.1.2.3a) |
Применяется - Данное требование стандарта ГОСТ 31610.0 применяется без изменения. Не применяется - Данное требование стандарта ГОСТ 31610.0 не применяется. Не применяется, за исключением случаев... - Данное требование стандарта не применяется кроме тех случаев, когда соответствует требованиям заданных условий. Изменено - Данное требование стандарта ГОСТ 31610.0 изменено в соответствии с настоящим стандартом. Нет - Нет требований Примечание - Номера разделов в таблице 1 приводятся только для информации. Применимые требования ГОСТ 31610.0 определены названиями разделов, которые являются обязательными. Настоящая таблица была составлена с учетом специальных требований ГОСТ 31610.0 и IEC 60079-0, издание 6.0 [3]. Нумерация разделов предыдущего издания приведена только для информации, что позволяет при необходимости применять с настоящим стандартом требования стандарта IEC 60079-0, издание 5.0 [2]. При отсутствии требования (в таблице 1 - нет) или противоречии между требованиями необходимо руководствоваться требованиями последнего издания. |
Если требования настоящего стандарта распространяются как на искробезопасное оборудование, так и на связанное оборудование, то используют термин "оборудование".
Если требования настоящего стандарта распространяются только на электрооборудование, то используют термин "электрооборудование".
Если связанное оборудование находится во взрывоопасной среде, оно должно иметь соответствующий вид взрывозащиты из перечисленных в
ГОСТ 31610.0, и тогда требования этого метода взрывозащиты вместе с требованиями
ГОСТ 31610.0 также распространяются на связанное оборудование.
Выполнение требований настоящего стандарта не является достаточным условием для обеспечения безопасности оборудования, в котором возможны каталитические или другие химические реакции. Взрывозащита указанного оборудования должна быть обеспечена применением дополнительного вида взрывозащиты.
(абзац введен
Изменением N 1, введенным в действие Приказом Росстандарта от 21.10.2020 N 881-ст)
В настоящем стандарте использованы ссылки на следующие нормативные документы:
ГОСТ 14254-2015 (IEC 60529:2013) Степени защиты, обеспечиваемые оболочками (код IP)
(в ред.
Изменения N 1, введенного в действие Приказом Росстандарта от 21.10.2020 N 881-ст)
ГОСТ 27473-87 (МЭК 112-79) Материалы электроизоляционные твердые. Метод определения сравнительного и контрольного индексов трекингостойкости во влажной среде
ГОСТ 31610.7-2017 (IEC 60079-7:2015) Взрывоопасные среды. Часть 7. Оборудование. Повышенная защита вида "e"
(в ред.
Изменения N 1, введенного в действие Приказом Росстандарта от 21.10.2020 N 881-ст)
ГОСТ 31610.0-2014 (IEC 60079-0:2011) Взрывоопасные среды. Часть 0. Оборудование. Общие требования
ГОСТ 31610.35-1-2014 (IEC 60079-35-1:2011) Взрывоопасные среды. Часть 35-1. Головные светильники для применения в шахтах, опасных по рудничному газу. Общие требования и методы испытаний, относящиеся к риску взрыва
ГОСТ 31610.39-2017 (IEC/TS 60079-39:2015) Взрывоопасные среды. Часть 39. Искробезопасные системы с электронным ограничением длительности искрового разряда
(ссылка введена
Изменением N 1, введенным в действие Приказом Росстандарта от 21.10.2020 N 881-ст)
(ссылка введена
Изменением N 1, введенным в действие Приказом Росстандарта от 21.10.2020 N 881-ст)
ГОСТ IEC 60127-1-2010 Миниатюрные плавкие предохранители. Часть 1. Терминология для миниатюрных плавких предохранителей и общие требования к миниатюрным плавким вставкам
ГОСТ IEC 60950-1-2014 Оборудование информационных технологий. Требования безопасности. Часть 1. Общие требования
(ссылка введена
Изменением N 1, введенным в действие Приказом Росстандарта от 21.10.2020 N 881-ст)
ГОСТ IEC 60950-21-2013 Оборудование информационных технологий. Требования безопасности. Часть 21. Удаленное электропитание
(ссылка введена
Изменением N 1, введенным в действие Приказом Росстандарта от 21.10.2020 N 881-ст)
ГОСТ IEC 60950-22-2013 Оборудование информационных технологий. Требования безопасности. Часть 22. Оборудование, предназначенное для установки на открытом воздухе
(ссылка введена
Изменением N 1, введенным в действие Приказом Росстандарта от 21.10.2020 N 881-ст)
ГОСТ IEC 61010-1-2014 Безопасность электрических контрольно-измерительных приборов и лабораторного оборудования. Часть 1. Общие требования
(ссылка введена
Изменением N 1, введенным в действие Приказом Росстандарта от 21.10.2020 N 881-ст)
ГОСТ IEC 61558-2-6-2012 Безопасность силовых трансформаторов, источников питания, электрических реакторов и аналогичных изделий. Часть 2-6. Дополнительные требования и методы испытаний безопасных разделительных трансформаторов и источников питания с безопасными разделительными трансформаторами
(ссылка введена
Изменением N 1, введенным в действие Приказом Росстандарта от 21.10.2020 N 881-ст)
Примечание - При пользовании настоящим стандартом целесообразно проверить действие ссылочных стандартов в информационной системе общего пользования - на официальном сайте Федерального агентства по техническому регулированию и метрологии в сети Интернет или по ежегодному информационному указателю "Национальные стандарты", который опубликован по состоянию на 1 января текущего года, и по выпускам ежемесячного информационного указателя "Национальные стандарты" за текущий год. Если ссылочный стандарт заменен (изменен), то при пользовании настоящим стандартом следует руководствоваться заменяющим (измененным) стандартом. Если ссылочный стандарт отменен без замены, то положение, в котором дана ссылка на него, применяется в части, не затрагивающей эту ссылку.
В настоящем стандарте наряду с терминами и определениями по
ГОСТ 31610.0 используют следующие термины и определения:
3.1 Общие положения
3.1.1 искробезопасность "i" (intrinsic safety "i"): Вид взрывозащиты, основанный на ограничении электрической энергии в оборудовании и соединительной проводке, которые подвергаются воздействию потенциально взрывоопасной среды, до значения ниже уровня, вызывающего воспламенение от искрения или нагрева.
3.1.2 связанное оборудование (associated apparatus): Электрооборудование, которое содержит искробезопасные и искроопасные цепи, и сконструировано таким образом, что искроопасные цепи не могут оказывать отрицательное влияние на искробезопасные цепи.
Примечание - Связанным оборудованием может быть:
a) электрооборудование с другим видом взрывозащиты, указанным в
ГОСТ 31610.0, для применения в соответствующей взрывоопасной среде, или
b) электрооборудование без такой взрывозащиты, которое по этой причине не должно использоваться во взрывоопасной среде, например, регистрирующий прибор, находящийся вне взрывоопасной среды, но подключенный к термопаре, находящейся во взрывоопасной среде, при этом только входная цепь регистрирующего прибора является искробезопасной.
3.1.3 искробезопасное оборудование (intrinsically safe apparatus): Электрооборудование, в котором все цепи искробезопасны.
3.1.4 искробезопасная цепь (intrinsically safe circuit): Цепь, в которой в предписанных настоящим стандартом условиях, включая нормальные условия эксплуатации и указанные условия неисправности, никакие искрения или тепловые воздействия не вызывают воспламенения данной взрывоопасной среды.
3.1.5 простое оборудование (simple apparatus): Электрический элемент или комбинация элементов простой конструкции с точно определенными электрическими параметрами, и который(е) совместим(ы) с параметрами искробезопасной цепи, в которой они используются.
3.2 покрытие (coating): Изоляционный материал, например, лак или сухая смазочная пленка, нанесенные на поверхность сборного элемента.
Примечание - Покрытие и материал основы печатной платы образуют изолирующую систему, которая может обладать такими же свойствами, как твердая изоляция.
3.3 конформное покрытие (conformal coating): Электроизоляционный материал, наносимый в качестве покрытия на смонтированные печатные платы для получения тонкого слоя, соответствующего поверхности, для создания защитного экрана против вредных воздействий окружающей среды.
3.4 контрольный чертеж (control drawing): Чертеж или другой документ, подготовленный изготовителем для искробезопасного или связанного оборудования, содержащий подробные электрические параметры для подключения к другим электрическим цепям или оборудованию.
3.5 диодный барьер безопасности (diode safety barrier): Сборка элементов, состоящая из шунтирующих диодов или цепей диодов (в том числе стабилитронов), защищенных предохранителями или резисторами или их сочетанием, и предпочтительно изготовленная в виде отдельного электрооборудования, а не части более крупного оборудования.
3.6 принцип целого объекта (entity concept): Метод, используемый для определения приемлемых комбинаций искробезопасного и связанного оборудования с применением параметров искробезопасности соединительных устройств.
3.7 повреждения (faults)
3.7.1 учитываемое повреждение (countable fault): Повреждение, происходящее в частях электрооборудования, удовлетворяющего требованиям к конструкции согласно настоящему стандарту.
3.7.2 повреждение (fault): Повреждение любого элемента, разделения, изоляции или соединения между элементами, не являющегося неповреждаемым согласно настоящему стандарту, от которого зависит искробезопасность цепи.
3.7.3 неучитываемое повреждение (non-countable fault): Повреждение, происходящее в частях электрооборудования, не удовлетворяющего требованиям к конструкции согласно настоящему стандарту.
3.8
номинальный ток предохранителя In (fuse rating
In): Номинальный ток срабатывания предохранителя в соответствии со стандартами серии
ГОСТ IEC 60127,
[6] или в соответствии с техническими условиями изготовителя.
3.9 система полевой шины FISCO: Искробезопасная система полевой шины.
3.10 неповреждаемость (infallibility):
3.10.1 неповреждаемый элемент или неповреждаемая сборка элементов (infallible component or infallible assembly of components): Элемент или сборка элементов, которые в соответствии с настоящим стандартом рассматривается как не подверженный определенным повреждениям.
Примечание - Вероятность того, что такие повреждения произойдут в процессе эксплуатации или хранения, считают настолько низкой, что они не должны приниматься в расчет.
3.10.2 неповреждаемое соединение (infallible connection): Соединения, включая все возможные виды соединений проводов и печатных проводников, которые в соответствии с настоящим стандартом считаются неразмыкающимися при эксплуатации или хранении.
Примечание - Вероятность того, что такие повреждения произойдут в процессе эксплуатации или хранения, считают настолько низкой, что они не должны приниматься в расчет.
3.10.3 неповреждаемое разделение или неповреждаемая изоляция (infallible separation or infallible insulation): Разделение или изоляция между токопроводящими частями, которые в соответствии с настоящим стандартом рассматриваются как не подверженные коротким замыканиям.
Примечание - Вероятность того, что такие повреждения произойдут в процессе эксплуатации или хранения, считают настолько низкой, что они не должны приниматься в расчет.
3.11 внутренняя проводка (internal wiring): Проводка и электрические соединения, выполненные изготовителем внутри оборудования.
3.12 техобслуживание оборудования под напряжением (live maintenance): Техобслуживание, осуществляемое в то время, когда связанное оборудование, искробезопасное оборудование и цепи находятся под напряжением.
3.13 электрические параметры (electrical parameters).
3.13.1 максимальное входное напряжение (maximum input voltage Ui): Максимальное значение напряжения (постоянного или амплитудного значения переменного тока), которое допускается прикладывать к соединительным устройствам электрооборудования без нарушения вида взрывозащиты.
3.13.2 максимальный входной ток (maximum input current Ii): Максимальное значение тока (постоянного или амплитудное значение переменного тока), который может протекать в соединительных устройствах электрооборудования без нарушения вида взрывозащиты.
3.13.3 максимальная входная мощность (maximum input power Pi): Максимальное значение мощности, которое допускается подавать на соединительные устройства электрооборудования без нарушения вида взрывозащиты.
3.13.4 максимальная внутренняя емкость (maximum internal capacitance Ci): Максимальное значение эквивалентной внутренней емкости соединительных устройств электрооборудования.
3.13.5 максимальная внутренняя индуктивность (maximum internal inductance Li): Максимальное значение эквивалентной внутренней индуктивности соединительных устройств электрооборудования.
3.13.6 максимальное отношение внутренних индуктивности и сопротивления (Li/Ri) (maximum internal inductance to resistance ratio Li/Ri): максимальное значение отношения индуктивности к сопротивлению, которое может иметь место на внешних соединительных устройствах электрооборудования
3.13.7 максимальное выходное напряжение (maximum output voltage Uo): Максимальное значение напряжения (постоянного или амплитудное значение переменного тока) на соединительных устройствах электрооборудования в случае приложения любого напряжения, включая максимальное значение напряжения.
3.13.8 максимальный выходной ток (maximum output current Io): Максимальное значение тока (постоянного или амплитудное значение переменного), который может протекать в соединительных устройствах электрооборудования.
3.13.9 максимальная выходная мощность (maximum output power Po): Максимальное значение электрической мощности, которое может быть на выходных соединительных устройствах электрооборудования.
3.13.10 максимальная внешняя емкость (maximum external capacitance Co): Максимальное значение емкости, которую допускается подключать к соединительным устройствам электрооборудования без нарушения вида взрывозащиты.
3.13.11 максимальная внешняя индуктивность (maximum external inductance Lo): максимальное значение индуктивности, которую допускается подключать к соединительным устройствам электрооборудования без нарушения вида взрывозащиты.
3.13.12 максимальное отношение внешних индуктивности и сопротивления Lo/Ro (maximum external inductance to resistance ratio Lo/Ro): Максимальное значение отношения индуктивности к сопротивлению внешней электрической цепи, которое может иметь место на внешнем соединительном устройстве электрооборудования без нарушения его искробезопасности.
3.13.13 максимальное напряжение постоянного тока или эффективное значение переменного (Um) (maximum r.m.s. a.c. or d.c. voltage Um): Максимальное напряжение, которое может быть приложено к соединительным устройствам искроопасных цепей связанного оборудования без нарушения вида взрывозащиты.
Примечания
1 Это также относится к максимальному напряжению, которое может быть приложено к искроопасным соединительным устройствам искробезопасного электрооборудования (например, контакты для заряда на электрооборудовании, работающем от батарей, когда зарядка может осуществляться только за пределами взрывоопасной зоны).
2 Значение Um может быть различным для разных типов соединительных устройств, а также для напряжений переменного и постоянного тока.
3.14 категория перенапряжения (overvoltage category): Цифровое обозначение, определяющее условие перенапряжения переходного процесса.
[Определение 1.3.10,
[7]]
Примечание - Используются категории перенапряжения I, II, III и IV (см. 2.2.2.1 IEC 60064-1
[7]).
3.15 степень загрязнения (pollution degree): Цифровое обозначение ожидаемой степени загрязнения микросреды.
[Определение 1.3.13,
[7]]
Примечание - Используются степени загрязнения 1, 2, 3 и 4.
3.16 защитное сверхнизкое напряжение (protective extra-low voltage - PELV): Система со сверхнизким напряжением, которая не изолирована электрически от земли, но в других отношениях удовлетворяет требованиям к SELV.
Примечание - Система 50 В с заземлением с ответвлениями в средней точке - это система PELV.
3.17 номинальное напряжение изоляции (rated insulation voltage): Значение действующего выдерживаемого напряжения, указанное изготовителем для оборудования или его части, характеризующее указанную (долгосрочную) прочность его изоляции.
[Определение 1.3.9.1,
[7]].
Примечание - Номинальное напряжение изоляции не обязательно равно номинальному напряжению оборудования, которое, прежде всего, связано с функциональными характеристиками.
3.18 периодическое максимальное напряжение (recurring peak voltage): Значение максимального напряжения при периодических изменениях формы кривой напряжения, являющихся результатом искажений напряжения переменного тока или переключения элементов с напряжением переменного тока на напряжение постоянного тока.
Примечание - Случайные броски напряжения, например, при случайном включении, не считаются периодическим максимальным напряжением.
3.19 безопасное сверхнизкое напряжение (safety extra-low voltage - SELV): Система со сверхнизким напряжением (обычно не более 50 В переменного тока или 120 В постоянного тока без пульсации), которая электрически изолирована от земли и от других систем таким образом, что единичное повреждение не может вызвать электрический удар.
Примечание - Система 50 В без заземления - это система SELV.
3.20 герметизация (encapsulation/encapsulate): Процесс нанесения компаунда для защиты любого электрического устройства (устройств) любым приемлемым способом.
3.21 заливка (casting): Процесс заливки жидкого компаунда при нормальном давлении окружающей среды в форму для литья.
3.22 формование (moulding): Процесс размещения объекта в станок с полостью для формования и введение пластмассового материала вокруг помещенного компонента под давлением, применяемым для частичной и полной герметизации помещенного компонента.
Примечание - Данный процесс может также относиться к литьевому прессованию, формовке или формованию.
3.23 гальваническая изоляция (galvanic isolation): Расположение в оборудовании, которое позволяет осуществлять передачу сигнала или мощности между цепями без их прямого электрического соединения.
Примечание - Гальваническая изоляция часто применяет элементы с магнитами (трансформатор или реле) или элементы с оптическими средствами связи.
4 Классификация искробезопасного и связанного оборудования по группам и температурным классам
Искробезопасное и связанное оборудование с видом взрывозащиты, указанным в
ГОСТ 31610.0 для применения в соответствующей взрывоопасной среде, должно подразделяться на группы в соответствии с требованиями к группе оборудования
ГОСТ 31610.0 и классифицироваться по максимальной температуре поверхности или температурному классу согласно требованиям к температуре
ГОСТ 31610.0.
Связанное оборудование без вида взрывозащиты должно только подразделяться на группы согласно требованиям к группе оборудования
ГОСТ 31610.0.
5 Уровни взрывозащиты электрооборудования и соответствие требованиям в отношении воспламенения
Искробезопасное оборудование и искробезопасные части связанного оборудования должны быть отнесены к одному из уровней взрывозащиты "ia", "ib" или "ic".
Требования настоящего стандарта должны применяться ко всем уровням взрывозащиты, если не указано иное. При определении уровней взрывозащиты "ia", "ib" или "ic" повреждения элементов и соединений необходимо учитывать исходя из требований
7.6. Повреждения разделений между токопроводящими частями необходимо учитывать в соответствии с требованиями
6.3. При определении учитывают размыкание, закорачивание и заземление внешних искробезопасных соединительных устройств согласно
6.2.
Искробезопасные параметры для искробезопасного и связанного оборудования должны определяться с учетом требований в отношении искрового воспламенения по
5.5 и теплового воспламенения по
5.6.
Для цепей связанного оборудования, которые подключают к цепям с безопасным сверхнизким напряжением (SELV) или к цепям с защитным сверхнизким напряжением (PELV), напряжение
Um должно применяться только для напряжения общего вида, а номинальное рабочее напряжение прикладывают между проводниками цепи, как напряжение дифференциального вида (типичные примеры - цепи RS-232, RS-485 или 4 - 20 мА).
В маркировке взрывозащиты на связанное оборудование, использующее цепи SELV и PELV, должен быть указан знак "X" согласно требованиям к маркировке
ГОСТ 31610.0. Специальные условия применения, перечисленные в сертификате, должны содержать подробное описание необходимых мер предосторожности.
Если в предоставленной документации изготовитель определил методики техобслуживания под напряжением, то это техобслуживание под напряжением не должно нарушать искробезопасность, и это следует учитывать во время испытаний и оценки.
Примечания
1 Для оборудования могут быть заданы цепи нескольких уровней, и оно может иметь разные параметры для каждого из указанных уровней цепей.
2 При приложении напряжений Um, Ui в следующих разделах для оценки может применяться любое напряжение до максимального.
5.2 Уровень взрывозащиты "ia"
При приложении напряжений Um и Ui искробезопасные цепи электрооборудования уровня "ia" не должны вызывать воспламенение в каждом из следующих случаев:
a) при нормальной эксплуатации и введении всех неучитываемых повреждений, создающих наиболее опасные условия;
b) при нормальной эксплуатации, введении одного учитываемого и всех неучитываемых повреждений, создающих наиболее опасные условия;
c) при нормальной эксплуатации, введении двух учитываемых и всех неучитываемых повреждений, создающих наиболее опасные условия.
В каждом из вышеуказанных случаев неучитываемые повреждения могут быть различными.
При испытании или оценке цепей на искровое воспламенение необходимо использовать коэффициенты безопасности в соответствии с
10.1.4.2 для случаев:
Во всех случаях при оценке температурного класса поверхности коэффициент безопасности по напряжению или току должен быть равен 1,0.
Если может возникнуть только одно учитываемое повреждение, то для присвоения искробезопасной цепи уровня "ia" принимают во внимание требования
перечислений a) и
b), при условии выполнения требований настоящего стандарта к испытаниям искробезопасной цепи уровня "ia". Если учитываемые повреждения не могут возникнуть, то для присвоения искробезопасной цепи уровня "ia" принимают во внимание требования
перечисления a), при условии выполнения требований настоящего стандарта к испытаниям искробезопасной цепи уровня "ia".
5.3 Уровень взрывозащиты "ib"
При приложении напряжений Um и Ui искробезопасные цепи электрооборудования уровня "ib" не должны вызывать воспламенение в каждом из следующих случаев:
a) при нормальной эксплуатации и введении всех неучитываемых повреждений, создающих наиболее опасные условия;
b) при нормальной эксплуатации и введении одного учитываемого и всех неучитываемых повреждений, создающих наиболее опасные условия.
В каждом из вышеуказанных случаев неучитываемые повреждения могут быть различными.
При испытании или оценке цепей на искровое воспламенение необходимо использовать коэффициент безопасности 1,5 в соответствии с
10.1.4.2. Во всех случаях при оценке температурного класса поверхности коэффициент безопасности по напряжению или току должен быть равен 1,0.
Если учитываемые повреждения не могут возникнуть, то для присвоения искробезопасной цепи уровня "ib" принимают во внимание требования
перечисления a), при условии выполнения требований настоящего стандарта к испытаниям искробезопасной цепи уровня "ib".
5.4 Уровень взрывозащиты "ic"
При приложении напряжений Um и Ui искробезопасные цепи электрооборудования уровня "ic" не должны вызывать воспламенение взрывоопасной смеси при нормальной эксплуатации и при условиях, заданных настоящим стандартом.
При испытании или оценке цепей на искровое воспламенение необходимо использовать коэффициент безопасности 1,0 в соответствии с
10.1.4.2. Во всех случаях при оценке температурного класса поверхности коэффициент искробезопасности по току или напряжению должен быть равен 1,0.
Примечание - Понятие учитываемых повреждений не применяется к этому уровню взрывозащиты. Неповреждаемые элементы и сборка элементов по
разделу 8 не применяются. Для искробезопасной цепи уровня взрывозащиты "ic" термин "неповреждаемый" следует понимать как "соответствующий требованиям
7.1".
Дополнительные сведения, применяемые для оценки оборудования с уровнем взрывозащиты "ic", изложены в приложении I.
(в ред.
Изменения N 1, введенного в действие Приказом Росстандарта от 21.10.2020 N 881-ст)
5.5 Соответствие требованиям в отношении искрового воспламенения
Необходимо оценить и/или испытать цепь на эффективное ограничение энергии искры, которая может вызывать воспламенение взрывоопасной среды, в каждой точке, где может произойти разъединение или соединение, в соответствии с
10.1.
Цепи оборудования группы III, подверженные воздействию пыли, испытывают на искровое воспламенение в соответствии с требованиями к оборудованию группы IIB.
5.6 Соответствие требованиям в отношении теплового воспламенения
Необходимо оценить и/или испытать максимальную температуру всех поверхностей компонентов, оболочек, проводки и печатных проводников, которые могут контактировать с взрывоопасными средами. Максимальная температура, допустимая после введения повреждений по
5.2,
5.3 и
5.4, должна быть в соответствии с требованиями к температуре
ГОСТ 31610.0.
Испытания, если они необходимы, указаны в
10.2.
Примечания
1 Требования данного подпункта не применяются к связанному оборудованию с другим видом взрывозащиты из перечисленных в
ГОСТ 31610.0 или находящемуся вне взрывоопасной зоны.
2 Необходимо особенно тщательно выбирать материалы для применения вблизи высокотемпературных элементов, например, элементов, батарей или элементов, способных рассеивать мощность более 1,3 Вт в условиях повреждения, определенных в
разделе 5, для предупреждения вторичного воспламенения взрывоопасной среды, например, вследствие нагрева или горения печатных плат, покрытий, корпусов элементов.
5.6.2 Температура поверхности малых элементов оборудования группы I и II
Требования к значениям температур малых элементов, используемых в оборудовании для группы I или II, приведены в требованиях к температуре малых компонентов для электрооборудования группы I или II
ГОСТ 31610.0 и требования к испытаниям указаны в требованиях к испытаниям малых компонентов на воспламенение взрывоопасных смесей
ГОСТ 31610.0.
Коэффициент безопасности 5 К и 10 К, необходимый согласно требованиям к максимальной температуре поверхности
ГОСТ 31610.0 не применяется к максимальной температуре поверхности 200 °C, 275 °C и 950 °C, приведенным в таблице. Оценка классификации температурных классов в соответствии с размером компонента при температуре 40 °C в
ГОСТ 31610.0.
Примечание - Исключено с 01.04.2021. -
Изменение N 1, введенное в действие Приказом Росстандарта от 21.10.2020 N 881-ст.
5.6.3 Провода внутреннего монтажа для группы I и II
Максимально допустимый ток, соответствующий максимальной температуре самонагрева провода, берут из
таблицы 2 для медных проводников или вычисляют по следующей формуле для всех металлов:

, (1)
где a - температурный коэффициент сопротивления материала проводника (для меди a = 0,004284 К-1, для золота a = 0,004201 К-1);
I - максимально допустимый действующий ток, А;
If - ток плавления проводника при максимальной указанной температуре окружающей среды, А;
T - температура плавления материала проводника, °C (для меди - 1083 °C, для золота - 1064 °C);
t - пороговая температура в °C для данного температурного класса. Значение t - это температура проводника вследствие самонагрева и нагрева от окружающей среды.
Таблица 2
Температурная классификация медной проводки
(при максимальной температуре окружающей среды 40 °C)
| | Максимально допустимый ток, А, для температурного класса |
T1 - T4 и группы I | T5 | T6 |
0,035 | 0,000962 | 0,53 | 0,48 | 0,43 |
0,05 | 0,00196 | 1,04 | 0,93 | 0,84 |
0,1 | 0,00785 | 2,1 | 1,9 | 1,7 |
0,2 | 0,0314 | 3,7 | 3,3 | 3,0 |
0,35 | 0,0962 | 6,4 | 5,6 | 5,0 |
0,5 | 0,196 | 7,7 | 6,9 | 6,7 |
Примечания 1 Указаны максимально допустимые значения постоянного или эффективные значения переменного тока в амперах. 2 Для многожильных проводников в качестве площади поперечного сечения принимают общую площадь всех жил проводника. 3 Таблица относится к гибким плоским проводникам, например, ленточным кабелям, но не распространяется на проводники печатных плат (см. 5.6.4). 4 В качестве диаметра и площади поперечного сечения принимают номинальные значения, приведенные изготовителем провода. |
| | ИС МЕГАНОРМ: примечание. В официальном тексте документа, видимо, допущена опечатка: таблицы 3a и 3b отсутствуют. | |
|
5 Если максимальная мощность не превышает 1,3 Вт, проводка может быть отнесена к температурному классу T4 и использоваться в электрооборудовании группы I. Для группы I, если попадание пыли исключено, допускается максимальная мощность 3,3 Вт при температуре окружающей среды до 40 °C. Для определения максимальной мощности при температуре окружающей среды выше 40 °C (см. таблицу 3a и 3b). |
Пример - Тонкий медный проводник (Температурный класс - T4)
a = 0,004284 К-1
If = 1,6 А (определяется экспериментально или указан изготовителем проводника)
T = 1083 °C
t: для T4 (малый элемент, t <= 275 °C)
Применив формулу, получим:
I = 1,3 А (это максимально допустимый ток в нормальных условиях или в условиях повреждения, при котором температура проводника не превысит 275 °C).
5.6.4 Печатные проводники для группы I и II
Температурный класс печатных проводников определяют на основании имеющихся данных или методом проведения измерений.
Для медных печатных проводников температурный класс можно определять по таблице 3.
Таблица 3
Температурная классификация проводников печатных плат
(при максимальной температуре окружающей среды 40 °C)
Минимальная ширина печатного проводника, мм | Максимальный допустимый ток для температурных классов, А |
T1 - T4 и Группа I | T5 | T6 |
0,075 | 0,8 | 0,6 | 0,5 |
0,100 | 1,0 | 0,8 | 0,7 |
0,125 | 1,2 | 1,0 | 0,8 |
0,150 | 1,4 | 1,1 | 1,0 |
0,200 | 1,8 | 1,4 | 1,2 |
0,300 | 2,4 | 1,9 | 1,7 |
0,400 | 3,0 | 2,4 | 2,1 |
0,500 | 3,5 | 2,8 | 2,5 |
0,700 | 4,6 | 3,5 | 3,2 |
1,000 | 5,9 | 4,8 | 4,1 |
1,500 | 8,0 | 6,4 | 5,6 |
2,000 | 9,9 | 7,9 | 6,9 |
2,500 | 11,6 | 9,3 | 8,1 |
3,000 | 13,3 | 10,7 | 9,3 |
4,000 | 16,4 | 13,2 | 11,4 |
5,000 | 19,3 | 15,5 | 13,5 |
6,000 | 22,0 | 17,7 | 15,4 |
Примечание - Указаны максимально допустимые значения постоянного или эффективные значения переменного тока в амперах. Таблица относится к печатным платам толщиной 1,6 мм и более со слоем меди толщиной не менее 33 мкм. Для плат толщиной от 0,5 до 1,6 мм максимальный ток уменьшают в 1,2 раза. Для двухсторонних печатных плат максимальный ток уменьшают в 1,5 раза. Для многослойных плат максимальный ток уменьшают в 2 раза для рассматриваемого слоя проводника. При толщине слоя меди 18 мкм максимальный ток уменьшают в 1,5 раза. При толщине слоя меди 70 мкм максимальный ток увеличивают в 1,3 раза. При прохождении печатного проводника под элементами, рассеивающими при нормальной работе или повреждениях мощность 0,25 Вт или более, ток уменьшают в 1,5 раза. В месте подключения элементов, рассеивающих при нормальной работе или повреждениях мощность 0,25 Вт и более, ширину дорожки увеличивают в 3 раза на длине 1,0 мм или уменьшают в 2 раза максимальный ток. Дополнительно, если печатный проводник проходит под элементом, используют коэффициент, указанный для дорожек, проходящих под компонентами, рассеивающими 0,25 Вт или более. Для температуры окружающей среды до 60 °C максимальный ток уменьшают в 1,2 раза. Для температуры окружающей среды до 80 °C максимальный ток уменьшают в 1,3 раза. |
Например, печатные одно- или двухсторонние платы толщиной не менее 0,5 мм, с печатными проводниками толщиной не менее 33 мкм, применяя коэффициенты, указанные в
примечаниях к таблице 3, относят к температурному классу T4 или допускают для применения в оборудовании группы I, если они имеют минимальную ширину печатного проводника 0,3 мм, а длительно протекающий по ним ток не превышает 0,444 А. Аналогично печатные проводники минимальной ширины 0,5, 1,0 и 2,0 мм относят к температурному классу T4 при максимальных токах 0,648 А, 1,092 А и 1,833 А соответственно.
Температурную классификацию печатных проводников длиной 10 мм или менее не проводят.
Если температурный класс печатного проводника определяют экспериментально, необходимо использовать максимальный длительно протекающий ток.
Допустимые отклонения при изготовлении печатных плат не должны уменьшать минимальную ширину печатного проводника более, чем на 10% или 1 мм, в зависимости от того, какое из значений меньше.
Если испытания не проводятся, при максимальной мощности не более 1,3 Вт печатные проводники могут быть отнесены к температурному классу T4, или допускаются для применения в электрооборудовании группы I.
Для группы I, если попадание пыли исключено, допустима мощность 3,3 Вт.
Максимальную мощность при температуре окружающей среды выше 40 °C определяют в соответствии с таблицей для оценки температурной классификации площади поверхности компонентов >= 20 мм
2. Изменение максимальной мощности рассеивания от температуры окружающей среды в
ГОСТ 31610.0.
5.6.5 Температура искробезопасного оборудования и компонентов для группы III
Максимальную температуру поверхности для искробезопасного оборудования группы III определяют согласно пункту "Измерение температуры"
ГОСТ 31610.0. Измерения должны быть проведены с использованием определенных значений
Ui и
Ii для искробезопасного оборудования без 10% коэффициента безопасности. Температура должна быть такой, как температура поверхности искробезопасного оборудования, которое взаимодействует с пылью. Например, для искробезопасного оборудования, защищенного оболочкой по крайней мере IP5X, температура поверхности оболочки должна быть измерена.
(в ред.
Изменения N 1, введенного в действие Приказом Росстандарта от 21.10.2020 N 881-ст)
В альтернативном случае искробезопасное оборудование должно считаться соответствующим требованиям к полному погружению или неконтролируемому слою пыли, если соответствующее рассеивание мощности в любом компоненте согласно таблице 4, а ток короткого замыкания - менее 250 мА. Искробезопасное оборудование должно быть промаркировано T135 °C.
Таблица 4
Максимальное допустимое рассеивание мощности
в элементе, погруженном в пыль
Максимальная температура окружающей среды, °C | 40 | 70 | 100 |
Допустимая мощность, мВ | 750 | 650 | 550 |
К простому оборудованию относят:
a) пассивные элементы, например выключатели, соединительные коробки, резисторы и простые полупроводниковые устройства;
b) устройства, накапливающие энергию, состоящие из единичных элементов в простых цепях с определенными параметрами, например конденсаторы или катушки индуктивности, значения которых должны учитываться при определении общей безопасности системы;
c) источники генерируемой энергии, например термопары и фотоэлементы, в которых любая из генерируемых ими величин не превышает 1,5 В, 100 мА и 25 мВт.
Простое оборудование должно соответствовать всем требованиям настоящего стандарта, кроме
раздела 12. Изготовитель или проектировщик искробезопасной системы должен доказать соответствие данному пункту, включая спецификации материалов и протоколы испытаний (если применяются).
Всегда необходимо учитывать следующие аспекты:
- Безопасность простого электрооборудования не должна обеспечиваться применением ограничительных устройств по току и/или напряжению.
- Простое оборудование не должно содержать средства, увеличивающие значения тока или напряжения, например, преобразователи постоянного тока.
- В тех случаях, когда простое электрооборудование должно сохранять целостность изоляции искробезопасной цепи от земли, оно должно выдерживать испытательное напряжение по отношению к заземлению в соответствии с
6.3.13. Его зажимы должны отвечать требованиям
6.2.1.
- Неметаллические оболочки или оболочки из легких сплавов, в случае их размещения во взрывоопасной газовой среде, должны удовлетворять требованиям к электростатическим зарядам на внешних неметаллических материалах и к доступным металлическим частям
ГОСТ 31610.0.
- Если простое электрооборудование установлено во взрывоопасной среде, то необходимо оценить максимальную температуру поверхности. При использовании в искробезопасной цепи в пределах своих номинальных характеристик и при максимальной температуре окружающей среды 40 °C переключатели, патроны, штепсели и зажимы должны иметь максимальную температуру поверхности менее 85 °C, то есть относиться к температурному классу T6 для применений группы II, и также должны быть пригодны для применений группы I и группы III. Температурный класс других типов простого оборудования должен оцениваться в соответствии с
разделом 5.6 настоящего стандарта.
Если простое электрооборудование является частью электрооборудования, содержащего другие электрические цепи, всю систему необходимо оценивать в соответствии с требованиями настоящего стандарта.
Примечания
1 Датчики, в которых используется каталитическая реакция или другие электрохимические принципы, обычно не являются простым электрооборудованием. Необходима консультация специалистов по их применению.
2 Настоящий стандарт не устанавливает требования о необходимости проверки соответствия простого электрооборудования спецификации изготовителя.
6 Требования к конструкции оборудования
Примечание - Если в соответствующих подпунктах не указано иное, то требования настоящего раздела относятся только к конструктивным особенностям искробезопасного и связанного оборудования, которые влияют на данный вид взрывозащиты.
Например, требования по герметизации заливочным компаундом применяют только в случае, если герметизация необходима для выполнения требований
6.3.5 или
6.6.
6.1.1 Общие требования
Если искробезопасность может быть нарушена в результате попадания влаги, пыли или доступа к токопроводящим частям, например, если цепи содержат неповреждаемые пути утечки, необходима оболочка.
Необходимая степень защиты зависит от условий эксплуатации; например, для электрооборудования группы I может потребоваться степень защиты IP 54 в соответствии с
ГОСТ 14254.
(в ред.
Изменения N 1, введенного в действие Приказом Росстандарта от 21.10.2020 N 881-ст)
Конструкция оболочки не обязательно должна быть одинаковой для защиты от прикосновения к токопроводящим частям, находящимся под напряжением, и от попадания внутрь посторонних твердых предметов и жидкостей.
За обозначение поверхностей, образующих границы оболочки, отвечает изготовитель. Это обозначение должно быть записано в заключительном варианте документации (см.
раздел 13).
6.1.2 Оболочки для оборудования группы I или II
6.1.2.1 Общие требования
Искробезопасное и связанное оборудование, которое рассчитано на разделения в
таблице 5 или
приложении F, должно быть снабжено оболочкой, отвечающей требованиям
6.1.2.2 или
6.1.2.3 соответственно.
6.1.2.2 Оборудование, соответствующее
таблице 5
Оборудование, отвечающее требованиям к разделениям
таблицы 5, должно быть снабжено оболочкой со степенью защиты IP20 в соответствии с требованиями
ГОСТ 14254 или выше в соответствии с условиями эксплуатации и условиями окружающей среды.
(в ред.
Изменения N 1, введенного в действие Приказом Росстандарта от 21.10.2020 N 881-ст)
Оболочка не обязательно должна подвергаться испытаниям для оболочек по
ГОСТ 31610.0, однако для переносного оборудования проводят испытание сбрасыванием по
ГОСТ 31610.0.
Оборудование, отвечающее требованиям к разделениям
таблицы F.1 и
F.2, должно быть снабжено защитой для обеспечения степени загрязнения 2. Этого достигают одним из способов:
a) оболочкой со степенью защиты IP54 или выше в соответствии с
ГОСТ 14254 в соответствии с условиями эксплуатации или условиями окружающей среды. В
таблице 1 приведены дополнительные сведения
ГОСТ 31610.0, применяемые для данных оболочек;
(в ред.
Изменения N 1, введенного в действие Приказом Росстандарта от 21.10.2020 N 881-ст)
Примечание -
Данное требование не применяется, если разделения защищены другими способами, помимо оболочки, такими как герметизация или конформное покрытие, указанными в перечислении 6.1.3 b) настоящего стандарта. Требования к оболочкам изложены в 6.2, 6.5, 7.1.1, 7.1.2.1, 7.1.2.2, 7.1.2.3, 7.2, 7.3, 12, 16, 26.4.1, 26.4.1.1, 26.4.1.2, 26.4.1.2.1, 26.4.1.2.2, 26.4.2, 26.4.3, 26.4.4, 26.5.2, 26.7, 26.8, 26.9, 26.10, 26.16, приложении C и приложении F ГОСТ 31610.0.
(примечание введено
Изменением N 1, введенным в действие Приказом Росстандарта от 21.10.2020 N 881-ст)
b) оболочкой со степенью защиты IP20 или выше в соответствии с
ГОСТ 14254 при условии, что разделения обеспечены с помощью покрытия типа 1 или 2 или заливочного компаунда или через твердую изоляцию. Нет необходимости подвергать оболочку испытаниям для оболочек согласно
ГОСТ 31610.0; однако для переносного оборудования проводят испытание сбрасыванием по
ГОСТ 31610.0;
(в ред.
Изменения N 1, введенного в действие Приказом Росстандарта от 21.10.2020 N 881-ст)
c) оболочкой со степенью защиты IP20 и ограничением монтажа при условии, что будут указаны требования к ограничению монтажа в специальных условиях применения. Номер сертификата на электрооборудование должен содержать знак "X" согласно требованиям к маркировке
ГОСТ 31610.0. В специальных требованиях применения, перечисленных в сертификате, должны указываться подробные необходимые меры предосторожности.
6.1.3 Оболочки для оборудования группы III
Искробезопасность искробезопасного оборудования может быть нарушена в результате попадания пыли или доступа к токопроводящим частям, например, если цепи содержат неповреждаемые пути утечки, необходима оболочка:
(в ред.
Изменения N 1, введенного в действие Приказом Росстандарта от 21.10.2020 N 881-ст)
b) При разделении, отвечающим требованиям расстояниям под покрытиям, заливочным компаундом или путям утечки через твердую изоляцию
таблицы 5 или
приложения F, оболочка должна обеспечивать степень защиты по крайней мере IP2X согласно
ГОСТ 14254. Нет необходимости подвергать оболочку испытаниям для оболочек
ГОСТ 31610.0, однако переносное оборудование необходимо подвергать испытанию сбрасыванием согласно
ГОСТ 31610.0.
(в ред.
Изменения N 1, введенного в действие Приказом Росстандарта от 21.10.2020 N 881-ст)
Оболочки связанного оборудования группы III должны соответствовать требованиями
6.1.2.
6.2 Соединительные устройства для подключения внешних цепей
В дополнение к тому, что зажимы для искробезопасных цепей должны отвечать требованиям
6.3, они должны быть отделены от зажимов искроопасных цепей одним или несколькими способами, указанными в
перечислении a) или
b).
Эти способы разделения также применяют, когда искробезопасность может быть нарушена внешней проводкой, которая, отсоединившись от зажима, может замкнуться на проводники или элементы.
Примечание 1 - Зажимы для подсоединения внешних цепей к искробезопасному и связанному электрооборудованию должны быть выполнены таким образом, чтобы они не повреждались при выполнении соединений.
a) Если разделение обеспечивается зазором, то электрический зазор между неизолированными токопроводящими частями зажимов должен быть не менее 50 мм.
Примечание 2 - Расположение зажимов и метод монтажа должны быть такими, чтобы контакт между цепями в случае смещения проводки был маловероятен.
b) Если разделение выполнено размещением зажимов искробезопасных и искроопасных цепей в раздельных оболочках или за счет использования изоляционной перегородки, или заземленной металлической перегородки между зажимами под общей крышкой, должны быть выполнены следующие условия:
1) края перегородок, используемых для разделения зажимов, должны отступать от стенок не более чем на 1,5 мм или должно обеспечиваться минимальное расстояние 50 мм между зажимами в любом направлении вокруг перегородки;
2) металлические перегородки должны быть заземлены и иметь достаточную прочность и жесткость, чтобы не разрушаться при монтаже. Толщина таких перегородок должна быть не менее 0,45 мм. При меньшей толщине перегородки должны соответствовать требованиям
10.6.3. Заземленные металлические перегородки также должны пропускать максимальный ток, возможный в аварийных режимах без прогорания перегородки или повреждения цепи заземления;
3) неметаллические изолирующие перегородки должны иметь соответствующий коэффициент трекингостойкости, достаточную толщину и крепиться таким образом, чтобы быть устойчивыми к деформациям, которые могут воспрепятствовать их применению по назначению. Толщина таких перегородок должна быть не менее 0,9 мм. При меньшей толщине перегородки должны удовлетворять требованиям
10.6.3.
Значения электрических зазоров и путей утечки между неизолированными токопроводящими частями зажимов различных искробезопасных цепей и заземленными или без напряжения токопроводящими частями должны быть не менее значений, приведенных в
таблице 5 или равны им.
Значения электрических зазоров между неизолированными токопроводящими частями внешних соединительных средств раздельных искробезопасных цепей должны быть равны:
- не менее 6 мм между раздельными искробезопасными цепями;
- не менее 3 мм от заземленных частей, если при оценке безопасности не было учтено заземление.
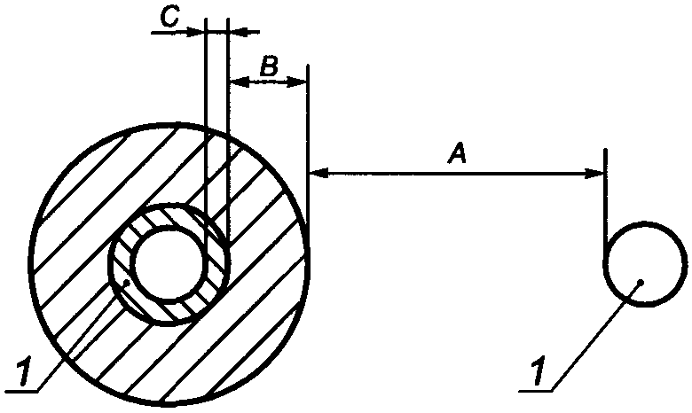
При измерении зазоров вокруг твердых изоляционных стенок или перегородок следует руководствоваться рисунком 1. Необходимо учитывать возможное перемещение жестко не закрепленных металлических частей.
1 - токопроводящая часть; T - электрические зазоры и длина
путей утечки в соответствии с
6.3;
d - электрические зазоры
на внешних соединительных устройствах зажимов
Примечание - Указанные размеры - это значения электрических зазоров и длины путей утечки вокруг изоляции в миллиметрах, как указано выше, и не толщины изоляции.
Рисунок 1a - Требования к зазорам и длине путей утечки
для зажимов, к которым подключены гальванически
не связанные искробезопасные цепи
Рисунок 1 - Разделение искробезопасных
и искроопасных зажимов
1 - защитный слой: непроводящая или токопроводящая
и заземленная часть; 2 - перегородка в соответствии
с
6.2.1.b), в данном примере перегородка - однородная
с основанием или прочно соединенная с ним; T - электрические
зазоры и длина пути утечки в соответствии с
6.3;
d1 >= 3 мм для токопроводящего заземленного слоя;
d2 >= 6 мм; d3 >= 50 мм или d4 <= 1,5 мм
Примечание - Указанные размеры - это значения электрических зазоров и длины пути утечки вокруг изоляции, как указано выше, а не толщины изоляции.
Рисунок 1b - Пример разделения искробезопасных
и искроопасных зажимов с помощью перегородки
Рисунок 1, лист 2
6.2.2 Электрические разъемы
Конструкция электрических разъемов, предназначенных для подключения внешних искробезопасных цепей, должна отличаться от конструкции разъемов для искроопасных цепей и не должна допускать взаимозаменяемости.
Если в искробезопасном или связанном электрооборудовании используют несколько электрических разъемов для внешних соединений, и неправильное соединение может отрицательно повлиять на вид взрывозащиты, должны быть приняты меры, исключающие возможность их неправильного соединения, например, при помощи ключа, или разъемы должны быть идентифицированы маркировкой или цветовым кодом.
Присоединение проводов к разъемам не выполнено заводским способом, оно должно выполняться в соответствии с
6.2.1. При использовании специального инструмента, например, с помощью загибания, исключающего возможность отсоединения жилы проводника, разъемы должны отвечать только требованиям
таблицы 5.
Соединитель, содержащий цепи заземления, повреждение которых может оказать влияние на искробезопасность электрической цепи, должен быть выполнен в соответствии с
6.5.
6.2.3 Определение отношения максимальной внешней индуктивности к сопротивлению (Lo/Ro) для источника питания с ограниченным сопротивлением
Отношение максимальной внешней индуктивности к сопротивлению (Lo/Ro), которые могут быть подключены к источнику питания с ограниченным сопротивлением, рассчитывают по приведенной ниже формуле. В этой формуле учитывается коэффициент безопасности 1,5 по току, и она не должна использоваться, когда Cs на выходных зажимах электрооборудования превышает 1% Co.

, (2)
где e - минимальная воспламеняющая энергия искрообразующего механизма, Дж, составляющая для электрооборудования:
- группы I | 525·мкДж, |
- подгруппы IIA | 320·мкДж, |
- IIB | 160·мкДж, |
- IIC | 40·мкДж; |
Rs - минимальное выходное сопротивление источника питания, Ом;
Uo - максимальное напряжение холостого хода, В;
Ls - максимальная индуктивность на зажимах источника питания, Гн;
Cs - максимальная емкость на зажимах источника питания, Ф.
При Ls = 0

.
При коэффициенте безопасности, равном 1, значение Lo/Ro должно быть увеличено в 2,25 раза.
Примечания
1 Обычно отношение Lo/Ro применяют для оценки влияния распределенных параметров, например, кабеля, а его применение для сосредоточенных значений индуктивности и сопротивления требует особого рассмотрения.
2 Отношение
Lo/
Ro может быть определено экспериментально для нелинейных источников питания с помощью испытания цепи с несколькими дискретными величинами
Lo и
Ro методами, описанными в
10.1. Диапазон используемых значений
Ro должен изменяться практически от значений для короткого замыкания (максимальный
Io) до значений для холостого хода (
Io почти равен нулю), и тенденция изменения должна гарантировать, что
Lo/
Ro не приведет к отрицательным результатам испытаний.
6.2.4 Постоянно подсоединенные кабели
Электрооборудование, сконструированное с постоянно подсоединенным кабелем для внешних соединений, должно пройти испытание на растяжение кабеля в соответствии с
10.9, если повреждение выводов в электрооборудовании может привести к нарушению искробезопасности, например, если в кабеле несколько искробезопасных цепей и повреждение может вызвать опасное соединение.
6.2.5 Требования к соединениям и вспомогательному оборудованию для искробезопасного оборудования, расположенного в невзрывоопасной зоне
Искробезопасное оборудование может быть снабжено соединительными устройствами, которые не допускается использовать во взрывоопасной зоне, например, соединения, загружающие данные и соединения зарядного аккумуляторного устройства. Такие устройства должны быть снабжены защитой, чтобы номинальные параметры защитных компонентов внутри искробезопасного оборудования соответствовали требованию
7.1. Использование шунтирующих устройств, защищенных предохранителями, удовлетворяющих требованиям
7.5.2 и
7.3 соответственно, является достаточной защитой от перегрузок
элементов, от которых зависит искробезопасность.
(в ред.
Изменения N 1, введенного в действие Приказом Росстандарта от 21.10.2020 N 881-ст)
Если данные соединения используют для соединения с зарядным аккумуляторным устройством, должны соблюдаться требования
7.4.9.
Защитная цепь и компоненты могут находиться в искробезопасном оборудовании или в оборудовании для невзрывоопасной зоны. Какая-либо часть защитной цепи, расположенная во вспомогательном оборудовании невзрывоопасной зоны, должна быть оценена в соответствии с требованиями настоящего стандарта, а вспомогательное оборудование должно быть указано в документации.
Максимальное напряжение Um, которое может применяться к соединениям безопасной зоны, должно быть указано в документации и промаркировано на искробезопасном оборудовании. Напряжение Um на вводных устройствах должно считаться нормальным напряжением сети, например 250 В переменного тока, если в маркировке не указано иного.
Примечание -
Если напряжение Um меньше, чем 250 В переменного тока, то данное значение не следует принимать без оценки оборудования, за исключением случаев, когда оно должно быть установлено в соответствии с ГОСТ IEC 60079-14:
a) там, где Um не превышает 50 В переменного тока или 120 В постоянного тока в системе защитного или безопасного сверхнизкого напряжения;
b) с помощью безопасного разделяющего трансформатора, отвечающего требованиям ГОСТ IEC 61558-2-6 или техническим требованиям эквивалентного стандарта;
d) с питанием от аккумулятора или батареи напрямую.
Специальные условия применения должны быть указаны в сертификате соответствия и эксплуатационной документации, предоставляемой потребителю.
(примечание в ред.
Изменения N 1, введенного в действие Приказом Росстандарта от 21.10.2020 N 881-ст)
В дополнение цепь искробезопасного оборудования должна быть снабжена средствами для предупреждения передачи энергии, способной вызвать воспламенение, на соединения безопасной зоны при расположении во взрывоопасной зоне.
Примечание - Данные требования не распространяются на использование соединений изготовителем при производстве, испытании, ремонте или переборке.
6.3 Разделительные расстояния
Требования к разделительным расстояниям приведены в разделах 6.3.2 -
6.3.14. Альтернативный метод определения размеров разделительных расстояний приведен в
приложении F.
6.3.2 Разделение токопроводящих частей
Разделения между:
- искробезопасной и искроопасной цепями; или
- разными искробезопасными цепями; или
- цепью и заземленными или изолированными металлическими частями
должны соответствовать следующим требованиям, если вид защиты зависит от разделений.
Разделительные расстояния следует измерять или оценивать с учетом возможного смещения проводников или токопроводящих частей. Технологические допуски при изготовлении не должны уменьшать зазоры более, чем на 1 мм или 10% (берут меньшее из двух значений).
Состоянием неисправности при нарушении разделения считают только короткое замыкание.
Настоящим стандартом не регламентируются требования к разделениям, когда искробезопасная цепь отделена от других цепей заземленным(ой) металлическим(ой), например, печатным проводником или перегородкой при условии, что пробой на землю не нарушает вид защиты и, что заземленная токопроводящая часть может нести максимальный ток, который будет протекать по ней в аварийных условиях. Требования к путям утечки не применяются, если заземленные печатные проводники разделяют токопроводящие пути, требующие разделения, но применяются требования к электрическим зазорам. Требования к электрическим зазорам не применяются, если заземленная металлическая перегородка значительной высоты не допускает перехода заряда между компонентами, требующими разделения.
Примечание 1 - Вид защиты зависит от разделений до заземленных или изолированных металлических частей, если токоограничивающий резистор может быть обойден короткими замыканиями между цепью и заземленной или изолированной металлической частью.
Заземленная металлическая перегородка должна быть прочной и жестко закрепленной на основной конструкции, чтобы исключить повреждение. Она должна иметь достаточную толщину и токопроводящую способность, чтобы исключить прогорание или повреждения цепи заземления в неисправном состоянии. Перегородка должна иметь толщину не менее 0,45 мм и должна быть прочно закреплена на жесткой металлической заземленной части устройства или при меньшей толщине должна соответствовать
10.6.3.
Если неметаллическая изолирующая перегородка толщиной и с соответствующим сравнительным индексом трекингостойкости (СИТ) согласно
таблице 5 установлена между токопроводящими частями, электрические зазоры, пути утечки и другие разделительные расстояния измеряют вокруг перегородки, при условии, что ее толщина составляет не менее 0,9 мм, а при меньшей толщине механическую прочность перегородки испытывают в соответствии с
10.6.3.
Для искробезопасных цепей уровней "ia" и "ib" разделительные расстояния, значения которых ниже указанных в
таблице 5, но равны или составляющие не менее 1/3 значений, указанных в
таблице 5, должны рассматриваться как подверженные учитываемым повреждениям на короткое замыкание, если это нарушает искробезопасность.
Для искробезопасных цепей уровней "ia" и "ib" разделительные расстояния, составляющие менее 1/3 от значений, указанных в
таблице 5, должны рассматриваться, как подверженные неучитываемым повреждениям на замыкание, если это нарушает искробезопасность.
Для искробезопасных цепей уровня "ic" разделительные расстояния, значения которых ниже указанных в таблице 5, следует рассматривать как подверженные короткому замыканию, если это нарушает искробезопасность.
Таблица 5
Длина электрических зазоров, путей утечки и разделений
1 | | | | | | |
Напряжение (амплитудное значение), В | Электрический зазор, мм | Разделительное расстояние через заливку компаундом, мм | Разделительное расстояние через твердую изоляцию, мм | Путь утечки, мм | Расстояние под покрытием, мм | Сравнительный индекс трекингостойкости (СИТ) |
Цепь | ia, ib | ic | ia, ib | ic | ia, ib | ic | ia, ib | ic | ia, ib | ic | ia, ib | ic |
До 10 включ. | 1,5 | 0,4 | 0,5 | 0,2 | 0,5 | 0,2 | 1,5 | 1,0 | 0,5 | 0,3 | - | - |
Св. 10 до 30 включ. | 2,0 | 0,8 | 0,7 | 0,2 | 0,5 | 0,2 | 2,0 | 1,3 | 0,7 | 0,3 | 100 | 100 |
Св. 30 до 60 включ. | 3,0 | 0,8 | 1,0 | 0,3 | 0,5 | 0,3 | 3,0 | 1,9 | 1,0 | 0,6 | 100 | 100 |
Св. 60 до 90 включ. | 4,0 | 0,8 | 1,3 | 0,3 | 0,7 | 0,3 | 4,0 | 2,1 | 1,3 | 0,6 | 100 | 100 |
Св. 90 до 190 включ. | 5,0 | 1,5 | 1,7 | 0,6 | 0,8 | 0,6 | 8,0 | 2,5 | 2,6 | 1,1 | 175 | 175 |
Св. 190 до 375 включ. | 6,0 | 2,5 | 2,0 | 0,6 | 1,0 | 0,6 | 10,0 | 4,0 | 3,3 | 1,7 | 175 | 175 |
Св. 375 до 550 включ. | 7,0 | 4,0 | 2,4 | 0,8 | 1,2 | 0,8 | 15,0 | 6,3 | 5,0 | 2,4 | 275 | 175 |
Св. 550 до 750 включ. | 8,0 | 5,0 | 2,7 | 0,9 | 1,4 | 0,9 | 18,0 | 10,0 | 6,0 | 2,9 | 275 | 175 |
Св. 750 до 1000 включ. | 10,0 | 7,0 | 3,3 | 1,1 | 1,7 | 1,1 | 25,0 | 12,5 | 8,3 | 4,0 | 275 | 175 |
Св. 1000 до 1300 включ. | 14,0 | 8,0 | 4,6 | 1,7 | 2,3 | 1,7 | 36,0 | 13,0 | 12,0 | 5,8 | 275 | 175 |
Св. 1300 до 1575 включ. | 16,0 | 10,0 | 5,3 | | 2,7 | | 49,0 | 15,0 | 16,3 | | 275 | 175 |
Св. 1575 до 3300 включ. | | 18,0 | 9,0 | | 4,5 | | | 32,0 | | | | |
Св. 3300 до 4700 включ. | | 22,0 | 12,0 | | 6,0 | | | 50,0 | | | | |
Св. 4700 до 9500 включ. | | 45,0 | 20,0 | | 10,0 | | | 100,0 | | | | |
Св. 9500 до 15600 включ. | | 70,0 | 33,0 | | 16,5 | | | 150,0 | | | | |
<*> Изготовитель должен представить доказательство соответствия требованиям в отношении СИТ электроизоляционных материалов. При напряжении до 10 В СИТ электроизоляционного материала указывать не требуется. |
(в ред.
Изменения N 1, введенного в действие Приказом Росстандарта от 21.10.2020 N 881-ст)
Для искробезопасных цепей уровней "ia" и "ib" разделительные расстояния, значения которых ниже указанных в
приложении F, должны рассматриваться как подверженные повреждениям согласно
F.3.1, если это нарушает искробезопасность.
Для искробезопасных цепей уровня "ic" разделительные расстояния, значения которых ниже указанных в
приложении F, следует рассматривать, как подверженные короткому замыканию, если это нарушает искробезопасность.
6.3.3 Напряжение между токопроводящими частями
Напряжение, которое учитывают при применении
таблицы 5 или
приложения F - это напряжение между любыми двумя токопроводящими частями электрических цепей, для которых электрические зазоры влияют на вид защиты рассматриваемой цепи, например (см.
рисунок 2), это напряжение между:
- искробезопасной цепью и искроопасной частью этой же цепи, или
- искробезопасной цепью и искроопасными цепями, или
- между искробезопасными цепями, электрически не связанными между собой.
1 - шасси; 2 - нагрузка; 3 - искроопасная цепь с Um;
4 - часть искробезопасной цепи, не являющаяся
искробезопасной; 5 - искробезопасная цепь; 6 - размеры,
7 - размеры, определяемые по общим промышленным стандартам;
8 - размеры в соответствии с
7.3; 9 - размеры
в соответствии с
6.2.1 для выходных зажимов
между раздельными искробезопасными цепями
и между искробезопасными и искроопасными цепями;
10 - защитные компоненты согласно
8.9
Рисунок 2 - Примеры разделений между токопроводящими частями
При оценке электрических зазоров и путей утечки следует принимать следующие значения напряжения:
a) Для электрических цепей, гальванически не связанных между собой внутри оборудования: наибольшая из сумм амплитудных значений напряжений этих цепей, которая является производной от:
- номинальных напряжений цепей; или
- максимальных напряжений, указанных изготовителем, которые могут безопасно применяться в цепи; или
- любых напряжений, генерируемых внутри этого электрооборудования.
Если одно из напряжений составляет менее 20% от другого, то его не учитывают. Сетевое напряжение должно рассматриваться без учета стандартного отклонения от номинального значения. Для синусоидальных напряжений амплитудное значение определяется как произведение эффективного значения номинального напряжения на

;
b) Для частей электрической цепи: максимальное значение напряжения, которое может возникнуть в любой части этой цепи. Это также может быть сумма напряжений различных источников питания, подключенных к электрической цепи. Если одно из напряжений составляет менее 20% от другого, то его можно не учитывать.
Во всех случаях следует принимать максимальные значения напряжения, которые могут быть получены в аварийных режимах работы в соответствии с
разделом 5.
Внешнее напряжение необходимо принимать равным Um или Ui, заявленному для соединительных средств, через которые оно подключено. Напряжения переходных процессов, которые могут возникать до размыкания цепи устройством защиты, например плавким предохранителем, не учитывают при оценке путей утечки, но их следует учитывать при оценке электрических зазоров.
6.3.4 Электрический зазор
Изоляционные перегородки, не соответствующие требованиям
6.3.2, не учитывают.
При амплитудных значениях напряжения выше 1575 В необходимо использовать разделительную изолирующую или заземленную металлическую перегородку, которая должна удовлетворять требованиям
6.3.2.
6.3.5 Пути утечки через заливку компаундом
Заливочный компаунд должен отвечать требованиям
6.6. Для частей, которые должны быть герметизированы компаундом, минимальный путь утечки между герметизированными токопроводящими частями, элементами и свободной поверхностью заливочного компаунда должен составлять 1/2 расстояния от приведенного в
таблице 5, но не менее 1 мм. Дополнительное разделение не требуется, если компаунд находится в непосредственном контакте и сцеплен со стенками оболочки твердого изоляционного материала в соответствии с
таблицей 5 (см.
рисунок D.1).
Электрическая прочность изоляции, герметизированной компаундом электрической цепи, должна соответствовать требованиям
6.3.13.
Повреждение герметизированного или герметично закрытого элемента, например полупроводника, который выполнен в соответствии с
7.1, но для которого не известны внутренние зазоры и расстояния через заливку, должно рассматриваться как единичное учитываемое повреждение.
Примечание - Дополнительные требования приведены в
приложении D.
6.3.6 Путь утечки через твердую изоляцию
Твердую изоляцию изготавливают методом штамповки или отливки в форме, но не заливкой. Электрическая прочность твердой изоляции должна соответствовать
6.3.13, если пути утечки удовлетворяют требованиям
таблицы 5 или
приложения F. Максимальный ток изолированной проводки не должен превышать значения, указанного изготовителем провода.
Примечания
1 Если изолятор изготовлен из двух или более частей электроизоляционного материала, которые надежно соединены между собой, то такую композитную изоляцию можно рассматривать как твердую.
2 В настоящем стандарте твердая изоляция - это изоляция заводского изготовления, например пластина, изоляционные трубки или изоляция на проводах.
3 Лак и подобные покрытия не считают твердой изоляцией.
4 Электрический зазор между соседними дорожками на промежуточных слоях печатных плат следует рассматривать как электрическим зазором через твердый электроизоляционный материал.
При комбинированных разделениях, например, по воздуху и через изоляцию, их суммарное значение должно быть определено по
таблице 5 с учетом всех соответствующих разделений. Например, при напряжении 60 В:
- электрический зазор = 6 x разделение через твердую изоляцию;
- электрический зазор = 3 x разделение через компаунд;
- эквивалентный зазор = фактический зазор + (3 x любое дополнительное разделение через компаунд) + (6 x любое дополнительное разделение через твердую изоляцию).
Для искробезопасных цепей уровней "ia" и "ib" разделение считают неповреждаемым, если оно не менее электрического зазора, указанного в
таблице 5.
Любой электрический зазор или разделение, составляющее менее 1/3 от данных
таблицы 5, при расчете эквивалентного зазора не учитывают.
Для искробезопасных цепей уровня "ic" указанные выше результаты не должны быть ниже значения зазора, указанного в
таблице 5.
Для путей утечки, приведенных в
таблице 5, СИТ электроизоляционного материала должен соответствовать значениям, указанным в
таблице 5 или
приложение F, измеренным в соответствии с
ГОСТ 27473. Метод измерения или оценки этих путей утечки должен соответствовать приведенному на рисунке 3.
f - длина пути утечки; M - металл; I - изоляционный
материал; 1 - приклеенная перегородка; 2 - центральная
металлическая часть, не подключена к источнику
напряжения; 3 - не приклеенная перегородка.
Высота разделительного углубления > D
Рисунок 3 - Определение путей утечки (в воздухе)
В клеевом соединении клей должен иметь изолирующие свойства, эквивалентные свойствам смежного материала.
Путь утечки может образовываться из сложения более коротких расстояний, например, когда пути утечки прерываются токопроводящими деталями. При этом расстояния, составляющие менее 1/3 от соответствующих значений, указанных в
таблице 5, не учитывают. Для напряжений выше 1575 В (амплитудное значение) необходимо использовать изоляционную или заземленную металлическую перегородку, удовлетворяющую требованиям
6.3.2.
6.3.9 Пути утечки по поверхности, покрытой электроизоляционным материалом
Конформное покрытие должно покрывать промежутки между проводниками с целью защиты их от влаги и грязи и обеспечивать эффективное долговечное герметичное уплотнение. Покрытие должно иметь хорошие адгезионные свойства к токопроводящим деталям и изоляционным материалам. Покрытие, наносимое распылением, должно иметь два слоя.
Трафаретную маску не считают конформным покрытием, но ее можно рассматривать как один из слоев покрытия, если другой слой наносят распылением, и нет повреждений в процессе пайки. При использовании других методов, например, погружения, нанесения покрытия кистью, вакуумной пропитки можно наносить только один слой покрытия. Трафаретная маска, отвечающая требованиям для покрытий Типа 1 согласно
[4], считается конформным покрытием, и дополнительное покрытие не требуется. Изготовитель должен представить доказательство соответствия требованиям
приложения F.
Примечание 1 - Необходимость проверки соответствия покрытия спецификации изготовителя настоящим стандартом не регламентируется.
Метод нанесения покрытия на плату должен быть указан в документации в соответствии с требованиями к документации
ГОСТ 31610.0. Если покрытие считается адекватным и токопроводящие детали, например, соединения и выводы элементов внутреннего монтажа, не выступают из покрытия, это должно быть указано в документации и подтверждено при проверке. Пути утечки под покрытием должны быть в соответствии с
таблицей 5.
Если неизолированные проводники или токопроводящие детали выступают из покрытия, то СИТ, указанный в
таблице 5, или
таблице F.2 или группы материалов, как указано в
F.3.1, распространяется на изоляцию и покрытие.
Примечание 2 - Понятие "Пути утечки под покрытием" было разработано для плоских поверхностей, например жестких печатных плат. Гибкие печатные платы должны иметь соответствующее упругое покрытие, которое не растрескивается. Существенные отклонения от этой структуры требуют специального рассмотрения.
6.3.10 Требования к монтажу печатных плат
При длине пути утечки и электрических зазорах, влияющих на искробезопасность электрооборудования, печатная плата должна отвечать следующим требованиям (см.
рисунок 4):
a) если на печатную плату нанесено конформное покрытие в соответствии с
6.3.9, требования
6.3.4 и
6.3.8 должны распространяться только на токопроводящие части, которые выступают из-под покрытия, включая, например:
- печатные проводники, которые выступают из-под покрытия;
- свободную поверхность печатной платы, которая покрыта только с одной стороны;
- неизолированные части элементов, которые могут выступать из покрытия;
b) требования
6.3.9 должны распространяться на электрические цепи или части цепей, а также на элементы внутреннего монтажа, если покрытие закрывает токоподводящие выводы элементов, места пайки и проводящие части любых элементов;
c) если элемент установлен над печатными проводниками на плате или вблизи них, необходимо рассматривать возможность неучитываемого повреждения между токопроводящей частью элемента и печатным проводником, за исключением случаев, когда:
1) изоляция между токопроводящей частью элемента и печатным проводником удовлетворяет требованиям
6.3.2, или
2) повреждение создает менее опасные условия.
a) Плата с частичным покрытием
b) Плата с пайкой выступающих выводов резисторов
c) Плата с пайкой обрезанных или подогнутых
выводов резисторов
Примечание - Толщина покрытия дана не в масштабе.
a - применяются требования к зазору
6.3.4;
b - применяются требования к длине пути утечки
6.3.8;
c - применяются требования к длине пути утечки
6.3.9
Рисунок 4 - Пути утечки и электрические зазоры
на печатных платах
6.3.11 Разделение заземленными экранами
При использовании заземленного металлического экрана между цепями или их частями экран и любое соединение с ним должны быть рассчитаны на максимальный длительный ток, который может протекать в соответствии с
разделом 5.
Соединение, выполненное с помощью разъема, должно удовлетворять требованиям
6.5.
6.3.12 Внутренняя проводка
Изоляция, за исключением лака и подобных покрытий для проводников внутренней проводки, должна рассматриваться как твердая изоляция (см.
6.3.6).
Разделение между проводниками должно определяться суммой радиальной толщины твердой изоляции на проводах, проложенных в виде отдельных проводов или сформированных в группу проводов (жгуты) или в кабеле.
Расстояния между проводами искробезопасной и искроопасной цепей должно соответствовать значениям, указанным в
таблице 5 с учетом требований
6.3.7, за исключением следующих случаев:
- провода искробезопасной или искроопасной цепи заключены в заземленный экран; или
- изоляция жил искробезопасных цепей уровней "ib" и "ic" способна выдержать действующее испытательное напряжение 2000 В переменного тока при испытании согласно
10.3.
Примечание - Одним из методов обеспечения изоляции, способной выдержать такое испытательное напряжение, является использование изоляционной трубки поверх цепи.
6.3.13 Требования к электрической прочности
Изоляция между искробезопасной цепью и корпусом или заземленными частями электрооборудования должна выдерживать испытание по
10.3 при эффективном испытательном напряжении переменного тока, равном удвоенному напряжению искробезопасной цепи, но не менее 500 В.
Если цепь не соответствует этому требованию, оборудование должно быть промаркировано знаком "X" и документация должна содержать информацию, необходимую для правильного монтажа.
Изоляция между искробезопасной и искроопасной цепью должна выдерживать действующее испытательное напряжение переменного тока, равное (2U + 1000) В, но не менее 1500 В, где U - сумма действующих значений напряжений соответствующих электрических цепей.
Если пробой между электрически не связанными между собой искробезопасными цепями может привести к созданию небезопасных условий, изоляция между такими цепями должна выдерживать действующее испытательное напряжение переменного тока, равное 2U, но не менее 500 В, где U - сумма действующих значений напряжений искробезопасных цепей.
В нормальном режиме номинальные значения тока и напряжения на контактах реле, обмотка которой включена в искробезопасную цепь, не должны превышать указанных изготовителем, а контакты реле не должны коммутировать на отключение более 5 А эффективного тока или 250 В эффективного напряжения, или 100 В·А мощности. Если значения, коммутируемые контактами, не превышают 10 А или 500 В·А, значения длины путей утечки и электрических зазоров из
таблицы 5 должны быть удвоены.
При более высоких значениях тока и напряжения искробезопасные и искроопасные цепи могут быть подключены к одному реле, только если его контакты разделены заземленной металлической или изоляционной перегородкой в соответствии с
6.3.2. Размеры перегородки должны учитывать ионизацию при работе реле: в таких случаях длина пути утечки и электрические зазоры должны быть больше приведенных в
таблице 5.
Если у реле есть контакты в искробезопасных цепях и другие контакты в искроопасных цепях, искробезопасные и искроопасные контакты должны быть разделены изоляционной или заземленной металлической перегородкой, соответствующей
6.3.2, в дополнение к требованиям
таблицы 5. Конструкция реле должна быть такова, чтобы нарушенные или поврежденные контактные устройства не могли перемещаться или ухудшать целостность разделения между искробезопасными и искроопасными электрическими цепями.
В качестве альтернативы, разделения в реле могут быть оценены в соответствии с
приложением F, с учетом условий окружающей среды и категорий перенапряжения в соответствии с
приложением F. В этом случае также применяются указанные выше требования к заземленным металлическим или изоляционным перегородкам. Если изоляционная или металлическая заземленная перегородка заключена в закрытую оболочку реле, то применяются требования
10.6.3 к закрытой оболочке реле, а не к изоляционной или металлической заземленной перегородке.
6.4 Защита от перемены полярности
В искробезопасном оборудовании должна быть обеспечена защита от нарушения вида взрывозащиты в результате изменения полярности питания искробезопасного оборудования или соединений между элементами батареи. Для этой цели допускается использование одного диода.
6.5 Заземляющие проводники, разъемы и зажимы
В случаях, когда заземление, например, оболочек, проводов, металлических экранов, проводников печатных плат, контактов штепсельных соединителей и барьеров безопасности на диодах, необходимо для обеспечения вида взрывозащиты, площадь поперечного сечения проводов, соединительных устройств и зажимов, используемых для этой цели, должна быть рассчитана на длительное воздействие максимально возможного тока по условиям, указанным в
разделе 5. Элементы должны также отвечать требованиям
раздела 7.
Если разъем содержит заземленные цепи и вид взрывозащиты зависит от заземления цепи, разъем должен включать не менее трех независимых заземляющих проводников для искробезопасных цепей уровня "ia" и не менее двух заземляющих проводников для искробезопасных цепей уровня "ib" (см. рисунок 5). Заземляющие проводники должны быть соединены параллельно. Если разъем может быть отсоединен под углом, на каждом конце соединителя или вблизи него должно быть предусмотрено одно соединение.
a - Три независимых соединяющих элемента
b - Три соединительных элемента, не являющихся независимыми
Рисунок 5 - Примеры независимых и не являющихся
независимыми элементов
Зажимы должны быть защищены от самоотвинчивания, и их конструкция должна исключать смещение подключаемых проводников. Надлежащий контакт должен быть обеспечен без разрушения проводников, в том числе и для многожильного провода, применяемого на зажимах для подсоединения проводников напрямую. Контакт в зажимах не должен нарушаться при изменениях температуры в нормальных условиях работы. Зажимы, предназначенные для подсоединения многожильных проводников, должны содержать упругий промежуточный элемент, исключающий повреждения проводников. Зажимы для проводников сечением менее 4 мм
2 должны быть рассчитаны на подключение проводников с меньшей площадью сечения. Зажимы, которые соответствуют требованиям стандарта
ГОСТ 31610.7, считаются соответствующими этим требованиям.
Недопустимо следующее:
a) использовать зажимы с острыми кромками, которые могут повредить проводники;
b) использовать зажимы, которые при нормальном затягивании могут вращаться, скручиваться или деформироваться;
c) использовать изоляционные материалы, передающие контактное давление.
Для искробезопасного электрооборудования все цепи, подсоединенные к залитым токопроводящим деталям и (или) элементам и (или) неизолированным токопроводящими деталям, выступающим из компаунда, должны быть искробезопасными. Повреждения внутри заливочного компаунда должны учитываться, но возможность воспламенения взрывоопасной смеси внутри компаунда не учитывают.
Для связанного оборудования необходимо оценивать повреждения внутри заливочного компаунда.
Если электрические цепи, подсоединенные к залитым токопроводящим частям и (или) элементам и (или) неизолированным токопроводящими деталям, выступающим из компаунда, не являются искробезопасными, они должны иметь взрывозащиту других видов в соответствии с
ГОСТ 31610.0.
Герметизация может быть выполнена штамповкой, формовкой или заливкой.
Применяемая герметизация должна отвечать следующим требованиям и при необходимости это также распространяется на ящик для герметизации или части оболочки, используемые при герметизации:
a) иметь рабочую температуру, определенную изготовителем компаунда или оборудования, которая должна быть не менее максимальной температуры любого элемента в условиях герметизации;
b) в качестве альтернативы при температуре элемента выше рабочей температуры компаунда необходимо показать, что указанный элемент не приведет к повреждению компаунда. При температуре компаунда, превышающей его номинальную температуру при продолжительной работе, не должно наблюдаться никаких видимых повреждений, например, трещин в компаунде, обнажения герметизированных узлов, отслаивания, недопустимой усадки, вспучивания, расщепления или разупрочнения, способных нарушить вид взрывозащиты. На компаунде также не должно наблюдаться признаков перегрева, которое могло бы отрицательно повлиять на вид взрывозащиты;
c) материал компаунда должен иметь то значение СИТ, которое указано в
таблице 5 и
приложении F, если какие-либо неизолированные токопроводящие детали выступают из компаунда;
d) только материалы, отвечающие требованиям испытания по
10.6.1, могут иметь открытую и незащищенную свободную поверхность, образующую часть оболочки;
e) иметь хорошие адгезионные свойства ко всем токопроводящим деталям, элементам внутреннего монтажа, за исключением случаев, когда они размещены в оболочке и полностью залиты компаундом;
f) заливочный компаунд не должен содержать полостей, за исключением случаев, когда разрешена заливка компонентов, содержащих полости (транзисторы, реле, предохранители и т.д.);
g) иметь родовое наименование и обозначение типа, указываемые изготовителем компаунда.
Примечание - Дополнительные требования приведены в
приложении D.
6.6.2 Герметизация, используемая для исключения взрывоопасной среды
Заливка, используемая для исключения компонентов и искробезопасных цепей от взрывоопасной среды, должна соответствовать
6.3.5.
При использовании формовки для исключения компонентов и искробезопасных цепей от взрывоопасной среды минимальная толщина свободной поверхности должна соответствовать
таблице 5 (
рисунки D.3a и
D.3b).
В искробезопасном оборудовании, где компаунд используют для уменьшения вероятности воспламенения горячих компонентов, например, диодов и резисторов, объем и толщина компаунда должны уменьшить максимальную температуру компаунда до необходимого значения.
Примечание - Примеры применения 6.6.2 - предохранители, пьезоэлектрические устройства с компонентами подавления и устройства, накапливающие энергию с компонентами подавления.
7 Требования к элементам, от которых зависит искробезопасность
В целях подтверждения соответствия требованиям настоящего стандарта изготовитель должен предоставить в орган по сертификации расчеты параметров нормального и аварийных режимов работы элементов, от которых зависит искробезопасность, спецификации на такие элементы, а также подтверждение выполнения требований соответствующих стандартов на изделия общего назначения.
(абзац введен
Изменением N 1, введенным в действие Приказом Росстандарта от 21.10.2020 N 881-ст)
7.1 Нагрузка искрозащитных элементов
Для цепей уровней "ia" и "ib" как в нормальных, так и в аварийных режимах работы, указанных в
разделе 5, любые элементы, от которых зависит вид взрывозащиты, должны быть нагружены не более, чем на 2/3 от номинальных значений тока, напряжения и мощности в зависимости от условий монтажа и рабочего диапазона температур. Для цепей уровня "ic" в нормальных условиях эксплуатации элементы, от которых зависит вид взрывозащиты, не должны быть нагружены более, чем на их максимальные значения тока и напряжения и не более, чем на 2/3 их мощности. Эти максимальные номинальные значения должны быть нормальными промышленными значениями, указанными изготовителем элементов.
Для цепей уровней "ia", "ib" и "ic" трансформаторы, предохранители, термопредохранители, реле, оптроны и выключатели должны работать при номинальной нагрузке, обеспечивающей их нормальное функционирование.
Необходимо также учитывать влияние условий монтажа и колебаний температуры окружающей среды, указанных изготовителем оборудования и в требованиях к влиянию окружающей среды и к эксплуатационной температуре
ГОСТ 31610.0. Например, для полупроводника рассеиваемая мощность не должна превышать 2/3 значения мощности, которая определяет максимально допустимую температуру перехода в данных условиях монтажа.
Номинальные характеристики элементов должны быть, как указано выше, при подключении к любому другому оборудованию, используемому в безопасной зоне, например, во время зарядки, текущего техобслуживания, загрузки данных, в том числе с учетом неисправностей в искробезопасном оборудовании.
Требования данного раздела не распространяются на встроенные разъемы для программирования, которые недоступны для пользователя и используются только при изготовлении, ремонте или проверке.
Если резистор и конденсатор подключены последовательно для защиты от разряда конденсатора, можно считать, что значение рассеиваемой мощности резистора в ваттах равно CU2, где C - значение в фарадах, U - значение в вольтах.
Детальные испытания или анализ элементов и узлов элементов для определения параметров, например, напряжения и тока, к которым применяют коэффициенты безопасности, не проводят, поскольку коэффициенты безопасности в соответствии с
5.2 и
5.3 исключают необходимость в детальных испытаниях или анализе. Например, стабилитрон, для которого изготовитель указал параметры 10 В + 10%, должен рассматриваться, как устройство на 11 В без необходимости учитывать такие эффекты, как повышение напряжения вследствие увеличения температуры.
7.2 Внутренние соединительные устройства, разъемы плат и элементы
Эти соединители должны быть сконструированы таким образом, чтобы исключалась возможность их неправильного соединения или взаимозаменяемости с другими соединителями, установленными в электрооборудовании, или идентифицированы таким образом, чтобы неправильное соединение стало очевидным.
Если вид взрывозащиты зависит от соединения, то обрыв цепи в соединителе должен считаться учитываемым повреждением в соответствии с
разделом 5.
Соединитель, через который проходят цепи заземления, должен быть сконструирован в соответствии с
6.5, если вид взрывозащиты зависит от заземления.
Для защиты элементов от перегрузок могут использоваться предохранители, при этом следует исходить из того, что значение длительно протекающего через предохранитель тока составляет 1,7
In. Сопротивление предохранителя в холодном состоянии при минимальной температуре окружающей среды может быть принято как неповреждаемое сопротивление, соответствующее
8.4 в целях ограничения тока. При отсутствии информации оно может быть принято в качестве минимального сопротивления при минимальной указанной температуре окружающей среды, если оно измерено на 10 образцах в соответствии с требованиями
10.4. Время - токовые характеристики предохранителей должны гарантировать, что максимальные параметры защищаемых элементов не превышены. Если изготовителем не указаны время - токовые характеристики предохранителя, необходимо провести типовые испытания в соответствии с
10.4 не менее чем на 10 образцах. Это испытание показывает способность защищаемого элемента выдержать 1,5-кратную нагрузку любого переходного процесса, который может иметь место, если
Um приложено через предохранитель.
Предохранители для уровней "ia" и "ib", которые могут проводить ток при размещении во взрывоопасных зонах, должны быть герметизированы в соответствии с
6.6.
Перегорание предохранителей для уровня "ic" не учитывают при определении теплового воспламенения.
При герметизации предохранителя компаунд не должен проникать внутрь предохранителя, что должно быть проверено испытаниями на образцах в соответствии с
10.6.2, или изготовитель должен гарантировать возможность его заливки. В качестве альтернативы предохранитель герметизируют до заливки.
Замена предохранителей, используемых для защиты элементов, должна быть возможна только после открывания оболочки электрооборудования. На предохранителе или вблизи него должны быть нанесены его тип и номинальный ток In, или другие характеристики, имеющие значение для обеспечения искробезопасности.
Предохранители должны иметь номинальное напряжение не менее
Um (или
Ui в искробезопасном электрооборудовании и цепях), при этом требования
таблицы 5 на них не распространяются. Конструирование предохранителей и их держателей может осуществляться по общепромышленным стандартам, а способ их монтажа не должен уменьшать зазоры, пути утечки и разделения, образуемые предохранителем и его держателем. Когда это необходимо для обеспечения искробезопасности, зазоры с другими частями цепи должны соответствовать
6.3.
Примечание - Допускается использование микропредохранителей, соответствующих серии стандартов ГОСТ IEC 60127.
Прерывающая способность предохранителя должна быть не менее максимально возможного тока цепи, в которой он установлен. Для систем электроснабжения с напряжением до 250 В переменного тока возможный ток принимают равным 1500 А переменного тока. Прерывающую способность предохранителя определяют в соответствии с серией стандартов
ГОСТ IEC 60127 или
[6], и изготовитель должен указать значение прерывающей способности в документации.
Примечание - В некоторых установках могут возникать более высокие возможные токи, например при более высоких напряжениях.
Для ограничения ожидаемого тока до значения, соответствующего номинальной прерывающей способности предохранителя, может использоваться токоограничительное устройство, которое должно быть неповреждаемым в соответствии с
разделом 8, а его номинальные значения должны быть следующими:
- номинальный ток: 1,5·1,7·In;
- номинальное напряжение: Um или Ui;
- номинальная мощность: 1,5·(1,7·In)2 x максимальное сопротивление токоограничительного устройства.
Зазоры и пути утечки на токоограничительном резисторе и его печатных проводниках рассчитывают с применением напряжения 1,7 x
In x максимальное сопротивление токоограничительного резистора. Напряжение переходного процесса не учитывают. Разделительные расстояния между резистором и другими частями цепи должны соответствовать
6.3.
7.4
Первичные и вторичные элементы и батареи
(в ред.
Изменения N 1, введенного в действие Приказом Росстандарта от 21.10.2020 N 881-ст)
В отличие от требований к батареям
ГОСТ 31610.0 допускается параллельное соединение элементов и батарей в искробезопасном оборудовании при условии, что искробезопасность оборудования не нарушается.
Примечание - Требование к параллельно подключенным батареям
ГОСТ 31610.0 не распространяется на элементы и батареи в связанном электрооборудовании, если только они не имеют защиту одного из видов, указанных в
ГОСТ 31610.0.
Элементы и батареи некоторых типов, например, литиевые, могут взрываться при коротком замыкании или зарядке обратной полярностью. Если такой взрыв может отрицательно повлиять на искробезопасность, безопасность применения таких элементов и батарей в конкретном искробезопасном или связанном электрооборудовании должна быть подтверждена их изготовителем. В технической документации и, если возможно, в маркировке электрооборудования должна быть отражена необходимость выполнения мер безопасности при эксплуатации или замене таких элементов и батарей.
Примечание - Элементы, соответствующие требованиям
[8] или
[9] или другим соответствующим стандартам по безопасности, отвечают данному требованию.
Если батареи должен заменять пользователь, на электрооборудование наносят предупредительную маркировку в соответствии с
12.3, перечисление a).
Примечание - Изготовитель элементов и батарей часто указывает меры предосторожности, которые необходимо соблюдать для безопасности персонала.
Если элементы и батареи должны перезаряжаться во взрывоопасной зоне, то заряжающие цепи должны быть полностью определены как часть оборудования. Система зарядки должна быть такой, чтобы даже при применении повреждения согласно
5.2,
5.3 или
5.4 к системе зарядки, напряжение и ток зарядки не должны превышать пределы, заданные изготовителем.
Примечание - Устройство зарядки, используемое во взрывоопасной зоне, должно также иметь вид взрывозащиты в соответствии с зоной применения.
7.4.2 Конструкция оболочки (отсека) для батареи
Искробезопасность элементов и батарей, используемых в искробезопасном оборудовании, а также температура их поверхностей должны быть испытаны или оценены в соответствии с
10.5.3. Конструкция элемента или батареи должна относиться к одному из следующих типов:
a) герметичные (газонепроницаемые) элементы или батареи;
b) герметичные (с регулируемым клапаном) элементы или батареи;
c) элементы или батареи, предусматривающие, кроме устройств сброса давления, герметизацию аналогичную указанной в
перечислениях a) и
b).
Такие элементы или батареи не должны требовать доливки электролита в течение срока службы и должны иметь металлическую или пластмассовую оболочку, удовлетворяющую следующим требованиям:
1) цельнотянутую (бесшовную), штампованную или литую, соединенную плавлением, сваркой или склейкой и уплотненную резиновыми или пластмассовыми герметизирующими устройствами, фиксируемыми конструкцией оболочки и обеспечивающими постоянное уплотнение, такими как прокладки (шайбы), кольцевые уплотнения и т.п.;
2) не считаются герметичными штампованные, развальцованные, гофрированные и т.п. оболочки, не удовлетворяющие перечисленным выше требованиям, или части оболочек, в которых используют материалы, проницаемые для газа, например, на бумажной основе;
3) уплотнение вокруг выводов должно быть сконструировано, как описано выше, или достигаться заливкой термоусаживающимся или термопластичным компаундом;
d) элементы или батареи, герметизированные компаундом, производитель которого гарантирует возможность его использования с данным электролитом и его соответствие
6.6.
Соответствие
a) или
b) подтверждается декларацией изготовителя элемента или батареи. Соответствие
перечислениям c) или
d) оценивается проверкой элемента или батареи и, где необходимо, с их конструкторскими чертежами.
Примечание - Необходимость проверки соответствия элемента или батареи спецификации изготовителя настоящим стандартом не регламентируется.
7.4.3 Утечка электролита и вентиляция
В элементах и батареях должна исключаться утечка электролита, или они должны быть закрыты таким образом, чтобы предотвращалась возможность повреждения электролитом элементов, от которых зависит искробезопасность. Элементы и батареи должны быть испытаны в соответствии с
10.5.2, или изготовитель должен представить письменное подтверждение, что изделие отвечает требованиям
10.5.2. Элементы и батареи, пропускающие электролит и залитые в соответствии с
6.6, после заливки должны быть испытаны в соответствии с
10.5.2.
Если оборудование содержит элементы или батареи, заряжаемые в оборудовании, изготовитель батарей должен предоставить доказательство, что концентрация водорода в свободном объеме корпуса батареи не может превысить 2% от объема, или отверстия для отвода газа всех элементов должны быть устроены так, чтобы выделяющиеся газы не попадали внутрь оболочки оборудования, содержащей электрические или электронные компоненты, или соединения. На электрооборудование, соответствующее требованиям "ia" или "ib", и электрооборудование подгруппы IIC требование об отверстиях для отвода газа или ограничении концентрации водорода не применяют.
Примечание - Настоящий стандарт не устанавливает требования о необходимости проверки соответствия батареи по концентрации водорода спецификации изготовителя.
Для перезаряжаемых и неперезаряжаемых элементов давление внутри оболочки батареи не должно превышать 30 кПа (0,3 бар). Герметизированные оболочки батарей необходимо испытывать в соответствии с
10.5.4.
Примечания
1 Для этого можно использовать вентиляционное отверстие.
2 В герметичных элементах допустимо более высокое давление, но в этом случае каждый элемент должен быть оснащен устройством сброса давления или средством ограничения давления до значения, которое может выдержать элемент в соответствии со спецификацией изготовителя.
7.4.4 Напряжение элементов
При оценке и испытаниях принимают значение напряжения элемента, указанное в таблицах
"Первичные элементы" и
"Аккумуляторы" ГОСТ 31610.0. Для элементов, не указанных в этих таблицах, определение максимального напряжения разомкнутой цепи проводят согласно
10.4 настоящего стандарта, а номинальным напряжением считают значение напряжения, указанное изготовителем элемента.
7.4.5 Внутреннее сопротивление элемента или батареи
Внутреннее сопротивление батареи или элемента определяют в соответствии с
10.5.3.
7.4.6 Батареи в электрооборудовании с другим видом взрывозащиты
Примечание - Этот раздел относится к оборудованию, которое защищено взрывонепроницаемой оболочкой (или другим способом), но содержит батарею и связанные цепи, которые требуют защиты вида "искробезопасная цепь" при отказе сетевого питания и открывании оболочки во взрывоопасной газовой среде.
Корпус батареи или его крепление к электрооборудованию должны быть сконструированы таким образом, чтобы батарею можно было устанавливать и заменять, не нарушая искробезопасности электрооборудования.
Если для ограничения тока используется токоограничительный резистор, он должен быть нагружен в соответствии с
7.1. Токоограничительные резисторы, установленные последовательно с элементами или батареями, следует выбирать по максимальному напряжению
Um, если нет другой защиты. В качестве такой защиты можно использовать один стабилитрон, нагруженный в соответствии с
7.1.
Примечание - Если для обеспечения безопасности элемента или батареи необходимо токоограничительное устройство, не обязательно, чтобы это устройство было неотъемлемой частью батареи.
7.4.7 Батареи, используемые и заменяемые во взрывоопасных средах
Блок из батареи, применяемой вместе с токоограничительными устройствами, необходимыми для обеспечения их искробезопасности, должен представлять неразборную конструкцию, например, залит компаундом или размещен в герметичной оболочке, если этот блок предназначен для использования или подлежит замене во взрывоопасной среде. Конструкция блока должна быть выполнена таким образом, чтобы доступными являлись только выходные искробезопасные клеммы и соответствующим образом защищенные соединительные устройства для зарядки (если они имеются).
Блок должен пройти испытание сбрасыванием по
ГОСТ 31610.0, за исключением электрооборудования, для которого испытание ударом не предусмотрено. Конструкция блока должна предотвращать выпадение или отделение элемента от аппарата и/или токоограничительного устройства, приводящие к нарушению искробезопасности блока при проведении испытания сбрасыванием.
7.4.8 Батареи, используемые, но не заменяемые во взрывоопасной среде
Элемент или батарея, не предназначенные для замены во взрывоопасной среде, в котором для обеспечения их безопасности требуется использовать токоограничительные устройства, должны быть защищены в соответствии с
7.4.7 или помещены в отдельную оболочку со специальными крепежными устройствами, например такими, как указано в
ГОСТ 31610.0, а также отвечать следующим требованиям:
a) конструкция корпуса блока или способы крепления элемента или батареи внутри корпуса должны быть такими, чтобы элементы или батареи можно было устанавливать и заменять, не нарушая искробезопасности электрооборудования;
b) переносное оборудование, например радиоприемники и передатчики, должно пройти испытания сбрасыванием в соответствии с
ГОСТ 31610.0, за исключением того, что первичные испытания на ударостойкость следует пропустить. Конструкция (устройство) переносного электрооборудования должна предотвращать выпадение или отделение батарей или элементов от аппарата, приводящие к нарушению искробезопасности при проведении испытания сбрасыванием;
7.4.9 Внешние контакты для заряда батарей
Элементы или батареи с внешними зарядными контактами должны быть снабжены средствами для предупреждения короткого замыкания контактов или передачи на них энергии, способной вызвать воспламенение при коротком замыкании контактов. Это может достигаться одним из следующих способов:
a) ограничением, выходных параметров согласно требованиям данного стандарта;
b) для искробезопасного электрооборудования группы II степень защиты оболочки цепей заряда должна быть не ниже IP30, а около разъема (зажимов) зарядной цепи должна быть установлена табличка с предупредительной надписью в соответствии с
12.3, перечисление c) настоящего стандарта или согласно
ГОСТ 31610.0. Разделительные расстояния между зарядными контактами должны соответствовать
6.3 с учетом напряжения разомкнутой цепи батареи.
7.5 Полупроводниковые элементы
7.5.1 Влияние переходных процессов
В связанном электрооборудовании полупроводниковые элементы должны выдерживать амплитудное значение напряжения переменного тока и максимальное значение напряжения постоянного тока, деленные на значение сопротивления последовательно включенного неповреждаемого резистора.
В искробезопасном электрооборудовании влиянием переходных процессов внутри электрооборудования, а также связанных с источниками его питания можно пренебречь.
7.5.2 Шунты, ограничивающие напряжение
Полупроводниковые элементы могут использоваться в качестве шунтирующих устройств для ограничения напряжения, при условии, что с учетом переходных процессов они удовлетворяют указанным ниже требованиям. Например, добавление одного предохранителя и стабилитрона, нагруженных в соответствии с
7.1, считается достаточным средством ограничения переходных процессов для цепей, подключенных к стабилитрону.
Полупроводниковый элемент должен быть рассчитан на ток, равный умноженному на соответствующий коэффициент безопасности току короткого замыкания, который может протекать в электрической цепи при замыкании полупроводникового элемента. Это должно быть подтверждено в документах изготовителя полупроводниковых элементов в следующих случаях:
a) диоды, транзисторы, включенные по схеме диода, тиристоры и аналогичные полупроводниковые устройства должны быть рассчитаны на номинальный ток в прямом направлении, по меньшей мере в 1,5 раза превышающий максимально возможный ток короткого замыкания для искробезопасных цепей уровня "ia" и "ib", и в 1,0 раза для цепей уровня "ic";
b) стабилитроны должны иметь
1) в режиме стабилизации - полуторакратный запас по мощности, которая может рассеиваться на них;
2) в прямом направлении - полуторакратный запас по максимальному току, который протекает в месте их установки при повреждении на замыкание для искробезопасных цепей уровня "ia" или "ib" и однократный запас по максимальному току для цепей уровня "ic".
Для искробезопасной цепи уровня "ia" применение управляемых полупроводниковых элементов в качестве шунтирующих ограничителей напряжения, например, транзисторов, тиристоров, стабилизаторов напряжения и тока, и т.д., разрешается, если входная и выходная цепи являются искробезопасными или будет доказано, что они не подвержены влиянию переходных процессов со стороны питающей сети. В электрических цепях, выполненных в соответствии с вышеуказанными требованиями, устройства с дублированием считают неповреждаемым блоком.
В связанном электрооборудовании для искробезопасной цепи уровня "ia" могут использоваться три независимые полупроводниковые цепи с ограничителями действительного напряжения при условии соблюдения требований
7.5.1. Электрические цепи с шунтирующими тиристорами должны быть дополнительно испытаны в соответствии с
10.1.5.3.
7.5.3 Последовательные токоограничительные устройства
Допускается применение трех последовательно подключенных блокирующих диодов в цепях уровня "ia", однако другие полупроводники и управляемые полупроводниковые устройства должны применяться в качестве последовательно подключенных токоограничительных устройств только в оборудовании с цепью уровня "ib" или "ic".
Однако для ограничения по мощности в электрооборудовании с цепью уровня "ia" могут использоваться последовательные токоограничительные устройства, включающие управляемые и неуправляемые полупроводниковые устройства.
Примечание - Применение полупроводников и управляемых полупроводниковых устройств в качестве токоограничивающих устройств для оборудования уровня "ia" не допускается потому, что они могут использоваться в зонах, где постоянное или частое присутствие взрывоопасной среды может совпасть с кратковременным переходным процессом, который может вызвать воспламенение. Максимальный ток может вызвать кратковременный переходный процесс, но не будет рассматриваться как
Io, потому что выполнение условий испытания на искровое воспламенение по
10.1 означает достаточное ограничение энергии этого переходного процесса.
7.6 Повреждение элементов, соединений и разделений
Для уровней "ia" и "ib", если нагрузка на элемент соответствует
7.1, его повреждение должно рассматриваться как учитываемое. Для уровня "ic", если нагрузка на элемент соответствует
7.1, он считается неповреждаемым.
Применение требований по
5.2 и
5.3 должно учитывать следующее:
a) если нагрузка на элемент не соответствует
7.1, его повреждение должно рассматриваться как неучитываемое. Если нагрузка на элемент соответствует
7.1, его повреждение должно считаться учитываемым;
b) если какое-либо повреждение может привести к другому повреждению или нескольким повреждениям, то первичное и последующие повреждения должны рассматриваться как одно повреждение;
c) резисторы должны рассматриваться как повреждаемые на замыкание, размыкание и принимающими любое значение сопротивления (дополнительно см.
8.4).
Для термической оценки пленочные и проволочные резисторы, работающие до 100% номинальной мощности, не считаются повреждаемым при более низком сопротивлении.
d) полупроводниковые устройства считают повреждаемыми на замыкание, размыкание и переход в режимы, к которым они могут быть приведены в результате повреждения других элементов;
- для оценки температуры поверхности следует рассматривать повреждение любого полупроводникового устройства в условиях, когда оно рассеивает максимальную мощность. Однако для диодов (включая светодиоды и стабилитроны), используемых в соответствии с требованиями
7.1, должна учитываться только мощность, которую они рассеивают в прямом направлении или в зенеровском режиме, если он применяется;
- интегральные схемы могут повреждаться таким образом, что между их внешними выводами может иметь место любая комбинация замыканий (размыканий). Однако если повреждение выбрано, оно не может изменяться, например, путем приложения второго повреждения. В случае введения указанных выше повреждений емкость и индуктивность, подключенные к устройству, должны рассматриваться в их наиболее опасном соединении;
- рассматривая напряжение на внешних контактах интегральной схемы, включающей преобразователи напряжения (повышающие или преобразующие напряжение на электрически-стираемом программируемом постоянном запоминающем устройстве), внутреннее напряжение не учитывают, если на внешних контактах не присутствует повышенное напряжение и никакие внешние компоненты, например, конденсаторы или дроссели, не используются для преобразования. Если на каком-либо внешнем контакте присутствует повышенное напряжение, то следует предполагать наличие повышенного напряжения на всех внешних контактах интегральной схемы.
Примечание - Необходимость проверки соответствия интегральных схем спецификации изготовителя настоящим стандартом не регламентируется;
e) соединения должны рассматриваться как повреждаемые на размыкание. Если соединения свободно двигаются, то они рассматриваются также как повреждаемые на замыкание с любой частью электрической цепи в пределах их перемещения. При этом считают, что первоначальный разрыв - это одно учитываемое повреждение, а повторное соединение - это второе учитываемое повреждение (см.
8.8);
f) электрические зазоры, пути утечки и разделения должны учитываться в соответствии с
6.3;
g) конденсаторы должны рассматриваться как повреждаемые на замыкание, размыкание и принимающими любое значение емкости, от нуля до максимальной емкости конденсатора, полученной из спецификации изготовителя (см.
8.6);
h) дроссели должны рассматриваться, как повреждаемые на размыкание и любое значение от номинального сопротивления до короткого замыкания, но только при более низких соотношениях между индуктивностью и сопротивлением, чем указано в технических условиях дросселей (но смотрите
8.4.2);
i) размыкание любого провода или печатного проводника, включая их соединения, должно рассматриваться как одно учитываемое повреждение (но смотрите
8.8).
Включение искрообразующего механизма в испытуемое электрооборудование для моделирования разрыва, короткого замыкания или замыкания на землю не рассматривают как учитываемое повреждение, а считают испытанием в нормальном режиме.
Неповреждаемые соединения в соответствии с
разделом 8.8 и разделения в соответствии с
разделом 6.3 считают неповреждаемыми и искрообразующий механизм не должен подключаться последовательно с такими соединениями или параллельно таким разделениям.
Если неповреждаемые соединения не имеют степень защиты оболочки не менее IP20, их считают повреждаемыми, и искрообразующий механизм может подключаться последовательно с такими соединениями.
Если неповреждаемые разделения не герметизированы или не имеют покрытия в соответствии с
разделом 6, или не обеспечена степень защиты оболочки не менее IP20, их считают повреждаемыми, и искрообразующий механизм должен подключаться параллельно таким разделениям.
7.7 Пьезоэлектрические устройства
Пьезоэлектрические устройства должны быть испытаны в соответствии с
10.7.
7.8 Электрохимические ячейки для обнаружения газов
Электрохимические ячейки, используемые для обнаружения газов, необходимо рассматривать как источники дополнительного напряжения или токов, которые могут влиять на оценку искрового воспламенения и испытание. Однако их не следует учитывать как источники увеличения мощности при оценке теплового воспламенения оборудования.
8 Неповреждаемые элементы, блоки элементов и соединения, от которых зависит искробезопасность
8.1 Уровень взрывозащиты "ic"
Требования 8.2 -
8.9 не распространяются на уровень "ic".
8.2 Сетевые трансформаторы
8.2.1 Общие требования
В неповреждаемых сетевых трансформаторах замыкание обмоток, питающих искробезопасные цепи, с любыми другими обмотками не рассматривают, однако могут иметь место короткие замыкания и размыкания обмоток трансформатора. Комбинации повреждений обмоток трансформатора, которые могут привести к увеличению выходного напряжения или тока, не должны учитываться.
Входная цепь неповреждаемого сетевого трансформатора, предназначенного для питания искробезопасных цепей, должна быть снабжена токовой защитой, например плавким предохранителем, удовлетворяющим требованиям
7.3, или автоматическим выключателем с соответствующими параметрами.
Если входные и выходные обмотки разделены заземленным металлическим экраном (см.
8.2.3 тип 2, перечисление b), каждая незаземленная входная линия должна быть защищена плавким предохранителем или автоматическим выключателем.
Для температурной защиты трансформатора в дополнение к предохранителю или автоматическому выключателю может использоваться залитый термопредохранитель или другое тепловое устройство, причем достаточно установки одного устройства.
Предохранители, патроны предохранителей, прерыватели и термические устройства должны отвечать требованиям соответствующего стандарта.
Примечание - Необходимость проверки соответствия предохранителей, патронов предохранителей, автоматических выключателей и тепловых устройств спецификации изготовителя настоящим стандартом не регламентируется.
8.2.3 Конструкция трансформаторов
Все обмотки, питающие искробезопасные цепи, должны быть отделены от других обмоток путем применения конструкции одного из двух типов.
Для конструкции первого типа обмотка должна располагаться:
a) на одном стержне сердечника с остальными обмотками; или
b) на разных стержнях сердечника.
Обмотки должны быть отделены согласно требованиям
таблицы 5.
Для конструкции второго типа обмотки должны располагаться одна над другой, при этом должно соблюдаться одно из следующих требований:
a) твердая изоляция между обмотками должна быть выполнена в соответствии с
таблицей 5;
b) между обмотками должен быть установлен заземленный экран (из медной фольги) или эквивалентной проволочной обмотки (проволочный экран). Толщина медной фольги или проволочного экрана должна быть выбрана в соответствии с
таблицей 6.
Примечание - Данная мера позволяет гарантировать, что в случае короткого замыкания между обмотками и экраном, экран выдержит без пробоя ток, проходящий по нему до срабатывания плавкого предохранителя или автоматического выключателя.
Таблица 6
Минимальная толщина фольги или минимальный диаметр проволоки
экрана в зависимости от номинального тока предохранителя
Номинальный ток предохранителя, А | 0,1 | 0,5 | 1 | 2 | 3 | 5 |
Минимальная толщина экрана из фольги, мм | 0,05 | 0,05 | 0,075 | 0,15 | 0,25 | 0,3 |
Минимальный диаметр проволоки экрана, мм | 0,2 | 0,45 | 0,63 | 0,9 | 1,12 | 1,4 |
Допуски изготовителя не должны снижать значения, приведенные в
таблице 6, более чем на 10% или 0,1 мм, в зависимости от того, какое из значений меньше.
Экран из фольги должен иметь два независимых проводника заземления, каждый из которых должен быть рассчитан на максимальный длительный ток, который может протекать до срабатывания плавкого предохранителя или автоматического выключателя, например 1,7In для предохранителя.
Проволочный экран должен состоять из двух электрически независимых слоев проволоки, каждый из которых должен быть рассчитан на максимальный длительный ток, который может протекать до срабатывания плавкого предохранителя или автоматического выключателя. Изоляция между слоями должна выдержать испытательное напряжение 500 В в соответствии с
10.3.
Сердечники всех сетевых трансформаторов должны быть заземлены, за исключением случаев, когда заземление не требуется для вида взрывозащиты, например, используются трансформаторы с изолированными сердечниками. Для трансформаторов, использующих ферритовые сердечники, требование о заземлении сердечника не применяется, но феррит должен рассматриваться как токопроводящий в целях разделения, если нет соответствующей информации для доказательства того, что материал сердечника изолирующий.
Обмотки, питающие раздельные искробезопасные цепи, должны быть разделены между собой и отделены от других обмоток (см.
таблицу 5).
Обмотки трансформатора должны пропитываться изоляционным лаком или заливаться компаундом.
Примечание - Применение изоляционного лака для пропитки обмоток может не обеспечивать выполнение требований к разделениям.
8.2.4 Типовые испытания трансформаторов
Трансформаторы с подсоединенными к выводам обмоток, связанными устройствами: предохранителями, автоматическими выключателями, термическими устройствами и резисторами, должны сохранять безопасность электрической изоляции между источником питания и искробезопасной цепью, даже если произойдет короткое замыкание одной из обмоток, а все другие выходные обмотки будут нагружены максимально.
Если в трансформаторе используется последовательный резистор, залитый вместе с его обмотками, установленный так, что между ним и обмоткой трансформатора отсутствуют неизолированные токопроводящие части или обеспечиваются длина путей утечки и зазоры в соответствии с
таблицей 5, и при этом резистор остается в цепи после применения испытания по
разделу 5, то выходная обмотка должна считаться неповреждаемой на короткое замыкание, кроме как через резистор.
Трансформаторы должны быть испытаны в соответствии с
10.10.
8.2.5 Контрольные испытания сетевых трансформаторов
Каждый сетевой трансформатор должен быть испытан в соответствии с
11.2.
8.3 Трансформаторы, кроме сетевых трансформаторов
Конструкция и возможные повреждения таких трансформаторов должны соответствовать требованиям
8.2.
Примечание - Такими трансформаторами могут быть трансформаторы связи, которые используются в сигнальных цепях или трансформаторы для других целей, например для преобразователей питания.
Конструкция и испытания таких трансформаторов должны быть выполнены в соответствии с требованиями
8.2 за исключением того, что такие трансформаторы должны быть испытаны при максимальном рассеянии мощности в трансформаторе без размыкания обмоток для обеспечения соответствующей прочности изоляции. Если трансформатор невозможно испытать в этих условиях с переменным током, каждая обмотка при типовых испытаниях должна нагружаться постоянным током, равным 1,7
In в соответствии с
8.2.4. Однако при контрольных испытаниях в соответствии с
11.2 изоляция между входными и выходными обмотками должна выдерживать более низкое напряжение, равное эффективному значению напряжения (2
U + 1000) В или 1500 В, в зависимости от того, какое напряжение больше, при этом
U - самое высокое номинальное напряжение любой испытуемой обмотки.
Если такие трансформаторы подключены с двух сторон к искробезопасным цепям, во время контрольного испытания необходимо приложить более низкое напряжение (500 В) между первичной и вторичной обмотками в соответствии с
11.2.
Если разделительные трансформаторы подключены к искроопасным цепям с внешней силовой цепью, используют защитные средства в соответствии с
8.2.2 или в цепь питания, в соответствии с требованиями
8.9, включают предохранитель и стабилитрон для обеспечения неповреждаемости электрических зазоров и путей утечки трансформатора при возможных перенапряжениях. Номинальное входное напряжение по
8.2.4 должно быть равным напряжению стабилитрона.
Когда такие трансформаторы подключены к искробезопасным цепям и предохранитель не используется, каждую обмотку необходимо испытать максимальным током, который может протекать в условиях неисправности, указанных в
разделе 5.
8.4 Неповреждаемые обмотки
8.4.1 Демпферные обмотки
Демпферные обмотки, выполненные в виде короткозамкнутых витков для снижения влияния индуктивности, должны рассматриваться как неповреждаемые на размыкание, если они имеют надежную механическую конструкцию, выполненную, например, в виде бесшовных металлических трубок или обмоток из неизолированного постоянно короткозамкнутого провода, соединенных пайкой.
8.4.2 Дроссели, состоящие из изолированных проводников
Дроссели, состоящие из изолированных проводников, считаются неповреждаемыми при значениях сопротивления ниже их номинальных значений (с учетом допусков) или индуктивности выше их номинальных значений (с учетом допусков), если они соответствуют следующим условиям:
- номинальный диаметр проводника проводов, используемых для монтажа дросселя, должен быть не менее 0,05 мм;
- на проводник должны быть нанесены не менее двух слоев изоляции или один слой твердой изоляции толщиной более 0,5 мм между соседними проводниками, или проводник должен быть изготовлен из эмалированной круглой проволоки в соответствии со следующими требованиями:
| | ИС МЕГАНОРМ: примечание. В официальном тексте документа, видимо, допущена опечатка: раздел 14 отсутствует. | |
a) для класса 1 по
[10],
[11],
[12] или
[13]: проводник не должен повреждаться при минимальных значениях напряжения пробоя, указанного для класса 2, и при испытании в соответствии с разделом 14 по
[10],
[11],
[12] или
[13] должно быть не более 6 пробоев на 30 м провода, независимо от диаметра, или
b) для класса 2 по
[10],
[11],
[12] или
[13]: изготовитель должен представить доказательство соответствия указанным выше требованиям.
Примечание - Необходимость проверки соответствия характеристик изоляции, указанных изготовителем, классу 1 и 2 настоящим стандартом не регламентируется;
- после закрепления или намотки обмотки должны быть высушены для удаления влаги перед пропиткой соответствующим веществом окунанием, капельным орошением или вакуумной пропиткой. Нанесение покрытий окраской или напылением не считается пропиткой;
- пропитка должна выполняться по специальным инструкциям изготовителя данного вида пропиточного вещества таким образом, чтобы пространства между проводниками были полностью заполнены и чтобы достигалось хорошее сцепление между проводниками;
- если используются пропиточные вещества, содержащие растворители, процесс пропитки и сушки должен осуществляться не менее двух раз.
8.5 Токоограничительные резисторы
Токоограничительные резисторы должны быть одного из следующих типов:
a) пленочного;
b) проволочного с защитой против разматывания проволоки в случае ее обрыва;
c) печатного, используемого в гибридных и подобных цепях, с покрытием, соответствующим
6.3.9, или герметизированные согласно
6.6.
Неповреждаемый токоограничительный резистор должен считаться повреждаемым только на размыкание цепи, что рассматривают как одно учитываемое повреждение.
Нагрузка токоограничительного резистора должна соответствовать требованиям
7.1, и он должен выдерживать по меньшей мере 1,5-кратные максимальные значения напряжения и мощности в нормальных и аварийных режимах работы, определенных в
разделе 5. Повреждения между витками правильно нагруженных проволочных резисторов, имеющие залитые обмотки, не учитывают. Для заливки обмотки следует использовать изоляционный материал со значением СИТ по
таблице 5 при номинальном напряжении, указанном изготовителем.
Сопротивление в холодном состоянии (при минимальной температуре окружающей среды) предохранителей и нитей ламп можно рассматривать как неповреждаемый токоограничительный резистор, если они используются в условиях, когда их применение соответствует номинальным параметрам. Нить лампы допустимо рассматривать в качестве токоограничительного элемента только для ручных фонарей и головных светильников. При отсутствии другой информации, это сопротивление может быть принято в качестве минимального сопротивления при минимальной температуре окружающей среды, измеренной в соответствии с
разделом 10.4.
Примечание - Лампа должна быть защищена методом, отличным от искробезопасной цепи.
8.6.1 Разделительные конденсаторы
В неповреждаемом узле разделительных конденсаторов любой из двух последовательно подключенных конденсаторов рассматривают, как повреждаемый на замыкание или размыкание цепи. В качестве емкости узла принимают наиболее неблагоприятное значение любого конденсатора, а коэффициент искробезопасности 1,5 должен использоваться применительно к блоку.
Разделительные конденсаторы должны изготовляться с использованием твердого диэлектрика и иметь высокую надежность. Применение электролитических или танталовых конденсаторов не допустимо. Внешние соединения каждого конденсатора и блока конденсаторов должны соответствовать
6.3, но требования к разделению не должны применяться к внутренней части разделительных конденсаторов.
Изоляция каждого конденсатора должна выдерживать испытания на электрическую прочность согласно
6.3.13 между электродами и между каждым электродом и внешними токопроводящими частями. Если разделительные конденсаторы используют между искробезопасными и искроопасными цепями, эти разделительные конденсаторы должны оцениваться как емкостные связи между этими цепями. Передаваемая энергия рассчитывается с использованием
Um и самого неблагоприятного значения любого конденсатора и должна соответствовать допустимой энергии воспламенения по
10.7. Все возможные переходные процессы должны учитываться, и необходимо рассмотреть влияние самой высокой номинальной рабочей частоты (по информации изготовителя) в данной части цепи.
Блок из разделительных конденсаторов, выполненный в соответствии с
8.9, должен рассматриваться как неповреждаемая гальваническая изоляция для постоянного тока.
8.6.2 Конденсатор фильтра
Конденсаторы, подключенные между корпусом электрооборудования и искробезопасной цепью, должны соответствовать
6.3.13. В случае, если их отказ приводит к нарушению искробезопасности (например, возникновению путей обхода элементов, от которых зависит искробезопасность), они должны соответствовать перечисленным в
8.6.1 требованиям к разделительным конденсаторам. Конденсатор, отвечающий требованиям к неповреждаемым разделениям
6.3, внешне и внутренне считается обеспечивающим неповреждаемое разделение и необходим только один конденсатор.
Примечание - Назначение конденсаторов, устанавливаемых между рамой и цепью, - фильтрация высоких частот, например, подача питания через конденсаторы.
8.7 Шунтирующие блоки искрозащиты
Группа элементов должна считаться шунтирующим блоком искрозащиты, если она гарантирует искробезопасность цепи за счет применения шунтирующих элементов.
В неповреждаемом шунтирующем блоке искрозащиты шунтирующие элементы (диоды или стабилитроны) должны дублироваться. В шунтирующем блоке искрозащиты для цепи уровня "ia", применяя требования
раздела 5, учитывают только повреждение одного диода. Диоды должны быть рассчитаны на продолжительный ток, который может протекать в месте их установки при повреждении на замыкание.
Примечания
1 Для предотвращения воспламенения взрывоопасной смеси в случае обрыва соединения может потребоваться герметизация блока в соответствии с
6.3.5.
2 Шунтирующие элементы, используемые в блоках, могут проводить ток в нормальном режиме работы.
Элементы шунтирующего блока искрозащиты должны быть нагружены в соответствии с
7.1, включая случаи воздействия напряжения переменного тока со значением
Um. При защите с помощью предохранителя шунтирующие элементы блока должны быть рассчитаны на длительное протекание тока 1,7
In. Конструкция предохранителя должна удовлетворять требованиям
7.3. Способность шунтирующих элементов выдерживать переходные режимы должна быть проверена в соответствии с
10.8 или определяться сравнением токовременных характеристик срабатывания предохранителя с рабочими характеристиками элементов.
Для шунтирующих блоков искрозащиты, изготовленных как отдельное электрооборудование, конструкция должна соответствовать
9.1.2.
При применении шунтирующего блока искрозащиты в качестве неповреждаемого узла, необходимо учитывать следующее:
a) шунтирующий блок искрозащиты рассматривают как повреждаемый на размыкание цепи;
b) напряжением блока считают наибольшее напряжение шунтирующего элемента;
c) повреждение каждого шунтирующего элемента на замыкание рассматривают как одно повреждение;
d) цепи с шунтирующими тиристорами должны испытываться в соответствии с
10.1.5.3.
8.7.2 Блоки искрозащиты с шунтирующими элементами
Шунтирующий блок искрозащиты должен считаться блоком искрозащиты с шунтирующими элементами, если он гарантирует, что электрические параметры отдельного элемента или группы элементов являются контролируемыми величинами, которые не нарушают искробезопасности цепи.
Если блок искрозащиты с шунтирующими элементами подключают к источнику питания, характеризующемуся только значением
Um, он должен анализироваться на устойчивость к переходным режимам в соответствии с
8.7.1, за исключением случаев, когда блок используют:
a) для ограничения энергии разряда, выделяющейся из дросселей или пьезоэлектрических устройств;
b) для ограничения напряжения устройств, конденсаторов.
Блок диодов соответствующего номинала, собранных по мостовой схеме, должен рассматриваться как неповреждаемый блок искрозащиты с шунтирующими элементами.
8.7.3 Блоки искрозащиты с ограничителями напряжения
Шунтирующий блок искрозащиты должен считаться блоком искрозащиты с ограничителями напряжения, если он гарантирует, что к искробезопасной цепи приложено напряжение заданного уровня.
Блок искрозащиты с ограничителями напряжения должен быть объектом анализа в переходных режимах, когда он может подключаться к источнику питания, для которого определена только величина
Um в соответствии с
8.7.1, за исключением случаев, когда питание блока осуществляют от:
a) неповреждаемого трансформатора, изготовленного в соответствии с
8.2;
b) блока искрозащиты на диодах (стабилитронах), изготовленного в соответствии с
разделом 9;
c) батареи, изготовленной в соответствии с
7.4;
d) неповреждаемого шунтирующего блока искрозащиты в соответствии с
8.7.
8.8 Провода, проводники печатных плат и соединения
Провода, проводники печатных плат, включая их подсоединения, образующие часть электрооборудования, должны рассматриваться как неповреждаемые на размыкание в следующих случаях.
a) Для проводов:
1) если два провода включены параллельно; или
2) если одножильный провод имеет диаметр не менее 0,5 мм и свободную длину менее 50 мм, или механически закреплен в точке соединения; или
3) если одиночный многожильный или гибкий провод ленточного типа имеет сечение не менее 0,125 мм2 (диаметр 0,4 мм), не перегибается при работе и имеет длину менее 50 мм, или надежно закреплен в точке соединения.
b) Для проводников печатных плат:
1) если два проводника шириной не менее 1 мм включены параллельно; или
2) если один проводник имеет ширину не менее 2 мм или 1% от своей длины, в зависимости от того, какое значение больше;
В обоих случаях проводники печатных плат должны соответствовать любому из следующих требований:
- каждый проводник выполнен из меди номинальной толщиной не менее 33 мкм; или
- токонесущая способность единичного печатного проводника или сочетания проводников испытывается в соответствии с
10.12;
3) если дорожки разных слоев соединены одним сквозным отверстием с окружностью не менее 2 мм или двумя параллельными сквозными отверстиями с окружностью 1 мм и эти отверстия соединены между собой в соответствии с
8.8 b) 1) или
8.8 b) 2).
Сквозные отверстия должны соответствовать следующим требованиям:
- иметь толщину покрытия не менее 33 мкм; или
- токонесущая способность единичного сквозного отверстия испытывается в соответствии с
10.12;
c) Для соединений (исключая внешние штепсели, розетки и клеммы):
1) если два соединения параллельны;
2) если имеется одиночное паяное соединение, в котором провод проходит через плату (включая отверстия через нее) и он изогнут перед пайкой, а если не изогнут, то запаян посредством использования автомата, или имеет соединение скруткой, запаян твердым припоем, или приварен;
3) если имеется паяное соединение смонтированного на поверхности элемента в соответствии с рекомендациями изготовителя элемента;
4) если имеется одиночное соединение, которое соответствует
ГОСТ 31610.7;
5) если имеется электрический соединитель внутри оболочки, и соединение включает не менее трех независимых соединительных элементов для уровня "ia" и не менее двух - для уровня "ib", при этом элементы подключены параллельно (см.
рисунок 5). Если соединитель может сместиться под углом, один элемент соединения должен присутствовать на каждом конце соединителя или поблизости от него.
Примечание - При полностью отсоединенном соединителе цепи должны оставаться искробезопасными.
8.9 Разделительные элементы
8.9.1 Общие требования
Неповреждаемые разделительные элементы, удовлетворяющие требованиям данного раздела, следует рассматривать как обеспечивающие неповреждаемое разделение.
8.9.2 Разделительные элементы между искробезопасными и искроопасными цепями
Разделительные элементы должны соответствовать следующим требованиям:
a) разделительные элементы должны соответствовать требованиям
таблицы 5, за исключением внутренней части разделительных элементов, если они имеют герметичную неразборную конструкцию (например, оптронов, для которых значения, указанные в
разделах 5 -
7 таблицы 5, не применяются). Если применяется
таблица F.1, колонка 2 не применяется;
b) чтобы исключить возможность перегрузки разделительных элементов и обеспечить их нагрузку в соответствии с
7.1, соединения искроопасной цепи следует снабжать защитой. Защита от перегрузки разделительных элементов со стороны искроопасной цепи, например, может достигаться включением единичного стабилитрона, защищенного предохранителем с соответствующими параметрами по
7.3 или теплового устройства. При этом требования
таблицы 5 к предохранителю и стабилитрону не применяют. Номинальная мощность стабилитрона должна быть не менее значения, получаемого в результате умножения 1,7
In на максимальное напряжение стабилизации. Конструкция предохранителя и метод монтажа, например, в держателе должны удовлетворять требованиям и нормам на электрооборудование общего назначения. В некоторых случаях при соединениях искробезопасной цепи также могут применяться подобные способы защиты во избежание превышения нагрузки на разделительный элемент. В альтернативном случае оптические разделительные устройства должны отвечать требованиям к испытаниям
10.11.
Примечание 1 - Только единичные устройства в корпусе с глухим соединением испытывают согласно
10.11;
c) элемент выдерживает испытание на электрическую прочность согласно
6.3.13 между зажимами искроопасной цепи и зажимами искробезопасной цепи. Испытательное напряжение изоляции, указанное изготовителем, для неповреждаемого разделения испытываемого элемента должно быть не менее испытательного напряжения, указанного в
6.3.13.
Разделительные реле должны отвечать требованиям
6.3.14, а обмотка реле должна обеспечивать рассеяние максимальной подключенной электрической мощности.
Примечание 2 - Требования
7.1 на обмотки реле не распространяются.
8.9.3 Разделительные элементы между раздельными искробезопасными цепями
Разделительные элементы должны рассматриваться как обеспечивающие неповреждаемое разделение раздельных искробезопасных цепей, если выполняются следующие условия:
a) нагрузка устройства должна соответствовать
7.1 (с применением исключений, указанных в этом
пункте), если нельзя доказать, что цепи, подключенные к этим выводам, не могут нарушить неповреждаемое разделение устройств. Методы защиты (как указано в
8.9.2) могут быть необходимы для предупреждения перегрузки разделительного элемента;
b) изоляция устройства должна соответствовать требованиям к прочности изоляции по
6.3.13. Испытательное напряжение изоляции, указанное изготовителем, для неповреждаемого разделения испытываемого элемента должно быть не менее испытательного напряжения, указанного в
6.3.13.
9 Дополнительные требования к специальному электрооборудованию
9.1 Барьеры безопасности на диодах
9.1.1 Общие положения
Диоды в диодном барьере безопасности ограничивают напряжение, приложенное к искробезопасной цепи, а неповреждаемый токоограничительный резистор ограничивает ток, который может проходить по цепи. Барьеры безопасности предназначены для применения в качестве средств сопряжения искробезопасных и искроопасных цепей и должны пройти контрольные испытания по
11.1.
Способность барьера безопасности выдерживать повреждения, вызванные переходными режимами, должна быть испытана в соответствии с
10.8.
Барьеры безопасности, состоящие только из двух диодов или диодных цепочек и применяемые для искробезопасных цепей уровня "ia", рассматривают в качестве неповреждаемых блоков в соответствии с
8.7, при условии, что диоды прошли контрольные испытания
11.1.2. В этом случае, в соответствии с требованиями
раздела 5 в расчет принимают повреждение только одного диода.
Для барьеров, используемых для искробезопасных цепей уровня "ic", минимальное требование - наличие одного стабилитрона и токоограничительного резистора, если они функционируют в соответствии с требованиями
7.1.
9.1.2.1 Монтаж
Конструкция должна исключать возможность неправильного монтажа, когда группу барьеров устанавливают вместе, например, с помощью асимметричности формы крепления элемента барьера или цветовой маркировки.
9.1.2.2 Устройства для заземления
Дополнительно к любым средствам соединения внутренней электрической цепи с землей, барьер должен иметь, по крайней мере, еще одно соединительное устройство или снабжаться изолированным проводом с площадью поперечного сечения не менее 4 мм2 для заземления.
9.1.2.3 Защита элементов
Все элементы барьера безопасности должны представлять собой единый неразборный блок, залитый компаундом в соответствии с
6.6, или выполненный в неразборной оболочке, исключающей возможность ремонта, или замены элементов его внутреннего монтажа, от которых зависит безопасность.
Электрооборудование, конструкция которого соответствует требованиям
приложения G и которое предназначено для применения в системах FISCO, должно быть дополнительно промаркировано FISCO после указания его функций, например, источник питания, полевое устройство или оконечное согласующее устройство (смотрите
раздел 12).
9.3 Ручные и головные светильники
Головные светильники для группы I должны соответствовать требованию
ГОСТ 31610.35-1.
Ручные и головные светильники для группы II и III должны соответствовать требованиям настоящего стандарта.
10 Типовые проверки и испытания
10.1 Испытания на искробезопасность
10.1.1 Общие положения
Все цепи, которые требуется испытывать на искробезопасность, должны быть испытаны для подтверждения, что они не способны вызвать воспламенение в условиях, указанных в
разделе 5, для соответствующих уровней цепей электрооборудования.
Электрические цепи должны испытываться в нормальных и аварийных режимах работы, с учетом коэффициента искробезопасности (см.
приложение A). Искрообразующий механизм должен включаться в каждую точку испытуемой цепи, для которой возможен обрыв, короткое замыкание или замыкание на землю. Электрическую цепь можно не подвергать типовому испытанию с применением искрообразующего механизма, если ее структура и электрические параметры достаточно хорошо определены, а искробезопасность можно оценить по характеристикам искробезопасности методами, приведенными в
приложении A (см.
рисунки A.1 -
A.6 или
таблицы A.1 и
A.2).
Если напряжения и токи указаны без допусков, применяется допуск +/- 1%.
Примечание - Цепь, оценка которой проведена с использованием характеристик искробезопасности и таблиц, может вызвать воспламенение при испытании с применением искрообразующего механизма. Чувствительность искрообразующего механизма меняется, а кривые и таблицы составлены на основании большого числа таких испытаний.
Источники питания с нелинейными нагрузочными характеристиками, в том числе устройства Power-i согласно ГОСТ 31610.39, должны быть испытаны в соответствии с приложением H. Проведение оценки указанных устройств по приложению A не допускается.
(абзац введен
Изменением N 1, введенным в действие Приказом Росстандарта от 21.10.2020 N 881-ст)
10.1.2 Искрообразующий механизм
Искрообразующий механизм должен соответствовать приведенному в
приложении B, за исключением случаев, когда указана его непригодность. В этих случаях следует использовать другой искрообразующий механизм, обеспечивающий одинаковую со стандартным механизмом чувствительность. При этом обоснование использования нестандартного механизма должно быть включено в пояснительную документацию.
Для цепей уровня "ia" и "ib" использование искрообразующего механизма для создания коротких замыканий, обрывов и замыканий на землю считается нормальным режимом работы и является неучитываемым повреждением:
- на средствах соединения;
- на внутренних соединениях или через внутренние пути утечки, электрические зазоры, расстояния через заливку компаундом и через твердую изоляцию, не отвечающих требованиям
6.1.2.2 или
6.1.2.3.
Искрообразующий механизм не применяют для испытаний:
- через неповреждаемые разделения или последовательно с неповреждаемыми соединениями;
- через пути утечки, электрические зазоры, расстояния через заливку компаундом и через твердую изоляцию, соответствующие требованиям
таблицы 5 или
приложения F;
- внутри связанного оборудования, за исключением выводов искробезопасной цепи;
- между выводами гальванически разделенных цепей, отвечающих требованиям
6.2.1, кроме исключений, указанных в
7.6 i).
Для цепей уровня "ic" подключение искрообразующего механизма следует рассматривать в следующих условиях:
- на вводных устройствах;
- вместо нормально искрящих контактов, например, разъемов, выключателей, кнопок, потенциометров;
- вместо элементов, которые не нагружены соответствующим образом в нормальном режиме работы.
10.1.3 Испытательные газовые смеси и ток контрольной цепи искрообразующего механизма
10.1.3.1 Взрывоопасные испытательные смеси для испытаний с коэффициентом безопасности 1,0 и ток контрольной цепи искрообразующего механизма
Взрывоопасные испытательные смеси, указанные в таблице 7, должны использоваться в соответствии с указанной группой испытуемого оборудования. Взрывоопасные смеси указаны в этом разделе без коэффициента безопасности. Если вводится коэффициент безопасности 1,5, электрические значения цепи должны быть увеличены в соответствии с
10.1.4.2, перечисление a).
Таблица 7
Составы взрывоопасных испытательных смесей
для коэффициента безопасности 1,0
Группа или подгруппа оборудования | Составы взрывоопасных испытательных смесей, об. % в воздухе | Ток в контрольной цепи, мА |
I | (8,3 +/- 0,3)% метана | 110 - 111 |
IIA | (5,25 +/- 0,25)% пропана | 100 - 101 |
IIB | (7,8 +/- 0,5)% этилена | 65 - 66 |
IIC | (21 +/ -2)% водорода | 30 - 30,5 |
Чувствительность искрообразующего механизма следует проверять до начала каждой серии испытаний, проводимых в соответствии с требованием
10.1.5. Для этого искрообразующий механизм должен быть включен в цепь постоянного тока с напряжением 24 В, содержащую катушку с воздушным сердечником и индуктивностью (95 +/- 5) мГн. Ток в этой цепи должен соответствовать значениям, указанным в
таблице 7 для соответствующей группы электрооборудования. Чувствительность должна считаться удовлетворительной, если воспламенение взрывоопасной испытательной смеси происходит в пределах 440 оборотов держателя проволочек при его положительной полярности.
В специальных случаях, когда электрооборудование испытывают и маркируют для применения в среде определенного газа или пара, его испытывают при наиболее легко воспламеняемой концентрации этого газа или пара в воздухе.
Примечание - Чистота имеющихся в продаже газов и паров обычно является приемлемой для данных испытаний, но не следует применять газы чистотой менее 95%. Влияние изменений нормальных условий (значений температуры, давления и влажности воздуха во взрывоопасной смеси) считают незначительным. Любые значительные действия изменений этих параметров становятся очевидными при контрольной калибровке искрообразующего механизма.
10.1.3.2 Взрывоопасные испытательные смеси для испытаний с коэффициентом безопасности 1,5 и ток контрольной цепи для искрообразующего механизма
Предпочтительные испытательные смеси указаны в
разделе 10.1.3.1, а коэффициент безопасности применяется с помощью увеличения напряжения или тока, соответственно. Если для получения коэффициента безопасности используется более агрессивная испытательная смесь, в целях данного стандарта считается, что применен коэффициент 1,5, если состав соответствует таблице 8.
Таблица 8
Составы взрывоопасных испытательных смесей
для коэффициента безопасности 1,5
Группа или подгруппа электрооборудования | Составы взрывоопасных испытательных смесей, объем, % | Ток в контрольной цепи, мА |
Кислородно-водородно-воздушная смесь | Кислородно-водородная смесь |
Водород | Воздух | Кислород | Водород | Кислород |
I | 52 +/- 0,5 | 48 +/- 0,5 | - | 85 +/- 0,5 | 15 +/- 0,5 | 73 - 74 |
IIA | 48 +/- 0,5 | 52 +/- 0,5 | - | 81 +/- 0,5 | 19 +/- 0,5 | 66 - 67 |
IIB | 38 +/- 0,5 | 62 +/- 0,5 | - | 75 +/- 0,5 | 25 +/- 0,5 | 43 - 44 |
IIC | 30 +/- 0,5 | 53 +/- 0,5 | 17 +/- 0,5 | 60 +/- 0,5 | 40 +/- 0,5 | 20 - 21 |
10.1.4 Испытания с использованием искрообразующего механизма
10.1.4.1 Испытание цепи
Для испытуемой электрической цепи выбирают параметры, которые с наибольшей вероятностью способны вызвать воспламенение взрывоопасной смеси, с учетом допусков в соответствии с
разделом 7 и 10% колебания сетевого напряжения.
Искрообразующий механизм должен включаться во все точки испытуемой цепи, в которых считают возможным появление обрыва или замыкания. Испытания цепи должны проводиться в нормальном режиме работы, а также с одним или двумя повреждениями в зависимости от уровня искробезопасной цепи в соответствии с
разделом 5, и с максимальными значениями подсоединяемой емкости (
Co) и индуктивности (
Lo), или отношения индуктивности к сопротивлению (
Lo/
Ro), на которые рассчитано электрооборудование.
Каждую цепь испытывают при следующем количестве оборотов с допуском

держателя проволочек в искрообразующем механизме:
a) для цепей постоянного тока - 400 оборотов (5 мин), по 200 оборотов на каждой полярности;
b) для цепей переменного тока - 1000 оборотов (12,5 мин);
c) для емкостных цепей - 400 оборотов (5 мин), по 200 оборотов на каждой полярности. Конденсатор должен иметь достаточно времени для повторной зарядки (по меньшей мере, 3-кратную постоянную времени). Обычное время перезарядки - около 20 мс, а когда этого недостаточно, время можно увеличить, сняв одну или более проволок или замедлив скорость вращения искрообразующего механизма. Если проволочки сняты, количество оборотов необходимо увеличить, чтобы сохранить то же количество искрений.
После каждого испытания, проведенного в соответствии с
перечислениями a),
b) или
c), необходимо проводить калибровку искрообразующего механизма. Если калибровка не соответствует требованиям
10.1.3, испытания данной цепи на воспламенение должны быть признаны недействительными.
Примечание - Изогнутые и изношенные вольфрамовые проволочки искрообразующего механизма могут изменять его чувствительность, что может привести к недействительным результатам.
10.1.4.2 Коэффициенты искробезопасности
Примечание - Цель применения коэффициента безопасности - гарантировать, что типовое испытание или оценку искробезопасности проводят для цепи, которая с большей вероятностью вызовет воспламенение, чем первичная цепь, или что первичную цепь испытывают в более легковоспламеняющейся взрывоопасной смеси. В основном нельзя добиться точного соответствия между разными методами получения определенного коэффициента искробезопасности, но указанные ниже методы дают приемлемый выбор.
Коэффициента безопасности 1,5 достигают одним из следующих методов:
a) увеличением напряжения сети до 110% (с учетом колебания сети) от номинального значения или установкой напряжения батарей, источников питания и устройств, ограничивающих напряжение, на максимальном уровне в соответствии с
разделом 7, тогда:
1) для индуктивных и омических (резистивных) цепей уменьшают сопротивление ограничительного резистора для увеличения тока испытуемой цепи до значения, равного 1,5-кратному значению тока повреждения. Если коэффициент безопасности 1,5 не может быть достигнут таким способом, то увеличивают напряжение;
2) для емкостных цепей напряжение испытуемой цепи увеличивают до значения, равного 1,5-кратному значению напряжения повреждения. Как вариант, когда с конденсатором используется неповреждаемый токоограничительный резистор, конденсатор рассматривают как батарею, а цепь - как омическую.
b) использование более легко воспламеняемых испытательных смесей в соответствии с
таблицей 8.
Если необходим коэффициент безопасности 1,0, используют испытательную смесь, указанную в
таблице 7.
10.1.5.1 Общие положения
Испытания на искробезопасность должны проводиться на цепи в режимах, представляющих наибольшую опасность воспламенения. Так, например, для простых цепей, которым соответствуют приведенные на
рисунках A.1 -
A.6 кривые, наиболее опасными являются испытания в режиме короткого замыкания. Для более сложных цепей условия могут измениться, и испытания в режиме короткого замыкания могут оказаться менее опасными. Например, для источников питания стабилизированным напряжением и с ограничением тока, наиболее опасные условия обычно имеют место, когда последовательно с выходом источника питания включен резистор, ограничивающий ток до максимального значения, которое не вызывает снижения напряжения.
Нелинейные источники питания требуют специального рассмотрения. Смотрите
приложение H для информации по альтернативному методу испытаний на воспламенение полупроводниковых искробезопасных цепей питания.
10.1.5.2 Цепи с индуктивностью и емкостью
При содержании емкости и индуктивности в цепи в оценке по кривым на
рисунках A.1 -
A.6 могут возникнуть трудности, например, когда энергия, запасенная в конденсаторе, может усилить источник питания дросселя. Если общая индуктивность или емкость по результатам оценки в соответствии с требованиями
раздела 5 составляет менее 1% от допустимого значения по кривым воспламенения или таблицам в
приложении A, тогда максимальную допустимую емкость или индуктивность можно принять равной допустимому значению по кривым на рисунках или таблицам.
Соответствие цепи требованиям определяют одним из следующих методов:
a) испытание с комбинацией емкости и индуктивности;
b) для линейных цепей (с ограничением активного тока).
1 Значения
Lo и
Co, определенные по кривым воспламенения и таблицам из
приложения A, применяют:
- для распределенной индуктивности и емкости, например как в кабеле;
- если Li внешней цепи (без кабеля) в сумме < 1% Lo;
- если Ci внешней цепи (без кабеля) в сумме < 1% Co.
2 Значения
Lo и
Co, определенные по кривым воспламенения и таблицам из
приложения A, должны быть уменьшены до 50%, если:
- если Li внешней цепи (без кабеля) в сумме >= 1% Lo;
- если Ci внешней цепи (без кабеля) в сумме >= 1% Co.
Уменьшенная емкость внешней цепи (с кабелем) не должна превышать 1 мкФ для групп I, IIA и IIB и 600 мкФ для группы IIC.
Значения Lo и Co, определенные по данному методу, не должны быть превышены при сравнении с суммой всех значений Li плюс значения индуктивности кабеля в цепи и сумма всех значений Ci плюс значения емкости кабеля соответственно.
10.1.5.3 Цепи с защитой (перемычкой), шунтирующей цепь на короткое замыкание
После того, как выходное напряжение стабилизируется, цепь должна быть не способна вызывать воспламенение при условиях, указанных в
разделе 5, в электрооборудовании с соответствующим уровнем цепи. В дополнение к этому, если вид защиты основан на срабатывании закорачивающей перемычки при других неисправностях в цепи, проходная энергия перемычки во время срабатывания не должна превышать следующие значения для соответствующей группы/подгруппы оборудования:
- подгруппа IIC | 20 мкДж |
- подгруппа IIB и группа III | 80 мкДж |
- подгруппа IIA | 160 мкДж |
- группа I | 260 мкДж |
Поскольку искрообразующий механизм не приспособлен для проведения испытаний на искробезопасность электрических цепей с защитой, шунтирующей цепь на короткое замыкание, определение выделившейся в разряде энергии проводят, например, осциллографическими измерениями.
Примечание - Метод выполнения этого испытания изложен в
приложении E.
10.1.5.4 Результаты испытаний на искробезопасность
Воспламенение не должно произойти ни в одной серии испытаний и ни в одной точке, выбранной для испытаний.
10.2 Температурные испытания
Все данные по температурам должны базироваться на эталонной температуре окружающей среды, равной 40 °C, или на максимальной температуре окружающей среды, обозначенной в маркировке электрооборудования. Испытания, базирующиеся на эталонной температуре, можно проводить при любой температуре окружающей среды от 20 °C до эталонной температуры. Разность между температурой окружающей среды, при которой проводят испытания, и эталонной температурой необходимо прибавить к измеренной температуре, если только элемент не имеет нелинейные температурные характеристики, например, батареи. Если превышение температуры измеряют при эталонной температуре окружающей среды, то при определении температурного класса следует использовать полученное значение.
Температуру можно измерять любым способом. Измерительный элемент не должен значительно снижать измеряемую температуру.
Допустимым является следующий метод измерения превышения температуры обмоток:
- измеряют сопротивление обмотки и регистрируют температуру окружающей среды;
- прикладывают испытательный ток или токи, измеряют максимальное сопротивление обмотки и регистрируют температуру окружающей среды при измерениях;
- рассчитывают превышение температуры по следующей формуле

, (3)
где t - превышение температуры, К;
r - сопротивление обмотки при температуре окружающей среды t1, Ом;
R - максимальное сопротивление обмотки после приложения испытательного тока, Ом;
t1 - температура окружающей среды при измерениях r, °C;
t2 - температура окружающей среды при измерениях R, °C;
k - величина, обратная температурному коэффициенту сопротивления обмотки при 0 °C, которая, например, для меди равна 234,5 К.
10.3 Испытание электрической прочности изоляции
Испытание электрической прочности должно проводиться по соответствующему стандарту.
Если такого стандарта нет, необходимо использовать следующий метод испытания. Испытания должны проводиться переменным напряжением синусоидальной формы частотой от 48 до 62 Гц или напряжением постоянного тока, имеющим пульсацию не выше 3% и значение, равное 1,4 указанного значения напряжения переменного тока.
Источник питания должен иметь мощность, достаточную для поддержания испытательного напряжения с учетом любого возникающего тока утечки.
Напряжение должно увеличиваться постепенно до указанного значения за время не менее 10 с, а затем поддерживаться неизменным в течение не менее 60 с.
Приложенное напряжение должно оставаться постоянным в течение испытаний, а ток не должен превышать эффективного значения 5 мА в любой промежуток времени.
10.4 Определение параметров элементов, имеющих неопределенные характеристики
(п. 10.4 в ред.
Изменения N 1, введенного в действие Приказом Росстандарта от 21.10.2020 N 881-ст)
Десять неиспользованных образцов элементов должны быть получены из любого источника или источников поставки, и их соответствующие параметры должны быть измерены. Испытания обычно проводятся при указанной или заявленной максимальной температуре окружающей среды, например 40 °C, но если необходимо, чувствительные к температуре элементы должны быть испытаны при более низких температурах, чтобы создать наиболее неблагоприятные для элементов условия.
Наиболее неблагоприятные значения параметров, не обязательно для одного и того же образца, полученные во время испытаний на десяти образцах, должны рассматриваться как представительные параметры элемента.
10.5 Испытания элементов и батарей
10.5.1 Общие положения
До проведения любых испытаний перезаряжаемые элементы или батареи нужно не менее двух раз полностью зарядить и разрядить. При второй и, если это потребуется, последующих разрядках необходимо убедиться, что емкость элемента или батареи находится в пределах характеристик, указанных изготовителем, что гарантирует проведение испытания на полностью заряженном элементе или батарее.
Если при испытаниях необходимо осуществлять короткое замыкание элемента или батареи, то собственное сопротивление закорачивающей перемычки должно быть не более 3 мОм, или падение напряжения на зажимах подключенной перемычки должно быть не более 200 мВ, либо не более 15% от ЭДС элемента. Короткое замыкание необходимо осуществлять максимально близко от зажимов элемента или батареи.
10.5.2 Испытания элементов и батарей на утечку электролита
Десять образцов должны быть подвергнуты наиболее жестким из следующих испытаний:
a) короткому замыканию до полной разрядки элемента или батареи (не применяется для уровня искробезопасной цепи "ic");
b) пропусканию входного или зарядного токов в пределах, рекомендованных изготовителем;
c) заряду батареи в соответствии с инструкцией изготовителя с одним полностью разряженным или поврежденным переполюсовкой элементом.
Приведенные выше режимы испытаний включают любую переполюсовку при зарядке, имеющую место в случаях, оговоренных в
5.2 и
5.3. Они исключают использование внешнего зарядного устройства с зарядными характеристиками, превышающими рекомендованные изготовителем элемента или батареи.
После выполнения указанных испытаний испытуемые образцы должны быть помещены не менее, чем на 12 часов на кусок промокательной бумаги таким образом, чтобы соединения корпуса, например, места уплотнения, были расположены внизу или установлены в соответствии с указаниями изготовителя. По окончании испытаний на промокательной бумаге или внешних поверхностях испытуемых образцов не должно быть видимых следов электролита. Если испытывались герметизированные элементы или батареи, то их проверка по окончании испытаний не должна выявить повреждения, которые могли бы нарушить соответствие требованиям
7.4.2.
10.5.3 Воспламенение вследствие искры и превышения температуры поверхности элементов и батарей
Если батарея состоит из нескольких отдельных элементов или батарей меньшего размера, объединенных в законченную конструкцию с соблюдением требований к разделению и других требований данного стандарта, то при проведении испытаний каждый элемент батареи должен рассматриваться как отдельный элемент. Исключение составляют специально сконструированные батареи, для которых может быть доказана невозможность короткого замыкания между элементами, а отказ любого элемента должен рассматриваться как одно повреждение. В батарее, не полностью изолированной, считают возможным повреждение на короткое замыкание между ее внешними выводами.
Элементы и батареи должны испытываться и оцениваться следующим образом:
a) Оценку или испытания на воспламенение искрой следует проводить на внешних выводах элемента или батареи. Если последовательно с элементом или батареей включено токоограничительное устройство и их соединение отвечает требованиям
6.6, испытания или оценка должны проводиться с учетом этого устройства.
Если электрооборудование содержит элементы, которые не должны заменяться во взрывоопасной среде, испытание искрового разряда на выводах единичного элемента не проводится, при условии, что:
- максимальное напряжение холостого хода единичного элемента - менее 4,5 В.
Если внутреннее сопротивление элемента или батареи должно быть включено в оценку искробезопасности, должно быть указано минимальное значение этого сопротивления. В альтернативном случае, если изготовитель элемента/батареи не может подтвердить минимальное значение внутреннего сопротивления, испытательная организация должна использовать для определения внутреннего сопротивления наиболее неблагоприятное значение тока короткого замыкания из результатов испытаний 10 образцов элементов/батарей, приняв для определения внутреннего сопротивления максимальное значение напряжения холостого хода в соответствии с
7.4.3;
Примечание 1 - Некоторые типы элементов, например никель-кадмиевые, могут иметь максимальный ток короткого замыкания при температурах ниже нормальной температуры окружающей среды.
b) Элементы должны быть испытаны при любой температуре в пределах значений между лабораторной температурой окружающей среды и заданной максимальной температурой окружающей среды, при которой создаются наиболее неблагоприятные условия. Полученные результаты должны использоваться сразу при оценке температурного класса. При монтаже элементов должно моделироваться тепловое воздействие их заданного расположения в законченном оборудовании. В качестве значения температуры принимают максимальное значение, измеренное на внешней оболочке каждого элемента, который может подвергаться воздействию взрывоопасной среды. Если установлен внешний кожух, то температуру измеряют на поверхности кожуха и на металлической поверхности элемента или образца.
Максимальная температура поверхности должна определяться следующим образом.
- Для цепей уровней "ia" и "ib" все внешние по отношению к элементу или батарее токоограничительные устройства следует закоротить для проведения испытаний. Испытание проводят как с внутренними токоограничительными устройствами в цепи, так и с короткозамкнутыми устройствами, на 10 элементах или батареях в каждом случае. От изготовителя элемента или батареи должны быть получены 10 образцов с закороченными внутренними токоограничительными устройствами вместе со специальными инструкциями или предостережениями, необходимыми для их безопасного использования и испытания. Если внутренние токоограничительные устройства защищают от внутренних замыканий, то их не следует удалять. Однако такие устройства необходимо учитывать только для уровня защиты "ib";
Примечание 2 - При утечке электролита при испытаниях следует также учитывать требования
7.4.3.
Примечание 3 - При определении максимальной температуры поверхности батареи, состоящей из нескольких элементов, если элементы соответствующим образом разделены между собой, только один элемент должен быть закорочен в данный момент времени для определения максимальной температуры поверхности. (Это основано на том, что крайне маловероятно, чтобы произошло короткое замыкание более чем одного элемента одновременно).
- Для цепей уровня "ic" максимальную температуру поверхности определяют путем проведения испытания в нормальных условиях эксплуатации без удаления всех защитных устройств.
10.5.4 Испытание под давлением оболочки батареи
Пять образцов оболочки батареи испытывают под давлением для определения давления сброса. Давление прикладывают внутри оболочки и постепенно увеличивают, пока не произойдет сброс. Максимальное давление сброса регистрируют. Оно не должно превышать 30 кПа.
Максимальное зарегистрированное давление сброса прилагают к образцу оболочки батареи в течение не менее 60 с. После испытания образец должен пройти визуальный осмотр. Образец не должен иметь видимых повреждений или остаточной деформации.
Если зазоры внутри оболочки батареи соответствуют значениям из
таблицы 5, испытание давлением образца, который прошел испытание на теплостойкость по
ГОСТ 31610.0, не требуется. Если зазор на печатной плате в сборе внутри оболочки соответствует значениям из
приложения F, необходимо провести испытание давлением на образце, который прошел испытание на теплостойкость, и дополнительно, если это переносное устройство, провести испытание сбрасыванием по
ГОСТ 31610.0.
10.6 Механические испытания
10.6.1 Заливочный компаунд
Перпендикулярно открытой поверхности заливочного компаунда с помощью круглого металлического стержня диаметром 6 мм с гладким плоским концом в течение 10 с должна быть приложена сила 30 Н. В результате испытания не должны наблюдаться повреждения, остаточная деформация или перемещения компаунда более, чем на 1 мм.
| | ИС МЕГАНОРМ: примечание. В официальном тексте документа, видимо, допущена опечатка: имеется в виду строка a) таблицы по испытаниям на ударостойкость ГОСТ 31610.0-2014, а не столбец a). | |
Если заливочный компаунд имеет свободную поверхность и образует часть оболочки, то необходимо гарантировать, что он является прочным, но не хрупким. Поверхность компаунда должна подвергаться испытанию на ударостойкость по
ГОСТ 31610.0 с высотой сбрасывания
h, указанной в
столбце a) таблицы по испытаниям на ударостойкость
ГОСТ 31610.0.
10.6.2 Испытания предохранителей с заливкой компаундом
Если необходима заливка предохранителей компаундом и заливка может попасть внутрь предохранителя и нарушить безопасность, необходимо выполнить следующее испытание на пяти образцах каждого предохранителя до заливки.
Испытываемые образцы с исходной температурой (25 +/- 2) °C необходимо мгновенно погрузить в воду с температурой (50 +/- 2) °C на глубину не менее 25 мм в течение по крайней мере 1 мин. Устройства считаются удовлетворяющими условиям испытания, если во время испытания из образца не выделяются пузырьки.
В альтернативном случае испытание проводят путем проверки пяти образцов предохранителей после герметизации, чтобы исключить попадания компаунда внутрь.
Перегородки должны выдерживать минимальное усилие 30 Н, приложенное твердым испытательным стержнем диаметром (6 +/- 0,2) мм. Усилие прикладывают примерно по центру перегородки в течение не менее 10 с. Не должно быть деформации перегородки, которая могла бы нарушить ее пригодность для последующего использования.
10.7 Испытания искробезопасного оборудования, содержащего пьезоэлектрические устройства
Измеряют емкость устройства и напряжение, возникающее в нем, когда доступную при эксплуатации часть оборудования испытывают ударом в соответствии с параметрами, приведенными в
таблице по испытаниям на ударостойкость (графа "Высокая") по
ГОСТ 31610.0 при температуре (20 +/- 10) °C с использованием испытательного оборудования по
ГОСТ 31610.0. Принимается более высокое значение напряжения из двух испытаний на одном образце.
Если искробезопасное оборудование, содержащее пьезоэлектрическое устройство, предохранено от прямого механического воздействия, испытывают ударом предохранительное устройство при расположении искробезопасного оборудования и предохранительного устройства в положении, предусмотренном изготовителем.
Максимальная энергия, накопленная емкостью кристалла при максимальном измеренном напряжении, не должна превышать для оборудования:
- группы I | - | 1500 мкДж, |
- подгруппы IIA | - | 950 мкДж, |
- подгруппы IIB | - | 250 мкДж, |
- подгруппы IIC | - | 50 мкДж. |
Защитные устройства, ограничивающие выделение запасенной пьезоэлектрическим устройством энергии, не должны разрушаться при ударе и тем самым нарушать вид взрывозащиты.
Если искробезопасное оборудование необходимо защитить от внешнего механического воздействия, чтобы не допустить превышения указанных значений ударной энергии, номер сертификата на электрооборудование должен содержать знак "X" согласно требованиям к маркировке
ГОСТ 31610.0. Специальные требования применения, перечисленные в сертификате, должны содержать подробные требования к установке.
10.8 Типовые испытания диодных барьеров и шунтов безопасности
Барьеры безопасности или шунты должны выдерживать воздействие переходных процессов, что подтверждается испытаниями их элементов.
Резисторы, считающиеся неповреждаемыми, должны рассматриваться как выдерживающие любые переходные процессы, возможные для указанного источника питания.
Диоды (при минимальной температуре окружающей среды) должны выдерживать ток, значение которого определяется делением амплитудного значения напряжения Um на суммарное значение сопротивлений предохранителя и неповреждаемого резистора, если он включен последовательно с предохранителем. Проверку выполнения указанного требования осуществляют либо по спецификации изготовителя, либо по результатам указанных ниже испытаний.
К диоду каждого типа в прямом направлении (для стабилитронов - в обратном направлении) необходимо приложить пять прямоугольных импульсов тока, длительностью 50 мкс каждый, повторяемых с интервалом 20 мс. Амплитуда импульса должна равняться амплитудному значению напряжения Um, деленному на значение сопротивления предохранителя в холодном состоянии при минимальной температуре окружающей среды (плюс сопротивление последовательно включенного резистора при наличии его в цепи). Если данные изготовителя показывают, что предразрывное время предохранителя при этом токе больше 50 мкс, ширину импульса следует изменить, чтобы реализовать действительное предразрывное время. Если предразрывное время не может быть получено из данных изготовителя, следует испытать 10 предохранителей при расчетном значении тока для измерения соответствующего ему предразрывного времени. Полученное значение следует использовать в случае, если оно превышает 50 мкс.
Напряжение на диоде должно измеряться до и после этих испытаний при испытательном токе, указанном изготовителем элемента. Измеренные значения напряжения не должны отличаться более чем на 5% (значение 5% включает погрешности испытательного оборудования). Наибольшее значение напряжения, отмеченное во время испытаний, должно использоваться как амплитудное для серии импульсов, прикладываемых, как указано выше, к любому полупроводниковому устройству ограничения тока. После испытаний эти устройства следует снова проверить на соответствие спецификации изготовителя.
Чтобы показать пригодность всего ряда изделий, производимых конкретным изготовителем, необходимо испытать при данном напряжении только представительный образец.
10.9 Испытания кабеля на растяжение
Испытания следует проводить следующим образом:
- к кабелю необходимо приложить минимальное растягивающее усилие 30 Н в направлении оси кабельного ввода электрооборудования в течение не менее 1 ч;
- допускается смещение оболочки кабеля, но не должно наблюдаться видимого смещения выводов;
- данное испытание не должно применяться к отдельным проводникам, которые подключены постоянно и не являются частью кабеля.
10.10 Испытания трансформаторов
Требование к безопасному электрическому разделению будет выполнено, если трансформатор пройдет контрольное испытание, указанное ниже типовое испытание и затем выдержит испытательное напряжение (см.
10.3), равное 2
U + 1000 В или 1500 В (
U - самое высокое номинальное напряжение любой испытуемой обмотки), в зависимости от того, какое значение больше, между любой обмоткой (обмотками), питающей (питающими) искробезопасные цепи, и всеми другими обмотками.
Входное напряжение устанавливают по номинальному напряжению трансформатора. Входной ток должен быть установлен на

предохранителя или должен быть равен максимальному непрерывно протекающему току, который может проходить через автоматический выключатель, не вызывая его срабатывания при увеличении нагрузки на вторичные обмотки. Если увеличение нагрузки ограничено возникновением короткого замыкания на всех вторичных обмотках, испытание следует продолжить с номинальным входным напряжением и максимальным входным током, полученными в этих условиях.
Испытание проводят не менее 6 часов или до срабатывания невозвратного теплового расцепляющего устройства. При использовании теплового расцепляющего устройства с автоматическим возвратом время испытания должно быть не менее 12 часов.
Для трансформаторов типа 1 и 2a) температура обмотки не должна превышать допустимое значение для данного класса изоляции по
[14]. Температуру обмотки измеряют в соответствии с
10.2.
Для трансформаторов типа 2b), если необходима изоляция от земли обмоток, используемых в искробезопасной цепи, применяется указанное выше требование. Однако, если изоляция от земли не требуется, трансформатор считают прошедшим испытание, если он не воспламенился.
10.11 Испытания оптических разделительных устройств
Данные испытания проводят, если оптические разделительные устройства используют для разделения искробезопасных и искроопасных цепей и они недостаточно защищены от перегрузки внешними защитными компонентами (см.
8.9.2).
Образцы должны удовлетворять испытаниям, указанным в
10.11.2 и
10.11.3.
10.11.2 Тепловая обработка, испытания на электрическую прочность и на карбонизацию
Максимальная температура, измеренная на приемной стороне и на передающей стороне, должна быть определена при перегрузке устройств. Затем они должны быть подвергнуты тепловой обработке и испытаниям на электрическую прочность. Затем для проверки образования внутренних путей утечки проводят испытание на карбонизацию.
10.11.2.1 Испытание на перегрузку на приемной стороне
Данное испытание проводят на пяти образцах.
Передающая сторона оптического разделительного устройства должна работать с номинальными значениями нагрузки (например, If = IN).
Приемная сторона должна работать с установленной мощностью (например, между токоприемником и излучателем), которая не должна повреждать компоненты. Данные значения должны быть определены при предварительных испытаниях или взяты из спецификации.
После достижения термического равновесия должна быть увеличена мощность. После повторного достижения термического равновесия мощность должна увеличиваться ступенчато, пока не будет термического равновесия и так далее, пока приемный полупроводник не будет поврежден. Это ограничит или значительно снизит рассевание мощности.
До повреждения приемника необходимо зарегистрировать максимальную температуру поверхности приемной стороны для каждого образца вместе с температурой окружающей среды.
10.11.2.2 Испытание на перегрузку на передающей стороне
Данное испытание проводят на пяти образцах.
Приемная сторона оптического разделительного устройства работает при номинальных значениях напряжения и тока (например, VC-E, IC).
Передающая сторона должна работать с установленной мощностью, которая не должна повреждать компоненты. Данное значение должно быть определено при предварительных испытаниях или взято из спецификации.
После достижения термического равновесия должна быть увеличена мощность. После повторного достижения термического равновесия мощность должна увеличиваться ступенчато, пока не будет термического равновесия и так далее, пока передающий полупроводник не будет поврежден. Это ограничит или значительно снизит рассевание мощности.
До повреждения передатчика необходимо зарегистрировать максимальную температуру поверхности передающей стороны для каждого образца вместе с температурой окружающей среды.
10.11.2.3 Тепловая обработка и испытание прочности электрической изоляции
Все 10 образцов, используемых в
10.11.2.1 и
10.11.2.2, должны быть помещены в печь на 6
+0,2 часов при максимальной температуре поверхности, записанной при проведении испытаний по
10.11.2.1 и
10.11.2.2, увеличенной не менее чем на 10 К, но не более чем на 15 К.
Оптические разделительные устройства должны остыть до (25 +/- 2) °C. Затем они должны быть подвержены испытанию электрической прочности изоляции напряжением 1,5 кВ (переменного тока от 48 до 62 Гц), между клеммами искробезопасных и искроопасных цепей и в течение 10 с напряжение должно быть увеличено до

. Данное напряжение должно быть подано (65 +/- 5) с.
Во время данного испытания не должно быть пробоя изоляции между приемником и передатчиком и ток утечки не должен превышать 5 мА.
10.11.2.4 Испытание на карбонизацию
10.11.2.4.1 Приемная сторона
Испытание проводят на пяти образцах
10.11.2.1.
Напряжение постоянного тока

должно быть приложено к клеммам (например, к приемным и передающим клеммам) полупроводника с поврежденной приемной частью в течение

, чтобы испытать образование внутреннего пути утечки, вызванного нагретым пластиком (карбонизацией).
В течение 5 последних минут испытания значение тока не должно превышать 5 мА.
10.11.2.4.2 Передающая сторона
Испытание проводят на пяти образцах
10.11.2.2.
Напряжение постоянного тока

должно быть приложено к клеммам поврежденной передающей стороны (например, диода) в течение

, чтобы испытать образование внутреннего пути утечки, вызванного нагретым пластиком (карбонизацией).
В течение 5 последних минут испытания значение тока не должно превышать 5 мА.
10.11.3 Испытание электрической прочности и короткого замыкания
10.11.3.1 Общие требования
Оптические разделительные устройства должны быть подвергнуты испытанию электрической прочности, затем испытанию током короткого замыкания и, если необходимо, испытанию током короткого замыкания с ограничением тока, указанного ниже, затем испытанию электрической прочности.
10.11.3.2 Предварительное испытание электрической прочности
Данное испытание проводят на трех новых образцах. Для
10.11.3.4 используют три дополнительных образца.
До проведения испытаний током короткого замыкания образцы оптического разделительного устройства должны выдержать без пробоя испытание электрической прочности напряжением

действующего значения, приложенного между искробезопасной и искроопасной частями оптического разделительного устройства.
10.11.3.3 Испытание током короткого замыкания
Три образца оптического разделительного устройства должны быть испытаны током короткого замыкания. Напряжение в разомкнутой испытательной цепи должно быть Um. Доступная мгновенная нагрузочная способность испытательной цепи должна быть не менее 200 А. Испытательная цепь должна быть соединена с оптическим разделительным устройством так, чтобы испытательный ток подавался через искроопасную часть оптического разделительного устройства. При испытании допускается оставить подключенными защитные компоненты или узлы, которые являются частью цепи.
10.11.3.4 Испытание током короткого замыкания с ограничением тока
Если оптические разделительные устройства имеют последовательно соединенные защитные предохранители или резисторы, ограничивающие ток, три дополнительных образца оптического разделительного устройства должны быть выдержаны при 1,7-кратном значении номинального тока предохранителя или 1,5-кратном рассчитанном токе короткого замыкания через резистор в условиях неисправности, пока температура не достигнет равновесия.
10.11.3.5 Испытание электрической прочности
Каждый образец должен выдерживать без пробоя испытание на электрическую прочность напряжением 2U + 1000 В или 1500 В действующего значения, в зависимости от того, какая из величин больше, приложенного между искробезопасной и искроопасной сторонами оптического разделительного устройства в течение (65 +/- 5) с.
При испытании оптические разделительные устройства не должны взорваться или загореться при испытании током короткого замыкания и ток не должен превышать 1 мА при испытаниях на электрическую прочность.
10.12 Токопроводящая способность неповреждаемых соединений печатных плат
Токопроводящая способность соединения испытывается в течение 1 ч с током, в 1,5 раза превышающим максимальный непрерывный ток, который может протекать в данной точке в нормальных и аварийных условиях работы. Применение этого испытательного тока не должно вызывать размыкание соединения или его отделения от субстрата в любой точке.
11 Контрольные проверки и испытания
11.1 Контрольные испытания диодных барьеров безопасности
11.1.1 Барьеры безопасности законченной конструкции
Контрольное испытание должно проводиться на каждом барьере безопасности законченной конструкции для проверки правильной работы всех элементов барьера и сопротивления всех предохранителей. Разрешено использование съемных вставок для проведения данного испытания, если искробезопасность сохраняется при снятых вставках.
11.1.2 Диоды для двухдиодных барьеров уровня "ia"
Напряжение на зажимах диодов должно быть измерено, как указано их изготовителем, при температуре окружающей среды до и после следующих испытаний каждого диода:
a) воздействием температуры 150 °C в течение 2 ч;
b) импульсами тока в соответствии с
10.8.
11.2 Контрольные испытания неповреждаемых трансформаторов
При контрольных испытаниях прикладываемое к неповреждаемым трансформаторам напряжение должно соответствовать значениям, приведенным в таблице 9, где U - наибольшее номинальное напряжение любой испытуемой обмотки. Время приложения испытательного напряжения должно быть не менее 60 с.
Таблица 9
Напряжения для контрольных испытаний
неповреждаемых трансформаторов
Место приложения испытательного напряжения | Испытательное напряжение, действующее значение, В, трансформатора |
сетевого | несетевого | с первичными и вторичными обмотками в искробезопасной цепи |
Между входными и выходными обмотками | 4U, но не менее 2500 | 2U + 1000, но не менее 1500 | 500 |
Между любой обмоткой и сердечником или экраном | 2U, но не менее 1000 | 2U, но не менее 500 | 500 |
Между каждой обмоткой, питающей искробезопасную цепь, и любой другой выходной обмоткой | (2U + 1000), но не менее 1500 | 2U, но не менее 500 | 500 |
Между каждой обмоткой искробезопасной цепи | 2U, но не менее 500 | 2U, но не менее 500 | 500 |
В качестве альтернативы, испытание может проводиться с 1,2-кратным испытательным напряжением, но в течение более короткого периода, равного не менее 1 с.
Прилагаемое напряжение должно оставаться постоянным во время испытания. Ток во время испытания не должен возрастать выше ожидаемого значения для цепи и в любое время не должен превышать действующее значение 5 мА.
Во время этих испытаний не должно происходить пробоя изоляции между обмотками или между любой обмоткой и сердечником или экраном.
Объем сведений, указываемых в маркировке искробезопасного и связанного оборудования, должен соответствовать
ГОСТ 31610.0. Текст предупредительных надписей, если они применяются, должен соответствовать текстам предупредительных надписей
ГОСТ 31610.0.
На оборудование, удовлетворяющее требованиям
раздела 5.4, наносят символ "ic". Если необходимо нанести маркировку одного из других видов защиты, указанных в
ГОСТ 31610.0, ее наносят после символа "ic".
Для связанного оборудования символы Ex ia, Ex ib или Ex ic (ia, ib или ic, если символ Ex уже нанесен) должны быть заключены в квадратные скобки.
Примечания
1 Место маркировки всех относящихся к искробезопасности параметров, например Um, Li, Ci, Lo, Co и т.п., выбирают из практических соображений.
2 Стандартные символы для использования в маркировке и документации приведены в
разделе 3 настоящего стандарта и в
ГОСТ 31610.0.
По практическим соображениям может быть ограничено или исключено использование курсива или подстрочных знаков и использовано упрощенное написание символов, например Uo вместо Uo.
Если оборудование соответствует требованиям
6.1.2.3, перечисление c),
маркировка должна содержать знак "X" согласно требованиям к маркировке
ГОСТ 31610.0 и в сертификате должны быть указаны требования специальных условий применения.
Если оборудование не соответствует требованиям
6.3.13,
маркировка должна содержать знак "X" согласно требованиям к маркировке
ГОСТ 31610.0 и в сертификате должны быть указаны требования специальных условий применения.
Если оборудование необходимо защитить от внешнего механического воздействия, чтобы не допустить превышения указанных значений
(10.7) ударной энергии, подробные требования должны быть указаны, как специальные условия безопасного применения,
маркировка должна содержать знак "X" согласно требованиям к маркировке
ГОСТ 31610.0 и в сертификате должны быть указаны требования специальных условий применения.
Каждая единица оборудования, которое соответствует требованиям
приложения G, должна быть дополнительно промаркирована словом "FISCO" после указания его функций, например источник питания, полевое устройство или оконечное согласующее устройство.
При использовании оборудования, имеющего двойную маркировку, позволяющую его использовать как в системах FISCO, так и в обычных искробезопасных системах, необходимо различать маркировку FISCO и маркировку обычной искробезопасной системы.
Для источников питания FISCO необходимо указывать выходные параметры Uo, Io, Co, Lo, Po и Lo/Ro, и для полевых устройств FISCO и ограничителей выходные и внутренние параметры Ui, Ii, Ci, Li, Pi и Li/Ri указывать не требуется.
12.2 Маркировка соединительных устройств
Соединительные устройства, клеммные коробки, вилки и розетки искробезопасного и связанного оборудования должны быть четко промаркированы и легко идентифицироваться. Если для этой цели используют цвет, то это должен быть голубой цвет для искробезопасных соединений.
Если части оборудования или различные элементы оборудования соединены между собой с помощью вилок и розеток, последние должны быть идентифицированы как содержащие только искробезопасные цепи. Там, где для этой цепи используют цвет, он должен быть голубым.
Дополнительно должна быть обеспечена достаточная и понятная маркировка для обеспечения правильного соединения для всей искробезопасной цепи в целом.
Примечание - Для этой цели могут потребоваться дополнительные таблички на вилках или розетках или около них. Если правильность соединения не вызывает сомнений, достаточно таблички на оборудовании.
12.3 Предупредительные надписи
Если на оборудование необходимо нанести какую-либо из следующих предупредительных надписей, текст из таблицы 10 после слова "ПРЕДУПРЕЖДЕНИЕ" можно заменять технически эквивалентным текстом. Несколько предупредительных надписей можно объединять в одной эквивалентной предупредительной надписи.
Таблица 10
Текст предупредительных надписей
Пункт | Раздел | ПРЕДУПРЕЖДЕНИЕ |
| | ПРЕДУПРЕЖДЕНИЕ - ИСПОЛЬЗОВАТЬ ТОЛЬКО БАТАРЕИ YYYYY (где Y - наименование изготовителей элементов и тип элемента или батареи) |
| | ПРЕДУПРЕЖДЕНИЕ - НЕ ЗАМЕНЯТЬ БАТАРЕЮ, ЕСЛИ ВОЗМОЖНО ПРИСУТСТВИЕ ВЗРЫВООПАСНОЙ СРЕДЫ |
| | ПРЕДУПРЕЖДЕНИЕ - НЕ ЗАРЯЖАТЬ БАТАРЕЮ В ОПАСНОЙ ЗОНЕ |
| | ПРЕДУПРЕЖДЕНИЕ - НЕ ОТКРЫВАТЬ, ЕСЛИ ПРИСУТСТВУЕТ ВЗРЫВООПАСНАЯ СРЕДА |
Ниже приведены примеры маркировки.
a) Автономное искробезопасное оборудование
C TOME LTD (Компания) ПЕЙДЖИНГОВЫЙ ПРИЕМНИК ТИПА 3 0Ex ia IIC T4 -25 °C <= Ta <= +50 °C МЭКEx ExOC 04.**** Серийный номер XXXX |
b) Искробезопасное оборудование, предназначенное для подключения к другому оборудованию
M HULOT ПРЕОБРАЗОВАТЕЛЬ ТИПА 12 1Ex ib IIB T4 ACB No: Ex05**** |
Li: 10 мкГн | Ci: 1 200 пФ |
Ui: 28 В | Ii: 250 мА |
Pi: 1,3 Вт |
c) Связанное оборудование
J SCHMIDT A.G. БЛОК ПИТАНИЯ ТИПА 4 [Ex ib] I ACB No. Ex05**** |
Um: 250 В | Po: 0,9 Вт |
Io: 150 мА | Uo: 24 В |
Lo: 20 мГн | Co: 4,6 мкФ |
d) Связанное оборудование с взрывонепроницаемой оболочкой
PIZZA ELECT. SpA 1Ex d [ia] IIB T6 ACB No.: Ex05**** |
Um: 250 В | Po: 0,9 Вт |
Uo: 36 В | Io: 100 мА |
Co: 0,31 мкФ | Lo: 15 мГн |
Серийный номер XXXX |
e) Искробезопасное оборудование с уровнем взрывозащиты "ic"
M HULOT Преобразователь типа 12A 2Ex ic IIB T4 ACB No: Ex05**** |
Ui: 28 В | Ci = 0 |
f) Искробезопасное оборудование с уровнем взрывозащиты "ib" с выходными параметрами "ia"
PRAHA ELECT 1Ex ib [ia IIC] IIB T6 ACB No: Ex09**** |
Ui: 30 В | Uo: 5,6 В |
Ii: 93 мА | Po: 0,014 Вт |
Li: 0,01 мГн | Io: 10 мА |
Ci: 0,031 мкФ | Lo: 0,15 мГн |
Серийный номер XXXX | Co: 35 мкФ |
где ACB - название или знак испытательной организации.
Документация должна включать инструкции в соответствии с требованиями к инструкциям
ГОСТ 31610.0, а также следующую информацию:
a) электрические параметры для принципа целого объекта:
1) для источников питания - выходные данные, например Uo, Io, Po и, если нужно, Co, Lo и/или допустимое соотношение Lo/Ro;
2) для приемников энергии - входные данные, например Ui, Ii, Pi, Ci, Li и соотношение Li/Ri;
b) любые специальные требования по установке, техобслуживанию под напряжением и эксплуатации.
Примечание - Контрольный чертеж - рекомендуемая форма объединения информации о подключении и специальных требований по монтажу и эксплуатации;
c) максимальное значение Um, которое может быть приложено к зажимам искроопасных цепей или связанного оборудования;
d) любые специальные условия, которые приняты при определении вида защиты, например, что напряжение должно поступать от защитного трансформатора или через диодный барьер безопасности;
e) соответствие или несоответствие требованиям
6.3.13;
f) обозначение поверхности оболочки в случае, если от этого зависит искробезопасность;
g) условия окружающей среды, в которых может использоваться оборудование;
h) если применяется
приложение F, в документации должны быть указаны степень загрязнения и категория перенапряжения.
(обязательное)
ОЦЕНКА ИСКРОБЕЗОПАСНЫХ ЭЛЕКТРИЧЕСКИХ ЦЕПЕЙ
Искробезопасная цепь должна удовлетворять трем основным требованиям:
a) не вызывать искрового воспламенения при испытании цепи или ее оценке в соответствии с требованиями
раздела 10 для указанного уровня цепи (см.
раздел 5) и группы электрооборудования (см.
раздел 4);
b) не вызывать воспламенения от нагретых поверхностей. Температурный класс искробезопасного оборудования должен быть определен в соответствии с
5.6 и требованиями к температуре
ГОСТ 31610.0. Температурная классификация не должна применяться к связанному электрооборудованию;
c) искробезопасная цепь должна быть соответствующим образом отделена от других цепей.
Примечания
1 Требование, указанное в
перечислении a), может быть выполнено проведением оценки. Для этого необходимы точные данные о напряжении, токе и таких параметрах цепи, как емкость и индуктивность на границе воспламенения. В таких условиях цепь может быть оценена, как искробезопасная, с точки зрения искрового воспламенения.
2 Требование, указанное в
перечислении b), может быть выполнено путем оценки максимальных температур поверхности элементов по их тепловому режиму или максимальной мощности, которая может быть к ним подведена в соответствующих условиях повреждения.
3 Требование, указанное в
перечислении c), может быть выполнено путем обеспечения соответствующих путей утечки и электрических зазоров, а также применением элементов, удовлетворяющих требованиям по
разделу 8, например трансформаторов, токоограничительных резисторов.
A.2 Оценка с использованием характеристик искробезопасности и таблиц
Если цепь, оцениваемая на искробезопасность, приближается к простой цепи, для которой имеется эталонная зависимость, то при проведении оценки нужно использовать характеристики искробезопасности, указанные на рисунках A.1 -
A.6 или в
таблицах A.1 и
A.2 с учетом возможных условий повреждения в соответствии с
разделом 5 и коэффициентов безопасности в соответствии с
10.1.4.2.
1 - минимальный воспламеняющий ток I, А;
2 - напряжение источника питания U, В
Рисунок A.1 - Омические цепи
1 - емкость C, мкФ; 2 - минимальное
воспламеняющее напряжение U, В
Примечание - Кривые соответствуют указанным значениям токоограничительного резистора
Рисунок A.2 - Емкостные цепи группы I
1 - емкость C, мкФ; 2 - минимальное
воспламеняющее напряжение U, В
Рисунок A.3 - Емкостные цепи группы II
1 - индуктивность L, Гн; 2 - минимальный
воспламеняющий ток I, А
Примечания
1 Испытательное напряжение цепи 24 В.
2 Указанные уровни энергии относятся к постоянному значению накопленной в индуктивности энергии.
Рисунок A.4 - Индуктивные цепи группы II
1 - индуктивность L, мГн; 2 - минимальный
воспламеняющий ток I, А
Примечания
1 Кривые соответствуют значениям напряжения цепи U, как указано на рисунке.
2 Уровень энергии 525 мкДж соответствует постоянному значению накопленной в индуктивности энергии.
Рисунок A.5 - Индуктивные цепи группы I
1 - индуктивность L, мГн; 2 - минимальный
воспламеняющий ток I, А
Примечания
1 Кривые соответствуют значениям напряжения цепи U0, как указано на рисунке.
2 Уровень энергии 40 мкДж соответствует постоянному значению накопленной в индуктивности энергии.
Рисунок A.6 - Индуктивные цепи подгруппы IIC
Таблица A.1
Допустимый ток короткого замыкания в зависимости
от напряжения и группы электрооборудования
Напряжение, В | Допустимый ток короткого замыкания, мА, для подгруппы (группы) электрооборудования подгрупп и группы I |
IIC | IIB | IIA | I |
Коэффициент безопасности |
x 1 | x 1,5 | x 1 | x 1,5 | x 1 | x 1,5 | x 1 | x 1,5 |
12,0 | - | - | - | - | - | - | - | - |
12,1 | 5000 | 3330 | - | - | - | - | - | - |
12,2 | 4720 | 3150 | - | - | - | - | - | - |
12,3 | 4460 | 2970 | - | - | - | - | - | - |
12,4 | 4210 | 2810 | - | - | - | - | - | - |
12,5 | 3980 | 2650 | - | - | - | - | - | - |
12,6 | 3770 | 2510 | - | - | - | - | - | - |
12,7 | 3560 | 2370 | - | - | - | - | - | - |
12,8 | 3370 | 2250 | - | - | - | - | - | - |
12,9 | 3190 | 2130 | - | - | - | - | - | - |
13,0 | 3020 | 2020 | - | - | - | - | - | - |
13,1 | 2870 | 1910 | - | - | - | - | - | - |
13,2 | 2720 | 1810 | - | - | - | - | - | - |
13,3 | 2580 | 1720 | - | - | - | - | - | - |
13,4 | 2450 | 1630 | - | - | - | - | - | - |
13,5 | 2320 | 1550 | 5000 | 3330 | - | - | - | - |
13,6 | 2210 | 1470 | 4860 | 3240 | - | - | - | - |
13,7 | 2090 | 1400 | 4720 | 3140 | - | - | - | - |
13,8 | 1990 | 1330 | 4580 | 3050 | - | - | - | - |
13,9 | 1890 | 1260 | 4450 | 2970 | - | - | - | - |
14,0 | 1800 | 1200 | 4330 | 2880 | - | - | - | - |
14,1 | 1750 | 1160 | 4210 | 2800 | - | - | - | - |
14,2 | 1700 | 1130 | 4090 | 2730 | - | - | - | - |
14,3 | 1650 | 1100 | 3980 | 2650 | - | - | - | - |
14,4 | 1600 | 1070 | 3870 | 2580 | - | - | - | - |
14,5 | 1550 | 1040 | 3760 | 2510 | - | - | - | - |
14,6 | 1510 | 1010 | 3660 | 2440 | - | - | - | - |
14,7 | 1470 | 980 | 3560 | 2380 | - | - | - | - |
14,8 | 1430 | 950 | 3470 | 2310 | 5000 | 3330 | - | - |
14,9 | 1390 | 930 | 3380 | 2250 | 4860 | 3240 | - | - |
15,0 | 1350 | 900 | 3290 | 2190 | 4730 | 3150 | - | - |
15,1 | 1310 | 875 | 3200 | 2140 | 4600 | 3070 | - | - |
15,2 | 1280 | 851 | 3120 | 2080 | 4480 | 2990 | - | - |
15,3 | 1240 | 828 | 3040 | 2030 | 4360 | 2910 | - | - |
15,4 | 1210 | 806 | 2960 | 1980 | 4250 | 2830 | - | - |
15,5 | 1180 | 784 | 2890 | 1920 | 4140 | 2760 | - | - |
15,6 | 1150 | 769 | 2810 | 1880 | 4030 | 2690 | - | - |
15,7 | 1120 | 744 | 2740 | 1830 | 3920 | 2620 | - | - |
15,8 | 1090 | 724 | 2680 | 1780 | 3820 | 2550 | - | - |
15,9 | 1060 | 705 | 2610 | 1740 | 3720 | 2480 | - | - |
16,0 | 1030 | 687 | 2550 | 1700 | 3630 | 2420 | 5000 | 3330 |
16,1 | 1000 | 669 | 2480 | 1660 | 3540 | 2360 | 4830 | 3220 |
16,2 | 980 | 652 | 2420 | 1610 | 3450 | 2300 | 4660 | 3110 |
16,3 | 950 | 636 | 2360 | 1570 | 3360 | 2240 | 4490 | 2990 |
16,4 | 930 | 620 | 2310 | 1540 | 3280 | 2190 | 4320 | 2880 |
16,5 | 910 | 604 | 2250 | 1500 | 3200 | 2130 | 4240 | 2830 |
16,6 | 880 | 589 | 2200 | 1470 | 3120 | 2080 | 4160 | 2770 |
16,7 | 860 | 575 | 2150 | 1430 | 3040 | 2030 | 4080 | 2720 |
16,8 | 840 | 560 | 2100 | 1400 | 2970 | 1980 | 4000 | 2670 |
16,9 | 820 | 547 | 2050 | 1370 | 2900 | 1930 | 3740 | 2490 |
17,0 | 800 | 533 | 2000 | 1340 | 2830 | 1890 | 3480 | 2320 |
17,1 | 780 | 523 | 1960 | 1310 | 2760 | 1840 | 3450 | 2300 |
17,2 | 770 | 513 | 1930 | 1280 | 2700 | 1800 | 3420 | 2280 |
17,3 | 750 | 503 | 1890 | 1260 | 2630 | 1760 | 3390 | 2260 |
17,4 | 740 | 493 | 1850 | 1240 | 2570 | 1720 | 3360 | 2240 |
17,5 | 730 | 484 | 1820 | 1210 | 2510 | 1680 | 3320 | 2210 |
17,6 | 710 | 475 | 1790 | 1190 | 2450 | 1640 | 3300 | 2200 |
17,7 | 700 | 466 | 1750 | 1170 | 2400 | 1600 | 3260 | 2170 |
17,8 | 690 | 457 | 1720 | 1150 | 2340 | 1560 | 3230 | 2150 |
17,9 | 670 | 448 | 1690 | 1130 | 2290 | 1530 | 3200 | 2130 |
18,0 | 660 | 440 | 1660 | 1110 | 2240 | 1490 | 3170 | 2110 |
18,1 | 648 | 432 | 1630 | 1087 | 2188 | 1459 | 3083 | 2055 |
18,2 | 636 | 424 | 1601 | 1068 | 2139 | 1426 | 3000 | 2000 |
18,3 | 625 | 417 | 1573 | 1049 | 2091 | 1394 | 2935 | 1956 |
18,4 | 613 | 409 | 1545 | 1030 | 2045 | 1363 | 2871 | 1914 |
18,5 | 602 | 402 | 1518 | 1012 | 2000 | 1333 | 2807 | 1871 |
18,6 | 592 | 394 | 1491 | 995 | 1967 | 1311 | 2743 | 1828 |
18,7 | 581 | 387 | 1466 | 977 | 1935 | 1290 | 2679 | 1786 |
18,8 | 571 | 380 | 1441 | 960, | 1903 | 1269 | 2615 | 1743 |
18,9 | 561 | 374 | 1416 | 944 | 1872 | 1248 | 2551 | 1700 |
19,0 | 551 | 367 | 1392 | 928 | 1842 | 1228 | 2487 | 1658 |
19,1 | 541 | 361 | 1368 | 912 | 1812 | 1208 | 2465 | 1643 |
19,2 | 532 | 355 | 1345 | 897 | 1784 | 1189 | 2444 | 1629 |
19,3 | 523 | 348 | 1323 | 882 | 1755 | 1170 | 2423 | 1615 |
19,4 | 514 | 342 | 1301 | 867 | 1727 | 1152 | 2401 | 1600 |
19,5 | 505 | 337 | 1279 | 853 | 1700 | 1134 | 2380 | 1586 |
19,6 | 496 | 331 | 1258 | 839 | 1673 | 1116 | 2359 | 1572 |
19,7 | 448 | 325 | 1237 | 825 | 1648 | 1098 | 2337 | 1558 |
19,8 | 480 | 320 | 1217 | 811 | 1622 | 1081 | 2316 | 1544 |
19,9 | 472 | 314 | 1197 | 798 | 1597 | 1065 | 2295 | 1530 |
20,0 | 464 | 309 | 1177 | 785 | 1572 | 1048 | 2274 | 1516 |
20,1 | 456 | 304 | 1158 | 772 | 1549 | 1032 | 2219 | 1479 |
20,2 | 448 | 299 | 1140 | 760 | 1525 | 1016 | 2164 | 1443 |
20,3 | 441 | 294 | 1122 | 748 | 1502 | 1001 | 2109 | 1406 |
20,4 | 434 | 289 | 1104 | 736 | 1479 | 986 | 2054 | 1369 |
20,5 | 427 | 285 | 1087 | 724 | 1457 | 971 | 2000 | 1333 |
20,6 | 420 | 280 | 1069 | 713 | 1435 | 957 | 1924 | 1283 |
20,7 | 413 | 275 | 1053 | 702 | 1414 | 943 | 1849 | 1233 |
20,8 | 406 | 271 | 1036 | 691 | 1393 | 929 | 1773 | 1182 |
20,9 | 400 | 267 | 1020 | 680 | 1373 | 915 | 1698 | 1132 |
21,0 | 394 | 262 | 1004 | 670 | 1353 | 902 | 1623 | 1082 |
21,1 | 387 | 258 | 989 | 659 | 1333 | 889 | 1603 | 1069 |
21,2 | 381 | 254 | 974 | 649 | 1314 | 876 | 1583 | 1055 |
21,3 | 375 | 250 | 959 | 639 | 1295 | 863 | 1564 | 1043 |
21,4 | 369 | 246 | 945 | 630 | 1276 | 851 | 1544 | 1029 |
21,5 | 364 | 243 | 930 | 620 | 1258 | 839 | 1525 | 1017 |
21,6 | 358 | 239 | 916 | 611 | 1240 | 827 | 1505 | 1003 |
21,7 | 353 | 235 | 903 | 602 | 1222 | 815 | 1485 | 990,0 |
21,8 | 347 | 231 | 889 | 593 | 1205 | 804 | 1466 | 977,3 |
21,9 | 342 | 228 | 876 | 584 | 1189 | 792 | 1446 | 964,0 |
22,0 | 337 | 224 | 863 | 575 | 1172 | 781 | 1427 | 951,3 |
22,1 | 332 | 221 | 851 | 567 | 1156 | 770 | 1394 | 929,3 |
22,2 | 327 | 218 | 838 | 559 | 1140 | 760 | 1361 | 907,3 |
22,3 | 322 | 215 | 826 | 551 | 1124 | 749 | 1328 | 885,3 |
22,4 | 317 | 211 | 814 | 543 | 1109 | 739 | 1296 | 864,0 |
22,5 | 312 | 208 | 802 | 535 | 1093 | 729 | 1281 | 854,0 |
22,6 | 308 | 205 | 791 | 527 | 1078 | 719 | 1267 | 844,7 |
22,7 | 303 | 202 | 779 | 520 | 1064 | 709 | 1253 | 835,3 |
22,8 | 299 | 199 | 768 | 512 | 1050 | 700 | 1239 | 826,0 |
22,9 | 294 | 196 | 757 | 505 | 1036 | 690 | 1225 | 816,7 |
23,0 | 290 | 193 | 747 | 498 | 1022 | 681 | 1211 | 807,3 |
23,1 | 287 | 191 | 736 | 491 | 1008 | 672 | 1185 | 790,0 |
23,2 | 284 | 189 | 726 | 484 | 995 | 663 | 1160 | 773,3 |
23,3 | 281 | 187 | 716 | 477 | 982 | 655 | 1135 | 756,7 |
23,4 | 278 | 185 | 706 | 471 | 969 | 646 | 1110 | 740,0 |
23,5 | 275 | 183 | 696 | 464 | 956 | 638 | 1085 | 723,3 |
23,6 | 272 | 182 | 687 | 458 | 944 | 629 | 1079 | 719,3 |
23,7 | 270 | 180 | 677 | 452 | 932 | 621 | 1073 | 715,3 |
23,8 | 267 | 178 | 668 | 445 | 920 | 613 | 1068 | 712,0 |
23,9 | 264 | 176 | 659 | 439 | 908 | 605 | 1062 | 708,0 |
24,0 | 261 | 174 | 650 | 433 | 896 | 597 | 1057 | 704,7 |
24,1 | 259 | 173 | 644 | 429 | 885 | 590 | 1048 | 698,7 |
24,2 | 256 | 171 | 637 | 425 | 873 | 582 | 1040 | 693,3 |
24,3 | 253 | 169 | 631 | 421 | 862 | 575 | 1032 | 686,0 |
24,4 | 251 | 167 | 625 | 416 | 852 | 568 | 1024 | 682,7 |
24,5 | 248 | 166 | 618 | 412 | 841 | 561 | 1016 | 677,3 |
24,6 | 246 | 164 | 612 | 408 | 830 | 554 | 1008 | 672,0 |
24,7 | 244 | 163 | 606 | 404 | 820 | 547 | 1000 | 666,7 |
24,8 | 241 | 161 | 601 | 400 | 810 | 540 | 991 | 660,7 |
24,9 | 239 | 159 | 595 | 396 | 800 | 533 | 983 | 655,3 |
25,0 | 237 | 158 | 589 | 393 | 790 | 527 | 975 | 650,0 |
25,1 | 234 | 156 | 580 | 389 | 780 | 520 | 964 | 642,7 |
25,2 | 232 | 155 | 578 | 385 | 771 | 514 | 953 | 635,3 |
25,3 | 230 | 153 | 572 | 381 | 762 | 508 | 942 | 628,0 |
25,4 | 228 | 152 | 567 | 378 | 752 | 502 | 931 | 620,7 |
25,5 | 226 | 150 | 561 | 374 | 743 | 496 | 920 | 613,3 |
25,6 | 223 | 149 | 556 | 371 | 734 | 490 | 916 | 610,7 |
25,7 | 221 | 148 | 551 | 367 | 726 | 484 | 912 | 608,0 |
25,8 | 219 | 146 | 546 | 364 | 717 | 478 | 908 | 605,3 |
25,9 | 217 | 145 | 541 | 360 | 708 | 472 | 903 | 602,7 |
26,0 | 215 | 143 | 536 | 357 | 700 | 467 | 900 | 600,0 |
26,1 | 213 | 142 | 531 | 354 | 694 | 463 | 890 | 593,3 |
26,2 | 211 | 141 | 526 | 350 | 688 | 459 | 881 | 587,3 |
26,3 | 209 | 139 | 521 | 347 | 683 | 455 | 871 | 580,7 |
26,4 | 207 | 138 | 516 | 344 | 677 | 451 | 862 | 574,7 |
26,5 | 205 | 137 | 512 | 341 | 671 | 447 | 853 | 568,7 |
26,6 | 203 | 136 | 507 | 338 | 666 | 444 | 847 | 564,7 |
26,7 | 202 | 134 | 502 | 335 | 660 | 440 | 841 | 560,7 |
26,8 | 200 | 133 | 498 | 332 | 655 | 437 | 835 | 556,7 |
26,9 | 198 | 132 | 493 | 329 | 649 | 433 | 829 | 552,7 |
27,0 | 196 | 131 | 489 | 326 | 644 | 429 | 824 | 549,3 |
27,1 | 194 | 130 | 485 | 323 | 639 | 426 | 818 | 545,3 |
27,2 | 193 | 128 | 480 | 320 | 364 | 422 | 813 | 542,0 |
27,3 | 191 | 127 | 476 | 317 | 629 | 419 | 808 | 538,7 |
27,4 | 189 | 126 | 472 | 315 | 624 | 416 | 803 | 535,3 |
27,5 | 188 | 125 | 468 | 312 | 619 | 412 | 798 | 532,0 |
27,6 | 186 | 124 | 464 | 309 | 614 | 409 | 793 | 528,7 |
27,7 | 184 | 123 | 460 | 306 | 609 | 406 | 788 | 525,3 |
27,8 | 183 | 122 | 456 | 304 | 604 | 403 | 783 | 522,0 |
27,9 | 181 | 121 | 452 | 301 | 599 | 399 | 778 | 518,7 |
28,0 | 180 | 120 | 448 | 299 | 594 | 396 | 773 | 515,3 |
28,1 | 178 | 119 | 444 | 296 | 590 | 393 | 768 | 512,0 |
28,2 | 176 | 118 | 440 | 293 | 585 | 390 | 764 | 509,3 |
28,3 | 175 | 117 | 436 | 291 | 581 | 387 | 760 | 506,7 |
28,4 | 173 | 116 | 433 | 288 | 576 | 384 | 756 | 504,0 |
28,5 | 172 | 115 | 429 | 286 | 572 | 381 | 752 | 501,3 |
28,6 | 170 | 114 | 425 | 284 | 567 | 378 | 747 | 498,0 |
28,7 | 169 | 113 | 422 | 281 | 563 | 375 | 743 | 495,3 |
28,8 | 168 | 112 | 418 | 279 | 559 | 372 | 739 | 492,7 |
28,9 | 166 | 111 | 415 | 277 | 554 | 370 | 735 | 490,0 |
29,0 | 165 | 110 | 411 | 274 | 550 | 367 | 731 | 487,3 |
29,1 | 163 | 109 | 408 | 272 | 546 | 364 | 728 | 485,3 |
29,2 | 162 | 108 | 405 | 270 | 542 | 361 | 726 | 484,0 |
29,3 | 161 | 107 | 401 | 268 | 538 | 358 | 724 | 482,7 |
29,4 | 159 | 106 | 398 | 265 | 534 | 356 | 722 | 481,3 |
29,5 | 158 | 105 | 395 | 263 | 530 | 353 | 720 | 480,0 |
29,6 | 157 | 105 | 392 | 261 | 526 | 351 | 718 | 478,7 |
29,7 | 155 | 104 | 388 | 259 | 522 | 348 | 716 | 477,3 |
29,8 | 154 | 103 | 385 | 257 | 518 | 345 | 714 | 476,0 |
29,9 | 153 | 102 | 382 | 255 | 514 | 343 | 712 | 474,7 |
30,0 | 152 | 101 | 379 | 253 | 510 | 340 | 710 | 473,3 |
30,2 | 149 | 99,5 | 373 | 249 | 503 | 335 | 690 | 460,0 |
30,4 | 147 | 97,9 | 367 | 245 | 496 | 330 | 671 | 447,3 |
30,6 | 145 | 96,3 | 362 | 241 | 489 | 326 | 652 | 434,7 |
30,8 | 142 | 94,8 | 356 | 237 | 482 | 321 | 636 | 424,0 |
31,0 | 140 | 93,3 | 350 | 233 | 475 | 317 | 621 | 414,0 |
31,2 | 138 | 92,2 | 345 | 230 | 468 | 312 | 614 | 409,3 |
31,4 | 137 | 91,0 | 339 | 226 | 462 | 308 | 607 | 404,7 |
31,6 | 135 | 89,9 | 334 | 223 | 455 | 303 | 600 | 400,0 |
31,8 | 133 | 88,8 | 329 | 219 | 449 | 299 | 592 | 394,7 |
32,0 | 132 | 87,8 | 324 | 216 | 442 | 295 | 584 | 389,3 |
32,2 | 130 | 86,7 | 319 | 213 | 436 | 291 | 572 | 381,3 |
32,4 | 129 | 85,7 | 315 | 210 | 431 | 287 | 560 | 373,3 |
32,6 | 127 | 84,7 | 310 | 207 | 425 | 283 | 548 | 365,3 |
32,8 | 126 | 83,7 | 305 | 204 | 419 | 279 | 536 | 357,3 |
33,0 | 124 | 82,7 | 301 | 201 | 414 | 276 | 525 | 350,0 |
33,2 | 123 | 81,7 | 297 | 198 | 408 | 272 | 520 | 346,7 |
33,4 | 121 | 80,8 | 292 | 195 | 403 | 268 | 515 | 343,3 |
33,6 | 120 | 79,8 | 288 | 192 | 398 | 265 | 510 | 340,0 |
38,8 | 118 | 78,9 | 284 | 189 | 393 | 262 | 505 | 336,7 |
34,0 | 117 | 78,0 | 280 | 187 | 389 | 259 | 500 | 333,3 |
34,2 | 116 | 77,2 | 277 | 185 | 384 | 256 | 491 | 327,3 |
34,4 | 114 | 76,3 | 274 | 183 | 380 | 253 | 482 | 321,3 |
34,6 | 113 | 75,4 | 271 | 181 | 376 | 251 | 473 | 315,3 |
34,8 | 112 | 74,6 | 269 | 179 | 372 | 248 | 464 | 309,3 |
35,0 | 111 | 73,8 | 266 | 177 | 368 | 245 | 455 | 303,3 |
35,2 | 109 | 73,0 | 263 | 175 | 364 | 242 | 450 | 300,0 |
35,4 | 108 | 72,2 | 260 | 174 | 360 | 240 | 446 | 297,3 |
35,6 | 107 | 71,4 | 258 | 172 | 356 | 237 | 442 | 294,7 |
35,8 | 106 | 70,6 | 255 | 170 | 352 | 235 | 438 | 292,0 |
36,0 | 105 | 69,9 | 253 | 168 | 348 | 232 | 434 | 289,3 |
36,2 | 104 | 69,1 | 250 | 167 | 345 | 230 | 431 | 287,3 |
36,4 | 103 | 68,4 | 248 | 165 | 341 | 227 | 429 | 286,0 |
36,6 | 102 | 67,7 | 245 | 164 | 337 | 225 | 426 | 284,0 |
36,8 | 100 | 66,9 | 243 | 162 | 334 | 223 | 424 | 282,7 |
37 | 99,4 | 66,2 | 241 | 160 | 330 | 220 | 422 | 281,3 |
37,2 | 98,3 | 65,6 | 238 | 159 | 327 | 218 | 419 | 279,3 |
37,4 | 97,3 | 64,9 | 236 | 157 | 324 | 216 | 417 | 278,0 |
37,6 | 96,3 | 64,2 | 234 | 156 | 320 | 214 | 414 | 276,0 |
37,8 | 95,3 | 63,6 | 231 | 154 | 317 | 211 | 412 | 274,7 |
38,0 | 94,4 | 62,9 | 229 | 153 | 314 | 209 | 410 | 273,3 |
38,2 | 93,4 | 62,3 | 227 | 151 | 311 | 207 | 408 | 272,0 |
38,4 | 92,5 | 61,6 | 225 | 150 | 308 | 205 | 407 | 271,3 |
38,6 | 91,5 | 61,0 | 223 | 149 | 304 | 203 | 405 | 270,0 |
38,8 | 90,6 | 60,4 | 221 | 147 | 301 | 201 | 404 | 269,3 |
39,0 | 89,7 | 59,8 | 219 | 146 | 298 | 199 | 403 | 268,7 |
39,2 | 88,8 | 59,2 | 217 | 145 | 296 | 197 | 399 | 266,0 |
39,4 | 88,0 | 58,6 | 215 | 143 | 293 | 195 | 395 | 263,3 |
39,6 | 87,1 | 58,1 | 213 | 142 | 290 | 193 | 391 | 260,7 |
39,8 | 86,3 | 57,5 | 211 | 141 | 287 | 191 | 387 | 258,0 |
40,0 | 85,4 | 57,0 | 209 | 139 | 284 | 190 | 383 | 255,3 |
40,5 | 83,4 | 55,6 | 205 | 136 | 278 | 185 | 362 | 241,3 |
41,0 | 81,4 | 54,3 | 200 | 133 | 271 | 181 | 342 | 228,0 |
41,5 | 79,6 | 53,0 | 196 | 131 | 265 | 177 | 336 | 224,0 |
42,0 | 77,7 | 51,8 | 192 | 128 | 259 | 173 | 331 | 220,7 |
42,5 | 76,0 | 50,6 | 188 | 125 | 253 | 169 | 321 | 214,0 |
43,0 | 74,3 | 49,5 | 184 | 122 | 247 | 165 | 312 | 208,0 |
43,5 | 72,6 | 48,4 | 180 | 120 | 242 | 161 | 307 | 204,7 |
44,0 | 71,0 | 47,4 | 176 | 117 | 237 | 158 | 303 | 202,0 |
44,5 | 69,5 | 46,3 | 173 | 115 | 231 | 154 | 294 | 196,0 |
45,0 | 68,0 | 45,3 | 169 | 113 | 227 | 151 | 286 | 190,7 |
Таблица A.2
Допустимая емкость в зависимости от напряжения и группы
электрооборудования
Напряжение, В | Допустимая емкость, мкФ, для подгруппы (группы) электрооборудования |
IIC | IIB | IIA | I |
Коэффициент безопасности |
x 1 | x 1,5 | x 1 | x 1,5 | x 1 | x 1,5 | x 1 | x 1,5 |
5,0 | - | 100 | - | - | - | - | - | - |
5,1 | - | 88 | - | - | - | - | - | - |
5,2 | - | 79 | - | - | - | - | - | - |
5,3 | - | 71 | - | - | - | - | - | - |
5,4 | - | 65 | - | - | - | - | - | - |
5,5 | - | 58 | - | - | - | - | - | - |
5,6 | 1000 | 54 | - | - | - | - | - | - |
5,7 | 860 | 50 | - | - | - | - | - | - |
5,8 | 750 | 46 | - | - | - | - | - | - |
5,9 | 670 | 43 | - | - | - | - | - | - |
6,0 | 600 | 40 | - | 1000 | - | - | - | - |
6,1 | 535 | 37 | - | 880 | - | - | - | - |
6,2 | 475 | 34 | - | 790 | - | - | - | - |
6,3 | 420 | 31 | - | 720 | - | - | - | - |
6,4 | 370 | 28 | - | 650 | - | - | - | - |
6,5 | 325 | 25 | - | 570 | - | - | - | - |
6,6 | 285 | 22 | - | 500 | - | - | - | - |
6,7 | 250 | 19,6 | - | 430 | - | - | - | - |
6,8 | 220 | 17,9 | - | 380 | - | - | - | - |
6,9 | 200 | 16,8 | - | 335 | - | - | - | - |
7,0 | 175 | 15,7 | - | 300 | - | - | - | - |
7,1 | 155 | 14,6 | - | 268 | - | - | - | - |
7,2 | 136 | 13,5 | - | 240 | - | - | - | - |
7,3 | 120 | 12,7 | - | 216 | - | - | - | - |
7,4 | 110 | 11,9 | - | 195 | - | - | - | - |
7,5 | 100 | 11,1 | - | 174 | - | - | - | - |
7,6 | 92 | 10,4 | - | 160 | - | - | - | - |
7,7 | 85 | 9,8 | - | 145 | - | - | - | - |
7,8 | 79 | 9,3 | - | 130 | - | - | - | - |
7,9 | 74 | 8,8 | - | 115 | - | - | - | - |
8,0 | 69 | 8,4 | - | 100 | - | - | - | - |
8,1 | 65 | 8,0 | - | 90 | - | - | - | - |
8,2 | 61 | 7,6 | - | 81 | - | - | - | - |
8,3 | 56 | 7,2 | - | 73 | - | - | - | - |
8,4 | 54 | 6,8 | - | 66 | - | - | - | - |
8,5 | 51 | 6,5 | - | 60 | - | - | - | - |
8,6 | 49 | 6,2 | - | 55 | - | - | - | - |
8,7 | 47 | 5,9 | - | 50 | - | 1000 | - | - |
8,8 | 45 | 5,5 | - | 46 | - | 730 | - | - |
8,9 | 42 | 5,2 | - | 43 | - | 590 | - | - |
9,0 | 40 | 4,9 | 1000 | 40 | - | 500 | - | - |
9,1 | 38 | 4,6 | 920 | 37 | - | 446 | - | - |
9,2 | 36 | 4,3 | 850 | 34 | - | 390 | - | - |
9,3 | 34 | 4,1 | 790 | 31 | - | 345 | - | - |
9,4 | 32 | 3,9 | 750 | 29 | - | 300 | - | - |
9,5 | 30 | 3,7 | 700 | 27 | - | 255 | - | 1000 |
9,6 | 28 | 3,6 | 650 | 26 | - | 210 | - | 500 |
9,7 | 26 | 3,5 | 600 | 24 | - | 170 | - | 320 |
9,8 | 24 | 3,3 | 550 | 23 | - | 135 | - | 268 |
9,9 | 22 | 3,2 | 500 | 22 | - | 115 | - | 190 |
10,0 | 20,0 | 3,0 | 450 | 20,0 | - | 100 | - | 180 |
10,1 | 18,7 | 2,87 | 410 | 19,4 | - | 93 | - | 160 |
10,2 | 17,8 | 2,75 | 380 | 18,7 | - | 88 | - | 140 |
10,3 | 17,1 | 2,63 | 350 | 18,0 | - | 83 | - | 120 |
10,4 | 16,4 | 2,52 | 325 | 17,4 | - | 79 | - | 110 |
10,5 | 15,7 | 2,41 | 300 | 16,8 | - | 75 | - | 95 |
10,6 | 15,0 | 2,32 | 280 | 16,2 | - | 72 | - | 90 |
10,7 | 14,2 | 2,23 | 260 | 15,6 | - | 69 | - | 85 |
10,8 | 13,5 | 2,14 | 240 | 15,0 | - | 66 | - | 80 |
10,9 | 13,0 | 2,05 | 225 | 14,4 | - | 63 | - | 70 |
11,0 | 12,5 | 1,97 | 210 | 13,8 | - | 60 | - | 67,5 |
11,1 | 11,9 | 1,90 | 195 | 13,2 | - | 57,0 | - | 60 |
11,2 | 11,4 | 1,84 | 180 | 12,6 | - | 54,0 | - | 58 |
11,3 | 10,9 | 1,79 | 170 | 12,1 | - | 51,0 | - | 54 |
11,4 | 10,4 | 1,71 | 160 | 11,7 | - | 48,0 | - | 52 |
11,5 | 10,0 | 1,64 | 150 | 11,2 | - | 46,0 | - | 48 |
11,6 | 9,6 | 1,59 | 140 | 10,8 | - | 43,0 | - | 46 |
11,7 | 9,3 | 1,54 | 130 | 10,3 | - | 41,0 | - | 42 |
11,8 | 9,0 | 1,50 | 120 | 9,9 | - | 39,0 | - | 40 |
11,9 | 8,7 | 1,45 | 110 | 9,4 | - | 37,0 | - | 38,6 |
12,0 | 8,4 | 1,41 | 100 | 9,0 | - | 36,0 | - | 38 |
12,1 | 8,1 | 1,37 | 93 | 8,7 | - | 34,0 | - | 36,6 |
12,2 | 7,9 | 1,32 | 87 | 8,4 | - | 33,0 | - | 36 |
12,3 | 7,6 | 1,28 | 81 | 8,1 | - | 31,0 | - | 34,3 |
12,4 | 7,2 | 1,24 | 75 | 7,9 | - | 30,0 | - | 34 |
12,5 | 7,0 | 1,20 | 70 | 7,7 | - | 28,0 | - | 32,3 |
12,6 | 6,8 | 1,15 | 66 | 7,4 | - | 27,0 | - | 32 |
12,7 | 6,6 | 1,10 | 62 | 7,1 | - | 25,4 | - | 30,5 |
12,8 | 6,4 | 1,06 | 58 | 6,8 | - | 24,2 | - | 30 |
12,9 | 6,2 | 1,03 | 55 | 6,5 | - | 23,2 | - | 29 |
13,0 | 6,0 | 1,00 | 52 | 6,2 | 1000 | 22,5 | - | 28,5 |
13,1 | 5,7 | 0,97 | 49 | 6,0 | 850 | 21,7 | - | 27,5 |
13,2 | 5,4 | 0,94 | 46 | 5,8 | 730 | 21,0 | - | 27 |
13,3 | 5,3 | 0,91 | 44 | 5,6 | 630 | 20,2 | - | 26 |
13,4 | 5,1 | 0,88 | 42 | 5,5 | 560 | 19,5 | - | 25,6 |
13,5 | 4,9 | 0,85 | 40 | 5,3 | 500 | 19,0 | - | 24,8 |
13,6 | 4,6 | 0,82 | 38 | 5,2 | 450 | 18,6 | - | 24,4 |
13,7 | 4,4 | 0,79 | 36 | 5,0 | 420 | 18,1 | - | 23,5 |
13,8 | 4,2 | 0,76 | 34 | 4,9 | 390 | 17,7 | - | 23 |
13,9 | 4,1 | 0,74 | 32 | 4,7 | 360 | 17,3 | - | 22 |
14,0 | 4,0 | 0,73 | 30 | 4,60 | 330 | 17,0 | - | 21,5 |
14,1 | 3,9 | 0,71 | 29 | 4,49 | 300 | 16,7 | - | 20,5 |
14,2 | 3,8 | 0,70 | 28 | 4,39 | 270 | 16,4 | 1000 | 20 |
14,3 | 3,7 | 0,68 | 27 | 4,28 | 240 | 16,1 | 800 | 19,64 |
14,4 | 3,6 | 0,67 | 26 | 4,18 | 210 | 15,8 | 500 | 19,48 |
14,5 | 3,5 | 0,65 | 25 | 4,07 | 185 | 15,5 | 360 | 19,16 |
14,6 | 3,4 | 0,64 | 24 | 3,97 | 160 | 15,2 | 320 | 19 |
14,7 | 3,3 | 0,62 | 23 | 3,86 | 135 | 14,9 | 268 | 18,6 |
14,8 | 3,2 | 0,61 | 22 | 3,76 | 120 | 14,6 | 220 | 18,4 |
14,9 | 3,1 | 0,59 | 21 | 3,65 | 110 | 14,3 | 190 | 18 |
15,0 | 3,0 | 0,58 | 20,2 | 3,55 | 100 | 14,0 | 180 | 17,8 |
15,1 | 2,90 | 0,57 | 19,7 | 3,46 | 95 | 13,7 | 170 | 17,48 |
15,2 | 2,82 | 0,55 | 19,2 | 3,37 | 91 | 13,4 | 160 | 17,32 |
15,3 | 2,76 | 0,53 | 18,7 | 3,28 | 88 | 13,1 | 140 | 17 |
15,4 | 2,68 | 0,521 | 18,2 | 3,19 | 85 | 12,8 | 130 | 16,8 |
15,5 | 2,60 | 0,508 | 17,8 | 3,11 | 82 | 12,5 | 120 | 16,48 |
15,6 | 2,52 | 0,497 | 17,4 | 3,03 | 79 | 12,2 | 110 | 16,32 |
15,7 | 2,45 | 0,487 | 17,0 | 2,95 | 77 | 11,9 | 100 | 16 |
15,8 | 2,38 | 0,478 | 16,6 | 2,88 | 74 | 11,6 | 95 | 15,8 |
15,9 | 2,32 | 0,469 | 16,2 | 2,81 | 72 | 11,3 | 90 | 15,4 |
16,0 | 2,26 | 0,460 | 15,8 | 2,75 | 70 | 11,0 | 87,5 | 15,2 |
16,1 | 2,20 | 0,451 | 15,4 | 2,69 | 68 | 10,7 | 85 | 14,8 |
16,2 | 2,14 | 0,442 | 15,0 | 2,63 | 66 | 10,5 | 80 | 14,64 |
16,3 | 2,08 | 0,433 | 14,6 | 2,57 | 64 | 10,2 | 75 | 14,32 |
16,4 | 2,02 | 0,424 | 14,2 | 2,51 | 62 | 10,0 | 70 | 14,16 |
16,5 | 1,97 | 0,415 | 13,8 | 2,45 | 60 | 9,8 | 67,5 | 13,8 |
16,6 | 1,92 | 0,406 | 13,4 | 2,40 | 58 | 9,6 | 65 | 13,64 |
16,7 | 1,88 | 0,398 | 13,0 | 2,34 | 56 | 9,4 | 60 | 13,32 |
16,8 | 1,84 | 0,390 | 12,6 | 2,29 | 54 | 9,3 | 58 | 13,16 |
16,9 | 1,80 | 0,382 | 12,3 | 2,24 | 52 | 9,1 | 56 | 12,8 |
17,0 | 1,76 | 0,375 | 12,0 | 2,20 | 50 | 9,0 | 54 | 12,64 |
17,1 | 1,71 | 0,367 | 11,7 | 2,15 | 48 | 8,8 | 52 | 12,32 |
17,2 | 1,66 | 0,360 | 11,4 | 2,11 | 47 | 8,7 | 50 | 12,16 |
17,3 | 1,62 | 0,353 | 11,1 | 2,06 | 45 | 8,5 | 48 | 11,8 |
17,4 | 1,59 | 0,346 | 10,8 | 2,02 | 44 | 8,4 | 46 | 11,6 |
17,5 | 1,56 | 0,339 | 10,5 | 1,97 | 42 | 8,2 | 44 | 11,2 |
17,6 | 1,53 | 0,333 | 10,2 | 1,93 | 40 | 8,1 | 42 | 11 |
17,7 | 1,50 | 0,327 | 9,9 | 1,88 | 39 | 8,0 | 40 | 10,64 |
17,8 | 1,47 | 0,321 | 9,6 | 1,84 | 38 | 7,9 | 39,2 | 10,48 |
17,9 | 1,44 | 0,315 | 9,3 | 1,80 | 37 | 7,7 | 38,6 | 10,16 |
18,0 | 1,41 | 0,309 | 9,0 | 1,78 | 36 | 7,6 | 38 | 10 |
18,1 | 1,38 | 0,303 | 8,8 | 1,75 | 35 | 7,45 | 37,3 | 9,86 |
18,2 | 1,35 | 0,297 | 8,6 | 1,72 | 34 | 7,31 | 36,6 | 9,8 |
18,3 | 1,32 | 0,291 | 8,4 | 1,70 | 33 | 7,15 | 36 | 9,68 |
18,4 | 1,29 | 0,285 | 8,2 | 1,69 | 32 | 7,0 | 34,6 | 9,62 |
18,5 | 1,27 | 0,280 | 8,0 | 1,67 | 31 | 6,85 | 34,3 | 9,5 |
18,6 | 1,24 | 0,275 | 7,9 | 1,66 | 30 | 6,70 | 34 | 9,42 |
18,7 | 1,21 | 0,270 | 7,8 | 1,64 | 29 | 6,59 | 32,6 | 9,28 |
18,8 | 1,18 | 0,266 | 7,6 | 1,62 | 28 | 6,48 | 32,3 | 9,21 |
18,9 | 1,15 | 0,262 | 7,4 | 1,60 | 27 | 6,39 | 32 | 9,07 |
19,0 | 1,12 | 0,258 | 7,2 | 1,58 | 26 | 6,3 | 31,2 | 9 |
19,1 | 1,09 | 0,252 | 7,0 | 1,56 | 25,0 | 6,21 | 30,5 | 8,86 |
19,2 | 1,06 | 0,251 | 6,8 | 1,55 | 24,2 | 6,12 | 30 | 8,8 |
19,3 | 1,04 | 0,248 | 6,6 | 1,52 | 23,6 | 6,03 | 29,5 | 8,68 |
19,4 | 1,02 | 0,244 | 6,4 | 1,51 | 23,0 | 5,95 | 29 | 8,62 |
19,5 | 1,00 | 0,240 | 6,2 | 1,49 | 22,5 | 5,87 | 28,5 | 8,5 |
19,6 | 0,98 | 0,235 | 6,0 | 1,47 | 22,0 | 5,8 | 28 | 8,42 |
19,7 | 0,96 | 0,231 | 5,9 | 1,45 | 21,5 | 5,72 | 27,5 | 8,28 |
19,8 | 0,94 | 0,227 | 5,8 | 1,44 | 21,0 | 5,65 | 27 | 8,21 |
19,9 | 0,92 | 0,223 | 5,7 | 1,42 | 20,5 | 5,57 | 26,5 | 8,07 |
20,0 | 0,90 | 0,220 | 5,6 | 1,41 | 20,0 | 5,5 | 26 | 8 |
20,1 | 0,88 | 0,217 | 5,5 | 1,39 | 19,5 | 5,42 | 25,6 | 7,87 |
20,2 | 0,86 | 0,213 | 5,4 | 1,38 | 19,2 | 5,35 | 25,2 | 7,8 |
20,3 | 0,84 | 0,209 | 5,3 | 1,36 | 18,9 | 5,27 | 24,8 | 7,75 |
20,4 | 0,82 | 0,206 | 5,2 | 1,35 | 18,6 | 5,20 | 24,4 | 7,62 |
20,5 | 0,80 | 0,203 | 5,1 | 1,33 | 18,3 | 5,12 | 24 | 7,5 |
20,6 | 0,78 | 0,200 | 5,0 | 1,32 | 18,0 | 5,05 | 23,5 | 7,42 |
20,7 | 0,76 | 0,197 | 4,9 | 1,31 | 17,7 | 4,97 | 23 | 7,33 |
20,8 | 0,75 | 0,194 | 4,8 | 1,30 | 17,4 | 4,9 | 22,5 | 7,16 |
20,9 | 0,74 | 0,191 | 4,7 | 1,28 | 17,2 | 4,84 | 22 | 7 |
21,0 | 0,73 | 0,188 | 4,6 | 1,27 | 17,0 | 4,78 | 21,5 | 6,93 |
21,1 | 0,72 | 0,185 | 4,52 | 1,25 | 16,8 | 4,73 | 21 | 6,87 |
21,2 | 0,71 | 0,183 | 4,45 | 1,24 | 16,6 | 4,68 | 20,5 | 6,75 |
21,3 | 0,70 | 0,181 | 4,39 | 1,23 | 16,4 | 4,62 | 20 | 6,62 |
21,4 | 0,69 | 0,179 | 4,32 | 1,22 | 16,2 | 4,56 | 19,8 | 6,56 |
21,5 | 0,68 | 0,176 | 4,25 | 1,20 | 16,0 | 4,5 | 19,64 | 6,5 |
21,6 | 0,67 | 0,174 | 4,18 | 1,19 | 15,8 | 4,44 | 19,48 | 6,37 |
21,7 | 0,66 | 0,172 | 4,11 | 1,17 | 15,6 | 4,38 | 19,32 | 6,25 |
21,8 | 0,65 | 0,169 | 4,04 | 1,16 | 15,4 | 4,32 | 19,16 | 6,18 |
21,9 | 0,64 | 0,167 | 3,97 | 1,15 | 15,2 | 4,26 | 19 | 6,12 |
22,0 | 0,63 | 0,165 | 3,90 | 1,14 | 15,0 | 4,20 | 18,8 | 6 |
22,1 | 0,62 | 0,163 | 3,83 | 1,12 | 14,8 | 4,14 | 18,6 | 5,95 |
22,2 | 0,61 | 0,160 | 3,76 | 1,11 | 14,6 | 4,08 | 18,4 | 5,92 |
22,3 | 0,60 | 0,158 | 3,69 | 1,10 | 14,4 | 4,03 | 18,2 | 5,9 |
22,4 | 0,59 | 0,156 | 3,62 | 1,09 | 14,2 | 3,98 | 18 | 5,85 |
22,5 | 0,58 | 0,154 | 3,55 | 1,08 | 14,0 | 3,93 | 17,8 | 5,8 |
22,6 | 0,57 | 0,152 | 3,49 | 1,07 | 13,8 | 3,88 | 17,64 | 5,77 |
22,7 | 0,56 | 0,149 | 3,43 | 1,06 | 13,6 | 3,83 | 17,48 | 5,75 |
22,8 | 0,55 | 0,147 | 3,37 | 1,05 | 13,4 | 3,79 | 17,32 | 5,7 |
22,9 | 0,54 | 0,145 | 3,31 | 1,04 | 13,2 | 3,75 | 17,16 | 5,65 |
23,0 | 0,53 | 0,143 | 3,25 | 1,03 | 13,0 | 3,71 | 17 | 5,62 |
23,1 | 0,521 | 0,140 | 3,19 | 1,02 | 12,8 | 3,67 | 16,8 | 5,6 |
23,2 | 0,513 | 0,138 | 3,13 | 1,01 | 12,6 | 3,64 | 16,54 | 5,55 |
23,3 | 0,505 | 0,136 | 3,08 | 1,00 | 12,4 | 3,60 | 16,48 | 5,5 |
23,4 | 0,497 | 0,134 | 3,03 | 0,99 | 12,2 | 3,57 | 16,32 | 5,47 |
23,5 | 0,490 | 0,132 | 2,98 | 0,98 | 12,0 | 3,53 | 16,16 | 5,45 |
23,6 | 0,484 | 0,130 | 2,93 | 0,97 | 11,8 | 3,50 | 16 | 5,4 |
23,7 | 0,478 | 0,128 | 2,88 | 0,96 | 11,6 | 3,46 | 15,8 | 5,35 |
23,8 | 0,472 | 0,127 | 2,83 | 0,95 | 11,4 | 3,42 | 15,6 | 5,32 |
23,9 | 0,466 | 0,126 | 2,78 | 0,94 | 11,2 | 3,38 | 15,4 | 5,3 |
24,0 | 0,460 | 0,125 | 2,75 | 0,93 | 11,0 | 3,35 | 15,2 | 5,25 |
24,1 | 0,454 | 0,124 | 2,71 | 0,92 | 10,8 | 3,31 | 15 | 5,2 |
24,2 | 0,448 | 0,122 | 2,67 | 0,91 | 10,7 | 3,27 | 14,8 | 5,17 |
24,3 | 0,442 | 0,120 | 2,63 | 0,90 | 10,5 | 3,23 | 14,64 | 5,15 |
24,4 | 0,436 | 0,119 | 2,59 | 0,89 | 10,3 | 3,20 | 14,48 | 5,1 |
24,5 | 0,430 | 0,118 | 2,55 | 0,88 | 10,2 | 3,16 | 14,32 | 5,05 |
24,6 | 0,424 | 0,116 | 2,51 | 0,87 | 10,0 | 3,12 | 14,16 | 5,02 |
24,7 | 0,418 | 0,115 | 2,49 | 0,87 | 9,9 | 3,08 | 14 | 5,0 |
24,8 | 0,412 | 0,113 | 2,44 | 0,86 | 9,8 | 3,05 | 13,8 | 4,95 |
24,9 | 0,406 | 0,112 | 2,40 | 0,85 | 9,6 | 3,01 | 13,64 | 4,9 |
25,0 | 0,4 | 0,110 | 2,36 | 0,84 | 9,5 | 2,97 | 13,48 | 4,87 |
25,1 | 0,395 | 0,108 | 2,32 | 0,83 | 9,4 | 2,93 | 13,32 | 4,85 |
25,2 | 0,390 | 0,107 | 2,29 | 0,82 | 9,3 | 2,90 | 13,16 | 4,8 |
25,3 | 0,385 | 0,106 | 2,26 | 0,82 | 9,2 | 2,86 | 13 | 4,75 |
25,4 | 0,380 | 0,105 | 2,23 | 0,81 | 9,1 | 2,82 | 12,8 | 4,72 |
25,5 | 0,375 | 0,104 | 2,20 | 0,80 | 9,0 | 2,78 | 12,64 | 4,7 |
25,6 | 0,370 | 0,103 | 2,17 | 0,80 | 8,9 | 2,75 | 12,48 | 4,65 |
25,7 | 0,365 | 0,102 | 2,14 | 0,79 | 8,8 | 2,71 | 12,32 | 4,6 |
25,8 | 0,360 | 0,101 | 2,11 | 0,78 | 8,7 | 2,67 | 12,16 | 4,57 |
25,9 | 0,355 | 0,100 | 2,08 | 0,77 | 8,6 | 2,63 | 12 | 4,55 |
26,0 | 0,350 | 0,099 | 2,05 | 0,77 | 8,5 | 2,60 | 11,8 | 4,5 |
26,1 | 0,345 | 0,098 | 2,02 | 0,76 | 8,4 | 2,57 | 11,6 | 4,45 |
26,2 | 0,341 | 0,097 | 1,99 | 0,75 | 8,3 | 2,54 | 11,4 | 4,42 |
26,3 | 0,337 | 0,097 | 1,96 | 0,74 | 8,2 | 2,51 | 11,2 | 4,4 |
26,4 | 0,333 | 0,096 | 1,93 | 0,74 | 8,1 | 2,48 | 11 | 4,35 |
26,5 | 0,329 | 0,095 | 1,90 | 0,73 | 8,0 | 2,45 | 10,8 | 4,3 |
26,6 | 0,325 | 0,094 | 1,87 | 0,73 | 8,0 | 2,42 | 10,64 | 4,27 |
26,7 | 0,321 | 0,093 | 1,84 | 0,72 | 7,9 | 2,39 | 10,48 | 4,25 |
26,8 | 0,317 | 0,092 | 1,82 | 0,72 | 7,8 | 2,37 | 10,32 | 4,2 |
26,9 | 0,313 | 0,091 | 1,80 | 0,71 | 7,7 | 2,35 | 10,16 | 4,15 |
27,0 | 0,309 | 0,090 | 1,78 | 0,705 | 7,60 | 2,33 | 10 | 4,12 |
27,1 | 0,305 | 0,089 | 1,76 | 0,697 | 7,50 | 2,31 | 9,93 | 4,1 |
27,2 | 0,301 | 0,089 | 1,74 | 0,690 | 7,42 | 2,30 | 9,86 | 4,05 |
27,3 | 0,297 | 0,088 | 1,72 | 0,683 | 7,31 | 2,28 | 9,8 | 4,0 |
27,4 | 0,293 | 0,087 | 1,71 | 0,677 | 7,21 | 2,26 | 9,74 | 3,97 |
27,5 | 0,289 | 0,086 | 1,70 | 0,672 | 7,10 | 2,24 | 9,68 | 3,95 |
27,6 | 0,285 | 0,086 | 1,69 | 668 | 7,00 | 2,22 | 9,62 | 3,9 |
27,7 | 0,281 | 0,085 | 1,68 | 663 | 6,90 | 2,20 | 9,56 | 3,85 |
27,8 | 0,278 | 0,084 | 1,67 | 659 | 6,80 | 2,18 | 9,5 | 3,82 |
27,9 | 0,275 | 0,084 | 1,66 | 654 | 6,70 | 2,16 | 9,42 | 3,8 |
28,0 | 0,272 | 0,083 | 1,65 | 650 | 6,60 | 2,15 | 9,35 | 3,76 |
28,1 | 0,269 | 0,082 | 1,63 | 645 | 6,54 | 2,13 | 9,28 | 3,72 |
28,2 | 0,266 | 0,081 | 1,62 | 641 | 6,48 | 2,11 | 9,21 | 3,70 |
28,3 | 0,263 | 0,08 | 1,60 | 636 | 6,42 | 2,09 | 9,14 | 3,68 |
28,4 | 0,26 | 0,079 | 1,59 | 632 | 6,36 | 2,07 | 9,07 | 3,64 |
28,5 | 0,257 | 0,078 | 1,58 | 627 | 6,30 | 2,05 | 9 | 3,6 |
28,6 | 0,255 | 0,077 | 1,57 | 623 | 6,24 | 2,03 | 8,93 | 3,57 |
28,7 | 0,253 | 0,077 | 1,56 | 618 | 6,18 | 2,01 | 8,86 | 3,55 |
28,8 | 0,251 | 0,076 | 1,55 | 614 | 6,12 | 2,00 | 8,8 | 3,5 |
28,9 | 0,249 | 0,075 | 1,54 | 609 | 6,06 | 1,98 | 8,74 | 3,45 |
29,0 | 0,247 | 0,074 | 1,53 | 605 | 6,00 | 1,97 | 8,68 | 3,42 |
29,1 | 0,244 | 0,074 | 1,51 | 600 | 5,95 | 1,95 | 8,62 | 3,4 |
29,2 | 0,241 | 0,073 | 1,49 | 596 | 5,90 | 1,94 | 8,56 | 3,35 |
29,3 | 0,238 | 0,072 | 1,48 | 591 | 5,85 | 1,92 | 8,5 | 3,3 |
29,4 | 0,235 | 0,071 | 1,47 | 587 | 5,80 | 1,91 | 8,42 | 3,27 |
29,5 | 0,232 | 0,071 | 1,46 | 582 | 5,75 | 1,89 | 8,35 | 3,25 |
29,6 | 0,229 | 0,07 | 1,45 | 578 | 5,70 | 1,88 | 8,28 | 3,2 |
29,7 | 0,226 | 0,069 | 1,44 | 573 | 5,65 | 1,86 | 8,21 | 3,15 |
29,8 | 0,224 | 0,068 | 1,43 | 569 | 5,60 | 1,85 | 8,14 | 3,12 |
29,9 | 0,222 | 0,067 | 1,42 | 564 | 5,55 | 1,83 | 8,07 | 3,1 |
30,0 | 0,220 | 0,066 | 1,41 | 560 | 5,50 | 1,82 | 8 | 3,05 |
30,2 | 0,215 | 0,065 | 1,39 | 551 | 5,40 | 1,79 | 7,87 | 2,99 |
30,4 | 0,210 | 0,064 | 1,37 | 542 | 5,30 | 1,76 | 7,75 | 2,96 |
30,6 | 0,206 | 0,0626 | 1,35 | 533 | 5,20 | 1,73 | 7,62 | 2,93 |
30,8 | 0,202 | 0,0616 | 1,33 | 524 | 5,10 | 1,70 | 7,5 | 2,90 |
31,0 | 0,198 | 0,0605 | 1,32 | 515 | 5,00 | 1,67 | 7,33 | 2,87 |
31,2 | 0,194 | 0,0596 | 1,30 | 506 | 4,90 | 1,65 | 7,16 | 2,84 |
31,4 | 0,190 | 0,0587 | 1,28 | 497 | 4,82 | 1,62 | 7 | 2,81 |
31,6 | 0,186 | 0,0578 | 1,26 | 489 | 4,74 | 1,60 | 6,87 | 2,78 |
31,8 | 0,183 | 0,0569 | 1,24 | 482 | 4,68 | 1,58 | 6,75 | 2,75 |
32,0 | 0,180 | 0,0560 | 1,23 | 475 | 4,60 | 1,56 | 6,62 | 2,72 |
32,2 | 0,177 | 0,0551 | 1,21 | 467 | 4,52 | 1,54 | 6,5 | 2,69 |
32,4 | 0,174 | 0,0542 | 1,19 | 460 | 4,44 | 1,52 | 6,37 | 2,66 |
32,6 | 0,171 | 0,0533 | 1,17 | 452 | 4,36 | 1,50 | 6,25 | 2,63 |
32,8 | 0,168 | 0,0524 | 1,15 | 444 | 4,28 | 1,48 | 6,12 | 2,6 |
33,0 | 0,165 | 0,0515 | 1,14 | 437 | 4,20 | 1,46 | 6 | 2,54 |
33,2 | 0,162 | 0,0506 | 1,12 | 430 | 4,12 | 1,44 | 5,95 | 2,49 |
33,4 | 0,159 | 0,0498 | 1,10 | 424 | 4,05 | 1,42 | 5,9 | 2,45 |
33,6 | 0,156 | 0,0492 | 1,09 | 418 | 3,98 | 1,41 | 5,85 | 2,44 |
33,8 | 0,153 | 0,0486 | 1,08 | 412 | 3,91 | 1,39 | 5,8 | 2,42 |
34,0 | 0,150 | 0,048 | 1,07 | 406 | 3,85 | 1,37 | 5,75 | 2,4 |
34,2 | 0,147 | 0,0474 | 1,05 | 401 | 3,79 | 1,35 | 5,7 | 2,33 |
34,4 | 0,144 | 0,0468 | 1,04 | 397 | 3,74 | 1,33 | 5,65 | 2,28 |
34,6 | 0,141 | 0,0462 | 1,02 | 393 | 3,69 | 1,31 | 5,6 | 2,26 |
34,8 | 0,138 | 0,0456 | 1,01 | 390 | 3,64 | 1,30 | 5,55 | 2,22 |
35,0 | 0,135 | 0,0450 | 1,00 | 387 | 3,60 | 1,28 | 5,5 | 2,2 |
35,2 | 0,133 | 0,0444 | 0,99 | 383 | 3,55 | 1,26 | 5,45 | 2,2 |
35,4 | 0,131 | 0,0438 | 0,97 | 0,380 | 3,50 | 1,24 | 5,4 | 2,2 |
35,6 | 0,129 | 0,0432 | 0,95 | 0,376 | 3,45 | 1,23 | 5,35 | 2,2 |
35,8 | 0,127 | 0,0426 | 0,94 | 0,373 | 3,40 | 1,21 | 5,3 | 2,17 |
36,0 | 0,125 | 0,0420 | 0,93 | 0,370 | 3,35 | 1,20 | 5,25 | 2,15 |
36,2 | 0,123 | 0,0414 | 0,91 | 0,366 | 3,30 | 1,18 | 5,2 | 2,15 |
36,4 | 0,121 | 0,0408 | 0,90 | 0,363 | 3,25 | 1,17 | 5,15 | 2,1 |
36,6 | 0,119 | 0,0402 | 0,89 | 0,359 | 3,20 | 1,150 | 5,1 | 2 |
36,8 | 0,117 | 0,0396 | 0,88 | 0,356 | 3,15 | 1,130 | 5,05 | 1,99 |
37,0 | 0,115 | 0,039 | 0,87 | 0,353 | 3,10 | 1,120 | 5 | 1,98 |
37,2 | 0,113 | 0,0384 | 0,86 | 0,347 | 3,05 | 1,100 | 4,95 | 1,96 |
37,4 | 0,111 | 0,0379 | 0,85 | 0,344 | 3,00 | 1,090 | 4,9 | 1,95 |
37,6 | 0,109 | 0,0374 | 0,84 | 0,340 | 2,95 | 1,080 | 4,85 | 1,94 |
37,8 | 0,107 | 0,0369 | 0,83 | 0,339 | 2,90 | 1,070 | 4,8 | 1,93 |
38,0 | 0,105 | 0,0364 | 0,82 | 0,336 | 2,85 | 1,060 | 4,75 | 1,92 |
38,2 | 0,103 | 0,0359 | 0,81 | 0,332 | 2,80 | 1,040 | 4,7 | 1,91 |
38,4 | 0,102 | 0,0354 | 0,80 | 0,329 | 2,75 | 1,030 | 4,65 | 1,9 |
38,6 | 0,101 | 0,0350 | 0,79 | 0,326 | 2,70 | 1,020 | 4,6 | 1,87 |
38,8 | 0,100 | 0,0346 | 0,78 | 0,323 | 2,65 | 1,010 | 4,55 | 1,86 |
39,0 | 0,099 | 0,0342 | 0,77 | 0,320 | 2,60 | 1,000 | 4,5 | 1,85 |
39,2 | 0,098 | 0,0338 | 0,76 | 0,317 | 2,56 | 0,980 | 4,45 | 1,83 |
39,4 | 0,097 | 0,0334 | 0,75 | 0,314 | 2,52 | 0,970 | 4,4 | 1,82 |
39,6 | 0,096 | 0,0331 | 0,75 | 0,311 | 2,48 | 0,960 | 4,35 | 1,8 |
39,8 | 0,095 | 0,0328 | 0,74 | 0,308 | 2,44 | 0,950 | 4,3 | 1,79 |
40,0 | 0,094 | 0,0325 | 0,73 | 0,305 | 2,40 | 0,940 | 4,25 | 1,78 |
40,2 | 0,092 | 0,0322 | 0,72 | 0,302 | 2,37 | 0,930 | 4,2 | 1,76 |
40,4 | 0,091 | 0,0319 | 0,71 | 0,299 | 2,35 | 0,920 | 4,15 | 1,75 |
40,6 | 0,090 | 0,0316 | 0,70 | 0,296 | 2,32 | 0,910 | 4,1 | 1,74 |
40,8 | 0,089 | 0,0313 | 0,69 | 0,293 | 2,30 | 0,900 | 4,05 | 1,73 |
41,0 | 0,088 | 0,0310 | 0,68 | 0,290 | 2,27 | 0,890 | 4 | 1,72 |
41,2 | 0,087 | 0,0307 | 0,674 | 0,287 | 2,25 | 0,882 | 3,95 | 1,7 |
41,4 | 0,086 | 0,0304 | 0,668 | 0,284 | 2,22 | 0,874 | 3,9 | 1,68 |
41,6 | 0,085 | 0,0301 | 0,662 | 0,281 | 2,20 | 0,866 | 3,85 | 1,67 |
41,8 | 0,084 | 0,0299 | 0,656 | 0,278 | 2,17 | 0,858 | 3,8 | 1,66 |
42,0 | 0,083 | 0,0297 | 0,650 | 0,275 | 2,15 | 0,850 | 3,75 | 1,65 |
42,2 | 0,082 | 0,0294 | 0,644 | 0,272 | 2,12 | 0,842 | 3,72 | 1,62 |
42,4 | 0,081 | 0,0292 | 0,638 | 0,269 | 2,10 | 0,834 | 3,68 | 1,61 |
42,6 | 0,079 | 0,0289 | 0,632 | 0,266 | 2,07 | 0,826 | 3,64 | 1,6 |
42,8 | 0,078 | 0,0286 | 0,626 | 0,264 | 2,05 | 0,818 | 3,6 | 1,59 |
43,0 | 0,077 | 0,0284 | 0,620 | 0,262 | 2,02 | 0,810 | 3,55 | 1,58 |
43,2 | 0,076 | 0,0281 | 0,614 | 0,259 | 2,00 | 0,802 | 3,5 | 1,56 |
43,4 | 0,075 | 0,0279 | 0,608 | 0,257 | 1,98 | 0,794 | 3,45 | 1,55 |
43,6 | 0,074 | 0,0276 | 0,602 | 0,254 | 1,96 | 0,786 | 3,4 | 1,54 |
43,8 | 0,073 | 0,0273 | 0,596 | 0,252 | 1,94 | 0,778 | 3,35 | 1,53 |
44,0 | 0,072 | 0,0271 | 0,590 | 0,250 | 1,92 | 0,770 | 3,3 | 1,52 |
44,2 | 0,071 | 0,0268 | 0,584 | 0,248 | 1,90 | 0,762 | 3,25 | 1,5 |
44,4 | 0,070 | 0,0266 | 0,578 | 0,246 | 1,88 | 0,754 | 3,2 | 1,48 |
44,6 | 0,069 | 0,0263 | 0,572 | 0,244 | 1,86 | 0,746 | 3,15 | 1,47 |
44,8 | 0,068 | 0,0261 | 0,566 | 0,242 | 1,84 | 0,738 | 3,1 | 1,46 |
45,0 | 0,067 | 0,0259 | 0,560 | 0,240 | 1,82 | 0,730 | 3,05 | 1,45 |
45,2 | 0,066 | 0,0257 | 0,554 | 0,238 | 1,80 | 0,722 | 3 | 1,42 |
45,4 | 0,065 | 0,0254 | 0,548 | 0,236 | 1,78 | 0,714 | 2,98 | 1,41 |
45,6 | 0,064 | 0,0251 | 0,542 | 0,234 | 1,76 | 0,706 | 2,96 | 1,4 |
45,8 | 0,063 | 0,0249 | 0,536 | 0,232 | 1,74 | 0,698 | 2,94 | 1,39 |
46,0 | 0,0623 | 0,0247 | 0,530 | 0,230 | 1,72 | 0,690 | 2,92 | 1,38 |
46,2 | 0,0616 | 0,0244 | 0,524 | 0,228 | 1,70 | 0,682 | 2,9 | 1,36 |
46,4 | 0,0609 | 0,0242 | 0,518 | 0,226 | 1,68 | 0,674 | 2,88 | 1,35 |
46,6 | 0,0602 | 0,0239 | 0,512 | 0,224 | 1,67 | 0,666 | 2,86 | 1,34 |
46,8 | 0,0596 | 0,023 | 0,506 | 0,222 | 1,65 | 0,658 | 2,84 | 1,33 |
47,0 | 0,0590 | 0,0235 | 0,500 | 0,220 | 1,63 | 0,650 | 2,82 | 1,32 |
47,2 | 0,0584 | 0,0232 | 0,495 | 0,218 | 1,61 | 0,644 | 2,8 | 1,3 |
47,4 | 0,0578 | 0,0229 | 0,490 | 0,216 | 1,60 | 0,638 | 2,78 | 1,28 |
47,6 | 0,0572 | 0,0227 | 0,485 | 0,214 | 1,59 | 0,632 | 2,76 | 1,27 |
47,8 | 0,0566 | 0,0225 | 0,480 | 0,212 | 1,57 | 0,626 | 2,74 | 1,26 |
48,0 | 0,0560 | 0,0223 | 0,475 | 0,210 | 1,56 | 0,620 | 2,72 | 1,25 |
48,2 | 0,0554 | 0,0220 | 0,470 | 0,208 | 1,54 | 0,614 | 2,7 | 1,22 |
48,4 | 0,0548 | 0,0218 | 0,465 | 0,206 | 1,53 | 0,609 | 2,68 | 1,21 |
48,6 | 0,0542 | 0,0215 | 0,460 | 0,205 | 1,52 | 0,604 | 2,66 | 1,2 |
48,8 | 0,0536 | 0,0213 | 0,455 | 0,203 | 1,50 | 0,599 | 2,64 | 1,19 |
49,0 | 0,0530 | 0,0211 | 0,450 | 0,201 | 1,49 | 0,594 | 2,62 | 1,18 |
49,2 | 0,0524 | 0,0208 | 0,445 | 0,198 | 1,48 | 0,589 | 2,6 | 1,16 |
49,4 | 0,0518 | 0,0206 | 0,440 | 0,197 | 1,46 | 0,584 | 2,56 | 1,15 |
49,6 | 0,0512 | 0,0204 | 0,435 | 0,196 | 1,45 | 0,579 | 2,52 | 1,14 |
49,8 | 0,0506 | 0,0202 | 0,430 | 0,194 | 1,44 | 0,574 | 2,46 | 1,13 |
50,0 | 0,0500 | 0,0200 | 0,425 | 0,193 | 1,43 | 0,570 | 2,46 | 1,12 |
50,5 | 0,0490 | 0,0194 | 0,420 | 0,190 | 1,40 | 0,558 | 2,43 | 1,1 |
51,0 | 0,0480 | 0,0190 | 0,415 | 0,187 | 1.37 | 0,547 | 2,4 | 1,08 |
51,5 | 0,0470 | 0,0186 | 0,407 | 0,184 | 1,34 | 0,535 | 2,3 | 1,02 |
52,0 | 0,0460 | 0,0183 | 0,400 | 0,181 | 1,31 | 0,524 | 2,25 | 1 |
52,5 | 0,0450 | 0,0178 | 0,392 | 0,178 | 1,28 | 0,512 | 2,2 | 0,99 |
53,0 | 0,0440 | 0,0174 | 0,385 | 0,175 | 1,25 | 0,501 | 2,2 | 0,97 |
53,5 | 0,0430 | 0,0170 | 0,380 | 0,172 | 1,22 | 0,490 | 2,2 | 0,96 |
54,0 | 0,0420 | 0,0168 | 0,375 | 0,170 | 1,20 | 0,479 | 2,15 | 0,95 |
54,5 | 0,0410 | 0,0166 | 0,367 | 0,168 | 1,18 | 0,468 | 2,15 | 0,94 |
55,0 | 0,0400 | 0,0165 | 0,360 | 0,166 | 1,16 | 0,457 | 2 | 0,94 |
Обычно должна применяться следующая процедура:
- определяют самую неблагоприятную практическую ситуацию с учетом допусков для элементов, колебаний напряжения питания, повреждений изоляции и элемента;
- затем, исходя из требуемого коэффициента безопасности, который зависит от типа цепи (см.
10.1.4.2), а также от уровня цепи электрооборудования (см.
раздел 5), получают измененную цепь, которую можно оценивать;
- проверяют приемлемость параметров полученной цепи сравнением с характеристиками искробезопасности, указанными на
рисунках A.1 -
A.6 или в
таблицах A.1 и
A.2.
Полученную для оценки цепь можно испытывать с помощью искрообразующего механизма, если испытание предпочитают оценке.
Примечание - Данные, представленные на
рисунках A.1 -
A.6 и в
таблицах A.1 и
A.2, относятся только к простым цепям. Во многих случаях их может быть трудно применить для оценки искробезопасности цепей, встречающихся на практике. Например, многие источники питания имеют нелинейные характеристики и не могут быть оценены по характеристикам искробезопасности, так как
рисунок A.1 может быть использован только в случае, когда цепь представлена элементом или батареей с последовательно подключенным токоограничительным резистором. По этой причине нелинейные цепи, например цепи постоянного тока, вызовут воспламенение при более низких значениях тока, чем те, которые можно прогнозировать по
рисунку A.1 на основе напряжения холостого хода и тока короткого замыкания. В некоторых типах нелинейных цепей максимальный допустимый ток может составлять только 1/5 от тока, прогнозируемого по характеристикам искробезопасности. Необходимо убедиться в том, что оценки выполняются только для случаев, когда рассматриваемая цепь может быть представлена одной из простых цепей, для которых предоставлена информация. Имеющаяся в наличии информация ограничена и не может охватить все проблемы, возникающие при конструировании искробезопасных цепей.
A.3 Примеры простых цепей
a) Простая индуктивная цепь
Чтобы более подробно проиллюстрировать процедуру оценки искробезопасности, нужно рассмотреть цепь для электрооборудования подгруппы IIC, состоящую из источника питания в виде элемента или батареи напряжением 20 В и последовательно установленного неповреждаемого токоограничительного резистора сопротивлением 300 Ом, к которой подключен индуктивный элемент сопротивлением 1100 Ом и индуктивностью 100 мГн, как показано на рисунке A.7.
Рисунок A.7 - Простая индуктивная цепь
Значения 300 и 1100 Ом - минимальные, а 100 мГн - максимальное значение. Нужно провести две раздельные оценки: одну, чтобы убедиться, что сам источник питания искробезопасный, вторую - чтобы учесть влияние подключенной нагрузки. Оценку проводят следующим образом:
Последовательность оценки:
I) Значение токоограничительного резистора устанавливают равным минимально 300 Ом, что соответствует наиболее неблагоприятному случаю. Если этот резистор не отвечает требованиям в отношении неповреждаемости (см.
8.4), применение одного повреждения (см.
раздел 5) вызовет изменение цепи, при этом резистор будет считаться короткозамкнутым. При таком повреждении питание более не будет искробезопасным.
Необходимо также определить максимальное значение напряжения батареи в соответствии с
7.4.3. Нужно принять максимальное напряжение батареи равным 22 В.
II) Максимальный ток короткого замыкания равен 22/300 = 73,3 мА.
Поскольку при этом условии цепь становится омической, применение требований
раздела 5 и
10.1.4.2 дает измененную цепь, в которой ток короткого замыкания увеличен до 1,5 x 73,3 = 110 мА.
III) Из
таблицы A.1 можно видеть, что для подгруппы IIC минимальный ток воспламенения для омической цепи с напряжением источника питания 22 В равен 337 мА. Источник питания в этом случае может быть оценен как искробезопасный с точки зрения искрового воспламенения.
2) Подключение нагрузки
Последовательность оценки:
I) Максимальное напряжение батареи равно 22 В. Поскольку 300 и 1100 Ом - минимальные значения, максимально возможный ток в нагрузке равен 22/(300 + 1100) = 15,7 мА. Никакие повреждения не рассматривают, поскольку резистор 300 Ом является неповреждаемым, а повреждение индуктивного элемента в результате короткого замыкания ведет к формированию рассмотренной выше цепи.
II) Для применения требований
раздела 5 и
10.1.4.2 необходимо, чтобы при коэффициенте безопасности 1,5 ток цепи был увеличен до 1,5 x 15,7 = 23,6 мА.
III) В соответствии с
рисунком A.4 для подгруппы IIC при индуктивности 100 мГн минимальный воспламеняющий ток для источника напряжением 24 В равен 28 мА. Поэтому цепь может быть оценена как искробезопасная с точки зрения искрового воспламенения применительно к подгруппе IIC.
Примечания
1 Для напряжений холостого хода значительно ниже 24 В следует применять схему, указанную на
рисунке A.6.
2 Приведенные выше оценки относятся к индуктивному элементу с воздушным сердечником. Если индуктивный элемент имеет железный сердечник, такие оценки можно рассматривать только как приблизительные, и потребуется испытывать цепь с применением искрообразующего механизма
(приложение C), чтобы установить, является или не является цепь искробезопасной. На практике, если оценка основана на измеренном значении индуктивности, минимальный ток воспламенения обычно, но не всегда, больше, чем значение, полученное в результате оценки.
b) Простая емкостная цепь
Цепь, показанная на рисунке A.8, предназначена для применения в электрооборудовании группы I. Она состоит из последовательно соединенных батарей напряжением 30 В, неповреждаемого токоограничительного резистора сопротивлением 10 кОм и конденсатора емкостью 10 мкФ. В предлагаемом примере значения 30 В и 10 мкФ - максимальные, а 10 кОм - минимальное значение.
Рисунок A.8 - Простая емкостная цепь
Проводят две отдельные оценки: одну - чтобы убедиться, что сам источник питания искробезопасный, и вторую - чтобы учесть присутствие конденсатора.
Поскольку процедура оценки практически аналогична процедуре, описанной в
перечислении a) 1), дополнительных данных приводить не требуется. Источник питания может рассматриваться, как искробезопасный, с точки зрения искрового воспламенения с коэффициентом безопасности св. 100.
2) Конденсатор
Последовательность оценки:
I) Максимальное напряжение батареи равно 30 В, а максимальная емкость равна 10 мкФ. Никакие повреждения не рассматривают, так как резистор сопротивлением 10 кОм является неповреждаемым, а неисправность емкости вследствие короткого замыкания или обрыва ведет к формированию цепи, рассмотренной в
b) 1.
II) Применение требований
раздела 5 и
10.1.4.2 требует, чтобы при коэффициенте безопасности 1,5 напряжение было увеличено до 1,5 x 30 = 45 В.
III) Характеристики искробезопасности на
рисунке A.2 для группы I показывают, что при напряжении 45 В минимальная величина воспламеняющей емкости составляет только 3 мкФ, а при напряжении 30 В - только 7,2 мкФ, поэтому цепь не может быть оценена как искробезопасная.
Примечания
1 Существует несколько возможностей изменить цепь так, чтобы она стала искробезопасной. Значения напряжения цепи или емкости могут быть снижены, или неповреждаемый резистор может быть установлен последовательно с конденсатором 10 мкФ. На
рисунке A.2 показано, что для конденсатора емкостью 10 мкФ минимальное напряжение воспламенения равно 26 В. Поэтому, если значение емкости 10 мкФ нужно сохранить, напряжение батареи должно быть снижено до 26/1,5 = 17,3 В. В качестве альтернативного варианта значение емкости можно снизить до 3 мкФ или установить неповреждаемый резистор с минимальным сопротивлением 5,6 Ом последовательно с конденсатором (так как 10 мкФ при сопротивлении резистора 5,6 Ом дает минимальное напряжение воспламенения, равное 48 В), что также приведет к созданию цепи, которая может быть оценена как искробезопасная в отношении искрового воспламенения для группы I.
2 Следует иметь в виду, что значения минимального напряжения воспламенения для емкостных цепей на
рисунках A.2 и
A.3 применяют к заряженному конденсатору, который не соединен непосредственно с источником питания. На практике, при условии, что сам источник питания имеет высокий коэффициент безопасности, как в приведенном выше примере, могут быть применены характеристики искробезопасности, представленные на
рисунках A.2 и
A.3. Однако, если источник питания имеет минимальный коэффициент искробезопасности, его подключение к конденсатору может привести к ситуации, когда цепь будет искроопасной несмотря на то, что оценка по характеристикам искробезопасности на
рисунках A.2 и
A.3 показывает искробезопасность цепи. Оценку искробезопасности таких цепей необходимо вести с применением искрообразующего механизма
(приложение B).
A.4 Допустимое снижение эффективной емкости при использовании защиты последовательно включенным резистором
Когда резистор установлен последовательно с конденсатором для ограничения энергии, которая может выделиться в виде разряда от их комбинации (энергия между узлами A и B на приведенном ниже рисунке A.9), оценка эффективной емкости между этими двумя узлами может быть упрощена с помощью применения
таблицы A.3. В качестве альтернативы, если таблицу не применяют, цепь может быть испытана.
Рисунок A.9 - Эквивалентная емкость
Таблица A.3
Допустимое снижение эффективной емкости при использовании
защиты последовательно включенным резистором
Сопротивление R, Ом | Коэффициент уменьшения | Сопротивление R, Ом | Коэффициент уменьшения |
0 | 1,00 | 10 | 0,74 |
1 | 0,97 | 12 | 0,70 |
2 | 0,94 | 14 | 0,66 |
3 | 0,91 | 16 | 0,63 |
4 | 0,87 | 18 | 0,61 |
5 | 0,85 | 20 | 0,57 |
6 | 0,83 | 25 | 0,54 |
7 | 0,80 | 30 | 0,49 |
8 | 0,79 | 40 | 0,41 |
9 | 0,77 |
Примечание - Приведенные в таблице коэффициенты даны с запасом. Более значительное снижение емкости может быть принято по результатам испытаний.
Резистор должен быть в соответствии с
7.1, и узел X должен быть отделен от всех других токопроводящих частей в соответствии с
6.3.
(обязательное)
ИСКРООБРАЗУЮЩИЙ МЕХАНИЗМ ДЛЯ ИСПЫТАНИЯ ИСКРОБЕЗОПАСНЫХ ЦЕПЕЙ
B.1 Методы испытаний на искровое воспламенение
B.1.1 Принцип проведения испытаний
Электрическую цепь подключают к контактам искрообразующего механизма, которые находятся во взрывной камере, заполненной испытательной взрывоопасной смесью.
Параметры цепи регулируются для обеспечения заданного коэффициента безопасности и проводится испытание с целью определения, произойдет или не произойдет воспламенение испытательной взрывоопасной смеси при определенном количестве срабатываний контактной системы.
Если не указано иное, допуски для размеров обработанных деталей составляют +/- 2% (для длины вольфрамовой проволочки +/- 10%), а для напряжения и тока +/- 1%.
B.1.2 Искрообразующий механизм
Искрообразующий механизм должен состоять из контактного устройства, расположенного в сосуде взрывной камеры объемом не менее 250 см3, и предназначен для создания электрических разрядов при замыкании и размыкании электрической цепи в среде испытательной взрывоопасной смеси.
Примечание 1 - Конструкция искрообразующего механизма и взрывной камеры приведена на
рисунке B.4. (Схема расположения контактов приведена на рисунках B.1,
B.2 и
B.3.)
1 - выводы для подключения испытуемой цепи
Рисунок B.1 - Искрообразующий механизм
для испытания искробезопасных цепей
Рисунок B.2 - Кадмиевый контактный диск
1 - деталь X, масштаб 10:1
Рисунок B.3 - Держатель проволочек
1 - изолирующая пластина; 2 - подвод тока; 3 - изолированный
болт; 4 - изолированный подшипник; 5 - выходное отверстие
для газа; 6 - цоколь основания; 7 - вольфрамовая проволочка;
8 - держатель проволочек; 9 - зажимной винт; 10 - нажимная
пластина; 11 - зажим; 12 - камера; 13 - кадмиевый контактный
диск; 14 - резиновое уплотнение; 15 - входное отверстие
для газа; 16 - шестерня с соотношением зубьев 50:12 м;
17 - изолированная муфта; 18 - приводной двигатель
с редуктором 80 об/мин
Рисунок B.4 - Схема взрывной камеры
для испытаний на искробезопасность
Один из контактных электродов должен представлять собой вращающийся кадмиевый диск с двумя пазами
(рисунок B.2).
Примечание 2 - Для отливки кадмиевых контактных дисков можно использовать кадмий, применяемый для нанесения гальванического покрытия.
Другой контактный электрод состоит из четырех вольфрамовых проволочек диаметром 0,2 +/- 0,02 мм, закрепленных по окружности диаметром 50 мм на держателе электрода из латуни или другого подходящего материала
(рисунок B.3).
Примечание 3 - В местах крепления вольфрамовых проволочек желательно закруглять углы держателя, чтобы предохранить проволочки от острых кромок.
Схема расположения контактов приведена на
рисунке B.1. Держатель вращают таким образом, чтобы вольфрамовые проволочки скользили по шероховатой поверхности кадмиевого диска. Расстояние между держателем проволочек и диском составляет 10 мм. Свободная длина проволочек - 11 мм. Проволочки выпрямляют и устанавливают перпендикулярно поверхности диска, когда они не контактируют с ним.
Оси валов, вращающих диск и держатель проволочек, расположены на расстоянии 31 мм друг от друга и электрически изолированы между собой и от цоколя основания механизма. Электрический ток подводят и снимают скользящими контактами на валах, которые приводят в движение с помощью токонепроводящих шестерен с соотношением зубьев 50:12.
Держатель проволочек вращают с частотой 80 об/мин электрическим двигателем, который в случае необходимости может иметь редуктор. Диск вращают медленнее в противоположном направлении.
Примечание 4 - Газонепроницаемые подшипники скольжения необходимы в цоколе основания, если не используется система расхода газа.
Если не используют систему свободной циркуляции испытательной взрывоопасной смеси, то необходимо использовать газонепроницаемые подшипники в опорной плите.
Для регистрации числа оборотов вала держателя проволочек используют счетчик или измеритель времени для определения продолжительности испытаний, соответствующей заданному числу оборотов вала держателя.
Примечание 5 - После воспламенения взрывоопасной смеси желательно автоматически остановить двигатель или счетчик. Для регистрации воспламенения взрывоопасной смеси может, например, использоваться фотоэлемент или датчик давления.
Сосуд взрывной камеры должен выдерживать взрыв давлением не менее 1500 кПа (15 бар), если не предусмотрен сброс давления.
Емкость на зажимах контактного устройства искрообразующего механизма не должна превышать 30 пФ при разомкнутых контактах, сопротивление не должно превышать 0,15 Ом при постоянном токе 1 А и собственная индуктивность не должна превышать 3 мкГн при замкнутых контактах.
B.1.3 Калибровка искрообразующего механизма
Чувствительность искрообразующего механизма необходимо проверять до и после каждой серии испытаний по
10.1.3.
Если чувствительность искрообразующего механизма не соответствует указанной, для ее восстановления необходимо выполнить следующие действия:
a) проверить параметры контрольной электрической цепи;
b) проверить состав испытательной взрывоопасной смеси;
c) очистить вольфрамовые проволочки;
d) заменить вольфрамовые проволочки;
e) подключить выходные зажимы искрообразующего механизма к цепи с параметрами 95 мГн/24 В/100 мА в соответствии с
10.1.3 и сделать не менее 20000 оборотов держателя вольфрамовых проволочек в атмосфере воздуха;
f) заменить кадмиевый диск и откалибровать искрообразующий механизм согласно
10.1.3.
B.1.4 Подготовка и очистка вольфрамовых проволочек
Вольфрам - очень хрупкий материал, и вольфрамовые проволочки расщепляются на концах после относительно непродолжительного времени работы.
Рекомендуется один из следующих способов подготовки вольфрамовых электродов к испытаниям:
a) оплавить концы проволочки с помощью устройства, показанного на рисунке B.5, при этом на каждой проволочке образуется шарик, который можно легко удалить щипчиками.
1 - подвод питания; 2 - медный брусок; 3 - вольфрамовая
проволочка; 4 - изолирующая пластина
Примечание - Оплавленные шарики снять щипчиками.
Рисунок B.5 - Устройство для подготовки вольфрамовых
проволочек методом оплавления
После такой подготовки, в среднем, одну из четырех контактных проволочек нужно заменять только после 50 000 искрений;
b) нарезать проволоку, например с помощью высококачественных ножниц.
Затем проволочки установить в держатель и вручную очистить всю поверхность проволочек, включая концы, наждачной бумагой класса 0 или эквивалентным абразивным материалом.
Примечания
1 При очистке проволочек необходимо убирать из искрообразующего механизма держатель электродов.
2 Требования к размеру зерен наждачной бумаги класса 0 или эквивалентного абразивного материала, определенные при помощи сита, приведены в таблице B.1.
Таблица B.1
Количество зерен, проходящих через отверстия сита | Размер отверстия сита, мкм |
Проходят все зерна | 106 |
Задерживается на сите не более 24% | 75 |
Задерживается на сите не менее 40% | 53 |
Проходит не более 10% | 45 |
Как показывает опыт, для стабилизации чувствительности искрообразующего механизма во время испытаний желательно очистить и выпрямить проволочки на равном расстоянии. Периодичность очистки зависит от скорости, с которой на проволочке образуются отложения. Эта скорость зависит от испытуемой цепи. Проволочка должна быть заменена, если ее конец расщеплен или проволочку невозможно выпрямить.
B.1.5 Установка нового кадмиевого диска
Чтобы стабилизировать чувствительность искрообразующего механизма, рекомендуется следующая процедура установки нового кадмиевого диска:
a) установить диск на искрообразующем механизме;
b) подключить выходные зажимы искрообразующего механизма к цепи с параметрами 95 мГн/24 В/100 мА в соответствии с
10.1.3 и сделать не менее 20000 оборотов держателя проволочек в атмосфере воздуха;
c) установить новые проволочки, подготовленные и очищенные в соответствии с
B.1.4, и подключить выходные зажимы искрообразующего механизма к неэлектролитическому конденсатору емкостью 2 мкФ, заряжаемому через резистор сопротивлением 2 кОм;
d) заполнить сосуд взрывной камеры испытательной взрывоопасной смесью для подгруппы IIA (или группы I)
(10.1.3.1) и подать напряжение 70 В (для группы I - 95 В) на емкостную цепь и вращать искрообразующий механизм, пока не воспламенится взрывоопасная смесь или не произойдет 400 оборотов держателя проволочек. Если воспламенения не произошло, проверьте смесь, замените проволочки или проверьте искрообразующий механизм. Если воспламенение контрольной взрывоопасной смеси произошло, то следует снижать напряжение на 5 В и повторять описанную процедуру до тех пор, пока не прекратится возникновение воспламенений;
e) напряжение, при котором должно произойти воспламенение, равно 45 В для подгруппы IIA (55 В - для группы I), и напряжение, при котором воспламенение не должно происходить, равно 40 В для подгруппы IIA (50 В - для группы I).
B.1.6 Область применения искрообразующего механизма
Искрообразующий механизм предназначен для испытания искробезопасных цепей со следующими предельными параметрами:
a) испытательный ток - не более 3 А;
b) рабочее напряжение испытуемых омических или емкостных цепей - не более 300 В;
c) для индуктивных цепей - индуктивность не более 1 Гн;
d) частота тока в электрических цепях - не более 1,5 МГц.
Примечания
1 Искрообразующий механизм можно применять для испытаний цепей с параметрами, выходящими за указанные пределы, но при этом возможны изменения чувствительности.
2 Если испытательный ток превышает 3 А, нагрев вольфрамовых проволочек может стать дополнительной причиной воспламенения и повлиять на результаты испытаний.
3 Для индуктивных цепей необходимо принять меры к тому, чтобы собственная индуктивность и постоянные времени цепи не оказывали негативного влияния на результаты.
4 Емкостные и индуктивные цепи с высокими значениями постоянных времени можно испытывать, например, уменьшая частоту вращения искрообразующего механизма. Емкостные цепи можно испытывать, сняв две или три проволочки. При этом необходимо учитывать, что снижение частоты вращения искрообразующего механизма может изменить его чувствительность.
Искрообразующий механизм не применяется для испытания цепей, которые выключают ток или снижают электрические значения в результате размыкания и замыкания контакта в искрообразующем механизме при требуемом количестве оборотов. Для испытательных цепей создают наиболее неблагоприятные выходные условия на протяжении всего испытания.
Примечание 5 - Для подобных цепей в
приложениях E и
A приведена дополнительная информация.
B.1.7 Модификации искрообразующего механизма для больших токов
Искрообразующий механизм можно применять для испытательных токов от 3 до 10 А, если механизм изменен следующим образом:
Вольфрамовые проволочки заменены проволочками с диаметром, увеличенным с 0,2 мм до 0,4 +/- 0,03 мм, и свободная длина уменьшена до 10,5 мм.
Примечание 1 - Уменьшение свободной длины снижает износ кадмиевого диска.
Общее сопротивление искрообразующего механизма, включая сопротивление коммутирующего контакта, должно быть снижено до менее 100 мОм или испытуемая цепь должна быть изменена таким образом, чтобы компенсировать внутреннее сопротивление искрообразующего механизма.
Примечание 2 - Одно из возможных решений - применение щеток такого же типа, как в автомобильной промышленности, в сочетании с латунными втулками на валах искрообразующего механизма для увеличения площади контакта.
Общая индуктивность искрообразующего механизма и индуктивность от подсоединения к испытуемой цепи должны быть сведены к минимуму. Максимальное значение должно быть равно 1 мкГн.
Искрообразующий механизм может использоваться для более высоких токов, но при этом интерпретировать результаты необходимо с особой осторожностью.
(справочное)
ИЗМЕРЕНИЕ ПУТЕЙ УТЕЧКИ, ЭЛЕКТРИЧЕСКИХ ЗАЗОРОВ
И РАЗДЕЛИТЕЛЬНЫХ РАССТОЯНИЙ ЧЕРЕЗ ЗАЛИВОЧНЫЙ
КОМПАУНД И ТВЕРДУЮ ИЗОЛЯЦИЮ
C.1 Электрические зазоры и разделительные расстояния через заливочный компаунд и твердую изоляцию
Напряжение для проведения оценки должно быть определено в соответствии с
6.3.3.
Электрический зазор рассматривают как самое короткое расстояние по воздуху между двумя токопроводящими частями. Если между токопроводящими частями имеется изолирующая деталь, например перегородка, расстояние измеряют вдоль пунктирных линий, как показано на рисунке C.1.
1 - проводник; 2 - электрический зазор; 3 - перегородка
Рисунок C.1 - Измерение электрического зазора
Если расстояние между токопроводящими частями состоит частично из электрического зазора и частично из разделительного расстояния через заливочный компаунд и (или) твердую изоляцию, эквивалентный электрический зазор или расстояние разделения через компаунд можно рассчитать, как описано ниже, а полученное значение затем сравнить со значением в соответствующей колонке
таблицы 5.
Допустим, что на рисунке C.2 A - электрический зазор, B - разделительное расстояние через заливочный компаунд, а C - разделительное расстояние через твердую изоляцию.
1 - проводник
Рисунок C.2 - Измерение сложных расстояний
Если значение A меньше, чем соответствующее значение, приведенное в
таблице 5, то следует использовать одну из приведенных ниже таблиц. При расчетах не учитывают значения величины электрических зазоров или разделений, меньше 1/3 соответствующих значений по
таблице 5.
Результаты расчетов
по определению каждого эквивалентного разделительного расстояния нужно сложить и сравнить с соответствующим значением из
таблицы 5.
С помощью данных
колонки 2 таблицы 5 необходимо измеренные значения умножить на коэффициенты, приведенные в таблице C.1.
Таблица C.1
Величина напряжения | U < 10 В | 10 В <= U < 30 В | U >= 30 В |
A | 1 | 1 | 1 |
B | 3 | 3 | 3 |
C | 4 | 6 |
С помощью данных
колонки 3 таблицы 5 необходимо измеренные значения умножить на коэффициенты, приведенные в таблице C.2.
Таблица C.2
Величина напряжения | U < 10 В | 10 В <= U < 30 В | U >= 30 В |
A | 0,33 |
B | 1,00 |
C | 1,00 | 1,33 | 2,00 |
С помощью данных
колонки 4 таблицы 5 необходимо измеренные значения умножить на коэффициенты, приведенные в таблице C.3, и полученные результаты следует сложить.
Таблица C.3
Величина напряжения | U < 10 В | 10 В <= U < 30 В | U >= 30 В |
A | 0,33 | 0,25 | 0,17 |
B | 1,00 | 0,75 | 0,50 |
C | 1,00 |
C.2 Пути утечки
Напряжение для проведения оценки должно быть определено в соответствии с
6.3.3.
Длина пути утечки должна быть измерена вдоль поверхности изоляции, как показано на рисунке C.3.
1 - подложка; 2 - бороздка; 3 - перегородка; 4 - клей
Рисунок C.3 - Измерение длины путей утечки
Необходимо сделать следующие измерения, показанные на
рисунке C.3:
a) длину пути утечки измеряют вокруг любой выемки на поверхности, если ширина выемки не менее 3 мм;
b) если изоляционная перегородка или барьер в соответствии с
6.3.2 установлены, но не приклеены, длину пути утечки измеряют либо над перегородкой, либо под ней, в зависимости от того, какое значение меньше;
c) если перегородка (см.
перечисление b) приклеена, длину пути утечки всегда измеряют над перегородкой.
Если для сокращения длины пути утечки используют лак и лаком покрыта только часть пути утечки, как показано на рисунке C.4, общую
эквивалентную длину пути утечки определяют по
колонке 5 или
6 таблицы 5, используя следующий расчет: для
колонки 5 следует умножить B на 1, а A - на 3, для
колонки 6 следует умножить B на 0,33 и A на 1. Результаты сложить.
1 - лак; 2 - проводник; 3 - подложка
Рисунок C.4 - Измерение сложных расстояний
(обязательное)
D.1 Сцепление
Все выступающие из слоя герметика части электрической цепи должны быть закрыты компаундом. Компаунд должен иметь сцепление с этими поверхностями раздела.
Исключение требований к путям утечки для элементов, залитых компаундом, основано на отсутствии возможности загрязнения. Измеренное значение СИТ, в сущности, является оценкой степени загрязнения, необходимого для того, чтобы вызвать пробой разделения между токопроводящими деталями. На основании этого можно сделать следующие допущения:
- если все электрические части и подложка полностью закрыты оболочками и ни одна часть не выходит за пределы заливки компаундом, тогда нет риска загрязнения и поэтому пробой от загрязнения невозможен;
- если любая часть цепи, например оголенный или изолированный проводник, элемент или подложка печатной платы, выходят за пределы компаунда или он не плотно прилегает к границе раздела, то там может образоваться загрязнение и возникнуть пробой.
D.2 Температура
Температура заливочного компаунда должна соответствовать
6.6.
Примечания
1 Все заливочные компаунды имеют максимальную температуру, при превышении которой они могут терять или изменять свои свойства. Такие изменения могут вызвать образование трещин или нарушение структуры компаунда и повлечь за собой доступ взрывоопасной среды к более нагретым, чем наружная, поверхностям компаунда.
2 Следует учитывать, что компоненты с заливкой компаундом могут быть теплее и холоднее, чем на открытом воздухе, в зависимости от коэффициента теплопроводности заливочного компаунда.
Герметизированные компоненты могут быть более горячими или более холодными, чем они были бы на открытом воздухе, в зависимости от теплопроводности заливочного компаунда.
1 - свободная поверхность; 2 - герметизирующий материал:
значении 1,00 мм; 3 - компонент, герметизирующий материал
не должен проникать внутрь; 4 - герметизирующий материал
(толщина не задана); 5 - металлическая или изоляционная
оболочка: для металлической оболочки толщину не указывают
(см.
6.1), толщина изоляции - по таблице 5
Рисунок D.1 - Примеры герметизированных узлов,
Минимальная толщина до свободной
поверхности - не менее 1/2 значения, указанного
Минимальная толщина - в зависимости
от температуры внешней поверхности
Обозначенные разделения соответствуют
Минимальная толщина до свободной поверхности - не менее 1 мм
Минимальная толщина до свободной поверхности - не менее 1/2
с минимумом 1 мм
d) Защита предохранителей в искробезопасной цепи
Рисунок D.2 - Применение герметизации с использованием
заливочного компаунда без оболочки
Минимальная толщина до свободной поверхности - не менее 1/2
с минимумом 1 мм
e) Исключение проникновения газа
Рисунок D.2, лист 2
1 - формовка - должна иметь минимальную толщину
до свободной поверхности по крайней мере согласно
2 - компонент (например, предохранитель);
3 - печатная плата с минимальной толщиной 0,5 мм
Рисунок D.3 - Примеры блоков с формовкой,
Примечание -
Рисунки D.1,
D.2 и
D.3 для упрощенности не показывают соединения в блоке и из него. Они иллюстрируют на примере части, которые важны для вида взрывозащиты.
Рисунок D.1 показывает некоторые примеры блоков, герметизированных заливочным компаундом, которые показывают значительную разницу между электрическими зазорами до поверхности для заливочного компаунда и ящиками для герметизации металлической или твердой изоляцией.
На
рисунке D.2 изображены дополнительные примеры герметизации с использованием заливочного компаунда без оболочки.
На
рисунке D.2a изображена механическая защита индуктора и его компоненты подавления.
На
рисунке D.2b изображено применение заливочного компаунда для снижения температуры поверхности.
На
рисунке D.2c изображено разделение искробезопасных цепей.
На
рисунке D.2d изображена защита предохранителей заливочным компаундом в искробезопасной цепи.
На
рисунке D.2e изображено применение заливочного компаунда для исключения проникновения газа.
На
рисунке D.3 изображены примеры блоков, использующих герметизацию твердой изоляцией. Это показывает необходимые требования к конструкции и электрическим зазорам до поверхности. Способ герметизации твердой изоляцией - формовка блока как единого устройства.
Рисунок D.3a - Герметизирующая твердая изоляция над неустановленным компонентом, например предохранителем.
На
рисунке D.3a показано устройство, например предохранитель, которое формуется под давлением со всех 6 сторон одновременно.
Рисунок D.3b - Герметизирующая твердая изоляция над компонентами, установленными на печатную плату.
На
рисунке D.3b показано, что хотя данный рисунок похож на
рисунок D.3, компонент, например предохранитель, сначала монтируется на печатную плату (позиция 3) перед установкой под давлением. Эта операция применяется для формовки вклейкой.
(справочное)
ИСПЫТАНИЕ ЭНЕРГИИ ПЕРЕХОДНОГО ПРОЦЕССА
E.1 Принцип
При возникновении в цепи напряжения и тока переходного процесса допустимы значения напряжения и тока выше значений, приведенных в
приложении A, при условии, что энергия переходного процесса ограничена значениями, указанными в
10.1.5.3. В качестве примера можно рассмотреть случай, когда источник питания, в котором используется последовательное полупроводниковое токоограничительное устройство, регистрирует большой ток и отключается, но при этом ток кратковременного переходного процесса передается на нагрузку. Другой пример, когда цепь индикации напряжения включает тиристор, подключенный параллельно нагрузке, но высокое напряжение может короткое время присутствовать на нагрузке до того, как сработает тиристор.
Цепь должна испытываться с теми повреждениями, которые применяются в соответствии с
5.1 и дают наиболее опасные значения энергии в условиях, приведенных в указанном
пункте.
Примечание - Наиболее неблагоприятные условия не обязательно возникают при максимальном напряжении. Необходима также оценка более низкого напряжения.
Принцип этого испытания заключается в измерении энергии в течение периода времени, когда напряжение и ток будут превышать значения, приведенные в
приложении A, или значения, которые не являются воспламеняющими при испытании с применением искрообразующего механизма в соответствии с
10.1.
E.2 Испытание
Энергия, которая может выделиться во взрывоопасную среду, должна быть измерена по мощности и времени за период, когда значения напряжения и тока превышают значения, приведенные в
приложении A, или значения, о которых известно, что они не вызывают воспламенения при испытании с применением искрообразующего механизма.
Цепь должна быть испытана при самой неблагоприятной нагрузке при повреждениях в соответствии с
5.1. Если цепь питает внешнее устройство (например, когда источник питания с последовательно установленным полупроводниковым токоограничивающим устройством подает энергию со своих выходов на другое устройство, установленное во взрывоопасной атмосфере), тогда создающей наихудшие условия нагрузкой может быть любая нагрузка от нагрузки холостого хода до короткого замыкания.
В качестве примера можно привести следующий: если источник питания вырабатывает напряжение 15 В в условиях холостого хода и снабжен последовательно установленным полупроводниковым токоограничивающим устройством, которое срабатывает, когда ток превышает 1 А, ожидается, что цепь при подключении к стабилитрону с наиболее неблагоприятной нагрузкой примерно 14,5 В, создаст короткий переходный режим с током выше 1 А до того, как сработает токовый выключатель. Стабилитроны с более низким напряжением, чем указанное выше, также необходимо испытывать.
Для подгруппы IIB максимально допустимый ток при 14,5 В равен 3,76 А (по
таблице A.1). Поэтому при испытании необходимо измерить произведение напряжения и тока в течение времени, когда ток будет превышать 3,76 А. Испытательная установка и ожидаемые напряжение и ток, регистрируемые цифровым осциллографом, должны быть, как показано на рисунках E.1 и
E.2
1 - испытуемая цепь; 2 - нагрузка; 3 - ртутный
выключатель; 4 - вольтметр высокого сопротивления;
5 - щуп для замера величины тока
Рисунок E.1 - Пример испытуемой цепи
1 - ток I, максимально допустимый в соответствии
с испытанием на искробезопасность или оценкой
напряжение V (В) x заштрихованный участок кривой (А.с)
Рисунок E.2 - Пример выходного сигнала
В этом случае энергия переходного процесса должна рассчитываться путем измерения тока до стабилитрона (с помощью измерительной скобы) и напряжения на стабилитроне. Затем можно измерить серию токовременных характеристик для каждого значения тока стабилизации и определить зону под кривой зависимости "напряжение x ток" от времени. Таким образом может быть определена зона под кривой до падения тока до значения, ниже которого он считается неспособным вызывать воспламенение. Это испытание энергии переходного процесса.
В других случаях самой неблагоприятной нагрузкой может быть переменный резистор. В этом случае ряд токовременных характеристик может быть получен для каждой омической нагрузки практически от короткого замыкания до значения сопротивления менее Uo/Io, и интеграл мощности и времени, приложенный к резистору может затем использоваться для расчета мощности переходного процесса. В качестве нагрузки можно использовать конденсатор или дроссель, в зависимости от указанных выходных параметров.
Напряжение и ток следует измерять скоростным запоминающим осциллографом, способным обеспечить скорость временной развертки менее 1 мкс на деление. Испытательное оборудование и его подключение к испытуемой цепи должны оказывать минимальное влияние на измеряемые величины. Рекомендуется использовать датчики тока и каналы измерения напряжения с высоким сопротивлением. Рекомендуется использовать ртутный качающийся выключатель, так как он создает двусторонний механизм с низким контактным сопротивлением, но можно использовать и другие эквивалентные выключатели.
(обязательное)
ВАРИАНТЫ РАЗДЕЛИТЕЛЬНЫХ РАССТОЯНИЙ ДЛЯ СМОНТИРОВАННЫХ
ПЕЧАТНЫХ ПЛАТ И РАЗДЕЛЕНИЕ ЭЛЕМЕНТОВ
В соответствии с настоящим приложением разделительные расстояния для токопроводящих деталей допускается уменьшать по сравнению со значениями, приведенными в
таблице 5 настоящего стандарта. Это приложение применяют, когда в условиях степени загрязнения не более двух электрические разделения оценивают:
- в смонтированных печатных платах; и
- в разделительных элементах за исключением трансформаторов, соответствующих
таблице F.1 или
F.2, в зависимости от уровня искробезопасной цепи.
Примечание - Общие требования к разделительным расстояниям для токопроводящих деталей приведены в
разделе 6.3 настоящего стандарта. Они основаны, главным образом, на степени загрязнения 3
[7]. Считается, что двойная или усиленная изоляция в соответствии с
[7] соответствует требованиям к искробезопасному разделению для уровней искробезопасной цепи "ia" и "ib".
Таблица F.1
Электрические зазоры, пути утечки и разделения для цепей
уровней "ia" и "ib" при применении защиты от загрязнения
и выполнении специальных требований к материалу и монтажу
1 | | 3 | 4 | 5 | 6 | 7 |
Номинальное напряжение изоляции, эффективное напряжение переменного тока или напряжение постоянного тока, В ( Примечания 1 и 5) | | Разделительное расстояние через заливочный компаунд, мм | Разделительное расстояние через твердую изоляцию, мм | | | Минимальный сравнительный индекс трекингостойкости (СИТ) |
| III | I/II | I/II/III | I/II/III | III | I/II | I/II/III |
10 | 0,50 | 0,20 | 0,20 | 0,20 | 0,50 | 0,20 | 0,20 | - |
50 | 100 |
100 | 1,50 | 0,32 | 0,75 | 0,32 |
150 | 3,00 | 1,30 | 1,50 | 0,65 | 175 |
300 | 5,50 | 3,20 | 2,75 | 1,60 |
600 | 8,00 | 6,40 | 4,00 | 3,20 | 275 |
Примечания 1 Скачки напряжения - на основе серии R10. Фактическое рабочее напряжение может превышать приведенное в таблице значение на 10%. 2 Включая компоненты и части печатной платы. 3 Категория перенапряжения - в соответствии с [7]. 4 Тип покрытия в соответствии с [4]. 5 Включая повторяющееся максимальное напряжение, например, для преобразователей постоянного тока, напряжение переходного процесса не учитывают. |
Таблица F.2
Электрические зазоры, пути утечки и разделения для уровня
"ic" при применении защиты от загрязнения оболочкой
или с помощью специальных условий монтажа
1 | 2 | 3 | 4 | 5 | 6 | 7 |
Напряжение (максимальное значение), В | Электрический зазор, мм | Разделительное расстояние через заливочный компаунд, мм | Разделительное расстояние через твердую изоляцию, мм | Длина пути утечки, мм | Длина пути утечки под покрытием, мм | Сравнительный индекс трекингостойкости (СИТ) |
90 | 0,40 | 0,15 | 0,15 | 1,25 | 0,30 | 100 |
190 | 0,50 | 0,30 | 0,30 | 1,50 | 0,40 | 175 |
375 | 1,25 | 2,50 | 0,85 |
> 375 | * | * | * | * | * | * |
Примечания 1 Для зазоров с пометкой "-" дополнительные требования не применяются; "*" - значения зазоров до настоящего времени не определены 2 Подтверждение соответствия требованиям к СИТ для изоляционных материалов должен представить изготовитель. |
Для печатных плат, реле и оптронов, когда степень загрязнения 2 обеспечена условиями монтажа, оболочкой или покрытием, защищающим от попадания пыли и влаги, могут применяться менее жесткие требования к конструкции данного приложения.
Эти требования применяются в соответствии с
[7] "Выбор изоляции для оборудования в низковольтных системах".
Данные, приведенные в
таблице F.1, действительны для категории перенапряжения I/II/III (силовые/другие цепи), и степени загрязнения два (без конденсации во время работы); они взяты из
[7]. В этом альтернативном методе использован выбор изоляции.
F.2 Управление загрязнением
Если печатные платы или разделительные элементы находятся в условиях степени загрязнения два или менее, применяют уменьшенные зазоры:
- для цепей уровней "ia" и "ib" - в соответствии с
таблицей F.1;
Снижение загрязнения степени два достигается при выполнении следующих условий:
- установка печатных плат или разделительных элементов внутри оболочки, степень защиты которой соответствует условиям эксплуатации и минимально равна IP54 в соответствии с
ГОСТ 14254.
(в ред.
Изменения N 1, введенного в действие Приказом Росстандарта от 21.10.2020 N 881-ст)
Оболочка должна удовлетворять всем требованиям к оболочкам
ГОСТ 31610.0 для оболочек со степенью защиты не менее IP54, или
- применение конформного покрытия типа 1 или типа 2 в соответствии с
[4]; или
- монтаж в контролируемой среде с достаточно низким загрязнением; в этом случае требуемые условия монтажа должны быть дополнительно указаны в документации изготовителя, а знак "X" должен быть добавлен к маркировке согласно
ГОСТ 31610.0.
F.3 Зазоры для печатных плат и разделение элементов
Для цепей уровней "ia" и "ib" зазоры в соответствии с
таблицей F.1 могут применяться в случаях, указанных в
разделе F.1, при условии, что:
- категория перенапряжения цепей должна быть I/II/III (силовые/другие цепи) в соответствии с
[7]. Это требование должно быть дополнительно указано в документации от изготовителя как условие монтажа. Номер сертификата на электрооборудование должен содержать знак "X" согласно требованиям к маркировке
ГОСТ 31610.0. Специальные требования применения, перечисленные в сертификате, должны содержать подробные требования к установке.
Разделения, соответствующие
таблице F.1, считают неповреждаемыми, и они не должны повреждаться до низкого сопротивления. Однако если применяют дублирование элементов (например, два конденсатора, установленные последовательно), разделение менее полного значения, но более или равное половине значения по
таблице F.1, рассматривают как одно учитываемое повреждение. Никакие другие повреждения не допускаются.
Разделения под покрытием, через заливочный компаунд и через твердую изоляцию должны пройти типовые и контрольные испытания в соответствии с
[7] и
[4], а для электрических зазоров и путей утечки типовые или контрольные испытания не требуются. Поскольку контрольные испытания можно проводить только с гальванически разделенными цепями, допускается включать специальные испытательные проводники в конструкцию печатной платы, чтобы подтвердить эффективность метода изготовления (нанесение покрытия, заливка).
Типовые испытания должны проводиться с учетом наиболее неблагоприятных условий окружающей среды, заявленных для оборудования, например максимальной и минимальной температур.
F.3.2 Уровень "ic"
Для цепи уровня "ic" уменьшение разделительных расстояний в соответствии с
таблицей F.2 допускается при выполнении следующих требований:
- если номинальное напряжение рассматриваемого электрооборудования или любой части электрооборудования не превышает максимального значения 60 В, никакие требования к разделительным расстояниям в дополнение к требованиям общих промышленных стандартов не применяются. Электрические зазоры и длина пути утечки электрооборудования с максимумом номинального напряжения от более 60 до 375 В должны соответствовать значениям из
таблицы F.2;
- необходимо предусмотреть внутреннюю или внешнюю защиту электрооборудования, чтобы ограничить цепи до категории перенапряжения II, как указано в
[7].
(обязательное)
ИСКРОБЕЗОПАСНАЯ СИСТЕМА ПОЛЕВОЙ ШИНЫ (FISCO)
ТРЕБОВАНИЯ К ОБОРУДОВАНИЮ
Настоящее приложение содержит подробную информацию о конструкции оборудования с применением искробезопасной системы полевой шины (FISCO), основанной на принципах манчестерского кодирования с питанием от шины, сконструированных в соответствии с
[15], который является стандартом физического уровня для установок с шиной.
На конструкцию оборудования FISCO распространяются требования настоящего стандарта, если настоящим приложением не предусмотрено иначе. Часть полевого устройства FISCO может иметь один из видов взрывозащиты, указанных в стандарте
ГОСТ 31610.0, применимым для использования в соответствующей зоне или при соответствующем уровне защиты оборудования. В этом случае требования настоящего приложения применяются только к той части электрооборудования, которая непосредственно присоединена к искробезопасному магистральному или ответвительному кабелю.
Примечания
1 Сертификация в соответствии с требованиями FISCO не препятствует тому, чтобы устройство также было сертифицировано и маркировано в соответствии с данным стандартом обычным способом, чтобы оно могло использоваться в других системах.
2 Типичная система видов оборудования FISCO показана на рисунке G.1.
1 - оконечное согласующее устройство; 2 - источник питания;
3 - данные; 4 - переносное оконечное согласующее устройство;
5 - полевые устройства; 6 - магистральный кабель;
7 - ответвительный кабель
Рисунок G.1 - Типовая система
G.2 Требования к оборудованию
G.2.1 Общие положения
Конструкция оборудования должна соответствовать требованиям настоящего стандарта, если настоящим приложением не предусмотрено иначе.
В документации оборудования должно быть указано, что оно подходит для применения в системе FISCO согласно
[1].
G.2.2 Источники питания FISCO
G.2.2.1 Общие положения
Источник питания должен иметь либо линейную нагрузочную характеристику с ограниченными параметрами, либо трапециевидную или прямоугольную выходную характеристику. Максимальное выходное напряжение не должно быть в диапазоне от 14 В до 17 В в условиях, определенных в настоящем стандарте для соответствующего уровня защиты.
Максимальные значения внутренней незащищенной емкости Ci и индуктивности Li элементов, не снабженных ограничителями тока или напряжения, должны быть не более 5 нФ и 10 мкГн соответственно.
Выходные цепи источника питания могут быть заземлены.
G.2.2.2 Дополнительные требования к источникам питания уровней "ia" или "ib" FISCO
Максимальный выходной ток Io для любого типа источника питания уровней "ia" или "ib" FISCO должен определяться в соответствии с настоящим стандартом, но не должен превышать 380 мА. Для оценки источников питания с прямоугольной выходной характеристикой можно использовать таблицу G.1.
Таблица G.1
Оценка максимального выходного тока для источников
питания уровней "ia" или "ib" FISCO с прямоугольной
выходной характеристикой
Uo, В | Допустимый ток для II C (с коэффициентом безопасности 1,5), мА | Допустимый ток для II B (с коэффициентом безопасности 1,5), мА |
14 | 183 | 380 |
15 | 133 | 354 |
16 | 103 | 288 |
17 | 81 | 240 |
17,5 | 75 | 213 |
Примечание - Два наибольших значения тока для электрооборудования группы IIB выведены для мощности 5,32 Вт. |
Максимальная выходная мощность P0 не должна превышать 5,32 Вт.
G.2.2.3 Дополнительные требования к источникам питания уровня "ic" FISCO
Максимальный выходной ток I0 для источника питания уровня "ic" FISCO должен определяться в соответствии с настоящим стандартом. Для оценки источников питания уровня "ic" FISCO с прямоугольной выходной характеристикой можно использовать таблицу G.2.
Таблица G.2
Оценка максимального выходного тока для источников питания
уровня "ic" FISCO с прямоугольной выходной характеристикой
Uo, В | Допустимый ток для II C, мА | Допустимый ток для II B, мА |
14 | 274 | 570 |
15 | 199 | 531 |
16 | 154 | 432 |
17 | 121 | 360 |
17,5 | 112 | 319 |
Примечание - Максимальная выходная мощность P0 источников питания "ic" FISCO не ограничивается. |
G.3 Полевые устройства FISCO
G.3.1 Общие положения
Настоящие требования применяются к устройствам, кроме оконечных согласующих устройств источников питания и простого оборудования, подсоединенных к искробезопасной шине, установленной во взрывоопасной зоне или вне взрывоопасной зоны:
a) устройство должно иметь минимальное входное напряжение Ui: 17,5 В;
b) выводы шины должны быть изолированы от земли в соответствии с настоящим стандартом;
c) выводы шины полевых устройств, подключенных к разным источникам питания, должны быть гальванически изолированы в соответствии с настоящим стандартом, чтобы эти выходы оставались пассивными, и исключалось многократное заземление шины;
d) максимальная незащищенная емкость Ci, каждого полевого устройства должна быть не более 5 нФ. Указывать входные и выходные параметры в сертификате или на этикетке не требуется;
e) в нормальных условиях или в условиях неисправности, указанных в настоящем стандарте, выводы шины должны оставаться пассивными, т.е. выводы не должны являться источником энергии для системы, за исключением тока утечки не более 50 мкА;
f) полевым устройствам должен быть присвоен уровень защиты и они должны соответствовать группе электрооборудования I, подгруппам IIC или IIIC или любой комбинации данных групп;
g) полевым устройствам подгруппы IIC, предназначенным для установки во взрывоопасных средах, должен быть присвоен температурный класс. Для устройств для подгруппы IIIC, предназначенных для установки во взрывоопасных средах, должна быть определена максимальная температура поверхности.
G.3.2 Дополнительные требования к полевым устройствам уровней "ia" или "ib" FISCO
Дополнительные требования к полевым устройствам уровней "ia" или "ib" FISCO:
a) минимальные входные параметры полевых устройств должны быть - Ii: 380 мА и Pi 5,32 Вт;
b) внутренняя индуктивность полевых устройств Li должна быть не более 10 мкГн.
G.3.3 Дополнительные требования к полевым устройствам уровня "ic" FISCO
Дополнительным требованием к полевым устройствам уровня "ic" FISCO: внутренняя индуктивность полевых устройств Li должна быть не более 20 мкГн;
G.3.4 Оконечное согласующее устройство
Линейные оконечные согласующие устройства, необходимые для системы, должны включать резисторно-конденсаторную схему, на выходах которой резистор с номиналом не менее 90 Ом соединен последовательно с конденсатором номиналом не более 2,2 мкФ (включая допуски).
Примечание - В
[15] регламентированы требования к значениям элементов, необходимым при эксплуатации.
Оконечное согласующее устройство должно:
a) иметь уровень защиты;
b) соответствовать группе электрооборудования I, IIC или IIIC или комбинации этих групп:
1) полевым устройствам группы IIC, предназначенным для установки во взрывоопасных средах, должен быть присвоен температурный класс;
2) устройствам группы IIIC, предназначенным для установки во взрывоопасных средах, должна быть присвоена максимальная температура поверхности. Если считается, что емкостный элемент (элементы) может не создать короткого замыкания, то номинальная мощность такого резистора должна быть 5,1 Вт;
c) иметь минимальные входные параметры Ui не менее 17,5 В;
d) быть изолировано от земли в соответствии с настоящим стандартом;
e) иметь максимальную незащищенную внутреннюю индуктивность Li не более 10 мкГн.
Примечания
1 Оконечные согласующие устройства могут входить в состав полевых устройств или источников питания.
2 При проведении оценки безопасности считается, что емкость оконечного согласующего устройства Ci не оказывает воздействия на искробезопасные свойства системы.
G.3.5 Простое оборудование
Простое оборудование, используемое в искробезопасной системе, должно соответствовать требованиям настоящего стандарта. Дополнительно общая индуктивность и емкость каждого простого оборудования, подключенного к системе FISCO, должны быть не более 10 мкГн и 5 нФ соответственно.
Примечание - При присвоении температурного класса простому оборудованию в системе уровней "ia" или "ib" нужно учитывать, что максимально допустимая мощность составляет 5,32 Вт. Температурный класс простого оборудования в системе уровня "ic" определяется в нормальном режиме эксплуатации.
Каждая единица электрооборудования должна быть маркирована словом "FISCO", затем должна быть указана функция электрооборудования, то есть источник питания, полевое устройство или оконечное согласующее устройство. Дополнительно каждая единица электрооборудования должна быть маркирована в соответствии с настоящим стандартом, если в настоящем стандарте не предусмотрены изменения. Например, должны быть промаркированы наименование и адрес изготовителя.
Если электрооборудование имеет двойную маркировку, так, что оно может быть использовано как в системе FISCO, так и в традиционной искробезопасной самостоятельной системе, необходимо принять меры, чтобы показать различия между маркировкой FISCO и маркировкой для применения в самостоятельной искробезопасной системе.
В маркировке источников питания FISCO не требуется указывать выходные параметры Uo, Io, Co, Lo, Po и Lo/Ro. В маркировке полевых устройств и оконечных согласующих устройств FISCO не требуется указывать входные и остаточные параметры Ui, Ii, Ci, Li, Pi, и Li/Ri.
G.4.1 Примеры маркировки
a) Источник питания
источник питания FISCO
Um: 250 V
[Ex ia] IIC
John Jones Ltd
SW99 2AJ UK
Тип: DRG OOI
-20 °C <= Ta <= +50 °C
PTB Nr 01A 2341
Серийный номер: 014321
b) полевое устройство
полевое устройство FISCO
Ex ia IIC T4
Paul McGregor plc
GL99 1JA UK
Тип: RWS 001
-20 °C <= Ta <= +60 °C
c) Оконечное согласующее устройство
Оконечное согласующее устройство FISCO
Ex ia IIC T4
James Bond plc
MK45 6BY UK
Тип MI5 007
BAS 01 A 4321
Серийный номер: 012345
d) Полевое устройство с двойной маркировкой
A McTavish plc
GL 98 1BA UK
Тип RWS 002
-20 °C <= Ta <= +60 °C
INERIS 02 A 2345
Серийный номер: 060128
---------------
Полевое устройство FISCO
Ex ia IIC T4---------------
Ex ia IIC T6
Ui: 28 V
Ci: 3 nF
Ii: 200 mA
L
i:

Pi: 1,2 W
(справочное)
ИСПЫТАНИЕ НА ВОСПЛАМЕНЕНИЕ ПОЛУПРОВОДНИКОВЫХ
ИСКРОБЕЗОПАСНЫХ ЦЕПЕЙ
Источники питания являются основной частью любой электрической цепи. Если питание подается к искробезопасным цепям, расположенным в взрывоопасных зонах, то выходные значения параметров источника тока должны быть искробезопасными.
Примечания
1 В настоящем приложении термин "источники питания" является общим понятием. К источникам питания относится искробезопасное оборудование и стабилизаторы тока или цепи оптимизации напряжения в оборудовании.
2 Настоящее приложение рассматривает выходные параметры источника питания только как искробезопасные.
Первоначально искробезопасные источники питания состояли из неповреждаемого трансформатора, выпрямительного диода, сглаживающего конденсатора, за которым следовал токоограничивающий резистор, ограничивающий максимальный выходной ток. За выходное напряжение принимали напряжение на сглаживающем конденсаторе без нагрузки или напряжение на шунтирующих стабилитронах, которые ограничивают максимальное выходное напряжение.
Кривые и таблицы в
приложении A основаны на значениях напряжения, тока, емкости и индуктивности, полученных при испытании на искрообразующем механизме при использовании таких простых цепей источника питания, при отсутствии воспламенений при 400 оборотах на искрообразующем механизме с использованием 4 вольфрамовых проволок с кадмиевым диском. Математически это означает, что при условии, что было 1600 искрений, вероятность воспламенения (на основе количества полученных искрений) на выходных зажимах разомкнутой или замкнутой цепи источника питания менее чем 6,25 x 10
-04. в действительности, из-за колебаний вольфрамовой проволоки на кадмиевом диске и из-за пазов на кадмиевом диске число искрений гораздо больше. Поэтому фактическая вероятность воспламенения ниже.
Основываясь на опытных данных, было получено, что диаграмма логарифма вероятности воспламенения линейно связана с логарифмом тока в цепи (см. рисунок H.1). Согласно требованиям настоящего стандарта источники питания (для уровней "ia" и "ib") считаются соответствующими стандарту только, если они испытаны на искрение при значении тока, в 1,5 раза больше нормального, с испытательной смесью, соответствующей определенной группе.
Рисунок H.1 - Коэффициент безопасности
в зависимости от вероятности воспламенения
На основе связи вероятности воспламенения и тока, указанного выше, такой источник питания имел бы при нормальном токе вероятность воспламенения меньше 1,16 x 10-06.
Подводя итог, источники питания считаются удовлетворительными, если обеспечивается вероятность воспламенения при размыкании и замыкании выходных соединений источника питания менее 1,16 x 10-06.
При дальнейшем развитии конструкции источников питания были введены сложные цепи, которые обеспечивали искробезопасность не только с помощью ограничения тока, напряжения, индуктивности и емкости, но и с помощью искусственного ограничения продолжительности разряда или ограничением напряжения, меняющимся на переключающих контактах. Стандартные испытания с применением искрообразующего механизма стали неудовлетворительными по нескольким причинам:
невозможно увеличивать ток или напряжение в источниках питания для обеспечения необходимого коэффициента безопасности 1,5, так как характеристики цепей в большинстве случаев трудно изменить,
источник не может создавать увеличенный ток или напряжение из-за ограничения в номинальных параметрах его компонентов,
изменения в источнике тока, увеличивающие значения тока или напряжения, изменяют схему синхронизации и следовательно изменяют характеристики цепи.
В таких случаях обычно считалось достаточным обеспечить коэффициент безопасности за счет увеличения чувствительности испытательной газовой смеси, используя цепи в смеси, обеспечивающей коэффициент безопасности 1,5. Данное испытание проводилось с источником питания испытательной газовой смеси с увеличенным коэффициентом безопасности для подтверждения, что не происходит воспламенения при 400 оборотах на искрообразующем механизме, при условии, что вероятность воспламенения менее 6,25 x 10-04. Было допущено, что в нормальных условиях вероятность воспламенения будет менее 1,16 x 10-06.
Несмотря на то, что в некоторых случаях источник питания был испытан с вероятностью воспламенения менее 6,25 x 10-04 в газовой смеси с коэффициентом безопасности 1,5, он не обеспечивал вероятности воспламенения 1,16 x 10-06 в нормальных условиях, потому что источник питания не обеспечивает линейного отношения логарифма вероятности воспламенения к логарифму тока. Это вызвало обеспокоенность, и подобные источники питания не рассматривались как обеспечивающие требуемую вероятность воспламенения при нормальном токе.
Настоящее приложение содержит методы испытания таких сложных цепей питания. Для достижения коэффициента безопасности применяют испытательную газовую смесь с увеличенной чувствительностью (согласно
10.1.3.2).
Необходимо проводить испытания с использованием испытательной газовой смеси с коэффициентом безопасности 1,5, убедившись, что при 400 оборотах не происходит искрений. Данное испытание проводится для подтверждения соответствия обязательным требованиям настоящего стандарта, определенным в
10.1.4.
Необходимо провести дополнительные испытания, чтобы убедиться, что цепь показывает отношение между возможностью воспламенения и коэффициентом безопасности испытательного газа для подтверждения, что при нормальном токе и едином коэффициенте безопасности газа достигается допустимо низкое значение воспламенения 1,16e-06. Проводится испытание источника питания с газовой смесью с коэффициентами безопасности SFx = 1,5, SFy = 2,0, SFz = 2,5. Используется график вероятности воспламенения коэффициента безопасности в двойном логарифмическом масштабе. Подтверждено при испытаниях, что если при данных коэффициентах безопасности не было воспламенений или воспламенения происходили, спад полупроводникового искробезопасного источника питания больше, чем для простых цепей. Также спад полупроводникового искробезопасного источника продолжает увеличиваться, поскольку коэффициент безопасности снижается, гарантируя, что при нормальном токе и едином коэффициенте безопасности, вероятность воспламенения меньше, чем для простой цепи, что меньше 1,16 x 10-06.
Данное приложение подходит для полупроводниковых искробезопасных источников питания по току или напряжению, которые ограничивают или прерывают ток, когда значение тока или напряжения превышает предел, но восстанавливаются достаточно быстро между последовательными замыканиями или размыканиями проволоки и диском искрообразующего механизма, так что они возвращаются к нормальной работе до следующего замыкания или размыкания проволоки. Данное приложение не распространяется на источники питания, которые отключаются на продолжительные периоды, когда значения тока или напряжения превышены. В таких случаях должно использоваться
приложение E.
Источник питания должен быть испытан с использованием искрообразующего механизма в следующих случаях:
a) 400 оборотов с применением испытательной газовой смеси, обеспечивающий коэффициент безопасности 1,5, без наблюдаемых искрений;
b) дополнительные испытания, как предусмотрено в таблице H.1, для гарантии того, что вероятность воспламенения при едином коэффициенте безопасности будет достаточной и ниже, чем для простой цепи.
Таблица H.1
Последовательность испытаний
N | Описание | графа 'x' | графа 'y' | графа 'z' |
| Установленный коэффициент безопасности | 1.5 | 1.67 до 2.0 | 2.0 до 2.5 |
2 | Определение калибровочного значения тока для 24 В 95 мГн контрольной цепи | | | |
3 | Контрольная испытательная смесь | | | |
4 | Ток контрольной цепи | Измерить, используя 24V 95mH контрольной цепи | Измерить, используя 24V 95mH контрольной цепи | Измерить, используя 24V 95mH контрольной цепи |
5 | Полученный коэффициент безопасности (должен быть в диапазоне, определенном в 1) | | | |
| Количество оборотов для испытуемого устройства | 4000 | 400 | 40 |
7 | Количество искрений для числа оборотов, указанных выше | 16000 | 1600 | 160 |
| Испытуемое оборудование, испытанное с количеством оборотов в соответствии с 6 и количеством полученных искрений | Nx | Ny | Nz |
9 | Вероятность, рассчитанная на основе числа воспламенений к числу искрений | | | |
10 | Возможное соответствие | Если Px = 0 или Py = 0, или Pz = 0, испытуемое оборудование соответствует. Если все значения не равны 0, то перейдите к шагу 11 |
11 | Простая цепь (состоящая из лабораторного источника питания и резистора, ограничивающего ток), испытанная как указано в 8, и количество полученных воспламенений | Na | Nb | Nc |
12 | Вероятность, рассчитанная на основе числа воспламенений к числу искрений для простой цепи | | | |
13 | Расчет соответствия | Испытуемое оборудование прошло, если следующие условия выполнены: (log Px) <= (log Pa) или Px <= Pa (log Py - log Px) >= (log Pb - log Pa) или   или  |
Некоторые из газовых смесей, соответствующих для указанных выше испытаний, и соответствующие токи для калибровки, использующие стандартную калибровочную смесь 24 В 95 мГн, приведены в таблице H.2.
Таблица H.2
Коэффициент безопасности, обеспечиваемый несколькими
взрывоопасными испытательными смесями, которые могут быть
Составы взрывоопасных испытательных смесей, %, к объему в воздухе | Ток в калибровочной цепи, mA | Группа и подгруппа электрооборудования |
I | IIA | IIB | IIC |
(8,3 +/- 0,3)% метан | 110 - 111 | 1 | - | - | - |
(5,25 +/- 0,25)% пропан | 100 - 101 | 1,089 - 1,11 | 1 | - | - |
(52 +/- 0,5)% водород | 73 - 74 | 1,49 - 1,52 | 1,35 - 1,38 | - | - |
(48 +/- 0,5)% водород | 66 - 67 | 1,64 - 1,68 | 1,49 - 1,53 | - | - |
(7,8 +/- 0,5)% этилен | 65 - 66 | 1,67 - 1,7 | 1,52 - 1,55 | 1 | - |
(38 +/- 0,5)% водород | 43 - 44 | 2,5 - 2,58 | 2,27 - 2,35 | 1,47 - 1,53 | - |
(21 +/- 2)% водород | 30 - 30,5 | 3,6 - 3,7 | 3,27 - 3,36 | 2,13 - 2,2 | 1 |
(60 +/- 0,5)% водород/(40 +/- 0,5)% кислород | 20 - 21 | 5,23 - 5,55 | 4,76 - 5,05 | 3,09 - 3,3 | 1,42 - 1,53 |
(70 +/- 0,5)% водород/(30 +/- 0,5)% кислород под давлением 0,22 MPa | 15 - 15,3 | - | - | - | 1,96 - 2,03 |
Сокращение ИУ в последовательности испытаний
таблицы H.1 означает испытываемое устройство, которое является источником питания в оборудовании с применяемыми неисправностями в соответствии с уровнем защиты и уставками напряжения и тока на максимальных значениях в пределах допусков компонентов цепи. Коэффициенты безопасности не применяются к току или напряжению, они применяются к испытательным газам.
Там, где последовательность испытаний в
таблице H.1 требует использования простой цепи, будет использоваться лабораторный источник питания с уставкой напряжения на
Uo испытываемого оборудования, током замыкания цепи, ограниченным до
Io испытываемого оборудования с помощью последовательных резисторов, ограничивающих ток, и с низкой индуктивностью.
Таблица H.3 является примером цепи, последовательные испытания которой соответствуют требованиям
таблицы H.1. График данной цепи указан на
рисунке H.1, обозначенный "Pr - таблица H.3 - соответствует". Если график данной цепи сравнить с графиком простой цепи, обозначенным "Pr - простая цепь", он показывает, что при большем количестве воспламенений с более высоким коэффициентом при 1,67 и 2,5, коэффициент безопасности снижается и вероятность воспламенения снижается быстрее, чем для простой цепи и, следовательно, имеет допустимо низкое значение, так как коэффициент безопасности упал бы до единицы.
Таблица H.3
Пример цепи для группы I с характеристиками, показанными
на кривой II,
рисунок H.1 - Соответствует последовательности
N | Описание | графа 'x' | графа 'y' | графа 'z' |
| Установленный коэффициент безопасности | 1,5 | 1,67 до 2,0 | 2,0 до 2,5 |
2 | Определение калибровочного значения тока для 24 В 95 мГн контрольной цепи | | | |
3 | Контрольная испытательная смесь | 52% H2 : 48% воздуха | 48% H2 : 52% воздуха | 38% H2 : 62% воздуха |
4 | Ток контрольной цепи | 73 мА | 66 мА | 44 мА |
5 | Полученный коэффициент безопасности (должен быть в диапазоне, определенном в 1) | Нормальное значение Запись SFx = 0,17609 | Нормальное значение Запись SFy = 0,22272 | Нормальное значение Запись SFz = 0,39794 |
| Количество оборотов для испытуемого устройства | 4 000 | 400 | 40 |
7 | Количество искрений для числа оборотов, указанных выше | 16 000 | 1 600 | 160 |
| Испытуемое устройство, испытанное с количеством оборотов в соответствии с 6 и количеством полученных искрений | Nx = 1 воспламенение | Ny = 9 воспламенений | Nz = 80 воспламенений |
9 | Вероятность, рассчитанная на основе числа воспламенений к числу искрений | Запись Px = -4,20412 | Запись Py = -2,25181 | Запись Pz = -0,30103 |
10 | Возможное соответствие | Px /= 0, Py /= 0, Pz /= 0, перейти к 11 |
11 | Простая цепь (состоящая из лабораторного источника питания и резистора, ограничивающего ток), испытанная как указано в 8, и количество полученных воспламенений | Na = 10 воспламенений | Nb = 3 воспламенения | Nc = 32 воспламенения |
12 | Вероятность, рассчитанная на основе числа воспламенений к числу искрений для простой цепи | Запись Pa = -3,20412 | Запись Pb = -2,72584 | Запись Pc = -0,69897 |
13 | Расчет соответствия | Испытуемое устройство прошло испытание, поскольку: (запись Px) <= (запись Pa)? Да, поскольку -4,20412 < -3,20412 (запись Py - запись Px) >= (запись Pb - запись Pa)? Да, поскольку (-2,25181 + 4,20412 = +1,95231) > (-2,72584 + 3,20412 = +0,47828)  ? Да, поскольку  |
Таблица H.4 является примером цепи, последовательные испытания которой не соответствуют требованиям
таблицы H.1. График данной цепи показан на
рисунке H.1, обозначен "Pr - таблица H.4 - не соответствует". Если график данной цепи сравнить с графиком простой цепи, обозначенным "Pr - простая цепь", то он показывает, что при меньшем количестве воспламенений с более высоким коэффициентом безопасности при 1,67 и 2,56, коэффициент безопасности снижается, и вероятность воспламенения не уменьшается быстрее, чем для простой цепи и, следовательно, она не склоняется (не приближается) к допустимо низкому значению, так как коэффициент безопасности упал бы до единицы.
Таблица H.4
Пример цепи для группы I с характеристиками, показанными
N | Описание | графа 'x' | графа 'y' | графа 'z' |
| Установленный коэффициент безопасности | 1,5 | 1,67 до 2,0 | 2,0 до 2,5 |
2 | Определение калибровочного значения тока для 24 В 95 мГн контрольной цепи | | | |
3 | Контрольная испытательная смесь | 52% H2 : 48% воздуха | 48% H2 : 52% воздуха | 38% H2 : 62% воздуха |
4 | Ток контрольной цепи | 73 мА | 66 мА | 44 мА |
5 | Полученный коэффициент безопасности (должен быть в диапазоне, определенном в 1) | Нормальное значение Запись SFx = 0,17609 | Нормальное значение Запись SFy = 0,22272 | Нормальное значение Запись SFz = 0,39794 |
| Количество оборотов для испытуемого устройства | 4 000 | 400 | 40 |
7 | Количество искрений для числа оборотов, указанных выше | 16 000 | 1 600 | 160 |
| Испытуемое устройство, испытанное с количеством оборотов в соответствии с 6 и количеством полученных искрений | Nx = 6 воспламенений | Ny = 1 воспламенение | Nz = 1 воспламенение |
9 | Вероятность, рассчитанная на основе числа воспламенений к числу искрений | Запись Px = -3,42597 | Запись Py = -3,20412 | Запись Pz = -2,20412 |
10 | Возможное соответствие | Px /= 0, Py /= 0, Pz /= 0, перейти к 11 |
11 | Простая цепь (составленная из лабораторного источника питания и резистора, ограничивающего ток), испытанная как указано в 8, и количество полученных воспламенений | Na = 10 воспламенений | Nb = 3 воспламенения | Nc = 32 воспламенения |
12 | Вероятность, рассчитанная на основе числа воспламенений к числу искрений для простой цепи | Log Pa = -3,20412 | Log Pb = -2,72584 | Log Pc = -0,69897 |
13 | Расчет соответствия | Испытуемое устройство не прошло испытание, поскольку: (log Px) <= (log Py)? Да, потому что -3,42597 < -3,20412 (log Py - log Px) >= (log Pb - log Pa)? Нет, потому что (-3,20412 + 3,42597 = +0,22185) не выше, чем (-2,72584 + 3,20412 = +0,47828)  ? Нет, потому что  не выше, чем  |
(справочное)
ДОПОЛНИТЕЛЬНЫЕ СВЕДЕНИЯ, ПРИМЕНЯЕМЫЕ ДЛЯ ОЦЕНКИ
ОБОРУДОВАНИЯ С УРОВНЕМ ВЗРЫВОЗАЩИТЫ "ic"
Приказом Росстандарта от 21.10.2020 N 881-ст)
Таблица I.1
Раздел, пункт | Наименование раздела/пункта | Применение | Комментарий |
| Область применения | Применяется | - |
| Нормативные ссылки | Применяется | - |
| Термины и определения | Применяется | Для цепей "ic" Ui, Ii, Pi - максимально возможные значения при нормальной работе. U0, I0, P0 определяются при нормальной работе, но с самой неблагоприятной нагрузкой в пределах номинальных значений для каждого случая. Уменьшение максимального напряжения от Um может быть достигнуто за счет применения трансформатора, соответствующего применяемым требованиям настоящего стандарта. Одно и то же оборудование, предназначенное для "ic", а также для "ia" или "ib", может иметь разные параметры для подключения к цепям "ic" по сравнению с подключением к "ia" или "ib". Несмотря на то, что "вид взрывозащиты" один и тот же, только с различными уровнями взрывозащиты оборудования, применяются требования раздела "Комбинации видов взрывозащиты" ГОСТ 31610.0 |
| Классификация искробезопасного и связанного оборудования по группам и температурным классам | Применяется | В то время как "nL" применялся только для Gc, "ic" применяется для Gc и Dc |
| Уровни взрывозащиты электрооборудования и соответствие требованиям в отношении воспламенения |
| Общие требования | Применяется | Размыкание и замыкание цепи "ic", а также замыкание цепи "ic" на землю на выходных клеммах, предназначенных для присоединений, выполняемых на месте эксплуатации, считаются нормальными условиями работы |
| Уровень взрывозащиты "ia" | Не применяется | Устанавливает требования к коэффициентам безопасности и условиям повреждений для "ia" |
| Уровень взрывозащиты "ib" | Не применяется | Устанавливает требования к коэффициентам безопасности и условиям повреждений для "ib" |
| Уровень взрывозащиты "ic" | Применяется | Применяется к коэффициентам безопасности 1.0 без условий повреждений для "ic" |
| Соответствие требованиям в отношении искрового воспламенения | Применяется | - |
| Соответствие требованиям в отношении теплового воспламенения |
| Общие требования | Применяется | Температурные испытания должны проводиться в наиболее неблагоприятных условиях нормальной эксплуатации |
| Температура поверхности малых элементов оборудования группы I и II | Применяется | - |
| Провода внутреннего монтажа для группы I и II | Применяется | Требование обеспечивается проведением испытаний согласно 5.6.1 или применением соответствующих требований по безопасности соответствующих промышленных стандартов |
| Печатные проводники для группы I и II | Применяется | Требование обеспечивается выполнением применимых требований по безопасности соответствующих промышленных стандартов путем предоставления протоколов приемо-сдаточных испытаний, или выполнение требования должно быть проверено проведением испытаний согласно 5.6.1 |
| Температура искробезопасного оборудования и компонентов для группы III | Применяется | Температурная классификация должна основываться на температуре поверхности, подверженной воздействию пыли |
| Простое оборудование | Применяется | - |
| Требования к конструкции оборудования |
| Оболочки | Применяется | - |
| Соединительные устройства для подключения внешних цепей |
| Зажимы | Применяется | Примечание - Как и в случае с "ia" и "ib", в соответствии с требованиями ГОСТ IEC 60079-14 цепи, которые выходят из оборудования через клеммный блок, с входными и выходными параметрами, предоставленными для подключения к клеммному блоку в месте эксплуатации, должны быть выполнены с соблюдением следующих требований: - разделительное расстояние не менее 50 мм между клеммами для цепей "ic" и клеммами, предназначенными для подключения искроопасных цепей; - разделительное расстояние между клеммами не менее 6 мм для гальванически не связанных искробезопасных цепей; - разделительное расстояние не менее 3 мм между клеммами для искробезопасных цепей и заземленными частями, если соединение с землей не было учтено в анализе безопасности. Это требование к разделительным расстояниям отличается от требований, применявшихся для "nL". |
| Электрические разъемы | Применяется | - |
| Определение отношения максимальной внешней индуктивности к сопротивлению (L0/R0) для источника питания с ограниченным сопротивлением | Применяется | - |
| Постоянно подсоединенные кабели | Применяется | - |
| Требования к соединениям и вспомогательному оборудованию для искробезопасного оборудования, расположенного в невзрывоопасной зоне | Применяется | Применяется, за исключением тех защитных цепей, которые используются для таких функций, как зарядка в безопасной зоне. Поскольку неисправности не применяются, дополнительной защиты для работы элементов в пределах номинальных характеристик не используют |
| Разделительные расстояния |
| Общие требования | Применяется | Применяется только к цепи "ic" и защитным компонентам. Когда разделительные расстояния меньше требуемых, они должны быть закорочены, если короткое замыкание может ухудшить искробезопасность. Примечание - Например, цепь "ic", являющаяся искробезопасной, после последнего защитного компонента из примененных, который устанавливает необходимое ограничение по напряжению или току. |
| Разделение токопроводящих частей | Применяется | Применяется только к цепи "ic" и защитным компонентам. Разделительная изоляционная или заземленная металлическая перегородка требуется только для соблюдения требований безопасности соответствующего промышленного стандарта |
| | Применяется | Данное требование применяется только к внешним выводам трансформаторов. Другие конструктивные особенности трансформаторов должны соответствовать применимым требованиям безопасности соответствующих промышленных стандартов |
| | Применяется | Данное требование применимо только к внешним выводам трансформаторов. Примечание - Другие конструктивные особенности трансформаторов должны соответствовать только применимым требованиям безопасности соответствующих промышленных стандартов. Расстояния через твердую изоляцию проводников должны соответствовать значениям таблицы 5. |
| Напряжение между токопроводящими частями | Применяется | Для цепи "ic" влияния переходных процессов рассматриваются только для диодных защитных барьеров, т.к. присутствует соединение с неопределенным оборудованием. Для других вариантов применения "ic" никакой дополнительной оценки влияния переходных процессов не требуется исходя из следующих соображений: - при нормальной работе присутствие взрывоопасной среды маловероятно; - цепь соответствует действующим требованиям безопасности соответствующих промышленных стандартов. Там, где требуется разделение проводящих частей, разделения, которые не соответствуют значениям таблицы 5 или приложения F, могут быть закорочены при выполнении оценки, если это может ухудшить искробезопасность |
| Электрический зазор | Не применяется | Разделительная изоляционная или заземленная металлическая перегородка требуется только для соблюдения требований безопасности соответствующего промышленного стандарта (см. 6.3.2) |
| Пути утечки через заливку компаундом | Применяется | - |
| Пути утечки через твердую изоляцию | Применяется | - |
| Сложные разделения | Применяется | Применяется, за исключением ограничения 1/3 для составных разделений, так как это ограничение основано на соображениях неисправности |
| Пути утечки | Применяется | Применяется, за исключением ограничения 1/3 для составных разделений и ограничений к разделениям выше 1575 В. Разделительная изоляционная или заземленная металлическая перегородка должна соответствовать требованиям безопасности соответствующего промышленного стандарта (см. 6.3.2) |
| Пути утечки по поверхности, покрытой электроизоляционным материалом | Применяется | - |
| Требования к монтажу печатных плат | Применяется | Применяется, за исключением случаев, когда корпус компонента рассматривают как неизолированную часть, находящуюся под напряжением. Например, компонент, установленный над или рядом с дорожками, как определено в перечислении c), не считается подключенным к дорожке |
| Разделение заземленными экранами | Применяется | Если разделительные расстояния до заземленного экрана не соответствуют требуемым разделительным расстояниям до земли, экран должен выдерживать максимально возможный длительно протекающий ток (например, замыкание на землю) |
| Внутренняя проводка | Применяется | - |
| Требования к электрической прочности | Применяется | Применяется, кроме дополнительных испытаний на электрическую прочность в 3 абзаце. Что касается положений 2 абзаца, то они применяются только к изоляции или изоляционным компонентам. Дополнительные диэлектрические испытания не требуются между уровнем защиты "ic" и другими цепями или между отдельными цепями с уровнем взрывозащиты "ic". Данное требование соответствует требованиям, применявшимся к "nL". Примечание - Требования к диэлектрическим испытаниям других стандартов также могут применяться (например, соответствующих промышленных стандартов). |
| Реле | Применяется | Применяется только по отношению к требованиям к реле, которое будет использоваться в пределах его номинальных характеристик. Примечание - Требования к диэлектрической прочности и разделительным расстояниям все еще применяются, так же как и требования безопасности соответствующих промышленных стандартов. |
| Защита от перемены полярности | Применяется | - |
| Заземляющие проводники, разъемы и зажимы | Применяется | Требования к заземлению, указанные в 1 абзаце, применяются только в том случае, если для цепи "ic" необходимо заземление. Требования к заземлению должным образом обеспечиваются применяемыми требованиями безопасности соответствующих промышленных стандартов. Требования, указанные во 2 абзаце, применяются только к уровням взрывозащиты "ia" и "ib". Для уровня взрывозащиты "ic" достаточно одного соединения |
| Герметизация | Применяется | Применяется только в том случае, если герметизация используется для исключения доступа взрывоопасной среды, для сокращения разделительных расстояний или уменьшения воспламеняющей способности горячих компонентов. Условия короткого замыкания не применяются, за исключением случаев, когда разделительные расстояния меньше требуемых значений, что может нарушить искробезопасность (см. приложение D) |
| Требования к элементам, от которых зависит искробезопасность |
| Нагрузка искрозащитных элементов | Применяется | В отношении напряжения и тока этот пункт упрощает требования к номинальным характеристикам защитных компонентов "ic" по сравнению с требованиями к "nL". Примечание - Концепция компонента, имеющего определенный "режим отказа, при котором поддерживается защита" в качестве альтернативы понижения номинальных характеристик (как применялось для "nL"), не существует для "ic". |
| Внутренние соединительные устройства, разъемы плат и элементов | Применяется | Применяется, кроме требований к конструкции, исключающих возможность неправильного подключения к внутренним штекерным соединениям в 1 абзаце, и обрыва цепи в 2 абзаце. Взаимозаменяемость может являться причиной ошибки при подключении к внешним выводам в процессе эксплуатации, что не относится к внутренним соединениям "ic", т.к. обеспечивается контролем производства и надлежащим обращением при эксплуатации. Повреждение соединения на размыкание не применяется, поскольку повреждения для "ic" не рассматриваются. Оба случая не считаются нормальным условием работы (см. 6.5) |
| Предохранители | Применяется | Если цепь "ic" зависит от предохранителя и предохранитель непосредственно подключен к сети, а также предохранитель напрямую подключен к цепи, которая считается подверженной перегрузке или короткому замыканию в нормальном режиме работы (например, розетки или клеммы для подключения в процессе эксплуатации), отключающая способность такого предохранителя основана на предполагаемом токе короткого замыкания источника питания от сети. Диодный защитный барьер может являться примером такого применения, включающего выходные клеммы для подключения в процессе эксплуатации. Считается, что предполагаемый ток короткого замыкания при питании от сети напряжением 250 В составит не более 1500 А |
| Первичные и вторичные элементы и батареи | Применяется | Как для оборудования, так и для связанного оборудования, в состав которого входят не только устройства с уровнем взрывозащиты "ic" (например, оборудование "ic nA" или связанное оборудование "nA [ic]"), параллельное соединение элементов и батарей для "ic" допускается только в цепи "ic" при условии, что искробезопасность не нарушена |
| Полупроводниковые элементы |
| Влияние переходных процессов | Применяется | Для "ic" влияния переходных процессов рассматриваются только для диодных защитных барьеров, т.к. присутствует соединение с неопределенным оборудованием. Для других вариантов применения "ic" никакой дополнительной оценки влияния переходных процессов не требуется исходя из следующих соображений: - при нормальной работе присутствие взрывоопасной среды маловероятно; - цепь соответствует действующим требованиям безопасности соответствующих промышленных стандартов. Примечание - Полупроводники, выступающие в качестве защитных компонентов в цепях "ic", должны также соответствовать другим применимым требованиям настоящего стандарта. |
| Шунты, ограничивающие напряжение | Применяется | Для "ic" влияния переходных процессов рассматриваются только для диодных защитных барьеров, т.к. присутствует соединение с неопределенным оборудованием. Для других вариантов применения "ic" никакой дополнительной оценки влияния переходных процессов не требуется исходя из следующих соображений: - при нормальной работе присутствие взрывоопасной среды маловероятно; - цепь соответствует действующим требованиям безопасности соответствующих промышленных стандартов. Примечание - Полупроводники, выступающие в качестве защитных компонентов в цепях "ic", должны соответствовать применимым требованиям других разделов настоящего стандарта. Для уровня взрывозащиты "ic" одного полупроводника достаточно |
| Последовательные токоограничительные устройства | Применяется | Для уровня взрывозащиты "ic" одного полупроводника достаточно |
| Повреждение элементов, соединений и разделений | Применяется | Применяется, за исключением требований "ia" и "ib" во 2 абзаце и требований к неповреждаемым соединениям в 5 и 6 абзацах |
| Пьезоэлектрические устройства | Применяется | Применяется только в том случае, если пьезоэлектрическая цепь может быть непосредственно закорочена (например, из-за несоответствующих расстояний или искрящих компонентов) (см. 10.7). Примечание - Возможность воздействия на оболочку является условием нормальной эксплуатации и, следовательно, применима к цепи "ic". |
| Электрохимические ячейки для обнаружения газов | Применяется | - |
| Неповреждаемые элементы, блоки элементов и соединения, от которых зависит искробезопасность | Не применяется | Согласно 8.1, требования раздела 8 в целом не распространяются на цепи "ic" |
| Дополнительные требования к специальному электрооборудованию |
| Барьеры безопасности на диодах | Применяется | Для "ic" влияния переходных процессов рассматриваются только для диодных защитных барьеров, т.к. присутствует соединение с неопределенным оборудованием. Примечание - Требования к заземлению относятся к "ic", т.к. ГОСТ IEC 60079-14 установлены требования по заземлению искробезопасных цепей. |
| Оборудование FISCO | Применяется | - |
| Ручные и головные светильники | Применяется | - |
| Типовые проверки и испытания |
| Испытания на искробезопасность | Применяется | Коэффициент безопасности 1.0 применяется для цепей "ic" без условий учитываемых или неучитываемых повреждений |
| Температурные испытания | Применяется | Применяется, за исключением условий, указанных для нелинейных характеристик согласно положениям 1 абзаца, в соответствии с которым требуется обязательное испытание компонентов с нелинейными характеристиками при фактической номинальной температуре окружающей среды. Такой подход к испытаниям не применяется для цепей "ic" и может применяться только в качестве опции |
| Испытание электрической прочности изоляции | Применяется | |
| Определение параметров элементов, имеющих неопределенные характеристики | Применяется | - |
| Испытания элементов и батарей | Применяется | Применяется, за исключением того, что испытания на короткое замыкание следует рассматривать только в точках, внешних по отношению к элементу или батарее, где не соблюдены требуемые разделительные расстояния. Там, где требуется испытание элементов и батарей на предмет повышения температуры, только один образец должен быть подвергнут испытанию |
| Механические испытания |
| Заливочный компаунд | Применяется | Испытания с приложением усилия и на сбрасывание применяются к заливочным компаундам, которые образуют часть оболочки. Поскольку данное воздействие является условием нормальной эксплуатации, следовательно, испытания применяются к "ic" |
| Испытания предохранителей с заливкой компаундом | Применяется | Хотя герметизация плавких предохранителей для "ic", как правило, не требуется, поскольку существует возможность попадания герметика внутрь корпуса плавкого предохранителя, что может препятствовать размыканию предохранителя в нормальных условиях эксплуатации, следовательно, данный пункт применяется к цепям "ic" (также см. 7.3). Примечание - Например, предохранители со стеклянными корпусами. |
| Перегородки | Не применяется | Разделительная изоляционная или заземленная металлическая перегородка требуется только для соблюдения требований безопасности соответствующего промышленного стандарта |
| Испытания искробезопасного оборудования, содержащего пьезоэлектрические устройства | Применяется | Применяется только в том случае, если пьезоэлектрическая цепь может быть непосредственно закорочена (например, из-за несоответствующих расстояний или искрящих компонентов) (см. 7.7). Примечание - Возможность воздействия на оболочку является условием нормальной эксплуатации и, следовательно, применима к цепям "ic". |
| Типовые испытания диодных барьеров и шунтов безопасности | Применяется | Для "ic" влияния переходных процессов рассматриваются только для диодных защитных барьеров, т.к. присутствует соединение с неопределенным оборудованием (см. 7.5.1) |
| Испытания кабеля на растяжение | Применяется | - |
| Испытания трансформаторов | Не применяется | Испытание требуется согласно 8.2.4, положения которого не распространяются на цепи "ic". Примечание - Применяются требования безопасности соответствующих промышленных стандартов. |
| Испытание оптических разделительных устройств | Не применяется | Испытание требуется согласно 8.9.2, положения которого не распространяются на цепи "ic". Примечание - Применяются требования безопасности соответствующих промышленных стандартов. |
| Токопроводящая способность неповреждаемых соединений печатных плат | Не применяется | Испытание требуется согласно 8.8, положения которого не распространяются на цепи "ic" |
| Контрольные проверки и испытания |
| Контрольные испытания диодных барьеров безопасности |
| Барьеры безопасности законченной конструкции | Применяется | Примечание - Съемные вставки, как правило, не нужны для защитных барьеров уровня взрывозащиты "ic". |
| Диоды для двухдиодных барьеров уровня "ia" | Не применяется | Испытание требуется только для "ia" |
| Контрольные испытания неповреждаемых трансформаторов | Не применяется | Испытание требуется согласно 8.2.5, положение которого не распространяется на цепи "ic" |
| Маркировка | Применяется | Если необходимо включить маркировку других видов взрывозащиты, указанных в ГОСТ 31610.0, то сначала должен указываться символ "ic" |
| Документация | Применяется | Применяется в том случае, когда для "ic" производителем в предоставленных инструкциях предусмотрено проведение технического обслуживания под напряжением. Последствия этого технического обслуживания под напряжением не нарушают искробезопасность как при нормальных условиях эксплуатации, так и в условиях, которые могут обоснованно рассматриваться как возникающие во время технического обслуживания |
(обязательное) | Оценка искробезопасных электрических цепей | Применяется | - |
(обязательное) | Искрообразующий механизм для испытания искробезопасных цепей | Применяется | - |
(справочное) | Измерение путей утечки, электрических зазоров и разделительных расстояний через заливочный компаунд и твердую изоляцию | | |
(обязательное) | Герметизация | Применяется | Применяется только в том случае, если герметизация используется для исключения доступа взрывоопасной среды, сокращения разделительных расстояний или уменьшения воспламеняющей способности горячих компонентов. Условия короткого замыкания не применяются, за исключением случаев, когда разделительные расстояния меньше требуемых значений, что может нарушить искробезопасность (см. 6.6.2) |
(справочное) | Испытание энергии переходного процесса | | |
(обязательное) | Варианты разделительных расстояний для смонтированных печатных плат и разделение элементов | Применяется | По отношению к трансформаторам применяется только для внешних соединений. Примечание - Другие конструктивные особенности трансформаторов должны соответствовать только действующим требованиям безопасности соответствующего промышленного стандарта. Расстояния через твердую изоляцию проводников должны соответствовать значениям таблицы 5. |
(обязательное) | Искробезопасная система полевой шины (FISCO). Требования к оборудованию | Применяется | - |
(справочное) | Испытание на воспламенение полупроводниковых искробезопасных цепей | | |
| IEC 60079-25 | Explosive atmospheres - Part 25: Intrinsically safe electrical systems (Взрывоопасные среды. Часть 25: Искробезопасные электрические системы) |
| IEC 60079-0:2007 | Explosive atmospheres - Part 0: Equipment - General requirements (Взрывоопасные среды. Часть 0: Оборудование - Общие требования) |
| IEC 60079-0:2011 | Explosive atmospheres - Part 0: Equipment - General requirements (Взрывоопасные среды. Часть 0: Оборудование - Общие требования) |
| IEC 60664-3:2003 | Insulation coordination for equipment within low-voltage systems - Part 3: Use of coating, potting or moulding for protection against pollution (Руководство по выбору изоляции для оборудования в низковольтных системах. Часть 3. Применение покрытия, заливки или формовки для защиты от загрязнения) |
| IEC 61086-1:2004 | Coatings for loaded printed wire boards (conformal coatings) - Part 1: Definitions, classification and general requirements |
| ANSI/UL 248-1 | Low-voltage fuses - Part 1: General requirements (Плавкие предохранители низкого напряжения. Часть 1: Общие требования) |
| IEC 60664-1:2007 | Insulation coordination for equipment within low-voltage systems - Part 1: Principles, requirements and tests (Руководство по выбору изоляции для оборудования в низковольтных системах. Часть 1. Принципы, требования и испытания) |
| UL1642 | Standard for lithium batteries |
| IEC 62133 | Secondary cells and batteries containing alkaline or other non-acid electrolytes - Safety requirements for portable sealed secondary cells, and for batteries made from them, for use in portable applications |
| 60317-3 | Specifications for particular types of winding wires - Part 3: Polyester enamelled round copper wire, class 155 (Технические требования к специальным видам обмоточных проводов. Часть 3. Круглая медная проволока, покрытая полиэфирной эмалью, класс 155) |
| IEC 60317-7 | Specifications for particular types of winding wires - Part 7: Polyimide enamelled round copper wire, class 220 (Технические требования к специальным видам обмоточных проводов. Часть 7: Круглая медная проволока, покрытая полиамидной эмалью, класс 220) |
| IEC 60317-8 | Specifications for particular types of winding wires - Part 8: Polyesterimide enamelled round copper winding wire, class 180 (Технические требования к специальным видам обмоточных проводов. Часть 8. Круглая медная проволока, покрытая полиэфиримидной эмалью, класс 180) |
| IEC 60317-13 | Specifications for particular types of winding wires - Part 13: Polyester or polyesterimide overcoated with polyamide-imide enamelled round copper wire, class 200 (Технические требования к специальным видам обмоточных проводов. Часть 13: Круглая медная проволока с полиэфирным или полиэфиримидным покрытием с полиамид-имидной эмалью, класс 200) |
| IEC 60085 | Electrical insulation - Thermal evaluation and designation (Электрическая изоляция. Классификация по термическим свойствам) IEC |
| IEC 61158-2 | Industrial communication network - Fieldbus specifications - Part 2: Physical layer specification and service definition (Передача цифровых данных для измерения и управления. Шины полевые для систем автоматического регулирования и управления технологическими процессами. Часть 2. Спецификация физического уровня и определение услуг) |
УДК 621.3.002:5:006.354 | | MOD |
Ключевые слова: искробезопасная электрическая цепь, искробезопасное оборудование, связанное оборудование, электрический зазор, длина пути утечки, искрообразующий механизм |