Главная // Актуальные документы // ГОСТ (Государственный стандарт)СПРАВКА
Источник публикации
М.: ФГБУ "Институт стандартизации", 2024
Примечание к документу
Документ
вводится в действие с 01.01.2026.
Название документа
"ГОСТ 21283-2024. Межгосударственный стандарт. Глина бентонитовая для тонкой и строительной керамики. Методы определения показателя адсорбции и емкости катионного обмена"
(введен в действие Приказом Росстандарта от 16.07.2024 N 933-ст)
"ГОСТ 21283-2024. Межгосударственный стандарт. Глина бентонитовая для тонкой и строительной керамики. Методы определения показателя адсорбции и емкости катионного обмена"
(введен в действие Приказом Росстандарта от 16.07.2024 N 933-ст)
Введен в действие
агентства по техническому
регулированию и метрологии
от 16 июля 2024 г. N 933-ст
МЕЖГОСУДАРСТВЕННЫЙ СТАНДАРТ
ГЛИНА БЕНТОНИТОВАЯ ДЛЯ ТОНКОЙ И СТРОИТЕЛЬНОЙ КЕРАМИКИ
МЕТОДЫ ОПРЕДЕЛЕНИЯ ПОКАЗАТЕЛЯ АДСОРБЦИИ
И ЕМКОСТИ КАТИОННОГО ОБМЕНА
Bentonite clay for fine and building ceramics.
Methods for the determination of adsorption index
and cation-exchange capacity
ГОСТ 21283-2024
Дата введения
1 января 2026 года
Цели, основные принципы и общие правила проведения работ по межгосударственной стандартизации установлены
ГОСТ 1.0 "Межгосударственная система стандартизации. Основные положения" и
ГОСТ 1.2 "Межгосударственная система стандартизации. Стандарты межгосударственные, правила и рекомендации по межгосударственной стандартизации. Правила разработки, принятия, обновления и отмены"
1 РАЗРАБОТАН Ассоциацией производителей керамических материалов (АПКМ), Обществом с ограниченной ответственностью "ВНИИСТРОМ "Научный центр керамики" (ООО "ВНИИСТРОМ "НЦК")
2 ВНЕСЕН Техническим комитетом по стандартизации ТК 144 "Строительные материалы и изделия"
3 ПРИНЯТ Межгосударственным советом по стандартизации, метрологии и сертификации (протокол от 30 апреля 2024 г. N 172-П)
За принятие проголосовали:
Краткое наименование страны по МК (ИСО 3166) 004-97 | Код страны по МК (ИСО 3166) 004-97 | Сокращенное наименование национального органа по стандартизации |
Армения | AM | ЗАО "Национальный орган по стандартизации и метрологии" Республики Армения |
Беларусь | BY | Госстандарт Республики Беларусь |
Киргизия | KG | Кыргызстандарт |
Россия | RU | Росстандарт |
Таджикистан | TJ | Таджикстандарт |
Узбекистан | UZ | Узбекское агентство по техническому регулированию |
4
Приказом Федерального агентства по техническому регулированию и метрологии от 16 июля 2024 г. N 933-ст межгосударственный стандарт ГОСТ 21283-2024 введен в действие в качестве национального стандарта Российской Федерации с 1 января 2026 г.
Информация о введении в действие (прекращении действия) настоящего стандарта и изменений к нему на территории указанных выше государств публикуется в указателях национальных стандартов, издаваемых в этих государствах, а также в сети Интернет на сайтах соответствующих национальных органов по стандартизации.
В случае пересмотра, изменения или отмены настоящего стандарта соответствующая информация будет опубликована на официальном интернет-сайте Межгосударственного совета по стандартизации, метрологии и сертификации в каталоге "Межгосударственные стандарты"
Настоящий стандарт устанавливает методы определения показателя адсорбции и емкости катионного обмена бентонитовой глины для тонкой и строительной керамики (далее - бентонитовая глина).
В настоящем стандарте использованы нормативные ссылки на следующие межгосударственные стандарты:
ГОСТ 1770 (ИСО 1042-83, ИСО 4788-80) Посуда мерная лабораторная стеклянная. Цилиндры, мензурки, колбы, пробирки. Общие технические условия
ГОСТ 4204 Реактивы. Кислота серная. Технические условия
ГОСТ 6613 Сетки проволочные тканые с квадратными ячейками. Технические условия
ГОСТ 6709 <1> Вода дистиллированная. Технические условия
--------------------------------
ГОСТ 7032 Глина бентонитовая для тонкой и строительной керамики. Технические условия
ГОСТ 23932 Посуда и оборудование лабораторные стеклянные. Общие технические требования
ГОСТ 25336 Посуда и оборудование лабораторные стеклянные. Типы, основные параметры и размеры
ГОСТ 29251 (ИСО 385-1-84) Посуда лабораторная стеклянная. Бюретки. Часть 1. Общие требования
ГОСТ OIML R 76-1 <2> Государственная система обеспечения единства измерений. Весы неавтоматического действия. Часть 1. Метрологические и технические требования. Испытания
--------------------------------
Примечание - При пользовании настоящим стандартом целесообразно проверить действие ссылочных стандартов и классификаторов на официальном интернет-сайте Межгосударственного совета по стандартизации, метрологии и сертификации (www.easc.by) или по указателям национальных стандартов, издаваемым в государствах, указанных в предисловии, или на официальных сайтах соответствующих национальных органов по стандартизации. Если на документ дана недатированная ссылка, то следует использовать документ, действующий на текущий момент, с учетом всех внесенных в него изменений. Если заменен ссылочный документ, на который дана датированная ссылка, то следует использовать указанную версию этого документа. Если после принятия настоящего стандарта в ссылочный документ на который дана датированная ссылка, внесено изменение, затрагивающее положение, на которое дана ссылка, то это положение применяется без учета данного изменения. Если ссылочный документ отменен без замены, то положение, в котором дана ссылка на него, применяется в части, не затрагивающей эту ссылку.
В настоящем стандарте применены термины по
ГОСТ 7032, а также следующие термины с соответствующими определениями:
3.1 адсорбция: Поглощение газов, паров или жидкостей поверхностным слоем твердого тела или жидкости.
3.2 катионный обмен: Обратимый процесс стехиометрического обмена катионами между двумя контактирующими фазами.
4 Отбор и подготовка проб
Отбор и подготовка лабораторной пробы - по
ГОСТ 7032.
5 Определение показателя адсорбции и емкости катионного обмена с использованием красителя метиленового голубого
5.1 Сущность метода
Метод основан на определении количества метиленового голубого, адсорбировавшегося на 1 г бентонитовой глины.
5.2 Оборудование и материалы
5.2.1 Шкаф сушильный лабораторный или другой, позволяющий автоматически поддерживать температуру (105 +/- 5) °C.
5.2.2 Весы лабораторные, обеспечивающие точность измерения 0,01 г по
ГОСТ OIML R 76-1.
5.2.4 Колба коническая по
ГОСТ 25336, тип Кн, вместимостью 250 см
3.
5.2.6 Пипетки вместимостью 1 см3.
5.2.7 Бюретки вместимостью 25 см
3 с ценой деления 0,05 см
3 по
ГОСТ 29251.
5.2.9 Палочки стеклянные.
5.2.11 Кислота серная по
ГОСТ 4204, раствор 5 моль/дм
3.
5.2.12 Метиленовый голубой, раствор 3 мг/см3.
5.2.14 Фильтры бумажные "синяя лента".
5.3 Подготовка к проведению испытания
5.3.1 Определение влажности метиленового голубого
Три параллельные мерные пробы порошка метиленового голубого навеской по 1 г каждая взвешивают, помещают в бюкс и высушивают при температуре (105 +/- 5) °C в течение (3,0 +/- 0,5) ч в сушильном шкафу до постоянной массы.
Затем бюкс охлаждают в эксикаторе и взвешивают. Влажность метиленового голубого W, %, вычисляют для каждой мерной пробы по формуле

, (1)
где m2 - масса бюкса с порошком до высушивания, г;
m1 - масса бюкса с порошком после высушивания, г;
m - масса порошка метиленового голубого, г.
Влажность метиленового голубого определяют по трем параллельным навескам.
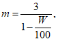
5.3.2 Определение массы навески красителя для приготовления раствора
Массу навески красителя m, г, для приготовления 1 дм3 раствора вычисляют по формуле

(2)
где 3 - масса абсолютно сухого красителя, г;
W - влажность красителя, %.
5.3.3 Приготовление раствора метиленового голубого
Навеску красителя переносят в стакан, приливают 200 - 300 см3 дистиллированной воды, нагретой до 60 °C - 80 °C, и помешивают стеклянной палочкой. Раствор над нерастворившимся красителем сливают в мерную колбу вместимостью 1000 см3. В стакан снова приливают горячую воду и перемешивают. Раствор сливают в ту же мерную колбу. Операцию повторяют до полного растворения красителя. Раствор в мерной колбе охлаждают до температуры (20 +/- 3) °C, доливают водой до метки и тщательно перемешивают. Хранят раствор в защищенном от света месте при температуре (20 +/- 3) °C.
Концентрация полученного раствора - 3 мг/см3.
5.3.4 Приготовление раствора серной кислоты
Для приготовления раствора серной кислоты 5 моль/дм3 в мензурку предварительно помещают 50 - 60 см3 воды. После этого берут 14 см3 серной кислоты (плотность 1,84 г/см3) и осторожно приливают в стакан. Раствор охлаждают до температуры (20 +/- 3) °C и содержимое стакана доливают водой до 100 см3.
Лабораторную пробу бентонитовой глины пропускают через сито N 01 и высушивают в сушильном шкафу до постоянной массы при температуре (105 +/- 5) °C в течение (3,0 +/- 0,5) ч.
Мерную пробу высушенной бентонитовой глины массой 0,3 г помещают в коническую колбу вместимостью 250 см3, приливают 25 см3 дистиллированной воды и кипятят в течение 2 - 3 мин. Затем колбу с суспензией охлаждают под струей холодной воды и приливают 1 см3 раствора серной кислоты 5 моль/дм3. Перемешивают содержимое колбы взбалтыванием и титруют раствором метиленового голубого, приливая примерно через 20 с по 1 см3 раствора красителя. После добавления каждой порции красителя содержимое колбы интенсивно перемешивают взбалтыванием и тонкой стеклянной палочкой наносят каплю суспензии на фильтр "синяя лента". Если в суспензии отсутствует свободный краситель, на фильтре остается пятно окрашенных частиц. Когда в суспензии появляется избыток красителя, вокруг темного пятна капли на фильтре появляется голубой ореол.
Содержимое колбы перемешивают еще 2 мин, наносят каплю суспензии на фильтр. Если через 2 мин голубой ореол исчезнет, титрование продолжают. Титрование считают законченным, если голубой ореол вокруг капли не исчезает после 2-минутного перемешивания. Отмечают объем раствора метиленового голубого, израсходованный на титрование.
Для точного определения показателя адсорбции проводят повторное определение, добавляя метиленовый голубой вблизи конечной точки титрования порциями по 0,5 см3.
5.5 Обработка результатов
5.5.1 Показатель адсорбции бентонитовой глины A, мг/г, вычисляют по формуле

, (3)
где C - концентрация раствора метиленового голубого, мг/см3;
V - объем раствора метиленового голубого, израсходованный на титрование, см3;
m3 - масса навески бентонитовой глины, г.
Показатель адсорбции бентонитовой глины округляют до целого числа.
5.5.2 Емкость катионного обмена бентонитовой глины E, мг-экв. на 100 г сухой бентонитовой глины, вычисляют по формуле

, (4)
где A - показатель адсорбции, мг/г;
319,9 - миллиграмм-эквивалентная масса метиленового голубого, мг.
Показатель емкости катионного обмена бентонитовой глины округляют до целого числа.
5.5.3 Допускаемые расхождения между результатами двух параллельных определений не должны превышать 5 мг/г. Если расхождения между результатами двух параллельных определений превышают указанные значения, определение повторяют.
5.5.4 За результат испытания принимают среднее арифметическое значение результатов параллельных определений.
6 Определение показателя адсорбции и емкости катионного обмена с использованием красителя метилового фиолетового
6.1 Сущность метода
Метод основан на определении количества метилового фиолетового, адсорбировавшегося на 1 г бентонитовой глины.
6.2 Оборудование и материалы
6.2.1 Шкаф сушильный лабораторный, позволяющий поддерживать температуру (105 +/- 5) °C.
6.2.2 Весы лабораторные, обеспечивающие точность измерения 0,01 г по
ГОСТ OIML R 76-1.
6.2.4 Колба коническая по
ГОСТ 25336, тип Кн, вместимостью 250 см
3.
6.2.6 Стаканы по
ГОСТ 25336, вместимостью 400 см
3.
6.2.7 Пипетки вместимостью 1 см3.
6.2.8 Бюретки вместимостью 25 см
3 с ценой деления 0,05 см
3 по
ГОСТ 29251.
6.2.9 Палочки стеклянные.
6.2.11 Кислота серная по
ГОСТ 4204, раствор 5 моль/дм
3.
6.2.12 Метиловый фиолетовый, раствор 3 мг/см3.
6.2.14 Фильтры бумажные "синяя лента".
6.3 Подготовка к проведению испытания
6.3.1 Влажность метилового фиолетового определяют по
5.3.1.
6.3.2 Раствор метилового фиолетового готовят по
5.3.2 и
5.3.3.
6.3.3 Раствор серной кислоты готовят по
5.3.4.
6.3.4 Лабораторную пробу бентонитовой глины готовят по
5.4.
6.4 Проведение испытания
Мерную пробу высушенной бентонитовой глины массой 0,3 г помещают в коническую колбу вместимостью 250 см3, приливают 25 см3 дистиллированной воды и кипятят в течение 2 - 3 мин. Затем колбу с суспензией охлаждают под струей холодной воды и приливают одну каплю раствора серной кислоты 5 моль/дм3. Перемешивают содержимое колбы взбалтыванием и титруют раствором метилового фиолетового, приливая примерно через 20 с по 1 см3 раствора красителя. После добавления каждой порции красителя содержимое колбы интенсивно перемешивают взбалтыванием и тонкой стеклянной палочкой наносят каплю суспензии на фильтр "синяя лента". Пока в суспензии отсутствует свободный краситель, на фильтре остается пятно окрашенных частиц. Как только в суспензии появляется избыток красителя, вокруг темного пятна капли на фильтре обнаруживается лиловый ореол.
Содержимое колбы перемешивают еще 2 мин, наносят каплю суспензии на фильтр. Если через 2 мин лиловый ореол исчезнет, титрование продолжают. Титрование считают законченным, если лиловый ореол вокруг капли не исчезает после 2-минутного перемешивания. Отмечают объем раствора метилового фиолетового, израсходованный на титрование.
Для точного определения показателя адсорбции проводят повторное определение, добавляя метиловый фиолетовый вблизи конечной точки титрования порциями по 0,5 см3.
6.5 Обработка результатов
Обработку результатов проводят по
5.5.
УДК 666.32:543.06:006.354 | |
Ключевые слова: методы испытаний, титрование, показатель адсорбции, емкость катионного обмена, бентонитовая глина |