Главная // Актуальные документы // ГОСТ Р (Государственный стандарт)СПРАВКА
Источник публикации
В данном виде документ опубликован не был.
Первоначальный текст документа опубликован в издании
М.: Стандартинформ, 2020.
Информацию о публикации документов, создающих данную редакцию, см. в справке к этим документам.
Примечание к документу
Название документа
"ГОСТ Р 66.0.01-2017. Национальный стандарт Российской Федерации. Оценка опыта и деловой репутации субъектов предпринимательской деятельности. Национальная система стандартов. Общие положения, требования и руководящие принципы"
(утв. и введен в действие Приказом Росстандарта от 21.11.2017 N 1795-ст)
(ред. от 30.12.2022)
"ГОСТ Р 66.0.01-2017. Национальный стандарт Российской Федерации. Оценка опыта и деловой репутации субъектов предпринимательской деятельности. Национальная система стандартов. Общие положения, требования и руководящие принципы"
(утв. и введен в действие Приказом Росстандарта от 21.11.2017 N 1795-ст)
(ред. от 30.12.2022)
Утвержден и введен в действие
по техническому регулированию
и метрологии
от 21 ноября 2017 г. N 1795-ст
НАЦИОНАЛЬНЫЙ СТАНДАРТ РОССИЙСКОЙ ФЕДЕРАЦИИ
ОЦЕНКА ОПЫТА И ДЕЛОВОЙ РЕПУТАЦИИ СУБЪЕКТОВ
ПРЕДПРИНИМАТЕЛЬСКОЙ ДЕЯТЕЛЬНОСТИ
НАЦИОНАЛЬНАЯ СИСТЕМА СТАНДАРТОВ
ОБЩИЕ ПОЛОЖЕНИЯ, ТРЕБОВАНИЯ И РУКОВОДЯЩИЕ ПРИНЦИПЫ
Evaluation of experience and business reputation
of enterprises. The national system of standards. General
principles, requirements and guidelines
ГОСТ Р 66.0.01-2017
| | Список изменяющих документов Росстандарта от 28.12.2021 N 1868-ст, Росстандарта от 30.12.2022 N 1735-ст) | |
Дата введения
1 мая 2018 года
1 РАЗРАБОТАН Некоммерческим партнерством "Национальный ситуационный центр развития саморегулирования "Специальный Ресурс" (НП "Национальный центр "СпецРесурс"), Союзом организаций строительной отрасли "Строительный Ресурс" (Союз "Строительный Ресурс"), Обществом с ограниченной ответственностью "Единый исследовательский центр экспертизы и аттестации" (ООО "ЕИЦЭА"), Акционерным обществом "Институт деловой репутации" (АО "Институт деловой репутации")
2 ВНЕСЕН Техническим комитетом по стандартизации ТК 066 "Оценка опыта и деловой репутации предприятий"
3 УТВЕРЖДЕН И ВВЕДЕН В ДЕЙСТВИЕ
Приказом Федерального агентства по техническому регулированию и метрологии от 21 ноября 2017 г. N 1795-ст
5 ПЕРЕИЗДАНИЕ. Июнь 2020 г.
Правила применения настоящего стандарта установлены в статье 26 Федерального закона от 29 июня 2015 г. N 162-ФЗ "О стандартизации в Российской Федерации". Информация об изменениях к настоящему стандарту публикуется в ежегодном (по состоянию на 1 января текущего года) информационном указателе "Национальные стандарты", а официальный текст изменений и поправок - в ежемесячном информационном указателе "Национальные стандарты". В случае пересмотра (замены) или отмены настоящего стандарта соответствующее уведомление будет опубликовано в ближайшем выпуске ежемесячного информационного указателя "Национальные стандарты". Соответствующая информация, уведомление и тексты размещаются также в информационной системе общего пользования - на официальном сайте Федерального агентства по техническому регулированию и метрологии в сети Интернет (www.gost.ru)
(раздел 1 в ред.
Изменения N 2, утв. Приказом Росстандарта от 30.12.2022 N 1735-ст)
Настоящий стандарт устанавливает общие положения, требования к разработке и структуре национальных стандартов в области оценки опыта и деловой репутации субъектов предпринимательской деятельности и является базовым в национальной системе стандартов в области оценки опыта и деловой репутации субъектов предпринимательской деятельности.
Настоящий стандарт определяет типовую модель, методологию и порядок выполнения работ по оценке опыта и деловой репутации субъектов предпринимательской деятельности.
Настоящий стандарт не может быть применен для расчета индекса деловой репутации и не может быть указан в сертификате соответствия и приложении к нему в качестве документа, на соответствие которому осуществляют оценку опыта и деловой репутации субъектов предпринимательской деятельности.
В настоящем стандарте использованы нормативные ссылки на следующие документы:
Ссылка исключена с 01.03.2022. -
Изменение N 1, утв. Приказом Росстандарта от 28.12.2021 N 1868-ст
--------------------------------
<1> Сноска исключена с 01.03.2022. -
Изменение N 1, утв. Приказом Росстандарта от 28.12.2021 N 1868-ст.
Ссылка исключена с 01.03.2022. -
Изменение N 1, утв. Приказом Росстандарта от 28.12.2021 N 1868-ст.
--------------------------------
<2> Сноска исключена с 01.03.2022. -
Изменение N 1, утв. Приказом Росстандарта от 28.12.2021 N 1868-ст.
ГОСТ Р ИСО/МЭК 17065 Оценка соответствия. Требования к органам по сертификации продукции, процессов и услуг
(ссылка введена
Изменением N 1, утв. Приказом Росстандарта от 28.12.2021 N 1868-ст)
Ссылка исключена с 01.02.2023. -
Изменение N 2, утв. Приказом Росстандарта от 30.12.2022 N 1735-ст.
ГОСТ Р ИСО 3534-1 Статистические методы. Словарь и условные обозначения. Часть 1. Общие статистические термины и термины, используемые в теории вероятностей
(ссылка введена
Изменением N 1, утв. Приказом Росстандарта от 28.12.2021 N 1868-ст)
ОК 029 (КДЕС Ред. 2) Общероссийский классификатор видов экономической деятельности (ОКВЭД 2)
ОК 034 (КПЕС 2008) Общероссийский классификатор продукции по видам экономической деятельности (ОКПД 2)
Примечание - При пользовании настоящим стандартом целесообразно проверить действие ссылочных стандартов и классификаторов в информационной системе общего пользования - на официальном сайте Федерального агентства по техническому регулированию и метрологии в сети Интернет или по ежегодному информационному указателю "Национальные стандарты", который опубликован по состоянию на 1 января текущего года, и по выпускам ежемесячного информационного указателя "Национальные стандарты" за текущий год. Если заменен ссылочный документ, на который дана недатированная ссылка, то рекомендуется использовать действующую версию этого документа с учетом всех внесенных в данную версию изменений. Если заменен ссылочный документ, на который дана датированная ссылка, то рекомендуется использовать версию этого документа с указанным выше годом утверждения (принятия). Если после утверждения настоящего стандарта в ссылочный документ, на который дана датированная ссылка, внесено изменение, затрагивающее положение, на которое дана ссылка, то это положение рекомендуется применять без учета данного изменения. Если ссылочный документ отменен без замены, то положение, в котором дана ссылка на него, рекомендуется применять в части, не затрагивающей эту ссылку.
(в ред.
Изменения N 1, утв. Приказом Росстандарта от 28.12.2021 N 1868-ст,
Изменения N 2, утв. Приказом Росстандарта от 30.12.2022 N 1735-ст)
3.1 опыт и деловая репутация субъекта предпринимательской деятельности (деловая репутация): Совокупность характеристик, которая определяет оценку деятельности юридического лица или индивидуального предпринимателя с точки зрения их деловых качеств, включая наличие у них финансовых ресурсов, оборудования и других материальных ресурсов, опыта работы и репутации, специалистов и иных работников определенного уровня квалификации.
3.2 субъекты предпринимательской деятельности: Зарегистрированные в установленном законодательством порядке индивидуальные предприниматели или юридические лица, деятельность которых прямо или косвенно направлена на получение прибыли.
3.3 национальная система стандартов по оценке опыта и деловой репутации (система стандартов): Совокупность национальных стандартов и стандартов организаций, зарегистрированных в установленном порядке в Федеральном информационном фонде стандартов, объектом стандартизации которых является оценка опыта и деловой репутации субъектов предпринимательской деятельности.
(п. 3.3 в ред.
Изменения N 2, утв. Приказом Росстандарта от 30.12.2022 N 1735-ст)
3.4 заявитель: Субъект предпринимательской деятельности, который для подтверждения соответствия требованиям системы стандартов обращается в орган по сертификации за получением сертификата соответствия и приложения к нему, подтверждающего индекс деловой репутации.
(п. 3.4 в ред.
Изменения N 2, утв. Приказом Росстандарта от 30.12.2022 N 1735-ст)
3.5 личное дело: Совокупность документов, собранных органом по сертификации в ходе проведения оценки соответствия, служащих основой для подготовки итогового отчета и подтверждающих обоснованность индекса деловой репутации.
(в ред.
Изменения N 1, утв. Приказом Росстандарта от 28.12.2021 N 1868-ст,
Изменения N 2, утв. Приказом Росстандарта от 30.12.2022 N 1735-ст)
3.6 отчет о сертификации: Документ, содержащий информацию о результатах проведенной работы по сертификации опыта и деловой репутации.
(в ред.
Изменения N 1, утв. Приказом Росстандарта от 28.12.2021 N 1868-ст)
3.7 индекс деловой репутации: Целое числовое значение в интервале от 0 до 100, присваиваемое заявителю по результатам работы по оценке соответствия требованиям системы стандартов, в зависимости от конкретных видов экономической деятельности субъекта предпринимательской деятельности.
Примечание - В случае если результатом расчета индекса деловой репутации является нецелое число, оно округляется к ближайшему целому математическим методом.
3.8 орган по сертификации: Юридическое лицо или индивидуальный предприниматель, аккредитованные в соответствии с законодательством Российской Федерации об аккредитации в национальной системе аккредитации для выполнения работ по оценке соответствия требованиям системы стандартов.
3.9 эксперт: Специалист, обладающий компетентностью для выполнения работ по оценке соответствия требованиям системы стандартов.
3.10 финансовый аудитор: Физическое лицо, получившее квалификационный аттестат аудитора и являющееся членом одной из саморегулируемых организаций аудиторов, сведения о котором внесены в реестр аудиторов и аудиторских организаций, ведение которого осуществляется Министерством финансов Российской Федерации.
3.11 аудиторская организация: Коммерческая организация, являющаяся членом одной из саморегулируемых организаций аудиторов, сведения о которой внесены в реестр аудиторов и аудиторских организаций, ведение которого осуществляется Министерством финансов Российской Федерации.
3.12 аудитор: Финансовый аудитор или представитель аудиторской организации.
3.13 Исключен с 01.02.2023. -
Изменение N 2, утв. Приказом Росстандарта от 30.12.2022 N 1735-ст.
3.14 выездная экспертиза: Обязательная форма осуществляемой органом по сертификации оценки опыта и деловой репутации субъектов требованиям системы стандартов, связанная с выездом по месту(ам) осуществления деятельности заявителя.
(в ред.
Изменения N 1, утв. Приказом Росстандарта от 28.12.2021 N 1868-ст,
Изменения N 2, утв. Приказом Росстандарта от 30.12.2022 N 1735-ст)
3.15 исследовательская организация: Независимая организация, осуществляющая деятельность по проведению исследований, в том числе научных исследований, по сертифицированной методике, основанной на принципах объективности, достоверности и конфиденциальности.
3.16 Исключен с 01.02.2023. -
Изменение N 2, утв. Приказом Росстандарта от 30.12.2022 N 1735-ст.
3.17 Исключен с 01.02.2023. -
Изменение N 2, утв. Приказом Росстандарта от 30.12.2022 N 1735-ст.
4.1 Система стандартов устанавливает обязательную модель, методологию и требования к оценке опыта и деловой репутации субъектов предпринимательской деятельности в зависимости от вида их экономической деятельности.
(п. 4.1 в ред.
Изменения N 2, утв. Приказом Росстандарта от 30.12.2022 N 1735-ст)
4.2 Объектами оценки соответствия требованиям системы стандартов являются опыт и деловая репутация субъектов предпринимательской деятельности в зависимости от вида их экономической деятельности.
4.3 Исключен с 01.02.2023. -
Изменение N 2, утв. Приказом Росстандарта от 30.12.2022 N 1735-ст.
4.4 Система стандартов обеспечивает:
- проведение объективной оценки опыта и деловой репутации, квалификации субъектов предпринимательской деятельности на основе единого подхода и методологии;
- возможность рейтингования деятельности заявителей или иных заинтересованных лиц на основе индекса деловой репутации организации;
(в ред.
Изменения N 1, утв. Приказом Росстандарта от 28.12.2021 N 1868-ст)
- оптимизацию процесса выбора поставщика (подрядчика, исполнителя) при осуществлении закупок в соответствии с
[3],
[4] и применении показателя "наличие у участников закупки деловой репутации" критерия "квалификация участников закупки" в соответствии с
[9] или в иных случаях выбора поставщика (подрядчика, исполнителя);
(в ред.
Изменения N 2, утв. Приказом Росстандарта от 30.12.2022 N 1735-ст)
- повышение конкурентоспособности организации и получение дополнительных преимуществ за счет формирования положительного имиджа.
5 Руководящие принципы оценки опыта и деловой репутации
5.1 Оценка опыта и деловой репутации субъектов предпринимательской деятельности выполняется при обеспечении объективности и достоверности оценки.
5.2 Выполнение работ по оценке соответствия требованиям системы стандартов базируется на следующих основных принципах:
- добровольность;
- беспристрастность;
- информационная открытость в части правил выполнения работ и результатов оценки;
- объективность и достоверность оценки соответствия;
- воспроизводимость результатов оценки;
- равноправие, справедливость, отсутствие дискриминации и необоснованных ограничений конкуренции по отношению к заявителю;
- поддержание и развитие инновационной деятельности;
- конфиденциальность информации в части неразглашения сведений, полученных в ходе выполнения работ по оценке соответствия, третьим лицам;
- компетентность экспертов и аудиторов.
5.3 Указанные принципы являются основой для выработки требований к оценке опыта и деловой репутации субъектов предпринимательской деятельности в различных видах экономической деятельности.
5.4 Положения настоящего стандарта применяют при организации работ по оценке опыта и деловой репутации субъектов предпринимательской деятельности, при создании систем добровольной сертификации, объектом сертификации которых является опыт и деловая репутация субъектов предпринимательской деятельности.
Органы по сертификации должны применять положения настоящего стандарта при проведении работ по оценке опыта и деловой репутации субъектов предпринимательской деятельности.
(п. 5.4 в ред.
Изменения N 2, утв. Приказом Росстандарта от 30.12.2022 N 1735-ст)
5.5 Выполнение работ по оценке опыта и деловой репутации проводится по инициативе заявителя.
5.6 Оценку опыта и деловой репутации осуществляют путем экспертной оценки. Экспертная оценка основана на учете мнений экспертов и аудиторов, выполняющих работу по оценке соответствия требованиям системы стандартов.
5.7 Экспертная оценка предусматривает документальное удостоверение соответствия объектов оценки требованиям документов национальной системы стандартизации, применение модели и методологии оценки опыта и деловой репутации субъектов предпринимательской деятельности в зависимости от вида их экономической деятельности для расчета индекса деловой репутации.
(п. 5.7 в ред.
Изменения N 2, утв. Приказом Росстандарта от 30.12.2022 N 1735-ст)
5.8 Сертификацию опыта и деловой репутации субъектов предпринимательской деятельности и расчет индекса деловой репутации проводят органы по сертификации, аккредитованные в национальной системе аккредитации и соответствующие
ГОСТ Р ИСО/МЭК 17065.
(п. 5.8 в ред.
Изменения N 2, утв. Приказом Росстандарта от 30.12.2022 N 1735-ст)
5.9 В оценке опыта и деловой репутации заявителя не должны принимать участие эксперты и аудиторы, имеющие заинтересованность в ее результатах, которая может вызвать конфликт интересов.
6 Порядок выполнения работ по оценке опыта и деловой репутации
6.1 В целях оценки соответствия требованиям системы стандартов заявитель обращается за получением сертификата соответствия и приложения к нему в орган по сертификации.
Для проведения сертификации заявитель должен соответствовать следующим минимальным требованиям:
- осуществление заявленного вида экономической деятельности не менее одного года с даты государственной регистрации юридического лица или индивидуального предпринимателя;
- наличие по месту(ам) осуществления деятельности на праве собственности или на ином законном основании, предусматривающем право владения и пользования, помещений, оборудования, технических средств и иных материальных ресурсов, необходимых для выполнения работ в заявленном виде экономической деятельности в соответствии с требованиями нормативных правовых актов и документов по стандартизации;
- наличие в штате по основному месту работы не менее двух работников, участвующих в заявленном на сертификацию виде экономической деятельности;
- наличие соответствующих разрешительных документов (лицензий, разрешений, аккредитаций и др.) на заявленный вид экономической деятельности;
- наличие не менее трех договоров (контрактов) по заявленному на сертификацию виду экономической деятельности, подтвержденных актами выполненных работ (оказанных услуг).
Дополнительные требования к субъектам предпринимательской деятельности могут быть установлены в документах национальной системы стандартизации в области оценки опыта и деловой репутации субъектов предпринимательской деятельности.
(п. 6.1 в ред.
Изменения N 2, утв. Приказом Росстандарта от 30.12.2022 N 1735-ст)
6.2 Орган по сертификации проводит оценку опыта и деловой репутации субъекта предпринимательской деятельности на договорной основе с заявителем.
(в ред.
Изменения N 1, утв. Приказом Росстандарта от 28.12.2021 N 1868-ст,
Изменения N 2, утв. Приказом Росстандарта от 30.12.2022 N 1735-ст)
6.3 Оценка опыта и деловой репутации заявителя проводится на соответствие требованиям, установленным документами национальной системы стандартизации в области оценки опыта и деловой репутации применительно к конкретным видам деятельности организации, заявленным для оценки, в соответствии с
ОК 029.
(п. 6.3 в ред.
Изменения N 2, утв. Приказом Росстандарта от 30.12.2022 N 1735-ст)
6.4 Срок выполнения работ по оценке соответствия требованиям системы стандартов устанавливается правилами системы добровольной сертификации, на соответствие требованиям которых выполняются работы по сертификации, а также условиями договора между заявителем и органом по сертификации, но не может составлять менее двух рабочих дней, без учета времени, связанного с выездом по месту(ам) осуществления деятельности заявителя.
(п. 6.4 в ред.
Изменения N 2, утв. Приказом Росстандарта от 30.12.2022 N 1735-ст)
6.5 Для выполнения работ по оценке опыта и деловой репутации заявитель представляет в орган по сертификации заявление, содержащее следующие сведения:
(в ред.
Изменения N 1, утв. Приказом Росстандарта от 28.12.2021 N 1868-ст,
Изменения N 2, утв. Приказом Росстандарта от 30.12.2022 N 1735-ст)
- для юридического лица: полное и сокращенное (в случае, если имеется) наименование, идентификационный номер налогоплательщика, адрес (место нахождения), номер контактного телефона, адрес электронной почты;
- для индивидуального предпринимателя: фамилия, имя и отчество (в случае, если имеется), данные документа, удостоверяющего его личность, идентификационный номер налогоплательщика, место жительства, номер контактного телефона, адрес электронной почты;
- обозначение и наименование стандарта либо стандартов, на соответствие которым планируется сертификация;
- заявленные для оценки опыта и деловой репутации виды экономической деятельности;
- иные данные и документы (копии документов) в соответствии с требованиями системы стандартов и правилами системы добровольной сертификации;
- исключено с 01.02.2023. -
Изменение N 2, утв. Приказом Росстандарта от 30.12.2022 N 1735-ст.
6.6 Орган по сертификации осуществляет проверку заявления на предмет полноты и достоверности содержащихся в нем сведений с целью определения возможности проведения работ по сертификации.
(в ред.
Изменения N 1, утв. Приказом Росстандарта от 28.12.2021 N 1868-ст,
Изменения N 2, утв. Приказом Росстандарта от 30.12.2022 N 1735-ст)
6.7 По результатам рассмотрения заявления в случае положительного решения о возможности выполнения работ по оценке соответствия орган по сертификации формирует экспертную комиссию в составе не менее чем двух экспертов и одного аудитора.
(в ред.
Изменения N 1, утв. Приказом Росстандарта от 28.12.2021 N 1868-ст,
Изменения N 2, утв. Приказом Росстандарта от 30.12.2022 N 1735-ст)
6.8 В целях проверки достоверности представленных заявителем сведений, а также в целях оценки соответствия заявителя требованиям системы стандартов экспертная комиссия осуществляет выездную экспертизу.
Экспертная комиссия при выездной экспертизе должна подтвердить соответствие заявителя минимальным требованиям по
6.1. При соответствии заявителя минимальным требованиям экспертная комиссия осуществляет оценку опыта и деловой репутации.
(абзац введен
Изменением N 2, утв. Приказом Росстандарта от 30.12.2022 N 1735-ст)
6.9 Оценка опыта и деловой репутации проводится на основе факторной модели с применением установленных в ней коэффициентов весомости. Базовая методология оценки опыта и деловой репутации на основе факторной модели с применением коэффициентов весомости приведена в
приложении А.
(в ред.
Изменения N 2, утв. Приказом Росстандарта от 30.12.2022 N 1735-ст)
6.10 В ходе выполнения работ по сертификации заявителю необходимо обеспечить членам экспертной комиссии беспрепятственный доступ к оригиналам документов, необходимых для оценки опыта и деловой репутации (см.
приложение Б), а также иметь возможность подтвердить достоверность иных представленных для оценки сведений.
(в ред.
Изменения N 1, утв. Приказом Росстандарта от 28.12.2021 N 1868-ст,
Изменения N 2, утв. Приказом Росстандарта от 30.12.2022 N 1735-ст)
В случае отсутствия возможности подтвердить достоверность представленных для оценки опыта и деловой репутации документов и/или сведений (части сведений), указанные данные не учитываются при выполнении работ по сертификации.
(в ред.
Изменения N 1, утв. Приказом Росстандарта от 28.12.2021 N 1868-ст,
Изменения N 2, утв. Приказом Росстандарта от 30.12.2022 N 1735-ст)
6.11 В случае выявления экспертами недостоверных сведений (за исключением технических ошибок, опечаток и т.п.), указанных в заявлении на выполнение работ по сертификации и/или полученных в ходе осуществления выездной экспертизы, процесс сертификации должен быть остановлен.
(в ред.
Изменения N 1, утв. Приказом Росстандарта от 28.12.2021 N 1868-ст,
Изменения N 2, утв. Приказом Росстандарта от 30.12.2022 N 1735-ст)
Органом по сертификации составляется отчет с указанием причин отказа заявителю в сертификации.
(в ред.
Изменения N 1, утв. Приказом Росстандарта от 28.12.2021 N 1868-ст,
Изменения N 2, утв. Приказом Росстандарта от 30.12.2022 N 1735-ст)
6.12 Если по окончании выполнения работ по сертификации установлено, что заявитель представил недостоверную информацию, что повлияло на присвоенное ему значение индекса деловой репутации, орган по сертификации приостанавливает или прекращает действие выданного заявителю сертификата соответствия согласно действующему законодательству.
(в ред.
Изменения N 1, утв. Приказом Росстандарта от 28.12.2021 N 1868-ст,
Изменения N 2, утв. Приказом Росстандарта от 30.12.2022 N 1735-ст)
6.13 В ходе выполнения работ по сертификации экспертная комиссия вправе запросить у заявителя дополнительную информацию, необходимую для выполнения работ, помимо указанной в заявлении и представленной для оценки опыта и деловой репутации.
(в ред.
Изменения N 1, утв. Приказом Росстандарта от 28.12.2021 N 1868-ст,
Изменения N 2, утв. Приказом Росстандарта от 30.12.2022 N 1735-ст)
6.14 По результатам выполнения работ по сертификации экспертная комиссия:
(в ред.
Изменения N 1, утв. Приказом Росстандарта от 28.12.2021 N 1868-ст,
Изменения N 2, утв. Приказом Росстандарта от 30.12.2022 N 1735-ст)
а) формирует личное дело заявителя в соответствии с
приложением Б;
б) оформляет отчет о сертификации в соответствии с
приложением В или отчет с указанием причин отказа в сертификации.
(в ред.
Изменения N 1, утв. Приказом Росстандарта от 28.12.2021 N 1868-ст,
Изменения N 2, утв. Приказом Росстандарта от 30.12.2022 N 1735-ст)
6.15 В процессе работ по сертификации опыта и деловой репутации орган по сертификации может принять решение:
а) о выдаче сертификата соответствия и приложения к нему, содержащих сведения, указанные в
приложении В;
б) об отказе в выдаче сертификата соответствия.
В процессе работ по инспекционному контролю орган по сертификации может принять решение:
а) о подтверждении или изменении значения индекса деловой репутации с выдачей нового приложения к сертификату соответствия;
б) о прекращении действия сертификата соответствия и приложения к нему.
(п. 6.15 в ред.
Изменения N 2, утв. Приказом Росстандарта от 30.12.2022 N 1735-ст)
6.16 В течение срока действия сертификата соответствия и приложения к нему орган по сертификации должен провести инспекционный контроль не менее двух раз, не реже одного раза в год.
Срок проведения инспекционного контроля в первый год действия сертификата соответствия и приложения к нему - не ранее чем через 6 мес, но не позднее чем через 12 мес со дня получения заявителем сертификата соответствия и приложения к нему. Срок проведения инспекционного контроля во второй год - не ранее чем через 18 мес, но не позднее чем через 24 мес со для получения заявителем сертификата соответствия и приложения к нему.
(п. 6.16 в ред.
Изменения N 2, утв. Приказом Росстандарта от 30.12.2022 N 1735-ст)
6.17 Исключен с 01.02.2023. -
Изменение N 2, утв. Приказом Росстандарта от 30.12.2022 N 1735-ст.
6.18 Орган по сертификации должен осуществлять выездные проверки для подтверждения достоверности сведений, необходимых в рамках выполнения работ по инспекционному контролю.
(п. 6.18 в ред.
Изменения N 2, утв. Приказом Росстандарта от 30.12.2022 N 1735-ст)
6.19 Исключен с 01.02.2023. -
Изменение N 2, утв. Приказом Росстандарта от 30.12.2022 N 1735-ст.
6.20 В случае отказа заявителя от проведения инспекционного контроля орган по сертификации обязан признать сертификат соответствия и приложение к нему недействительными.
(п. 6.20 в ред.
Изменения N 2, утв. Приказом Росстандарта от 30.12.2022 N 1735-ст)
6.21 Исключен с 01.02.2023. -
Изменение N 2, утв. Приказом Росстандарта от 30.12.2022 N 1735-ст.
6.22 Исключен с 01.02.2023. -
Изменение N 2, утв. Приказом Росстандарта от 30.12.2022 N 1735-ст.
6.23 В целях обеспечения контроля за проводимыми оценками опыта и деловой репутации субъектов предпринимательской деятельности и применением результатов таких оценок системы добровольной сертификации, органы по сертификации признают Репутационную коллегию при техническом комитете по стандартизации, областью деятельности которого является стандартизация в области оценки опыта и деловой репутации субъектов предпринимательской деятельности, в качестве комиссии по апелляциям.
(п. 6.23 в ред.
Изменения N 2, утв. Приказом Росстандарта от 30.12.2022 N 1735-ст)
7 Модель оценки опыта и деловой репутации
7.1 Для оценки опыта и деловой репутации используется факторная модель.
Каждый фактор рассчитывается по формуле, в основе которой лежат показатели (результаты деятельности исследуемых субъектов).
Методология оценки каждого показателя (результата деятельности), характеризующего опыт и деловую репутацию субъекта предпринимательской деятельности, представлена в
приложении А.
В факторной модели оценка опыта и деловой репутации организации выражается индексом R, который определяют по формуле
R = d1x1 + d2x2 + d3x3 + d4x4 + d5x5 + d6x6, (1)
где d1, d2, d3, d4, d5, d6 - коэффициенты весомости факторов, определяемые по результатам исследований, для которых справедливо следующее d1 + d2 + d3 + d4 + d5 + d6 = 1. Индекс деловой репутации R определяется экспертным путем таким образом, чтобы при x1 = x2 = x3 = x4 = x5 = x6 = 100 максимальное значение индекса деловой репутации R = 100;
x1 - фактор "Финансовые ресурсы", характеризующий эффективность управления движением денежных средств, находящихся в распоряжении субъекта предпринимательской деятельности;
x2 - фактор "Материально-технические ресурсы", характеризующий обеспеченность субъекта предпринимательской деятельности материальными ресурсами, необходимыми для производства и поставки продукции, выполнения работ, оказания услуг;
x3 - фактор "Трудовые ресурсы", характеризующий компетентность специалистов и руководителей субъекта предпринимательской деятельности;
x4 - фактор "Опыт работы", характеризующий продолжительность присутствия (нахождения) субъекта предпринимательской деятельности на рынке по оцениваемому виду экономической деятельности и объем выполненных им работ, оказанных услуг, количество произведенной продукции (товаров);
(в ред.
Изменения N 1, утв. Приказом Росстандарта от 28.12.2021 N 1868-ст)
Примечание - Под рынком подразумевают систему общественных отношений, основанных на соблюдении правовых норм, возникающих между государством, изготовителем и продавцом, исполнителем и потребителем в процессе изготовления, реализации и эксплуатации товаров (продукции), выполнения работ и оказания услуг.
x5 - фактор "Репутация", характеризующий восприятие субъекта предпринимательской деятельности клиентами и обществом в целом;
x6 - фактор "Управление процессами", характеризующий наличие системы менеджмента у субъекта предпринимательской деятельности.
В свою очередь факторы x1 - x6 определяются через субфакторы, которые могут быть рассчитаны с использованием информации, представляемой заявителем.
7.2 Фактор "Финансовые ресурсы" определяют по формуле

(2)
где
d11,
d12,
d13,
- коэффициенты весомости;

и

;
x11 - субфактор "Финансовая автономия";
x12 - субфактор "Финансовая устойчивость";
x13 - субфактор "Рентабельность";

- набор субфакторов, включаемых в стандарты для оценки опыта и деловой репутации субъектов предпринимательской деятельности по группировкам видов экономической деятельности, определенных в соответствии с процедурой, представленной в
разделе 9.
(п. 7.2 в ред.
Изменения N 1, утв. Приказом Росстандарта от 28.12.2021 N 1868-ст)
7.3 Фактор "Материально-технические ресурсы" определяют по формуле

, (3)
где
d21,
d22,
d23,

- коэффициенты весомости,

и

;
x21 - субфактор "Обеспеченность оборотными средствами";
x22 - субфактор "Износ основных средств";
x23 - субфактор "Риск банкротства";

- набор субфакторов, включаемых в стандарты для оценки опыта и деловой репутации субъектов предпринимательской деятельности по группировкам видов экономической деятельности, определенных в соответствии с процедурой, представленной в
разделе 9.
7.4 Фактор "Трудовые ресурсы" определяют по формуле

, (4)
где
d31,
d32,
d33,
d34,

- коэффициенты весомости,

и

;
x31 - субфактор "Стаж работы сотрудников";
x32 - субфактор "Образование сотрудников";
x33 - субфактор "Квалификация сотрудников";
x34 - субфактор "Награды и звания";

- набор субфакторов, включаемых в стандарты для оценки опыта и деловой репутации субъектов предпринимательской деятельности по группировкам видов экономической деятельности, определенных в соответствии с процедурой, представленной в
разделе 9.
7.5 Фактор "Опыт работ" определяют по формуле

, (5)
где
d41,
d42,

- коэффициенты весомости,

и

;
x41 - субфактор "Добросовестность";
x42 - субфактор "Период профессиональной деятельности";

- набор субфакторов, включаемых в стандарты для оценки опыта и деловой репутации субъектов предпринимательской деятельности по группировкам видов экономической деятельности, определенных в соответствии с процедурой, представленной в
разделе 9.
7.6 Фактор "Репутация" определяют по формуле

, (6)
где
d51,
d52,
d53,
d54,

- коэффициенты весомости,

и

;
x51 - субфактор "Цитируемость";
x52 - субфактор "Наличие сайта";
x53 - субфактор "Арбитражная практика";
x54 - субфактор "Отзывы";

- набор субфакторов, в том числе с учетом применения инновационных технологий и реализации инновационной продукции, включаемых в стандарты для оценки опыта и деловой репутации субъектов предпринимательской деятельности по группировкам видов экономической деятельности, определенных в соответствии с процедурой, представленной в
разделе 9.
7.7 Фактор "Управление процессами" определяют по формуле

, (7)
где
d61,
d62,

- коэффициенты весомости,

и

;
x61 - субфактор "Сертифицированная система менеджмента";
x62 - субфактор "Документированное управление качеством";

- набор субфакторов, включаемых в стандарты для оценки опыта и деловой репутации субъектов предпринимательской деятельности по группировкам видов экономической деятельности, определенных в соответствии с процедурой, представленной в
разделе 9.
7.8 Методология оценки опыта и деловой репутации субъекта предпринимательской деятельности и описание субфакторов представлены в
приложении А.
8 Состав объектов стандартизации, структура системы стандартов и их обозначение
8.1 Система стандартов распространяется на оценку опыта и деловой репутации субъектов предпринимательской деятельности в различных сферах экономической деятельности.
8.2 Основными объектами стандартизации системы стандартов являются:
- факторная модель оценки опыта и деловой репутации субъектов предпринимательской деятельности в зависимости от группировок видов экономической деятельности;
- субфакторы и коэффициенты весомости в модели экспертной оценки опыта и деловой репутации субъектов предпринимательской деятельности, устанавливаемые в зависимости от конкретного вида экономической деятельности организации.
8.3 Система стандартов подразделяется на группы стандартов, приведенные в таблице 1.
Таблица 1
Наименование групп стандартов | Номер групп стандартов |
Основные положения, термины и определения, общие требования | 0 |
Оценка опыта и деловой репутации в области строительства | 1 |
Оценка опыта и деловой репутации в области сельского, лесного хозяйства, охоты, рыболовства и рыбоводства | 2 |
Оценка опыта и деловой репутации в области обрабатывающего производства и добычи полезных ископаемых | 3 |
Оценка опыта и деловой репутации в области жилищно-коммунального хозяйства | 4 |
Оценка опыта и деловой репутации в области административной деятельности и сопутствующих дополнительных услуг | 5 |
Оценка опыта и деловой репутации в области транспортировки и хранения | 6 |
Оценка опыта и деловой репутации в области здравоохранения и социальных услуг | 7 |
Оценка опыта и деловой репутации в области торговли оптовой и розничной, ремонта автотранспортных средств и мотоциклов | 8 |
Оценка опыта и деловой репутации в области деятельности гостиниц и предприятий общественного питания | 9 |
Оценка опыта и деловой репутации в области информации и связи | 10 |
Другие | 11 |
Примечание - Иные группы для обозначения стандартов по оценке опыта и деловой репутации субъектов предпринимательской деятельности формируются по другим группировкам видов экономической деятельности, представленным в ОК 029, ОК 034. |
8.4 Обозначение групп стандартов по оценке опыта и деловой репутации субъектов предпринимательской деятельности приведено в таблице 1.
8.5 Обозначение национального стандарта по оценке опыта и деловой репутации субъектов предпринимательской деятельности состоит из:
- буквенного индекса обозначения национальной системы (ГОСТ Р);
- цифр 66;
- разделительной точки;
- цифрового индекса, содержащего номер группы стандартов;
- разделительной точки;
- цифрового индекса, содержащего порядковый номер стандарта в группе;
- тире;
- года принятия стандарта.
9 Требования к разработке стандартов в системе стандартов
9.1 Стандарты в системе стандартов разрабатывают в соответствии с группировками видов экономической деятельности на основе разделов и классов, представленных в
ОК 029,
ОК 034. В общем случае стандарт разрабатывают для вида экономической деятельности субъекта предпринимательства. В случае необходимости при разработке стандартов по оценке опыта и деловой репутации могут использовать подклассы вида экономической деятельности.
9.2 Разработанные стандарты по группировкам видов экономической деятельности должны соответствовать требованиям, изложенным в 9.2.1 -
9.2.3.
9.2.1 В общем случае разработчик (разработчики) национального стандарта по оценке опыта и деловой репутации для любого конкретного вида экономической деятельности должен использовать факторную модель, которая обязательно включает в себя набор факторов, указанных в
разделе 7.
9.2.2 Субфакторы

, их значения и коэффициенты весомости

модели экспертной оценки устанавливают в зависимости от конкретного вида экономической деятельности организации.
9.2.3 Разработка стандарта требует предварительного определения значений каждого субфактора и коэффициента весомости каждого субфактора на основе проведенного исследования по отдельным видам экономической деятельности. Значение коэффициентов весомости субфакторов определяют отдельно для каждой категории субъектов предпринимательской деятельности.
Категория субъектов предпринимательской деятельности определяется в соответствии с
[6],
[7].
9.3 При проведении исследований исследовательские организации должны руководствоваться следующими принципами:
- непредвзятость исследования;
- объективность и системность оценки;
- полнота и достоверность информации;
- репрезентативность выборки;
- научная доказательность;
- конфиденциальность;
- актуальность.
9.3.1 Непредвзятость исследования характеризуется независимостью от субъективных факторов, политических интересов, мнений профессионального сообщества и пристрастий исследовательских организаций.
9.3.2 Объективность и системность оценки подтверждается наличием разработанной, утвержденной и сертифицированной методики проведения исследований.
9.3.3 Принцип полноты и достоверности информации накладывает на исследовательскую организацию требование по использованию только надежной информации, необходимой для формирования максимально приближенной к реальности оценки исследуемого явления.
9.3.4 Выборочная совокупность должна быть репрезентативна (представительна) по количеству и качеству по отношению к генеральной совокупности. Репрезентативность количественная основана на законе больших чисел и означает достаточную численность элементов выборочной совокупности, рассчитываемую по специальным формулам и таблицам. Репрезентативность качественная основана на законе вероятности и означает соответствие (однотипность) признаков, характеризующих элементы выборочной совокупности, по отношению к генеральной совокупности.
9.3.5 Научная доказательность означает использование общепризнанных и зарекомендованных в научном сообществе методов сбора и обработки информации.
9.3.6 Принцип конфиденциальности выражается в требовании не передавать информацию, полученную напрямую от субъекта исследования в процессе сбора, третьим лицам без согласия ее правообладателя.
9.3.7 Принцип актуальности означает, что результаты исследования валидны на момент проведения исследования и на ближайшие два календарных года при условии, что не было существенных экономических, политических, социальных и прочих изменений в исследуемых и смежных секторах экономики. По истечении указанного срока и/или при наступлении подобного события необходимо провести повторное исследование.
9.4 Результатом исследования является отчет о проведенном исследовании, заверенный печатью исследовательской организации, подписью лица, выполняющего обязанности исполнительного органа данной исследовательской организации, а также подписью автора (авторов) исследования с указанием его (их) фамилии, имени, отчества и занимаемой должности в исследовательской организации.
9.5 Отчет о проведенном исследовании должен содержать следующую информацию:
- среднее значение исследуемых признаков;
- максимальное знание исследуемых признаков;
- минимальное знание исследуемых признаков;
- среднеквадратическое отклонение исследуемых признаков.
Все показатели должны быть дифференцированы для каждой категории субъектов предпринимательской деятельности.
9.6 Значения коэффициентов весомости

оцениваются методом экспертных мнений профессионального сообщества конкретной области экономической деятельности. Экспертные мнения должны быть состоятельными.
10 Требования к экспертам в области оценки опыта и деловой репутации субъектов предпринимательской деятельности
10.1 Органы по сертификации, уполномоченные выполнять работы по сертификации в области оценки опыта и деловой репутации субъектов предпринимательской деятельности в соответствующих системах добровольной сертификации, должны отвечать требованиям, установленным законодательством Российской Федерации в сфере аккредитации, и требованиям к органам по сертификации, установленным в соответствующей системе добровольной сертификации.
(в ред.
Изменения N 1, утв. Приказом Росстандарта от 28.12.2021 N 1868-ст,
Изменения N 2, утв. Приказом Росстандарта от 30.12.2022 N 1735-ст)
10.2 Компетентность органа по сертификации должна быть обеспечена наличием экспертов по оценке опыта и деловой репутации субъектов предпринимательской деятельности.
(в ред.
Изменения N 1, утв. Приказом Росстандарта от 28.12.2021 N 1868-ст,
Изменения N 2, утв. Приказом Росстандарта от 30.12.2022 N 1735-ст)
10.3 Эксперты по оценке опыта и деловой репутации субъектов предпринимательской деятельности должны соответствовать следующим минимальным требованиям:
- иметь высшее образование;
- иметь дополнительное профессиональное образование в области оценки опыта и деловой репутации субъектов предпринимательской деятельности, полученное в бюджетном учреждении, имеющем соответствующую лицензию на образовательную деятельность;
(в ред.
Изменения N 2, утв. Приказом Росстандарта от 30.12.2022 N 1735-ст)
Примечание - В стандартах системы стандартов может быть установлено требование о наличии дополнительных экспертов с профильным образованием по конкретному виду экономической деятельности.
- иметь опыт выполнения работ по оценке соответствия не менее трех лет;
- иметь навыки выполнения работ в области оценки опыта и деловой репутации.
Примечание - Навыки следует подтверждать опытом практической деятельности (не менее четырех стажировок) в области оценки опыта и деловой репутации субъектов предпринимательской деятельности в течение всего периода испытательного срока. Испытательный срок не может быть менее трех календарных месяцев.
10.4 Информация об экспертах, привлекаемых к сертификации в области оценки опыта и деловой репутации субъектов предпринимательской деятельности, должна находиться на сайте органа по сертификации в сети Интернет и включать следующие сведения: фамилия, имя, отчество (при наличии), информация об образовании и опыте работы по оценке соответствия.
(п. 10.4 в ред.
Изменения N 2, утв. Приказом Росстандарта от 30.12.2022 N 1735-ст)
(обязательное)
БАЗОВАЯ МЕТОДОЛОГИЯ ОЦЕНКИ ОПЫТА И ДЕЛОВОЙ РЕПУТАЦИИ
СУБЪЕКТА ПРЕДПРИНИМАТЕЛЬСКОЙ ДЕЯТЕЛЬНОСТИ
С ПРИМЕНЕНИЕМ КОЭФФИЦИЕНТОВ ВЕСОМОСТИ
Росстандарта от 30.12.2022 N 1735-ст)
А.1 Весомость факторов может быть изменена в стандарте для конкретных группировок видов экономической деятельности применительно к виду деятельности организации по результатам исследования. Весомость субфакторов также определяется по результатам исследования.
Расчет значений субфакторов определен в
таблице А.2 настоящего приложения.
Каждый фактор оценивается в баллах от 0 до 100.
Оценка некоторых факторов зависит от того, в какой диапазон попадает значение соответствующего показателя.
Границы диапазонов устанавливаются в зависимости от статистических значений показателей, определенных по результатам проведенного исследования, с учетом следующих сведений:
- значения показателей нормально распределены или принцип распределения близок к нормальному;
- границы диапазонов устанавливаются в зависимости от величины стандартного (среднеквадратического) отклонения (СКО);
- в качестве СКО используются округленные значения величины стандартного отклонения;
- количество диапазонов варьируется от двух до восьми в зависимости от полученных значений минимума, максимума, среднего значения и величины стандартного отклонения;
- в случае существенного отклонения функции распределения значений признаков от стандартного в качестве границ диапазонов могут быть использованы границы 12,5%, 25%, 37,5%, 50%, 75% и 87,5% квартилей при условии, что они значимо отличаются от значений [среднего значения минус x·СКО, где x = {1,2,3}].
(в ред.
Изменения N 2, утв. Приказом Росстандарта от 30.12.2022 N 1735-ст)
В таблице А.1 указан пример оценки субфактора в зависимости от того, в какой диапазон попадает значение оцениваемого показателя (признака).
Таблица А.1
Оценка субфактора (балл) | | | | | | | | |
Значение показателя (диапазон) | | | | | | | | |
 - стандартное отклонение;  - среднее значение; Max - максимальное значение; Min - минимальное значение; f(25%) - 25-процентный профиль; f(75%) - 75-процентный профиль;  - количество диапазонов. |
А.2 В таблице А.2 указана методика расчета отдельных субфакторов в составе факторной модели
Обозначение и наименование субфактора | Определение субфактора | Формула расчета |
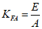
x11 "Финансовая автономия" | Отражает долю активов субъекта предпринимательской деятельности, которые покрываются за счет собственного капитала |  , где E - собственный капитал; A - суммарные активы |
x12 "Финансовая устойчивость" | Отражает, какая часть активов финансируется за счет устойчивых источников, то есть долю тех источников финансирования, которые субъект предпринимательской деятельности может использовать в своей деятельности длительное время |  , где E - собственный капитал; D - долгосрочные обязательства; A - суммарные активы |
x13 "Рентабельность" | Отражает способность субъекта предпринимательской деятельности погашать свои текущие обязательства в случае возникновения сложностей с реализацией продукции, выполнением работ или оказанием услуг | где Gp - прибыль до налогообложения; - средняя величина активов |
(в ред. Изменения N 1, утв. Приказом Росстандарта от 28.12.2021 N 1868-ст, Изменения N 2, утв. Приказом Росстандарта от 30.12.2022 N 1735-ст) |
Позиция исключена с 01.03.2022. - Изменение N 1, утв. Приказом Росстандарта от 28.12.2021 N 1868-ст. |
Позиция исключена с 01.02.2023. - Изменение N 2, утв. Приказом Росстандарта от 30.12.2022 N 1735-ст. |
x22 "Износ основных средств" | Отражает степень физического износа основных средств субъекта предпринимательской деятельности |  , где Sa - сумма износа (амортизации); S - первоначальная стоимость основных средств |
x23 "Риск банкротства" | Отражает способность субъекта предпринимательской деятельности расплачиваться по своим краткосрочным обязательствам при условии благоприятной реализации запасов | где i - запасы и НДС; AL - наиболее ликвидные активы; PS - краткосрочные обязательства; A - суммарные активы |
(в ред. Изменения N 2, утв. Приказом Росстандарта от 30.12.2022 N 1735-ст) |
x31 "Стаж работы сотрудников" | Отражает стаж работы и практический опыт сотрудников субъекта предпринимательской деятельности (руководящий состав и специалисты), непосредственно участвующих в оказании услуг/выполнении работ/поставке товаров по оцениваемому виду деятельности. Примечание - При расчете настоящего субфактора учитывается стаж работы сотрудников в профессиональной деятельности, согласно занимаемой должности у субъекта предпринимательской деятельности. |  , где yPi - стаж работы i-го сотрудника по сертифицируемому виду деятельности в годах; L - количество сотрудников, учитываемых при расчете данного субфактора |
(в ред. Изменения N 1, утв. Приказом Росстандарта от 28.12.2021 N 1868-ст) |
x32 "Образование сотрудников" | Отражает уровень образования сотрудников субъекта предпринимательской деятельности (руководящий состав и специалисты), непосредственно участвующих в оказании услуг/выполнении работ/поставке товаров по оцениваемому виду деятельности | где L - количество сотрудников (руководителей, специалистов), учитываемых при расчете данного субфактора; |
Lo = | | 1 - если i-й сотрудник имеет высшее образование; 0,5 - если образование среднее специальное; 0 - если специальное образование отсутствует |
(в ред. Изменения N 1, утв. Приказом Росстандарта от 28.12.2021 N 1868-ст) |
x33 "Квалификация сотрудников" | Отражает уровень квалификации сотрудников субъекта предпринимательской деятельности (руководящий состав и специалисты), непосредственно участвующих в оказании услуг/выполнении работ/поставке товаров по оцениваемому виду деятельности |  , где Lk - количество сотрудников заявителя, прошедших обучение по программам повышения квалификации и имеющих удостоверение о повышении квалификации или документ, подтверждающий независимую оценку квалификации; L - общее количество сотрудников, учитываемых при расчете данного субфактора |
(в ред. Изменения N 1, утв. Приказом Росстандарта от 28.12.2021 N 1868-ст) |
x34 "Награды и звания" | Отражает наличие у сотрудников субъекта предпринимательской деятельности, непосредственно участвующих в оказании услуг/выполнении работ/поставке товаров по оцениваемому виду деятельности, ученых степеней, правительственных наград и званий за высокое профессиональное мастерство и многолетний добросовестный труд, достижения в области науки и иные заслуги перед государством. В соответствии с [5], [8] | x34 = CN, |
CN = | | 100 - наличие сотрудников (более одного), имеющих ведомственные награды, звания и/или ученые степени по основному виду деятельности организации; 50 - при наличии одного сотрудника, имеющего ведомственные награды, звания и/или ученые степени; 0 - при отсутствии сотрудников, имеющих ведомственные награды, звания и/или ученые степени. |
Объектом оценки в данном случае являются сведения, оригиналы и копии документов сотрудников заявителя (руководителей, специалистов, рабочих), непосредственно участвующих в выполнении работ/оказании услуг/поставке товаров по оцениваемому виду деятельности |
(в ред. Изменения N 1, утв. Приказом Росстандарта от 28.12.2021 N 1868-ст) |
x41 "Добросовестность" | Отражает способность субъекта предпринимательской деятельности надлежащим образом исполнять свои обязательства по заключенным договорам (в соответствии с положениями самого договора и/или в соответствии с действующим законодательством) |  , где DX - количество договоров, выполненных с нарушением договорных обязательств перед заказчиками и контрагентами за последние три года; D - общее количество выполненных договоров за последние три года |
x42 "Период профессиональной деятельности" | Отражает количество лет работы организации-заявителя на рынке по оцениваемому виду деятельности. Примечание - Первым годом деятельности организации признается год заключения первого договора на выполнение работ/оказание услуг/поставку товаров по оцениваемому виду деятельности. | x42 = f(Q), где Q - количество лет работы организации-заявителя на рынке с момента заключения первого договора на выполнение работ/оказание услуг/поставку товаров по оцениваемому виду деятельности. Объектом оценки являются годы существования заявителя, на протяжении которых он в качестве исполнителя, подрядчика и т.п. заключал договоры (не менее одного) на оказание услуг/выполнение работ/поставку товаров по оцениваемому виду деятельности |
(в ред. Изменения N 1, утв. Приказом Росстандарта от 28.12.2021 N 1868-ст) |
x51 "Цитируемость" | Отражает количество сообщений (упоминаний) о субъекте предпринимательской деятельности в средствах массовой информации | x51 = f(CC), где CC - количество упоминаний об организации в средствах массовой информации. Сообщениями (упоминаниями) об организации в средствах массовой информации являются: - публикации, статьи или упоминания об организации в профессиональных отраслевых печатных изданиях, в зависимости от основного вида деятельности организации; - публикации, статьи или упоминания об организации в печатных изданиях, интернет-ресурсах, за исключением социальных сетей, с информацией об успешном выполнении поставки товаров, оказании услуг или выполнении работ заявителем по оцениваемому виду деятельности |
(в ред. Изменения N 1, утв. Приказом Росстандарта от 28.12.2021 N 1868-ст) |
x52 "Наличие сайта" | Отражает наличие у субъекта предпринимательской деятельности сайта в информационно-телекоммуникационной сети Интернет | x52 = CI, где CI = 100 - наличие сайта у организации в информационно-телекоммуникационной сети Интернет; 0 - отсутствие сайта у организации в информационно-телекоммуникационной сети Интернет. На сайте должны быть размещены следующие сведения: - наименование организации; - реквизиты организации; - контактные данные с указанием фактического адреса, телефона и электронной почты; - информация о деятельности организации; - данные о руководстве организации |
x53 "Арбитражная практика" | Отражает количество нарушений договорных обязательств перед заказчиками и контрагентами, установленных решениями судов за все время деятельности субъекта предпринимательской деятельности | x53 = f(U), где U - сумма исков по решению судов, в которых субъект предпринимательской деятельности участвовал в качестве ответчика за последние три календарных года, предшествующих оценке |
x54 "Отзывы" | Отражает количество зафиксированных положительных отзывов и/или благодарностей о работе, связанных с поставкой товара, оказанием услуг или выполнением работ субъектом предпринимательской деятельности, от муниципальных и государственных органов власти | x54 = Cg, |
Cg = | | 100 - при наличии более трех отзывов или благодарностей; 50 - при наличии от одного до трех отзывов или благодарностей; 0 - при отсутствии отзывов и благодарностей |
|
x61 "Сертифицированная система менеджмента" | Отражает наличие действующих сертификатов систем менеджмента у субъекта предпринимательской деятельности, выданных органом по сертификации, аккредитованным в соответствии с законодательством Российской Федерации об аккредитации. Область аккредитации органа по сертификации должна включать оценку соответствия по требованию стандартов системы менеджмента | x61 = CM, |
CM = | | 100 - при наличии сертификатов на систему менеджмента качества, экологии и безопасности труда и охраны здоровья; 75 - при наличии сертификата на систему менеджмента качества и систему экологического менеджмента; 50 - при наличии сертификата только на систему менеджмента качества; 0 - при отсутствии сертификата на систему менеджмента качества |
(в ред. Изменения N 1, утв. Приказом Росстандарта от 28.12.2021 N 1868-ст) |
x62 "Документированное управление качеством" | Отражает подтверждение документированной информации наличием внедренной и поддерживающейся в актуальном состоянии системы менеджмента в субъекте предпринимательской деятельности. Примечание - Подтверждение внедренной и поддерживающейся в актуальном состоянии системы менеджмента в организации осуществляется путем предоставления органу по сертификации, осуществляющему оценку соответствия, документированной информации, содержащей в себе требования системы менеджмента. | x62 = CD, |
CD = | | 100 - при наличии внедренной и поддерживающейся в актуальном состоянии системы менеджмента качества; 0 - при отсутствии системы менеджмента качества |
|
(рекомендуемое)
(в ред.
Изменения N 2, утв. Приказом Росстандарта от 30.12.2022 N 1735-ст)
ПОРЯДОК ФОРМИРОВАНИЯ ЛИЧНОГО ДЕЛА ЗАЯВИТЕЛЯ.
ПЕРЕЧЕНЬ ДОКУМЕНТОВ, НЕОБХОДИМЫХ ДЛЯ ПРОВЕДЕНИЯ РАБОТ
ПО ОЦЕНКЕ ОПЫТА И ДЕЛОВОЙ РЕПУТАЦИИ СУБЪЕКТОВ
ПРЕДПРИНИМАТЕЛЬСКОЙ ДЕЯТЕЛЬНОСТИ
Б.1 Копии документов, полученные в рамках проведения работ по оценке опыта и деловой репутации субъектов предпринимательской деятельности, должны быть сформированы в личном деле в блоках по своему назначению, содержанию и цели представления.
Перечень документов, необходимых для проведения работ по оценке опыта и деловой репутации субъектов предпринимательской деятельности:
Блок 1
Документы, подтверждающие правоспособность заявителя:
- копия свидетельства о государственной регистрации (ОГРН/ОГРНИП);
- копия свидетельства о постановке на учет в налоговом органе (ИНН);
- выписка из Единого государственного реестра (ЕГРЮЛ/ЕГРИП), выданная не ранее 30 календарных дней до даты начала выездной экспертизы;
- копия выписки из реестра членов саморегулируемой организации, членом которой является заявитель (при наличии);
- копия приказа о назначении на должность единоличного исполнительного органа (руководителя);
- копия учредительного договора (при наличии)/решения о создании субъекта предпринимательской деятельности/протокола общего собрания о создании юридического лица;
- копия Устава в действующей редакции;
- копии свидетельств, лицензий, сертификатов и прочих документов, подтверждающих право организации на осуществление оцениваемого вида деятельности (при наличии);
(в ред.
Изменения N 1, утв. Приказом Росстандарта от 28.12.2021 N 1868-ст)
- копия доверенности, подтверждающей полномочия лица, имеющего право действовать от имени заявителя (при необходимости);
- копии иных документов в соответствии с требованиями системы стандартов.
Каждый лист копий документов, представленных в составе Блока 1, должен быть заверен подписью руководителя либо уполномоченного лица и скреплен оттиском печати заявителя.
Блок 2
Документы, подтверждающие наличие, уровень образования и квалификации трудовых ресурсов заявителя:
- копия актуального штатного расписания;
- копия приказа об утверждении/введении в действие штатного расписания;
- копия утвержденной организационной структуры (при наличии);
- копии приказов/распоряжений о приеме/переводе работников на работу;
- копии трудовых договоров;
- копии трудовых книжек (все листы);
- копии дипломов о присуждении ученых степеней (кандидата наук, доктора наук);
- копии дипломов об образовании (среднем профессиональном, бакалавра, специалиста, магистра);
- копии удостоверений о присвоении почетных званий Российской Федерации;
- копии документов, отражающих уровень квалификации сотрудников заявителя (аттестаты о присвоении ученых званий доцента или профессора; удостоверения, свидетельства о повышении квалификации; документ, подтверждающий прохождение независимой оценки квалификации; дипломы о дополнительном образовании; дипломы о профессиональной переподготовке; документы о присвоении ведомственных наград; почетные грамоты и т.п.);
(в ред.
Изменения N 1, утв. Приказом Росстандарта от 28.12.2021 N 1868-ст)
- оригинал справки по
Форме N 1 "Сведения об образовании, квалификации и опыте сотрудников, привлекаемых заявителем с целью выполнения работ/оказания услуг/поставки товаров по оцениваемому виду деятельности";
(в ред.
Изменения N 1, утв. Приказом Росстандарта от 28.12.2021 N 1868-ст)
- копии иных документов в соответствии с требованиями системы стандартов.
Сведения, оригиналы и копии документов предоставляются только на сотрудников (руководителей, специалистов, рабочих) заявителя, непосредственно участвующих в выполнении работ/оказании услуг/поставке товаров по сертифицируемому виду деятельности.
Оригиналы документов, представленных в составе Блока 2, должны быть оформлены на официальном бланке, подписаны руководителем либо уполномоченным лицом и скреплены печатью заявителя.
Каждый лист копии документа, представленного в составе Блока 2, должен быть заверен подписью руководителя либо уполномоченного лица и скреплен оттиском печати заявителя.
Последний лист каждой копии трудовой книжки должен быть заверен следующим образом:
- ниже последней записи в трудовой книжке сотрудника руководителем организации, руководителем отдела кадров или иным уполномоченным лицом заявителя должна быть сделана надпись: "Работает по настоящее время";
- под надписью должны быть проставлены: должность лица, сделавшего надпись, личная подпись с расшифровкой (инициалы, фамилия), дата заверения, печать заявителя.
Блок 3
Документы, подтверждающие наличие опыта работы заявителя по сертифицируемому виду деятельности:
- оригиналы справок по
Форме N 2 "Сведения об опыте выполнения работ/оказания услуг/поставки товаров по оцениваемому виду деятельности";
(в ред.
Изменения N 1, утв. Приказом Росстандарта от 28.12.2021 N 1868-ст)
- копии документов, подтверждающих сведения, указанные в справках по
Форме N 2 (копии договоров; дополнительных соглашений; документов, подтверждающих факт выполнения работ/части работ);
- копии отзывов от органов государственной и муниципальной власти;
- копии иных документов в соответствии с требованиями системы стандартов.
Справки по
Форме N 2 должны быть сформированы отдельно за каждый год деятельности заявителя. Сведения в форме должны быть представлены в обратном хронологическом порядке и отсортированы по дате заключения договоров.
В целях подтверждения наличия опыта работы по оцениваемому виду деятельности заявитель должен указать не менее одного, но не более десяти исполненных договоров по оцениваемому виду деятельности в справке по
Форме N 2 за каждый год, анализируемый экспертами. Экспертная комиссия может самостоятельно выбрать договоры, которые, по ее мнению, наилучшим образом характеризуют имеющийся опыт. Заявитель может включать в справки частично завершенные договоры, обязательно отмечая данный факт.
(в ред.
Изменения N 1, утв. Приказом Росстандарта от 28.12.2021 N 1868-ст)
При этом в каждой справке необходимо указать общий объем выполненных работ/оказанных услуг/поставленных товаров по оцениваемому виду деятельности за анализируемый год, выраженный в тысячах рублей без учета НДС. Заявитель должен иметь возможность подтвердить указанные объемы работ в случае необходимости.
(в ред.
Изменения N 1, утв. Приказом Росстандарта от 28.12.2021 N 1868-ст)
В целях подтверждения сведений, указанных в справках по
Форме N 2, заявитель должен предоставить заверенные в установленном порядке копии договоров, дополнительных соглашений, документов, подтверждающих факт выполнения работ/оказания услуг/поставки товаров по оцениваемому виду деятельности.
(в ред.
Изменения N 1, утв. Приказом Росстандарта от 28.12.2021 N 1868-ст)
Допускается предоставление заверенных в установленном порядке копий отдельных листов перечисленных выше документов.
Предоставление копий отдельных листов перечисленных выше документов допускается только в случае наличия возможности у членов экспертной комиссии удостовериться в полноте и подлинности оригиналов документов.
Представленные копии листов должны содержать следующую информацию: реквизиты договора, предмет договора, стоимость договора, сроки выполнения работ, сведения о подписантах со стороны заказчика и исполнителя, сведения о заказчике и исполнителе, печати и подписи сторон. Документы, подтверждающие факт выполнения работ, должны содержать следующую информацию: реквизиты договора, перечень переданных и принятых заказчиком по договору товаров/работ/услуг, стоимость переданных и принятых заказчиком по договору товаров/работ/услуг, сведения о подписантах со стороны заказчика и исполнителя, сведения о заказчике и исполнителе, печати и подписи сторон.
На основании представленных копий документов у экспертов должна быть возможность сделать однозначный вывод об их ключевых составляющих, являющихся предметом оценки.
Оригиналы документов, представленных в составе Блока 3, должны быть оформлены на официальном бланке, подписаны руководителем либо уполномоченным лицом и скреплены печатью заявителя.
Каждый лист копии документа, представленного в составе Блока 3, должен быть заверен подписью руководителя либо уполномоченного лица и скреплен оттиском печати заявителя.
Блок 4
Судебная практика заявителя:
- оригинал справки по
Форме N 3 "Сведения об участии в судебных разбирательствах";
- копии вступивших в силу решений суда не в пользу заявителя, выступающего в качестве ответчика (третьего лица на стороне ответчика);
- копии иных документов в соответствии с требованиями системы стандартов.
Оригиналы документов, представленных в составе Блока 4, должны быть оформлены на официальном бланке, подписаны руководителем либо уполномоченным лицом и скреплены печатью заявителя.
Каждый лист копии документа, представленного в составе Блока 4, должен быть заверен подписью руководителя либо уполномоченного лица и скреплен оттиском печати заявителя.
Блок 5
Сведения об упоминании заявителя в СМИ:
- оригинал справки по
Форме N 4 "Упоминания в СМИ";
- копии документов, подтверждающих сведения, указанные в
Форме N 4 (копии упоминаний, статей и т.п. на бумажном носителе);
- копии иных документов в соответствии с требованиями системы стандартов.
Оригиналы документов, представленных в Блоке 5, должны быть оформлены на официальном бланке, подписаны руководителем либо уполномоченным лицом и скреплены печатью заявителя.
Каждый лист копии документа, представленного в Блоке 5, должен быть заверен подписью руководителя либо уполномоченного лица и скреплен оттиском печати заявителя.
Блок 6
Документирование сведений об объектах и основных средствах (материально-технической базе) заявителя:
- в рамках проведения выездной экспертизы членам экспертной комиссии необходимо произвести фотографирование производственных, офисных, складских, прочих площадок, объектов и мест осуществления оцениваемого вида деятельности заявителя;
(в ред.
Изменения N 1, утв. Приказом Росстандарта от 28.12.2021 N 1868-ст)
- в рамках проведения выездной экспертизы членам экспертной комиссии необходимо произвести фотографирование техники и оборудования, принадлежащих на законных основаниях заявителю и используемых им для осуществления оцениваемого вида деятельности.
(в ред.
Изменения N 1, утв. Приказом Росстандарта от 28.12.2021 N 1868-ст)
Выезд членов экспертной комиссии для проведения документирования (фотографирование) организует и обеспечивает заявитель.
Фотографии, полученные в процессе сертификации, должны быть распечатаны и включены в личное дело заявителя. Допускается цветная, черно-белая цветность печати, а также печать в градациях серого.
Блок 7
Сведения о системе менеджмента:
- сертификаты системы менеджмента (при наличии);
- приказы о назначении руководителя или руководства по качеству (менеджера по качеству), о разработке и внедрении в организации системы менеджмента;
- документированная информация о системе менеджмента заявителя;
- копии иных документов в соответствии с требованиями системы стандартов.
Документированная информация, содержащая в себе требования системы менеджмента, оформляется в виде единого документа или в виде совокупности документов с учетом следующих основных элементов:
- бизнес-процессы (установление потребностей и ожиданий потребителей и других заинтересованных сторон организации в области качества производимой продукции или услуги и другие);
- политика и цели организации (или выделенной части организации), соответствующие потребностям потребителей (внешних и внутренних);
- необходимые ресурсы и обеспечение ими ответственных за процессы для достижения целей организации (или выделенной части организации);
- методы измерения результативности и эффективности каждого процесса на основе ключевых показателей качества;
- определение механизмов, необходимых для предупреждения несоответствий и устранения их причин, и реализация данных механизмов в процессах системы менеджмента;
- процессы для постоянного улучшения всей системы менеджмента.
Оригиналы документов, представленных в Блоке 7, должны быть оформлены на официальном бланке, подписаны руководителем либо уполномоченным лицом и скреплены печатью заявителя.
Каждый лист копии документа, представленного в Блоке 7, должен быть заверен подписью руководителя либо уполномоченного лица и скреплен оттиском печати заявителя.
Блок 8
Документы, отражающие имущественное и финансовое положение заявителя:
- бухгалтерский баланс за каждый год проверяемого периода;
- отчет о финансовых результатах за каждый год проверяемого периода;
- налоговая декларация по налогу на прибыль за каждый год проверяемого периода;
- налоговая декларация по налогу на добавленную стоимость за каждый квартал всех годов проверяемого периода;
- оборотно-сальдовая ведомость по всем счетам (общая) на 31 декабря каждого года проверяемого периода;
- перечисление исключено с 01.03.2022. -
Изменение N 1, утв. Приказом Росстандарта от 28.12.2021 N 1868-ст;
- анализ счета 68.2 по корреспондирующим субсчетам за каждый квартал каждого года проверяемого периода (к каждой декларации НДС);
- выписка из книги покупок и книги продаж с итоговой строкой (то есть копия последней страницы за каждый квартал проверяемого периода);
- справка об остатках на расчетных счетах на 31 декабря каждого года проверяемого периода;
- уведомление о постановке на учет по месту нахождения обособленных подразделений или недвижимости;
- решения о выплате дивидендов (при наличии);
- справка о фактически осуществляемых видах экономической деятельности в соответствии с
ОК 029;
- инвентарная карточка учета объекта основных средств
ОС - 6;
- инвентарная карточка группового учета основных средств
ОС - 9 (при наличии);
- акт о выявленных дефектах оборудования ОС - 11 (при наличии);
- копии иных документов в соответствии с требованиями системы стандартов.
Оригиналы документов, представленных в Блоке 8, должны быть оформлены на официальном бланке, подписаны руководителем либо уполномоченным лицом и скреплены печатью заявителя.
Каждый лист копии документа, представленного в Блоке 8, должен быть заверен подписью руководителя либо уполномоченного лица и скреплен оттиском печати заявителя.
Б.2 В случае подписания оригиналов документов, заверения копий документов, представленных в
Б.1, уполномоченным лицом необходимо предоставить оригинал документа, подтверждающего полномочия данного лица, имеющего право действовать от имени заявителя, либо копию такого документа, заверенную подписью руководителя и скрепленную оттиском печати заявителя.
Б.3 В случае отсутствия возможности предоставить какой-либо из перечисленных в
Б.1 документов (копию документа) необходимо оформить справку в свободной форме с указанием причин, по которым предоставление документа либо его копии не представляется возможным. Справка должна быть оформлена на официальном бланке, подписана руководителем либо уполномоченным лицом и скреплена печатью заявителя.
Б.4 Рассматриваемым периодом деятельности заявителя для экспертной комиссии является весь срок существования организации. В случае если заявитель присутствует на рынке выполнения работ/оказания услуг/поставки товаров по сертифицируемому виду деятельности более трех календарных лет, рассматриваемым периодом являются три календарных года, предшествующие моменту оценки.
Б.5 Личное дело заявителя должно формироваться в виде подлинника на бумажном носителе и в виде аутентичной копии на электронном носителе.
Б.6 Формы справок для выполнения работ по оценке опыта и деловой репутации.
Росстандарта от 28.12.2021 N 1868-ст)
Наименование заявителя:
___________________________________________________________________________
ИНН (или иной идентификационный номер) заявителя:
___________________________________________________________________________
Сведения об образовании, квалификации и опыте сотрудников,
привлекаемых заявителем с целью выполнения работ/оказания
услуг/поставки товаров по оцениваемому виду деятельности
Общее количество сотрудников заявителя: ____________.
N п/п | ФИО сотрудника (полностью) | Должность | Характер работы (основное место работы/по совместительству) | Общий трудовой стаж по сертифицируемому виду деятельности заявителя | Образование (ученая степень, диплом) | Квалификация (почетные звания, ученые звания, удостоверения, аттестаты, сертификаты, награды, почетные грамоты, др.) | Год рождения |
1 | 2 | 3 | 4 | 5 | 6 | 7 | 8 |
Управленческий персонал |
1 | Указать полностью фамилию, имя, отчество сотрудника заявителя | Указать должность сотрудника в соответствии с приказом/распоряжением о приеме/переводе работника на работу утвержденным штатным расписанием | Указать характер работы в соответствии с приказом/распоряжением о приеме/переводе работника на работу | Указать общий трудовой стаж сотрудника заявителя в отрасли (по сертифицируемому виду деятельности) в формате: N лет N месяцев | Указать сведения об образовании сотрудника заявителя в следующем порядке: 1) сведения о наличии ученой степени (диплом кандидата наук, диплом доктора наук); 2) сведения об образовании (диплом бакалавра/магистра/специалиста, диплом о среднем профессиональном образовании); 3) дипломы о дополнительном (к высшему) образовании; 4) дипломы о профессиональной переподготовке. Реквизиты документов об образовании необходимо указать в следующем порядке: наименование документа, серия и номер документа, наименование учебного учреждения, дата выдачи/присуждения, специальность/ученая степень, квалификация | Указать сведения о квалификации сотрудника заявителя в следующем порядке: почетные звания; ученые звания (аттестат доцента/профессора); удостоверения/свидетельства о повышении квалификации; документы, подтверждающие прохождение независимой оценки квалификации; почетные грамоты; другое. Реквизиты документов об уровне квалификации необходимо указать в следующем порядке: наименование документа, серия и номер документа, наименование учебного учреждения/учреждения, выдавшего документ, дата выдачи/присуждения/срок прохождения, специальность/ученая степень, квалификация | |
2 | | | | | | | |
... | | | | | | | |
Специалисты | |
1 | | | | | | | |
2 | | | | | | | |
... | | | | | | | |
ИТОГО: общий стаж сотрудников (в годах) |
______________________ ____________________ _________ _______ (Должность уполномоченного лица) (Наименование заявителя) (подпись) (ФИО) м.п. |
Примечания 1 Форму следует оформить на официальном (фирменном) бланке заявителя. 2 Поля формы необходимо заполнить в соответствии с инструкциями, приведенными по тексту формы. 3 В данной форме приводятся сведения о специалистах заявителя, которые непосредственно участвуют в выполнении работ/оказании услуг/поставке товара по сертифицируемому виду деятельности. 4 Сведения, приведенные в форме, подтверждаются копиями, заверенными подписью уполномоченного лица и оттиском печати заявителя, следующих документов: документа об избрании/назначении на должность единоличного исполнительного органа (руководителя); документа о продлении полномочий единоличного исполнительного органа (руководителя); документа, подтверждающего полномочия лица, имеющего право действовать от имени заявителя (при необходимости); штатного расписания; приказа об утверждении штатного расписания; приказов/распоряжений о приеме/переводе работников на работу; трудовых договоров; трудовых книжек; документов об образовании и уровне квалификации работников. 5 Форма должна быть подписана руководителем заявителя или уполномоченным лицом и скреплена оттиском печати заявителя. 6 Общий стаж сотрудников (в годах) рассчитывается в соотношении суммы общего стажа каждого сотрудника в сертифицируемом виде экономической деятельности (в соответствии с занимаемой им должностью) к общему количеству сотрудников заявителя, учтенных в рамках проведения работ по оценке опыта и деловой репутации, -  , где xi - сумма общего стажа сотрудников, n - общее количество сотрудников. |
Росстандарта от 28.12.2021 N 1868-ст)
Наименование заявителя:
___________________________________________________________________________
ИНН (или иной идентификационный номер) заявителя:
___________________________________________________________________________
Сведения об опыте выполнения работ/оказания услуг/поставки
товаров по оцениваемому виду деятельности
за _____________ год
Объем выполненных работ/оказанных услуг/поставки товара за ________ год (тыс. руб. без НДС): ____________.
N п/п | Реквизиты договора (номер, дата заключения) | Наименование заказчика (реквизиты, адрес, контактный телефон заказчика, контактное лицо) | Предмет договора | Регион деятельности | Срок выполнения работ/оказания услуг/поставки товаров по договору | Сумма договора (тыс. руб. без НДС) | Сумма и реквизиты закрывающих документов (сумма, наименование, номер и дата документа, подтверждающего выполнение работ/части работ по договору) | Наличие прилагаемых отзывов от заказчиков (есть/нет) |
1 | Указать номер договора, дату заключения. Справки формируются по дате заключения договоров | Указать наименование заказчика, адрес, ИНН. Указать контактное лицо по договору со стороны заказчика, к которому могут обратиться эксперты для получения отзыва о заявителе | Указать предмет договора. Предмет договора должен соответствовать сертифицируемому виду деятельности. При необходимости предоставить копии приложений к договору, позволяющие сделать однозначный вывод о принадлежности его предмета к сертифицируемому виду деятельности (ТЗ, календарный план, сметы и пр.) | Указать регион выполнения работ | Указать полностью сроки начала и окончания выполнения работ в соответствии с условиями договора | Указать сумму по договору в тыс. руб. без НДС | Указать сумму, наименование, номер и дату документа, подтверждающего выполнение работ/части работ по договору. Если документов несколько, указать каждый | Указать наличие или отсутствие отзывов. В случае наличия приложить заверенные копии отзывов |
2 | | | | | | | | |
Примечания 1 Форму следует оформить на официальном (фирменном) бланке заявителя. 2 Форма заполняется отдельно на каждый год деятельности заявителя. 3 Сведения в форме должны быть представлены в обратном хронологическом порядке и отсортированы по дате заключения договоров. 4 Поля формы необходимо заполнить в соответствии с инструкциями, приведенными по тексту формы. 5 В данной форме приводятся сведения об опыте выполнения работ/оказания услуг/поставки товаров заявителем по сертифицируемому виду деятельности. 6 Сведения, приведенные в форме, подтверждаются копиями, заверенными подписью уполномоченного лица и оттиском печати заявителя, следующих документов: договоров (при необходимости приложений к договорам), дополнительных соглашений, документов, подтверждающих факт выполнения работ. 7 Форма должна быть подписана уполномоченным лицом и скреплена оттиском печати заявителя. |
Наименование заявителя:
___________________________________________________________________________
ИНН (или иной идентификационный номер) заявителя:
___________________________________________________________________________
Сведения об участии в судебных разбирательствах
N п/п | Номер дела | Дата решения | Наименование судебного органа, место нахождения | Истец (наименование контрагента, предмет спора) | Решение |
1 | Указать номер дела | Указать дату вынесения/объявления решения | Указать наименование судебного органа и место его нахождения | Указать наименование истца, кратко изложить предмет спора | Указать решение судебного органа |
2 | | | | | |
Примечания 1 Форму следует оформить на официальном (фирменном) бланке заявителя. 2 В данной форме приводятся сведения о вступивших в силу решениях суда не в пользу заявителя, выступающего в качестве ответчика (третьего лица на стороне ответчика). 3 Форма должна быть подписана уполномоченным лицом и скреплена оттиском печати заявителя. |
Наименование заявителя:
___________________________________________________________________________
ИНН (или иной идентификационный номер) заявителя:
___________________________________________________________________________
Сведения об упоминании в СМИ
N п/п | Название источника | Название статьи | Интернет-ссылка или номер печатного издания |
1 | Указать название источника | Указать название статьи, дату ее публикации | Указать интернет-ссылку, номер печатного издания и дату |
2 | | | |
Примечания 1 Форму следует оформить на официальном (фирменном) бланке заявителя. 2 В данной форме приводятся сведения об упоминании о заявителе в средствах массовой информации. 3 Форма должна быть подписана уполномоченным лицом и скреплена оттиском печати заявителя. |
(рекомендуемое)
СОДЕРЖАНИЕ СЕРТИФИКАТА СООТВЕТСТВИЯ И ПРИЛОЖЕНИЯ К НЕМУ
ПО ОЦЕНКЕ ОПЫТА И ДЕЛОВОЙ РЕПУТАЦИИ СУБЪЕКТОВ ПРЕДПРИНИМАТЕЛЬСКОЙ ДЕЯТЕЛЬНОСТИ
Росстандарта от 30.12.2022 N 1735-ст)
В.1 Сертификат должен содержать следующие данные:
1) полное и сокращенное (если имеется) наименование органа по сертификации, его адрес и уникальный номер об аккредитации в реестре аккредитованных лиц;
2) номер бланка сертификата соответствия;
3) слова: "Выдан... (указывают наименование, ИНН, местонахождение организации - держателя сертификата соответствия по документу о регистрации организации)";
4) обозначение и наименование стандарта системы стандартов, на соответствие которому осуществлялась оценка;
5) характеристику области сертификации применительно к видам деятельности в соответствии с
ОК 029 (не допускается ссылаться на лицензии, документы по аккредитации и т.п., на основании которых функционирует заявитель);
6) регистрационный номер сертификата соответствия;
7) дату регистрации сертификата соответствия (число, месяц, год);
8) дату окончания действия сертификата соответствия (число, месяц, год);
9) инициалы и фамилию руководителя органа по сертификации (или его заместителя), подпись;
10) инициалы и фамилию руководителя экспертной комиссии, проводившей сертификацию, подпись;
11) место печати органа по сертификации;
12) если выдан взамен (при необходимости), то пишется "Выдан взамен сертификата (номер сертификата)".
Сертификат соответствия должен иметь приложение. При оформлении приложения к сертификату соответствия дают ссылку: "Приложение является неотъемлемой частью сертификата соответствия".
В.2 Приложение к сертификату соответствия должно содержать следующие данные:
1) наименование и организационно-правовую форму заявителя, в которой проводилась оценка;
2) буквенное и числовое значения индекса деловой репутации заявителя, полученные в результате оценки, в том числе в категории заявителя;
3) обозначение и наименование стандарта системы стандартов, на соответствие которому осуществлялась оценка, и контактные данные организации для получения информации об отчете по сертификации;
4) инициалы и фамилию руководителя органа по сертификации (или его заместителя), подпись;
5) инициалы и фамилии экспертов, проводивших сертификацию, подписи.
В.3 Анализ предоставленных заявителем документов должен быть завершен оформлением (или мотивированным отказом в оформлении) сертификата соответствия и приложения к нему и письменного отчета, содержащего информацию, отображающую результаты оценки опыта и деловой репутации. Отчет должен содержать следующую информацию:
1) наименование органа по сертификации, который оформил (составил и выдал) отчет;
2) наименование (ИНН, юридический/фактический адрес) заявителя;
3) время/сроки проведения экспертной оценки;
4) место проведения экспертной оценки;
5) дату составления отчета;
6) обозначение и наименование стандарта системы стандартов, на соответствие которому осуществлялась экспертная оценка;
7) список исходных данных, предоставленных заявителем в ходе проведения оценки;
8) сводную таблицу результатов оценки показателей заявителя в описательной и числовой форме по всем факторам (и субфакторам) согласно стандарту системы стандартов, на соответствие которому осуществлялась экспертная оценка;
9) справки по формам, указанным в
Б.6 настоящего стандарта;
10) присвоенный в ходе сертификации заявителя индекс деловой репутации с указанием группы (размера организации), к которой был отнесен заявитель;
11) фамилии, имена, отчества, должности и подписи участников экспертной комиссии.
В.4 При положительном решении орган по сертификации оформляет на русском языке сертификат соответствия и приложение к нему по правилам и образцу, установленным в соответствующей системе добровольной сертификации. Содержание сертификата соответствия и приложения к нему должно соответствовать требованиям настоящего стандарта.
Орган по сертификации присваивает сертификату соответствия регистрационный номер, затем сертификат соответствия регистрируют в реестре выданных сертификатов соответствия органа по сертификации.
Руководитель органа по сертификации или его заместитель (лицо, принявшее решение о выдаче сертификата соответствия, но не принимавшее участие в экспертной проверке) и руководитель экспертной комиссии, проводивший сертификацию, подписывают сертификат соответствия. Приложение к сертификату соответствия подписывают руководитель органа по сертификации или его заместитель (лицо, принявшее решение о выдаче сертификата соответствия, но не принимавшее участие в экспертной проверке) и эксперты, проводившие сертификацию. На сертификате соответствия и приложении к нему ставят печать органа по сертификации. Срок действия сертификата соответствия - три года. Сертификат соответствия является собственностью органа по сертификации, выдавшего его.
Заявитель приобретает право на использование сертификата соответствия и приложения к нему, которые действуют с момента их выдачи до тех пор, пока орган по сертификации подтверждает соответствие заявителя требованиям системы стандартов.
| Федеральный закон от 27 декабря 2002 г. N 184-ФЗ "О техническом регулировании" |
| Федеральный закон от 29 июня 2015 г. N 162-ФЗ "О стандартизации в Российской Федерации" |
| Федеральный закон от 5 апреля 2013 г. N 44-ФЗ "О контрактной системе в сфере закупок товаров, работ, услуг для обеспечения государственных и муниципальных нужд" |
| Федеральный закон от 18 июля 2011 г. N 223-ФЗ "О закупках товаров, работ, услуг отдельными видами юридических лиц" |
| Указ Президента Российской Федерации от 30 декабря 1995 г. N 1341 "Об установлении почетных званий Российской Федерации, утверждении положений о почетных званиях и описания нагрудного знака к почетным званиям Российской Федерации" |
| Федеральный закон от 24 июля 2007 г. N 209-ФЗ "О развитии малого и среднего предпринимательства в Российской Федерации" |
| Постановление Правительства РФ от 4 апреля 2016 г. N 265 "О предельных значениях дохода, полученного от осуществления предпринимательской деятельности, для каждой категории субъектов малого и среднего предпринимательства" |
| Федеральный закон от 23 августа 1996 г. N 127-ФЗ "О науке и государственной научно-технической политике" |
| Постановление Правительства Российской Федерации от 31 декабря 2021 г. N 2604 "Об оценке заявок на участие в закупке товаров, работ, услуг для обеспечения государственных и муниципальных нужд, внесении изменений в пункт 4 постановления Правительства Российской Федерации от 20 декабря 2021 г. N 2369 и признании утратившими силу некоторых актов и отдельных положений некоторых актов Правительства Российской Федерации" |
(позиция 9 введена Изменением N 2, утв. Приказом Росстандарта от 30.12.2022 N 1735-ст) |
УДК 658.562:006.354 | |
Ключевые слова: оценка опыта, деловая репутация, оценка деловой репутации, факторы, субфакторы, факторная модель, экспертная оценка |