Главная // Актуальные документы // ГОСТ Р (Государственный стандарт)СПРАВКА
Источник публикации
М.: ФГБУ "РСТ", 2022
Примечание к документу
Документ
введен в действие с 01.02.2023.
Название документа
"ГОСТ Р 50.04.07-2022. Национальный стандарт Российской Федерации. Система оценки соответствия в области использования атомной энергии. Оценка соответствия в форме испытаний. Аттестационные испытания систем неразрушающего контроля"
(утв. и введен в действие Приказом Росстандарта от 31.10.2022 N 1222-ст)
"ГОСТ Р 50.04.07-2022. Национальный стандарт Российской Федерации. Система оценки соответствия в области использования атомной энергии. Оценка соответствия в форме испытаний. Аттестационные испытания систем неразрушающего контроля"
(утв. и введен в действие Приказом Росстандарта от 31.10.2022 N 1222-ст)
Утвержден и введен в действие
агентства по техническому
регулированию и метрологии
от 31 октября 2022 г. N 1222-ст
НАЦИОНАЛЬНЫЙ СТАНДАРТ РОССИЙСКОЙ ФЕДЕРАЦИИ
СИСТЕМА ОЦЕНКИ СООТВЕТСТВИЯ
В ОБЛАСТИ ИСПОЛЬЗОВАНИЯ АТОМНОЙ ЭНЕРГИИ
ОЦЕНКА СООТВЕТСТВИЯ В ФОРМЕ ИСПЫТАНИЙ
АТТЕСТАЦИОННЫЕ ИСПЫТАНИЯ СИСТЕМ НЕРАЗРУШАЮЩЕГО КОНТРОЛЯ
Conformity assessment system for the nuclear power use.
Conformity assessment in the form of tests. Qualification
tests of non-destructive inspection systems
ГОСТ Р 50.04.07-2022
Дата введения
1 февраля 2023 года
1 РАЗРАБОТАН Акционерным обществом "Российский концерн по производству электрической и тепловой энергии на атомных станциях" (АО "Концерн Росэнергоатом")
2 ВНЕСЕН Техническим комитетом по стандартизации ТК 322 "Атомная техника"
3 УТВЕРЖДЕН И ВВЕДЕН В ДЕЙСТВИЕ
Приказом Федерального агентства по техническому регулированию и метрологии от 31 октября 2022 г. N 1222-ст
Правила применения настоящего стандарта установлены в статье 26 Федерального закона от 29 июня 2015 г. N 162-ФЗ "О стандартизации в Российской Федерации". Информация об изменениях к настоящему стандарту публикуется в ежегодном (по состоянию на 1 января текущего года) информационном указателе "Национальные стандарты", а официальный текст изменений и поправок -
в ежемесячном информационном указателе "Национальные стандарты". В случае пересмотра (замены) или отмены настоящего стандарта соответствующее уведомление будет опубликовано в ближайшем выпуске ежемесячного информационного указателя "Национальные стандарты". Соответствующая информация, уведомление и тексты размещаются также в информационной системе общего пользования -
на официальном сайте Федерального агентства по техническому регулированию и метрологии в сети Интернет (www.rst.gov.ru)
1.1 Настоящий стандарт распространяется на оценку соответствия в форме аттестационных испытаний систем неразрушающего контроля и устанавливает порядок проведения оценки соответствия.
Системы неразрушающего контроля, прошедшие оценку соответствия в форме аттестационных испытаний, предназначены для оценки соответствия в форме контроля продукции
<1>, применяемой на объекте использования атомной энергии в качестве элементов объекта использования атомной энергии, отнесенных в соответствии с федеральными нормами и правилами в области использования атомной энергии к 1, 2 и 3-му классам безопасности (а также деталей и сборочных единиц такой продукции), за исключением ядерных материалов и отработавшего ядерного топлива.
--------------------------------
<1> Здесь и далее в качестве продукции понимаются оборудование, трубопроводы и другие элементы атомных станций (определены в
[1]), на которые распространяются требования
[1] -
[5].
1.2 Системы неразрушающего контроля подлежат оценке соответствия в форме аттестационных испытаний до их применения для контроля металла оборудования атомных станций.
Системы неразрушающего контроля, прошедшие оценку соответствия в форме испытаний до введения в действие настоящего стандарта, подлежат оценке соответствия в форме аттестационных испытаний в следующих случаях:
- при применении в системе неразрушающего контроля вновь разработанной методики неразрушающего контроля;
- при применении в системе неразрушающего контроля вновь разработанных и изготовленных средств контроля;
- при расширении области распространения методики неразрушающего контроля (новые объекты или зоны контроля).
В настоящем стандарте использованы нормативные ссылки на следующие стандарты:
ГОСТ 4.177 Система показателей качества продукции. Приборы неразрушающего контроля качества материалов и изделий. Номенклатура показателей
ГОСТ 16504 Система государственных испытаний продукции. Испытания и контроль качества продукции. Основные термины и определения
ГОСТ Р 50.02.01 Система оценки соответствия в области использования атомной энергии. Основные термины и определения
ГОСТ Р 50.04.01 Система оценки соответствия в области использования атомной энергии. Оценка соответствия в форме испытаний. Аттестационные испытания. Общие положения
ГОСТ Р 50.05.11 Система оценки соответствия в области использования атомной энергии. Персонал, выполняющий неразрушающий и разрушающий контроль металла. Требования и порядок подтверждения компетентности
ГОСТ Р 50.05.16 Система оценки соответствия в области использования атомной энергии. Оценка соответствия в форме контроля. Неразрушающий контроль. Метрологическое обеспечение
ГОСТ Р 50779.12 Статистические методы. Статистический контроль качества. Методы случайного отбора выборок штучной продукции
ГОСТ Р 58904/ISO/TR 25901-1:2016 Сварка и родственные процессы. Словарь. Часть 1. Общие термины
ГОСТ Р 59267 Организации материаловедческие головные в области использования атомной энергии. Виды деятельности
ГОСТ Р ИСО 3534-1 Статистические методы. Словарь и условные обозначения. Часть 1. Общие статистические термины и термины, используемые в теории вероятностей
ГОСТ Р ИСО 6520-1 Сварка и родственные процессы. Классификация дефектов геометрии и сплошности в металлических материалах. Часть 1. Сварка плавлением
Примечание - При пользовании настоящим стандартом целесообразно проверить действие ссылочных стандартов в информационной системе общего пользования - на официальном сайте Федерального агентства по техническому регулированию и метрологии в сети Интернет или по ежегодному информационному указателю "Национальные стандарты", который опубликован по состоянию на 1 января текущего года, и по выпускам ежемесячного информационного указателя "Национальные стандарты" за текущий год. Если заменен ссылочный стандарт, на который дана недатированная ссылка, то рекомендуется использовать действующую версию этого стандарта с учетом всех внесенных в данную версию изменений. Если заменен ссылочный стандарт, на который дана датированная ссылка, то рекомендуется использовать версию этого стандарта с указанным выше годом утверждения (принятия). Если после утверждения настоящего стандарта в ссылочный стандарт, на который дана датированная ссылка, внесено изменение, затрагивающее положение, на которое дана ссылка, то это положение рекомендуется применять без учета данного изменения. Если ссылочный стандарт отменен без замены, то положение, в котором дана ссылка на него, рекомендуется применять в части, не затрагивающей эту ссылку.
3.1 аттестационные испытания систем неразрушающего контроля: Комплекс мероприятий, осуществляемых с целью подтверждения применения совокупности средств контроля, методик контроля и персонала, выполняющего контроль, для определения информации о состоянии металла оборудования, трубопроводов и других элементов атомных станций с заданными значениями показателей достоверности контроля.
3.2 выборка: Подмножество генеральной совокупности, состоящее из трех выборочных единиц или более.
Примечание - Выборка (проба) может служить основой для принятия решения о множестве всех рассматриваемых единиц или о процессе, который ее формирует.
3.3
дефектограмма: Условное обозначение на носителе информации зоны контроля с указанием начальной точки, направления контроля, дефектов и зафиксированных несплошностей. |
3.4
доверительная вероятность (уровень доверия): Величина

- вероятность, связанная с доверительным интервалом или со статистически накрывающим интервалом.
Примечание - Величину

, как правило, выражают в процентах.
3.5 достоверность неразрушающего контроля: Показатель неразрушающего контроля, связанный с вероятностями принятия безошибочных решений о наличии или отсутствии дефектов.
Примечание - Достоверность неразрушающего контроля обеспечивает достоверность информации о состоянии металла
[1] и позволяет свести к минимуму риск принятия таких ошибочных решений, как признание дефектных годными или бракование годных в действительности объектов контроля.
3.6
заявитель (на проведение аттестационных испытаний): Юридическое лицо, которое обращается с заявкой на проведение аттестационных испытаний. |
3.7 изготовитель средств контроля: Юридическое лицо (индивидуальный предприниматель), осуществляющее производство средств контроля.
Примечание - Изготовитель может быть поставщиком средств контроля и методик неразрушающего контроля.
3.8 искусственный дефект: Дефект известных размеров, формы и расположения, искусственно введенный в испытательный образец и служащий для получения индикации при неразрушающем контроле.
Примечание - Примером искусственного дефекта могут служить отражатели в виде пазов, цилиндрических плоскодонных сверлений, сегментные или плоские уголковые отражатели, а также царапины, трещины, поры.
3.9 испытательный образец: Образец, повторяющий полностью или частично реальный объект контроля или его часть и воспроизводящий его характеристики с реальными или реалистичными дефектами, предназначенный для проведения аттестационных испытаний систем неразрушающего контроля.
3.10
метрологическая экспертиза: Анализ и оценка правильности установления и соблюдения метрологических требований применительно к объекту, подвергаемому экспертизе. Примечание - Метрологическая экспертиза проводится в обязательном (обязательная метрологическая экспертиза) или добровольном порядке. |
3.11 наихудшая дефектная ситуация: Наличие дефектов и сложной геометрии объекта (зоны) контроля или группы близко расположенных дефектов, которые представляют наиболее сложную задачу для выявления и (или) измерения размеров дефектов с использованием конкретных средств контроля и методик неразрушающего контроля.
3.12 наплавленная поверхность: Поверхность, полученная нанесением слоя металла или сплава посредством сварки плавлением.
3.13 недобраковка: Наличие дефекта хотя бы в одной из зон контроля в объекте контроля, признанных годными по результатам контроля.
3.14
3.15
объект контроля: Продукция, подвергаемая контролю на всех стадиях ее жизненного цикла. Примечание - К продукции относят: специально сконструированное для применения на атомных энергетических установках (АЭУ) оборудование, трубопроводы и другие элементы АЭУ, а также комплектующие изделия, материалы и полуфабрикаты. |
3.16 открытые испытания: Практические испытания, при которых выполняющий контроль персонал предварительно информирован о виде, количестве и характеристиках испытательных образцов, а также о параметрах дефектов, подлежащих выявлению и (или) определению размеров (т.е. о виде, расположении и размерах дефектов).
3.17 перебраковка: Отсутствие дефектов хотя бы в одной из зон контроля в объекте контроля, забракованных по результатам контроля.
3.18 повторяемость результатов контроля: Степень близости результатов контроля, полученных одним методом (по одной методике), на одном и том же испытательном образце (или объекте контроля), с использованием одного и того же средства контроля, выполненного разными контролерами или при проведении слепых (закрытых) испытаний.
3.19 поставщик методик и (или) средств контроля: Юридическое лицо (индивидуальный предприниматель), осуществляющее поставку средств контроля и (или) методик неразрушающего контроля.
3.20 постулированный дефект: Дефект, наличие которого предполагается в объекте контроля в связи с особенностями его конструкции и условиями эксплуатации, но с неизвестными характеристиками, и поэтому они должны быть постулированы с использованием опыта, полученного при изучении аналогичных дефектов, которые возникают в других объектах контроля.
3.21 разработчик методик и (или) средств контроля: Юридическое лицо (индивидуальный предприниматель), осуществляющее разработку средств контроля и (или) методик контроля.
3.22 распознаваемость дефектов: Вероятность выявления характерных различий в параметрах дефектов разного вида.
3.23 реальный дефект: Дефект, который образовался в оборудовании атомных станций во время его производства или эксплуатации без какого-либо преднамеренного вмешательства с целью стимулировать его образование.
3.24 реалистичный дефект: Дефект, искусственно введенный в испытательный образец, который имитирует технологический или эксплуатационный дефект и чья индикация при неразрушающем контроле аналогична или идентична индикации от реальных дефектов для рассматриваемых методов неразрушающего контроля.
3.25 система неразрушающего контроля: Совокупность средств контроля, методики (методик контроля) и персонала, выполняющего контроль.
3.26 слепые [закрытые] испытания: Практические испытания, которые проводятся персоналом, не знающим наличия, месторасположения, количества и размеров любых дефектов в испытательном образце и не имеющим доступа к дефектам, выходящим на контролируемую поверхность испытательного образца и к маркировке испытательного образца.
3.27 существенные параметры контроля: Параметры контроля, которые оказывают значительное влияние на результаты контроля по конкретной методике (методу) неразрушающего контроля.
3.28 технические требования к системе неразрушающего контроля: Документ, в котором сформулированы установленные эксплуатирующей организацией совместно с разработчиками проекта реакторной установки и проекта атомной станции основные показатели и требования к системе неразрушающего контроля (средствам контроля, методикам контроля, персоналу, выполняющему контроль), подлежащие обязательной проверке и испытаниям при выполнении оценки соответствия в форме аттестационных испытаний системы неразрушающего контроля.
3.29 техническое обоснование: Документальное свидетельство, подтверждающее оценку возможностей предложенной системы или средства контроля и обосновывающее выбор основных параметров контроля и их диапазонов, объем необходимых практических испытаний, использование реальных или реалистичных дефектов и другие требования.
3.30 уровень дефектности: Отношение числа дефектных зон контроля к общему числу проконтролированных зон, выраженное в процентах.
3.31 характеристический размер [параметр] дефекта: Значение какого-либо параметра дефекта, подлежащего выявлению (обнаружению) с использованием конкретного метода (методики) неразрушающего контроля, по которому судят о выявлении (обнаружении) дефекта в объекте контроля.
Примечание - При радиографическом контроле и электромагнитных методах контроля характеристическим параметром является отношение глубины дефекта к толщине металла (безразмерная величина). При ультразвуковом контроле - параметр, определяющий отражательную способность (для метода отражения) или прозрачность (для теневого метода) дефекта при данном направлении падающей на него волны. Такими параметрами могут быть диаметр плоскодонного или бокового отверстия, диаметр сферического отражателя (мм), эквивалентная площадь дефекта (мм2) или условный коэффициент выявляемости дефекта (безразмерная величина). Условный коэффициент выявляемости дефекта Кд - отношение амплитуды U эхо-сигнала от дефекта к амплитуде Uо эхо-сигнала от эталонного отражателя. Физический смысл Кд состоит в том, что он показывает, насколько амплитуда эхо-сигнала от дефекта больше (или меньше) амплитуды эхо-сигнала от эталонного отражателя, т.е. позволяет оценить отражающие свойства дефекта, сравнить их с эталонным отражателем, по которому производится настройка чувствительности дефектоскопа. Таким образом, условия обнаружения дефекта определяются его отражающей поверхностью.
3.32 эталонный метод контроля: Метод, который дает прямую информацию о качестве испытательного образца (о наличии или отсутствии дефектов в испытательном образце или о характеристиках дефектов).
Примечание - Для сравнительной оценки в процессе проведения испытаний систем неразрушающего контроля наилучшим эталонным методом (для дефектов типа несплошностей металла), при возможности его использования, служит метод разрушающего контроля.
При невозможности использования метода разрушающего контроля в качестве эталонного метода может быть использован метод неразрушающего контроля, основанный на том же или на другом физическом принципе, что и испытываемый, но обладающий лучшими характеристиками по сравнению с испытываемым (чувствительность, разрешающая способность, погрешность измерений).
3.33 эффективность системы неразрушающего контроля: Совокупность характеристик системы неразрушающего контроля, определяющих:
а) техническую эффективность, включая:
1) вероятность выявления дефектов;
2) распознаваемость дефектов;
3) характеристики погрешности оценки или измерений размеров (характеристических размеров, условных размеров) и координат выявленных дефектов;
4) достоверность неразрушающего контроля;
б) производительность по затратам времени:
1) на подготовку объекта контроля;
2) настройку средств контроля;
3) установку и снятие с объекта контроля средств контроля;
4) проведение контроля (сканирование зон контроля);
5) расшифровку результатов контроля и выдачу заключения;
6) необходимое количество персонала (основного и вспомогательного).
В настоящем стандарте применены следующие сокращения:
АИ - аттестационные испытания;
АК - аттестационная комиссия;
АС - атомная станция;
ГМО - головная материаловедческая организация;
ИО - испытательный образец;
НК - неразрушающий контроль;
ПМАИ - программа и методика аттестационных испытаний;
РУ - реакторная установка;
ТТ - технические требования (к системе НК);
ЭО - эксплуатирующая организация.
5 Общие требования к системам неразрушающего контроля
5.1 Оценку соответствия системы НК в форме АИ выполняют на основании ТТ.
5.2 ТТ должны содержать характеристики целевого назначения системы НК, с точки зрения обоснования безопасной эксплуатации и конструкционной целостности оборудования АС. Характеристикой целевого назначения системы НК является выявление дефектов (определение типа выявляемых дефектов, характеристических или геометрических размеров и расположения дефектов) при НК оборудования АС.
5.3 ТТ должны содержать следующие сведения, необходимые для проведения АИ:
а) виды и количество средств контроля, наименование проекта методики НК в составе системы НК, проходящей АИ;
б) типы АИ [слепые (закрытые) или открытые];
в) требуемые показатели достоверности контроля при использовании испытуемой системы НК;
г) перечень документов, предоставляемых на АИ.
5.4 ТТ должны состоять из следующих основных разделов:
а) наименование и область применения (использования) системы НК;
б) основные показатели и характеристики целевого назначения системы НК;
в) условия эксплуатации системы НК;
г) требования к метрологическому обеспечению;
д) перечень и состав технической документации;
е) тип АИ системы НК.
Содержание основных разделов ТТ приведено в
приложении А. Допускается уточнять содержание разделов и вводить новые разделы в ТТ.
6 Общие требования к аттестационным испытаниям систем неразрушающего контроля
6.1 АИ систем НК должны проводиться ГМО, признанными в соответствии с требованиями ГОСТ Р 59267 органом управления в области использования атомной энергии, компетентными оказывать услуги организациям по проведению АИ систем НК, обладающими подтвержденным опытом проведения АИ систем НК, квалифицированным персоналом, обладающим опытом проведения АИ систем НК и состоящим в штате организации, а также собственной научно-методической и экспериментальной базой, необходимой и достаточной для проведения АИ систем НК.
6.2 АИ системы НК следует проводить по ПМАИ
<1>. По результатам АИ ГМО оформляет аттестационный отчет и выдает свидетельство об аттестации.
--------------------------------
ПМАИ системы НК разрабатывается ГМО.
ПМАИ системы НК следует разрабатывать на основе ТТ и технической документации.
6.2.1 Программа АИ должна содержать следующие разделы:
- общие положения;
- описание объекта АИ;
- цель АИ;
- тип АИ;
- основные документы;
- объем АИ;
- условия и порядок проведения АИ;
- требования безопасности при проведении АИ;
- материально-техническое обеспечение АИ;
- метрологическое обеспечение АИ;
- ответственность за обеспечение и проведение АИ;
- выявление несоответствий в ходе АИ;
- отчетность по АИ.
6.2.2 Методика АИ должна содержать следующие разделы:
- описание объекта АИ;
- цель АИ;
- тип АИ;
- оцениваемые характеристики (в соответствии с ТТ);
- процедуру определения показателей достоверности контроля;
- условия и порядок проведения АИ;
- способы обработки и анализа результатов АИ;
- критерии подготовленности (неподготовленности) средств контроля, методик НК и необходимой документации к АИ;
- критерии оценки соответствия системы НК, разработанные на основе ТТ;
- описание технических характеристик используемых стендов, средств контроля и метрологических характеристик средств измерений;
- требования для подбора или разработки и изготовления ИО для проведения АИ, имитирующих реальные объекты контроля. Должны быть подготовлены в виде отдельных ТТ ИО. Порядок подготовки ТТ ИО приведен в
приложении Б;
- обязательные приложения.
6.3 ПМАИ системы НК должна быть:
- представлена на ознакомление разработчику (изготовителю или поставщику) системы НК;
- согласована разработчиком проекта РУ и (или) проекта АС, на которую предполагается поставка;
- согласована ЭО и (или) изготовителем оборудования АС;
- утверждена ГМО, которая будет проводить АИ.
6.4 ПМАИ системы НК может предусматривать их проведение в несколько этапов.
Форма титульного листа и содержание ПМАИ системы НК приведены в
приложении В. Допускается уточнять содержание разделов и вводить новые разделы в ПМАИ системы НК.
6.5 К началу проведения АИ системы НК должны быть завершены мероприятия по их подготовке, предусматривающие:
- наличие и готовность на месте проведения испытаний средств материально-технического и метрологического обеспечения, необходимых для создания условий и режимов испытаний, соответствующих указанным в ПМАИ системы НК;
- наличие персонала, выполняющего контроль ИО во время АИ, аттестованного в соответствии с требованиями
ГОСТ Р 50.05.11 на тот (те) метод(ы) контроля, который(е) применяется(ют) в аттестуемой системе НК. Персонал, выполняющий контроль ИО при проведении АИ, должен пройти дополнительное обучение у разработчика средств контроля и (или) методики НК;
- формирование АК;
- своевременное представление к месту АИ средств контроля и проекта методики НК с комплектом технической документации, предусмотренной ПМАИ системы НК.
6.6 АИ системы НК должны проводиться на ИО. ИО должны содержать реальные или реалистичные дефекты, несплошности, изменения размеров и формы, технологические и (или) эксплуатационные дефекты (согласно требованиям, изложенным в ТТ), предназначенные для оценки системы НК.
В качестве ИО могут быть использованы реальные зоны контроля, вырезанные из штатных или опытных изделий и содержащие реальные дефекты, несплошности, изменения размеров и формы. В этом случае сравнение результатов контроля, полученных с помощью аттестуемой системы НК, должно быть проведено с результатами эталонного метода НК.
6.7 В процессе АИ не допускается использование образцов, предназначенных для настройки и калибровки средств контроля, в качестве ИО.
6.8 При проведении слепых (закрытых) испытаний в соответствии с ПМАИ системы НК для оценки показателей достоверности контроля комплект ИО должен включать в себя ИО, содержащие дефекты, несплошности, изменения размеров и формы и ИО, не содержащие дефектов.
6.9 ТТ ИО для подбора или разработки и изготовления ИО, которые будут использоваться при АИ системы НК, должны быть разработаны и утверждены ГМО одновременно с ПМАИ и согласованы ЭО и разработчиком проекта РУ и (или) разработчиком проекта АС.
6.10 При проведении АИ системы НК могут проводиться испытания двух типов: слепые (закрытые) или открытые. Необходимый тип испытаний системы НК указывают в ТТ и в ПМАИ системы НК.
6.11 При открытых испытаниях подтверждается, что система НК удовлетворяет задачам контроля, указанным в ТТ, и при соблюдении персоналом операций, указанных в проекте методики НК, системой НК выполняются задачи по выявлению и определению параметров дефектов, несплошностей, изменений размеров, в соответствии с ТТ, без оценки показателей достоверности контроля.
6.11.1 Результаты проведения открытых испытаний оформляют в виде протокола АИ. В протоколах приводят следующую информацию:
- объект АИ;
- цель АИ;
- место проведения АИ;
- содержание проверки;
- результаты проверки;
- выполнены/не выполнены задачи по выявлению и определению параметров дефектов, несплошностей, изменений размеров;
- замечания и рекомендации.
Содержание проверки и критерии оценки результатов устанавливают в ПМАИ системы НК.
6.11.2 ИО для проведения открытых АИ предоставляются разработчиком или поставщиком средств контроля и (или) методик НК.
6.12 При слепых (закрытых) АИ системы НК оцениваются ее функциональные возможности и определяются показатели достоверности контроля, возможность оценки геометрических параметров несплошности (высоты и протяженности) и остаточной толщины, координат выявленных дефектов.
6.12.1 Результаты проведения слепых (закрытых) испытаний оформляют в виде протокола АИ. В протоколах приводят следующую информацию:
- объект АИ;
- цель АИ;
- место проведения АИ;
- содержание проверки;
- результаты проверки;
- оценка функциональных возможностей системы НК;
- показатели достоверности контроля;
- оценка геометрических параметров несплошности (высоты и протяженности) и остаточной толщины;
- координаты выявленных дефектов;
- замечания и рекомендации.
Содержание проверки и критерии оценки результатов устанавливают в ПМАИ системы НК.
6.12.2 Для проведения слепых (закрытых) испытаний подбор или разработка и изготовление ИО выполняется ГМО с привлечением, при необходимости, специализированных организаций (кроме организации изготовителей и поставщиков аттестуемых систем НК, средств контроля), обладающих технологическим оборудованием для изготовления ИО.
6.12.3 ТТ ИО и содержание паспортов ИО при проведении слепых (закрытых) испытаний являются информацией, доступ к которой ограничен распорядительным документом о формировании АК ГМО, проводящей испытания.
6.12.4 Информация о дефектах, несплошностях в ИО не должна быть известна разработчику или поставщику средств контроля и проектов методик НК и персоналу, проводящему контроль ИО во время АИ. Доступ указанных лиц к ИО для слепых (закрытых) испытаний должен быть исключен.
6.12.5 В процессе проведения слепых (закрытых) испытаний систем НК доступ к поверхностям ИО, содержащим дефекты, должен быть исключен для персонала, участие которого планируется в АИ (дефектоскописты, контролеры, операторы) в целях исключения возможности идентификации дефектов поверхности визуально, кроме испытаний систем НК, в которых применяется визуальный, капиллярный или магнитопорошковый контроль.
6.13 Для проведения АИ системы НК заявителем в ГМО направляется заявка на проведение АИ. К заявке прилагают следующие документы:
- утвержденные ТТ;
- результаты заводских испытаний системы НК и проекта методики НК в виде протоколов или актов;
- проект методики НК и (или) методика измерений (в соответствии с указанными в ТТ);
- чертеж(и) общего вида средства (средств) контроля;
- эксплуатационные документы (в соответствии с указанными в ТТ);
- документы по утверждению типа средств измерений и аттестации методик измерений;
- экспертные заключения в случае проведения экспертизы, полученные в процессе разработки средств контроля и проекта методики НК;
- техническое обоснование, подтверждающее оценку возможностей системы НК и обосновывающее выбор основных параметров системы НК и их эффективных диапазонов, объем необходимых практических испытаний, использование реальных или искусственных дефектов и другие особые требования, предъявляемые к системе НК ЭО.
Форма заявки на проведение АИ системы НК приведена в
приложении Г.
6.14 Проект методики НК, представленный на АИ системы НК, должен соответствовать требованиям, изложенным в ТТ, и содержать следующие основные разделы:
- назначение методики НК металла;
- описание применяемых методов и способов НК;
- требования к аппаратуре, средствам и вспомогательным приспособлениям;
- подготовка к контролю;
- проведение контроля;
- оценка результатов контроля и оформление результатов контроля;
- требования к квалификации персонала, выполняющего НК;
- требования к метрологическому обеспечению;
- требования правил и норм охраны труда при выполнении контроля.
Содержание основных разделов проекта методики НК приведено в
приложении Д. Допускается уточнять содержание разделов и вводить новые разделы в проект методики НК.
6.15 Проекты методик НК должны пройти метрологическую экспертизу.
Если в проектах методики НК присутствуют методики измерений, они должны быть аттестованы в соответствии с требованиями
[7].
6.16 До проведения АИ системы НК проект методики НК должен быть подписан разработчиком, изготовителем или поставщиком.
6.17 В процессе АИ системы НК следует использовать техническое обоснование применимости для средств контроля и методики НК. Структура и содержание основных разделов технического обоснования приведены в
приложении Е. Допускается уточнять содержание разделов и вводить новые разделы технического обоснования.
6.18 Техническое обоснование должно содержать все имеющиеся расчетные (для случая прямых измерений) и (или) экспериментальные данные, подтверждающие полное или частичное соответствие системы НК ТТ.
6.19 Техническое обоснование должно быть подготовлено разработчиком (изготовителем или поставщиком) средств контроля и (или) методики НК и предоставлено вместе с остальными документами на АИ в ГМО.
7 Порядок проведения аттестационных испытаний систем неразрушающего контроля
7.1 Для проведения АИ систем НК ГМО распорядительным документом формирует АК. В состав АК помимо представителей ГМО включают представителей ЭО, представителей разработчика проекта РУ и (или) разработчика проекта АС, для контроля элементов которой планируется применять разработанные средства контроля и (или) методику НК, представителей изготовителя оборудования АС. Члены АК имеют право выдачи предложений или замечаний и право подписи протоколов АИ системы НК. Председателем АК назначают представителя ГМО.
7.2 Работа АК должна проводиться в соответствии с ПМАИ системы НК и предусматривать следующие этапы:
- проверку комплектности и содержания технической документации на соответствие ТТ;
- рассмотрение технического обоснования, результатов заводских испытаний, наличие свидетельств утверждения типа средств измерений, аттестации методик измерений (при необходимости);
- проверку готовности средств контроля и проекта методики НК к АИ системы НК;
- проверку наличия и готовности на месте проведения испытаний средств материально-технического и метрологического обеспечения, гарантирующих создание условий и режимов испытаний, соответствующих указанным в ПМАИ системы НК;
- проверку наличия условий для проведения АИ системы НК (температура, влажность, освещенность);
- проведение АИ системы НК;
- оценку результатов АИ системы НК;
- оформление результатов АИ системы НК.
7.3 При неготовности системы НК к проведению испытаний АК должна принять решение о переносе срока ее работы и оповестить всех участников, а также сообщить условия, при которых АК может возобновить проведение АИ системы НК.
7.4 При выявлении каких-либо несоответствий в ходе АИ системы НК, препятствующих их продолжению, должны быть осуществлены меры по их устранению. При этом о принятых мерах АК делает соответствующую запись в протоколе. Допускается приложение к протоколу дополнительной информации, поясняющей причины несоответствий, в виде отдельного документа.
После устранения несоответствий АИ должны быть проведены повторно в объеме, определенном АК.
7.5 В протоколы АИ АК могут быть включены другие замечания и предложения (необходимость проведения дополнительных испытаний или проведения опытной эксплуатации испытуемой системы НК, внесение изменений в техническую документацию).
7.6 Перед проведением АИ все существенные параметры контроля испытуемой системы НК должны быть определены АК и не должны произвольно меняться во время проведения АИ (во время сбора и анализа результатов контроля). Все существенные параметры контроля для аттестуемой системы НК должны быть отображены АК в аттестационном отчете.
7.7 При проведении АИ системы НК персонал должен выполнять контроль ИО в соответствии с технологией контроля, изложенной в проекте методики НК.
Отбор ИО на контроль следует выполнять случайным образом в соответствии с
ГОСТ Р 50779.12.
Результаты НК должны фиксироваться персоналом в заключениях по контролю в соответствии с требованиями проекта методики НК. В заключениях также приводят информацию в виде дефектограммы, необходимую и достаточную для сопоставления результатов НК с паспортами ИО, содержащих дефектограммы. Дефектограммы являются документами, на основании которых делается заключение о выявлении дефектов, несплошностей, изменений размеров и формы или перебраковке в результате АИ системы НК.
7.8 По результатам АИ системы НК и рассмотрения представленных материалов АК оформляет аттестационный отчет, содержащий оценку результатов испытаний с конкретными формулировками, отражающими соответствие параметров испытанной системы НК параметрам, заданным в ТТ. В аттестационном отчете приводят следующую информацию:
- регистрационный номер отчета и дату его утверждения;
- наименование ГМО, проводившей АИ системы НК;
- наименование заявителя;
- наименование и (или) обозначение системы НК, наименования и обозначения средств контроля и проекта методики НК;
- дату и номер распорядительного документа о формировании АК (копия документа должна быть приложена к аттестационному отчету);
- наименование и обозначение ПМАИ системы НК;
- сведения о соответствии параметров испытуемой системы НК параметрам, заданным в ТТ;
- результаты оценки соответствия технической документации ТТ;
- перечень и подтверждение соблюдения существенных параметров контроля, влияющих на достоверность НК во время АИ;
- инициалы, фамилии, место работы и должность персонала, выполнившего контроль и оценку результатов во время проведения АИ системы НК;
- оценку работы персонала во время проведения АИ системы НК по соблюдению им пошаговых операций, предусмотренных проектом методики НК;
- указание возможности аттестации персонала, выполнившего контроль и выдачу заключений во время проведения АИ системы НК, в дополнительной области с применением средств контроля и методики НК, подвергшихся АИ, с правом выдачи заключений по результатам контроля и с правом участия в последующей подготовке и аттестации персонала для допуска к контролю с применением аттестованной системы НК;
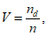
- ссылку на процедуры определения показателей достоверности НК, изложенные в данном стандарте, и результаты ее оценки либо результаты расчетов показателей достоверности измерительного контроля по
ГОСТ Р 50.05.16. При использовании расчетного способа по
ГОСТ Р 50.05.16 к аттестационному отчету должен прилагаться верификационный отчет для использованной расчетной модели с указанием диапазонов существенных параметров контроля, для которых они верифицированы;
- протоколы АИ со сравнительными таблицами, содержащими значения параметров ТТ и фактические значения параметров, полученные при АИ;
- сведения о месте(ах) проведения АИ системы НК.
7.9 Аттестационный отчет должен быть подписан членами АК и утвержден ее председателем. Утверждение аттестационного отчета означает окончание АИ (если в аттестационном отчете не содержится перенос сроков испытаний или необходимость дополнительной опытной эксплуатации или опробования системы НК).
После утверждения аттестационного отчета с положительным заключением ГМО оформляет и выдает свидетельство об аттестации системы НК (далее - свидетельство).
Свидетельство должно быть подписано председателем АК и утверждено руководителем ГМО. Аттестационный отчет является неотъемлемой частью свидетельства.
При отрицательном заключении по результатам АИ свидетельство не оформляется.
Форма титульного листа и содержание аттестационного отчета приведены в
приложении И. Допускается уточнять содержание разделов и вводить новые разделы в аттестационный отчет.
7.10 Свидетельство должно содержать следующую информацию:
- регистрационный номер и дату утверждения свидетельства;
- наименование и контактную информацию ГМО, проводившей АИ;
- сведения о месте(ах) проведения АИ;
- наименование заявителя, его контактную информацию;
- наименование и (или) обозначение системы НК;
- тип АИ [слепые (закрытые) или открытые];
- сведения об области применения системы НК;
- показатели достоверности контроля системы НК;
- заключение о соответствии испытанной системы НК установленным требованиям с указанием технических документов;
- сведения о персонале (инициалы, фамилии, место работы и должность персонала), выполнившем контроль и выдачу заключений при проведении АИ.
7.11 Аттестационный отчет и свидетельство оформляются в одном экземпляре и хранятся у заявителя. В ГМО хранятся электронные версии аттестационного отчета и свидетельства. Состав и структура электронной версии должны быть идентичны бумажному оригиналу.
7.12 В соответствии с
[8] свидетельство должно быть зарегистрировано в Реестре выданных свидетельств об аттестации систем НК.
7.13 ГМО или ее сотрудники не могут проводить АИ систем НК, к разработке, изготовлению или поставке которых они привлекались.
8 Оценка достоверности контроля металла оборудования, выполненного испытуемой системой неразрушающего контроля
8.1 Показателем, определяющим эффективность системы НК, является его достоверность.
Оценка достоверности контроля испытуемой системы НК должна обеспечивать подтверждение ее соответствия ТТ.
8.2 Достоверность контроля испытуемой системы НК и ее значения зависят от методики (метода), средств контроля, используемых в аттестуемой системе НК, и персонала, выполняющего контроль.
8.3 Процедуры определения показателей достоверности НК приведены в
приложении Л.
(рекомендуемое)
СОДЕРЖАНИЕ ОСНОВНЫХ РАЗДЕЛОВ ТЕХНИЧЕСКИХ ТРЕБОВАНИЙ
К СИСТЕМЕ НЕРАЗРУШАЮЩЕГО КОНТРОЛЯ
А.1 В разделе "Наименование и область применения (использования) системы неразрушающего контроля" указывают наименование системы НК, виды и количество средств контроля, наименование проекта методики НК в составе системы НК и характеристики объектов контроля, которые необходимо проконтролировать системой НК. В данном разделе должна быть приведена следующая информация по объектам и зонам НК:
- геометрия и размеры объектов и зон контроля, их возможные отклонения от требований конструкторской документации и нормативных правовых актов, и документов по стандартизации (для конкретных объектов или зон контроля);
- состояние поверхности объектов и зон контроля, включая шероховатость и волнистость, отложения, неэквидистантность контролируемых поверхностей;
- данные на все основные и сварочные материалы (тип, марка, стандарт или технические условия), использованные в объектах и зонах контроля;
- краткое описание технологии сварочных и монтажных работ при сборке конкретных объектов контроля;
- данные о каких-либо ремонтах (сваркой), проведенных за время существования (изготовления, монтажа и эксплуатации) объекта контроля;
- данные о форме разделки и корне сварных швов (при их наличии), усилении сварных соединений и наплавленных поверхностях, подлежащих контролю, если известные или постулируемые дефекты расположены в этих зонах;
- данные об изгибах, об изменении структуры слоев стенки (листа или трубы), о возможности наличия отложений и (или) вмятин (имеют существенное значение при контроле теплообменных труб парогенераторов вихретоковым методом);
- предполагаемое расположение средств контроля во время проведения контроля;
- габаритные ограничения в доступе к объекту и зоне контроля;
- ограничения времени проведения контроля, связанные с уровнем радиации и другими факторами окружающей среды.
А.2 В разделе "Основные показатели и характеристики целевого назначения системы неразрушающего контроля" указывают основные параметры и эксплуатационные характеристики, определяющие целевое использование и применение системы НК.
При изложении требований, определяющих целевое применение системы НК, особое внимание должно быть уделено следующим исходным данным:
а) данным о дефектах, несплошностях, изменениях размеров и формы, подлежащих выявлению:
1) технологическим и (или) эксплуатационным;
2) типах дефектов (при наличии информации: форма, внешний вид, макро-
и микроструктура);
3) геометрических размерах дефектов, несплошностей, изменений
размеров и формы оборудования, трубопроводов и других элементов
АС, которые должны быть выявлены (обнаружены) с заданными
показателями достоверности НК;
4) расположении дефектов (несплошностей) по объему контролируемого
металла. Расположение дефектов относительно корня сварного шва,
зоны сплавления, зоны термического влияния или усиления сварного
шва;
5) ориентации дефектов плоскостного типа [в осевом и окружном
направлениях, по наклону относительно нормали к наружной и (или)
внутренней поверхности];
6) металлографических исследованиях для эксплуатационных дефектов
типа трещин, которые имели место на объектах контроля или ИО
(при наличии);
б) требованиям к содержанию информации в результатах контроля и достоверности результатов контроля:
1) по выявлению дефектов, несплошностей, изменений размеров и формы с
учетом значений, установленных в проектно-конструкторской и (или)
технологической и (или) эксплуатационной документации;
2) к разрешающей способности (минимальное расстояние между двумя
дефектами или несплошностями, наблюдаемыми раздельно);
3) к достоверности результатов контроля. Количественные требования к
задаваемой достоверности НК должны содержать вероятность выявления
дефектов, недобраковки и перебраковки применительно к конкретным
типам и размерам дефектов объектов и зон контроля;
4) по распознаваемости дефектов (характерных различий в параметрах
дефектов разного вида). Примеры классификации дефектов приведены
5) к характеристикам воспроизводимости и повторяемости результатов
НК.
Примечание - Под воспроизводимостью результатов НК понимают степень близости результатов контроля, полученных одним методом (по одной методике), на идентичных ИО (или объектах контроля), разными операторами с использованием однотипных средств контроля;
6) к погрешности оценки или измерений размеров (характеристических
размеров, условных размеров) выявленных дефектов, несплошностей,
изменений размеров и формы;
7) к погрешности измерений координат выявленных дефектов,
несплошностей, изменений размеров и формы с привязкой к реперной
точке;
8) к ограничению по времени проведения НК (при необходимости);
в) требованиям по способу оценки параметров системы НК. Оценку параметров рекомендуется проводить следующими способами:
1) способом, используемым в методологии ENIQ, который заключается в
сочетании обязательных практических испытаний и технического
обоснования. При проведении АИ с учетом этого способа должны
быть использованы ИО с реальными или реалистичными дефектами,
несплошностями, изменениями размеров и формы, содержащие наихудшие
дефектные ситуации. Если в процессе практических испытаний будет
показано, что система НК отвечает ТТ и выявляет дефекты
в наихудших дефектных ситуациях, то из этого следует, что система
НК будет отвечать требованиям ТТ и для случаев, когда выявление и
(или) измерение размеров дефектов не вызывает затруднений.
При использовании способа по методологии ENIQ достоверность контроля испытуемой системы НК оценивается качественно без вычисления вероятностных характеристик;
2) способом PDI, который заключается в определении вероятности
выявления дефектов, несплошностей, изменений размеров и формы на
репрезентативной выборке в объектах и зонах контроля и оценки
показателей достоверности НК с учетом вероятности перебраковки
и недобраковки по результатам контроля;
3) оценки показателей достоверности измерительного контроля
использовании этого способа к аттестационному отчету должен
прилагаться верификационный отчет для использованной расчетной
модели с указанием диапазонов существенных параметров контроля,
для которых они верифицированы.
А.3 В разделе "Условия эксплуатации системы неразрушающего контроля" в зависимости от вида и назначения средств контроля в составе системы НК указывают:
- условия эксплуатации, при которых следует использовать средство контроля с заданными техническими показателями;
- требования по стойкости к воздействию внешних климатических факторов (температуры, влажности, атмосферного давления, радиации и т.д.).
А.4 В разделе "Требования к метрологическому обеспечению", в зависимости от вида и назначения средств контроля, приводят требования, выполнение которых должно обеспечить с необходимой точностью возможность измерений, проверки параметров и характеристик средств контроля и поверки и калибровки средств измерений из числа или из состава средств контроля.
Если в составе системы НК предполагается использование методик измерений, необходимо указать ссылки на имеющиеся аттестованные методики или требования к характеристикам методик, подлежащих разработке.
В раздел также включают ссылки на документы, регламентирующие методики поверки и калибровки средств измерений и учитывающие требования
ГОСТ Р 50.05.16.
А.5 В разделе "Перечень и состав технической документации" приводят:
- необходимую эксплуатационную документацию на средство контроля (руководство по эксплуатации, программная документация);
- в качестве отдельного документа разработанную методику НК и (или) методики измерений параметров выявленных дефектов, несплошностей, изменений размеров и формы.
А.6 В разделе "Тип аттестационных испытаний системы неразрушающего контроля" указывают требования:
- к типу испытаний [слепые (закрытые) или открытые];
- способу оценки результатов испытаний ("общей оценки" или "интервалов").
(рекомендуемое)
ПОДГОТОВКИ ТЕХНИЧЕСКИХ ТРЕБОВАНИЙ ДЛЯ ПОДБОРА
ИЛИ РАЗРАБОТКИ И ИЗГОТОВЛЕНИЯ ИСПЫТАТЕЛЬНЫХ ОБРАЗЦОВ
ДЛЯ ПРОВЕДЕНИЯ АТТЕСТАЦИОННЫХ ИСПЫТАНИЙ СИСТЕМЫ
НЕРАЗРУШАЮЩЕГО КОНТРОЛЯ
Б.1 ИО должны быть представительными с точки зрения соответствия металла, размеров, конфигурации сварных швов и наплавленных поверхностей (если ИО предназначены для испытания систем НК сварных швов и наплавленных поверхностей соответственно) и геометрии объектов и зон контроля. Должна обеспечиваться возможность установки ИО в испытательные или настроечные стенды.
Б.2 В целях проверки рабочих характеристик средств контроля и параметров проекта методики НК в составе системы НК ИО должны содержать реальные или реалистичные дефекты, реальные несплошности или реальные изменения размеров и формы для обеспечения оценки системы НК.
Б.3 ИО для проведения АИ системы НК, предназначенной для стадии изготовления и (или) монтажа оборудования АС, должны содержать реальные или реалистичные дефекты технологического характера [образующиеся в результате нарушения технологии изготовления и (или) монтажа].
ИО для проведения АИ системы НК, предназначенной для стадии эксплуатации оборудования АС, в первую очередь должны содержать реальные или реалистичные дефекты эксплуатационного характера (трещины, изменения размеров и формы).
Б.4 При технической возможности дефекты должны вноситься при помощи тех же механизмов повреждения, которые имеют место в реальном объекте и зоне контроля. При отсутствии такой возможности следует пользоваться реалистичными дефектами для моделирования реальных дефектов.
Б.5 Допускается использовать в качестве ИО объекты и зоны контроля (элементы АС или их части) с реальными дефектами, несплошностями, изменениями размеров и формы, вырезанные из штатных или опытных изделий.
Б.6 Размеры ИО должны обеспечивать необходимые отступы (свободное бездефектное пространство) для выполнения контроля в полном объеме в соответствии с методикой НК, например на один или два прохода преобразователя для ультразвукового и (или) вихретокового контроля. ИО должны изготавливаться, по возможности, в полном соответствии с использующимся штатным процессом изготовления объектов контроля.
Б.7 Изготовитель ИО должен проверить все выполненные сварные швы, основной металл и наплавленные поверхности для того, чтобы выявить все технологические (непреднамеренные) дефекты, несплошности, изменения размеров и формы с использованием ультразвуковых, радиографических или других методов контроля. Непреднамеренные дефекты следует либо удалить или отремонтировать, либо зафиксировать в паспорте ИО для использования при проведении АИ системы НК.
Б.8 В ТТ ИО должны быть указаны требования:
- к конструкции ИО;
- количеству дефектов, несплошностей, изменений размеров и формы, вносимых в ИО;
- типам дефектов, вносимых в ИО;
- распределению дефектов по размерам (характеристическим размерам, условным размерам);
- пространственному распределению дефектов в металле ИО;
- технологии изготовления и металлу(ам) ИО;
- механизмам (способам) внесения дефектов [механической обработкой, электроискровой (электроэрозионной) обработкой, выращиванием с помощью приложения механических и термических нагрузок, при помощи сварки, имплантации]. Приоритетным условием выбора механизма (способа) внесения дефектов является их реалистичность с точки зрения имитации типа (характера) выбранного дефекта для соответствующего метода контроля;
- указанию технологической документации на процессы внесения дефектов и процессы сварки;
- проверке качества изготовленных ИО;
- маркировке;
- характеристикам погрешности размеров (характеристических размеров, условных размеров) дефектов (несплошностей, изменений размеров и формы) в ИО;
- паспортизации ИО;
- конфиденциальности, если ИО будут использоваться для слепых (закрытых) испытаний.
Б.9 На каждый ИО должна быть нанесена маркировка с указанием учетного номера и точки начала отсчета координат для определения местоположения дефектов, несплошностей, изменений размеров и формы. На ИО оборудования АС в виде темплетов сварные швы должны быть протравлены с обработанных торцов и на протравленных местах должны быть нанесены оси сварных швов.
Б.10 Распределение размеров (характеристических размеров, условных размеров), количество и тип дефектов или комбинаций дефектов, которые вводятся в ИО, должны соответствовать ТТ на систему НК и зависят:
- от комбинации совмещения реальных размеров дефектов с критическими размерами дефектов для элемента контроля на стадии эксплуатации (трубопровод, корпус сосуда давления);
- общего количества дефектов, которое возможно ввести в ИО;
- использования способа оценки, параметров целевого использования средств и методик НК по методологии ENIQ с наихудшими дефектными ситуациями без оценки достоверности контроля, или способа PDI с оценками вероятности выявления дефектов и достоверности НК, определяющих количество необходимых дефектов, несплошностей, изменений размеров и формы;
- типа испытаний [слепые (закрытые) или открытые].
Б.11 После выполнения контроля ИО, независимо от того, какие дефекты, несплошности, изменения размеров и формы они содержат (реальные или реалистичные), на каждый из них должен быть составлен паспорт.
Паспорт на ИО должен содержать:
- наименование и описание ИО с приложением чертежа или эскиза;
- учетный номер ИО;
- марку(и) металла основных частей ИО;
- ссылку на описание технологии изготовления ИО [технология сварки, механической обработки, механизмы (способы) внесения дефектов и т.д.];
- дефектограммы расположения и размеры (характеристические размеры, условные размеры) реальных и (или) реалистичных дефектов, подлежащих выявлению, в сварных швах, наплавленных поверхностях и основном металле ИО по результатам НК в процессе паспортизации различными методами [визуальным и измерительным, капиллярным, ультразвуковым, радиографическим (с приложением заключения и снимков) или другими методами НК, включая отметки о всех зафиксированных индикациях независимо от их размеров]. При указании характеристических или условных размеров должны быть указаны средства контроля, которыми определялись эти размеры, а также значения основных параметров контроля;
- обобщенную дефектограмму по всем методам НК с указанием расположения и размеров (характеристических размеров или условных размеров) дефектов в сварных швах, наплавленных поверхностях и основном металле ИО с указанием границ дефектов, полученных по результатам контроля в процессе паспортизации.
Обобщенная дефектограмма является исходным документом, на основании которого делается заключение о выявлении дефектов, несплошностей, изменений размеров и формы в результате АИ системы НК.
Б.12 В ТТ ИО должны быть приведены требования к разработке обоснования выбора технологии изготовления дефектов для подтверждения того, что внесенные дефекты, несплошности, изменения размеров и формы в достаточной степени будут являться реалистичными моделями для испытуемой системы НК.
(справочное)
ФОРМА ТИТУЛЬНОГО ЛИСТА И СОДЕРЖАНИЯ ПРОГРАММЫ
И МЕТОДИКИ АТТЕСТАЦИОННЫХ ИСПЫТАНИЙ
Наименование ГМО УТВЕРЖДАЮ Руководитель ГМО ___________ Ф.И.О. "__" _______ 20__ г. Программа и методика аттестационных испытаний СИСТЕМА НЕРАЗРУШАЮЩЕГО КОНТРОЛЯ ___________________ 20__ |
Содержание 1 Общие положения 2 Программа аттестационных испытаний 2.1 Описание объекта аттестационных испытаний 2.2 Цель аттестационных испытаний 2.3 Тип аттестационных испытаний 2.4 Основные документы 2.5 Объем аттестационных испытаний 2.6 Условия и порядок проведения аттестационных испытаний 2.7 Требования безопасности при проведении аттестационных испытаний 2.8 Материально-техническое обеспечение аттестационных испытаний 2.9 Метрологическое обеспечение аттестационных испытаний 2.10 Ответственность за обеспечение и проведение аттестационных испытаний 2.11 Выявление несоответствий в ходе аттестационных испытаний 2.12 Отчетность по аттестационным испытаниям 3 Методика аттестационных испытаний 3.1 Описание объекта аттестационных испытаний 3.2 Цель аттестационных испытаний 3.3 Тип аттестационных испытаний 3.4 Оцениваемые характеристики 3.5 Процедура определения показателей достоверности контроля 3.6 Условия и порядок проведения аттестационных испытаний 3.7 Способы обработки и анализа результатов аттестационных испытаний 3.8 Критерии подготовленности (неподготовленности) средств контроля, методик неразрушающего контроля и необходимой документации к аттестационным испытаниям 3.9 Критерии оценки соответствия системы неразрушающего контроля 3.10 Описание технических характеристик используемых стендов, средств контроля и метрологических характеристик средств измерений 3.11 Требования для подбора или разработки и изготовления испытательных образцов для проведения аттестационных испытаний, имитирующих реальные объекты контроля Приложение А (обязательное) Перечень применяемых средств измерений Приложение Б (обязательное) Форма протокола аттестационных испытаний Приложение В (обязательное) Сокращения Библиография |
(справочное)
ФОРМА ЗАЯВКИ НА ПРОВЕДЕНИЕ АТТЕСТАЦИОННЫХ ИСПЫТАНИЙ СИСТЕМЫ
НЕРАЗРУШАЮЩЕГО КОНТРОЛЯ
Заявка N _____ на проведение аттестационных испытаний |
| N п/п | Наименование | Описание | |
1 | Заявитель | |
2 | Место осуществления деятельности Заявителя | |
3 | Банковские реквизиты Заявителя | |
4 | Лицо, ответственное за аттестационные испытания объекта аттестационных испытаний от Заявителя | |
5 | Основание проведения | |
6 | Регламентирующий документ | |
7 | Наименование системы неразрушающего контроля | |
8 | Назначение системы неразрушающего контроля | |
9 | Область применения системы неразрушающего контроля | |
10 | Поставщик средств контроля, методики неразрушающего контроля | |
11 | Производитель средств контроля | |
12 | Характер производства | |
13 | Заводские (идентификационные) номера образцов средств контроля, представленных на аттестационные испытания | |
14 | Идентификационный номер проекта методики неразрушающего контроля | |
15 | Документы, по которым осуществляется изготовление средств контроля | |
16 | Документы, содержащие результаты проведения заводских испытаний средств контроля и методики неразрушающего контроля | |
17 | Методы неразрушающего контроля | |
18 | Документы, на основании которых осуществлялась разработка методики контроля | |
|
(рекомендуемое)
СОДЕРЖАНИЕ ОСНОВНЫХ РАЗДЕЛОВ ПРОЕКТА
МЕТОДИКИ НЕРАЗРУШАЮЩЕГО КОНТРОЛЯ МЕТАЛЛА
Д.1 В разделе "Назначение методики неразрушающего контроля металла" указывают объекты и зоны контроля, на которые распространяется настоящая методика, для выявления каких эксплуатационных и (или) технологических дефектов она предназначена и на основе требований каких документов (нормативных правовых актов, документов по стандартизации) она разработана.
Д.2 В разделе "Описание применяемых методов и способов неразрушающего контроля" указывают выбранные методы и способы НК, краткое описание их физических принципов, последовательность или совокупность их применения в методике контроля, позволяющей выявлять требуемые дефекты, несплошности, изменения размеров и формы в объекте и зоне контроля и оценивать или измерять их характеристики.
Д.3 В разделе "Требования к аппаратуре, средствам и вспомогательным приспособлениям" указывают:
- тип (марку) применяемой аппаратуры и условия ее эксплуатации;
- типы или конструкции автоматизированных средств доставки преобразователей в зону контроля (для автоматизированных и полуавтоматизированных средств контроля);
- типы преобразователей или аналогичных им устройств, используемых для получения информации;
- контрольные и настроечные образцы, вспомогательные устройства настройки аппаратуры для проверки основных параметров контроля, настроечные стенды или сборки;
- типы и основные характеристики аппаратуры сбора, обработки и хранения информации по ГОСТ 4.177;
- описание программных средств и программных изделий (для автоматизированных и полуавтоматизированных средств контроля);
- требования к вспомогательным и расходным материалам и вспомогательным приспособлениям и их типы.
При применении контрольных, настроечных образцов и вспомогательных устройств должны быть приведены необходимые данные для их изготовления. Если в качестве настроечных образцов используют объекты и зоны контроля, то должны быть указаны требования и критерии по их отбору для использования в этих целях.
Д.4 В разделе "Подготовка к контролю" указывают:
- положение объекта и зоны контроля, при котором осуществляют контроль;
- порядок операций подготовки объекта и зоны контроля;
- требования к температуре объекта и зоны контроля, качеству поверхности, на которой будут располагаться преобразователи или аналогичные им устройства для получения информации;
- способы обеспечения контакта между преобразователем и объектом (зоной) контроля (для контактных методов контроля) и применяемые при этом контактирующие среды;
- порядок размещения аппаратуры и проверки ее работоспособности перед проведением контроля;
- требования к параметрам окружающей среды и способы учета их нестабильности, если это влияет на результаты контроля;
- выбор основных параметров контроля, процедуру настройки аппаратуры.
Д.5 В разделе "Проведение контроля" приводят:
- последовательность применения выбранных методов или способов контроля и их вариантов;
- процедуры и схемы поиска и фиксации дефектов, такие как сканирование, прозвучивание, просвечивание, запись, архивирование и т.д.;
- пример технологической карты контроля;
- периодичность проверки основных параметров контроля в процессе контроля;
- признаки выявления дефектов (несплошностей, изменений размеров и формы) по показаниям индикаторов аппаратуры;
- характеристики выявляемых дефектов, несплошностей, изменений размеров и формы и способы их определения;
- определяемые характеристики выявленных дефектов, несплошностей, изменений размеров и формы, способы их измерения;
- порядок выполнения заключительных операций с указанием способов очистки объектов и зон контроля от контактных сред и их защиты от коррозии, последовательности приведения аппаратуры в нерабочее состояние после проведения контроля;
- показатели достоверности НК, достигаемые при применении данной аппаратуры, методики контроля и соответствующей квалификации персонала, которые подтверждены в ходе АИ.
Если методика НК предусматривает выявление различных дефектов (технологических, эксплуатационных) с различными характеристиками и в разных объектах и (или) зонах контроля, то значения достоверности контроля должны быть приведены для каждого конкретного случая отдельно.
Д.6 В разделе "Оценка результатов контроля и оформление результатов контроля" указывают:
- ссылку на документ, содержащий нормы оценки качества объекта и зоны по результатам контроля;
- предельные значения определяемых характеристик выявленных дефектов, несплошностей, изменений размеров и формы, обусловленные принятой системой оценки;
- принятые условные обозначения выявляемых дефектов, несплошностей, изменений размеров и формы;
- форму заключения (протокола) контроля, в котором фиксируют результаты контроля.
Д.7 Методика НК должна содержать процедуры по сбору и анализу данных. Схема анализа данных, используемая для принятия решения о том, что выявленные несплошности или изменения идентифицируются как дефекты, является важной частью методики контроля. Схема анализа данных результатов контроля должна быть подробной.
В последовательность действий для подготовки заключений, которые должны быть сделаны в результате контроля, включают:
- критерии, использованные для разделения сигналов, соответствующих геометрии контролируемых элементов и реальных дефектов, несплошностей, изменений размеров и формы;
- способы, при помощи которых результаты различных методов контроля были скомбинированы для принятия решения о соответствии или несоответствии сигнала несплошности;
- критерии, использованные для определения типа дефекта (объемный или плоскостной, несплавление или трещина и т.д.);
- критерии (методы), использованные для оценки или измерения размеров выявленных дефектов (несплошностей, изменений размеров и формы).
Д.8 В разделе "Требования к квалификации персонала, выполняющего неразрушающий контроль" указывают общие требования к квалификации и аттестации персонала, проводящего НК, в соответствии с требованиями
ГОСТ Р 50.05.11, а также дополнительные требования к аттестации персонала для контроля конкретных объектов и зон контроля, по конкретной методике НК, с использованием конкретных средств контроля и методики НК.
Д.9 В разделе "Требования к метрологическому обеспечению" приводят требования к метрологическому обеспечению аппаратуры НК, используемых контрольных, настроечных или стандартных образцов, вспомогательных устройств и дополнительных средств измерений с учетом требований
ГОСТ Р 50.05.16.
Для проекта методики НК с выполнением измерений в раздел включают подраздел "Контроль качества измерений", содержащий процедуры, периодичность проведения и критерии (нормативы) контроля качества измерений.
Д.10 В разделе "Требования правил и норм охраны труда при выполнении контроля" указывают требования, соблюдение которых обязательно при контроле объектов и зон контроля выбранными методами НК.
(справочное)
СТРУКТУРА И СОДЕРЖАНИЕ ОСНОВНЫХ РАЗДЕЛОВ
ТЕХНИЧЕСКОГО ОБОСНОВАНИЯ
Е.1 Содержание каждого конкретного раздела технического обоснования зависит от требований к аттестуемой системе НК.
В техническое обоснование включают следующие разделы:
- введение;
- краткое изложение исходной информации;
- краткое описание системы НК;
- анализ существенных параметров контроля;
- предварительная оценка методики контроля;
- физическое обоснование;
- расчетное обоснование;
- объединение объектов и зон контроля в одну группу (при необходимости);
- экспериментальные данные, полученные в ходе разработки средств контроля и методики контроля металла;
- анализ параметрических исследований;
- анализ средств контроля и процедуры расшифровки данных контроля;
- анализ требований к квалификации и аттестации персонала;
- выводы и рекомендации.
Е.2 В раздел "Введение" включают задачи, поставленные перед системой НК, и перечень экспериментальных и расчетных материалов, которые представлены в техническом обосновании, свидетельствующих о возможности системы НК выполнить ТТ.
Е.3 В разделе "Краткое изложение исходной информации" приводят общие данные об объекте и зоне контроля, используемых материалах, дефектах, условиях проведения контроля, ограничениях доступа и т.д., то есть все факторы, влияющие на результаты применения аттестуемой системы НК.
Е.4 В разделе "Краткое описание системы НК" приводят описание аттестуемой системы НК, включая ее состав (средства и методику контроля металла, требования к квалификации персонала, выполняющего контроль).
Е.5 В разделе "Анализ существенных параметров контроля" приводят параметры, изменение значений которых существенно влияет на проведение и результаты контроля. В каждом конкретном случае выполняется анализ, позволяющий определить существенные параметры контроля для испытуемой системы НК.
Е.6 В разделе "Предварительная оценка методики контроля" приводят результаты оценки следующих показателей:
- последовательность изложения методики НК, т.е. что содержащиеся в ней руководства просты, понятны персоналу, выполняющему НК;
- наличие возможных недостатков (в полноте и точности измерений методики);
- параметры, которые являются существенными для рассматриваемой методики НК;
- правильность выбора значений существенных параметров контроля;
- соответствие ТТ или иным нормативным правовым актам и документам по стандартизации в том, что касается зон и объемов контроля, предполагаемых местоположений и ориентации дефектов, несплошностей, изменений размеров и формы, регистрации признаков дефектов, измерения размеров (характеристических размеров, условных размеров) дефектов, определения типа дефектов;
- пошаговое изложение анализа собранных данных и описание процедуры оценки результатов контроля;
- правильность применения метрологических требований к средствам и методам измерений и требований к аттестации и квалификации персонала, выполняющего контроль.
Е.7 В разделе "Физическое обоснование" приводят обоснование выбора методики и способа ее применения.
Объяснив выбор методики НК, необходимо обосновать и способ ее применения.
Примечание - Если взять в качестве примера ультразвуковой контроль, необходимо обосновать выбор способа контроля (эхо-импульсный, зеркально-теневой, эхо-теневой, эхо-зеркальный, дифракционный и т.д.).
Е.8 В раздел "Расчетное обоснование" включают результаты расчетов, выполненных в ходе имитационного моделирования, подтверждающие выбор параметров контроля (прогнозирование сигналов от дефектов с учетом их характеристик, а также влияния местоположения и ориентации дефектов, прогнозирования зоны контроля и объема контроля конкретного объекта и зоны контроля).
При использовании имитационной модели к техническому обоснованию прилагается верификационный отчет для использованной расчетной модели с указанием диапазонов существующих параметров контроля, для которых они верифицированы.
Имитационное моделирование должно воспроизводить функционирование испытуемой системы НК на основе результатов анализа взаимосвязей между всеми ее составляющими (средствами контроля, методикой контроля, персоналом, выполняющим контроль).
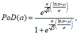
Е.8.1 Расчетная процедура оценки достоверности контроля испытуемой системы НК в техническом обосновании должна основываться на статистическом имитационном моделировании для всех объектов и (или) зон контроля и всех типов дефектов, заданных в ТТ, и содержать следующие этапы:
- подбор, систематизация и классификация данных НК для дальнейшего статистического анализа. Классификация проводится по типу дефекта, месту его расположения и ориентации в объекте контроля (типу сварного соединения, типам оборудования АС), размеру;
- определение набора информативных признаков и связанных с ними параметров сигналов, получаемых от средств контроля. Из всего комплекса признаков сигналов следует выбирать те, для которых разность значений между дефектной и бездефектной областями максимальна;
- определение области всех возможных значений информативных параметров;
- построение статистической модели, которая представляет собой совокупность функций распределения вероятности информативных параметров для сигналов от дефектов и сигналов от бездефектных областей, в области значений информативных параметров. Эти функции могут быть получены расчетным способом или установлены экспериментально на представительной выборке данных;
- выбор критериев принятия решения о наличии дефекта, достоверности контроля и порога выявления несплошностей (изменений) с учетом последствий ошибок первого и второго рода, т.е. ошибки перебраковки и недобраковки. Выбранный порог выявления дефекта считается оптимальным в том случае, если ошибки перебраковки и недобраковки минимизированы;
- расчет вероятности правильного обнаружения дефекта и бездефектной области на основании функций распределения.
Е.8.2 В процессе имитационного моделирования используют расчеты для решения следующих задач:
- определение наиболее сложных для выявления дефектов (несплошностей, изменений размеров и формы) из числа приведенных в ТТ;
- выявление дефектов в наихудших дефектных ситуациях;
- экстраполяция и обоснование экспериментальных данных по полному диапазону существенных параметров контроля;
- демонстрация применимости смоделированной ситуации ко всем элементам в группе объектов контроля вне зависимости от различий в геометрических формах и размерах;
- проведение статистического анализа практических и теоретических результатов с учетом погрешностей;
- определение вероятности наличия постулированного дефекта в конкретной области объекта (зоне) контроля на основе расчетов напряженно-деформированного состояния конструкции и эксплуатационных нагрузок.
Е.8.3 Для ультразвукового контроля используют модели, позволяющие:
- вычислять прохождение ультразвуковых волн или акустические поля в объектах контроля сложной геометрии с учетом отражений от постулированных дефектов;
- прогнозировать амплитуды сигналов от постулированных дефектов как функции положения преобразователя;
- прогнозировать прохождение волн или акустические поля в анизотропном и неоднородном материале (в аустенитных или разнородных сварных швах) с учетом отражений от постулированных дефектов;
- продемонстрировать наличие дифрагированных сигналов от дефектов на выбранных уровнях чувствительности для обоснования использования их при определении размеров дефектов.
Е.8.4 Для вихретокового контроля используют модели, позволяющие:
- прогнозировать изменение импеданса от постулированных дефектов в зависимости от положения и частоты преобразователя, геометрии объекта контроля и мешающих факторов (отложения, дистанционирующие решетки);
- прогнозировать распределение электрических и магнитных полей в зависимости от материала и геометрии объекта и зоны контроля.
Е.9 В раздел "Объединение объектов и зон контроля в одну группу" включают:
- анализ изменений геометрии и размеров объектов и зон контроля, объединенных в одну группу. Обоснование возможности использования одних и тех же ИО и одинаковых типов дефектов ко всем объектам и зонам контроля в группе;
- анализ имеющихся различий в методиках контроля для различных объектов контроля с целью подтверждения применимости результатов испытаний с использованием отдельных ИО ко всем объектам и зонам контроля в группе.
Е.10 В раздел "Экспериментальные данные, полученные в ходе разработки средств контроля и методики контроля металла" включают:
- результаты испытаний, проводившихся в рамках предшествующих работ (результаты заводских испытаний, результаты контроля объектов и зон контроля);
- результаты экспериментальных исследований, проводившихся в лабораторных условиях с использованием репрезентативных или упрощенных образцов;
- результаты опыта контроля объектов и зон контроля по аналогичной методике контроля и с использованием аналогичных средств контроля.
Е.11 Раздел "Анализ параметрических исследований" содержит анализ значимости влияния параметров на результаты и достоверность результатов контроля, проводимый с помощью исследований на ИО.
Параметрические исследования следует проводить для оценки:
- шероховатости и волнистости поверхности объекта и зоны контроля;
- шероховатости дефекта (несплошности);
- геометрических параметров дефекта (несплошности, изменения размеров и формы);
- различия сигналов от реальных и искусственных дефектов;
- геометрии корня и усиления сварного шва;
- отклонений геометрических размеров объекта и зоны контроля от установленных требований.
Е.12 В раздел "Анализ средств контроля и процедуры расшифровки результатов контроля" включают:
- информацию, обосновывающую выбор существенных параметров контроля, относящихся к средству контроля;
- обоснование пригодности средства контроля для целей контроля с учетом диапазонов параметров и соответствующих погрешностей;
- информацию о возможности автоматической регистрации данных контроля (включая информацию о качестве процесса сбора данных и выявленных дефектах);
- анализ процедур сопоставления результатов контроля и критериев браковки.
Е.13 В раздел "Анализ требований к квалификации и аттестации персонала" включают результаты анализа положительных и отрицательных факторов, связанных с персоналом и оказывающих влияние на результаты контроля.
К факторам, оказывающим положительное влияние, относятся: опыт (стаж работы), квалификация, специальное образование, интеллект (творческие способности), дисциплинированность, внимательность (переключаемость внимания), ответственность за выполнение контроля.
К факторам, оказывающим отрицательное влияние, относятся: отсутствие опыта (недостаточный стаж работы), недостаточная компетентность, отсутствие специального образования, недисциплинированность, рассеянность, невнимательность (непереключаемость внимания), однообразие и монотонность деятельности, усталость.
В данном разделе приводят результаты анализа достаточности требований к компетентности и аттестации персонала, как к базовой аттестации, так и к той, которая добавляется в соответствии с методикой НК в составе испытуемой системы НК.
Е.13.1 Следует рассмотреть необходимость дополнительной специальной подготовки и аттестации персонала в случаях применения методик НК, для которых не существует типовой процедуры аттестации (например, методик контроля разнородных сварных соединений, наплавок; контроль при наличии сложной геометрии объекта контроля или изменяющейся толщины металла объекта контроля и др.).
Е.13.2 С целью уменьшения влияния "человеческого фактора" следует проанализировать вопросы, предназначенные для персонала, выполняющего анализ данных контроля, и в частности автоматизированного контроля:
- знание системы координат, связанной с объектом контроля (это относится главным образом к объектам и зонам контроля со сложной геометрией);
- определение влияния геометрии объекта и зоны контроля на анализ результатов контроля;
- неблагоприятное влияние свойств материала (анизотропия и неоднородность в аустенитных или разнородных сварных швах) на выполнение анализа результатов контроля;
- специфические вопросы, касающиеся пакетов программ, используемых персоналом при выполнении анализа результатов контроля.
Е.13.3 Следует проанализировать факторы, которые необходимо моделировать в ходе дополнительной аттестации персонала:
- ограничения времени проведения контроля, являющиеся результатом повышенных радиационного и температурного уровней или уровня шума;
- проведение контроля в труднодоступных зонах или неудобных положениях.
Е.14 В раздел "Выводы и рекомендации" включают:
- соответствие параметров аттестуемой системы НК параметрам, заданным в ТТ;
- оценку разработанного проекта методики НК;
- оценку достоверности контроля по результатам экспериментальных данных, полученных в ходе разработки средств контроля и проекта методики контроля металла, расчетного обоснования, имитационного моделирования;
- рекомендации о возможности дальнейшего использования по назначению системы НК.
(справочное)
ФОРМА ПРИКАЗА ОБ ОБРАЗОВАНИИ АТТЕСТАЦИОННОЙ КОМИССИИ
Наименование ГМО ПРИКАЗ _____________ N ____________ Москва Об образовании аттестационной комиссии для проведения аттестационных испытаний системы неразрушающего контроля Для проведения аттестационных испытаний системы неразрушающего контроля основного металла, сварных соединений и наплавленных поверхностей оборудования и трубопроводов атомной станции (исследовательской ядерной ПРИКАЗЫВАЮ: 1. Образовать аттестационную комиссию в следующем составе: Председатель комиссии: Ф.И.О. Должность Заместитель председателя комиссии: Ф.И.О. Должность Члены комиссии от ГМО: Ф.И.О. Должность Члены комиссии в статусе наблюдателей с правом подписи: Ф.И.О. Должность Аттестационной комиссии: 1.1 Провести аттестационные испытания в соответствии с программой и методикой аттестационных испытаний. 1.2 Приступить к выполнению аттестационных испытаний с ______ и завершить аттестационные испытания ______. 2. По результатам аттестационных испытаний системы неразрушающего контроля и рассмотрения представленных материалов оформить аттестационный отчет. 3. Председателю аттестационной комиссии в срок до ______ по результатам аттестационных испытаний оформить: - в случае положительного решения по результатам аттестационных испытаний - свидетельство об аттестации системы неразрушающего контроля; - в случае отрицательного решения по результатам аттестационных испытаний - протокол с указанием возможных сроков повторного проведения аттестационных испытаний системы неразрушающего контроля. Руководитель ГМО ________________ Ф.И.О. |
(справочное)
ФОРМА ТИТУЛЬНОГО ЛИСТА И СОДЕРЖАНИЕ АТТЕСТАЦИОННОГО ОТЧЕТА
Наименование ГМО УТВЕРЖДАЮ Председатель аттестационной комиссии _____________ Ф.И.О. "__" _________ 20__ г. Аттестационный отчет по результатам аттестационных испытаний СИСТЕМЫ НЕРАЗРУШАЮЩЕГО КОНТРОЛЯ _______________________ N _________________ Москва 20__ |
СОДЕРЖАНИЕ ВВЕДЕНИЕ 1 Объект аттестационных испытаний и основания для проведения испытаний 1.1 Объект испытаний 1.2 Основания для проведения испытаний 2 Организация аттестационных испытаний системы неразрушающего контроля 2.1 Этапы проведения испытаний 2.2 Объем проведенных испытаний 2.3 Описание технических характеристик использовавшегося стенда 2.4 Информация об испытательных образцах, использовавшихся для проведения испытаний 2.5 Условия при проведении испытаний 3 Описание проведенных аттестационных испытаний системы неразрушающего контроля 3.1 Проверка представленной документации 3.2 Проверка параметров и характеристик системы неразрушающего контроля 3.3 Проверка системы неразрушающего контроля по назначению 3.4 Соблюдение существенных параметров контроля 3.5 Компетентность персонала, выполнявшего контроль 4 Результаты проверки документации, параметров, характеристик и функций назначения системы неразрушающего контроля 4.1 Результаты проверки соответствия представленной технической документации техническим требованиям 4.2 Результаты проверки параметров и характеристик системы неразрушающего контроля 4.3 Результаты проверки функций назначения системы неразрушающего контроля 5 Выводы и замечания 5.1 Подтверждение соответствия параметров системы неразрушающего контроля 5.2 Оценка эффективности и достоверности контроля 5.3 Оценка проектов методик контроля 5.4 Оценка работы персонала 5.5 Возможность использования системы неразрушающего контроля по назначению Список использованных источников Приложение А (обязательное) Приказ об образовании аттестационной комиссии для проведения аттестационных испытаний системы неразрушающего контроля Приложение Б (обязательное) Заявка на проведение аттестационных испытаний Приложение В (обязательное) Перечень применяемых при испытаниях средств измерений Приложение Г (обязательное) Протоколы аттестационных испытаний Приложение Д (обязательное) Заключения по контролю испытательных образцов Приложение Е (обязательное) Аттестационные удостоверения персонала, проводившего контроль |
(рекомендуемое)
ФОРМА СВИДЕТЕЛЬСТВА ОБ АТТЕСТАЦИИ
Наименование ГМО _______________________________________________________________ СИСТЕМА ОЦЕНКИ СООТВЕТСТВИЯ В ОБЛАСТИ ИСПОЛЬЗОВАНИЯ АТОМНОЙ ЭНЕРГИИ СВИДЕТЕЛЬСТВО ОБ АТТЕСТАЦИИ СИСТЕМЫ НЕРАЗРУШАЮЩЕГО КОНТРОЛЯ N _____ Дата утверждения ________ _______________________________________________________________ Наименование и контакты организации, проводившей аттестационные испытания _______________________________________________________________ Место (места) проведения испытаний _______________________________________________________________ Наименование и контакты заявителя _______________________________________________________________ Наименование и обозначение системы неразрушающего контроля _______________________________________________________________ Тип аттестационных испытаний, место(а) их проведения _______________________________________________________________ Область применения _______________________________________________________________ _______________________________________________________________ Показатели достоверности _______________________________________________________________ Заключение о соответствии системы неразрушающего контроля по результатам аттестационных испытаний техническим требованиям. Сведения о персонале, выполнившем контроль и выдачу заключений при проведении аттестационных испытаний Руководитель ГМО Ф.И.О. Свидетельство выдано на основании: Аттестационного отчета N _________ дата __________, являющегося неотъемлемой частью настоящего свидетельства. Председатель аттестационной комиссии Должность Ф.И.О. |
Рисунок К.1
(рекомендуемое)
ОПРЕДЕЛЕНИЯ ПОКАЗАТЕЛЕЙ ДОСТОВЕРНОСТИ НЕРАЗРУШАЮЩЕГО КОНТРОЛЯ
Возможны два вида оценок достоверности - по альтернативному и количественному признакам.
Л.1 Анализ выявляемости дефектов (несплошностей, изменений размеров и формы) и расчет достоверности контроля испытуемой системы НК по альтернативному признаку при выполнении АИ выполняют одним из следующих способов:
а) сравнение результатов контроля, выполненного испытуемой системой НК, с паспортными данными на ИО - прямое сравнение;
б) сравнение результатов контроля, выполненного испытуемой системой НК, с результатами контроля, выполненного по эталонному методу, - относительное сравнение;
в) сравнение, основанное на информации о дефектах, полученной испытуемой системой НК при контроле объектов и зон контроля или ИО, с результатами разрушающего контроля этих объектов и зон контроля или ИО - абсолютное сравнение.
Характеристики для сравнения и процедура сравнения устанавливаются в ПМАИ системы НК.
Л.1.1 При прямом сравнении оценки вероятности выявления и (или) достоверности контроля испытуемой системы НК следует производить по результатам АИ, которые включают в себя проведение НК ИО.
Л.1.2 При невозможности использования метода разрушающего контроля в качестве эталонного метода может быть использован метод НК, основанный на том же или на другом физическом принципе, что и испытуемый, но обладающий лучшими характеристиками по сравнению с испытуемым (чувствительность, разрешающая способность).
Л.1.3 Абсолютное сравнение основано на информации о содержащихся дефектах (несплошностях, изменениях размеров и формы) в объектах контроля (или в ИО), полученной по результатам проведения разрушающего контроля. Для реальных объектов контроля подобный разрушающий контроль проводится только после их удаления из оборудования АС. В этом случае вычисление значения оценки вероятности выявления дефектов следует проводить по
формуле (Л.1), где в качестве эталонных данных принимаются данные разрушающего контроля.
Л.1.4 При сравнении результатов НК, полученных в ходе АИ системы НК, с данными, приведенными в паспортах на ИО, или результатами разрушающего контроля может быть использован способ "общей оценки" или способ "интервалов".
Л.1.5 При сравнении результатов НК, полученных в ходе АИ, с данными, приведенными в паспортах на ИО, или с результатами разрушающего контроля по способу "общей оценки" проводят сравнение выявленных дефектов, несплошностей, отклонений характеристических размеров и формы для всего ИО. При сравнении по способу "интервалов" проводят сравнение выявленных дефектов для соответствующего участка ИО, при этом если дефект оказывается расположенным в нескольких участках, то его часть в отдельном участке должна рассматриваться как отдельный дефект, но с учетом результата выявления в соседнем участке. Пример процедуры сравнения для способа "интервалов" показан на
рисунке Л.1.
Примечания
1 Дефектограмма должна быть привязана к реперной точке на сварном соединении.
2 Каждому дефекту (несплошности) на дефектограмме должен быть присвоен свой порядковый номер.
3 Дефектограмма должна быть разбита на одинаковые по протяженности интервалы. Протяженность и количество интервалов будут зависеть от периметра сварного соединения или его контролируемой части.
4 На дефектограмме должны быть указаны координаты начала и окончания каждого дефекта (несплошности).
О - обнаружено (оценено) правильно;
П - перебраковка; Н - не обнаружено
Рисунок Л.1 - Пример процедуры сравнения результатов НК
с действительной дефектной ситуацией для расчета
показателей достоверности результатов контроля
В зависимости от типа объекта и (или) зоны контроля, определяемых характеристик реальных или реалистичных дефектов, длины участка, подлежащего НК, для конкретного типа объекта и зоны контроля ИО следует разбивать на одинаковые интервалы.
Значения вероятности выявления дефектов, заданные в ТТ на систему НК, должны быть оценены при проведении АИ на ИО.
Л.1.6 Оценка вероятности выявления дефектов, несплошностей, изменений размеров и формы, как и достоверности контроля, может быть точечной и доверительной (с уровнем доверия).
В качестве точечной оценки вероятности выявления принимают относительную частоту выявления по формуле

(Л.1)
где nd - количество событий, состоящих в выявлении (обнаружении) заданных дефектов при контроле испытуемой системой НК;
n - общее количество негодных образцов или участков в ИО (или дефектов заданного типа и размеров в ИО), занесенных в паспорт ИО и подлежащих выявлению.
После определения точечной оценки вероятности выявления дефектов заданного типа и размеров по
формуле (Л.1) с учетом объема выборки в соответствии с биноминальным распределением определяется нижняя граница доверительного интервала вероятности выявления. Нижняя граница доверительного интервала может быть определена по таблице Л.1.
Таблица Л.1
Нижний односторонний 95%-ный уровень доверительной
вероятности для биноминального распределения
N/D | 1 | 2 | 3 | 4 | 5 | 6 | 7 | 8 | 9 | 10 | 11 | 12 | 13 | 14 | 15 | 16 | 17 | 18 | 19 | 20 | 22 |
1 | 0.050 | | | | | | | | | | | | | | | | | | | | |
2 | 0.025 | 0.224 | | | | | | | | | | | | | | | | | | | |
3 | 0.017 | 0.135 | 0.368 | | | | | | | | | | | | | | | | | | |
4 | 0.013 | 0.098 | 0.249 | 0.473 | | | | | | | | | | | | | | | | | |
5 | 0.010 | 0.076 | 0.189 | 0.343 | 0.549 | | | | | | | | | | | | | | | | |
6 | 0.009 | 0.063 | 0.153 | 0.271 | 0.418 | 0.607 | | | | | | | | | | | | | | | |
7 | 0.007 | 0.053 | 0.129 | 0.225 | 0.341 | 0.479 | 0.652 | | | | | | | | | | | | | | |
8 | 0.006 | 0.046 | 0.111 | 0.193 | 0.289 | 0.400 | 0.529 | 0.688 | | | | | | | | | | | | | |
9 | 0.006 | 0.041 | 0.098 | 0.169 | 0.251 | 0.345 | 0.450 | 0.571 | 0.717 | | | | | | | | | | | | |
10 | 0.005 | 0.037 | 0.087 | 0.150 | 0.222 | 0.304 | 0.393 | 0.493 | 0.606 | 0.741 | | | | | | | | | | | |
11 | 0.005 | 0.033 | 0.079 | 0.135 | 0.200 | 0.271 | 0.350 | 0.436 | 0.530 | 0.636 | 0.762 | | | | | | | | | | |
12 | 0.004 | 0.030 | 0.072 | 0.123 | 0.181 | 0.245 | 0.315 | 0.391 | 0.473 | 0.562 | 0.661 | 0.779 | | | | | | | | | |
13 | 0.004 | 0.028 | 0.066 | 0.113 | 0.166 | 0.224 | 0.287 | 0.355 | 0.427 | 0.505 | 0.590 | 0.684 | 0.794 | | | | | | | | |
14 | 0.004 | 0.026 | 0.061 | 0.104 | 0.153 | 0.206 | 0.264 | 0.325 | 0.390 | 0.460 | 0.534 | 0.615 | 0.703 | 0.807 | | | | | | | |
15 | 0.003 | 0.024 | 0.057 | 0.097 | 0.142 | 0.191 | 0.244 | 0.300 | 0.360 | 0.423 | 0.489 | 0.560 | 0.637 | 0.721 | 0.819 | | | | | | |
16 | 0.003 | 0.023 | 0.053 | 0.090 | 0.132 | 0.178 | 0.227 | 0.279 | 0.333 | 0.391 | 0.452 | 0.516 | 0.583 | 0.656 | 0.736 | 0.829 | | | | | |
17 | 0.003 | 0.021 | 0.050 | 0.085 | 0.124 | 0.166 | 0.212 | 0.260 | 0.311 | 0.364 | 0.420 | 0.478 | 0.539 | 0.604 | 0.674 | 0.750 | 0.838 | | | | |
18 | 0.003 | 0.024 | 0.057 | 0.097 | 0.142 | 0.191 | 0.244 | 0.300 | 0.360 | 0.423 | 0.392 | 0.446 | 0.502 | 0.561 | 0.623 | 0.690 | 0.762 | 0.847 | | | |
19 | 0.003 | 0.019 | 0.044 | 0.075 | 0.110 | 0.147 | 0.188 | 0.230 | 0.274 | 0.320 | 0.368 | 0.418 | 0.470 | 0.524 | 0.581 | 0.641 | 0.704 | 0.774 | 0.854 | | |
20 | 0.003 | 0.018 | 0.042 | 0.071 | 0.104 | 0.140 | 0.177 | 0.217 | 0.259 | 0.302 | 0.347 | 0.394 | 0.442 | 0.492 | 0.544 | 0.599 | 0.656 | 0.717 | 0.784 | 0.861 | |
22 | 0.002 | 0.016 | 0.038 | 0.065 | 0.094 | 0.126 | 0.160 | 0.196 | 0.233 | 0.271 | 0.311 | 0.353 | 0.395 | 0.439 | 0.485 | 0.532 | 0.580 | 0.631 | 0.684 | 0.741 | 0.873 |
24 | 0.002 | 0.015 | 0.035 | 0.059 | 0.086 | 0.115 | 0.146 | 0.178 | 0.212 | 0.246 | 0.282 | 0.319 | 0.358 | 0.397 | 0.437 | 0.479 | 0.521 | 0.565 | 0.611 | 0.658 | 0.760 |
26 | 0.002 | 0.014 | 0.032 | 0.054 | 0.079 | 0.106 | 0.134 | 0.163 | 0.194 | 0.226 | 0.258 | 0.292 | 0.327 | 0.362 | 0.398 | 0.436 | 0.474 | 0.513 | 0.553 | 0.595 | 0.682 |
28 | 0.002 | 0.013 | 0.030 | 0.050 | 0.073 | 0.098 | 0.124 | 0.151 | 0.179 | 0.208 | 0.238 | 0.269 | 0.301 | 0.333 | 0.366 | 0.400 | 0.435 | 0.470 | 0.506 | 0.543 | 0.620 |
30 | 0.002 | 0.012 | 0.028 | 0.047 | 0.068 | 0.091 | 0.115 | 0.140 | 0.166 | 0.193 | 0.221 | 0.250 | 0.279 | 0.308 | 0.339 | 0.370 | 0.402 | 0.434 | 0.467 | 0.501 | 0.570 |
35 | 0.001 | 0.010 | 0.024 | 0.040 | 0.058 | 0.077 | 0.098 | 0.119 | 0.141 | 0.164 | 0.187 | 0.211 | 0.236 | 0.260 | 0.286 | 0.312 | 0.338 | 0.365 | 0.392 | 0.419 | 0.476 |
40 | 0.001 | 0.009 | 0.021 | 0.035 | 0.051 | 0.067 | 0.085 | 0.104 | 0.123 | 0.142 | 0.163 | 0.183 | 0.204 | 0.226 | 0.247 | 0.269 | 0.292 | 0.315 | 0.338 | 0.361 | 0.409 |
45 | 0.001 | 0.008 | 0.018 | 0.031 | 0.045 | 0.060 | 0.075 | 0.092 | 0.109 | 0.126 | 0.144 | 0.162 | 0.180 | 0.199 | 0.218 | 0.237 | 0.257 | 0.277 | 0.297 | 0.317 | 0.359 |
50 | 0.001 | 0.007 | 0.017 | 0.028 | 0.040 | 0.054 | 0.068 | 0.082 | 0.097 | 0.113 | 0.129 | 0.145 | 0.161 | 0.178 | 0.195 | 0.212 | 0.230 | 0.247 | 0.265 | 0.283 | 0.320 |
60 | 0.001 | 0.006 | 0.014 | 0.023 | 0.033 | 0.044 | 0.056 | 0.068 | 0.081 | 0.093 | 0.106 | 0.120 | 0.133 | 0.147 | 0.161 | 0.175 | 0.189 | 0.204 | 0.218 | 0.233 | 0.263 |
70 | 0.001 | 0.005 | 0.012 | 0.020 | 0.029 | 0.038 | 0.048 | 0.058 | 0.069 | 0.080 | 0.091 | 0.102 | 0.113 | 0.125 | 0.137 | 0.149 | 0.161 | 0.173 | 0.186 | 0.198 | 0.223 |
80 | 0.001 | 0.004 | 0.010 | 0.017 | 0.025 | 0.033 | 0.042 | 0.051 | 0.060 | 0.069 | 0.079 | 0.089 | 0.099 | 0.109 | 0.119 | 0.130 | 0.140 | 0.151 | 0.161 | 0.172 | 0.194 |
90 | 0.001 | 0.004 | 0.009 | 0.015 | 0.022 | 0.029 | 0.037 | 0.045 | 0.053 | 0.062 | 0.070 | 0.079 | 0.088 | 0.097 | 0.106 | 0.115 | 0.124 | 0.133 | 0.143 | 0.152 | 0.172 |
100 | 0.001 | 0.004 | 0.008 | 0.014 | 0.020 | 0.026 | 0.033 | 0.040 | 0.048 | 0.055 | 0.063 | 0.071 | 0.079 | 0.087 | 0.095 | 0.103 | 0.111 | 0.120 | 0.128 | 0.137 | 0.154 |
120 | 0.000 | 0.003 | 0.007 | 0.011 | 0.017 | 0.022 | 0.028 | 0.034 | 0.040 | 0.046 | 0.052 | 0.059 | 0.065 | 0.072 | 0.079 | 0.085 | 0.092 | 0.099 | 0.106 | 0.113 | 0.128 |
140 | 0.000 | 0.003 | 0.006 | 0.010 | 0.014 | 0.019 | 0.024 | 0.029 | 0.034 | 0.039 | 0.045 | 0.050 | 0.056 | 0.061 | 0.067 | 0.073 | 0.079 | 0.085 | 0.091 | 0.097 | 0.109 |
160 | 0.000 | 0.002 | 0.005 | 0.009 | 0.012 | 0.016 | 0.021 | 0.025 | 0.030 | 0.034 | 0.039 | 0.044 | 0.049 | 0.054 | 0.059 | 0.064 | 0.069 | 0.074 | 0.079 | 0.084 | 0.095 |
180 | 0.000 | 0.002 | 0.005 | 0.008 | 0.011 | 0.015 | 0.018 | 0.022 | 0.026 | 0.030 | 0.035 | 0.039 | 0.043 | 0.048 | 0.052 | 0.057 | 0.061 | 0.066 | 0.070 | 0.075 | 0.084 |
200 | 0.000 | 0.002 | 0.004 | 0.007 | 0.010 | 0.013 | 0.017 | 0.020 | 0.024 | 0.027 | 0.031 | 0.035 | 0.039 | 0.043 | 0.047 | 0.051 | 0.055 | 0.059 | 0.063 | 0.067 | 0.076 |
250 | 0.000 | 0.001 | 0.003 | 0.005 | 0.008 | 0.011 | 0.013 | 0.016 | 0.019 | 0.022 | 0.025 | 0.028 | 0.031 | 0.034 | 0.037 | 0.041 | 0.044 | 0.047 | 0.050 | 0.054 | 0.060 |
300 | 0.000 | 0.001 | 0.003 | 0.005 | 0.007 | 0.009 | 0.011 | 0.013 | 0.016 | 0.018 | 0.021 | 0.023 | 0.026 | 0.028 | 0.031 | 0.034 | 0.036 | 0.039 | 0.042 | 0.045 | 0.050 |
500 | 0.000 | 0.001 | 0.002 | 0.003 | 0.004 | 0.005 | 0.007 | 0.008 | 0.009 | 0.011 | 0.012 | 0.014 | 0.015 | 0.017 | 0.019 | 0.020 | 0.022 | 0.023 | 0.025 | 0.027 | 0.030 |
Окончание таблицы Л.1
N/D | 24 | 26 | 28 | 30 | 35 | 40 | 45 | 50 | 60 | 70 | 80 | 90 | 100 | 120 | 140 | 160 | 180 | 200 | 250 | 300 | 500 |
24 | 0.883 | | | | | | | | | | | | | | | | | | | | |
26 | 0.777 | 0.891 | | | | | | | | | | | | | | | | | | | |
28 | 0.702 | 0.792 | 0.899 | | | | | | | | | | | | | | | | | | |
30 | 0.643 | 0.720 | 0.805 | 0.905 | | | | | | | | | | | | | | | | | |
35 | 0.534 | 0.594 | 0.657 | 0.723 | 0.918 | | | | | | | | | | | | | | | | |
40 | 0.458 | 0.508 | 0.560 | 0.613 | 0.755 | 0.928 | | | | | | | | | | | | | | | |
45 | 0.401 | 0.445 | 0.489 | 0.534 | 0.652 | 0.780 | 0.936 | | | | | | | | | | | | | | |
50 | 0.357 | 0.395 | 0.434 | 0.474 | 0.576 | 0.684 | 0.801 | 0.942 | | | | | | | | | | | | | |
60 | 0.293 | 0.324 | 0.356 | 0.387 | 0.469 | 0.554 | 0.641 | 0.734 | 0.951 | | | | | | | | | | | | |
70 | 0.249 | 0.275 | 0.301 | 0.328 | 0.396 | 0.466 | 0.538 | 0.612 | 0.770 | 0.958 | | | | | | | | | | | |
80 | 0.216 | 0.239 | 0.261 | 0.284 | 0.343 | 0.403 | 0.464 | 0.527 | 0.658 | 0.797 | 0.963 | | | | | | | | | | |
90 | 0.191 | 0.211 | 0.231 | 0.251 | 0.303 | 0.355 | 0.409 | 0.463 | 0.576 | 0.694 | 0.819 | 0.967 | | | | | | | | | |
100 | 0.171 | 0.189 | 0.207 | 0.225 | 0.271 | 0.318 | 0.365 | 0.414 | 0.513 | 0.616 | 0.723 | 0.836 | 0.970 | | | | | | | | |
120 | 0.142 | 0.156 | 0.171 | 0.186 | 0.224 | 0.262 | 0.301 | 0.341 | 0.421 | 0.504 | 0.589 | 0.677 | 0.767 | 0.975 | | | | | | | |
140 | 0.121 | 0.134 | 0.146 | 0.159 | 0.191 | 0.223 | 0.256 | 0.290 | 0.358 | 0.427 | 0.498 | 0.571 | 0.645 | 0.799 | 0.979 | | | | | | |
160 | 0.106 | 0.116 | 0.127 | 0.138 | 0.166 | 0.194 | 0.223 | 0.252 | 0.311 | 0.371 | 0.432 | 0.494 | 0.558 | 0.687 | 0.824 | 0.981 | | | | | |
180 | 0.094 | 0.103 | 0.113 | 0.123 | 0.147 | 0.172 | 0.198 | 0.223 | 0.275 | 0.328 | 0.382 | 0.436 | 0.492 | 0.604 | 0.721 | 0.843 | 0.983 | | | | |
200 | 0.084 | 0.093 | 0.101 | 0.110 | 0.132 | 0.155 | 0.177 | 0.200 | 0.247 | 0.294 | 0.342 | 0.390 | 0.440 | 0.540 | 0.642 | 0.748 | 0.858 | 0.985 | | | |
250 | 0.067 | 0.074 | 0.081 | 0.088 | 0.105 | 0.123 | 0.141 | 0.159 | 0.196 | 0.233 | 0.271 | 0.310 | 0.348 | 0.426 | 0.506 | 0.587 | 0.669 | 0.754 | 0.988 | | |
300 | 0.056 | 0.061 | 0.067 | 0.073 | 0.087 | 0.102 | 0.117 | 0.132 | 0.163 | 0.194 | 0.225 | 0.256 | 0.288 | 0.353 | 0.418 | 0.484 | 0.551 | 0.619 | 0.794 | 0.990 | |
500 | 0.033 | 0.037 | 0.040 | 0.044 | 0.052 | 0.061 | 0.070 | 0.079 | 0.097 | 0.115 | 0.134 | 0.152 | 0.171 | 0.209 | 0.247 | 0.286 | 0.324 | 0.363 | 0.462 | 0.563 | 0.994 |
N - число дефектов (несплошностей, отклонений), подлежащих выявлению, D - число выявленных дефектов (несплошностей, отклонений). |
Пример - n - общее количество дефектов в ИО, подлежащих выявлению в соответствии с ТТ на систему НК, составляет 20 штук. nd - количество дефектов, выявленных при контроле испытуемой системой НК в процессе АИ, составило 19 штук. По формуле (Л.1) получаем значение точечной оценки вероятности выявления дефектов, равное 0,95. Используя таблицу Л.1, получаем значение доверительной вероятности выявления дефектов, равное 0,784 в 95%-ном доверительном интервале.
В ТТ на систему НК в качестве значений вероятности выявления дефектов критических (браковочных) размеров рекомендуется устанавливать значение не ниже 0,9 в 95%-ном доверительном интервале (0,9/95).
Минимальное количество ИО с дефектами, несплошностями, изменениями размеров и формы или дефектов в ИО будет зависеть от требуемых в ТТ на систему НК значений вероятности выявления дефектов.
При учете всех обнаруживаемых дефектов независимо от их размера (характеристического размера, условного размера) кривая их суммарной выявляемости будет иметь вид восходящей экспоненты (см.
рисунок Л.2).
Рисунок Л.2 - Кривая суммарной вероятности выявления
дефектов, учитывающая все выявленные дефекты
независимо от их размеров
При этом граничный характеристический размер наименьшего выявляемого дефекта

входит в показатель экспоненты и зависит от чувствительности метода (методики) контроля.
Л.1.7 Недостатком оценки контроля испытуемой системы НК по вероятности выявления дефектов является отсутствие учета перебраковки, поскольку ремонт ложно забракованного объекта и зоны контроля может привести к значительным материальным затратам и переоблучению персонала в процессе ремонта или замены забракованного объекта и зоны контроля.
Вариант, учитывающий перебраковку при оценке вероятности выявления дефектов, может быть выражен
формулой (Л.2). В формулу помимо общего количества дефектов, выявленных эталонным методом, и количества выявленных дефектов испытуемой системой НК входит перебраковка.
Вероятность выявления дефектов заданного типа и размеров V вычисляют по формуле

(Л.2)
где nd - количество событий, состоящих в выявлении (обнаружении) заданных дефектов при контроле испытуемой системой НК;
n - сумма негодных образцов (участков в ИО), определенных эталонным методом, занесенных в паспорт ИО;
nпер - количество ложно выявленных дефектов (перебраковка), негодные только по результатам контроля испытуемой системой НК.
В качестве оценки вероятности перебраковки принимают относительную частоту перебраковки W:

(Л.3)
где nпер - количество ложно (ошибочно) забракованных ИО (участков ИО) при контроле аттестуемой системой НК;
m - общее количество ИО (участков ИО) без дефектов, определенных эталонным методом, занесенных в паспорт ИО.
После определения точечного значения перебраковки по
формуле (Л.3) с учетом объема выборки в соответствии с биноминальным распределением определяется верхняя граница доверительного интервала перебраковки. Верхняя граница доверительного интервала может быть определена с помощью
таблицы Л.1.
Пример - m - общее количество ИО (участков ИО) без дефектов, определенных эталонным методом, занесенных в паспорт ИО, составляет 20 штук. nпер - количество ложно (ошибочно) забракованных ИО (участков ИО) при контроле аттестуемой системой НК, составило 3 штуки. По формуле (Л.3) получаем значение точечной оценки вероятности перебраковки, равное 0,15. Используя таблицу Л.1, получаем значение доверительной вероятности перебраковки для нижней границы 95%-ного доверительного интервала, равное 0,042. Для получения верхней границы 95%-ного доверительного интервала из точечного (среднего) значения вероятности перебраковки 0,15 следует вычесть значение нижней границы 95%-ного доверительного интервала, равное 0,042, получим разницу 0,108. Для получения верхней границы 95%-ного доверительного интервала следует к точечному (среднему) значению вероятности перебраковки 0,15 прибавить полученную разницу 0,108. Получаем значение верхней границы доверительной вероятности перебраковки, равное 0,258.
Вероятность выявления дефектов, рассчитанная по
формуле (Л.2), зависит от уровня дефектности объектов и зон контроля, что снижает эффективность применения этого показателя для оценки контроля испытуемой системы НК. На
рисунке Л.3 в качестве примера приведена зависимость вероятности выявления дефектов от уровня дефектности реальных объектов контроля.
V(q) - вероятность выявления дефектов, q - дефектность;

- контроль по методике с вероятностью
перебраковки

;

- контроль по методике с вероятностью
перебраковки

Рисунок Л.3 - Изменение вероятности выявления дефектов,
реальных объектов и зон контроля в конкретной выборке
При увеличении дефектности реальных объектов и (или) зон контроля влияние перебраковки снижается и при 100%-ной дефектности достигает значения точечной выявляемости дефектов, рассчитанной в соответствии с
формулой (Л.1).
Л.1.8 Анализ вероятности выявления дефектов (несплошностей, изменений размеров и формы) и расчет достоверности контроля испытуемой системы НК по количественному признаку может быть выполнен при использовании кривых вероятности выявления дефектов PoD.
Использование кривых вероятности выявления дефектов PoD для оценки достоверности контроля испытуемой системы НК основано на том, что между значениями PoD для различных по размеру групп дефектов, несплошностей, изменений размеров и формы существует корреляция. Это облегчает задачу сравнения значений PoD и позволяет использовать меньшее число дефектов, несплошностей, изменений размеров и формы при испытаниях, чем при сравнении групп дефектов, которые оценивались без построения кривых вероятности выявления дефектов PoD.
Л.1.9 Оценка достоверности контроля, основанная на анализе кривых зависимости вероятности выявления дефектов PoD от его характеристического размера a.
PoD для дефекта фиксированного характеристического размера ai оценивается по ряду реализаций контроля дефекта размером ai:
PoD(ai) = nd/n, (Л.4)
где nd - число дефектов размера ai, выявленных при контроле;
n - общее число дефектов размером
ai в ИО. Решение о выявлении или пропуске дефектов при расчете значений
PoD(
ai) принимается в соответствии с критериями, установленными в методике контроля. По набору значений
PoD(
ai) из нескольких интервалов значений
ai строится кривая
PoD(
a) в соответствии с вариантами, приведенными в
Л.1.11 или
Л.1.12.
При построении кривой PoD(a) необходимо, чтобы большинство сигналов (откликов) от дефектов соответствовало переходной области размеров дефектов, в которой существует определенная вероятность пропуска дефекта и в которой кривая PoD меняется быстрее всего. От 10% до 90% данных должны быть расположены в этой области. Это связано с тем, что очень маленькие или очень большие дефекты не дают существенного вклада для построения кривой PoD.
В ТТ на систему НК рекомендуется в качестве критерия достоверности контроля для дефектов критических (или браковочных) размеров устанавливать значение PoD равным 0,9 в 95%-ном доверительном интервале. Для проверки данного критерия требуется получить результаты контроля не менее чем от 29 (30) дефектов заданного размера, расположенных в переходной области контроля. Для построения кривой PoD(a) минимально необходимо выбрать четыре - шесть интервалов значений характеристических размеров дефекта a.
Л.1.10 Для построения кривых PoD(a) могут быть использованы два типа выходных данных контроля. Первый тип выходных данных - это бинарное решение по данным контроля о наличии или отсутствии дефекта в данной области - "да/нет" (дискретная случайная величина). Выявление (обнаружение) - это соответствие результатов контроля фактическому наличию дефекта. Второй тип выходных данных - это непрерывная случайная величина, например амплитуда сигнала в заданной области контроля. Для этого типа данных обнаружением считается факт соответствия значения выбранной случайной величины установленному критерию. Для амплитуды сигнала это может быть факт превышения (или снижения) заданного уровня фиксации несплошностей. Для каждого из этих типов данных используются различные вероятностные модели для построения кривых PoD(a).
В зависимости от типа выходных данных контроля, по которым фиксируются дефекты (дискретных или непрерывных), необходимое число дефектов, участвующих в построении кривых PoD(a), различается.
Так, для дискретных данных для достижения 95%-ного доверительного интервала во всех интервалах значений характеристических размеров дефекта
a требуется проведение не менее 29 - 30 отдельных реализаций контроля дефектов в каждом интервале. Количество отдельных контролей, необходимое для получения других значений доверительных интервалов, приведено в
таблице Л.1. Для различных интервалов значений характеристических размеров дефекта
a могут быть также установлены и не одинаковые доверительные интервалы.
Для непрерывных данных диапазон характеристических размеров дефектов является менее важным и требуется 30 и более отдельных контролей во всем диапазоне размеров ai. Доверительный интервал определяется при расчете кривой PoD(a).
Л.1.11 Кривая PoD для дискретных данных типа "да/нет"
Наиболее подходящим аналитическим описанием кривой PoD(a) для такого типа данных является лог-логистическое распределение, записываемое следующим образом:

(Л.5)
где

- среднее отклонение;

- стандартное отклонение.
Из данного уравнения выводится линейная зависимость натурального логарифма коэффициента разногласия odds = PoD(a)/1 - PoD(a) от натурального логарифма характеристического размера дефекта a:

(Л.6)
Получив по результатам моделирования несколько значений вероятности
PoD(
ai), методом максимального правдоподобия определяют параметры

и

прямой
формулы (Л.5), по которым восстанавливается кривая
формулы (Л.6).
На
рисунке Л.4 приведены пример построенной таким образом кривой зависимости вероятности выявления дефекта от его характеристического размера и данные "да/нет".
Рисунок Л.4 - Зависимость вероятности выявления дефектов
от характеристического размера и данные "да/нет"
(кривая разбраковки)
Л.1.12 Кривая PoD для непрерывных данных
Для непрерывных данных кривая
PoD(a) определяется как вероятность того, что
, где

- уровень отсечки, установленный для фиксации дефекта характеристического размера
a. Как правило, в методиках контроля уровень отсечки

устанавливается одинаковым для всех видов дефектов.
Исходя из обоснованного предположения о наличии линейной связи между натуральными логарифмами характеристического размера дефекта
a и получаемым от него откликом

записывают:

(Л.7)
где

- величина отклонений от прямой линии с параметрами

и

, имеющая примерно нормальное распределение с нулевым средним значением и стандартным отклонением

.
Для описания кривой PoD(a) для такого типа данных используется суммарное (кумулятивное) логнормальное распределение:

(Л.8)
где

- среднее отклонение;

- стандартное отклонение;
F - стандартная нормальная функция, вычисляемая по формуле

(Л.9)
Получают по результатам моделирования несколько значений вероятности
PoD(
ai), методом максимального правдоподобия определяют параметры

и

прямой
формулы (Л.6), затем вычисляют случайную величину

и стандартное отклонение

, после чего вычисляют кривую по
формуле (Л.8). Доверительный интервал для данной кривой определяется известными методами с использованием параметров

и

.
Л.1.13 Границы применимости кривых PoD
Использование приведенных аналитических зависимостей кривых
PoD(
ai) невозможно, когда полученные фактические значения данных не соответствуют предложенным типам функций (лог-логистической или кумулятивной логнормальной). Примером несоответствия могут быть случаи, когда значения
PoD(
a) уменьшаются с увеличением размеров дефекта, что может означать соответствующую ограниченность методики контроля. На
рисунке Л.5 показано, как в таких случаях может вести себя кривая
PoD.
Рисунок Л.5 - Пример, когда модель данных "да/нет"
не применима для построения выбранной функции PoD(a)
Л.2 Достоверность НК испытуемой системы НК для конкретных объектов контроля связана с нормами оценки качества, чувствительностью контроля и значением дефектности объектов и (или) зон контроля.
Л.2.1 Достоверность контроля Д вычисляют по формуле

(Л.10)
где nп.о - количество правильно определенных объектов контроля (участков в объекте контроля) испытуемой системой НК;

- количество всех объектов контроля (участков в объекте контроля);
nпер - количество ложно выявленных дефектов (перебраковка), негодные только по результатам контроля испытуемой системой НК;
nпр - количество невыявленных дефектов (пропуск), признаны годными по результатам контроля испытуемой системой НК из числа негодных объектов контроля (участков в объекте контроля), определенных эталонным методом.
Достоверность контроля, определенная по
формуле (Л.10), верна для конкретной статистически репрезентативной выборки. При изменении значения уровня дефектности в выборке и (или) чувствительности контроля значение достоверности контроля также изменится.
Л.2.2 Для оценки достоверности контроля для партий (или групп) объектов и (или) зон контроля с переменным уровнем дефектности следует использовать показатели достоверности контроля, учитывающие уровень дефектности партии (или группы) объектов и (или) зон контроля. В этом случае достоверность контроля ДN вычисляют по формуле
где p - доля годных объектов и зон контроля в партии (или группе), p = 1 - q;
q - доля дефектных объектов и зон контроля в партии (или группе);
Д - достоверность, фактически определенная как вероятность выявления дефектов по
формуле (Л.1).
Формула (Л.11), учитывающая уровень дефектности партии (или группы) объектов и зон контроля, тем не менее не полностью учитывает перебраковку.
Л.2.3 Достоверность контроля партии (или группы) объектов и зон контроля с учетом влияния перебраковки Д
N вычисляют по формуле

(Л.12)
где p - доля годных объектов и зон контроля в партии (или группе);

- перебраковка, негодные только по результатам контроля испытуемой системой НК;
q - доля дефектных объектов и зон контроля в партии (или группе);

- пропуск, признаны годными по результатам контроля испытуемой системой НК из числа негодных объектов и зон контроля, определенных эталонным методом.
На
рисунке Л.6 приведен пример графического представления результатов расчета достоверности контроля по результатам испытаний семи систем НК по
формуле (Л.12). В качестве эталонного метода применяют разрушающий контроль ИО.

- правильно определенные участки;

- пропущенные несплошности (неправильно определенные участки);

- ложно выявленные несплошности (неправильно определенные участки)
Рисунок Л.6 - Пример графического представления результатов
расчета достоверности контроля по результатам испытаний
Л.3 При низком уровне дефектности реальных объектов и зон контроля, при проведении АИ систем НК, приоритет следует отдавать системам НК, имеющим меньшую перебраковку, а при высоком уровне дефектности реальных объектов и зон контроля приоритет следует отдавать системам НК, имеющим меньший пропуск дефектов (изменений размеров и формы).
Л.3.1 Выбор процедуры оценки достоверности контроля испытуемой системой НК оборудования АС, в котором несплошности (изменения размеров и формы) независимо от их характера и величины не допускаются, следует проводить по одной из следующих методик:
б) по методике с построением графиков зависимости вероятности выявления дефектов, изложенной в
Л.1.11 или
Л.1.12.
Л.3.2 Выбор процедуры оценки достоверности контроля испытуемой системой НК оборудования АС, в котором могут допускаться несплошности (изменения размеров и формы) в зависимости от их характера и величины, оценку достоверности НК следует проводить по одной из следующих методик:
а) по методике определения достоверности контроля, изложенной в
Л.2.1 -
Л.2.3;
б) по методике с построением графиков зависимости вероятности выявления дефектов, изложенной в
Л.1.11 или
Л.1.12.
| Федеральные нормы и правила в области использования атомной энергии НП-084-15 | Правила контроля основного металла, сварных соединений и наплавленных поверхностей при эксплуатации оборудования, трубопроводов и других элементов атомных станций |
[2] | Федеральные нормы и правила в области использования атомной энергии НП-089-15 | Правила устройства и безопасной эксплуатации оборудования и трубопроводов атомных энергетических установок |
[3] | Федеральные нормы и правила в области использования атомной энергии НП-105-18 | Правила контроля металла оборудования и трубопроводов атомных энергетических установок при изготовлении и монтаже |
[4] | Федеральные нормы и правила в области использования атомной энергии НП-010-16 | Правила устройства и эксплуатации локализующих систем безопасности атомных станций |
| Федеральные нормы и правила в области использования атомной энергии НП-068-05 | Трубопроводная арматура для атомных станций. Общие технические требования |
| Федеральный закон от 26 июня 2008 г. N 102-ФЗ "Об обеспечении единства измерений" |
| Метрологические требования к измерениям, эталонам единиц величин, стандартным образцам, средствам измерений, их составным частям, программному обеспечению, методикам (методам) измерений, применяемым в области использования атомной энергии (утверждены приказом Госкорпорации "Росатом" от 31 октября 2013 г. N 1/10-НПА) |
| Федеральные нормы и правила в области использования атомной энергии НП-071-18 | Правила оценки соответствия продукции, для которой устанавливаются требования, связанные с обеспечением безопасности в области использования атомной энергии, а также процессов ее проектирования (включая изыскания), производства, строительства, монтажа, наладки, эксплуатации, хранения, перевозки, реализации, утилизации и захоронения |
УДК 620.179: 006.354 | |
Ключевые слова: система неразрушающего контроля, средства контроля, методика контроля, достоверность неразрушающего контроля, аттестационные испытания |