Главная // Актуальные документы // ГОСТ Р (Государственный стандарт)
СПРАВКА
Источник публикации
М.: ФГБУ "Институт стандартизации", 2024
Примечание к документу
Документ вводится в действие с 01.12.2024.
Название документа
"ГОСТ Р 8.1033-2024. Национальный стандарт Российской Федерации. Гелий-4 жидкий и газообразный. Плотность, энтальпия, энтропия, изохорная и изобарная теплоемкости при температурах от 2,5 К до 500 К и давлениях до 100 МПа"
(утв. и введен в действие Приказом Росстандарта от 14.02.2024 N 211-ст)

"ГОСТ Р 8.1033-2024. Национальный стандарт Российской Федерации. Гелий-4 жидкий и газообразный. Плотность, энтальпия, энтропия, изохорная и изобарная теплоемкости при температурах от 2,5 К до 500 К и давлениях до 100 МПа"
(утв. и введен в действие Приказом Росстандарта от 14.02.2024 N 211-ст)


Содержание


Утвержден и введен в действие
Приказом Федерального агентства
по техническому регулированию
и метрологии
от 14 февраля 2024 г. N 211-ст
НАЦИОНАЛЬНЫЙ СТАНДАРТ РОССИЙСКОЙ ФЕДЕРАЦИИ
ГЕЛИЙ-4 ЖИДКИЙ И ГАЗООБРАЗНЫЙ
ПЛОТНОСТЬ, ЭНТАЛЬПИЯ, ЭНТРОПИЯ, ИЗОХОРНАЯ И ИЗОБАРНАЯ
ТЕПЛОЕМКОСТИ ПРИ ТЕМПЕРАТУРАХ ОТ 2,5 К ДО 500 К
И ДАВЛЕНИЯХ ДО 100 МПа
Helium-4 liquid and gaseous. Density, enthalpy, entropy,
isochoric and isobaric heat capacities at temperatures
from 2.5 К to 500 К and pressures up to 100 MPa
ГОСТ Р 8.1033-2024
ОКС 17.060
Дата введения
1 декабря 2024 года
Предисловие
1 РАЗРАБОТАН Федеральным государственным бюджетным учреждением "Всероссийский научно-исследовательский институт метрологической службы (ФГБУ "ВНИИМС")
2 ВНЕСЕН Техническим комитетом по стандартизации ТК 180 "Стандартные справочные данные о физических константах и свойствах веществ и материалов"
3 УТВЕРЖДЕН И ВВЕДЕН В ДЕЙСТВИЕ Приказом Федерального агентства по техническому регулированию и метрологии от 14 февраля 2024 г. N 211-ст
4 ВВЕДЕН ВПЕРВЫЕ
Правила применения настоящего стандарта установлены в статье 26 Федерального закона от 29 июня 2015 г. N 162-ФЗ "О стандартизации в Российской Федерации". Информация об изменениях к настоящему стандарту публикуется в ежегодном (по состоянию на 1 января текущего года) информационном указателе "Национальные стандарты", а официальный текст изменений и поправок - в ежемесячном информационном указателе "Национальные стандарты". В случае пересмотра (замены) или отмены настоящего стандарта соответствующее уведомление будет опубликовано в ближайшем выпуске ежемесячного информационного указателя "Национальные стандарты". Соответствующая информация, уведомление и тексты размещаются также в информационной системе общего пользования - на официальном сайте Федерального агентства по техническому регулированию и метрологии в сети Интернет (www.rst.gov.ru)
1 Область применения
Настоящий стандарт распространяется на гелий-4, параметры состояния которого соответствуют газообразной, жидкой и сверхкритической областям. Стандарт устанавливает методы расчетного определения значений стандартных справочных данных о плотности , энтальпии h, энтропии s, изобарной теплоемкости cp и изохорной теплоемкости cv как в однофазных областях (газ, жидкость и флюид), так и на линии фазового перехода газ - жидкость (линии насыщения), а также значений давления на линии насыщения ps.
2 Общие положения
В настоящем стандарте приведена теоретическая основа метода определения термодинамических свойств гелия-4, параметры фундаментального уравнения состояния, а также рассчитанные по данному уравнению значения ниже перечисленных свойств.
Стандартные справочные данные значений плотности , энтальпии h, энтропии s, изобарной cp и изохорной теплоемкости cv гелия-4 рассчитаны по единому для жидкой и газовой фаз фундаментальному уравнению состояния (ФУС) - зависимости свободной энергии (функции Гельмгольца) F от плотности и температуры T (см. [1])
, (1)
где f, f0, fr - безразмерные полная свободная энергия, идеально-газовая и неидеальная составляющие свободной энергии, соответственно;
- относительная плотность, ;
- относительная температура, .
Значения плотности и температуры Tкр гелия-4 в критической точке приведены в таблице А.1.
Уравнение для идеально-газовой составляющей свободной энергии имеет вид
. (2)
Здесь коэффициенты ai равны a0 = 2,5; a1 = 0,173348642; a2 = 0,467452364.
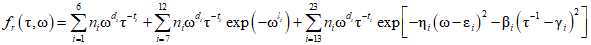
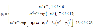
Уравнение для неидеальной составляющей свободной энергии имеет следующий вид
. (3)
В формуле (3) ni - коэффициенты уравнения состояния, значения которых вместе с показателями степеней di, ti, li и параметрами , , , приведены в таблице А.2.
Плотность в однофазных областях при заданных значениях давления p и температуры T определяют из решения следующего уравнения в итерационном процессе
, (4)
где .
Значения давления pкр и фактора сжимаемости zкр в критической точке, а также индивидуальной газовой постоянной R гелия-4 приведены в таблице А.1. Вид комплекса A0 и подробный алгоритм расчета плотности в однофазных областях приведены в приложении Б.
Алгоритм расчета энтальпии, энтропии, изохорной и изобарной теплоемкостей в однофазных областях и на линии насыщения одинаков и приведен в приложении В.
Рассчитанные стандартные справочные данные о плотности, энтальпии, энтропии, изохорной и изобарной теплоемкостей гелия-4 в однофазных областях приведены в приложении Г.
3 Расчет плотности на линии насыщения и давления насыщенного пара
Относительные плотности жидкости и пара и на линии насыщения определяют в результате итерационного решения системы уравнений, описывающих условие фазового равновесия:
(5)
Алгоритм нахождения плотностей на основе уравнений (5) описан в приложении Д.
Давление насыщенного пара рассчитывают по уравнению (4) для относительной плотности насыщенного пара .
Рассчитанные стандартные справочные данные о плотности на линии насыщения, а также о давлении насыщенного пара гелия-4 приведены в приложении Е.
4 Неопределенности рассчитанных значений термодинамических свойств
Расширенная неопределенность значений плотности составляет: при температурах ниже 50 К и давлениях до 10 МПа с - 0,25%; при температурах от 50 до 200 К и давлениях не более 50 МПа - 0,2%; при температурах выше 200 К и давлениях до 50 МПа - 0,05%; при температурах от 200 К до 500 К и давлениях до 40 МПа - 0,03%; при температурах от 200 К до 500 К и давлениях от 40 до 100 МПа - 0,1%. При остальных параметрах неопределенность расчета плотности составляет 0,5%.
Расширенная неопределенность значений давления насыщенных паров составляет 0,05%.
Расширенная неопределенность значений калорических свойств (изохорная и изобарная теплоемкости, энтальпия, энтропия) составляет 2%.
Расширенная неопределенность значений термодинамических свойств гелия-4 получена путем умножения стандартной неопределенности на коэффициент охвата k = 2, соответствующий уровню доверия, равному 95%. Оценивание неопределенности проведено в соответствии с [1].
Приложение А
(обязательное)
ОСНОВНЫЕ ФИЗИЧЕСКИЕ ПАРАМЕТРЫ И КОЭФФИЦИЕНТЫ УРАВНЕНИЙ
ДЛЯ ОПРЕДЕЛЕНИЯ ЗНАЧЕНИЙ СТАНДАРТНЫХ СПРАВОЧНЫХ
ДАННЫХ ПО СВОЙСТВАМ ГЕЛИЯ-4
Таблица А.1
Свойства и критические параметры гелия-4 (см. [1])
Свойства и критические параметры
Значения
Молярная масса M, г/моль
4,002602
Индивидуальная газовая постоянная R, Дж/(кг·К)
2077,264265
Критическая плотность , кг/м3
69,580033
Критическая температура Tкр, К
5,1953
Критическое давление pкр, МПа
0,22832
Критический коэффициент сжимаемости zкр
0,304059
Таблица А.2
Коэффициенты для расчета формулы (3) (см. [1])
i
ni
ti
di
li
1
0,015559018
1
4
-
-
-
-
-
2
3,0638932
0,425
1
-
-
-
-
-
3
-4,2420844
0,63
1
-
-
-
-
-
4
0,054418088
0,69
2
-
-
-
-
-
5
-0,18971904
1,83
2
-
-
-
-
-
6
0,087856262
0,575
3
-
-
-
-
-
7
2,2833566
0,925
1
1
-
-
-
-
8
-0,53331595
1,585
1
2
-
-
-
-
9
-0,53296502
1,69
3
2
-
-
-
-
10
0,99444915
1,51
2
1
-
-
-
-
11
-0,30078896
2,9
2
2
-
-
-
-
12
-1,6432563
0,8
1
1
-
-
-
-
13
0,8029102
1,26
2
-
1,5497
0,2471
3,15
0,596
14
0,026838669
3,51
1
-
9,245
0,0983
2,54505
0,3423
15
0,04687678
2,785
2
-
4,76323
0,1556
1,2513
0,761
16
-0,14832766
1
1
-
6,3826
2,6782
1,9416
0,9747
17
0,03016211
4,22
1
-
8,7023
2,7077
0,5984
0,5868
18
-0,019986041
0,83
3
-
0,255
0,6621
2,2282
0,5627
19
0,14283514
1,575
2
-
0,3523
0,1775
1,606
2,5346
20
0,007418269
3,447
2
-
0,1492
0,4821
3,815
3,6763
21
-0,22989793
0,73
3
-
0,05
0,3069
1,61958
4,5245
22
0,79224829
1,634
2
-
0,1668
0,1758
0,6407
5,039
23
-0,049386338
6,13
2
-
42,2358
1357,6577
1,076
0,959
Таблица А.3
ИС МЕГАНОРМ: примечание.
В официальном тексте документа, видимо, допущена опечатка: имеется в виду формула (Д.1), а не (5).
Коэффициенты для расчета формулы (5) (см. [1])
i
ni
ti
1
2,697
0,44
2
-4,0115
0,72
3
5,5835
1
4
-4,7467
1,5
5
2,7509
2,5
6
-2,4711
5
Таблица А.4
ИС МЕГАНОРМ: примечание.
В официальном тексте документа, видимо, допущена опечатка: имеется в виду формула (Д.2), а не (6).
Коэффициенты для расчета формулы (6) (см. [1])
i
ni
ti
1
-1,8975
0,41
2
-6,9133
1,35
3
13,711
2
4
-14,644
2,5
5
-23,179
10
Таблица А.5
ИС МЕГАНОРМ: примечание.
В официальном тексте документа, видимо, допущена опечатка: имеется в виду формула (Д.3), а не (7).
Коэффициенты для расчета формулы (7) (см. [1])
i
ni
ti
1
-4,0558
1
2
0,69089
1,5
3
1,1982
2
4
0,79703
5
5
-9,0432
14
Приложение Б
(обязательное)
АЛГОРИТМ РАСЧЕТА ПЛОТНОСТИ ГЕЛИЯ-4 В ОДНОФАЗНЫХ ОБЛАСТЯХ
ИТЕРАЦИОННЫМ МЕТОДОМ
Определение относительной плотности в любой области параметров, определяющих состояние веществ (однофазная область, линия насыщения), используя уравнение
(Б.1)
по методу Ньютона в следующем итерационном процессе:
1) Определяют на k-м итерационном шаге (начиная с k = 1) с помощью выражений:
; (Б.2)
. (Б.3)
Комплексы и рассчитывают по формулам (Б.7) и (Б.8) при плотности на итерационном шаге (k - 1), т.е. при :
(Б.4)
(Б.5)
(Б.6)
; (Б.7)
. (Б.8)
Показатели степеней di, ti, li и параметры , , , приведены в таблице А.2;
2) Критерий завершения итерационного процесса определяют следующим образом
. (Б.9)
При невыполнении критерия (Б.9) необходимо продолжить итерационный процесс, начиная с пункта 1), в обратном случае перейти к пункту 3);
3) Вычисляют плотность , кг/м3, по уравнению
. (Б.10)
Приложение В
(обязательное)
АЛГОРИТМ РАСЧЕТА ЭНТАЛЬПИИ, ЭНТРОПИИ,
ИЗОХОРНОЙ И ИЗОБАРНОЙ ТЕПЛОЕМКОСТЕЙ ГЕЛИЯ-4
Энтальпию, энтропию, изохорную и изобарную теплоемкости в однофазных областях (для T и ) и на линии насыщения (для T и или для T и ) вычисляют по формулам:
h = h0 + A3RT; (В.1)
s = s0 + A4R; (В.2)
cv = cv0 + A5R; (В.3)
. (В.4)
Энтальпию h0, энтропию s0 и изохорную теплоемкость cv0 в идеально-газовом состоянии определяют по выражениям:
; (В.5)
; (В.6)
cv0 = R(a0 - 1). (В.7)
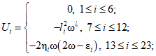
Комплексы A1 - A5 в формулах (В.1) - (В.4) рассчитывают по выражениям:
(В.8)
(В.9)
(В.10)
; (В.11)
; (В.12)
; (В.13)
; (В.14)
. (В.15)
Здесь Xi и Ui рассчитывают по формулам (Б.4) и (Б.5).
Приложение Г
(обязательное)
СТАНДАРТНЫЕ СПРАВОЧНЫЕ ДАННЫЕ О ПЛОТНОСТИ, ЭНТАЛЬПИИ,
ЭНТРОПИИ, ИЗОХОРНОЙ И ИЗОБАРНОЙ ТЕПЛОЕМКОСТЯХ ГЕЛИЯ-4
В ОДНОФАЗНЫХ ОБЛАСТЯХ
Таблица Г.1
Термодинамические свойства гелия-4 при давлении 0,1 МПа
T, К
, кг/м3
h, кДж/кг
s, кДж/(кг·К)
cv, кДж/(кг·К)
cp, кДж/(кг·К)
2,5000
146,73
-5,4323
-1,5905
2,0568
2,2287
3,0000
143,07
-4,2722
-1,1683
2,0016
2,5103
4,0000
19,880
18,241
4,3204
3,2663
13,933
5,0000
11,757
26,627
6,2135
3,1593
6,7399
6,0000
9,0147
32,929
7,3646
3,1325
6,0031
7,0000
7,4210
38,770
8,2655
3,1234
5,7143
8,0000
6,3445
44,402
9,0178
3,1197
5,5632
9,0000
5,5576
49,916
9,6674
3,1180
5,4721
10,000
4,9528
55,357
10,240
3,1171
5,4122
25,000
1,9245
134,50
15,087
3,1170
5,2258
50,000
0,9608
264,74
18,699
3,1170
5,2012
75,000
0,64076
394,70
20,806
3,1167
5,1966
100,00
0,48072
524,59
22,301
3,1166
5,1949
125,00
0,38467
654,46
23,460
3,1164
5,1942
150,00
0,32062
784,31
24,407
3,1163
5,1938
175,00
0,27485
914,15
25,208
3,1163
5,1935
200,00
0,24052
1043,9
25,901
3,1162
5,1934
225,00
0,21381
1173,8
26,513
3,1162
5,1933
250,00
0,19244
1303,6
27,060
3,1161
5,1932
275,00
0,17496
1433,4
27,555
3,1161
5,1932
300,00
0,16039
1563,3
28,007
3,1161
5,1931
325,00
0,14805
1693,1
28,423
3,1161
5,1931
350,00
0,13748
1822,9
28,808
3,1161
5,1931
375,00
0,12832
1952,8
29,166
3,1160
5,1931
400,00
0,12030
2082,6
29,501
3,1160
5,1931
425,00
0,11323
2212,4
29,816
3,1160
5,1931
450,00
0,10694
2342,2
30,113
3,1160
5,1931
475,00
0,10131
2472,1
30,393
3,1160
5,1931
500,00
0,096254
2601,9
30,660
3,1160
5,1931
Таблица Г.2
Термодинамические свойства гелия-4 при давлении 0,2 МПа
T, К
, кг/м3
h, кДж/кг
s, кДж/(кг·К)
cv, кДж/(кг·К)
cp, кДж/(кг·К)
2,5000
148,63
-4,8148
-1,6143
1,9738
2,1282
3,0000
145,31
-3,7024
-1,2095
1,9630
2,4061
4,0000
133,87
-0,69436
-0,35337
2,2924
3,7853
5,0000
101,60
5,6819
1,0356
2,8626
18,013
6,0000
21,299
28,738
5,4676
3,1486
7,7577
7,0000
16,288
35,757
6,5520
3,1261
6,5254
8,0000
13,469
42,021
7,3890
3,1208
6,0586
9,0000
11,582
47,946
8,0872
3,1186
5,8142
10,000
10,203
53,680
8,6915
3,1175
5,6659
25,000
3,8466
134,14
13,631
3,1180
5,2581
50,000
1,9176
264,78
17,255
3,1181
5,2092
75,000
1,2793
394,87
19,365
3,1176
5,2000
100,00
0,96011
524,83
20,861
3,1173
5,1967
125,00
0,76846
654,73
22,020
3,1170
5,1952
150,00
0,64061
784,60
22,967
3,1168
5,1944
175,00
0,54925
914,45
23,768
3,1167
5,1940
200,00
0,48069
1044,3
24,462
3,1166
5,1937
225,00
0,42735
1174,1
25,073
3,1165
5,1935
250,00
0,38467
1303,9
25,620
3,1164
5,1933
275,00
0,34974
1433,8
26,115
3,1164
5,1933
300,00
0,32063
1563,6
26,567
3,1163
5,1932
325,00
0,29599
1693,4
26,983
3,1163
5,1931
350,00
0,27486
1823,3
27,368
3,1163
5,1931
375,00
0,25655
1953,1
27,726
3,1162
5,1931
400,00
0,24053
2082,9
28,061
3,1162
5,1931
425,00
0,22639
2212,7
28,376
3,1162
5,1930
450,00
0,21382
2342,6
28,673
3,1162
5,1930
475,00
0,20258
2472,4
28,954
3,1161
5,1930
500,00
0,19245
2602,2
29,220
3,1161
5,1930
Таблица Г.3
Термодинамические свойства гелия-4 при давлении 0,3 МПа
T, К
, кг/м3
h, кДж/кг
s, кДж/(кг·К)
cv, кДж/(кг·К)
cp, кДж/(кг·К)
2,5000
150,39
-4,1998
-1,6358
1,9009
2,0415
3,0000
147,33
-3,1277
-1,2457
1,9275
2,3205
4,0000
137,21
-0,27104
-0,43192
2,2652
3,5058
5,0000
117,26
4,4729
0,61396
2,5816
6,8473
6,0000
41,716
22,760
3,9031
3,189
13,058
7,0000
27,405
32,249
5,3750
3,1115
7,7939
8,0000
21,615
39,415
6,3335
3,1133
6,7118
9,0000
18,160
45,859
7,0931
3,1154
6,2290
10,000
15,785
51,941
7,7342
3,1161
5,9578
25,000
5,7656
133,79
12,774
3,1191
5,2901
50,000
2,8703
264,83
16,410
3,1192
5,2171
75,000
1,9156
395,05
18,522
3,1185
5,2034
100,00
1,4381
525,07
20,018
3,1180
5,1985
125,00
1,1513
655,00
21,178
3,1176
5,1963
150,00
0,95999
784,89
22,125
3,1173
5,1951
175,00
0,82318
914,76
22,926
3,1171
5,1944
200,00
0,72052
1044,6
23,619
3,1170
5,1939
225,00
0,64062
1174,4
24,231
3,1168
5,1937
250,00
0,57668
1304,3
24,778
3,1167
5,1935
275,00
0,52434
1434,1
25,273
3,1167
5,1933
300,00
0,48071
1563,9
25,725
3,1166
5,1932
325,00
0,44379
1693,8
26,141
3,1165
5,1931
350,00
0,41213
1823,6
26,526
3,1165
5,1931
375,00
0,38469
1953,4
26,884
3,1164
5,1931
400,00
0,36068
2083,2
27,219
3,1164
5,1930
425,00
0,33948
2213,1
27,534
3,1163
5,1930
450,00
0,32064
2342,9
27,831
3,1163
5,1930
475,00
0,30378
2472,7
28,112
3,1163
5,1930
500,00
0,28861
2602,5
28,378
3,1163
5,1930
Таблица Г.4
Термодинамические свойства гелия-4 при давлении 0,4 МПа
T, К
, кг/м3
h, кДж/кг
s, кДж/(кг·К)
cv, кДж/(кг·К)
cp, кДж/(кг·К)
2,5000
152,03
-3,5877
-1,6555
1,8362
1,9658
3,0000
149,19
-2,5505
-1,2781
1,8948
2,2480
4,0000
140,04
0,18988
-0,49699
2,2414
3,3112
5,0000
123,99
4,4007
0,43402
2,5265
5,4747
6,0000
80,552
14,354
2,2122
3,0577
20,521
7,0000
41,582
28,333
4,3921
3,0782
9,5217
8,0000
30,986
36,634
5,5035
3,0918
7,4856
9,0000
25,360
43,680
6,3344
3,1055
6,7003
10,000
21,723
50,152
7,0166
3,1116
6,2806
25,000
7,6807
133,45
12,161
3,1202
5,3219
50,000
3,8191
264,87
15,809
3,1203
5,2249
75,000
2,5497
395,23
17,923
3,1194
5,2067
100,00
1,9148
525,30
19,420
3,1187
5,2003
125,00
1,5333
655,27
20,580
3,1182
5,1973
150,00
1,2787
785,18
21,527
3,1178
5,1957
175,00
1,0966
915,06
22,328
3,1176
5,1948
200,00
0,95999
1044,9
23,022
3,1173
5,1942
225,00
0,85361
1174,7
23,634
3,1172
5,1938
250,00
0,76846
1304,6
24,181
3,1170
5,1936
275,00
0,69876
1434,4
24,676
3,1169
5,1934
300,00
0,64065
1564,3
25,128
3,1168
5,1933
325,00
0,59146
1694,1
25,543
3,1167
5,1932
350,00
0,54929
1823,9
25,928
3,1167
5,1931
375,00
0,51273
1953,7
26,286
3,1166
5,1930
400,00
0,48074
2083,6
26,622
3,1166
5,1930
425,00
0,45250
2213,4
26,936
3,1165
5,1930
450,00
0,42740
2343,2
27,233
3,1165
5,1929
475,00
0,40493
2473,0
27,514
3,1164
5,1929
500,00
0,38471
2602,9
27,780
3,1164
5,1929
Таблица Г.5
Термодинамические свойства гелия-4 при давлении 0,5 МПа
T, К
, кг/м3
h, кДж/кг
s, кДж/(кг·К)
cv, кДж/(кг·К)
cp, кДж/(кг·К)
2,5000
153,58
-2,9789
-1,6737
1,7784
1,8989
3,0000
150,92
-1,9721
-1,3075
1,8643
2,1853
4,0000
142,52
0,67404
-0,55287
2,2193
3,1639
5,0000
128,73
4,5688
0,30948
2,4958
4,8306
6,0000
102,21
11,334
1,5299
2,7878
9,8271
7,0000
58,442
24,404
3,5415
3,0406
11,402
8,0000
41,477
33,851
4,8076
3,0593
8,2281
9,0000
33,157
41,483
5,7076
3,0878
7,1683
10,000
28,005
48,347
6,4314
3,1030
6,6099
25,000
9,5915
133,11
11,682
3,1213
5,3533
50,000
4,7638
264,93
15,342
3,1214
5,2326
75,000
3,1817
395,40
17,458
3,1203
5,2100
100,00
2,3902
525,54
18,956
3,1194
5,2020
125,00
1,9145
655,54
20,116
3,1188
5,1983
150,00
1,5968
785,47
21,064
3,1183
5,1964
175,00
1,3696
915,37
21,865
3,1180
5,1952
200,00
1,1991
1045,2
22,558
3,1177
5,1945
225,00
1,0663
1175,1
23,170
3,1175
5,1940
250,00
0,96002
1304,9
23,717
3,1173
5,1937
275,00
0,87299
1434,7
24,212
3,1172
5,1935
300,00
0,80043
1564,6
24,664
3,1171
5,1933
325,00
0,73901
1694,4
25,080
3,1170
5,1932
350,00
0,68634
1824,2
25,465
3,1169
5,1931
375,00
0,64068
1954,1
25,823
3,1168
5,1930
400,00
0,60072
2083,9
26,158
3,1167
5,1930
425,00
0,56545
2213,7
26,473
3,1167
5,1929
450,00
0,53409
2343,5
26,770
3,1166
5,1929
475,00
0,50602
2473,4
27,051
3,1166
5,1929
500,00
0,48076
2603,2
27,317
3,1165
5,1929
Таблица Г.6
Термодинамические свойства гелия-4 при давлении 0,6 МПа
T, К
, кг/м3
h, кДж/кг
s, кДж/(кг·К)
cv, кДж/(кг·К)
cp, кДж/(кг·К)
2,5000
155,04
-2,3732
-1,6907
1,7265
1,8394
3,0000
152,53
-1,3936
-1,3343
1,8358
2,1301
4,0000
144,75
1,1736
-0,602
2,1983
3,0464
5,0000
132,50
4,8485
0,21237
2,4727
4,4354
6,0000
111,89
10,564
1,2464
2,7093
7,4576
7,0000
76,375
20,865
2,8229
2,9735
12,333
8,0000
52,579
31,269
4,2176
3,0273
8,8568
9,0000
41,367
39,382
5,1746
3,0652
7,5574
10,000
34,561
46,586
5,9342
3,0905
6,9069
25,000
11,497
132,78
11,289
3,1224
5,3843
50,000
5,7044
264,98
14,960
3,1225
5,2401
75,000
3,8114
395,58
17,078
3,1212
5,2133
100,00
2,8643
525,78
18,576
3,1201
5,2038
125,00
2,2948
655,81
19,737
3,1194
5,1994
150,00
1,9144
785,77
20,685
3,1188
5,1970
175,00
1,6422
915,67
21,486
3,1184
5,1956
200,00
1,4378
1045,5
22,180
3,1181
5,1948
225,00
1,2787
1175,4
22,791
3,1178
5,1942
250,00
1,1513
1305,2
23,339
3,1176
5,1938
275,00
1,0470
1435,1
23,834
3,1175
5,1935
300,00
0,96007
1564,9
24,286
3,1173
5,1933
325,00
0,88643
1694,7
24,701
3,1172
5,1932
350,00
0,82328
1824,6
25,086
3,1171
5,1931
375,00
0,76854
1954,4
25,444
3,1170
5,1930
400,00
0,72062
2084,2
25,780
3,1169
5,1929
425,00
0,67832
2214,0
26,094
3,1168
5,1929
450,00
0,64071
2343,9
26,391
3,1168
5,1929
475,00
0,60706
2473,7
26,672
3,1167
5,1928
500,00
0,57676
2603,5
26,938
3,1167
5,1928
Таблица Г.7
Термодинамические свойства гелия-4 при давлении 0,7 МПа
T, К
, кг/м3
h, кДж/кг
s, кДж/(кг·К)
cv, кДж/(кг·К)
cp, кДж/(кг·К)
2,5000
156,44
-1,7708
-1,7066
1,6796
1,7861
3,0000
154,06
-0,81539
-1,3590
1,8091
2,0809
4,0000
146,78
1,6838
-0,64594
2,1783
2,9493
5,0000
135,67
5,1927
0,13208
2,4527
4,1604
6,0000
118,36
10,327
1,0623
2,6720
6,3669
7,0000
90,930
18,542
2,3208
2,8877
10,249
8,0000
63,829
28,947
3,7119
2,9988
9,4200
9,0000
49,717
37,466
4,7171
3,0425
7,8581
10,000
41,263
44,932
5,5043
3,0755
7,1421
25,000
13,396
132,46
10,954
3,1235
5,4148
50,000
6,6410
265,03
14,636
3,1236
5,2476
75,000
4,4390
395,76
16,757
3,1221
5,2165
100,00
3,3370
526,02
18,256
3,1208
5,2055
125,00
2,6741
656,09
19,417
3,1200
5,2004
150,00
2,2313
786,06
20,365
3,1193
5,1977
175,00
1,9143
915,98
21,166
3,1188
5,1961
200,00
1,6763
1045,8
21,859
3,1185
5,1950
225,00
1,4909
1175,7
22,471
3,1182
5,1944
250,00
1,3424
1305,5
23,019
3,1179
5,1939
275,00
1,2209
1435,4
23,514
3,1177
5,1936
300,00
1,1195
1565,2
23,965
3,1176
5,1934
325,00
1,0337
1695,1
24,381
3,1174
5,1932
350,00
0,96012
1824,9
24,766
3,1173
5,1931
375,00
0,89630
1954,7
25,124
3,1172
5,1930
400,00
0,84043
2084,5
25,459
3,1171
5,1929
425,00
0,79112
2214,4
25,774
3,1170
5,1928
450,00
0,74728
2344,2
26,071
3,1169
5,1928
475,00
0,70804
2474,0
26,352
3,1169
5,1928
500,00
0,67271
2603,8
26,618
3,1168
5,1928
Таблица Г.8
Термодинамические свойства гелия-4 при давлении 0,8 МПа
T, К
, кг/м3
h, кДж/кг
s, кДж/(кг·К)
cv, кДж/(кг·К)
cp, кДж/(кг·К)
2,5000
157,77
-1,1717
-1,7215
1,6371
1,7382
3,0000
155,50
-0,23815
-1,3819
1,7839
2,0365
4,0000
148,65
2,2015
-0,68574
2,1588
2,8668
5,0000
138,43
5,5783
0,063303
2,4345
3,9542
6,0000
123,29
10,330
0,92484
2,6478
5,7138
7,0000
100,78
17,382
2,0063
2,8326
8,5180
8,0000
74,822
26,909
3,2766
2,9671
9,6679
9,0000
58,008
35,750
4,3197
3,0224
8,1195
10,000
47,970
43,425
5,1291
3,0601
7,3195
25,000
15,290
132,15
10,662
3,1246
5,4449
50,000
7,5735
265,09
14,355
3,1248
5,2550
75,000
5,0643
395,94
16,478
3,1229
5,2197
100,00
3,8084
526,26
17,978
3,1216
5,2072
125,00
3,0527
656,36
19,139
3,1206
5,2014
150,00
2,5475
786,35
20,087
3,1198
5,1983
175,00
2,1860
916,29
20,888
3,1193
5,1965
200,00
1,9144
1046,1
21,582
3,1188
5,1953
225,00
1,7028
1176,0
22,194
3,1185
5,1946
250,00
1,5333
1305,9
22,741
3,1182
5,1940
275,00
1,3946
1435,7
23,236
3,1180
5,1937
300,00
1,2788
1565,6
23,688
3,1178
5,1934
325,00
1,1808
1695,4
24,104
3,1176
5,1932
350,00
1,0968
1825,2
24,489
3,1175
5,1931
375,00
1,0239
1955,0
24,847
3,1174
5,1930
400,00
0,96017
2084,9
25,182
3,1173
5,1929
425,00
0,90385
2214,7
25,497
3,1172
5,1928
450,00
0,85378
2344,5
25,794
3,1171
5,1928
475,00
0,80896
2474,3
26,075
3,1170
5,1927
500,00
0,76861
2604,2
26,341
3,1169
5,1927
Таблица Г.9
Термодинамические свойства гелия-4 при давлении 0,9 МПа
T, К
, кг/м3
h, кДж/кг
s, кДж/(кг·К)
cv, кДж/(кг·К)
cp, кДж/(кг·К)
2,5000
159,04
-0,57579
-1,7357
1,5984
1,6948
3,0000
156,87
0,33788
-1,4033
1,7601
1,9962
4,0000
150,39
2,7247
-0,72214
2,1400
2,7954
5,0000
140,89
5,9925
0,002959
2,4172
3,7917
6,0000
127,31
10,467
0,81471
2,6288
5,2711
7,0000
108,00
16,794
1,7857
2,7991
7,4767
8,0000
84,705
25,308
2,9198
2,9337
9,2233
9,0000
66,138
34,210
3,9694
3,0040
8,3450
10,000
54,583
42,069
4,7983
3,0458
7,4662
25,000
17,176
131,85
10,404
3,1257
5,4742
50,000
8,5018
265,15
14,108
3,1259
5,2623
75,000
5,6876
396,12
16,232
3,1238
5,2229
100,00
4,2785
526,50
17,733
3,1223
5,2089
125,00
3,4303
656,63
18,894
3,1211
5,2024
150,00
2,8632
786,64
19,842
3,1203
5,1989
175,00
2,4572
916,59
20,644
3,1197
5,1969
200,00
2,1521
1046,5
21,337
3,1192
5,1956
225,00
1,9144
1176,3
21,949
3,1188
5,1947
250,00
1,7240
1306,2
22,497
3,1185
5,1941
275,00
1,5681
1436,0
22,992
3,1183
5,1937
300,00
1,4380
1565,9
23,444
3,1180
5,1934
325,00
1,3279
1695,7
23,859
3,1179
5,1932
350,00
1,2334
1825,5
24,244
3,1177
5,1931
375,00
1,1515
1955,4
24,602
3,1176
5,1929
400,00
1,0798
2085,2
24,938
3,1174
5,1928
425,00
1,0165
2215,0
25,252
3,1173
5,1928
450,00
0,96021
2344,8
25,549
3,1172
5,1927
475,00
0,90982
2474,7
25,830
3,1172
5,1927
500,00
0,86446
2604,5
26,096
3,1171
5,1927
Таблица Г.10
Термодинамические свойства гелия-4 при давлении 1 МПа
T, К
, кг/м3
h, кДж/кг
s, кДж/(кг·К)
cv, кДж/(кг·К)
cp, кДж/(кг·К)
2,5000
160,26
0,016939
-1,7491
1,5631
1,6553
3,0000
158,18
0,91246
-1,4234
1,7376
1,9594
4,0000
152,02
3,2517
-0,75572
2,1218
2,7324
5,0000
143,11
6,4273
-0,050913
2,4007
3,6589
6,0000
130,72
10,689
0,72259
2,6124
4,9476
7,0000
113,69
16,513
1,6166
2,7764
6,7757
8,0000
92,914
24,210
2,6418
2,9053
8,4789
9,0000
73,969
32,848
3,6593
2,9860
8,4419
10,000
61,055
40,848
4,5030
3,0326
7,5991
25,000
19,054
131,55
10,171
3,1268
5,5029
50,000
9,4261
265,22
13,886
3,1270
5,2694
75,000
6,3086
396,31
16,012
3,1247
5,2261
100,00
4,7473
526,74
17,513
3,1230
5,2106
125,00
3,8071
656,90
18,675
3,1217
5,2034
150,00
3,1783
786,94
19,623
3,1208
5,1996
175,00
2,7280
916,90
20,425
3,1201
5,1973
200,00
2,3895
1046,8
21,119
3,1196
5,1959
225,00
2,1258
1176,7
21,731
3,1192
5,1949
250,00
1,9145
1306,5
22,278
3,1188
5,1943
275,00
1,7414
1436,4
22,773
3,1185
5,1938
300,00
1,5971
1566,2
23,225
3,1183
5,1935
325,00
1,4748
1696,0
23,641
3,1181
5,1932
350,00
1,3699
1825,9
24,025
3,1179
5,1931
375,00
1,2790
1955,7
24,384
3,1178
5,1929
400,00
1,1993
2085,5
24,719
3,1176
5,1928
425,00
1,1291
2215,3
25,034
3,1175
5,1927
450,00
1,0665
2345,2
25,330
3,1174
5,1927
475,00
1,0106
2475,0
25,611
3,1173
5,1926
500,00
0,96026
2604,8
25,878
3,1172
5,1926
Таблица Г.11
Термодинамические свойства гелия-4 при давлении 2 МПа
T, К
, кг/м3
h, кДж/кг
s, кДж/(кг·К)
cv, кДж/(кг·К)
cp, кДж/(кг·К)
3,0000
168,91
6,5581
-1,5766
1,5622
1,7050
4,0000
164,59
8,5815
-0,99882
1,9642
2,3387
5,0000
158,73
11,238
-0,40856
2,2605
2,9810
6,0000
151,37
14,559
0,19503
2,4881
3,6710
7,0000
142,51
18,602
0,81680
2,6608
4,4268
8,0000
132,18
23,431
1,4603
2,7888
5,2341
9,0000
120,70
29,056
2,1220
2,8821
5,9945
10,000
108,88
35,350
2,7846
2,9497
6,5478
25,000
37,214
129,23
8,6098
3,1385
5,7277
50,000
18,441
265,98
12,416
3,1383
5,3354
75,000
12,401
398,18
14,561
3,1336
5,2557
100,00
9,3643
529,16
16,068
3,1301
5,2267
125,00
7,5281
659,64
17,233
3,1276
5,2131
150,00
6,2959
789,87
18,183
3,1258
5,2057
175,00
5,4111
919,95
18,985
3,1244
5,2013
200,00
4,7446
1049,9
19,679
3,1233
5,1985
225,00
4,2245
1179,8
20,292
3,1225
5,1966
250,00
3,8072
1309,7
20,839
3,1218
5,1954
275,00
3,4650
1439,6
21,334
3,1212
5,1945
300,00
3,1792
1569,5
21,786
3,1207
5,1938
325,00
2,9370
1699,3
22,202
3,1203
5,1933
350,00
2,7291
1829,1
22,587
3,1200
5,1930
375,00
2,5486
1959,0
22,945
3,1196
5,1927
400,00
2,3906
2088,8
23,280
3,1194
5,1925
425,00
2,2510
2218,6
23,595
3,1191
5,1924
450,00
2,1268
2348,4
23,892
3,1189
5,1923
475,00
2,0156
2478,2
24,172
3,1187
5,1922
500,00
1,9154
2608,0
24,439
3,1186
5,1921
Таблица Г.12
Термодинамические свойства гелия-4 при давлении 3 МПа
T, К
, кг/м3
h, кДж/кг
s, кДж/(кг·К)
cv, кДж/(кг·К)
cp, кДж/(кг·К)
2,5000
178,38
11,306
-1,9406
1,2177
1,2806
3,0000
177,06
12,014
-1,6833
1,4444
1,5566
4,0000
173,55
13,855
-1,1577
1,8420
2,1224
5,0000
168,93
16,255
-0,62429
2,1508
2,6781
6,0000
163,30
19,212
-0,086837
2,3933
3,2350
7,0000
156,74
22,727
0,45397
2,5814
3,7968
8,0000
149,32
26,806
0,9978
2,7243
4,3606
9,0000
141,17
31,444
1,5434
2,8310
4,9116
10,000
132,49
36,614
2,0877
2,9099
5,4166
25,000
53,797
128,17
7,6810
3,1496
5,8376
50,000
27,037
267,00
11,547
3,1498
5,3898
75,000
18,283
400,15
13,708
3,1424
5,2822
100,00
13,855
531,63
15,222
3,1371
5,2415
125,00
11,165
662,40
16,389
3,1334
5,2221
150,00
9,3545
792,81
17,340
3,1307
5,2114
175,00
8,0505
923,01
18,143
3,1286
5,2051
200,00
7,0662
1053,0
18,838
3,1270
5,2010
225,00
6,2967
1183,0
19,450
3,1257
5,1983
250,00
5,6785
1313,0
19,998
3,1247
5,1964
275,00
5,1709
1442,9
20,493
3,1239
5,1951
300,00
4,7466
1572,7
20,945
3,1231
5,1942
325,00
4,3867
1702,6
21,361
3,1225
5,1935
350,00
4,0775
1832,4
21,745
3,1220
5,1929
375,00
3,8091
1962,2
22,104
3,1215
5,1925
400,00
3,5738
2092,0
22,439
3,1211
5,1922
425,00
3,3658
2221,8
22,754
3,1208
5,1920
450,00
3,1808
2351,6
23,050
3,1205
5,1918
475,00
3,0150
2481,4
23,331
3,1202
5,1917
500,00
2,8656
2611,2
23,597
3,1199
5,1916
Таблица Г.13
Термодинамические свойства гелия-4 при давлении 4 МПа
T, К
, кг/м3
h, кДж/кг
s, кДж/(кг·К)
cv, кДж/(кг·К)
cp, кДж/(кг·К)
2,5000
184,96
16,634
-2,0105
1,1571
1,2175
3,0000
183,75
17,302
-1,7678
1,3602
1,4577
5,0000
176,78
21,249
-0,78174
2,0619
2,4871
6,0000
172,07
23,987
-0,28403
2,3157
2,9855
7,0000
166,66
27,216
0,21280
2,5160
3,4706
8,0000
160,64
30,923
0,70711
2,6712
3,9408
9,0000
154,08
35,092
1,1975
2,7896
4,3923
10,000
147,11
39,699
1,6825
2,8790
4,8159
25,000
68,620
128,11
7,0237
3,1606
5,8901
50,000
35,212
268,27
10,927
3,1613
5,4325
75,000
23,962
402,22
13,101
3,1512
5,3054
100,00
18,225
534,14
14,620
3,1441
5,2551
125,00
14,722
665,18
15,789
3,1392
5,2305
150,00
12,356
795,76
16,742
3,1356
5,2169
175,00
10,647
926,08
17,545
3,1328
5,2087
200,00
9,3551
1056,2
18,241
3,1307
5,2034
225,00
8,3431
1186,2
18,853
3,1290
5,1999
250,00
7,5289
1316,2
19,401
3,1276
5,1975
275,00
6,8596
1446,1
19,896
3,1265
5,1957
300,00
6,2996
1576,0
20,348
3,1255
5,1945
325,00
5,8242
1705,8
20,764
3,1247
5,1936
350,00
5,4155
1835,7
21,149
3,1240
5,1929
375,00
5,0604
1965,5
21,507
3,1234
5,1923
400,00
4,7490
2095,3
21,842
3,1229
5,1919
425,00
4,4737
2225,1
22,157
3,1224
5,1916
450,00
4,2286
2354,9
22,454
3,1220
5,1914
475,00
4,0089
2484,7
22,734
3,1216
5,1912
500,00
3,8109
2614,4
23,001
3,1213
5,1911
Таблица Г.14
Термодинамические свойства гелия-4 при давлении 5 МПа
T, К
, кг/м3
h, кДж/кг
s, кДж/(кг·К)
cv, кДж/(кг·К)
cp, кДж/(кг·К)
2,5000
190,63
21,802
-2,0728
1,1235
1,1837
3,0000
189,50
22,443
-1,8394
1,2977
1,3877
4,0000
186,74
24,067
-1,3757
1,6668
1,8669
5,0000
183,26
26,176
-0,90688
1,9880
2,3496
6,0000
179,14
28,760
-0,43716
2,2500
2,8140
7,0000
174,45
31,798
0,030257
2,4599
3,2581
8,0000
169,27
35,269
0,49314
2,6251
3,6804
9,0000
163,67
39,151
0,94991
2,7531
4,0796
10,000
157,72
43,420
1,3993
2,8516
4,4533
25,000
81,808
128,78
6,5180
3,1726
5,9028
50,000
42,971
269,77
10,444
3,1728
5,4650
75,000
29,444
404,37
12,629
3,1600
5,3255
100,00
22,477
536,70
14,152
3,1511
5,2674
125,00
18,201
667,98
15,324
3,1449
5,2384
150,00
15,302
798,72
16,278
3,1404
5,2221
175,00
13,203
929,14
17,082
3,1370
5,2122
200,00
11,612
1059,3
17,778
3,1344
5,2058
225,00
10,364
1189,4
18,390
3,1323
5,2015
250,00
9,3587
1319,4
18,938
3,1305
5,1985
275,00
8,5313
1449,3
19,434
3,1291
5,1964
300,00
7,8384
1579,2
19,886
3,1279
5,1948
325,00
7,2496
1709,1
20,301
3,1269
5,1937
350,00
6,7432
1838,9
20,686
3,1261
5,1928
375,00
6,3028
1968,7
21,045
3,1253
5,1922
400,00
5,9164
2098,5
21,380
3,1246
5,1917
425,00
5,5747
2228,3
21,694
3,1240
5,1913
450,00
5,2703
2358,1
21,991
3,1235
5,1910
475,00
4,9973
2487,9
22,272
3,1231
5,1908
500,00
4,7513
2617,6
22,538
3,1227
5,1906
Таблица Г.15
Термодинамические свойства гелия-4 при давлении 10 МПа
T, К
, кг/м3
h, кДж/кг
s, кДж/(кг·К)
cv, кДж/(кг·К)
cp, кДж/(кг·К)
4,0000
208,54
47,928
-1,7143
1,4416
1,5852
5,0000
206,04
49,712
-1,3180
1,7513
1,9803
6,0000
203,23
51,885
-0,92276
2,0232
2,3638
7,0000
200,12
54,433
-0,53065
2,2563
2,7291
8,0000
196,73
57,335
-0,14371
2,4506
3,0694
9,0000
193,10
60,563
0,23618
2,6094
3,3827
10,000
189,29
64,092
0,60767
2,7377
3,6698
25,000
128,96
138,70
5,0245
3,2337
5,6437
50,000
76,231
279,86
8,9438
3,2280
5,5469
75,000
54,144
416,33
11,159
3,2027
5,3902
100,00
42,115
550,01
12,698
3,1852
5,3124
125,00
34,511
682,24
13,878
3,1730
5,2693
150,00
29,255
813,62
14,836
3,1642
5,2434
175,00
25,398
944,49
15,643
3,1575
5,2269
200,00
22,444
1075,0
16,341
3,1524
5,2160
225,00
20,108
1205,3
16,954
3,1482
5,2084
250,00
18,214
1335,4
17,503
3,1449
5,2030
275,00
16,646
1465,4
17,999
3,1421
5,1991
300,00
15,327
1595,4
18,451
3,1398
5,1963
325,00
14,202
1725,3
18,867
3,1378
5,1941
350,00
13,231
1855,1
19,252
3,1361
5,1925
375,00
12,384
1984,9
19,610
3,1346
5,1913
400,00
11,639
2114,7
19,945
3,1333
5,1903
425,00
10,978
2244,4
20,259
3,1321
5,1896
450,00
10,389
2374,1
20,556
3,1311
5,1891
475,00
9,8597
2503,9
20,837
3,1302
5,1886
500,00
9,3814
2633,6
21,103
3,1294
5,1883
Таблица Г.16
Термодинамические свойства гелия-4 при давлении 20 МПа
T, К
, кг/м3
h, кДж/кг
s, кДж/(кг·К)
cv, кДж/(кг·К)
cp, кДж/(кг·К)
6,0000
231,74
94,543
-1,4450
1,7966
2,0274
7,0000
229,52
96,718
-1,1102
2,0197
2,3245
8,0000
227,15
99,190
-0,78052
2,2268
2,6171
9,0000
224,65
101,94
-0,45616
2,4093
2,8924
10,000
222,04
104,96
-0,13811
2,5656
3,1454
25,000
178,36
170,11
3,7045
3,3149
5,1124
50,000
123,28
306,24
7,4631
3,3256
5,5341
75,000
93,025
443,51
9,6908
3,2805
5,4416
100,00
74,750
578,45
11,244
3,2484
5,3591
125,00
62,551
711,71
12,433
3,2257
5,3051
150,00
53,815
843,87
13,397
3,2091
5,2701
175,00
47,239
975,31
14,208
3,1965
5,2465
200,00
42,105
1106,2
14,907
3,1867
5,2301
225,00
37,983
1236,8
15,523
3,1789
5,2183
250,00
34,598
1367,2
16,072
3,1725
5,2097
275,00
31,769
1497,3
16,568
3,1671
5,2033
300,00
29,368
1627,3
17,021
3,1626
5,1984
325,00
27,305
1757,2
17,437
3,1588
5,1947
350,00
25,512
1887,1
17,821
3,1555
5,1919
375,00
23,941
2016,9
18,180
3,1526
5,1897
400,00
22,551
2146,6
18,514
3,1501
5,1879
425,00
21,314
2276,3
18,829
3,1479
5,1866
450,00
20,206
2405,9
19,125
3,1459
5,1855
475,00
19,206
2535,5
19,406
3,1441
5,1847
500,00
18,301
2665,1
19,672
3,1425
5,1841
Таблица Г.17
Термодинамические свойства гелия-4 при давлении 30 МПа
T, К
, кг/м3
h, кДж/кг
s, кДж/(кг·К)
cv, кДж/(кг·К)
cp, кДж/(кг·К)
7,0000
249,25
135,82
-1,4823
1,8860
2,1557
8,0000
247,19
138,11
-1,1776
2,0831
2,4147
9,0000
245,06
140,65
-0,87822
2,2701
2,6703
10,000
242,86
143,44
-0,58428
2,4379
2,9105
25,000
206,78
204,30
3,0018
3,3517
4,8075
50,000
155,41
335,79
6,6216
3,4055
5,4657
75,000
122,46
472,51
8,8394
3,3489
5,4463
100,00
100,96
607,82
10,396
3,3053
5,3797
125,00
85,932
741,62
11,591
3,2739
5,3263
150,00
74,840
874,26
12,558
3,2507
5,2873
175,00
66,311
1006,0
13,371
3,2330
5,2596
200,00
59,541
1137,3
14,072
3,2191
5,2396
225,00
54,034
1268,1
14,688
3,2078
5,2251
250,00
49,463
1398,5
15,238
3,1987
5,2142
275,00
45,607
1528,8
15,735
3,1910
5,2060
300,00
42,310
1658,9
16,188
3,1845
5,1997
325,00
39,458
1788,8
16,604
3,1790
5,1948
350,00
36,966
1918,6
16,988
3,1742
5,1910
375,00
34,770
2048,4
17,346
3,1700
5,1880
400,00
32,820
2178,0
17,681
3,1664
5,1857
425,00
31,077
2307,6
17,996
3,1631
5,1838
450,00
29,509
2437,2
18,292
3,1602
5,1823
475,00
28,091
2566,8
18,572
3,1576
5,1812
500,00
26,804
2696,3
18,838
3,1553
5,1802
Таблица Г.18
Термодинамические свойства гелия-4 при давлении 40 МПа
T, К
, кг/м3
h, кДж/кг
s, кДж/(кг·К)
cv, кДж/(кг·К)
cp, кДж/(кг·К)
8,0000
262,80
174,78
-1,4914
1,9901
2,3234
9,0000
260,78
177,23
-1,2042
2,1724
2,5591
10,000
258,73
179,90
-0,92256
2,3436
2,7877
25,000
226,77
238,39
2,5230
3,3691
4,6252
50,000
179,43
366,25
6,0379
3,4693
5,3852
75,000
145,85
502,11
8,2407
3,4090
5,4405
100,00
122,65
637,50
9,7990
3,3568
5,3881
125,00
105,86
771,56
10,995
3,3183
5,3381
150,00
93,151
904,50
11,965
3,2894
5,2992
175,00
83,193
1036,6
12,780
3,2671
5,2696
200,00
75,176
1168,0
13,482
3,2495
5,2474
225,00
68,578
1299,0
14,099
3,2353
5,2306
250,00
63,051
1429,6
14,649
3,2236
5,2179
275,00
58,351
1559,9
15,146
3,2138
5,2082
300,00
54,305
1690,0
15,599
3,2055
5,2007
325,00
50,784
1819,9
16,015
3,1984
5,1948
350,00
47,692
1949,8
16,400
3,1922
5,1902
375,00
44,955
2079,5
16,758
3,1868
5,1865
400,00
42,514
2209,1
17,092
3,1821
5,1836
425,00
40,324
2338,6
17,406
3,1779
5,1813
450,00
38,349
2468,2
17,703
3,1741
5,1794
475,00
36,557
2597,6
17,983
3,1708
5,1779
500,00
34,925
2727,1
18,248
3,1677
5,1768
Таблица Г.19
Термодинамические свойства гелия-4 при давлении 50 МПа
T, К
, кг/м3
h, кДж/кг
s, кДж/(кг·К)
cv, кДж/(кг·К)
cp, кДж/(кг·К)
9,0000
273,89
212,05
-1,4888
2,1099
2,5250
10,000
271,85
214,69
-1,2117
2,2789
2,7380
25,000
242,23
271,85
2,1573
3,3787
4,5118
50,000
198,42
396,95
5,5944
3,5204
5,3044
75,000
165,18
531,76
7,7791
3,4618
5,4277
100,00
141,08
667,13
9,3371
3,4037
5,3943
125,00
123,15
801,38
10,535
3,3593
5,3464
150,00
109,31
934,53
11,506
3,3255
5,3073
175,00
98,303
1066,8
12,322
3,2992
5,2770
200,00
89,324
1198,4
13,025
3,2783
5,2536
225,00
81,860
1329,5
13,643
3,2614
5,2355
250,00
75,554
1460,2
14,194
3,2474
5,2214
275,00
70,154
1590,6
14,691
3,2356
5,2104
300,00
65,477
1720,7
15,144
3,2256
5,2017
325,00
61,385
1850,7
15,560
3,2170
5,1949
350,00
57,774
1980,5
15,945
3,2096
5,1895
375,00
54,565
2110,2
16,303
3,2031
5,1852
400,00
51,693
2239,8
16,637
3,1973
5,1817
425,00
49,107
2369,3
16,951
3,1922
5,1790
450,00
46,767
2498,7
17,247
3,1876
5,1768
475,00
44,639
2628,1
17,527
3,1835
5,1750
500,00
42,696
2757,5
17,792
3,1798
5,1736
Таблица Г.20
Термодинамические свойства гелия-4 при давлении 60 МПа
T, К
, кг/м3
h, кДж/кг
s, кДж/(кг·К)
cv, кДж/(кг·К)
cp, кДж/(кг·К)
15,000
273,78
266,89
-0,36577
2,6237
3,3142
20,000
264,33
285,74
0,74637
3,0048
3,8782
25,000
254,87
304,59
1,8585
3,3859
4,4422
50,000
213,99
427,65
5,2390
3,5622
5,2309
75,000
181,56
561,30
7,4043
3,5082
5,4068
100,00
157,08
696,52
8,9604
3,4465
5,3979
125,00
138,40
830,94
10,160
3,3973
5,3546
150,00
123,75
964,29
11,132
3,3593
5,3146
175,00
111,95
1096,7
11,949
3,3295
5,2831
200,00
102,22
1228,5
12,653
3,3057
5,2587
225,00
94,067
1359,7
13,271
3,2863
5,2395
250,00
87,123
1490,5
13,823
3,2701
5,2244
275,00
81,138
1620,9
14,320
3,2566
5,2124
300,00
75,925
1751,1
14,773
3,2450
5,2028
325,00
71,343
1881,1
15,189
3,2350
5,1952
350,00
67,282
2010,9
15,574
3,2264
5,1891
375,00
63,659
2140,6
15,932
3,2188
5,1842
400,00
60,406
2270,1
16,266
3,2121
5,1802
425,00
57,468
2399,6
16,580
3,2061
5,1770
450,00
54,802
2529,0
16,876
3,2008
5,1744
475,00
52,372
2658,3
17,156
3,1960
5,1724
500,00
50,147
2787,6
17,421
3,1916
5,1707
Таблица Г.21
Термодинамические свойства гелия-4 при давлении 70 МПа
T, К
, кг/м3
h, кДж/кг
s, кДж/(кг·К)
cv, кДж/(кг·К)
cp, кДж/(кг·К)
15,000
284,13
298,97
-0,62287
2,6210
3,3494
20,000
274,86
317,80
0,49007
3,0072
3,8761
25,000
265,59
336,62
1,6030
3,3933
4,4028
50,000
227,10
458,20
4,9437
3,5974
5,1683
75,000
195,71
590,70
7,0898
3,5493
5,3801
100,00
171,18
725,63
8,6423
3,4857
5,3973
125,00
152,03
860,16
9,8433
3,4328
5,3621
150,00
136,79
993,71
10,817
3,3912
5,3224
175,00
124,38
1126,3
11,635
3,3582
5,2893
200,00
114,06
1258,2
12,339
3,3317
5,2634
225,00
105,34
1389,5
12,958
3,3100
5,2431
250,00
97,878
1520,4
13,510
3,2919
5,2271
275,00
91,403
1650,9
14,007
3,2767
5,2143
300,00
85,734
1781,1
14,460
3,2637
5,2040
325,00
80,728
1911,1
14,877
3,2524
5,1956
350,00
76,276
2040,9
15,261
3,2426
5,1889
375,00
72,288
2170,6
15,619
3,2340
5,1834
400,00
68,697
2300,1
15,954
3,2264
5,1790
425,00
65,444
2429,5
16,267
3,2196
5,1754
450,00
62,485
2558,9
16,563
3,2136
5,1724
475,00
59,781
2688,2
16,843
3,2081
5,1700
500,00
57,301
2817,4
17,108
3,2032
5,1681
Таблица Г.22
Термодинамические свойства гелия-4 при давлении 80 МПа
T, К
, кг/м3
h, кДж/кг
s, кДж/(кг·К)
cv, кДж/(кг·К)
cp, кДж/(кг·К)
15,000
293,41
330,07
-0,8703
2,6383
3,4336
20,000
284,17
349,02
0,2536
3,0203
3,9096
25,000
274,93
367,97
1,3775
3,4022
4,3856
50,000
238,37
488,54
4,6915
3,6280
5,1172
75,000
208,10
619,98
6,8200
3,5859
5,3502
100,00
183,75
754,49
8,3676
3,5216
5,3919
125,00
164,34
889,04
9,5687
3,4659
5,3677
150,00
148,67
1022,7
10,544
3,4212
5,3304
175,00
135,79
1155,5
11,363
3,3855
5,2963
200,00
125,00
1287,6
12,068
3,3566
5,2686
225,00
115,82
1419,0
12,687
3,3328
5,2469
250,00
107,92
1550,0
13,239
3,3129
5,2297
275,00
101,03
1680,6
13,737
3,2961
5,2161
300,00
94,971
1810,8
14,190
3,2817
5,2051
325,00
89,600
1940,8
14,607
3,2692
5,1961
350,00
84,804
2070,6
14,991
3,2584
5,1888
375,00
80,495
2200,3
15,349
3,2488
5,1829
400,00
76,603
2329,8
15,684
3,2404
5,1780
425,00
73,069
2459,2
15,997
3,2328
5,1740
450,00
69,845
2588,5
16,293
3,2260
5,1707
475,00
66,894
2717,7
16,572
3,2199
5,1680
500,00
64,180
2846,9
16,837
3,2144
5,1658
Таблица Г.23
Термодинамические свойства гелия-4 при давлении 90 МПа
T, К
, кг/м3
h, кДж/кг
s, кДж/(кг·К)
cv, кДж/(кг·К)
cp, кДж/(кг·К)
15,000
301,88
360,26
-1,1148
2,6764
3,5674
20,000
292,55
379,48
0,029434
3,0449
3,9764
25,000
283,22
398,70
1,1736
3,4134
4,3854
50,000
248,22
518,63
4,4714
3,6552
5,0771
75,000
219,06
649,11
6,5844
3,6188
5,3196
100,00
195,06
783,13
8,1261
3,5546
5,3821
125,00
175,54
917,62
9,3266
3,4969
5,3704
150,00
159,58
1051,4
10,303
3,4496
5,3374
175,00
146,33
1184,4
11,123
3,4114
5,3035
200,00
135,16
1316,7
11,829
3,3803
5,2746
225,00
125,61
1448,2
12,449
3,3546
5,2513
250,00
117,33
1579,3
13,001
3,3331
5,2328
275,00
110,09
1709,9
13,499
3,3148
5,2181
300,00
103,69
1840,2
13,953
3,2991
5,2063
325,00
98,007
1970,2
14,369
3,2855
5,1967
350,00
92,910
2100,0
14,754
3,2737
5,1889
375,00
88,317
2229,7
15,112
3,2632
5,1824
400,00
84,156
2359,2
15,446
3,2539
5,1771
425,00
80,369
2488,6
15,760
3,2456
5,1728
450,00
76,907
2617,8
16,055
3,2382
5,1692
475,00
73,730
2747,0
16,335
3,2315
5,1662
500,00
70,804
2876,1
16,599
3,2254
5,1637
Таблица Г.24
Термодинамические свойства гелия-4 при давлении 100 МПа
T, К
, кг/м3
h, кДж/кг
s, кДж/(кг·К)
cv, кДж/(кг·К)
cp, кДж/(кг·К)
15,000
309,68
389,63
-1,3604
2,7360
3,7516
20,000
300,18
409,24
-0,18718
3,0816
4,0753
25,000
290,68
428,85
0,98599
3,4273
4,3990
50,000
256,96
548,44
4,2760
3,6801
5,0469
75,000
228,85
678,12
6,3759
3,6487
5,2901
100,00
205,30
811,59
7,9113
3,5851
5,3690
125,00
185,80
945,93
9,1104
3,5259
5,3700
150,00
169,65
1079,8
10,087
3,4765
5,3429
175,00
156,13
1213,0
10,908
3,4362
5,3105
200,00
144,64
1345,4
11,615
3,4031
5,2809
225,00
134,77
1477,1
12,236
3,3756
5,2563
250,00
126,19
1608,2
12,788
3,3525
5,2364
275,00
118,64
1738,9
13,287
3,3329
5,2205
300,00
111,96
1869,3
13,740
3,3160
5,2078
325,00
105,99
1999,4
14,157
3,3013
5,1975
350,00
100,63
2129,2
14,542
3,2885
5,1891
375,00
95,785
2258,8
14,899
3,2772
5,1822
400,00
91,385
2388,3
15,234
3,2671
5,1765
425,00
87,370
2517,7
15,547
3,2581
5,1717
450,00
83,693
2646,9
15,843
3,2501
5,1678
475,00
80,311
2776,1
16,122
3,2428
5,1646
500,00
77,191
2905,1
16,387
3,2362
5,1619
Приложение Д
(обязательное)
АЛГОРИТМ РАСЧЕТА ПЛОТНОСТИ ГЕЛИЯ-4 НА ЛИНИИ НАСЫЩЕНИЯ
И ДАВЛЕНИЯ НАСЫЩЕННОГО ПАРА ГЕЛИЯ-4 ИТЕРАЦИОННЫМ МЕТОДОМ
Относительные плотности жидкости и пара и на линии насыщения определяют решением уравнений (5) по методу Ньютона в следующем итерационном процессе.
Начальное приближение для плотности жидкой фазы при заданной температуре T рассчитывают по формуле
. (Д.1)
Параметры ni и ti в уравнении (Д.1) представлены в таблице А.3.
Начальное приближение для плотности газообразной фазы при заданной температуре T рассчитывают по формуле
. (Д.2)
Параметры ni и ti в уравнении (Д.2) представлены в таблице А.4.
Начальное приближение для давления на линии насыщения ps определяют по формуле
. (Д.3)
Коэффициенты ni, ti в уравнении (Д.3) приведены в таблице А.5.
Итерационный процесс выполняют по следующему алгоритму:
1) и на k-м итерационном шаге (начиная с k = 1) определяют из выражений
; (Д.4)
; (Д.5)
(Д.6)
Элементы определителей , и рассчитывают при плотностях на итерационном шаге (k - 1), т.е. при и , из нижеследующих выражений:
; (Д.7)
; (Д.8)
. (Д.9)
Здесь B' = 1 + A'1; B" = 1 + A"1 комплексы A1 рассчитывают по (Б.8); функции F1, F2 определяют по (5);
2) Критерий завершения итерационного процесса определяют следующим образом
. (Д.10)
Если критерий (Д.10) не выполняется, то необходимо продолжить итерационный процесс, начиная с пункта 1), в обратном случае перейти к пункту 3);
3) Вычисляют плотности и , кг/м3, давление насыщенного пара ps, МПа:
(Д.11)
. (Д.12)
Приложение Е
(обязательное)
СТАНДАРТНЫЕ СПРАВОЧНЫЕ ДАННЫЕ О ПЛОТНОСТИ, ЭНТАЛЬПИИ,
ЭНТРОПИИ, ИЗОХОРНОЙ И ИЗОБАРНОЙ ТЕПЛОЕМКОСТЯХ
ГЕЛИЯ-4 НА ЛИНИИ НАСЫЩЕНИЯ
Таблица Е.1
Термодинамические свойства гелия-4 в газообразном состоянии
на линии насыщения
T, К
pv, МПа
, кг/м3
h", кДж/кг
s", кДж/(кг·К)
cv", кДж/(кг·К)
cp", кДж/(кг·К)
2,5000
0,010228
2,139
17,143
7,6859
3,1070
5,6356
2,6000
0,012376
2,516
17,508
7,4667
3,1084
5,7089
2,7000
0,014814
2,933
17,858
7,2603
3,1104
5,7904
2,8000
0,017562
3,393
18,191
7,0652
3,1129
5,8808
2,9000
0,020638
3,899
18,508
6,8798
3,1160
5,9812
3,0000
0,024062
4,453
18,806
6,7028
3,1196
6,0927
3,1000
0,027851
5,058
19,087
6,5331
3,1238
6,2167
3,2000
0,032025
5,718
19,347
6,3697
3,1287
6,3548
3,3000
0,036601
6,437
19,588
6,2117
3,1342
6,5091
3,4000
0,041600
7,217
19,807
6,0583
3,1403
6,6822
3,5000
0,047038
8,065
20,003
5,9086
3,1471
6,8771
3,6000
0,052936
8,986
20,175
5,7620
3,1546
7,0978
3,7000
0,059312
9,986
20,321
5,6176
3,1629
7,3495
3,8000
0,066186
11,073
20,439
5,4749
3,1721
7,6387
3,9000
0,073578
12,256
20,527
5,3329
3,1823
7,9743
4,0000
0,081510
13,547
20,581
5,1910
3,1936
8,3682
4,1000
0,090001
14,959
20,599
5,0482
3,2063
8,8368
4,2000
0,099076
16,510
20,576
4,9035
3,2208
9,4036
4,3000
0,10876
18,222
20,506
4,7557
3,2376
10,103
4,4000
0,11908
20,124
20,383
4,6035
3,2574
10,987
4,5000
0,13006
22,255
20,196
4,4449
3,2811
12,138
4,6000
0,14174
24,670
19,932
4,2774
3,3100
13,693
4,7000
0,15414
27,449
19,574
4,0978
3,3458
15,895
4,8000
0,16733
30,712
19,093
3,9009
3,3894
19,219
4,9000
0,18134
34,665
18,444
3,6785
3,4449
24,893
5,0000
0,19624
39,707
17,537
3,4142
3,6196
37,195
5,1000
0,21211
46,850
16,160
3,0686
4,0598
76,045
Таблица Е.2
Термодинамические свойства гелия-4 в жидком состоянии
на линии насыщения
T, К
pv, МПа
, кг/м3
h', кДж/кг
s', кДж/(кг·К)
cv', кДж/(кг·К)
cp', кДж/(кг·К)
2,5000
0,010228
144,883
-5,9884
-1,56664
2,1418
2,3342
2,6000
0,012376
144,293
-5,7427
-1,47609
2,0620
2,3253
2,7000
0,014814
143,622
-5,494
-1,38864
2,0241
2,3604
2,8000
0,017562
142,880
-5,2388
-1,30279
2,0126
2,4244
2,9000
0,020638
142,071
-4,9745
-1,21764
2,0178
2,5084
3,0000
0,024062
141,200
-4,6995
-1,13260
2,0336
2,6077
3,1000
0,027851
140,267
-4,4123
-1,04728
2,0562
2,7195
3,2000
0,032025
139,273
-4,1119
-0,96140
2,0829
2,8426
3,3000
0,036601
138,215
-3,7973
-0,87474
2,1121
2,9769
3,4000
0,041600
137,093
-3,4674
-0,78710
2,1428
3,1231
3,5000
0,047038
135,903
-3,1212
-0,69831
2,1744
3,2825
3,6000
0,052936
134,640
-2,7576
-0,60818
2,2063
3,4572
3,7000
0,059312
133,300
-2,3754
-0,51651
2,2384
3,6501
3,8000
0,066186
131,875
-1,9731
-0,42307
2,2707
3,8649
3,9000
0,073578
130,358
-1,5491
-0,32758
2,3032
4,1069
4,0000
0,081510
128,738
-1,1013
-0,22973
2,3360
4,3829
4,1000
0,090001
127,003
-0,6275
-0,12912
2,3694
4,7026
4,2000
0,099076
125,135
-0,1245
-0,02527
2,4038
5,0796
4,3000
0,10876
123,114
0,4113
0,082443
2,4397
5,5336
4,4000
0,11908
120,912
0,9848
0,19481
2,4779
6,0947
4,5000
0,13006
118,492
1,6021
0,31293
2,5196
6,8108
4,6000
0,14174
115,800
2,2722
0,43827
2,5667
7,7629
4,7000
0,15414
112,760
3,0074
0,57302
2,6218
9,1000
4,8000
0,16733
109,255
3,8270
0,72053
2,6893
11,128
4,9000
0,18134
105,083
4,7632
0,88658
2,7773
14,605
5,0000
0,19624
99,841
5,8798
1,08274
2,9284
21,969
5,1000
0,21211
92,497
7,3470
1,34049
3,2683
46,845
БИБЛИОГРАФИЯ
[1]
Leachman J.W. et al. Thermodynamic properties of cryogenic fluids. - Cham: Springer International Publishing, 2017
УДК 536.71:532.14:006.354
ОКС 17.060
Ключевые слова: Государственная система обеспечения единства измерений, стандартные справочные данные, жидкий и газообразный гелий-4, плотность, энтальпия, энтропия, изохорная теплоемкость, изобарная теплоемкость