Главная // Актуальные документы // ГОСТ Р (Государственный стандарт)СПРАВКА
Источник публикации
М.: ФГБУ "Институт стандартизации", 2024
Примечание к документу
Документ
вводится в действие с 01.03.2025.
Название документа
"ГОСТ Р 71480-2024. Национальный стандарт Российской Федерации. Приборы ферритовые сверхвысокой частоты. Методы измерения фазового сдвига на низком уровне мощности"
(утв. и введен в действие Приказом Росстандарта от 27.06.2024 N 878-ст)
"ГОСТ Р 71480-2024. Национальный стандарт Российской Федерации. Приборы ферритовые сверхвысокой частоты. Методы измерения фазового сдвига на низком уровне мощности"
(утв. и введен в действие Приказом Росстандарта от 27.06.2024 N 878-ст)
Утвержден и введен в действие
агентства по техническому
регулированию и метрологии
от 27 июня 2024 г. N 878-ст
НАЦИОНАЛЬНЫЙ СТАНДАРТ РОССИЙСКОЙ ФЕДЕРАЦИИ
ПРИБОРЫ ФЕРРИТОВЫЕ СВЕРХВЫСОКОЙ ЧАСТОТЫ
МЕТОДЫ ИЗМЕРЕНИЯ ФАЗОВОГО СДВИГА НА НИЗКОМ УРОВНЕ МОЩНОСТИ
Microwave ferrite devices.
Methods of measurement of phase shift at a low power level
ГОСТ Р 71480-2024
Дата введения
1 марта 2025 года
1 РАЗРАБОТАН Федеральным государственным бюджетным учреждением "Всероссийский научно-исследовательский институт радиоэлектроники" (ФГБУ "ВНИИР")
2 ВНЕСЕН Техническим комитетом по стандартизации ТК 303 "Электронная компонентная база, материалы и оборудование"
3 УТВЕРЖДЕН И ВВЕДЕН В ДЕЙСТВИЕ
Приказом Федерального агентства по техническому регулированию и метрологии от 27 июня 2024 г. N 878-ст
4 ВВЕДЕН ВПЕРВЫЕ
Правила применения настоящего стандарта установлены в статье 26 Федерального закона от 29 июня 2015 г. N 162-ФЗ "О стандартизации в Российской Федерации". Информация об изменениях к настоящему стандарту публикуется в ежегодном (по состоянию на 1 января текущего года) информационном указателе "Национальные стандарты", а официальный текст изменений и поправок - в ежемесячном информационном указателе "Национальные стандарты". В случае пересмотра (замены) или отмены настоящего стандарта соответствующее уведомление будет опубликовано в ближайшем выпуске ежемесячного информационного указателя "Национальные стандарты". Соответствующая информация, уведомление и тексты размещаются также в информационной системе общего пользования - на официальном сайте Федерального агентства по техническому регулированию и метрологии в сети Интернет (www.rst.gov.ru)
Настоящий стандарт устанавливает методы измерения фазовых сдвигов: начального фазового сдвига ферритовых фазовращателей, вентилей, циркуляторов, переключателей, фильтров и ограничителей (далее - ферритовые приборы) и управляемого фазового сдвига фазовращателей на низком уровне мощности.
Настоящий стандарт устанавливает три метода измерения фазового сдвига ферритовых приборов:
метод I - для измерения фазового сдвига с использованием стандартной измерительной аппаратуры, позволяющей измерять фазовый сдвиг, разность фаз и фазу СВЧ-сигнала;
метод II - для измерения фазового сдвига с использованием измерительных линий;
метод III - для измерения фазового сдвига с использованием калиброванных фазовращателей.
Метод I применяется для измерения фазового сдвига ферритовых приборов всех типов.
При отсутствии стандартной измерительной аппаратуры для измерения фазового сдвига коаксиальных ферритовых приборов рекомендуется применять метод II, для измерения фазового сдвига волноводных ферритовых приборов - метод III.
В технических условиях на ферритовые приборы конкретных типов в технически обоснованных случаях могут устанавливаться методы измерения фазового сдвига, отличные от указанных в настоящем стандарте, если эти методы аттестованы по
ГОСТ Р 8.563 и обеспечивают погрешности измерений, не превышающие значений, установленных настоящим стандартом.
Общие требования к условиям и режимам измерения, аппаратуре, подготовке и проведению измерений, показателям точности измерений и требования безопасности - по ГОСТ Р 50730.1.
В настоящем стандарте использованы нормативные ссылки на следующие стандарты:
ГОСТ 8.351 Государственная система обеспечения единства измерений. Линии измерительные. Методы и средства поверки
ГОСТ Р 8.563 Государственная система обеспечения единства измерений. Методики (методы) измерений
ГОСТ Р 50730.1 Приборы ферритовые СВЧ. Общие требования при измерении параметров на высоком уровне мощности
Примечание - При пользовании настоящим стандартом целесообразно проверить действие ссылочных стандартов в информационной системе общего пользования - на официальном сайте Федерального агентства по техническому регулированию и метрологии в сети Интернет или по ежегодному информационному указателю "Национальные стандарты", который опубликован по состоянию на 1 января текущего года, и по выпускам ежемесячного информационного указателя "Национальные стандарты" за текущий год. Если заменен ссылочный стандарт, на который дана недатированная ссылка, то рекомендуется использовать действующую версию этого стандарта с учетом всех внесенных в данную версию изменений. Если заменен ссылочный стандарт, на который дана датированная ссылка, то рекомендуется использовать версию этого стандарта с указанным выше годом утверждения (принятия). Если после утверждения настоящего стандарта в ссылочный стандарт, на который дана датированная ссылка, внесено изменение, затрагивающее положение, на которое дана ссылка, то это положение рекомендуется применять без учета данного изменения. Если ссылочный стандарт отменен без замены, то положение, в котором дана ссылка на него, рекомендуется применять в части, не затрагивающей эту ссылку.
3 Термины, определения и сокращения
3.1 В настоящем стандарте применены термины по
[1], а также следующие термины с соответствующими определениями:
3.1.1 начальный фазовый сдвиг: Разность фаз сверхвысокочастотного сигнала на выходе фазовращателя в начальном фазовом состоянии и сверхвысокочастотного сигнала на выходе регулярного отрезка волновода заданной длины.
3.1.2 низкий уровень мощности: Уровень подводимой мощности сверхвысокочастотного сигнала ко входу прибора, при котором параметры прибора не зависят от мощности сверхвысокочастотного сигнала.
3.1.3 управляемый фазовый сдвиг: Изменение фазы сверхвысокочастотного сигнала на выходе фазовращателя, осуществляемое с помощью системы управления.
3.1.4 ферритовый сверхвысокочастотный прибор; ферритовый СВЧ-прибор: Прибор, в котором использован гиромагнитный материал (среда).
3.2 В настоящем стандарте применены следующие сокращения:
КСВН - коэффициент стоячей волны по напряжению;
НО - направленный ответвитель;
НУМ - низкий уровень мощности;
СВЧ - сверхвысокая частота;
ТУ - технические условия.
4 Метод I измерения фазового сдвига
4.1 Условия и режим измерений
4.1.1 Фазовые сдвиги управляемых ферритовых приборов следует измерять при постоянном во времени токе (напряжении) управления. Значение тока (напряжения) управления и порядок его включения должны соответствовать установленным в ТУ на ферритовые приборы.
4.1.2 Точность установления и поддержания режима и условий измерения должна быть такой, чтобы исключить их влияние на фазовые сдвиги ферритовых приборов (режимные погрешности отсутствуют). Конкретные значения показателей точности установления и поддержания параметров режимов и условий измерения должны соответствовать установленным в ТУ на ферритовые приборы.
4.1.3 При невозможности исключения погрешностей средств измерений их значения следует учитывать при расчете погрешности измерения.
Порядок определения погрешностей средств измерений приведен в
приложении А.
4.2 Аппаратура
4.2.1 Фазовые сдвиги ферритовых приборов следует измерять на стандартных измерителях разности фаз, измерителях комплексных коэффициентов передачи, установках для поверки или калибровки аттенюаторов, измеряющих фазовые сдвиги (далее - измерители фазы). Тип используемого средства измерения, а также обозначения стандартов и ТУ должны соответствовать установленным в ТУ на ферритовые приборы.
4.2.2 Аппаратура цепей управления, термостаты, криостаты, приборы контроля параметров режима измерений, а также место и способ подключения к ним (размещение в них) ферритовых приборов должны соответствовать установленным в ТУ на ферритовые приборы.
4.2.3 Если присоединительные элементы ферритовых приборов отличаются от присоединительных элементов средств измерения или ферритовые приборы размещаются в криостатах, термостатах, а также в иных необходимых случаях, указываемых в ТУ на ферритовые приборы конкретных типов, то их следует подключать в измерительный тракт с помощью подключающих устройств: переходов, трансформаторов сопротивлений, отрезков волноводов и т.п.
Волноводные подключающие устройства в диапазоне частот до 80 ГГц включительно, коаксиально-волноводные и микрополосковые подключающие устройства в диапазоне частот до 26 ГГц включительно должны иметь КСВН не более 1,2.
4.2.4 Для волноводных подключающих устройств в диапазоне частот свыше 80 ГГц, коаксиально-волноводных и микрополосковых подключающих устройств в диапазоне частот свыше 26 ГГц значение КСВН устанавливают в ТУ на ферритовые приборы.
4.2.5 Для измерения начального фазового сдвига используют отрезок регулярной линии передачи, требования к которому устанавливают в ТУ на ферритовый прибор.
4.3 Подготовка к измерениям
4.3.1 Перед началом измерений подготавливают все средства измерений и аппаратуру согласно
4.2.1 и
4.2.2, в соответствии с их эксплуатационной документацией.
В случае применения подключающих устройств по
4.2.3 настройку средств измерения проводят с подключающими устройствами.
4.3.2 Операции по подготовке и проведению измерений, связанные с установлением заданного режима и (или) условий измерения (например, время выдержки под током, в термокамере и т.п.), должны соответствовать установленным в ТУ на ферритовый прибор.
4.4 Проведение измерений
4.4.1 Измерение начального фазового сдвига ферритовых приборов
4.4.1.1 К измерителю фазы подключают отрезок регулярной линии передачи. На индикаторе измерителя фазы устанавливают показание фазы

, равное или близкое к нулю.
4.4.1.2 Вместо отрезка регулярной линии передачи к измерителю фазы подключают измеряемый ферритовый прибор. При измерении начального фазового сдвига ферритового прибора предварительно устанавливают его в начальное фазовое состояние, подавая на прибор управляющий сигнал в соответствии с ТУ на ферритовый прибор.
По индикатору измерителя фазы отсчитывают фазовый сдвиг

в соответствии с эксплуатационной документацией используемого измерителя фазы.
4.4.1.3 Начальный фазовый сдвиг

, град, вычисляют по формуле

. (1)
4.4.2 Измерение управляемого фазового сдвига фазовращателей
4.4.2.1 К измерителю фазы подключают фазовращатель. Устанавливают фазовращатель в начальное фазовое состояние, подавая на него управляющий сигнал в соответствии с ТУ на фазовращатель. На индикаторе измерителя фазы устанавливают показание фазы

, равное или близкое к нулю.
4.4.2.2 Устанавливают фазовращатель в заданное фазовое состояние, подавая на него управляющий сигнал в соответствии с ТУ на фазовращатель. По индикатору измерителя фазы отсчитывают фазовый сдвиг

в соответствии с эксплуатационной документацией используемого измерителя фазы.
4.4.2.3 Управляемый фазовый сдвиг

, град, вычисляют по формуле

. (2)
4.5 Показатели точности измерений
4.5.1 Показатели точности измерений фазовых сдвигов должны соответствовать установленным в ТУ на ферритовые приборы.
Доверительные границы интервала, в котором с установленной вероятностью 0,95 находится погрешность измерения, определяют в соответствии с приложением Б по
формулам (Б.1) и
(Б.8). При этом доверительные границы интервала (в градусах) должны находиться в пределах

, где

- измеряемый фазовый сдвиг (начальный или управляемый) для ферритовых приборов с КСВН не более 1,3 при отсутствии погрешности средств измерений.
4.5.2 При КСВН ферритовых приборов более 1,3, а также в случаях, предусмотренных в
4.1.3 и
4.2.4, погрешность измерения может превышать установленную в
4.5.1 и должна соответствовать установленной в ТУ на ферритовый прибор.
5 Метод II измерения фазового сдвига
5.1 Условия и режим измерений
5.1.2 Время измерения не должно превышать 5 мин.
5.2 Аппаратура
5.2.1 Измерения фазового сдвига на низком уровне мощности следует проводить на установке, структурная схема которой приведена на
рисунке 1.
Направленные ответвители 1 и 2 включают в тракт, ориентируя их на падающую волну.
Рисунок 1 - Структурная схема установки для измерения
фазового сдвига на низком уровне мощности методом II
5.2.2 Нестабильность частоты генератора СВЧ за 15 мин не должна превышать 5·10
-4.
5.2.3 КСВН основных каналов направленных ответвителей должен быть не более 1,3. КСВН вторичных каналов совместно с элементами СВЧ тракта, подключающими их к измерительной линии, должен быть не более 1,1 со стороны измерительной линии. Переходное ослабление направленных ответвителей должно находиться в диапазоне от 10 до 20 дБ.
Переходное ослабление НО-1 должно быть не менее переходного ослабления НО-2, причем разность переходных ослаблений должна быть не более 2 дБ.
Направленность ответвителей должна быть не менее 20 дБ.
Для изготовления вторичных каналов направленных ответвителей и для получения заданных переходных ослаблений ответвителей допускается применение подстраивающих устройств: аттенюаторов, развязывающих устройств и согласующих трансформаторов.
5.2.4 КСВН нагрузки не должен превышать значение 1,1.
5.2.5 Частотомер должен обеспечивать измерение частоты с погрешностью не более 1·10-4.
5.2.6 Измерительная линия должна быть не ниже 2 класса точности по ГОСТ 8.351.
5.2.7 В качестве индикатора применяют измерители отношения напряжений или селективные измерительные усилители.
5.2.8 Разность длин опорного и измерительного каналов
lр, мм, должна находиться в пределах

:
lр = Lо - Lи, (3)
где Lо - геометрическая длина опорного канала от входного фланца (разъема) основного канала НО-1 до входного фланца (разъема) измерительной линии, мм;
Lи - геометрическая длина измерительного канала от входного фланца (разъема) основного канала НО-1 через НО-2 до другого входного фланца (разъема) измерительной линии, мм;
5.2.9 Аппаратура цепей управления, термостаты, приборы контроля параметров режима измерений - по
4.2.1 и
4.2.2.
5.2.10 Присоединительные элементы, предназначенные для подключения ферритовых приборов, - по
4.2.3,
4.2.4.
5.2.11 Отрезок регулярной линии передачи, применяемый для измерения начального фазового сдвига, - по
4.2.5.
5.3 Подготовка к измерениям
Подготовку к измерениям проводят по
4.3.1 и
4.3.2.
5.4 Проведение измерений
5.4.1 Измерение начального фазового сдвига ферритовых приборов
5.4.1.1 Вместо ферритового прибора к установке подключают отрезок регулярной линии передачи.
5.4.1.2 По частотомеру отсчитывают значение частоты СВЧ сигнала
f0.
5.4.1.3 Перемещая зонд вдоль измерительной линии, определяют его положение l0, мм, соответствующее минимуму показаний индикатора.
5.4.1.4 Вместо отрезка регулярной линии передачи к установке подключают ферритовый прибор. При измерении начального фазового сдвига управляемого ферритового прибора устанавливают его начальное фазовое состояние, подавая управляющий сигнал в соответствии с ТУ на ферритовый прибор.
5.4.1.5 Перемещая зонд вдоль измерительной линии, определяют положение ближайшего минимума l1, мм.
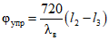
5.4.1.6 Начальный фазовый сдвиг

, град, вычисляют по формуле

, (4)
где

- длина волны в волноводе, мм.
Для коаксиальных измерительных линий

, мм, вычисляют по формуле

, (5)
где
f0 - частота генератора СВЧ по
5.4.1.2, ГГц.
Для волноводных измерительных линий

, мм, вычисляют по формуле

(6)
где a - ширина волновода измерительной линии прямоугольного сечения, мм;

- длина волны в свободном пространстве, мм; вычисляют по формуле

. (7)
5.4.2 Измерение управляемого фазового сдвига фазовращателей
5.4.2.1 По частотомеру отсчитывают значение частоты СВЧ сигнала f0.
5.4.2.2 Устанавливают фазовращатель в начальное фазовое состояние по
5.4.1.4.
5.4.2.3 Перемещая зонд вдоль измерительной линии, определяют положение минимума l2, мм.
5.4.2.4 Устанавливают фазовращатель в заданное фазовое состояние, подавая на него управляющий сигнал в соответствии с ТУ на фазовращатель.
5.4.2.5 Перемещая зонд вдоль измерительной линии, определяют положение минимума l3, мм.
5.4.2.6 Управляемый фазовый сдвиг

, град, вычисляют по формуле

. (8)
5.5 Показатели точности измерений
5.5.1 Показатели точности измерений фазовых сдвигов должны соответствовать установленным в ТУ на ферритовые приборы.
Доверительные границы интервала, в котором с установленной вероятностью 0,95 находится погрешность измерения, определяют в соответствии с приложением Б по
формулам (Б.11) и
(Б.24). При этом доверительные границы интервала (в градусах) должны находиться в пределах

, где

- измеряемый фазовый сдвиг (начальный или управляемый) для ферритовых приборов с КСВН не более 1,3 при отсутствии погрешности средств измерений.
5.5.2 При КСВН ферритовых приборов более 1,3, а также в случаях, предусмотренных в
4.1.3 и
4.2.4, погрешность измерения может превышать установленную в
5.5.1 и должна соответствовать установленной в ТУ на ферритовый прибор.
6 Метод III измерения фазового сдвига
6.1 Условия и режим измерений
6.2 Аппаратура
6.2.1 Измерение фазового сдвига на низком уровне мощности следует проводить на установке, структурная схема которой приведена на
рисунке 2.
НО-1 и НО-2 включают в тракт, ориентируя их на падающую волну. Аттенюатор и фазовращатель подключают к вторичным каналам направленных ответвителей.
Рисунок 2 - Структурная схема установки для измерения
фазового сдвига на низком уровне мощности методом III
6.2.2 Генератор СВЧ, нагрузка и индикатор - по
5.2.2,
5.2.4,
5.2.7 соответственно. В качестве индикатора допускается применение осциллографа с коэффициентом отклонения не более 10 мкВ/дел.
6.2.3 КСВН основных и вторичных каналов направленных ответвителей не должен превышать 1,2. Переходное ослабление ответвителей не должно превышать 6 дБ. При этом суммарное ослабление сигнала СВЧ НУМ за счет переходного ослабления НО-1, начального ослабления аттенюатора и фазовращателя, включенных между вторичными каналами направленных ответвителей, должно быть не более переходного ослабления НО-2. Направленность ответвителей должна быть не менее 20 дБ.
6.2.4 Аттенюатор должен плавно регулировать ослабление в диапазоне не менее 3 дБ. КСВН аттенюатора не должен превышать 1,2. Изменение фазы в диапазоне ослабления не должно превышать двух градусов.
6.2.5 Погрешность фазовращателя не должна выходить за пределы интервала +/- 3°. КСВН фазовращателя не должен превышать 1,2.
6.2.6 Для компенсации начальных потерь аттенюатора и фазовращателя допускается включение между НО-2 и ферритовым прибором аттенюатора с КСВН не более 1,1.
6.2.7 Чувствительность детекторной секции должна быть не менее 200 мкВ/мкВт.
6.2.8 Аппаратура цепей управления, термостаты, приборы контроля параметров режима измерений - по
4.2.2.
6.2.9 Присоединительные элементы, предназначенные для подключения ферритовых приборов, - по
4.2.3,
4.2.4.
6.2.10 Отрезок регулярной линии передачи, применяемый для измерения начального фазового сдвига, - по
4.2.5.
6.2.11 Разность длин опорного и измерительного каналов, мм, должна находиться в пределах

:
lр1 = Lо1 - Lи1, (9)
где Lо1 - геометрическая длина опорного канала от входного фланца (разъема) основного канала НО-1 через аттенюатор и фазовращатель до выходного фланца (разъема) вторичного канала НО-2, мм;
Lи1 - геометрическая длина измерительного канала от входного фланца (разъема) основного канала НО-1 через ферритовый прибор до выходного фланца (разъема) вторичного канала НО-2, мм;
6.3 Подготовка к измерениям
Подготовку к измерениям проводят по
4.3.1 и
4.3.2.
6.4 Проведение измерений
6.4.1 Измерение начального фазового сдвига ферритовых приборов
6.4.1.1 Вместо ферритового прибора к установке подключают отрезок регулярной линии передачи.
6.4.1.2 При помощи фазовращателя и аттенюатора на индикаторе получают минимальные показания. По фазовращателю отсчитывают значение фазы

.
6.4.1.3 Вместо отрезка регулярной линии передачи к установке подключают ферритовый прибор. При измерении управляемого ферритового прибора устанавливают его начальное фазовое состояние, подавая управляющий сигнал в соответствии с ТУ на управляемый ферритовый прибор.
6.4.1.4 При помощи фазовращателя и аттенюатора на индикаторе получают минимальные показания. По фазовращателю отсчитывают значение фазы

.
6.4.1.5 Начальный фазовый сдвиг

, град, вычисляют по формуле

. (10)
6.4.2 Измерение управляемого фазового сдвига фазовращателей
6.4.2.1 Устанавливают фазовращатель в начальное фазовое состояние по
5.4.1.4.
6.4.2.2 При помощи фазовращателя и аттенюатора на индикаторе получают минимальные показания. По фазовращателю отсчитывают значение фазы

.
6.4.2.3 Устанавливают фазовращатель в заданное фазовое состояние, подавая на него управляющий сигнал в соответствии с ТУ на фазовращатель.
6.4.2.4 При помощи фазовращателя и аттенюатора на индикаторе получают минимальные показания и по фазовращателю отсчитывают значение фазы

.
6.4.2.5 Управляемый фазовый сдвиг

, град, вычисляют по формуле

. (11)
6.5 Показатели точности измерений
6.5.1 Показатели точности измерения фазовых сдвигов должны соответствовать установленным в ТУ на ферритовые приборы.
Доверительные границы интервала, в котором с установленной вероятностью 0,95 находится погрешность измерения, определяют в соответствии с приложением Б по
формулам (Б.28) и
(Б.34). При этом доверительные границы интервала должны находиться в пределах +/- 8° для ферритовых приборов с КСВН не более 1,3 при отсутствии режимной погрешности.
6.5.2 Если КСВН ферритовых приборов более 1,3, а также в случаях, предусмотренных в
4.1.3 и
4.2.4, погрешность измерения может превышать установленную в стандарте и должна соответствовать установленной в ТУ на ферритовый прибор.
(справочное)
ПОРЯДОК ОПРЕДЕЛЕНИЯ ПОГРЕШНОСТИ СРЕДСТВ ИЗМЕРЕНИЙ
А.1 Погрешности средств измерений включают погрешности, обусловленные:
а) погрешностью установления и поддержания параметров режима измерения;
б) погрешностью из-за изменения параметров внешних условий.
А.2 Погрешности средств измерений, обусловленные погрешностью установления и поддержания параметров режима измерения, определяют по формуле

, (А.1)
где a(xi) - коэффициент влияния параметра режима xi на параметр ферритового прибора y;

- погрешность установления и поддержания параметра режима
xi при измерении параметра ферритового прибора
y.
А.3 Погрешности средств измерений, обусловленные изменением параметров внешних условий при измерении, определяют по формуле

, (А.2)
где b(xi) - коэффициент влияния параметра внешних условий при измерении xi на параметр ферритового прибора y;

- изменение параметра внешних условий
xi в некотором интервале значений, установленном в ТУ на ферритовый прибор.
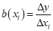
А.4 Коэффициенты влияния
a(
xi) и

определяют по графическим зависимостям параметра ферритового прибора от соответствующего параметра режима (условий) измерения или по типовым зависимостям, полученным экспериментально.
А.4.1 При наличии графической (типовой) зависимости измеряемого параметра ферритового прибора от параметра режима (условий) измерения (пример такой зависимости приведен на
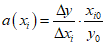
рисунке А.1) коэффициент влияния определяют по формулам:

; (А.3)

, (А.4)
где xi0 - значение параметра режима (условий), при котором проводится измерение;
y0 - значение параметра ферритового прибора, соответствующее значению xi0;

,

- проекции на оси координат отрезка касательной в точке (
xi0,
y0) на типовой характеристике
y =
f(
xi).
А.4.2 Типовые характеристики определяют по результатам измерения параметров приборов в допустимых по ТУ пределах режимов и условий измерения.
Типовые характеристики представляют собой графики зависимости средних значений параметров ферритового прибора от режима (условий) измерений.
В тех случаях, когда конкретные условия позволяют провести определение типовых характеристик на 12 и более ферритовых приборах, это определение следует проводить по правилам, приведенным в
[2].
Рисунок А.1 - Графическая (типовая) зависимость
измеряемого параметра ферритового прибора
от параметра режима (условий) измерения
(справочное)
МЕТОДИКА РАСЧЕТА ПОГРЕШНОСТИ ИЗМЕРЕНИЯ ФАЗОВЫХ СДВИГОВ
Б.1 Расчет погрешности измерения начального фазового сдвига по методу I
Погрешность измерения начального фазового сдвига по методу I вычисляют по формуле

, (Б.1)
где

- погрешность измерения фазы, град;
2 - 0,95-я квантиль нормированной функции нормального распределения;

- среднее квадратическое отклонение погрешности измерения из-за рассогласования тракта за счет подключающихся устройств, град; вычисляют по формуле

, (Б.2)
где 57 - коэффициент перевода радиан в градусы;

- 0,977-я квантиль нормированной функции распределения по арккосинусу;

,

- модуль коэффициента отражения ферритового прибора и подключающего устройства;
Qпр, Qобр - коэффициенты передачи ферритового прибора по напряжению соответственно в прямом и обратном направлениях; вычисляют по формулам:

(Б.3)

(Б.4)
где

,

- потери ферритового прибора в прямом и обратном направлениях соответственно, дБ;

,

- модули коэффициентов отражения измерительного тракта в месте подключения ферритового прибора в сторону генератора и в сторону измерительного блока соответственно;

- среднее квадратическое отклонение погрешности измерения из-за рассогласования измерительного тракта, град; вычисляют по формуле

, (Б.5)

, (Б.6)
где

- модуль коэффициента отражения ферритового прибора;

- наибольшее значение отражения, для которого нормируется погрешность измерителя фазы в соответствии с его эксплуатационной документацией.
Если

, то

;

- среднее квадратическое отклонение режимной погрешности измерения, град; вычисляют по формуле

, (Б.7)
где

- значение измеряемого фазового сдвига, град;

- частные режимы погрешности, обусловленные погрешностью установления и поддержания параметров режима измерения ферритовых приборов, а также погрешностью из-за изменения параметров внешних условий;
3 - 0,977-я квантиль нормированной функции нормального распределения.
Б.2 Расчет погрешности измерения управляемого фазового сдвига по методу I
Погрешность измерения управляемого фазового сдвига

, град, по методу I вычисляют по формуле

, (Б.8)
где

,

- среднее квадратическое отклонение погрешности измерения за счет подключающихся устройств и рассогласования тракта соответственно, град; вычисляют по формулам:

, (Б.9)

. (Б.10)
Если

, то

.
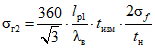
Б.3 Расчет погрешности измерения начального фазового сдвига по методу II
Погрешность измерения начального фазового сдвига

, град, по методу II вычисляют по формуле

, (Б.11)
где

- погрешность измерения начального фазового сдвига, град;

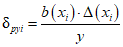
- среднее квадратическое отклонение погрешности измерения из-за влияния вторичных каналов направленных ответвителей, град; вычисляют по формуле

, (Б.12)
где

- значение измеряемого фазового сдвига, град;

- модуль коэффициента отражения вторичного канала направленных ответвителей;

- среднее квадратическое отклонение погрешности измерения за счет рассогласования измерительного тракта, град; вычисляют по формуле

(Б.13)
где

,

- модуль коэффициента отражения основных каналов ответвителей и нагрузки соответственно;
Qс1,
Qс2,
Qпр1,
Qобр2 - коэффициенты передачи по напряжению ответвителей 1 и 2 подстраивающих устройств по
5.2.3 во вторичном канале НО-1 в прямом направлении и НО-2 в обратном направлении соответственно; вычисляют по формулам:

(Б.14)

(Б.15)
где C1 и C2 - переходное ослабление НО-1 и НО-2 соответственно, дБ;

(Б.16)

(Б.17)
где

,

- ослабление подстраивающих устройств по
5.2.3 во вторичном канале НО-1 в прямом направлении и НО-2 в обратном направлении, дБ;

- среднее квадратическое отклонение погрешности измерения из-за конечного значения НО-1, град; вычисляют по формуле

(Б.18)
где N - коэффициент направленности ответвителя 1.

(Б.19)
где B - направленность ответвителя 1, дБ;
Qобр1,
Qпр2 - коэффициенты передачи по напряжению подстраивающих устройств по
5.2.3 во вторичном канале НО-1 в обратном направлении и НО-2 в прямом направлении соответственно; вычисляют по формулам:

(Б.20)

(Б.21)
где

и

- ослабление подстраивающих устройств по
5.2.3 во вторичном канале НО-1 в обратном направлении и НО-2 в прямом направлении, дБ;

- среднее квадратическое отклонение погрешности измерения из-за рассогласования тракта за счет подключающих устройств, град; вычисляют по формуле

, (Б.22)

- среднее квадратическое отклонение погрешности измерения фазы коэффициента отражения на измерительной линии при
KстU(изм) = 8 (в соответствии с
ГОСТ 8.351), град;

- среднее квадратическое отклонение погрешности измерения за счет нестабильности частоты генератора, град; вычисляют по формуле

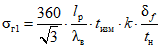
, (Б.23)
где
lр - геометрическая разность длин опорного и измерительного каналов по
5.2.8, мм;
tизм - время измерения по
5.1.2;

- нестабильность частоты генератора СВЧ по
5.2.2 за нормируемое время
tн;
k - коэффициент, учитывающий вид тракта;
k = 2 - для волноводных трактов прямоугольного сечения;
k = 1 - для коаксиальных трактов.
Б.4 Расчет погрешности измерения управляемого фазового сдвига по методу II
Погрешность измерения управляемого фазового сдвига

, град, по методу II вычисляют по формуле

, (Б.24)
где

- среднее квадратическое отклонение погрешности измерения за счет рассогласования измерительного тракта, град; вычисляют по формуле

(Б.25)

- среднее квадратическое отклонение погрешности измерения из-за конечного значения направленности ответвителя 1, град; вычисляют по формуле

(Б.26)

- среднее квадратическое отклонение погрешности измерения из-за рассогласования тракта за счет подключающих устройств, град; вычисляют по формуле

. (Б.27)
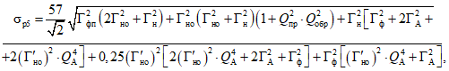
Б.5 Расчет погрешности измерения начального фазового сдвига по методу III
Погрешность измерения начального фазового сдвига

, град, по методу III вычисляют по формуле

, (Б.28)
где

- среднее квадратическое отклонение погрешности измерения за счет рассогласования измерительного тракта, град; вычисляют по формуле

(Б.29)
где

,

- коэффициент отражения аттенюатора и фазовращателя соответственно;
QА, Qф - коэффициенты передачи аттенюатора и фазовращателя;

- среднее квадратическое отклонение погрешности измерения из-за конечного значения направленности ответвителей, град; вычисляют по формуле

, (Б.30)
где N - коэффициент направленности ответвителей 1 и 2;

- среднее квадратическое отклонение погрешности, обусловленное погрешностью отсчета фазы с помощью фазовращателя, град; вычисляют по формуле

, (Б.31)
где

- погрешность отсчета фазы по фазовращателю по
6.2.5, град;

- среднее квадратическое отклонение погрешности измерения за счет нестабильности частоты генератора, град; вычисляют по формуле

, (Б.32)
| | ИС МЕГАНОРМ: примечание. В официальном тексте документа, видимо, допущена опечатка: имеется в виду п. 6.2.11, а не п. 3.2.11. | |
где
lр1 - разность длин опорного и измерительного каналов по
3.2.11 настоящего стандарта, град;

- среднее квадратическое отклонение погрешности измерения за счет изменения фазы в диапазоне изменения ослабления аттенюатором по
6.2.4, град; вычисляют по формуле

, (Б.33)
где

- максимальная погрешность за счет изменения фазы в диапазоне изменения ослабления аттенюатором по
6.2.4, град.
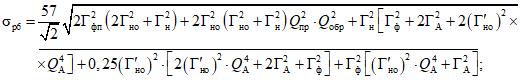
Б.6 Расчет погрешности измерения управляемого фазового сдвига по методу III
Погрешность измерения управляемого фазового сдвига

, град, по методу III вычисляют по формуле

, (Б.34)
где

- среднее квадратическое отклонение погрешности измерения за счет рассогласования измерительного тракта, град; вычисляют по формуле

(Б.35)

- среднее квадратическое отклонение погрешности измерения из-за конечного значения направленности ответвителей, град; вычисляют по формуле

. (Б.36)
| | Государственная система обеспечения единства измерений. Метрология. Основные термины и определения |
| РМ 11 070.071-81 | Изделия электронной техники. Методы определения типовых характеристик |
УДК 621.385.6.083:006.354 | |
Ключевые слова: приборы ферритовые сверхвысокочастотного диапазона, фазовый сдвиг, низкий уровень мощности |