Главная // Актуальные документы // ГОСТ Р (Государственный стандарт)СПРАВКА
Источник публикации
М.: ФГБУ "Институт стандартизации", 2023
Примечание к документу
Документ
введен в действие с 01.01.2024.
Название документа
"ГОСТ Р 113.00.15-2023. Национальный стандарт Российской Федерации. Наилучшие доступные технологии. Методические рекомендации представления информации по экономическим аспектам реализации наилучших доступных технологий в информационно-техническом справочнике по наилучшим доступным технологиям"
(утв. и введен в действие Приказом Росстандарта от 17.10.2023 N 1157-ст)
"ГОСТ Р 113.00.15-2023. Национальный стандарт Российской Федерации. Наилучшие доступные технологии. Методические рекомендации представления информации по экономическим аспектам реализации наилучших доступных технологий в информационно-техническом справочнике по наилучшим доступным технологиям"
(утв. и введен в действие Приказом Росстандарта от 17.10.2023 N 1157-ст)
Утвержден и введен в действие
Приказом Федерального
агентства по техническому
регулированию и метрологии
от 17 октября 2023 г. N 1157-ст
НАЦИОНАЛЬНЫЙ СТАНДАРТ РОССИЙСКОЙ ФЕДЕРАЦИИ
НАИЛУЧШИЕ ДОСТУПНЫЕ ТЕХНОЛОГИИ
МЕТОДИЧЕСКИЕ РЕКОМЕНДАЦИИ
ПРЕДСТАВЛЕНИЯ ИНФОРМАЦИИ ПО ЭКОНОМИЧЕСКИМ АСПЕКТАМ
РЕАЛИЗАЦИИ НАИЛУЧШИХ ДОСТУПНЫХ ТЕХНОЛОГИЙ
В ИНФОРМАЦИОННО-ТЕХНИЧЕСКОМ СПРАВОЧНИКЕ ПО НАИЛУЧШИМ
ДОСТУПНЫМ ТЕХНОЛОГИЯМ
The best available techniques. Methodical recommendations
on presenting of information for economic aspects
of the implementation of the best available techniques
in the information and technical reference book on the best
available techniques
ГОСТ Р 113.00.15-2023
Дата введения
1 января 2024 года
1 РАЗРАБОТАН Федеральным государственным автономным учреждением "Научно-исследовательский институт "Центр экологической промышленной политики" (ФГАУ "НИИ "ЦЭПП")
2 ВНЕСЕН Техническим комитетом по стандартизации ТК 113 "Наилучшие доступные технологии"
3 УТВЕРЖДЕН И ВВЕДЕН В ДЕЙСТВИЕ Приказом Федерального агентства по техническому регулированию и метрологии от 17 октября 2023 г. N 1157-ст
Правила применения настоящего стандарта установлены в статье 26 Федерального закона от 29 июня 2015 г. N 162-ФЗ "О стандартизации в Российской Федерации". Информация об изменениях к настоящему стандарту публикуется в ежегодном (по состоянию на 1 января текущего года) информационном указателе "Национальные стандарты", а официальный текст изменений и поправок - в ежемесячном информационном указателе "Национальные стандарты". В случае пересмотра (замены) или отмены настоящего стандарта соответствующее уведомление будет опубликовано в ближайшем выпуске ежемесячного информационного указателя "Национальные стандарты". Соответствующая информация, уведомление и тексты размещаются также в информационной системе общего пользования - на официальном сайте Федерального агентства по техническому регулированию и метрологии в сети Интернет (www.rst.gov.ru)
Настоящий стандарт устанавливает методические рекомендации представления информации по экономическим аспектам реализации технологий в информационно-техническом справочнике по наилучшим доступным технологиям.
Настоящий стандарт распространяется на осуществление природоохранных мероприятий, соответствующих требованиям принципов наилучших доступных технологий, на объектах негативного воздействия на окружающую среду (далее - объект) по производству продукции, проведению работ, оказанию услуг на территории Российской Федерации.
Положения, установленные в настоящем стандарте, предназначены для применения в публичной, отчетной и нормативной документации, а также в научно-технической, учебной и справочной литературе применительно к повышению осведомленности об экономической составляющей процессов ресурсного и энергетического сбережения, а также сокращения воздействия объекта на окружающую среду и здоровье населения.
В настоящем стандарте использована нормативная ссылка на следующий стандарт:
Примечание - При пользовании настоящим стандартом целесообразно проверить действие ссылочных стандартов в информационной системе общего пользования - на официальном сайте Федерального агентства по техническому регулированию и метрологии в сети Интернет или по ежегодному информационному указателю "Национальные стандарты", который опубликован по состоянию на 1 января текущего года, и по выпускам ежемесячного информационного указателя "Национальные стандарты" за текущий год. Если заменен ссылочный стандарт, на который дана недатированная ссылка, то рекомендуется использовать действующую версию этого стандарта с учетом всех внесенных в данную версию изменений. Если заменен ссылочный стандарт, на который дана датированная ссылка, то рекомендуется использовать версию этого стандарта с указанным выше годом утверждения (принятия). Если после утверждения настоящего стандарта в ссылочный стандарт, на который дана датированная ссылка, внесено изменение, затрагивающее положение, на которое дана ссылка, то это положение рекомендуется применять без учета данного изменения. Если ссылочный стандарт отменен без замены, то положение, в котором дана ссылка на него, рекомендуется применять в части, не затрагивающей эту ссылку.
3 Термины, определения и сокращения
3.1 В настоящем стандарте применены термины по
ГОСТ Р 113.00.12, а также следующие термины с соответствующими определениями:
3.1.1
валидация, верификация: Подтверждение на основе представления объективных свидетельств того, что требования, предназначенные для конкретного использования или применения, выполнены. |
3.1.2
затраты: Категория управленческого и бухгалтерского учета, фактическое выражение в денежной форме (рублях) понесенных расходов (полученных доходов) организаций, предприятий или предпринимателей, а также заемные средства, использованные на производство, обращение, сбыт продукции, товаров, услуг. [Большая российская энциклопедия] |
3.1.3 природоохранные мероприятия: Комплекс организационных и технических управленческих решений, направленных на сокращение и предотвращение издержек, связанных с негативным воздействием на окружающую среду, и одновременное получение конкурентных преимуществ.
3.1.4 срок амортизации: Период времени, за который происходит полный физический и моральный износ определенного вида нематериальных активов и основных средств.
3.1.5
устойчивое развитие: Развитие, обеспечивающее удовлетворение потребностей нынешнего поколения и не подрывающее при этом возможности удовлетворения потребностей будущих поколений. [Всемирная комиссия ООН по окружающей среде и развитию, 1987] |
3.1.6
эффективное использование ресурсов: Достижение экономически оправданной эффективности использования ресурсов при существующем уровне развития техники и технологии и соблюдении требований к охране окружающей среды. [Адаптировано из ГОСТ Р 53905-2010, статья 2] |
3.2 В настоящем стандарте применены следующие сокращения:
ОС - окружающая среда;
НВОС - негативное воздействие на окружающую среду;
НДТ - наилучшие доступные технологии;
ИТС НДТ - информационно-технический справочник по наилучшим доступным технологиям.
4 Методические рекомендации представления информации по экономическим аспектам реализации наилучших доступных технологий в информационно-техническом справочнике по наилучшим доступным технологиям
Информация по экономическим аспектам реализации технологий в ИТС НДТ может быть представлена на основе анализа возможных затрат на реализацию соответствующих мер при внедрении НДТ в соответствующей отрасли хозяйствования.
Рекомендуется использовать следующий алгоритм, позволяющий собрать и проанализировать данные об экономической эффективности менеджмента объекта, направленного на выполнение требований НДТ и целей в области устойчивого развития:
- определить структуру затрат;
- провести обработку и представление информации о суммах затрат;
- оценить динамику вклада в формирование удельной себестоимости природоохранных мероприятий по сравнению с другими объектами той же отрасли в референтном году или по сравнению с собственными или сторонними показателями предыдущего (базового) года (удельные показатели позволяют сравнивать периоды разной продолжительности, но для лучшей совместимости отчетности рекомендуется использовать в качестве референтного периода один календарный год);
- оценить экономический эффект от применения наилучших доступных технологий.
4.1 Определение структуры затрат
Необходимо определить, какие затраты должны быть включены при описании технологии в ИТС НДТ, сформировать их учет и представление.
4.1.1 При формировании структуры затрат следует учесть инвестиционные и операционные расходы на установку и функционирование на объекте оборудования по снижению НВОС (далее - оборудование), а также доходы от природоохранных мероприятий в референтном году.
4.1.2 Примеры объектов затрат по
[1]:
- оборудование (фильтры, скрубберы, катализаторы, горелки, огнеупоры);
- системы очистки отходящих газов;
- системы хранения, транспортировки и утилизации отходов;
- системы очистки сточных вод и шлама;
- процедуры проектирования, строительства, монтажа оборудования на объекте;
- лицензирование (при необходимости);
- системы автоматического контроля отходящих газов и сточных вод по основным загрязняющим веществам.
4.1.2.1 Инвестиционные затраты:
- на приобретение, доставку, установку и ввод оборудования и контрольных и вспомогательных приборов и инструментов в эксплуатацию;
- последующую продажу или утилизацию оборудования.
4.1.2.2 Операционные затраты:
- на приобретение и доставку сырьевых и энергетических ресурсов, вспомогательных материалов и элементов, оплату услуг, необходимых для обеспечения работы оборудования;
- оплату имущественных налогов в части оборудования;
- оплату труда персонала (с учетом страховых отчислений);
- связанные с обучением, повышением квалификации персонала и требованиями охраны труда;
- условно постоянные расходы на эксплуатацию и ремонт оборудования, страховые премии, резерв на непредвиденные случаи и аварийные работы;
- другие общие накладные расходы (например, административные).
4.1.2.3 Доходы от природоохранных мероприятий и предотвращенные издержки:
- выручка от реализации электроэнергии, полученной при утилизации отходов;
- выручка от реализации бывшего в употреблении оборудования;
- выручка от реализации отходов (например, золошлаковых для производства строительных материалов);
- предотвращенные издержки в результате экономии сырья, вспомогательных материалов, топливно-энергетических ресурсов, расходов на мониторинг воздействия на ОС.
4.1.3 Рекомендуется учитывать затраты и доходы с соблюдением принципов раздельного бухгалтерского учета по номенклатуре.
4.2 Обеспечение валидации данных о затратах на внедрение технологий
4.2.1 Рекомендуется создать единую систему отсчета для учета затрат: определить зависимость от одного или нескольких объективных параметров (например, площади открытых площадок хранения, количества приемных терминалов сырья, численности основного персонала, количества точек выбросов/сбросов, объема эмиссий и т.п.).
4.2.2 Выявить технологии, для внедрения которых имеется статистически значимое количество реализованных проектов, которые позволяют использовать их в качестве объектов сравнения. Провести учет затрат и на основе статистических сведений оценить их репрезентативность.
4.2.3 Используя независимые экспертные оценки, определить интервалы возможных значений затрат на внедрение технологии на объекте при следующих особенностях:
- количество проектов реализации технологии статистически мало;
- проекты реализации технологии уникальны и несравнимы.
4.3 Проведение обработки и представления экономической информации
4.3.1 Рекомендуется обрабатывать сведения о затратах с учетом дальнейшей возможности объективного сравнения альтернативных или перспективных технологий. При этом может потребоваться сравнение сроков эксплуатации альтернативных технологий (оборудования), ставок рефинансирования и расходов на ссудные выплаты, влияния инфляции и взаимных обменных курсов валют. Рекомендуется также сравнивать ежегодные затраты в течение всего срока эксплуатации оборудования.
4.3.1.1 Взаимный обменный курс валют
Цены, указанные в различных валютах, конвертируются в рубли. При конвертации пользователь указывает обменный курс, установленный Центральным Банком Российской Федерации на дату конвертации.
4.3.1.2 Инфляция
Инфляция может быть существенным фактором при расчете затрат с точки зрения как строительства, так и эксплуатации. Чтобы оценить уровень затрат, необходимо учитывать сроки амортизации оборудования и ожидаемый уровень инфляции.
Для того, чтобы привести исходные данные о затратах (C) в соответствие с эквивалентными (E) в референтном году, рекомендуется использовать коэффициент пересчета (K):

(1)
где I - индекс цен референтного года;
B - индекс цен базового года.
E = K·C. (2)
При оценке затрат рекомендуется использовать фиксированные (неизменные) цены (F), т.е. скорректированные на величину инфляции:

(3)
где N - номинальная цена в референтном году.
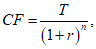
4.3.1.3 Дисконтирование
Из-за инфляции, колебаний цен рекомендуется проводить дисконтирование, т.е. определять суммарные затраты на проект (CF), руб., путем приведения всех затрат к определенному моменту времени:

(4)
где T - суммарные затраты, руб.;
n - продолжительность проекта, лет;
r - годовая процентная ставка, %.
4.3.1.4 Расчет ежегодных затрат
Данные о затратах должны быть подсчитаны и представлены на ежегодной основе. При формировании ежегодных данных должен быть указан способ подсчета и использованные допущения. Обычно это выполняется посредством пересчета ежегодного денежного потока, относящегося к оборудованию, в эквивалентные ежегодные затраты (иногда используются альтернативные термины: "эквивалентные унифицированные ежегодные затраты", "эквивалентные унифицированные фактические платежи", "годовая стоимость").
4.4 Определение затрат, относящихся к охране окружающей среды
Представленные данные о затратах должны учитывать денежные средства, использованные на технологические процессы и оборудование, применяемое исключительно в целях сокращения или предотвращения выбросов/сбросов загрязняющих веществ, и не должны включать данные о затратах на процессы и оборудование, которое может применяться в других целях.
К затратам на такие цели могут относиться инвестиционные затраты, связанные с повышением ресурсной и энергетической эффективности объекта, затраты на технологии по утилизации отходов, которые могут принести коммерческую выгоду.
4.5 Рекомендуется осуществлять сбор и анализ информации по экономическим аспектам реализации НДТ при их использовании в деятельности объектов НВОС.
(справочное)
ЗАТРАТ, КОТОРЫЕ МОГУТ БЫТЬ ОТНЕСЕНЫ К ОПЕРАЦИОННЫМ
ПРИ ФУНКЦИОНИРОВАНИИ УСТАНОВКИ ПО КОНТРОЛЮ
ЗА ЗАГРЯЗНЕНИЕМ АТМОСФЕРНОГО ВОЗДУХА
А.1 Потребление топливно-энергетических ресурсов: электрическая энергия, используемая для работы вентиляторов и сжатия воздуха для очистки фильтров, впрыска абсорбента в газовый поток, аспирации раствора аммиака; впрыск топлива при дожигании выхлопных газов.
А.2 Потребление химических веществ: раствор аммиака (или мочевина), известняк или гашеная известь (для скрубберов), карбонат или гидрокарбонат натрия; вода, используемая для очистки, полусухой, влажной чистки или для приготовления аммиака.
А.3 Утилизация отходов: побочные продукты и отходы одного производства могут быть сырьевой базой для другого производства, но это требует их сбора, очистки, сортировки и упаковки.
А.4 Ремонт, обслуживание и эксплуатация оборудования силами персонала и сторонних организаций.
А.5 Регулярная калибровка оборудования для мониторинга эмиссий загрязняющих веществ.
| Информационно-технический справочник по производству стекла и изделий из стекла (BREF Glass Manufacturing, 2013) |
УДК 502.35:006.354 | |
Ключевые слова: выгоды, затраты, наилучшие доступные технологии, экономический аспект реализации технологий |