Главная // Актуальные документы // ГОСТ Р (Государственный стандарт)СПРАВКА
Источник публикации
М.: Стандартинформ, 2006
Примечание к документу
Утратил силу с 1 сентября 2011 года в связи с изданием Приказа Росстандарта от 30.11.2010 N 799-ст. Взамен введен в действие
ГОСТ Р 52487-2010.
Введен в действие с 1 января 2007 года.
Название документа
"ГОСТ Р 52487-2005 (ИСО 3251:2003). Материалы лакокрасочные. Определение массовой доли нелетучих веществ"
(утв. Приказом Ростехрегулирования от 30.12.2005 N 513-ст)
"ГОСТ Р 52487-2005 (ИСО 3251:2003). Материалы лакокрасочные. Определение массовой доли нелетучих веществ"
(утв. Приказом Ростехрегулирования от 30.12.2005 N 513-ст)
Утвержден и введен в действие
Приказом Ростехрегулирования
от 30 декабря 2005 г. N 513-ст
НАЦИОНАЛЬНЫЙ СТАНДАРТ РОССИЙСКОЙ ФЕДЕРАЦИИ
МАТЕРИАЛЫ ЛАКОКРАСОЧНЫЕ
ОПРЕДЕЛЕНИЕ МАССОВОЙ ДОЛИ НЕЛЕТУЧИХ ВЕЩЕСТВ
ISO 3251:2003
Paints, varnishes and plastics.
Determination of non-volatile-matter content
(MOD)
ГОСТ Р 52487-2005
(ИСО 3251:2003)
Дата введения
1 января 2007 года
Цели и принципы стандартизации в Российской Федерации установлены Федеральным
законом от 27 декабря 2002 г. N 184-ФЗ "О техническом регулировании", а правила применения национальных стандартов Российской Федерации -
ГОСТ Р 1.0-2004 "Стандартизация в Российской Федерации. Основные положения".
Сведения о стандарте
1. Подготовлен ООО "Научно-производственная фирма "Спектр-Лакокраска" на основе аутентичного перевода стандарта, указанного в
пункте 4, который выполнен ВНИИКИ. Номер регистрации: 957/ISO.
2. Внесен Техническим комитетом по стандартизации ТК 195 "Материалы лакокрасочные".
3. Утвержден и введен в действие Приказом Федерального агентства по техническому регулированию и метрологии от 30 декабря 2005 г. N 513-ст.
4. Настоящий стандарт является модифицированным по отношению к международному стандарту ИСО 3251:2003 "Краски, лаки и пластмассы. Определение содержания нелетучих веществ" (ISO 3251:2003 "Paints, varnishes and plastics. Determination of non-volatile-matter content") в части испытаний лакокрасочных материалов, смол для лакокрасочных материалов и полимерных дисперсий.
Наименование стандарта изменено относительно наименования указанного международного стандарта для приведения в соответствие с ГОСТ Р 1.5-2004 (
подраздел 3.5).
| | ИС МЕГАНОРМ: примечание. Фразы, показатели, их значения, выделенные курсивом в официальном тексте документа, в электронной версии данного документа выделены знаком "&". | |
Фразы, показатели, их значения, включенные в текст настоящего стандарта для учета потребностей национальной экономики Российской Федерации и особенностей российской национальной стандартизации, выделены курсивом.
5. Введен впервые.
Настоящий стандарт устанавливает метод определения &массовой доли& нелетучих веществ в &лакокрасочных материалах, смолах для лакокрасочных материалов& и полимерных дисперсиях.
Примечания. 1. &Массовую долю& нелетучих веществ в &лакокрасочном материале, смолах для лакокрасочных материалов& и дисперсий не следует рассматривать как абсолютную величину, поскольку ее численное значение зависит от температуры и времени нагрева при определении. Настоящий метод обеспечивает получение только относительных (не истинных) значений &массовой доли& нелетучих веществ в результате удерживания растворителей, термоинструкции, а также испарения низкомолекулярных компонентов.
Настоящий метод может быть применен к разным партиям одного и того же вида материала.
2. Для определения &массовой доли& нелетучих веществ часто используют сушку с помощью инфракрасных или микроволновых излучений. Стандартизация таких методов невозможна, т.к. во многих случаях их применение недопустимо. Некоторые &пленкообразующие& в таких условиях разлагаются, и поэтому результаты нельзя признать корректными.
В настоящем стандарте использованы нормативные ссылки на следующие стандарты:
ГОСТ 8420-74. Материалы лакокрасочные. Методы определения условной вязкости &(ИСО 2431-1993 "Краски и лаки. Определение времени истечения с помощью воронки", NEQ)&
ГОСТ 9980.2-86. Материалы лакокрасочные. Отбор проб для испытаний &(ИСО 1512-74 "Краски и лаки. Отбор проб", MOD; ИСО 1513-80 "Краски и лаки. Контроль и подготовка образцов для испытаний", MOD; ИСО 15528:2000 "Краски, лаки и сырье для них. Отбор проб", NEQ)&
Примечание. При пользовании настоящим стандартом целесообразно проверить действие ссылочных стандартов в информационной системе общего пользования - на официальном сайте Федерального агентства по техническому регулированию и метрологии в сети Интернет или по ежегодно издаваемому информационному указателю "Национальные стандарты", который опубликован по состоянию на 1 января текущего года, и по соответствующим ежемесячно издаваемым информационным указателям, опубликованным в текущем году. Если ссылочный документ заменен (изменен), то при пользовании настоящим стандартом следует руководствоваться замененным (измененным) документом. Если ссылочный документ отменен без замены, то положение, в котором дана ссылка на него, применяется в части, не затрагивающей эту ссылку.
В настоящем стандарте применены следующие термины с соответствующими определениями:
3.1. Нелетучее вещество: остаток, полученный после испарения в заданных условиях.
&3.2. Лакокрасочный материал: жидкий, пастообразный или порошковый материал, образующий при нанесении на окрашиваемую поверхность лакокрасочное покрытие, обладающее защитными, декоративными или специальными техническими свойствами.
3.3. Пленкообразующее вещество: нелетучая часть лакокрасочной среды, образующая лакокрасочное покрытие.
3.4. Лакокрасочная среда: совокупность компонентов жидкой фазы лакокрасочного материала.&
При проведении испытаний применяют:
4.1. Для &лакокрасочных материалов и смол для лакокрасочных материалов,& а также полимерных дисперсий:
плоскодонную чашку из металла или стекла диаметром (75 +/- 5) мм и высотой бортика не менее 5 мм.
Чашки другого диаметра допускается использовать по соглашению между заинтересованными сторонами. Согласованный диаметр чашки должен находиться в пределах отклонений +/- 5%.
Примечание. Для очень вязких &лакокрасочных материалов& и полимерных дисперсий рекомендуется использовать прямоугольные пластины размером (70 +/- 10) x (120 +/- 10) мм, нарезанные из листовой алюминиевой фольги толщиной примерно 0,1 мм, которые можно сложить вдвое, легким усилием распределяя вязкую жидкость по поверхности фольги.
4.2. Для жидких смол, полимеризующихся с образованием поперечных связей:
плоскодонную чашку из металла или стекла внутренним диаметром дна (75 +/- 1) мм и высотой бортика не менее 5 мм.
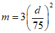
Допускается использовать чашки другого диаметра при условии, что массу пробы для испытаний m, г, рассчитывают по следующей формуле

, (1)
где 3 - номинальная масса пробы для испытаний, г;
d - диаметр дна чашки, мм;
75 - номинальный диаметр чашки, мм.
4.3. Сушильный шкаф должен обеспечивать безаварийное проведение испытаний и поддерживать заданную или согласованную между заинтересованными сторонами температуру (
раздел 7) в пределах +/- 2 °C (для температур до 150 °C) или +/- 3,5 °C (для температур от 150 °C до 200 °C). Сушильный шкаф должен быть снабжен оборудованием для принудительной вентиляции. Исключением является испытание фенольных смол, при котором допускается использовать сушильный шкаф с естественной конвекцией и перфорированной металлической полкой, расположенной на 1/3 высоты внутреннего объема.
ПРЕДУПРЕЖДЕНИЕ. Во избежание взрыва и пожара с материалами, содержащими горючие летучие соединения, необходимо обращаться с осторожностью и соблюдать правила безопасности.
Для арбитражных испытаний все участвующие стороны должны использовать сушильные шкафы одной и той же конструкции.
4.4. Весы аналитические с точностью взвешивания до 0,1 мг.
4.5. Эксикатор с соответствующим осушителем, например сухой силикагель.
Отбирают &среднюю пробу лакокрасочного материала или смолы для лакокрасочного материала& по
ГОСТ 9980.2.
Проверяют и подготавливают пробы для испытаний по
ГОСТ 9980.2.
Отбирают &среднюю пробу& полимерной дисперсии в соответствии с ИСО 123
[1].
Проводят два параллельных испытания.
Обезжиривают и очищают чашку (
4.1 или
4.2).
Для повышения сходимости результатов рекомендуется высушить чашку в сушильном шкафу (
4.3) при заданной или согласованной температуре в течение заданного или согласованного времени (
раздел 7) и хранить ее в эксикаторе (
4.5) до использования.
Определяют массу чистой сухой чашки

с точностью до 1 мг. Взвешивают пробу для испытаний (
раздел 7) с точностью до 1 мг в чашке (

) и равномерно распределяют ее по дну.
Работая с высоковязкими &лакокрасочными материалами или смолами для них& (вязкость >= 500 МПа x с при скорости сдвига 100

или время истечения t 74 с в 6-мм воронке по
ГОСТ 8420) или материалами, быстро образующими поверхностную пленку, равномерно распределяют пробу для испытаний по дну чашки, используя тарированную металлическую проволоку (например, согнутую скрепку для бумаг без покрытия). В случае необходимости допускается добавление 2 мл подходящего растворителя.
Для испытания конденсационных смол, используемых для получения &лакокрасочных материалов,& требуется проба для испытаний большей массы, поскольку такие материалы должны испытываться в слоях большей толщины, для того чтобы мономеры этих смол смогли прореагировать с образованием поперечных связей. При проведении сравнительных испытаний толщина слоя пробы для испытаний в чашке должна быть одинаковой. Поэтому диаметр чашки должен быть (75 +/- 1) мм, при использовании чашки другого диаметра следует учитывать требования
4.2.
Примечание. &Массовая доля& нелетучих веществ в пробе для испытаний может колебаться в широком диапазоне значений в зависимости от равномерности и продолжительности ее распределения по дну чашки. Если распределение было выполнено неправильно, например, из-за высокой вязкости, полученный результат будет выше истинного значения.
Для повышения сходимости результатов испытания &лакокрасочных материалов и смол для лакокрасочных материалов& рекомендуется добавлять по 2 мл подходящего растворителя с высокой степенью летучести.
Также рекомендуется закрывать чашку во время взвешивания.
При работе с &лакокрасочными материалами и смолами для лакокрасочных материалов,& обладающих высокой степенью летучести, рекомендуется тщательно перемешанную пробу поместить в колбу с притертой пробкой или мерную пипетку, или шприц без иглы вместимостью 10 мл и &взвесить. Отбирают& пробу для испытаний в чашку и равномерно распределяют ее по дну чашки. &Массу пробы для испытания определяют по разности взвешиваний с точностью до 1 мг колбы, пипетки или шприца до и после отбора пробы для испытания в чашку.&
Если добавляют растворитель, рекомендуется чашку с пробой для испытаний выдержать при комнатной температуре 10 - 15 мин.
&Водно-дисперсионные& системы, такие как полимерные дисперсии, разбрызгиваются при нагревании из-за образования поверхностной пленки, на этот процесс могут также влиять такие факторы, как температура, поток воздуха в сушильном шкафу и, возможно, относительная влажность. Поэтому необходимо следить, чтобы слой материала в чашке был максимально тонким.
После взвешивания и добавления растворителя помещают чашку в сушильный шкаф, предварительно нагретый до заданной или согласованной температуры (
раздел 7). Выдерживают чашку в шкафу в течение заданного или согласованного времени нагрева (
раздел 7).
После окончания времени нагрева чашку переносят в эксикатор и охлаждают до комнатной температуры. Допускается охлаждать чашку в помещении, в котором воздух очищен от пыли.
Примечание. На сходимость метода может влиять отказ от использования эксикатора.
Взвешивают чашку с остатком (

) с точностью до 1 мг.
7. Дополнительные условия испытания
В некоторых случаях при применении метода по настоящему стандарту может потребоваться дополнительная информация.
Для повышения результатов при использовании настоящего метода следует определить следующие условия испытания (см. таблицы 1 и
2):
a) температуру испытания;
b) время нагрева;
c) массу пробы для испытаний.
Таблица 1
Условия испытания лакокрасочных материалов
и смол для лакокрасочных материалов
┌──────┬───────┬───────────────┬─────────────────────────────────┐
│Время │Темпе- │Масса пробы для│Пример &лакокрасочного материала │
│нагре-│ратура,│ испытаний, г │ и смол для них& │
│ва, │°C │ │ │
│мин │ │ │ │
├──────┼───────┼───────────────┼─────────────────────────────────┤
│ 60 │ 80 │1,0 +/- 0,1
<1>│ Нитрат целлюлозы, &лаковые │
│ │ │ │коллоксилины&, полиизоцианатные │
├──────┼───────┼───────────────┼─────────────────────────────────┤
│ 60 │ 105 │1,0 +/- 0,1
<1>│ Производные целлюлозы, │
│ │ │ │целлюлозные &лакокрасочные │
│ │ │ │материалы (ацетилцеллюлозные, │
│ │ │ │ацетобутиратцеллюлозные, │
│ │ │ │нитроцеллюлозные). │
│ │ │ │ Лакокрасочные материалы& │
│ │ │ │воздушной сушки │
│ │ │ │&(перхлорвиниловые, │
│ │ │ │поливинилацетальные, каучуковые, │
│ │ │ │алкидно-акриловые, полиакриловые,│
│ │ │ │сополимерно-винилхлоридные, │
│ │ │ │поливинилацетатные, водно- │
│ │ │ │дисперсионные и др.)&. │
│ │ │ │ Полиизоцианатные смолы
<2> │
├──────┼───────┼───────────────┼─────────────────────────────────┤
│ 60 │ 125 │1,0 +/- 0,1
<1>│ Синтетические смолы (включая │
│ │ │ │полиизоцианатные смолы
<2>). │
│ │ │ │ &Лакокрасочные материалы& │
│ │ │ │горячей сушки &(эпоксидные, │
│ │ │ │меламиновые, алкидно- и масляно-│
│ │ │ │стирольные)&. │
│ │ │ │ Акриловые смолы │
│ │ │ │(предпочтительные условия) │
├──────┼───────┼───────────────┼─────────────────────────────────┤
│ 60 │ 150 │1,0 +/- 0,1
<1>│ Грунтовки, &шпатлевки& горячей │
│ │ │ │сушки, &кремнийорганические │
│ │ │ │лакокрасочные материалы,& │
│ │ │ │акриловые смолы │
├──────┼───────┼───────────────┼─────────────────────────────────┤
│ 30 │ 180 │1,0 +/- 0,1
<1>│ Электроосаждаемые &лакокрасочные│
│ │ │ │материалы& │
├──────┼───────┼───────────────┼─────────────────────────────────┤
│ 60 │135
<3>│3,0 +/- 0,5 │ Жидкие фенольные смолы │
├──────┼───────┼───────────────┼─────────────────────────────────┤
│ 60 │135
<3>│1,0 +/- 0,1 <a>│ &Лакокрасочные материалы │
│ │ │ │(фенольные, битумные, │
│ │ │ │канифольные, полиэфирные, │
│ │ │ │карбамидные, полиуретановые, │
│ │ │ │масляные, нефтеполимерные, │
│ │ │ │алкидные)& │
├──────┴───────┴───────────────┴─────────────────────────────────┤
│ <1> Пробу для испытаний другой массы, отличной от 1 г, можно│
│использовать по соглашению между заинтересованными сторонами. В│
│этом случае рекомендуется использовать пробы для испытаний│
│массой не более (2 +/- 0,2) г. При испытании смол, содержащих│
│растворители с температурой кипения от 160 °C до 200 °C,│
│температуру в сушильном шкафу рекомендуется поддерживать на│
│уровне 160 °C. Об условиях испытаний материалов, содержащих│
│растворители с более высокой температурой кипения, стороны│
│должны договориться особо. │
│ <2> Условия испытания будут зависеть от конкретной│
│полиизоцианатной смолы. │
│ <3> Можно использовать другой температурный режим.│
│Рекомендуемые альтернативные температуры - 120 °C и 150 °C. │
└────────────────────────────────────────────────────────────────┘
Таблица 2
Условия испытаний полимерных дисперсий
┌──────────────────┬────────────────┬────────────────┬───────────┐
│Время нагрева, мин│Температура, °C │ Масса пробы │ Метод
<1> │
│ │ │для испытаний, г│ │
├──────────────────┼────────────────┼────────────────┼───────────┤
│ 120 │ 80 │ 1 +/- 0,2
<2> │ A │
├──────────────────┼────────────────┼────────────────┼───────────┤
│ 60 │ 105 │ 1 +/- 0,2
<2> │ B │
├──────────────────┼────────────────┼────────────────┼───────────┤
│ 60 │ 125 │ 1 +/- 0,2 <b> │ C │
├──────────────────┼────────────────┼────────────────┼───────────┤
│ 30 │ 140 │ 1 +/- 0,2 <b> │ D │
├──────────────────┴────────────────┴────────────────┴───────────┤
│ <1> Условия испытания будут определяться типом полимерной│
│дисперсии и должны быть предметом соглашения между│
│заинтересованными сторонами. │
│ <2> По соглашению между заинтересованными сторонами можно│
│использовать пробы для испытаний массой, отличной от 1 г.│
│Однако масса пробы для испытаний не должна превышать 2,5 г. │
│ Также могут использоваться пробы для испытаний массой│
│0,2 - 0,4 г, взвешенные с точностью до 0,1 мг. В этом случае│
│время нагрева может быть уменьшено, если установлено (путем│
│проведения испытаний того же типа дисперсии), что получены│
│те же результаты, что и при условиях, указанных в настоящей│
│таблице. │
└────────────────────────────────────────────────────────────────┘
Рассчитывают &массовую долю& нелетучих веществ NV, %, используя следующую формулу

, (2)
где

- масса чашки с остатком, г;

- масса пустой чашки, г;

- масса чашки с пробой для испытаний, г.
Если результаты двух параллельных испытаний отличаются друг от друга более чем на 2% (относительно среднего значения) для &лакокрасочного материала или для смолы& или более чем на 0,5% для полимерных дисперсий, т.е. если полученные результаты составляют 53,7% и 53,1%, испытания повторяют по
разделу 6.
Рассчитывают среднее значение двух достоверных результатов параллельных испытаний и записывают в протоколе результат с точностью до 0,1%.
9.1. Предел повторяемости результатов r
Предел повторяемости результатов r - это значение, ниже которого будет находиться абсолютное значение разности между результатами двух отдельных испытаний, каждый из которых является средним значением результатов двух параллельных испытаний, выполненных на идентичном материале одним оператором в одной лаборатории в течение короткого периода времени по одному стандартизованному методу.
В настоящем стандарте значение r составляет:
2% (от среднего значения двух результатов испытаний) - для &лакокрасочных материалов и смол для них;&
0,6% (от среднего значения двух результатов испытаний) - для полимерных дисперсий,
с вероятностью 95%.
9.2. Предел воспроизводимости результатов R
Предел воспроизводимости результатов R - это значение, ниже которого предположительно будет находиться абсолютное значение разности между результатами двух испытаний, каждый из которых является средним значением результатов двух параллельных испытаний, полученных на идентичном материале операторами в различных лабораториях по одному стандартизованному методу.
В настоящем стандарте значение R составляет:
4% (от среднего значения двух результатов испытаний) - &для лакокрасочных материалов и смол для них;&
1% (от среднего значения двух результатов испытаний) - для полимерных дисперсий,
с вероятностью 95%.
Протокол испытаний должен содержать следующие данные:
a) ссылку на настоящий стандарт;
b) информацию, необходимую для полной идентификации испытуемого материала (наименование изготовителя, торговая марка, номер партии и т.д.);
c) тип использованной чашки;
d) тип использованного сушильного шкафа;
e) температуру внутри шкафа и время нагрева;
f) тип добавленного растворителя (при использовании);
h) любое отклонение от заданного метода испытаний;
i) дату проведения испытания.
[1] ISO 123:2001. Rubber latex - Sampling.