Главная // Актуальные документы // ГОСТ Р (Государственный стандарт)СПРАВКА
Источник публикации
М.: ИПК Издательство стандартов, 2001
Примечание к документу
Утратил силу с 1 января 2013 года в связи с изданием Приказа Росстандарта от 06.12.2011 N 697-ст. Взамен введен в действие
ГОСТ Р 51321.4-2011.
Документ включен в
Перечень документов в области стандартизации, в результате применения которых на добровольной основе обеспечивает соблюдение требований Федерального
закона от 27.12.2009 N 347-ФЗ "Технический регламент о безопасности низковольтного оборудования" (
Приказ Росстандарта от 14.09.2010 N 3546).
Документ включен в
Перечень документов в области стандартизации, содержащих правила и методы исследований (испытаний) и измерений, в том числе правила отбора образцов, необходимых для применения и исполнения Федерального
закона от 27.12.2009 N 347-ФЗ и осуществления оценки соответствия (
Распоряжение Правительства РФ от 29.07.2010 N 1284-р).
С 1 июля 2003 года до вступления в силу технических регламентов акты федеральных органов исполнительной власти в сфере технического регулирования носят рекомендательный характер и подлежат обязательному исполнению только в части, соответствующей целям, указанным в
пункте 1 статьи 46 Федерального закона от 27.12.2002 N 184-ФЗ.
Введен в действие с 1 января 2002 года.
Название документа
"ГОСТ Р 51321.4-2000 (МЭК 60439-4-90). Устройства комплектные низковольтные распределения и управления. Часть 4. Дополнительные требования и методы испытаний устройств распределения и управления для строительных площадок"
(принят и введен в действие Постановлением Госстандарта РФ от 21.12.2000 N 394-ст)
"ГОСТ Р 51321.4-2000 (МЭК 60439-4-90). Устройства комплектные низковольтные распределения и управления. Часть 4. Дополнительные требования и методы испытаний устройств распределения и управления для строительных площадок"
(принят и введен в действие Постановлением Госстандарта РФ от 21.12.2000 N 394-ст)
Принят и введен в действие
от 21 декабря 2000 г. N 394-ст
ГОСУДАРСТВЕННЫЙ СТАНДАРТ РОССИЙСКОЙ ФЕДЕРАЦИИ
УСТРОЙСТВА КОМПЛЕКТНЫЕ НИЗКОВОЛЬТНЫЕ
РАСПРЕДЕЛЕНИЯ И УПРАВЛЕНИЯ
ЧАСТЬ 4
ДОПОЛНИТЕЛЬНЫЕ ТРЕБОВАНИЯ
И МЕТОДЫ ИСПЫТАНИЙ УСТРОЙСТВ
РАСПРЕДЕЛЕНИЯ И УПРАВЛЕНИЯ
ДЛЯ СТРОИТЕЛЬНЫХ ПЛОЩАДОК
Low-voltage switchgear and controlgear assemblies.
Part 4. Particular requirements for assemblies
for construction sites (ACS)
ГОСТ Р 51321.4-2000
(МЭК 60439-4-90)
Дата введения
1 января 2002 года
1. Разработан и внесен Техническим комитетом по стандартизации ТК 331 "Низковольтная коммутационная аппаратура распределения и управления".
2. Принят и введен в действие
Постановлением Госстандарта России от 21 декабря 2000 г. N 394-ст.
3. Настоящий стандарт содержит полный аутентичный текст международного стандарта МЭК 60439-4 (1990) с Изменением N 1 (1995), издание 1.0 "Низковольтные комплектные устройства распределения и управления. Часть 4. Дополнительные требования и методы испытаний к устройствам распределения и управления для строительных площадок".
4. Введен впервые.
Настоящий стандарт представляет собой аутентичный текст международного стандарта МЭК 60439-4-90 "Низковольтные комплектные устройства распределения и управления. Часть 4. Низковольтные комплектные устройства распределения и управления для строительных площадок (НКУ СП)".
Стандарт применяют совместно с
ГОСТ Р 51321.1-2000 (МЭК 60439-1-92, издание 3.0) "Устройства комплектные низковольтные распределения и управления. Часть 1. Устройства, испытанные полностью или частично. Общие технические требования и методы испытания", в котором также приведены дополнительные требования, учитывающие потребности экономики России.
В Европейском экономическом сообществе действует аналогичный стандарт EN 60439-4 (1990) с Изменением N 1 (1995), аутентичный МЭК 60439-4 (1990).
В настоящем стандарте изложены нормы, правила и методы испытаний, которые дополняют, изменяют или исключают соответствующие разделы и (или) пункты
ГОСТ Р 51321.1. Требования настоящего стандарта являются обязательными. Стандарт должен применяться совместно с
ГОСТ Р 51321.1.
Последние три абзаца изложить в новой редакции:
Настоящий стандарт распространяется на НКУ полностью испытанные (ПИ НКУ), предназначенные для применения на строительных площадках, не доступных посторонним лицам, где производятся работы по строительству зданий, возведению (монтажу) установок, ремонту, реконструкции, сносу зданий (жилых, гражданских, производственных), выполняются земляные и другие подобные работы. Эти НКУ могут быть переносными (временно закрепляемыми) или передвижными.
Стандарт не распространяется на НКУ, предназначенные для административных зданий управления строительством (офисы, гардеробные, помещения для совещаний, столовые, рестораны, общежития, туалеты и т.п.).
Примечание. Трансформаторы, встроенные в НКУ СП, должны иметь номинальные первичные и вторичные напряжения в пределах значений, установленных
ГОСТ Р 51321.1.
В настоящем стандарте использованы ссылки на следующие стандарты:
ГОСТ 6827-76 (МЭК 59-38). Электрооборудование и приемники электрической энергии. Ряд номинальных токов
ГОСТ 14254-96 (МЭК 529-89). Степени защиты, обеспечиваемые оболочками (Код IP)
ГОСТ 28213-89 (МЭК 68-2-27-87). Основные методы испытаний на воздействие внешних факторов. Часть 2. Испытания. Испытание Еа и руководство: Одиночный удар
ГОСТ 28226-89 (МЭК 68-2-42-82). Основные методы испытаний на воздействие внешних факторов. Часть 2. Испытания. Испытание Кс: Испытания контактов и соединений на воздействие двуокиси серы
ГОСТ 30030-93 (МЭК 742-83). Трансформаторы разделительные и безопасные разделительные трансформаторы. Технические требования
ГОСТ 30331.3-95 (МЭК 364-4-41-92)/ГОСТ Р 50571.3-94 (МЭК 364-4-41-92). Электроустановки зданий. Часть 4. Требования по обеспечению безопасности. Защита от поражения электрическим током
ГОСТ 30331.5-95 (МЭК 364-4-43-77/ГОСТ Р 50571.5-94 (МЭК 364-4-43-77). Электроустановки зданий. Часть 4. Требования по обеспечению безопасности. Защита от сверхтока
ГОСТ Р 50571.23-2000 (МЭК 60364-7-704-89). Электроустановки зданий. Часть 7. Требования к специальным электроустановкам. Раздел 704. Электроустановки строительных площадок
ГОСТ Р 51323.1-99 (МЭК 60309-1-99). Вилки, штепсельные розетки и соединительные устройства промышленного назначения.
2.1.1.2. НКУ распределения и управления, подвергаемые частичным типовым испытаниям (ЧИ НКУ)
Не применяют.
2.1.1.3. НКУ распределения и управления для строительных площадок (НКУ СП): комбинация одного или нескольких трансформаторных устройств или коммутационных аппаратов с устройствами управления, измерения, сигнализации, защиты и регулирования со всеми внутренними электрическими и механическими соединениями и конструктивными элементами (см.
2.4), разработанная и изготовленная для применения на любых строительных площадках - для наружной и внутренней установки.
2.1.10. Блок измерения: функциональный блок, в котором установлены приборы для учета потребления электрической энергии (и измерения ее параметров).
Не применяют.
2.3.2. НКУ защищенное с передней стороны
Не применяют.
2.3.3. НКУ СП защищенное: НКУ СП, закрытое со всех сторон.
2.3.3.4. НКУ СП ящичное: защищенное НКУ СП, предназначенное для установки:
- либо на вертикальной поверхности;
- либо на горизонтальной поверхности на ножках или подставках (сочлененных или не сочлененных с НКУ), или на монтажную конструкцию (см.
2.4.2), но не на конструктивную часть НКУ СП.
2.3.4. Система сборных шин
Не применяют.
2.5.1. НКУ для внутренней установки
2.5.2. НКУ для наружной установки
Не применяют.
Не применяют.
2.5.5. Переносное (временно закрепляемое) НКУ СП: НКУ СП, предназначенное для временной установки на месте использования; может быть перемещено в процессе использования на стройплощадке. При перестановке переносного НКУ СП на другое место оно должно быть отсоединено от источника питания.
2.5.6. НКУ СП передвижное: НКУ СП, пригодное для перемещения по стройплощадке совместно с рабочим механизмом в процессе выполнения работ. При перемещении не требуется отсоединять передвижное НКУ СП от источника питания.
Не применяют.
2.9. Определения, относящиеся к функциям НКУ СП
2.9.1. НКУ СП ввода и измерения: НКУ СП, устанавливаемое на стороне подвода питания к стройплощадке и предназначенное:
- для присоединения либо к общественным сетям, либо к трансформаторной подстанции или генератору на стройплощадке;
- для измерения потребляемой на стройплощадке электроэнергии.
2.9.2. Главное распределительное НКУ СП: НКУ СП, присоединяемое на стороне нагрузки к НКУ СП ввода и измерения, к которому в свою очередь присоединяются проводники, питающие НКУ СП различных частей (зон) стройплощадки.
2.9.3. НКУ СП распределительное: НКУ СП, присоединяемое к питающим проводникам от НКУ СП ввода и измерения или от главного распределительного НКУ СП, к которому присоединяются распределительные проводники, питающие другие НКУ СП, механизмы или осветительные нагрузки.
2.9.4. НКУ СП трансформаторное: НКУ СП, обычно содержащее один или несколько трансформаторных устройств (блоков).
2.9.5. Оконечное (концевое) распределительное НКУ СП: НКУ СП, присоединяемое на стороне нагрузки более крупного НКУ СП (предшествующего уровня распределения), к которому могут присоединяться портативные электроинструменты и другое электрооборудование.
2.9.6. НКУ СП розеточное: НКУ СП, в котором все выводы розеточные.
2.10. Системы (серии) совместимых НКУ СП: НКУ СП, предназначенные для соединения между собой таким образом, чтобы образовывать электроустановку или ее часть и которые, несмотря на все различия их других характеристик, удовлетворяют одним правилам защиты от поражения электрическим током и обеспечивают, если возможно, соответствующим способом селективную защиту, например, отключающей способностью, токовой уставкой и временем срабатывания. Эти различные характеристики устанавливаются изготовителем или, в определенных случаях, являются предметом соглашения между изготовителем и потребителем.
Примечание. Положения по выбору систем защиты приведены в
7.4.3.
НКУ СП классифицируют по следующим признакам:
- виду конструкции (
2.3);
- степени защиты (
7.2.1);
- способу установки составных частей НКУ СП, например, стационарные или съемные части (
7.6.3,
7.6.4);
- мерам защиты обслуживающего персонала (
7.4).
4. Электрические характеристики
5. Сведения, представляемые об НКУ СП
5.1. Паспортная табличка
Каждое НКУ СП должно иметь одну или более табличек со стойкой маркировкой, которые размещают так, чтобы они были хорошо видны и удобочитаемы после установки НКУ.
Данные, указанные в
подпунктах а) -
е), должны быть приведены на паспортной табличке. Если обозначение наименования или торговой марки изготовителя наносится на (оболочку) НКУ СП, его не приводят на табличке.
Данные, указанные в
подпунктах f) -
j), относящиеся к конкретному НКУ СП, могут приводиться на табличках, в соответствующих документах, на электрических схемах или в каталогах изготовителя. Однако, если масса изделия превышает 50 кг, то она должна быть приведена на табличке.
a) Наименование изготовителя или торговая марка НКУ СП.
Примечание. Организация, осуществляющая окончательную сборку НКУ СП, рассматривается как изготовитель НКУ СП (см.
Примечание 2 к 2.1.1.1).
b) Обозначение типа, условного номера или другого знака, позволяющих получить необходимую информацию от изготовителя.
c) ГОСТ Р 51321.4.
d) Род тока и номинальный ток изделия (для переменного тока и частота).
e) Номинальные рабочие напряжения (
4.1.1).
f) Прочность при коротких замыканиях (
7.5.2.1).
g) Степень защиты (
7.2.1).
h) Условия эксплуатации для специального применения, если отличаются от указанных в
6.1.
i) Габаритные и установочные размеры.
5.3. Инструкция по монтажу, эксплуатации и техническому обслуживанию
Пункт дополнить абзацем:
Изготовитель должен указывать в памятке, закрепляемой на НКУ, какие НКУ СП других типов могут быть присоединены к данному НКУ. В памятке должна быть указана основа совместимости соединяемых между собой НКУ - единый тип системы заземления или соответствующая координация электрической защиты.
6.1. Нормальные условия эксплуатации
6.1.1. Температура окружающего воздуха
Температура окружающего воздуха должна быть не более 40 °С, а средняя температура за 24 ч - не более 35 °С; предельное нижнее значение температуры окружающего воздуха - минус 25 °С.
6.1.2. Атмосферные условия
6.1.2.1. Атмосферные условия при установке внутри помещений
Не применяют.
7. Конструктивное исполнение
7.1. Механическая часть конструкции
Пункт дополнить абзацами:
НКУ СП должны быть полностью испытанными (ПИ НКУ).
Вся аппаратура должна размещаться в оболочке (образованной ее съемными элементами, дверями и заглушками) так, как это может потребоваться для ее установки и присоединения (за возможным исключением перечисленного в
7.2.3), чтобы она выдерживала условия эксплуатации согласно
разделу 6 и
пунктам 7.1.4,
7.1.5.
Все соединения с внешними кабелями должны быть разборными или оборудованы штепсельными розетками. Розетки должны соответствовать стандартам на них и быть рассчитаны на номинальный ток не менее 16 А.
7.1.3.6. Отверстия в кабельных вводах, заглушки и другие элементы должны быть такими, чтобы после ввода кабелей, а также средств для их закрепления достигалось выполнение необходимой степени защиты от прикосновения к токоведущим частям. Виды устройств для ввода кабелей должны быть определены изготовителем и указываться в его инструкциях.
7.1.4. Защита от коррозии
Для защиты от коррозии НКУ СП должны быть выполнены из соответствующих материалов либо иметь лакокрасочное или иное защитное покрытие.
Устойчивость к коррозии должна проверяться испытаниями по
8.2.9.1 или
8.2.9.2.
Испытания по
8.2.9.1 применяют для оборудования, предназначенного для работы в нормальных условиях эксплуатации, а испытания по
8.2.9.2 - для оборудования, предназначенного для работы в сильно загрязненной атмосфере.
7.1.5. Механическая прочность
НКУ СП должны выдерживать механическую тряску, характеризующуюся следующими параметрами: ускорение 500 м/с2, продолжительность полуволны импульса синусоидальной формы 11 мс, соответствующими условиям транспортирования слабо закрепленного оборудования автомобильным (по гладкой дороге) или железнодорожным транспортом в течение длительного времени.
НКУ СП должно также выдерживать согласно
ГОСТ 28213 удары энергией 6 Дж, эквивалентные ударам от ручных строительных механизмов.
7.2. Оболочка и степень защиты
7.2.1.1. Степень защиты НКУ СП от прикосновения к токоведущим частям, попадания посторонних твердых тел и жидкости - в соответствии с
ГОСТ 14254. Степень защиты во всех местах НКУ СП, при закрытых дверях и со всеми установленными съемными частями и заглушками, должна быть не ниже IP43.
Вентиляционные и дренажные отверстия не должны снижать степень защиты.
Степень защиты, обеспечиваемая оперативной панелью (
2.4.11), расположенной за дверью НКУ, должна быть не ниже IP21, имея в виду, что дверь может закрываться при всех условиях эксплуатации. В случаях, если при эксплуатации дверь не может быть закрыта, степень защиты со стороны оперативной поверхности должна быть не ниже IP43.
7.2.1.3. Если не указано иное, степень защиты, установленная изготовителем, относится ко всему НКУ СП, когда оно установлено в рабочем положении в соответствии с указаниями изготовителя (см. также
7.1.3.6).
Розеточные устройства, не защищенные оболочкой НКУ СП, должны иметь степень защиты не менее IP43 и когда штепсели извлечены, и когда они полностью установлены.
7.2.1.4. Если степень защиты какой-либо внутренней части НКУ СП отличается от установленной для всего НКУ, то изготовитель должен указать степень защиты этой части отдельно.
Например, степень защиты НКУ СП в целом - IP43, степень защиты со стороны оперативной панели - IP21.
Эта информация может приводиться в каталогах или в руководстве по эксплуатации изделия.
Пункт 7.2.1.5 не применяют.
7.2.3. Доступные части НКУ СП
Только розетки, рукоятки и кнопки управления могут быть доступны без применения ключа или инструмента. Орган управления главным (вводным) выключателем должен быть легкодоступен, если в стандартах или в нормативных документах не установлено иное.
7.2.4. Опорные и предохранительные устройства НКУ СП
Каждое НКУ СП должно иметь опорные элементы, обеспечивающие его установку на горизонтальной поверхности (ножки, подставки, сочлененные с НКУ), и/или устройства на оболочке для закрепления НКУ СП на вертикальной стене.
Опорные элементы и устройства должны быть внешними по отношению к оболочке, но жестко крепиться к ней. Они должны соответствовать массе НКУ СП и условиям его эксплуатации.
Все НКУ СП должны быть устроены так, чтобы минимизировать риски механических повреждений встроенной аппаратуры, как то: розеток и штепселей, установленных в розетки.
Выводы для кабелей должны быть расположены на таком минимальном расстоянии от уровня земли, чтобы обеспечивались нормированные радиусы изгиба кабелей с наибольшими сечениями, присоединяемых к НКУ СП.
7.2.5. Устройства для подъема и переноса НКУ СП
На НКУ СП должны быть предусмотрены серьги для подъема и/или рукоятки (или другие аналогичные устройства), которые должны быть жестко закреплены на оболочке или опорной раме.
7.4. Защита от поражения электрическим током
7.4.2. Защита от прямого прикосновения к токоведущим частям (2.6.8)
Защита от прямого прикосновения к токоведущим частям должна достигаться за счет конструктивного исполнения НКУ СП. Может применяться одна или несколько защитных мер, с учетом требований, установленных в следующих подпунктах.
7.4.2.2.1. Все внешние ограждения (элементы оболочки) должны обеспечивать степени защиты не ниже указанных в
7.2.1.1. Расстояния между механическими средствами защиты и защищаемыми ими токоведущими частями должны быть не менее значений, установленных для воздушных зазоров и расстояний утечки по 7.1.2, если только эти механические средства не из изоляционного материала.
7.4.2.3. Защита созданием препятствий
Не применяют.
7.4.3. Защита от косвенного прикосновения к токоведущим частям
Пункт изложить в новой редакции:
Потребитель обязан указывать защитные меры, выбираемые из нижеустановленных. Дополнительно должны быть приняты во внимание требования, которые касаются мер защиты от косвенного прикосновения к токоведущим частям, для электроустановки в целом (
ГОСТ Р 50571.23).
е) если оболочку НКУ СП используют как часть цепи защиты, должны выполняться следующие условия:
- непрерывность электрической цепи должна обеспечиваться применением защитных мер от механического, химического и электрохимического разрушения;
- проводимость цепи защиты должна быть не менее указанной в
7.4.3.1.7;
- должны быть предусмотрены зажимы для присоединения дополнительных защитных проводников в любом предназначенном для ответвления месте.
Если используются штепсельные розетки и разъемы, необходимо, чтобы заземляющие зажимы розеток соединялись с главными заземляющими зажимами НКУ СП проводниками соответствующих сечений.
с) сечение каждого защитного проводника внутри НКУ СП, который не является частью кабеля или оболочки кабеля, должно быть не менее 2,5 мм2.
7.4.5. Служебные проходы внутри НКУ оперативные и для технического обслуживания
Не применяют.
7.5. Защита от короткого замыкания
и прочность при коротком замыкании
7.5.2. Сведения, касающиеся прочности при коротком замыкании
7.5.4. Координация устройств защиты от короткого замыкания
Координация устройств защиты должна являться предметом согласования между изготовителем и потребителем до подписания контракта. Инструкция изготовителя может приниматься за такое соглашение, если координация устройств защиты не оговаривалась при заказе (
2.10).
7.6. Встроенные комплектующие элементы
7.6.1. Выбор комплектующих элементов
а) Комплектующие элементы НКУ должны отвечать требованиям соответствующих стандартов.
Комплектующие элементы должны соответствовать конструктивному исполнению НКУ (например, открытому или закрытому), номинальным напряжениям и токам, сроку службы, включающей и отключающей способностям, прочности при коротком замыкании и т.д.
Комплектующие элементы, не обладающие прочностью при коротком замыкании и/или разрывной способностью, достаточной для выдерживания возможных нагрузок, должны быть защищены с помощью токоограничивающих устройств, например плавкими предохранителями или автоматическими выключателями. При выборе таких токоограничивающих устройств защиты для встроенных коммутационных аппаратов следует принимать во внимание максимально допустимые значения, указанные изготовителем этого устройства, обеспечивая при этом координацию (
7.5.4).
Координация комплектующих элементов, например пускателей для двигателей с устройствами защиты от коротких замыканий, должна отвечать требованиям соответствующих стандартов.
Коммутационная аппаратура и комплектующие, установленные в цепи, для которой изготовителем указано номинальное импульсное выдерживаемое напряжение, не должны создавать коммутационные перенапряжения выше, чем номинальное импульсное выдерживаемое напряжение цепи, и подвергаться атмосферным или коммутационным перенапряжениям более чем номинальное импульсное выдерживаемое напряжение цепи. Последнее должно приниматься во внимание при выборе коммутационной аппаратуры и комплектующих для установки в данной цепи.
Пример. Коммутационная аппаратура и комплектующие, имеющие номинальное импульсное напряжение

= 4000 В, номинальное напряжение изоляции

- 250 В и максимальное коммутационное перенапряжение 1200 В (при номинальном рабочем напряжении 230 В) могут применяться в категориях перенапряжения I, II, III или даже IV при применении соответствующих средств защиты от перенапряжения.
b) Штепсели на различные номинальные токи или напряжения не должны быть взаимозаменяемыми, чтобы избежать ошибок при присоединении (см.
ГОСТ Р 51323.1);
с) Присоединение трехфазных розеток должно выполняться таким образом, чтобы сохранялся порядок чередования фаз.
7.7. Внутреннее разделение НКУ
ограждениями или перегородками
В одну оболочку может устанавливаться оборудование, предназначенное для подключения к одному и тому же роду источника тока. Однако номинальные напряжения функциональных блоков, размещенных в одной оболочке, необязательно должны быть идентичными.
7.9. Требования к цепям питания электронного оборудования
Если условия эксплуатации более тяжелые, чем установлено в
7.9.1 -
7.9.4, то изготовитель НКУ СП должен согласовать возможность применения электронного оборудования и источников питания для него при этих условиях с изготовителем этого оборудования и следовать его рекомендациям.
8. Виды и методы испытаний
Пункт дополнить подпунктами:
h) проверка механической прочности (
8.2.8);
i) проверка стойкости к коррозии (
8.2.9).
Таблица 7
Перечень проверок и испытаний, проводимых на НКУ СП
┌──────────────────────────┬───────┬─────────────────────────────┐
│Проверяемая характеристика│ Пункт │ Испытание │
├──────────────────────────┼───────┼─────────────────────────────┤
│1. Предельные значения │
8.2.1 │Проверка предельных значений │
│превышения температуры │ │превышения температуры │
│ │ │(типовое испытание) │
│2. Диэлектрические │
8.2.2 │Проверка диэлектрических │
│свойства │ │свойств (типовое испытание) │
│3. Прочность при коротких │
8.2.3 │Проверка прочности при │
│замыканиях │ │коротких замыканиях (типовое │
│ │ │испытание) │
│4. Электрическая │
8.2.4 │ │
│непрерывность цепи защиты │ │ │
│4.1. Надежность соединения│
8.2.4.1│Проверка надежности │
│между открытыми │ │соединения между открытыми │
│проводящими частями │ │проводящими частями НКУ и │
│НКУ и цепью защиты │ │цепью защиты путем осмотра │
│ │ │или измерения сопротивления │
│ │ │(типовое испытание) │
│4.2. Прочность цепи защиты│
8.2.4.2│Проверка прочности цепи │
│при коротком замыкании │ │защиты при коротком замыкании│
│ │ │(типовое испытание) │
│5. Зазоры и длины путей │
8.2.5 │Проверка зазоров и длин путей│
│утечки │ │утечки (типовое испытание) │
│6. Механическая │
8.2.6 │Проверка механической │
│работоспособность │ │работоспособности (типовое │
│ │ │испытание) │
│7. Степень защиты │
8.2.7 │Проверка степени защиты │
│ │ │(типовое испытание) │
│8. Механическая прочность │
8.2.8 │Проверка механической │
│ │ │прочности (типовое испытание)│
│9. Стойкость к коррозии │
8.2.9 │Проверка стойкости к коррозии│
│ │ │(типовое испытание) │
│10. Монтаж, │
8.3.1 │Осмотр НКУ, включая проверку │
│работоспособность │ │монтажа и, при необходимости,│
│ │ │проведение испытания на │
│ │ │работоспособность │
│ │ │(приемосдаточные испытания) │
│11. Изоляция │
8.3.2 │Проверка диэлектрических │
│ │ │свойств (приемосдаточные │
│ │ │испытания) │
│12. Меры защиты │
8.3.3 │Проверка мер защиты и │
│ │ │электрической непрерывности │
│ │ │цепей защиты (приемосдаточные│
│ │ │испытания) │
└──────────────────────────┴───────┴─────────────────────────────┘
Раздел дополнить пунктами 8.2.8 и 8.2.9:
8.2.8. Проверка механической прочности
8.2.8.1. Общие положения
а) Эти испытания должны выполняться на НКУ СП всех типов, при этом испытуемый образец должен устанавливаться в рабочем положении, но быть отсоединен от источника (испытательного).
b) Испытания проводят в два этапа:
- испытание на удар;
- испытание на тряску.
Изготовитель должен указывать в протоколах типовых испытаний температуру окружающей среды, при которой проводились испытания.
8.2.8.2. Испытание на удар
a) Цель испытаний
Полностью готовое НКУ СП (со всеми установленными комплектующими элементами) должно быть подвергнуто серии ударов энергией 6 Дж, наносимых по оболочке (но не внутренним элементам) (
7.1.5).
b) Метод испытания
Оборудование, подвергаемое испытанию, должно быть закреплено на опоре или жестком основании так, чтобы ограничить перемещение НКУ СП под воздействием ударов до 0,1 мм. По каждой стороне НКУ СП должно наноситься по три удара одним из следующих способов (см. рисунок 1):
1 - испытуемый образец; 2 - твердая опорная поверхность;
3 - шар в исходном положении; 4 - шар в момент удара
Рисунок 1. Испытания на удар с помощью стального шара
1) падением гладкого стального шара диаметром около 50 мм и массой (500 +/- 25) г из состояния покоя с высоты Н = 1,2 м на поверхность оболочки, расположенной горизонтально. Твердость шара должна быть не менее 50 HRC и не более 58 HRC;
2) таким же шаром, подвешенным на струне подобно маятнику, для нанесения горизонтального удара с высоты Н = 1,2 м.
Наклонные поверхности (скаты) могут также испытываться маятником, но если это неудобно, испытуемая поверхность может быть приведена в горизонтальное положение поворотом изделия на опоре для проведения испытания способом 1). Перед каждым испытанием должен проводиться осмотр шара на наличие заусенцев и вмятин.
Испытание должно проводиться таким образом, чтобы удары наносились в наиболее слабые места. В целом по НКУ СП должно быть нанесено 18 ударов.
Этому испытанию не подвергают такие элементы, как розетки, рукоятки управления, осветительные приборы, пусковые кнопки, приводы и т.д., если они утоплены в элементах оболочки так, что их части выступают за плоскость оболочек не более чем на 1 см.
После испытания оболочка должна сохранить требуемую согласно
7.2.1.1 степень защиты; любые повреждения и деформации оболочки, а также ее элементов не должны нарушать нормальную работу НКУ СП или уменьшать зазоры и длины путей утечки до значений менее допустимых; приводы, рукоятки управления и т.п. должны сохранять работоспособность.
Поверхностные повреждения: отслаивание краски, поломка ребер охлаждения или аналогичных частей, небольшие вмятины, трещины, не видимые невооруженным глазом (если они не могут прогрессировать в дальнейшем), не принимают во внимание при оценке результатов испытаний.
8.2.8.3. Испытание тряской
a) Цель испытания
НКУ СП должно быть подвергнуто испытанию на воздействие тряски импульсом полуволны синусоидальной формы при пиковом ускорении 500 м/с2 (50 g) в течение 11 мс.
b) Метод испытания
Полностью готовое НКУ СП, установленное в рабочем положении, должно быть испытано в соответствии с
ГОСТ 28213.
c) Результаты испытания
8.2.9. Проверка стойкости к коррозии
Стойкость НКУ СП к коррозии проверяют следующими испытаниями.
8.2.9.1. Проверка стойкости к коррозии при нормальных условиях эксплуатации
a) Цель испытания
НКУ СП целиком должно быть подвергнуто испытанию изменяющимися температурой и влажностью путем помещения в климатическую камеру в заданном или рабочем положении.
b) Методы испытания и атмосфера при испытаниях
Испытания проводят в три цикла, каждый продолжительностью 24 ч. Изменения температуры и влажности для каждого цикла указаны на рисунке 2.
Допустимые отклонения: влажности +/- 5%,
температуры +/- 2 °С
Рисунок 2. Изменения температуры и влажности по циклам
с) Результаты испытаний
Результаты испытаний НКУ СП считают удовлетворительными, если:
- не обнаружено следов коррозии внутри и снаружи (за исключением острых кромок);
- не обнаружено повреждений изоляции за счет конденсации влаги при проведении испытаний по
8.2.2.
8.2.9.2. Проверка стойкости к коррозии в сильно загрязненной атмосфере
a) Цель испытания
Это испытание проводят, чтобы оценить стойкость к коррозии от воздействия промышленной атмосферы, содержащей диоксид серы.
НКУ СП целиком должно быть выдержано в такой атмосфере в течение 10 сут.
b) Метод испытания и атмосфера при испытании
НКУ СП должно быть испытано в соответствии с ГОСТ 28226.
c) Результаты испытаний
Результаты испытаний считают удовлетворительными, если:
- не обнаружено следов коррозии ни внутри, ни снаружи (за исключением острых кромок);
- не обнаружено повреждений изоляции при проведении испытаний по
8.2.2, выполняемых через 24 ч после выемки оборудования из испытательной камеры.
8.2.9.3. Допущение
Как альтернатива испытанию целого НКУ СП, испытания по
8.2.9.1 и
8.2.9.2 могут быть проведены на образце, имеющем идентичную конструкцию и содержащем по одному функциональному блоку каждого типа, что и в испытуемом НКУ СП, изготовленном из тех же материалов, и защищенном от коррозии теми же краской и покрытиями, что и испытуемое НКУ СП.
8.3.2. Диэлектрические испытания
Не применяют.
8.3.4. Проверка сопротивления изоляции
Не применяют.
9. Особенности НКУ СП различных типов
а) НКУ СП двух или более типов по
9.1 -
9.5.2 включительно могут быть объединены в одно НКУ СП. Например, НКУ ввода и измерения и главное распределительное НКУ.
b) Определения НКУ СП различных типов приведены в
2.9.
с) Номинальные токи НКУ СП различных типов следует выбирать по ГОСТ Р 51321.1 (таблицы 8 и 9) или
ГОСТ 6827.
Примечание. Предпочтительные значения номинальных токов приведены в
Приложении F.
9.1. НКУ СП ввода и измерения
Такие НКУ обычно включают в себя:
- отсеки с элементами для присоединения вводных питающих кабелей и установки счетчика;
- устройства отключения и защиты от перегрузки и коротких замыканий, а также другие устройства защиты отходящих кабелей.
Вышеуказанные части и элементы НКУ должны иметь собственные средства защиты от доступа (заглушки, заслонки, двери и т.д.).
9.1.1. Блок ввода
Устройства для присоединения кабелей, а именно зажимы, должны соответствовать номинальному току блока.
Разъединитель и устройство защиты от сверхтока могут предусматриваться в случаях, когда этого требует электроснабжающая организация.
9.1.2. Блок измерения
Система измерения должна разрабатываться электроснабжающей организацией или по согласованию с ней.
а) Блок должен содержать средства разъединения, отключения нагрузки, защиты от сверхтока и защиты от косвенного прикосновения. Эти функции могут обеспечиваться одним или несколькими аппаратами.
b) Блок должен иметь блокировку безопасности на разъединителе (разъединителях) при открытой двери (например, висячий замок, или блок должен устанавливаться внутри запираемой оболочки).
с) Выключатель для отключения нагрузки должен быть легкодоступен без применения ключа или инструмента, если иное не установлено потребителем.
d) Выключатель должен коммутировать цепь одновременно во всех полюсах и быть рассчитан на присоединение всех фазных проводников, но не нулевых рабочего и защитного проводников. Однако по требованию потребителя (в зависимости от типа системы заземления электроустановки, видов токоприемников и требований безопасности), в блоке вывода может быть установлен аппарат, предусматривающий включение нулевого рабочего проводника в коммутируемую цепь.
9.2. Главное распределительное НКУ СП
9.2.1. Общие положения
Такие НКУ состоят из одного блока ввода и нескольких блоков вывода.
9.2.2. Блок ввода
Устройства для присоединения кабелей, а именно зажимы, должны соответствовать номинальному току блока. Должны предусматриваться разъединитель и аппарат защиты от сверхтока. Разъединитель должен иметь блокировку безопасности при открытой двери. При этом наличие аппарата защиты от сверхтока необязательно, если главное распределительное НКУ СП запитывается от НКУ ввода и измерения (
9.1).
Номинальный ток должен быть не менее 630 А.
9.2.3. Блоки вывода
Каждый блок может иметь одну или несколько отходящих цепей. Требования
9.1.3 применимы к каждому из них, за исключением того, что наличие блокировок разъединителей при открытой двери необязательно.
9.3. Распределительные НКУ СП
9.3.1. Общие положения
Такие НКУ СП содержат один блок ввода и несколько блоков вывода.
Устройства для присоединения кабелей, а именно зажимы должны соответствовать номинальному току блока. Должны предусматриваться разъединители и аппараты защиты от сверхтока, а также блокировка безопасности для разъединителя при открытой двери. Аппарат защиты от сверхтока не требуется, если распределительное НКУ запитывается от НКУ ввода и измерения (
9.1) или от главного распределительного НКУ (
9.2).
Номинальный ток должен быть более 125 А, но не должен превышать 630 А.
Каждый блок может иметь одну или несколько отходящих цепей. Требования
9.1.3 применимы к каждому из них, за исключением того, что наличие блокировок разъединителей необязательно.
Штепсельные розетки на номинальный ток, не превышающий 32 А, обычно используемые для подключения переносных электроинструментов и аналогичных портативных устройств, должны быть защищены устройствами защитного отключения с номинальным дифференциальным током отключения, не превышающим 30 мА. Для нескольких штепсельных розеток может быть применено одно устройство защитного отключения.
Штепсельные розетки, используемые для этих целей, могут также запитываться от соответствующей системы безопасного низкого напряжения согласно ГОСТ 30331.3/
ГОСТ Р 50571.3.
Штепсельные розетки должны быть предохранены аппаратами защиты от сверхтоков в соответствии с
ГОСТ 30331.5/ГОСТ Р 50571.5.
9.4. НКУ СП, содержащие трансформаторы и преобразователи
9.4.1. Общие положения
Такие НКУ должны иметь блок ввода и могут иметь трансформаторный (преобразовательный) блок низкого напряжения/сверхнизкого напряжения (LV/ELV) и, возможно, один или более блоков низкого напряжения/низкого напряжения (LV/LV).
9.4.2. Блок ввода
Применяют требования
9.3.2, за исключением того, что номинальный ток не должен превышать 630 А.
9.4.3. Трансформаторный блок LV/ELV
Такой блок может быть либо типа LV/FELV (функционального сверхнизкого напряжения ФСНН), либо типа LV/SELV (безопасного сверхнизкого напряжения БСНН), и номинальное вторичное напряжение не должно превышать наибольшего допустимого напряжения из ряда I (см. ГОСТ 30331.3/
ГОСТ Р 50571.3).
9.4.3.1. Трансформаторный блок LV/SELV
Блок такого типа обычно включает в себя:
а) аппараты защиты и управления в первичной цепи;
b) трансформатор LV/SELV, имеющий разделенные обмотки, обеспечивающий таким образом надежную изоляцию между первичной и вторичной цепями при номинальном напряжении первичной цепи, не превышающем 100 В. Такой трансформатор должен соответствовать
ГОСТ 30030;
с) средства защиты и управления для отходящих кабелей (в мобильном НКУ СП - только для одного кабеля). Внутренние цепи на напряжение ELV в блоке такого типа должны удовлетворять требованиям
411.1.3 - устройство цепей ГОСТ 30331.3/ГОСТ Р 50571.3.
9.4.3.2. Трансформаторный блок LV/FELV
Блок такого типа обычно включает в себя:
а) аппараты защиты и управления в первичной цепи;
b) трансформатор LV/FELV, который должен удовлетворять требованиям МЭК 60076-1
[1];
с) защитный проводник вторичной цепи (соединенный с защитным проводником первичной цепи);
d) средства защиты и управления для отходящих кабелей (присоединяемых штепсельным разъемом). Внутренние цепи на напряжение ELV в блоке такого типа должны удовлетворять требованиям
411.3 (рабочее сверхнизкое напряжение) ГОСТ 30331.3/ГОСТ Р 50571.3.
9.4.4. Трансформаторный блок LV/LV Каждый блок типа LV/LV должен включать в себя только:
а) аппараты защиты и управления в первичной цепи;
b) разделительный трансформатор LV/LV, соответствующий
ГОСТ 30030;
с) аппараты защиты и управления во вторичной цепи;
d) выводы или зажимы либо розетки. Розетки (штепсельные разъемы) должны иметь защиту согласно
9.3.3.
Несмотря на требование
подпункта b) трансформатор не обязательно должен быть разделительным, если его нейтральная точка присоединена кабелем к зажиму для защитного проводника, расположенному на наружной стороне оболочки. Этот кабель должен иметь идентифицирующую маркировку, расположенную внутри как можно ближе к зажиму. В этом случае также должны выполняться требования
подпунктов а),
с),
d).
9.5. Оконечные (концевые) НКУ СП
9.5.1. Блок ввода
Питающий кабель должен присоединяться к зажимам или вводному устройству, соответствующему номинальному току блока. Блок должен быть рассчитан на ток не более 125 А. Во всех остальных отношениях такой блок должен соответствовать
9.3.2.
Каждый блок рассчитан для присоединения одного или нескольких отходящих кабелей. Применяют требования
9.3.3.
Если оконечное (концевое) НКУ СП непосредственно входит в одно из НКУ СП по
9.1 -
9.4, то вышеуказанное положение остается верным в отношении устройства защитного отключения, расположенного непосредственно на стороне питания, при этом блок ввода в таком оконечном распределительном НКУ СП может отсутствовать.
Такие НКУ СП должны быть одного из двух типов и рассчитываться:
а) либо на номинальное рабочее напряжение (не менее чем номинальное напряжение) и номинальную частоту источника питания;
b) либо на более низкие рабочие напряжения, либо на частоты, отличные от параметров источника питания.
Такие НКУ СП могут быть мобильными, переносными и обычно содержат следующие функциональные блоки.
9.6.1. Блок ввода
Питающий гибкий кабель должен присоединяться либо к штепсельному разъему, либо к соединительному устройству. Штепсельные разъемы и соединительные устройства должны соединяться с соответствующими розетками или соединителями, установленными в блоке. Номинальный ток блока не должен превышать 63 А.
9.6.2. Блок вывода, блоки на напряжение LV или ELV
Отходящие кабели должны присоединяться только посредством штепсельных розеток. Каждая штепсельная розетка должна иметь собственную защиту от перегрузок. Если штепсельный разъем на питающем кабеле, который запитывает все штепсельные розетки от распределительного НКУ СП, имеет номинальный ток, равный наименьшему из номинальных токов штепсельных розеток блока, то защита от перегрузки должна быть выбрана по этому наименьшему номинальному току.
Штепсельные розетки должны иметь защиту согласно
9.3.3.
(справочное)
ВЗАИМОСВЯЗЬ НКУ СП РАЗЛИЧНЫХ ТИПОВ. ПРИМЕРЫ
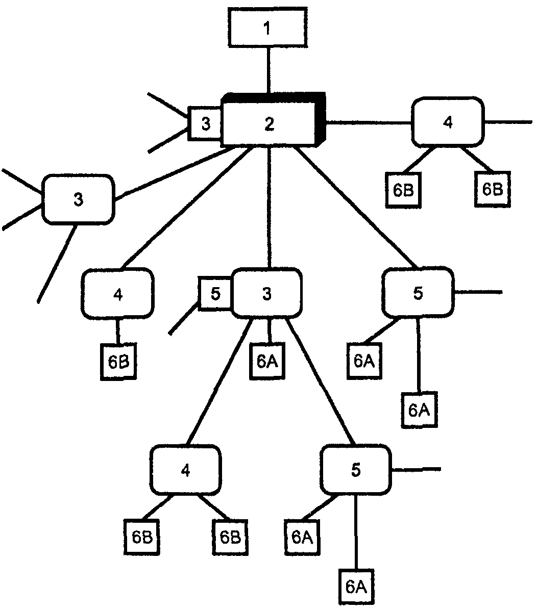
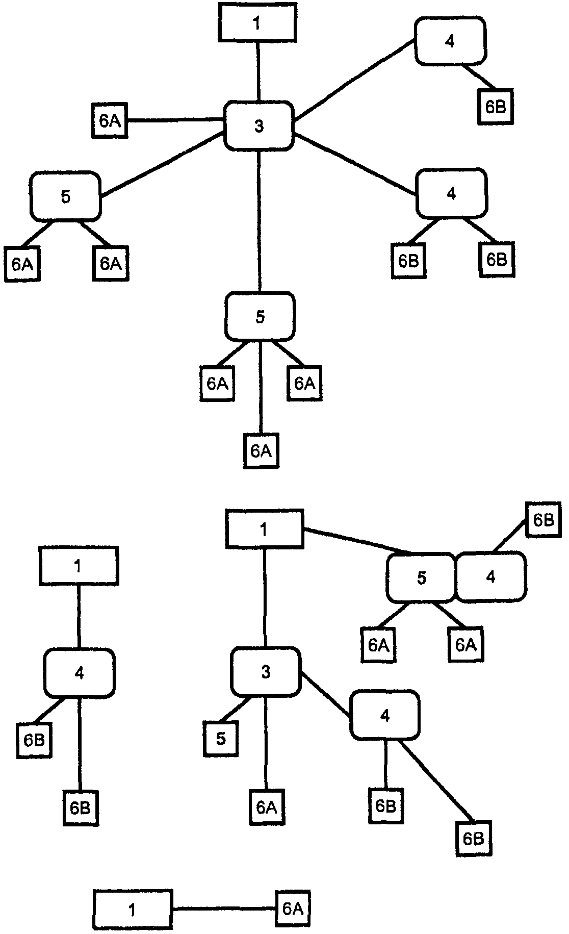
Примечание. За исключением НКУ СП типа 1, количество выводов НКУ СП различных типов ограничивается только номинальным током.
Рисунок F.1. Большие строительные площадки
Рисунок F.2. Средние и небольшие строительные площадки
Условные обозначения на рисунках F.1 и F.2:
1 - НКУ СП ввода и измерения.

= 220/380 В или 240/415 В, или предпочтительные значения 230/400 В; 2 - главное распределительное НКУ СП.

= 220/380 В или 240/415 В, или предпочтительные значения 230/400 В,

630 А; 3 - распределительные НКУ СП.

= 220/380 В или 240/415 В, или предпочтительные значения 230/400 В, 125 А < I

630 А; 4 - НКУ СП, содержащие трансформаторы:

630 А;

= 220 В или 240 В, или предпочтительное значение 230 В,

= 24
<*>, 48
<*> 60 или 110
<*> В; 5 - оконечные распределительные НКУ СП.

= 220/380 В или 240/415 В, или предпочтительные значения 230/400 В,

125 А; 6 - штепсельные НКУ СП типа 6А или 6В,

63 А.
--------------------------------
(справочное)
БИБЛИОГРАФИЯ <*>
--------------------------------
<*> Международные стандарты и их переводы находятся во Всероссийском научно-исследовательском институте классификации, терминологии и информации по стандартизации и качеству (ВНИИКИ). Адрес: 103001, Москва, Гранатный пер., 4.
[1] МЭК 60076-1 (1993) Трансформаторы силовые. Часть 1. Общие требования