Главная // Актуальные документы // ГОСТ Р (Государственный стандарт)СПРАВКА
Источник публикации
М.: Стандартинформ, 2015
Примечание к документу
Документ
введен в действие с 1 января 2014 года.
Название документа
"ГОСТ Р 55193-2012 (МЭК 60060-2:2010). Национальный стандарт Российской Федерации. Электрооборудование и электроустановки переменного тока на напряжение 3 кВ и выше. Методы измерения при испытаниях высоким напряжением"
(утв. и введен в действие Приказом Росстандарта от 26.11.2012 N 1185-ст)
"ГОСТ Р 55193-2012 (МЭК 60060-2:2010). Национальный стандарт Российской Федерации. Электрооборудование и электроустановки переменного тока на напряжение 3 кВ и выше. Методы измерения при испытаниях высоким напряжением"
(утв. и введен в действие Приказом Росстандарта от 26.11.2012 N 1185-ст)
Утвержден и введен в действие
по техническому регулированию
и метрологии
от 26 ноября 2012 г. N 1185-ст
НАЦИОНАЛЬНЫЙ СТАНДАРТ РОССИЙСКОЙ ФЕДЕРАЦИИ
ЭЛЕКТРООБОРУДОВАНИЕ И ЭЛЕКТРОУСТАНОВКИ ПЕРЕМЕННОГО
ТОКА НА НАПРЯЖЕНИЕ 3 кВ И ВЫШЕ
МЕТОДЫ ИЗМЕРЕНИЯ ПРИ ИСПЫТАНИЯХ ВЫСОКИМ НАПРЯЖЕНИЕМ
Electric equipment and installations for 3 kV and higher.
Measuring methods during high-voltage tests
IEC 60060-2:2010
High-voltage test techniques - Part 2:
Measuring systems
(MOD)
ГОСТ Р 55193-2012
(МЭК 60060-2:2010)
Группа Т88.8
Дата введения
1 января 2014 года
1. Разработан ФГУП "Всероссийский научно-исследовательский институт метрологической службы" (ФГУП "ВНИИМС"), ФГУП "Всероссийский электротехнический институт им. В.И. Ленина" (ФГУП "ВЭИ").
2. Внесен Федеральным агентством по техническому регулированию и метрологии (Росстандарт).
3. Утвержден и введен в действие
Приказом Федерального агентства по техническому регулированию и метрологии от 26 ноября 2012 г. N 1185-ст.
4. Настоящий стандарт является модифицированным по отношению к международному стандарту МЭК 60060-2:2010 "Технология испытаний высоким напряжением. Часть 2. Измерительные системы" (IEC 60060-2:2010 "High-voltage test techniques - Part 2: Measuring systems").
При этом дополнительные положения, учитывающие потребности национальной стандартизации (на базе
ГОСТ 17512-82 "Электрооборудование и электроустановки на напряжение 3 кВ и выше. Методы измерения при испытаниях высоким напряжением"), выделены курсивом.
5. Введен впервые.
Правила применения настоящего стандарта установлены в ГОСТ Р 1.0-2012
(раздел 8). Информация об изменениях к настоящему стандарту публикуется в ежегодном (по состоянию на 1 января текущего года) информационном указателе "Национальные стандарты", а официальный текст изменений и поправок - в ежемесячном информационном указателе "Национальные стандарты". В случае пересмотра (замены) или отмены настоящего стандарта соответствующее уведомление будет опубликовано в ближайшем выпуске ежемесячного информационного указателя "Национальные стандарты". Соответствующая информация, уведомление и тексты размещаются также в информационной системе общего пользования - на официальном сайте Федерального агентства по техническому регулированию и метрологии в сети Интернет (gost.ru).
Настоящий стандарт распространяется на измерительные системы и их компоненты, используемые для измерения высоких напряжений и больших токов в процессе испытаний постоянным и переменным напряжениями, напряжениями грозового и коммутационного импульса, а также для испытаний импульсным током, или их комбинациями, согласно IEC 60060-1.
Пределы неопределенностей измерений, установленные в настоящем стандарте, распространяются на уровни испытательных напряжений, указанные в ГОСТ Р МЭК 60664.1-2012 Положения настоящего стандарта применимы также и к более высоким уровням испытания, но в этом случае неопределенности измерения могут быть выше.
Настоящий стандарт:
- дает определения к используемым терминам;
- описывает методы оценки неопределенностей высоковольтных измерений;
- устанавливает требования к измерительным системам;
- описывает методы калибровки измерительной системы и проверки ее составных компонентов;
- описывает процедуры, в соответствии с которыми пользователь может доказать соответствие измерительной системы требованиям настоящего стандарта.
В настоящем стандарте использованы нормативные ссылки на следующие стандарты:
ГОСТ Р МЭК 60664.1-2012 Координация изоляции для оборудования в низковольтных системах. Часть 1. Принципы, требования и испытания
Примечание. При пользовании настоящим стандартом целесообразно проверить действие ссылочных стандартов в информационной системе общего пользования - на официальном сайте Федерального агентства по техническому регулированию и метрологии в сети Интернет или по ежегодно издаваемому информационному указателю "Национальные стандарты", который опубликован по состоянию на 1 января текущего года, и по соответствующим ежемесячно издаваемым информационным указателям, опубликованным в текущем году. Если ссылочный стандарт заменен (изменен), то при пользовании настоящим стандартом следует руководствоваться заменяющим (измененным) стандартом. Если ссылочный стандарт отменен без замены, то положение, в котором дана ссылка на него, применяется в части, не затрагивающей эту ссылку.
3. Термины, определения и обозначения
В настоящем стандарте применены следующие термины с соответствующими определениями.
3.1. Измерительные системы
3.1.1. измерительная система (measuring system): Функционально объединенные средства измерений и вспомогательные устройства высокого и низкого напряжения, имеющие определенное размещение и соединенные каналами связи, предназначенные для преобразования и определения параметров высокого напряжения, а также программное обеспечение, используемое для оптимизации или/и расчетов результатов измерений, если оно является составной частью измерительной системы.
Примечание 1. Измерительная система обычно включает следующие компоненты:
- преобразовательное устройство (преобразователь) с вводами, необходимыми для подключения этого устройства к объекту испытания или к цепи напряжения (тока) и к заземлению, и выводами для подключения системы передачи измеряемого сигнала;
- систему передачи измеряемого сигнала (канал связи), соединяющую выход преобразователя с входами измерительных приборов (показывающих и/или регистрирующих) с их аттенюаторами (при наличии), а также с ограничивающими и согласующими сопротивлениями или цепями;
- измерительный прибор (показывающий и/или регистрирующий) вместе с любыми соединениями к источнику питания.
Примечание 2. Измерительные системы, включающие только некоторые из вышеупомянутых компонентов или основанные на нестандартных принципах, допустимы, если они удовлетворяют требованиям к точности, указанным в настоящем стандарте.
Примечание 3. На точность измерений могут оказывать влияние окружающая среда, в которой находится измерительная система, находящиеся под напряжением воздушные промежутки и заземленные элементы в ней, а также присутствие электрических или магнитных полей.
3.1.2. паспорт измерительной системы (record of performance of a measuring system): Подробный перечень характеристик, составляемый пользователем, описывающий измерительную систему и подтверждающий, что соблюдены требования настоящего стандарта.
Примечание 1. Паспорт включает в себя: результаты первичных испытаний определения рабочих характеристик, график их проведения, а также результаты каждого последующего эксплуатационного испытания и эксплуатационной проверки (поверки).
Примечание 2. В паспорте должны быть указаны:
1) наименование, тип и принципиальная схема измерительной системы с указанием входящих в нее наименований и типов составных элементов;
2) вид, размеры и положение подводки к преобразовательному устройству;
3) описание контура и проводов заземления;
4) тип и длина соединительного кабеля, а также значения полных сопротивлений присоединенных к нему элементов.
Примечание 3. Рабочие характеристики должны быть следующими:
1) диапазоны измеряемых величин;
2) номинальные значения масштабных коэффициентов измерительной системы и:
2а) номинальные значения масштабных коэффициентов преобразовательного устройства, входящего в состав измерительной системы;
2б) номинальные значения масштабных коэффициентов системы передачи измеряемого сигнала от преобразовательного устройства к измерительным приборам;
2в) номинальные значения масштабных коэффициентов измерительных приборов, входящих в состав измерительной системы;
3) пределы неопределенности (погрешности) измерительной системы и:
3а) пределы неопределенности (погрешности) масштабных коэффициентов преобразовательного устройства, входящего в состав измерительной системы;
3б) пределы неопределенности (погрешности) масштабных коэффициентов системы передачи измеряемого сигнала;
3в) пределы неопределенности (погрешности) измерительных приборов, входящих в измерительную систему.
3.1.3. сертифицированная измерительная система (approved measuring system): Измерительная система, соответствующая одному или более требованиям настоящего стандарта.
Измерительная система сертифицируется только для схемы размещения и условий эксплуатации, приведенных в паспорте измерительной системы.
3.1.4. эталонная измерительная система (reference measuring system): Измерительная система, имеющая прослеживаемость от национальных и/или международных эталонов, и точность и стабильность которой достаточны для использования ее для сертификационных испытаний (калибровки, поверки) других, менее точных (например, рабочих), измерительных систем посредством проведения одновременных сравнительных измерений напряжений (токов) определенных форм и в определенном диапазоне их изменения.
Примечание. Эталонная измерительная система (соответствующая требованиям настоящего стандарта) может использоваться и как рабочая измерительная система, но обратная замена недопустима.
3.2. Компоненты измерительной системы
3.2.1. преобразовательное устройство (преобразователь) (converting device): Устройство, предназначенное для преобразования измеряемой величины в другую величину, совместимую с показывающим или регистрирующим прибором.
3.2.2. делитель напряжения (voltage divider): Преобразовательное устройство, состоящее из высоковольтного и низковольтного плеч такой конструкции, когда входное напряжение прикладывается ко всему устройству, а выходное напряжение снимается с низковольтного плеча.
[IEV 301-05-13, измененный]
Примечание. Составными элементами плеч делителя обычно являются резисторы или конденсаторы или их комбинация, при этом делитель называется по типу и структуре его элементов (например, резистивный, емкостный или резистивно-емкостный).
3.2.3. трансформатор напряжения (voltage transformer): Преобразовательное устройство на базе трансформатора напряжения, в котором вторичное напряжение в нормальных условиях применения является пропорциональным первичному напряжению и разность фазового угла при соответствующем направлении соединений практически равна нулю.
[IEC 60050-321:1986, IEV 321-03-01]
3.2.4. резистивный преобразователь напряжения (voltage converting impedance): Преобразовательное устройство на базе высокоомного сопротивления, через которое в процессе измерения к измерительному прибору протекает ток, и значение которого пропорционально приложенному напряжению.
3.2.5. зонд электрического поля (electric-field prob): Преобразовательное устройство для измерения амплитуды и формы напряженности электрического поля.
3.2.6. система передачи измеряемого сигнала (transmission system): Ряд устройств, которые передают выходной сигнал от преобразовательного устройства к показывающему и/или регистрирующему и/или измерительному прибору.
Примечание 1. Система передачи измеряемого сигнала обычно состоит из коаксиального кабеля с его полным сопротивлением, но также может включать аттенюаторы или другие устройства, подключенные между преобразовательным устройством и измерительным прибором. Например, оптическая система передачи измеряемого сигнала включает передатчик, оптический кабель и приемник, а также транслирующие усилители.
Примечание 2. Система передачи измеряемого сигнала частично или полностью может быть в составе преобразовательного устройства.
3.2.7. измерительный прибор (measuring device): Прибор, который может быть использован для измерений входного сигнала непосредственно и/или через преобразовательное устройство, оснащенное системой передачи измеряемого сигнала.
3.2.8. трансформатор тока (current transformer): Преобразовательное устройство на базе трансформатора тока, который создает выходное напряжение, пропорциональное входному току.
[IEV 321-02-01, измененный]
Примечание. Катушка Роговского, используемая с интегрирующей цепью, является широкополосным трансформатором тока.
3.2.9. токоизмерительный шунт (current-measuring shunt): Преобразовательное устройство на базе низкоомного сопротивления, напряжение на котором пропорционально измеряемому току.
[IEV 301-06-05, измененный]
3.2.10. компенсированный токоизмерительный прибор (compensated current-measuring device): Токоизмерительный прибор, который содержит компенсирующую цепь.
3.2.11. показывающий или регистрирующий прибор (indicating or recording instrument): Прибор, предназначенный для визуализации измеряемого сигнала и/или для обеспечения записи его значений или передаваемой величины.
[IEV 301-02-11 и IEV 301-02-12, измененные]
3.3. Масштабные коэффициенты
3.3.1. масштабный коэффициент измерительной системы (scale factor of a measuring system): Число, на которое должно быть умножено считаное значение показания прибора, чтобы получить значение входной величины, поданной на измерительную систему.
Примечание 1. Измерительная система может иметь более одного масштабного коэффициента, например, она может иметь различные приписанные масштабные коэффициенты для различных частотных диапазонов или форм сигнала (см.
3.6.1).
Примечание 2. Для измерительных систем, которые отображают непосредственно значение входной величины, номинальный масштабный коэффициент измерительной системы равен единице.
3.3.2. масштабный коэффициент преобразовательного устройства (scale factor of a converting device): Число, на которое должна быть умножена величина сигнала на выходе преобразовательного устройства, чтобы получить величину входного сигнала.
Примечание. Масштабный коэффициент преобразовательного устройства может быть безразмерной величиной (например, коэффициент деления делителя напряжения) или может иметь размерность (например, полное сопротивление высоковольтного измерительного сопротивления).
3.3.3. масштабный коэффициент системы передачи измеряемого сигнала (scale factor of a transmission system): Число, на которое должна быть умножена величина сигнала на выходе передающей системы, чтобы получить величину сигнала на ее входе.
3.3.4. масштабный коэффициент измерительного прибора (scale factor instrument): Число, на которое должно быть умножено показание прибора, чтобы получить значение величины на его входе.
3.3.5. приписанный масштабный коэффициент F (assigned scale factor F): Масштабный коэффициент измерительной системы, определенный при последнем легитимном испытании, направленном на определение ее рабочих характеристик.
Примечание. Измерительная система может иметь более одного приписанного масштабного коэффициента, например, она может иметь несколько номинальных динамических диапазонов и/или номинальных временных диапазонов, в каждом из которых могут быть различные масштабные коэффициенты.
3.4. Нормированные номинальные значения
3.4.1. рабочие условия (operating condition): Нормированные диапазоны рабочих условий применения, при которых измерительная система не выходит за границы нормированных пределов неопределенности (погрешности).
3.4.2. номинальное рабочее напряжение (rated operating voltage): Уровень напряжения определенной нормированной частоты или/и формы волны, до значения которых измерительная система была разработана и испытана.
3.4.2.1. номинальный рабочий ток: Уровень тока определенной нормированной частоты или/и формы волны, до значения которых измерительная система была разработана и испытана.
3.4.3. специфицированный диапазон измерения (assigneed measuring range): Диапазон напряжения или тока нормированной частоты или формы волны, в котором может быть использована измерительная система с одним масштабным коэффициентом.
3.4.4. время непрерывной работы (assigneed operating time): Время, в течение которого измерительная система, предназначенная для измерения постоянного или переменного напряжения, может функционировать в специфицированном диапазоне измерения, в границах пределов неопределенности (погрешности), указанных в паспорте измерительной системы.
3.4.5. специфицированная частота приложения импульса (assigneed rate of application): Наибольшая частота приложения нормированного импульсного напряжения в интервале времени, при которой измерительная система может работать в специфицированном диапазоне измерения, в границах пределов неопределенности и в течение заданного времени, указанных в паспорте измерительной системы.
3.5. Определения, относящиеся к динамическим характеристикам
3.5.1. передаточная характеристика измерительной системы G (response of measuring system G): Выходной сигнал как функция времени или частоты, когда на вход измерительной системы подается определенный калиброванный сигнал.
3.5.2. амплитудно-частотная характеристика G(f) (amplitude-frequency response G(f)): Отношение значений сигналов выхода к входу измерительной системы как функция частоты, когда на вход подается определенный калиброванный синусоидальный сигнал (см. рисунок 1).
Примечание. Нижний и верхний пределы частоты показаны на кривой A. Кривая B показывает постоянную передаточную характеристику до постоянного напряжения.
Рисунок 1. Амплитудно-частотная характеристика с примерами
предельных частот (f1; f2)
3.5.3. переходная характеристика G(t) (step response G(t)): Выходной сигнал (реакция, отклик) измерительной системы как функция времени, когда входной сигнал является ступенчатой функцией.
Примечание. Более подробная информация о переходной характеристике и ее параметрах приведена в
Приложении В.
3.5.4. номинальный временной диапазон (только для импульсного напряжения)

(nominal epoch

): Диапазон значений между минимумом (t
min) и максимумом (t
max) соответствующих

параметров импульсного напряжения, для которых сертифицирована измерительная система.
Примечание 1. Соответствующими

параметрами являются:
- время длительности фронта T1 для полных и срезанных на спаде (заднем фронте) грозовых импульсов;
- время до среза Tc для импульсов, срезанных на подъеме (переднем фронте);
- время до максимума Tp для коммутационных импульсов.
Примечание 2. Измерительная система может иметь один, два или больше номинальных

диапазонов для различных форм сигнала. Например, измерительная система может быть откалибрована:
- для полных грозовых импульсов с приписанным масштабным коэффициентом F
1 в номинальном

диапазоне

от T
1 = 0,8 мкс до T
1 = 1,8 мкс;
- для срезанных на фронте грозовых импульсов с приписанным масштабным коэффициентом F
2 в номинальном

диапазоне

от T
c = 0,5 мкс до T
c = 0,9 мкс;
- для коммутационных импульсов с приписанным масштабным коэффициентом F
3 в номинальном

диапазоне

от T
p = 150 мкс до T
p = 500 мкс.
Примечание 3. Понятие "импульс, срезанный на подъеме (на переднем фронте)" используется для обозначения срезанного импульса с временем до среза в диапазоне от 0,5 мкс до его максимума. Понятие "импульс, срезанный на спаде (на заднем фронте)" используется для обозначения срезанного импульса с временем до среза, происходящим за его максимумом.
3.5.5. частотный диапазон f
1 и f
2 (limit frequencies): Нижний и верхний пределы диапазона, в котором амплитудно-частотная характеристика измерительной системы приблизительно постоянна
(рисунок 1).
Примечание. Этими пределами являются те точки, где характеристика впервые отклоняется свыше определенного значения (например, плюс/минус 15%) от предписанной величины (см.
рисунок 1).
3.6. Определения, касающиеся неопределенности
3.6.1. допустимое отклонение (tolerance): Допустимая разность между измеренным и специфицированным (нормированным) значениями.
3.6.2. погрешность (error): Разность между измеренным и эталонным значениями.
[Руководство ISO/IEC Guide 99 (VIM 2.16]
3.6.3. неопределенность (измерения) (uncertainty (of measurement): Неотрицательный параметр, ассоциируемый с результатом измерения, характеризующий дисперсию значений, приписываемых измеряемой величине на основании доступной информации.
(IEC 60050-300:2001, 311-01-02)
Примечание 1. Неопределенность является всегда положительной величиной и записывается без знака.
Примечание 2. Неопределенность измерения напряжения не следует путать с допустимым отклонением указанного испытательного напряжения.
3.6.4. стандартная неопределенность u (standard uncertainty): Неопределенность результата измерения, выраженная как среднеквадратическое стандартное отклонение (СКО).
[Руководство ISO/IEC Guide 98-3 (GUM 2.3.1)]
Примечание 1. Стандартная неопределенность относится к оценке измеряемой величины и определяется в единицах измеряемой величины.
Примечание 2. В некоторых случаях может быть использована относительная стандартная неопределенность измерения. Относительная стандартная неопределенность измерения - это безразмерная величина, полученная делением стандартной неопределенности на измеряемую величину.
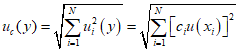
3.6.5. суммарная стандартная неопределенность uc (combined standard uncertainty): Стандартная неопределенность результата измерения, полученного через значения других величин, равная положительному квадратному корню суммы членов, причем члены являются дисперсиями или ковариациями этих величин, взвешенными в соответствии с тем, как результат измерений изменяется при изменении этих величин.
[Руководство ISO/IEC Guide 98-3 (GUM 2.3.4)]
3.6.6. расширенная стандартная неопределенность U (expanded uncertainty): Величина, определяющая интервал вокруг результата измерений, в пределах которого находится большая часть распределения значений, которые могли бы быть обоснованно приписаны измеряемой величине.
[Руководство ISO/IEC Guide 98-3 (GUM 2.3.5)]
Примечание 1. Термин "расширенная неопределенность" является самым близким по значению к используемому ранее термину "общая неопределенность" (overall uncertainty), который присутствовал в ранних изданиях международных стандартов.
Примечание 2. Реальное, но неизвестное значение испытательного напряжения может находиться за пределами данной неопределенности, поскольку имеет место вероятность охвата < 100% (см. 3.6.7).
3.6.7. коэффициент охвата k (coverage factor): Числовой коэффициент, используемый как множитель при суммарной стандартной неопределенности для получения расширенной неопределенности.
[Руководство ISO/IEC Guide 98-3 (GUM 2.3.6)]
Примечание. Для 95%-ной вероятности и нормального (гауссова) распределения коэффициент охвата приблизительно k = 2.
3.6.8. оценка неопределенности по типу A (type A evaluation): Метод оценивания составляющей стандартной неопределенности путем статистического анализа серии наблюдений измеренных значений.
3.6.9. оценка неопределенности по типу B (type B evaluation): Метод оценивания составляющей стандартной неопределенности посредством других методов, отличных от статистического анализа серии наблюдений.
3.6.10. прослеживаемость (traceability): Свойство результата измерения или значения эталона, посредством которого оно может быть соотнесено с заявленными эталонами, обычно национальными или международными, через непрерывную цепь сравнений, каждое из которых имеет указанные значения неопределенности.
[IEC 60050-300:2001, 311-01-15]
3.6.11. национальный метрологический институт (НМИ) (national metrology institute (NMI): Институт, аккредитованный национальным органом по аккредитации для развития измерений и разработки национальных стандартов по измерению одной или более величин.
3.7. Определения, касающиеся испытаний измерительных систем
3.7.1. калибровка (calibration): Калибровка средств измерений - совокупность операций, которые служат для установления при определенных условиях соотношения между показаниями измерительных приборов или измерительных систем и соответствующими значениями величин, воспроизводимых эталоном.
Цель калибровки - определение действительных значений метрологических характеристик средств измерений и принятие владельцем на основе полученных результатов решения об их применении.
Примечание. Определение значения масштабного коэффициента также является предметом калибровки.
3.7.2. типовые испытания (type test): Испытания, проведенные на одном или нескольких образцах продукции одного типа.
[IEC 60050-151:2001, 151-16-16]
Примечание. Для измерительной системы подразумевается, что испытания проводятся на всех компонентах системы отдельно или/и на полностью укомплектованной измерительной системе аналогичной конструкции с целью получения характеристик для рабочих условий.
3.7.3. приемо-сдаточное испытания (routine test): Испытания, проведенные на каждом образце во время или/и после его изготовления.
[IEC 60050-151:2001, 151-16-17]
Примечание. Подразумевается, что испытания проводятся на каждом из компонентов системы отдельно или/и на каждой полностью укомплектованной измерительной системе с целью получения характеристик для рабочих условий.
3.7.4. эксплуатационное первичное испытание (performance test): Испытание укомплектованной измерительной системы с целью определения ее характеристик в условиях эксплуатации.
3.7.5. эксплуатационная периодическая проверка (поверка) (performance check): Упрощенное испытание, проводимое с целью гарантировать соответствие характеристик последним эксплуатационным испытаниям.
3.7.6. контрольная запись (reference record) (только при импульсных измерениях): Запись, сделанная при специфицированных условиях эксплуатационных испытаний для сравнения с результатами, которые будут зарегистрированы при последующих испытаниях или проверках в аналогичных специфицированных условиях.
Примечание. Контрольная запись часто называется "отпечатком характеристики" и часто используется для отслеживания динамики изменений характеристик. При измерениях импульсного напряжения его обычно получают по результатам измерения переходных характеристик (см. Приложение В).
4. Квалификационные процедуры применительно
к измерительным системам
4.1. Общие принципы
Каждая измерительная система должна подвергаться заводским испытаниям, за которыми следуют эксплуатационные первичные и повторные испытания (периодичность см.
4.2), а также эксплуатационные периодические проверки (поверки) в течение всего срока службы (периодичность см.
4.3). Заводские испытания включают типовые испытания (испытания составных компонентов или/и измерительной системы такой же конструкции) и приемо-сдаточные испытания (испытания каждого составного компонента или измерительной системы в целом).
Эксплуатационные испытания и эксплуатационные проверки (поверки) характеристик подтверждают, что данная измерительная система соответствует указанным диапазонам измерения, условиям эксплуатации, а масштабный коэффициент остается неизменным.
При этом основными требованиями к устройству преобразования, системе передачи измеряемого сигнала и измерительному прибору, используемым в составе измерительной системы, является их стабильность в пределах специфицированных диапазонов в рабочих условиях, т.е. масштабный коэффициент измерительной системы должен оставаться стабильным в течение как можно большего периода времени.
Приписанный масштабный коэффициент измерительной системы определяется при заводских испытаниях посредством ее калибровки. Пользователь при заказе должен определить тесты, данные в настоящем стандарте, для того чтобы квалифицировать (сертифицировать) свою измерительную систему(ы).
Альтернативно пользователь может провести эксплуатационные испытания с помощью национального метрологического института (НМИ) или с помощью калибровочной лаборатории, аккредитованных на право проведения таких работ. Результаты испытаний должны быть зарегистрированы в паспорте измерительной системы.
Калибровки должны иметь прослеживаемость от национальных и/или международных эталонов. Пользователь должен быть уверен, что данные калибровки проводятся компетентным персоналом с использованием эталонных измерительных систем и соответствующих методов.
Примечание. Калибровки, проведенные НМИ или лабораторией, аккредитованной на право проведения таких работ, считаются легитимными, если они имеют прослеживаемость своих эталонов к национальным и/или международным эталонам.
4.2. График проведения эксплуатационных испытаний
Для обеспечения гарантированной точности измерительной системы ее приписанный масштабный коэффициент(ы) должен подтверждаться результатами эксплуатационных испытаний. Интервал времени между эксплуатационными испытаниями должен базироваться на оценке динамики ее стабильности. Рекомендуется, чтобы эти испытания повторялись ежегодно, но не менее одного раза в пять лет.
Примечание. Большие интервалы между эксплуатационными испытаниями могут увеличить риск невыявленных изменений в измерительной системе.
Эксплуатационные испытания также должны проводиться после капитального ремонта измерительной системы и каждый раз, когда измерительная система должна применяться в нестандартной для нее схеме, не указанной в руководстве по ее применению.
Проведение эксплуатационных испытаний требуется и в том случае, когда эксплуатационная проверка показала, что приписанный масштабный коэффициент является ошибочным, при этом причина этого изменения должна быть исследована до проведения эксплуатационных испытаний.
4.3. График проведения эксплуатационных проверок (поверок)
Эксплуатационные проверки (поверки) должны проводиться через интервалы времени, которые определяются на основе анализа данных, зарегистрированных в паспорте измерительной системы, позволяющих оценить ее стабильность. Интервал времени между последним эксплуатационным испытанием или последней эксплуатационной проверкой (поверкой) не должен превышать один год.
Чтобы проследить за стабильностью новой или отремонтированной измерительной системы, эксплуатационные проверки (поверки) следует проводить через короткие интервалы, для того чтобы проследить ее стабильность.
4.4. Требования к паспорту измерительной системы
4.4.1. Содержание паспорта измерительной системы
Результаты всех испытаний и проверок (поверок), включая условия, при которых эти результаты были получены, должны содержаться в паспорте измерительной системы (на бумажном или/и электронном носителе в соответствии с требованиями менеджмента качества или местными правилами), разработанном и заполняемом пользователем. Паспорт измерительной системы должен включать компоненты измерительной системы с их идентификацией и должен быть структурирован таким образом, чтобы характеристики измерительной системы можно было прослеживать.
Паспорт измерительной системы должен включать следующую информацию:
- общее описание измерительной системы;
- результаты типовых и приемо-сдаточных испытаний устройства преобразования, системы(ем) передачи измеряемого сигнала, измерительного прибора(ов) и, если проводились, на измерительную систему в целом;
- результаты эксплуатационных испытаний измерительной системы;
- результаты эксплуатационных проверок (поверок) измерительной системы.
Примечание. Описание измерительной системы обычно включает дату изготовления и условия применения, такие как номинальное рабочее напряжение, форма измеряемой волны или волн, диапазон(ы) переключения, время работы и специфицированная частота приложения импульсного напряжения. Для многих измерительных систем информация о системе соединений, таких как подвод высокого напряжения и расположение контура заземления, является достаточно важной. Если требуется, то приводится также описание на компоненты измерительной системы, включая, например, тип и их принадлежность к измерительной системе.
На измерительные системы или их компоненты, изготовленные до даты издания настоящего стандарта, могут не распространяться требования на некоторые пункты типовых и приемо-сдаточных испытаний. В этом случае эксплуатационные испытания и проверки, проведенные в соответствии с более ранними изданиями стандартов, считаются действительными при условии, что они подтверждают стабильность масштабного коэффициента. Результаты этих предыдущих испытаний и проверок также вносятся в паспорт измерительной системы.
Для измерительных систем, включающих взаимозаменяемые единицы оборудования, может быть изготовлен единый паспорт измерительной системы, включающий все возможные комбинации, с минимальным дублированием. В частности, каждое преобразовательное устройство должно быть описано отдельно, а системы передачи измеряемого сигнала и измерительные приборы могут быть указаны обобщенно.
4.5. Условия эксплуатации
Измерительная система должна быть подключена непосредственно к вводам испытуемого объекта или таким образом, чтобы разность (падение) напряжения на вводах испытуемого объекта и измерительной системы была бы незначительной.
Примечание 1. Паразитная связь между испытательной и измерительной цепями должна быть минимизирована.
Примечание 2. Измерительная система для измерения токов должна подключаться последовательно к испытываемому объекту.
Измерительная система должна иметь неопределенность в пределах, нормированных в настоящем стандарте, в заданных рабочем диапазоне и рабочих условиях, приведенных в паспорте измерительной системы, а также в отсутствие влажности и загрязнения.
Если не определено иначе, то измерительные системы постоянного, переменного напряжений, а также токов должны быть спроектированы для непрерывного режима работы. В противном случае время работы таких измерительных систем должно быть указано.
Примечание 3. Рекомендуемое минимальное непрерывное время работы - 1 час.
Для импульсного напряжения должна быть указана максимальная скорость подачи импульсов.
Примечание 4. Рекомендуемое минимальное значение максимальной скорости подачи - один или два импульса в минуту, и выбирается в зависимости от указанного диапазона преобразовательного устройства.
Диапазон условий эксплуатации для компонентов измерительной системы должен соответствовать требованиям настоящего стандарта.
4.6. Неопределенность
Неопределенность всех измерений, сделанных в рамках настоящего стандарта, должна соответствовать рекомендациям Руководства ISO/IEC Guide 98-3.
Методики оценки неопределенностей, представленные в настоящем стандарте, взяты из Руководства ISO/IEC Guide 98-3. Эти упрощенные методики, приведенные в
разделе 5 настоящего стандарта, можно считать достаточными для приборов и измерительных цепей, и они обычно используются при проведении высоковольтных испытаний, кроме того, пользователи могут выбрать из Руководства ISO/IEC Guide 98-3 дополнительные методы, некоторые из которых описаны в
Приложениях А и
Б.
Как правило, за измеряемую величину принимают масштабный коэффициент измерительной системы, но в некоторых случаях проводят измерения других величин, таких как

параметры импульсного напряжения и их соответствующие погрешности.
Примечание 1. Для отдельных преобразовательных устройств существуют другие общепринятые измеряемые величины. Например, делитель напряжения характеризуется коэффициентом деления и его неопределенностью в рабочем диапазоне измерений. Трансформатор напряжения характеризуется масштабным коэффициентом, углом фазового сдвига и их соответствующими неопределенностями.
В соответствии с Руководством ISO/IEC Guide 98-3 неопределенность измерения рассчитывается посредством комбинации составляющих неопределенности по типу A и по типу B (см.
5.10,
5.11 и
Приложение А). Составляющие неопределенности определяются по результатам измерений, из руководств по эксплуатации, сертификатов калибровки и по значимым результатам оценки влияющих факторов во время проведения измерений. Например, согласно
разделу 5 такими влияющими факторами могут быть температура и влияние близости окружающих объектов. Если необходимо, то могут быть добавлены и другие влияющие факторы, такие как, например, ограниченная разрешающая способность измерительного прибора.
Примечание 2. Разрешение измерительного прибора, ограниченное, например, одним или несколькими значимыми числами, может быть существенным источником неопределенности.
Обычно во время испытания прикладываемым напряжением, помимо неопределенности масштабного коэффициента, указанной в сертификате калибровки, полученной при его калибровке, еще необходимо учитывать и дополнительные влияющие факторы с тем, чтобы получить неопределенность измерения значения испытательного напряжения.
Некоторые рекомендации по определению составляющих неопределенности, которые необходимо учитывать, и их комбинации даны в разделе 5
Приложений А и
Б. Неопределенность должна быть дана в виде расширенной неопределенности с вероятностью охвата приблизительно равной 95%, соответствующей коэффициенту охвата k = 2, при нормальном законе распределения.
Примечание 3. В настоящем стандарте неопределенности масштабного коэффициента и измеряемого напряжения (согласно
5.2 -
5.10) выражаются относительными неопределенностями вместо абсолютных неопределенностей, рассмотренных в Руководстве ISO/IEC Guide 98-3. Пример непосредственного применения Руководства ISO/IEC Guide 98-3 и рассмотрение абсолютных неопределенностей для

параметров представлены в
5.11, а также в
Приложениях А и
Б.
5. Испытания и требования к испытаниям сертифицируемой
измерительной системы и ее компонентов
5.1. Общие требования
Приписанный масштабный коэффициент измерительной системы должен быть определен при ее калибровке в соответствии со спецификацией заводских или эксплуатационных испытаний. Приписанный масштабный коэффициент является единственным для специфицированного диапазона измерения. При необходимости может быть принято несколько рабочих диапазонов измерения с разными масштабными коэффициентами.
Также испытания импульсной измерительной системы должны показывать, что ее динамические характеристики соответствуют специфицированным измерениям и что уровень каких-либо помех меньше допустимых пределов.
Из-за крупногабаритных размеров оборудования и специфических условий эксплуатации предпочтительно проводить испытания (калибровку, поверку) рабочей измерительной системы на месте ее эксплуатации посредством сличения с эталонной измерительной системой.
Малогабаритные измерительные системы и их компоненты могут быть транспортированы в другую лабораторию для испытаний (калибровки, поверки) по аналогичным условиям эксплуатации, схеме и при условии, что испытания на помехи при необходимости проводятся на месте эксплуатации оборудования.
Если преобразовательное устройство подвержено влиянию эффекта близости окружающих объектов, определяется и вносится в паспорт диапазон допустимых значений расстояний, при которых приписанный масштабный коэффициент остается в допуске. Могут быть установлены один или несколько диапазонов допустимых расстояний до ближайших объектов и соответствующих им масштабных коэффициентов.
Масштабный коэффициент сертифицируемой измерительной системы должен быть определен в специфицированном диапазоне измерений предпочтительно методом сличения с эталонной измерительной системой. Однако эталонная измерительная система не всегда приемлема для высоких напряжений, поэтому сличения могут проводиться и при напряжениях ниже 20% от специфицированного диапазона измерений при условии, что будет проведено определение линейности сертифицируемой измерительной системы от этой точки до верхней границы ее специфицированного рабочего диапазона измерений. Для такого случая может быть использован один из методов, представленных в
5.3.
Все оборудование, используемое для определения масштабных коэффициентов измерительных систем, должно иметь калибровки (поверки), прослеживаемые от национальных или/и международных эталонов.
Примечание. Калибровку, проведенную НМИ или лабораторией, аккредитованными на данные виды работ, считают прослеживаемой к национальным или/и международным эталонам.
Условия, значимые для результата калибровки (поверки) сертифицируемой измерительной системы, должны быть указаны в паспорте измерительной системы.
5.2. Калибровка - определение масштабного коэффициента
5.2.1. Калибровка сертифицируемых измерительных систем методом их сличения с эталонной измерительной системой (предпочтительный метод)
Масштабные коэффициент(ы) определяют(ся) для полностью укомплектованной измерительной системы методом ее сличения с эталонной измерительной системой.
Входное напряжение, используемое при калибровке, должно быть напряжением того же типа, частоты и формы сигнала, как и предписанное измеряемое напряжение. Если это условие не может быть выполнено, то в этом случае необходимо оценить влияние дополнительных составляющих относительной неопределенности.
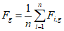
При сличении эталонная измерительная система, прослеживаемая от НМИ, должна быть подключена параллельно с калибруемой измерительной системой. Следует соблюдать осторожность и избегать соединений через цепь заземления между преобразовательным устройством(ами) и системой(ами) измерения. Регистрация результатов с обеих систем должна производиться одновременно. Значение входной величины, полученной при каждом измерении эталонной измерительной системой, делится на соответствующее значение, полученное с измерительного прибора испытуемой системы для получения значения Fi, т.е. ее масштабного коэффициента. Процедура повторяется n раз для получения среднего значения Fg масштабного коэффициента испытуемой измерительной системы для заданного уровня напряжения Ug. Среднее значение рассчитывают по формуле

.
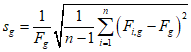
Среднеквадратическое стандартное отклонение sg значения масштабного коэффициента Fg рассчитывают по формуле

,
а относительную стандартную неопределенность по типу A u
g среднего значения масштабного коэффициента F
g рассчитывают по формуле, представленной в
Приложении А настоящего стандарта, т.е.

.
Примечание 1. Обычно достаточно n = 10 измеренных значений.
Примечание 2. Для измерения постоянного и переменного напряжений следует приложить напряжение и зарегистрировать n измеренных значений или подавать напряжение n раз, каждый раз регистрируя измеренное значение. Для импульсных напряжений измеряют n приложенных импульсов.
Измерительная система с несколькими специфицированными рабочими диапазонами измерения (например, делитель напряжения с несколькими низковольтными плечами) или разными системами передачи измеряемого сигнала должна быть калибрована на каждом диапазоне и для каждой системы передачи измеряемого сигнала. Измерительные системы с вторичными аттенюаторами могут быть калиброваны только для одной конфигурации при условии, что при других конфигурациях и при других испытаниях нагрузка на выходе преобразовательного устройства остается постоянной. Для таких случаев полный диапазон вторичного аттенюатора(ов) должен быть калиброван отдельно.
Масштабный коэффициент должен быть определен в пределах специфицированного диапазона измерения одним или несколькими методами, описанными в 5.2.1.2 (предпочтительно),
5.2.1.3 и
5.2.2.
5.2.1.2. Сличения в полном специфицированном диапазоне измерений
Это испытание включает одновременное определение масштабного коэффициента и определение линейности. Определение масштабного коэффициента должно быть сделано методом непосредственного сличения с эталонной измерительной системой на минимальном и максимальном уровнях принятого рабочего диапазона измерения, и еще по крайней мере в трех, приблизительно равно расположенных промежуточных значениях (рисунок 2). При этом приписанный масштабный коэффициент F принимают равным среднему значению всех масштабных коэффициентов Fg, зарегистрированных при h уровнях напряжений

для h >= 5.
Рисунок 2. Калибровка методом сличения в полном
специфицированном диапазоне измерения
Стандартная неопределенность при определении значения приписанного масштабного коэффициента F рассчитывается по наибольшему значению из полученных стандартных неопределенностей по типу A (рисунок 3)

.
Рисунок 3. Бюджет составляющих неопределенности
при калибровке (пример для 5 уровней напряжения)
Влияние нелинейности масштабного коэффициента F оценивается как стандартная неопределенность по типу B и выражается формулой

.
Примечание 1. Округленное значение Fo может быть принято за масштабный коэффициент, если разность между Fo и F вводится в виде бюджета неопределенности по типу B при оценке расширенной неопределенности масштабного коэффициента Fo.
Примечание 2. Отдельные масштабные коэффициенты и их неопределенности при h уровнях напряжения должны быть указаны в сертификате калибровки.
5.2.1.3. Сличение в случае, когда диапазон напряжения сертифицируемой измерительной системы превышает диапазон напряжения эталонной измерительной системы
Когда установленный диапазон напряжения превышает возможности эталонной измерительной системы, масштабный коэффициент определяют методом сличения до максимального значения напряжения эталонной измерительной системы. Сличение начинают при напряжении от минимально возможного предела специфицированного диапазона измерения, например от 20% верхнего диапазона измерения (рисунок 4).
Рисунок 4. Калибровка методом сличения с дополнительным
испытанием на линейность
В этом случае к методу непосредственного сличения следует добавить метод проверки линейности согласно
5.3. Тогда при использовании измерительной системы составляющая неопределенности, полученная при методе проверки линейности, должна быть включена в расчет неопределенности измерения, см.
5.10.3.
Сличение с эталонной измерительной системой проводят при a >= 2 уровнях напряжения, где максимальный уровень равен максимальному напряжению эталонной измерительной системы. Испытание линейности проводят при b >= 2 уровнях напряжения, где первый из уровней обязательно должен быть равен максимальному уровню напряжения проведенного непосредственного сличения (см.
5.3).
Другие уровни напряжения выбирают таким образом, чтобы они включали по крайней мере минимальный (непосредственное сличение) и максимальный (проверка линейности) уровни специфицированного диапазона измерения, т.е.
a + b >= 6.
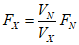
Приписанный масштабный коэффициент F принимается равным среднему значению всех масштабных коэффициентов, зарегистрированных эталонной измерительной системой при непосредственном сличении

.
Стандартная неопределенность по типу A масштабного коэффициента Fm принимается по наибольшему из полученных на разных уровнях значений неопределенности ug по формуле

,
а влияние составляющей неопределенности от нелинейности оценивается по формуле

.
Примечание. Округленное значение Fo может быть принято за приписанный масштабный коэффициент, если разность между Fo и F вводится в виде составляющей бюджета неопределенности по типу B в оценке расширенной неопределенности масштабного коэффициента Fo.
5.2.2. Определение масштабного коэффициента измерительной системы методом его расчета из масштабных коэффициентов ее компонентов (альтернативный метод)
Приписанный масштабный коэффициент измерительной системы может быть определен как производная из масштабных коэффициентов: преобразовательного устройства, системы передачи измеряемого сигнала, какого-либо вторичного аттенюатора и измерительного прибора.
Масштабный коэффициент преобразовательного устройства и системы передачи измеряемого сигнала или их комбинации может быть измерен одним из методов, приведенных ниже. Для системы передачи измеряемого сигнала, состоящей только из кабелей, отдельное проведение испытаний не требуется. Масштабный коэффициент измерительного прибора определяется согласно соответствующему стандарту (см., например, IEC 61083-1 и 61083-2) или посредством калибровки и испытания, указанных в
разделе 5 настоящего стандарта.
Определение масштабного коэффициента компонента системы может быть выполнено одним из следующих методов:
- метод сличения с эталонным компонентом (например, делитель напряжения сличают с эталонным делителем напряжения) или применяют точный низковольтный калибратор;
- метод одновременного измерения входных и выходных величин;
- мостовой метод или точные измерения масштабного коэффициента на низком напряжении;
- метод вычисления, основанный на измерениях полных сопротивлений.
Примечание 1. Следует удостовериться, что паразитная емкость или паразитная связь, а также взаимное влияние компонентов системы учтены при измерениях.
Для каждого компонента измерительной системы должна быть проведена оценка составляющих неопределенности по типу A и по типу B (см.
5.2 и
5.9) и рассчитана суммарная неопределенность для каждого компонента (см.
5.10) с учетом неопределенностей, используемых для калибровки измерительных устройств.
Примечание 2. Оценка составляющих неопределенности методом покомпонентной калибровки требует анализа каждого компонента системы в полном диапазоне рабочих условий - напряжения, температуры, эффекта близости от окружающих объектов и т.д., которые могут повлиять на результат. Этот анализ является сложным и требует глубокого понимания измерительного процесса.
Расширенную неопределенность для измеряемого напряжения получают комбинацией суммарных неопределенностей всех компонентов согласно Руководству ISO/IEC Guide 98-3 (см.
Приложения А и Б,
пример Б.2).
Оценка неопределенности измерения временного параметра должна применяться согласно
5.11 и соответствовать методу оценки при измерении напряжения.
5.3. Испытание на линейность
Испытания на линейность предназначены для подтверждения достоверности масштабного коэффициента в диапазоне от максимального напряжения, на котором проводилась калибровка непосредственным сличением с эталонной измерительной системой согласно
5.2.1.3, до верхнего предела специфицированного диапазона измерения
(рисунок 4).
При испытании на линейность выходной сигнал сертифицируемой измерительной системы должен сравниваться с данными прибора или с показаниями какой-либо другой измерительной системы, которые имеют проверенную линейность или которые могут считаться линейными во всем специфицированном диапазоне напряжения (см.
5.3.2). Невозможность проверить линейность при помощи этого метода не обязательно является подтверждением нелинейности системы. Однако при этом следует выбрать другое подходящее испытание на линейность. Соотношение значений между измерительной системой и сличаемыми с ней прибором или системой должно быть установлено согласно
5.2.1.1 для b различных уровней напряжения, т.е. от уровня, при котором уже был определен масштабный коэффициент, до верхнего предела специфицированного диапазона измерения
(рисунок 4).
Оценка нелинейности основана на максимальном отклонении коэффициентов R
g от его среднего значения R
m при b отношений измеряемого испытуемой системой напряжения к соответствующему напряжению сличаемого линейного прибора. Максимальное отклонение принимают как неопределенность по типу B в оценке стандартной неопределенности в случае, когда применяется проверка нелинейности масштабного коэффициента в расширенном диапазоне напряжений
(рисунок 5).

.
F1, F2 - масштабные коэффициенты, определенные
при калибровке с помощью эталонного делителя в диапазоне
калибровки;
u1, u2 - стандартные неопределенности масштабных
коэффициентов F1 и F2;
F - среднее значение F1 и F2;
R1...Rb - отношения, определенные в расширенном диапазоне
напряжения при испытании на линейность;
Rm - среднее значение отношений, определенное с помощью
линейного прибора, в расширенном диапазоне напряжения;
uB1 - стандартная неопределенность по типу B, вызванная
нелинейностью масштабного коэффициента в расширенном
диапазоне напряжений.
Рисунок 5. Испытание измерительной системы на линейность
с помощью линейного прибора в полном диапазоне напряжений
5.3.2. Методы испытания на линейность
5.3.2.1. Сличение с сертифицированной измерительной системой
Выход испытуемой измерительной системы может быть проверен сравнением с выходом уже сертифицированной измерительной системы согласно процедурам, описанным в
5.3.1. При этом линейность сертифицированной измерительной системы должна быть установлена эталонным методом в ходе ее калибровки согласно
5.2.
5.3.2.2. Сличение с входным напряжением линейного высоковольтного генератора
Выход испытуемой измерительной системы должен сравниваться с напряжением линейного высоковольтного генератора с учетом уровней напряжения, указанных в
5.3.1.
Примечание 1. Этот метод достаточно часто применяется, когда имеется возможность измерения зарядного напряжения многоступенчатого импульсного генератора или измерения входного переменного напряжения многоступенчатого генератора постоянного напряжения.
Примечание 2. Следует обратить внимание на то, чтобы все ступени генератора напряжения имели равномерную зарядку. Необходимо выдерживать достаточное время для полной зарядки всех ступеней до запуска генератора.
5.3.2.3. Сличение с выходом прибора для измерения напряженности электрического поля (зондом электрического поля)
Испытуемая измерительная система может быть проверена сравнением с системой измерения напряженности электрического поля, которая предназначена для измерения напряженности электрического поля, выполненной таким образом, что напряженность электрического поля пропорциональна измеряемому напряжению. Система измерения электрического поля должна обеспечивать передаточную характеристику, соответствующую типу измеряемого напряжения.
Примечание 1. Метод применим до напряжения возникновения короны (см. IEC 60270).
Примечание 2. Метод применим как для напряжения переменного тока, так и для импульсных напряжений.
5.3.2.4. Сличение со стандартным разрядником в соответствии с IEC 60052
Измерительная система переменного напряжения или измерительная система грозовых и коммутационных импульсов могут быть проверены сличением со сферическим разрядником. При проверке измерительной системы постоянного напряжения используют разрядник стержень-стержень. В обоих случаях сличение проводится согласно требованиям IEC 60052.
Проверку линейности следует проводить за достаточно короткое время, чтобы не допустить изменения условий окружающей среды и не вводить в расчет соответствующие поправки. В противном случае необходимо вводить поправки, основанные на зарегистрированных атмосферных условиях согласно IEC 60060-1.
5.3.2.5. Метод для многосекционных преобразовательных устройств (делителей напряжения)
Для преобразовательных устройств, состоящих из нескольких идентичных высоковольтных секций (ступеней), следует проводить следующие испытания:
- испытания на полностью собранном образце устройства (оборудованном экранами) согласно требованиям
разделов 6 -
9;
- измерение емкости или/и сопротивления каждой высоковольтной секции прикладыванием напряжения для 5 равноудаленных уровней (аналогично, как указано в
5.2.1.2). При этом масштабный коэффициент рассчитывают для каждого уровня напряжения из значений емкости или/и сопротивления и соответствующих им значений плеча низкого напряжения;
- проверка преобразовательного устройства в сборе на предмет влияния короны и других влияющих факторов на верхнем пределе рабочего диапазона измерения.
Примечание. Значимыми влияниями являются видимые или слышимые эффекты короны или наличие тока утечки.
5.4. Динамические характеристики
5.4.1. Общие положения
Передаточная характеристика компонента или измерительной системы в целом должна быть определена в условиях, соответствующих условиям эксплуатации, в частности с учетом расстояний до заземленных и находящихся под напряжением конструкций. Рекомендованными методами являются определение амплитудно-частотной характеристики для измерительных систем постоянного и переменного напряжений и определение масштабных коэффициентов и

параметров импульсных напряжений для нижней и верхней границ в верхнем и нижнем диапазонах значений номинального

диапазона для импульсных напряжений
(5.4.3). Дополнительная информация для измерений переходной характеристики представлена в
Приложении В.
Определение относительной стандартной неопределенности по типу B применительно к динамическим характеристикам задано формулой

,
где k - количество значений измеренного масштабного коэффициента в пределах частотного диапазона или в пределах диапазона временных импульсных параметров, соответствующих номинальному временному диапазону;
Fi - индивидуальный масштабный коэффициент для каждого измерения;
F - среднее значение масштабного коэффициента в границах номинального временного диапазона.
5.4.2. Определение амплитудно-частотной характеристики
Измерительная система или ее компонент подвергаются воздействию синусоидального входного сигнала известной амплитуды (обычно на низком уровне), и при этом измеряется выходной сигнал. Данное измерение повторяется в соответствующем диапазоне частот. Отклонение масштабного коэффициента оценивают в соответствии с указанной выше
формулой (5.4.1).
5.4.3. Метод сравнения сертифицируемой импульсной измерительной системы напряжения с эталонным импульсным напряжением
Сравнения с эталонным импульсным напряжением при определении масштабного коэффициента согласно
5.2 используют в пределах номинального временного диапазона и затем производят оценку бюджета неопределенности напряжения и временных параметров измерения согласно
формуле 5.4.1.
Примечание. Дополнительная информация по определению и оценке переходных характеристик представлена в
Приложении В.
5.5. Краткосрочная стабильность
К испытуемой измерительной системе должно непрерывно (или в случае импульсных испытаний - со специфицированной частотой приложения) прикладываться максимальное напряжение специфицированного диапазона измерения в течение периода, соответствующего предполагаемому применению. Масштабный коэффициент должен быть измерен до подачи напряжения и сразу же после снятия напряжения (в пределах 10 мин).
Примечание 1. Испытание краткосрочной стабильности предназначено для проверки влияния самонагрева преобразовательного устройства.
Примечание 2. Период подачи напряжения не должен превышать рабочее время эксплуатации, но может быть сокращен до периода, достаточного для достижения температурного равновесия.
Результатом испытания является оценка изменения масштабного коэффициента в пределах времени приложения напряжения, которая выражается неопределенностью по типу B и оценивается как

,
где Fдо и Fпосле - масштабные коэффициенты, определенные до и после испытаний краткосрочной стабильности.
5.6. Долгосрочная стабильность
Для продолжительного

интервала должна быть рассчитана и оценена долгосрочная стабильность масштабного коэффициента, которая обычно оценивается расчетом неопределенности за планируемый период эксплуатации (обычно до следующей калибровки), T
use (T
использования). Оценка должна быть основана на данных производителя или результатах серии эксплуатационных испытаний. Результатом оценки является степень изменения приписанного масштабного коэффициента. Данная оценка входит в стандартную неопределенность по типу B

,
где F1 и F2 - масштабные коэффициенты двух последовательных эксплуатационных испытаний за период времени от T1 до T2.
В случаях, когда доступны результаты нескольких эксплуатационных испытаний, долгосрочная стабильность может быть охарактеризована составляющей неопределенности по типу A

,
где Fi - результаты повторных эксплуатационных испытаний масштабных коэффициентов;
Fm - среднее значение масштабных коэффициентов;
Tmean - средний временной интервал.
Примечание. За интервал испытания долгосрочной стабильности обычно принимают один год.
5.7. Температурная зависимость
Масштабный коэффициент измерительной системы может зависеть от изменений температуры окружающего воздуха. Это влияние определяется экспериментально путем определения масштабного коэффициента при различных значениях температуры окружающего воздуха или обработкой данных, основанных на особенностях ее компонентов. Результаты испытаний или расчетов следует включать в паспорт измерительной системы.
Результатом испытаний или расчетов является оценка степени изменений масштабного коэффициента в зависимости от температуры окружающего воздуха. При этом относительная стандартная неопределенность по типу B оценивается по формуле

,
где FT - масштабный коэффициент при заданной температуре;
F - масштабный коэффициент при температуре во время калибровки.
Примечание 1. Если отклонение FT от F больше чем 1%, то рекомендуется применить температурную коррекцию масштабного коэффициента.
Примечание 2. Влияние самонагрева относится к испытанию краткосрочной стабильности.
Примечание 3. Поправочный температурный коэффициент, применяемый к масштабному коэффициенту, имеет смысл использовать для случаев, когда температура окружающего воздуха изменяется в широком диапазоне. Температурная коррекция является неопределенностью uB5 поправочного температурного коэффициента и также может быть учтена как составляющая неопределенности.
5.8. Эффект близости окружающих объектов
Изменения масштабного коэффициента преобразователя или характеристик измерительного прибора из-за эффектов близости окружающих объектов могут быть определены измерениями, выполненными при различных расстояниях этих измерителей до заземленных и находящихся под напряжением конструкций.
Результатом испытания является оценка степени изменения масштабного коэффициента, которая может быть выражена составляющей стандартной неопределенности по типу B и рассчитана по формуле

,
где Fmax и Fmin - масштабные коэффициенты при максимальном и минимальном расстоянии до других объектов.
Примечание 1. Различные значения uB6 могут быть даны для разных диапазонов расстояний.
Примечание 2. Некоторые испытательные лаборатории могут выбрать для сертификации их измерительных систем одно или несколько определенных расстояний или диапазон расстояний.
5.9. Проверка влияния программного обеспечения
Способ обработки и оценки измеренных данных с помощью программного обеспечения может оказывать влияние на неопределенность измерения. Оценка программного обеспечения производится путем анализа результатов испытания с установленными эталонными значениями. Тестовые данные для импульсных напряжений представлены в IEC 61083-2.
Результатом оценки является определение степени влияния обработки тестовых данных, что выражается составляющей uB7 относительной стандартной неопределенности по типу B.
5.10. Расчет неопределенности масштабного коэффициента
Ниже представлена упрощенная процедура определения расширенной неопределенности приписанного масштабного коэффициента F измерительной системы. Она основана на нескольких допущениях, которые в большинстве случаев могут быть правомерными, но должны быть подтверждены в каждом отдельном случае. Основные допущения:
a) нет взаимной зависимости между измеряемыми величинами;
b) предполагается, что стандартные неопределенности, рассчитанные методом по типу B, имеют прямоугольный (равномерный) закон распределения;
c) наибольшие три составляющие неопределенности в бюджете неопределенности имеют приблизительно равное значение.
Эти допущения позволяют произвести процедуру оценки расширенной неопределенности масштабного коэффициента F как при калибровке измерительной системы, так и при ее использовании для проведения измерений.
Расширенная неопределенность калибровки Ucal складывается из неопределенности эталонной измерительной системы и наличия других влияющих величин, таких например, как стабильность эталонной измерительной системы и ее климатическая стабильность во время калибровки.
В свою очередь, расширенная неопределенность измерения U
M определяемой величины складывается из неопределенности калибровки масштабного коэффициента сертифицированной измерительной системы и наличия других влияющих величин, представленных в
5.10.3, таких например, как стабильность сертифицированной измерительной системы и ее климатическая стабильность во время измерения, поскольку эти факторы, как правило, не учитываются в сертификате калибровки (калибровка проводится при нормальных условиях).
Другие методы оценки неопределенности указаны в Руководстве ISO/IEC Guide 98-3, а также в
Приложениях А и
Б.
5.10.2. Неопределенность калибровки
Относительная расширенная неопределенность калибровки масштабного коэффициента сертифицируемой измерительной системы Ucal рассчитывается из неопределенности эталонной измерительной системы и неопределенностей по типу A и по типу B, представленных в настоящем разделе,

,
где k = 2 - коэффициент охвата для приблизительно 95%-ной вероятности и нормального закона распределения;
uref - суммарная стандартная неопределенность масштабного коэффициента эталонной измерительной системы, определенная при ее калибровке;
uA - неопределенность по типу A, рассчитанная при определении масштабного коэффициента сертифицируемой измерительной системы;
u
B0 - составляющая стандартной неопределенности от нелинейности, выявленная в ходе калибровки масштабного коэффициента сертифицируемой измерительной системы (см.
5.2);
u
Bi - составляющие суммарной стандартной неопределенности масштабного коэффициента, вызванные i-й влияющей величиной и оцениваемые как составляющие неопределенности по типу B
(Приложение А). Все эти составляющие относятся к эталонной измерительной системе и исходят от ее нелинейности, краткосрочной и долгосрочной нестабильности и других влияющих величин, и определяются либо посредством дополнительных измерений, либо оценкой по другим источникам данных в соответствии с
5.3 -
5.9.
Необходимо также учитывать факторы, влияющие на сертифицируемую измерительную систему, такие как ее долгосрочная стабильность и разрешающая способность измерения, если они имеют существенное значение в ходе ее калибровки.
Примечание. Если калибровка проводится на полном специфицированном диапазоне измерения (см.
5.2.1.2), отдельного испытания на линейность не требуется (см.
5.3).
В случаях, когда перечисленные выше допущения неприменимы, используют методы, указанные в
Приложении А, или, если необходимо, методы, указанные в Руководстве ISO/IEC Guide 98-3.
Количество N составляющих неопределенности по типу B может отличаться для разных типов испытательных напряжений (
разделы 6 -
9). Подробная информация по составляющим неопределенности по типу B дана в соответствующих разделах.
Если масштабный коэффициент сертифицируемой измерительной системы рассчитывается из коэффициентов ее компонентов
(5.2.2), то стандартная неопределенность калибровки компонентов должна быть объединена с неопределенностями, выявленными для условий эксплуатации измерительной системы и ее окружающей среды (см.
Приложение А).
5.10.3. Неопределенность измерения при применении сертифицированной измерительной системы
Пользователь сертифицированной измерительной системы несет ответственность за оценку расширенной неопределенности измерения значения испытательного напряжения, а также при калибровке других, менее точных измерительных систем, и если данная оценка будет дана для другого диапазона условий измерения, отличного от указанного в сертификате калибровки сертифицированной измерительной системы.
Относительную расширенную неопределенность измерения значения испытательного напряжения UM рассчитывают из суммарной стандартной неопределенности приписанного масштабного коэффициента, определенного при калибровке сертифицированной измерительной системы, и из дополнительных составляющих неопределенности по типу B, как это разъяснено в настоящем разделе,

,
где k = 2 - коэффициент охвата для приблизительно 95%-ной вероятности и нормального закона распределения;
uM - суммарная стандартная неопределенность измерения с помощью применяемой сертифицированной измерительной системы, действительная в течение запланированного времени использования, например интервала времени между калибровками;
ucal - суммарная стандартная неопределенность масштабного коэффициента сертифицированной измерительной системы, определенная при ее калибровке;
u
Bi - составляющие суммарной стандартной неопределенности масштабного коэффициента сертифицированной измерительной системы, вызванные i-ой влияющей величиной (фактором) и оцениваемые как составляющие неопределенности по типу B. Эти составляющие относятся к нормальным условиям эксплуатации сертифицированной измерительной системы и исходят от ее нелинейности, краткосрочной и долгосрочной нестабильности и других влияющих величин, и определяются либо посредством дополнительных измерений, либо оценкой по другим источникам данных в соответствии с
5.3 -
5.9.
Также необходимо учитывать факторы влияния, которые могут относиться и к испытуемой измерительной системе при ее калибровке с помощью сертифицированной измерительной системы, например такие, как ее разрешающая способность измерения, стабильность и др., если они имеют существенное значение при измерении заданного параметра.
Примечание. Сертификат калибровки может содержать как информацию по неопределенности калибровки Ucal, так и значение относительной расширенной неопределенности измерения испытательного напряжения Um в случае, когда сертифицированная измерительная система используется для предписанных условий применения.
В случае, когда перечисленные в
5.10.1 допущения неприемлемы, используют методы, указанные в
Приложении А, или, если необходимо, методы, указанные в Руководстве ISO/IEC Guide 98-3.
Количество N составляющих неопределенности по типу B может отличаться для разных типов испытательных напряжений (
разделы 6 -
9, параметры напряжения и временные параметры).
5.11. Расчет неопределенности измерения временных параметров (только для импульсного напряжения)
5.11.1. Общие положения
Сертифицированная измерительная система импульсных напряжений должна измерять временные параметры (T
1 T
2, T
p, T
c) в указанных пределах неопределенности при условии, что измеряемый параметр находится внутри ее предписанного номинального временного диапазона. Для времени нарастания (длительности переднего) фронта таким обычно является его номинальный временной диапазон времени нарастания (длительности переднего) фронта. Экспериментальное подтверждение измерения временных характеристик может быть достигнуто либо методом сличений, либо покомпонентным методом. Также данное подтверждение может быть достигнуто расчетным методом с использованием метода свертки, основанного на экспериментальной переходной характеристике (
Приложения В и
Г).
Основная процедура оценки временных параметров и их неопределенностей дана для времени нарастания (длительности переднего) фронта T
1, определяемого методом сличения (см. пример в
разделе Б.3). Такая же процедура оценки также приемлема и для других временных параметров.
Примечание. Следует помнить, что оценку результатов неопределенности временных параметров дают в абсолютных значениях неопределенности.
5.11.2. Неопределенность временных параметров при калибровке сертифицируемой измерительной системы
Время нарастания (длительность переднего) фронта T
1 при количестве n импульсов напряжений следует оценивать для испытуемой (калибруемой) сертифицируемой измерительной системы, обозначенной X, по эталонной измерительной системе, обозначенной N, одновременным измерением параметра. При этом точность эталонной измерительной системы должна быть такова, чтобы ее погрешность можно было не учитывать (см.
примечание 3). Среднее значение результата погрешности времени нарастания (длительности переднего) фронта рассчитывают по формуле

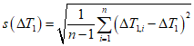
,
а среднеквадратическое стандартное отклонение этого результата рассчитывают по формуле

,
где

- i-я разность времени нарастания (длительности переднего) фронта, измеренная системами X и N.
Примечание 1. Обычно снимают не более n = 10 независимых результатов.
Примечание 2. В общем случае время нарастания (длительность переднего) фронта оценивают по тем же зарегистрированным результатам X и N, используемым и для оценки амплитудных значений при определении масштабного коэффициента
(5.2.2).
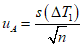
Используя полученное значение

, вычисляют стандартную неопределенность по типу A

.
Сличение проводят на соответствующем уровне напряжения с фиксированием не менее двух значений времени нарастания (длительности переднего) фронта, включающих минимальные и максимальные значения T
1 для номинального временного диапазона, в котором сертифицируют измерительную систему. Также можно добавить дополнительное значение T
1 в средней точке номинального временного диапазона. Стандартная неопределенность по типу A измерения временного параметра есть наибольшее значение отдельных стандартных неопределенностей, полученных для разных значений T
1. Для каждого отдельного значения T
1 по формуле, приведенной ниже, рассчитывают среднюю погрешность

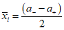
. Обобщенное среднее значение погрешности при m >= 2 определяется как

.
Максимальную разность между отдельными значениями

и их средним значением

используют для определения неопределенности по типу B u
B по формуле

.
Примечание 3. В особом случае эталонная измерительная система N также может быть охарактеризована ее средним значением погрешности времени нарастания (длительности переднего) фронта, определяемым

в соответствии с ее сертификатом калибровки в номинальном временном диапазоне.
Полученную в результате погрешность калибруемой системы X, предназначенной для измерения времени нарастания (длительности переднего) фронта, рассчитывают по формуле

.
Расширенная неопределенность калибровки временного параметра, т.е. полученного результата среднего значения погрешности

, определяется по формуле

,
где u
cal - суммарная стандартная неопределенность результата среднего значения погрешности времени нарастания (длительности переднего) фронта

калибруемой измерительной системы;
k = 2 - коэффициент охвата для приблизительно 95%-ной вероятности и нормального закона распределения;
u
ref - суммарная стандартная неопределенность результата среднего значения погрешности времени нарастания (длительности переднего) фронта

эталонной измерительной системы;
u
A - стандартная неопределенность по типу A результата среднего значения погрешности времени нарастания (длительности переднего) фронта

калибруемой сертифицируемой измерительной системы;
u
B - стандартная неопределенность по типу B результата среднего значения погрешности времени нарастания (длительности переднего) фронта

калибруемой сертифицируемой измерительной системы.
В некоторых случаях могут быть важными дополнительные составляющие расширенной неопределенности Ucal, и они должны быть также учтены.
5.11.3. Неопределенность измерения временных параметров при применении сертифицированной измерительной системы
Пользователь сертифицированной измерительной системы несет ответственность за оценку, с ее помощью, расширенной неопределенности измерения временных параметров испытательного напряжения, а также если данная оценка будет дана для другого диапазона условий измерения, отличного от указанного в сертификате калибровки сертифицированной измерительной системы.
Примечание. Если расширенная неопределенность калибровки временного параметра составляет меньше 70% специфицированной расширенной неопределенности, указанной в настоящем стандарте, то в общем случае может быть принято, что неопределенность используемой сертифицированной измерительной системы для измерения временных параметров UM является равной Ucal.
Расширенная неопределенность измерения временных параметров UM вычисляется по формуле

,
где u
cal - суммарная стандартная неопределенность результата среднего значения погрешности времени нарастания (длительности переднего) фронта

сертифицированной измерительной системы;
k = 2 - коэффициент охвата для приблизительно 95%-ной вероятности и нормального закона распределения;
u
Bi - составляющая суммарной стандартной неопределенности временного параметра импульса используемой сертифицированной измерительной системы, вызванная i-й влияющей величиной и оцениваемая как составляющая неопределенности по типу B. Эти составляющие относятся к нормальным условиям эксплуатации сертифицированной измерительной системы и вызываются, например, долгосрочной нестабильностью, влиянием программного обеспечения и другими влияющими величинами (факторами), а также влиянием импульсов, имеющих нестандартную форму. Эти составляющие определяются в соответствии с
5.3 -
5.9 и базируются либо на дополнительных измерениях, либо на оценке по другим источникам данных. В некоторых случаях учитывают дополнительные влияния, такие как разрешение дисплея прибора;
uM - суммарная стандартная неопределенность измерения временного параметра импульсного напряжения с помощью сертифицированной измерительной системы (действительна только в течение запланированного времени применения).
В некоторых случаях необходимо учитывать дополнительные составляющие расширенной неопределенности при расчете UM, например когда время нарастания (длительность переднего) фронта импульса напряжения сопровождается колебаниями на фронте.
Примечание. Когда сертифицированная измерительная система используется для измерения импульсного напряжения без искажений формы волны, измеряемый временной параметр T
1meas может быть скорректирован с помощью поправки

к соответствующему временному параметру, определенному при калибровке,

.
Аналогичная процедура может быть использована при измерении других временных параметров. Оценка расширенной неопределенности скорректированного временного параметра T
1corr должна производиться в соответствии с
примером Б.3 Приложения Б.
5.12. Испытания на воздействие помех (система передачи измеряемого сигнала и прибор для измерения импульсного напряжения)
Испытание должно проводиться на измерительной системе при ее обычной конфигурации, т.е. расположенных без изменения заземляющих подключений кабеля и/или системы передачи измеряемого сигнала, но при отсоединенных от нее кабеле или/и системе передачи измеряемого сигнала и их закороченных входах. При этом на входе измерительной системы следует создавать помехи, наведенные завершенным разрядом, возникающим при импульсных напряжениях определенной формы в ходе проведения высоковольтных испытаний. Помехи на выходе прибора должны быть зарегистрированы.
Примечание. Для защиты выхода преобразовательного устройства (делителя напряжения) от перенапряжений следует закоротить выход делителя напряжения.
Коэффициент помех следует определять как отношение максимальной амплитуды измеренных помех к предполагаемому выходному сигналу измерительной системы, если бы кабель и система передачи измеряемого сигнала были подключены и проводилось бы измерение испытательного напряжения.
Прибор считается выдержавшим испытание на воздействие помехи, если максимальная амплитуда измеренной помехи меньше 1% предполагаемого выходного сигнала измерительной системы при измерении испытательного напряжения. Помехи свыше 1% допустимы только при условии, что это не оказывает влияния на результат измерения.
5.13. Испытания на устойчивость преобразовательного устройства к перенапряжению
Преобразовательное устройство должно выдерживать испытания на устойчивость к перенапряжению в условиях сухой окружающей среды при воздействии напряжения с нормируемым значением требуемой частоты или/и формы волны.
Примечание 1. Рекомендуемый уровень испытания на устойчивость к перенапряжению составляет 110% номинального значения рабочего напряжения. Методы испытаний на устойчивость представлены в IEC 60060-1.
Испытания на устойчивость должны быть проведены в той полярности (полярностях), для работы в которой предназначена эксплуатация системы.
Испытания на устойчивость к влажности и загрязнению окружающей среды, если указано, проводят в рамках типовых испытаний.
Примечание 2. Дизайн и конструкция любого компонента сертифицируемой измерительной системы должны быть выполнены таким образом, чтобы выдержать пробивной разряд на объект испытания без изменения своих характеристик.
6. Измерение постоянного напряжения
6.1. Требования к сертифицируемой измерительной системе
6.1.1. Общие положения
Основным требованием к сертифицируемой измерительной системе постоянного напряжения является измерение величины испытательного напряжения согласно IEC 60060-1 (среднее арифметическое значение) с расширенной неопределенностью UM <= 3%.
Пределы неопределенности не должны быть превышены при пульсациях, величина которых находится в границах, указанных в IEC 60060-1.
Примечание. Следует обратить внимание на возможное присутствие составляющих переменных напряжений, проникающих в измерительную систему и воздействующих на показания измерительного прибора.
6.1.2. Составляющие неопределенности
Для сертифицируемой измерительной системы напряжения постоянного тока расширенную неопределенность измерения U
M оценивают с коэффициентом охвата для примерно 95%-ной вероятности согласно
5.10.3 и при необходимости - в соответствии с
Приложениями А и
Б. Испытания, проводимые для выявления составляющих неопределенности, которые, как правило, должны учитываться, обобщены в таблице 1. В некоторых случаях могут проявляться другие дополнительные составляющие неопределенности, которые также могут быть важны, и они должны быть тоже учтены.
Таблица 1
Требования, предъявляемые к испытаниям сертифицируемой
измерительной системы напряжения постоянного тока
Тип испытания | Типовые испытания | Приемо-сдаточные испытания | Эксплуатационные испытания | Эксплуатационные проверки |
Определение масштабного коэффициента при калибровке | | | | |
Проверка масштабного коэффициента | | | | |
| | | (если применимо) | |
Проверка динамических характеристик | | | | |
Проверка краткосрочной стабильности | | | | |
Проверка долгосрочной стабильности | | | (если применимо) | |
Проверка влияния температуры окружающей среды | | | | |
Проверка эффекта близости окружающих объектов, см. примечание 3 | (если применимо) | | (если применимо) | |
Проверка влияния программного обеспечения | (если применимо) | | | |
Испытание на устойчивость преобразовательного устройства в условиях сухой окружающей среды | | (если применимо) | | |
Испытание на устойчивость преобразовательного устройства выдерживаемым напряжением под дождем или в условиях загрязнения | (если применимо) | | | |
Определение масштабного коэффициента преобразовательного устройства | | | | |
Определение масштабного коэффициента системы передачи измеряемого сигнала (если требуется) | | | | |
Определение масштабного коэффициента измерительного прибора | | | | |
Ответственность | на компоненты, производителем | |
Рекомендуемый интервал повторения | единоразово (типовые и приемо-сдаточные испытания) | рекомендуется ежегодно, но не реже 1 раза в 5 лет | в зависимости от стабильности, но не реже 1 раза в год |
Примечание 1. Вышеперечисленные испытания также проводят для отдельных компонентов, если эксплуатационные испытания проводят альтернативным методом (см. 5.2.2). Для определения неопределенности измерения сертифицируемой измерительной системы, состоящей из этих компонентов, см. Приложение Б. Примечание 2. Испытание на линейность согласно 5.3 требуется, только если невозможно проведение калибровки методом сличения в пределах всего принятого рабочего диапазона (см. 5.2.1.2). Примечание 3. Влияние близости окружающих объектов может быть вызвано эффектом короны и связанным с ней действием объемного заряда. Проверка эффекта близости окружающих объектов при эксплуатационных испытаниях необходима только в случае, если данных типовых испытаний недостаточно. |
6.1.3. Требования к преобразовательному устройству
Преобразовательное устройство для напряжения постоянного тока обычно представляет собой резистивный делитель напряжения или измерительное сопротивление (высоковольтный резистор) и должно быть выполнено таким образом, чтобы можно было быть уверенным, что токи утечки по поверхности его внешней изоляции оказывают незначительное влияние на неопределенность измерения.
Примечание. Для того чтобы быть уверенным, что влияние тока утечки является несущественным, необходимо, чтобы измеряемый ток был более 0,5 мА при номинальном значении напряжения.
6.1.4. Динамические характеристики
Динамические характеристики сертифицируемой измерительной системы напряжения постоянного тока для измерения колебаний напряжения постоянного тока достаточно важны.
При измерении напряжения постоянного тока, которое растет или снижается со скоростью порядка 1% испытательного напряжения в секунду, постоянная времени высоковольтной измерительной системы не должна превышать 0,25 с.
Примечание. Обычно приборы, используемые для измерения значений испытательного напряжения постоянного тока (т.е. среднего арифметического значения), не подвержены влиянию присутствующих пульсаций. Однако если используются приборы со скоростной передаточной характеристикой, может возникнуть необходимость удостовериться в том, что пульсации не оказывают существенного влияния на измерения.
В случае, когда при проведении испытаний в условиях загрязнения требуется измерение кратковременного падения напряжения в переходном режиме, постоянная времени измерительной системы должна быть меньше, чем одна треть времени нарастания переходного напряжения.
6.2. Испытания измерительной системы постоянного напряжения
Испытания в соответствии с
разделом 5, перечисленные в
таблице 1, являются обязательными как для сертификации измерительной системы и ее компонентов, так и для оценки расширенной неопределенности измерения, за исключением представленных в
4.4.2.
Результаты типовых и приемо-сдаточных испытаний могут быть подготовлены на основе данных производителя. Приемо-сдаточные испытания следует проводить на каждом из компонентов.
6.3. Эксплуатационная проверка (поверка)
6.3.1. Общие положения
Масштабный коэффициент(ы) сертифицированной измерительной системы проверяется (поверяется) одним из следующих методов.
6.3.2. Сличение с более точной сертифицированной измерительной системой
Сличение должно проводиться с другой, более точной (эталонной) сертифицированной измерительной системой по методике
5.2 или с помощью разрядника типа стержень-стержень в соответствии с рекомендациями IEC 60052. Если разность между двумя измеренными значениями находится в пределах +/- 3%, то приписанный масштабный коэффициент считается легитимным. Если разность больше, то должны быть проведены работы по обнаружению причины и, если необходимо, то должны быть проведены повторные испытания паспортных характеристик с целью определения нового значения приписанного масштабного коэффициента, как описано в
5.2.
6.3.3. Проверка масштабных коэффициентов компонентов
Масштабный коэффициент(ы) каждого компонента должен быть проверен при помощи встроенных или внешних калибраторов, имеющих расширенную неопределенность не более чем +/- 1%. Если разность масштабного коэффициента каждого компонента отличается от предыдущего значения не более чем на +/- 1%, то приписанный масштабный коэффициент считается действительным. Если какая-либо разность превышает 1%, то должны быть проведены работы по обнаружению причины и, если необходимо, то должны быть проведены повторные испытания паспортных характеристик с целью определения нового значения приписанного масштабного коэффициента, как описано в
5.2.
6.4. Измерение амплитуды пульсаций
6.4.1. Требования
Амплитуда пульсаций должна измеряться с расширенной неопределенностью не более чем 10% амплитуды пульсаций или не более 1% среднего арифметического значения постоянного напряжения, в зависимости от того, какое значение больше.
Для измерения амплитуды пульсаций и для измерения среднего арифметического значения напряжения могут быть использованы отдельные измерительные системы, или одно и то же преобразовательное устройство может быть использовано с двумя отдельными измерительными приборами.
Для измерения пульсаций необходимо, чтобы верхний 15%-ный предел частоты амплитудно-частотной характеристики измерительной системы был в 5 раз больше, а нижний 15%-ный предел частоты - в 0,5 раза меньше основной частоты f пульсаций.
Примечание. Во многих случаях требование к нижнему пределу частоты может быть определено частотой источника питания.
6.4.2. Составляющие неопределенности
Для измерительной системы напряжения, предназначенной для измерения пульсаций, неопределенность оценивают в соответствии с
Приложением А, и дополнительно следует учитывать составляющие неопределенности, указанные в
5.3 -
5.9. Также подробная информация представлена в разделах, относящихся к измерению переменного напряжения
(раздел 7). В отдельных случаях другие составляющие неопределенности также могут оказаться существенными, а представленная в настоящем стандарте информация имеет только рекомендательный характер.
6.4.3. Калибровки и испытания сертифицируемой измерительной системы для измерения пульсаций напряжения
Испытания, указанные в таблице 2, относятся только к измерительным системам, используемым для измерения амплитуды пульсаций.
Таблица 2
Требования, предъявляемые к испытаниям по определению
составляющих неопределенности при измерении пульсаций
Тип испытания | Типовые испытания | Приемо-сдаточные испытания | Эксплуатационные испытания | Эксплуатационные проверки |
Определение масштабного коэффициента измерительной системы при калибровке | | | | |
Проверка масштабного коэффициента | | | | |
| | ИС МЕГАНОРМ: примечание. В официальном тексте документа, видимо, допущена опечатка: пункт 5.4.5 в тексте документа отсутствует. | |
|
Проверка динамических характеристик для измерения пульсаций | | | 5.4.5 | |
Проверка долгосрочной стабильности | | | | |
Проверка влияния температуры окружающей среды | | | | |
Ответственность | на компоненты производителя | на систему пользователя |
Рекомендуемый интервал повторения | одноразово (типовые и приемо-сдаточные испытания) | рекомендуется ежегодно, но не реже 1 раза в 5 лет | в зависимости от стабильности, но не реже 1 раза в год |
Соответствие требованиям типового испытания может быть подтверждено испытаниями на устройстве аналогичной конструкции или иногда - на основе данных производителя. Приемо-сдаточные испытания должны проводиться на каждом из компонентов. Исключения представлены в
4.4.2.
В отдельных случаях другие составляющие неопределенности также могут оказаться существенными и следует иметь в виду, что представленная в настоящем стандарте информация по ним имеет только рекомендательный характер.
6.4.4. Измерения масштабного коэффициента на частоте пульсации
Масштабный коэффициент измерительной системы, предназначенной для измерения пульсаций, следует определять на основной частоте f пульсации с расширенной неопределенностью не более чем +/- 3%. Этот масштабный коэффициент может быть также определен как производная масштабных коэффициентов компонентов.
6.4.5. Определение динамических характеристик при помощи снятия амплитудно-частотной характеристики
На данную измерительную систему подается синусоидальный сигнал известной величины обычно низкого уровня, и измеряется значение выходного сигнала. Это измерение повторяют для диапазона частот примерно от 0,5 до 7 от основной частоты пульсаций. Разность измеренных значений напряжения должна быть в пределах 3 дБ.
6.4.6. Эксплуатационная проверка (поверка) сертифицированной измерительной системы, предназначенной для измерения пульсаций
Масштабный коэффициент сертифицированной измерительной системы может быть проверен (поверен) одним из методов, описанных в
7.4, касающихся измерительных систем переменного напряжения.
7. Измерение переменного напряжения
7.1. Требования к сертифицируемой измерительной системе
7.1.1. Общие положения
Основным требованием к сертифицируемой измерительной системе переменного напряжения является измерение величины испытательного напряжения в соответствии с рекомендациями IEC 60060-1 (

или среднеквадратическое значение) или/и амплитудного значения испытательного напряжения при номинальной частоте с расширенной неопределенностью в пределах U
M <= +/- 3%.
7.1.2. Составляющие неопределенности
Для измерительных систем переменного напряжения расширенную неопределенность U
M оценивают с коэффициентом охвата для 95%-ной вероятности согласно
5.10.3 и, если необходимо, то в соответствии с
Приложениями А и
Б. Испытания для выявления составляющих неопределенности, которые, как правило, должны учитываться, обобщены в таблице 3. В некоторых случаях дополнительно должны быть учтены другие неопределенности, если они имеют существенное значение.
Таблица 3
Требования, предъявляемые к испытаниям сертифицируемой
измерительной системы напряжения переменного тока
Тип испытания | Типовые испытания | Приемо-сдаточные испытания | Эксплуатационные испытания | Эксплуатационные проверки |
Определение масштабного коэффициента при калибровке | | | | |
Проверка масштабного коэффициента | | | | |
| | | (если применимо) | |
Проверка динамических характеристик | | | | |
Проверка краткосрочной стабильности | | | | |
Проверка долгосрочной стабильности | | | (если применимо) | |
Проверка влияния температуры окружающей среды | | | | |
Проверка эффекта близости окружающих объектов, см. примечание 3 | (если применимо) | | (если применимо) | |
Проверка влияния программного обеспечения | (если применимо) | | | |
Испытание на устойчивость преобразовательного устройства в условиях сухой окружающей среды | | (если применимо) | | |
Испытание на устойчивость преобразовательного устройства выдерживаемым напряжением под дождем или в условиях загрязнения | (если применимо) | | | |
Определение масштабного коэффициента преобразователя | | | | |
Определение масштабного коэффициента передающей системы (если требуется) | | | | |
Определение масштабного коэффициента измерительного прибора | | | | |
Ответственность | по компонентам - производителя | |
Рекомендуемый интервал повторения | одноразово (типовые и приемо-сдаточные испытания) | рекомендуется ежегодно, но не реже 1 раза в 5 лет | в зависимости от стабильности, но не реже 1 раза в год |
Примечание 1. Вышеперечисленные испытания также применяют к отдельным компонентам, если эксплуатационные испытания проводят альтернативным методом (см. 5.2.2). Для определения неопределенности измерения сертифицируемой измерительной системы, собранной из данных компонентов, см. Приложение Б. Примечание 2. Испытание на линейность согласно 5.3 требуется, только если невозможно проведение калибровки методом сличения в пределах всего рабочего диапазона (см. 5.2.1.2). Примечание 3. Влияние близости окружающих объектов может быть вызвано эффектом короны и связанным с ней действием объемного заряда. Проверка эффекта близости окружающих объектов при эксплуатационных испытаниях необходима только в случае, если данных типовых испытаний недостаточно. |
7.1.3. Определение динамических характеристик
Амплитудно-частотная характеристика измерительной системы, предназначенной для работы на одной основной частоте f
ном, должна попадать в границы области, отмеченные на
рисунке 6, исходя из соответствующих требований неопределенности. Спаренные обозначения на диаграмме характеризуют нормализованную частоту (логарифмическая шкала) и ее соответствующее отклонение в угловых точках ограничительных линий. Эксплуатационные характеристики измерительной системы должны быть подтверждены в диапазоне от f
ном до 7f
ном непосредственными испытаниями или анализом схемы. Амплитудно-частотная характеристика за пределом диапазона представлена только для информации (справочно).
Амплитудно-частотная характеристика G(f), дБ

- верхний предел;

- нижний предел
Рисунок 6. Приемлемая нормализованная амплитудно-частотная
характеристика измерительной системы (затемненная область),
предназначенной для измерения одной из основных частот fном
(испытанная в диапазоне fном1 - 7fном2)
Измерительная система также может быть сертифицирована в диапазоне основных частот (т.е. от 45 до 65 Гц в соответствии с IEC 60060-1). Масштабный коэффициент в таких случаях должен быть постоянным в пределах 1% нижнего предела основной частоты f
ном1 до верхнего предела основной частоты f
ном2. Амплитудно-частотная характеристика в пределах интервала от f
ном1 до 7f
ном2 должна находиться в границах отмеченной области, как показано на
рисунке 7. Номер пар в диаграмме показывает нормализованную частоту и ее соответствующее отклонение от идеальной передаточной характеристики в угловых точках ограничительных линий. Эксплуатационные качества измерительной системы должны быть подтверждены от f
ном1 до 7f
ном2 посредством испытаний или анализом схемы. Амплитудно-частотная характеристика за пределом диапазона представлена только для информации (справочно).
Амплитудно-частотная характеристика G(f), дБ

- верхний предел;

- нижний предел
Рисунок 7. Приемлемая нормализованная амплитудно-частотная
характеристика измерительной системы (затемненная область),
предназначенная для диапазона основных частот
от fном1 до fном2 (испытанная в диапазоне fном1 - 7fном2)
Специальные требования к динамическим характеристикам могут быть нормированы соответствующим техническим комитетом.
Примечание 1. Считается, что измерительные системы, соответствующие этим требованиям, имеют частотные характеристики, приемлемые для измерения полных гармонических искажений испытательного напряжения.
Примечание 2. Частотная характеристика, расположенная вне отмеченной зоны, хотя и не обязательна, но может быть реализована на практике.
Примечание 3. Измерения амплитудно-частотной характеристики можно не проводить для измерительных систем, используемых в источниках переменного напряжения (например, резонансной системы), если может быть доказано, что отношение амплитудного значения к действующему значению испытательного напряжения равно

в пределах +/- 1% при всех возможных условиях эксплуатации.
Примечание 4. В некоторых случаях может потребоваться измерять переходные напряжения (процессы), наложенные на переменное напряжение. В настоящем стандарте требования к таким измерениям не рассматриваются, но некоторые ссылки указаны в
разделе 8.
7.2. Испытания сертифицируемой измерительной системы напряжения переменного тока
Испытания в соответствии с
разделом 5, обобщенные в
таблице 3, являются обязательными для подтверждения характеристик измерительной системы переменного напряжения и ее компонентов, а также для оценки расширенной неопределенности измерения. Исключения представлены в
4.4.2.
Результаты типовых и приемо-сдаточных испытаний могут быть подготовлены на основе данных производителя. Приемо-сдаточные испытания должны проводиться на каждом устройстве.
7.3. Динамические характеристики
Для определения динамических характеристик сертифицируемой измерительной системы переменного напряжения на ее вход подают синусоидальный сигнал известной величины обычно низкого уровня и измеряется значение выходного сигнала. Это измерение повторяют для соответствующего диапазона частот от 1 до 7 испытательной частоты. Результат должен соответствовать
7.1.3.
7.4. Эксплуатационная проверка (поверка)
7.4.1. Общие положения
Масштабный коэффициент(ы) сертифицированной измерительной системы может быть проверен (поверен) одним из следующих методов.
7.4.2. Сличение с более точной сертифицированной измерительной системой
Сличение проводят с другой, более точной (эталонной) сертифицированной измерительной системой согласно методам, описанным в
5.2, или с шаровым разрядником в соответствии с рекомендациями IEC 60052. Если разность между двумя измеренными значениями находится в пределах +/- 3%, приписанный масштабный коэффициент считается легитимным. Если разность больше, то должны быть проведены исследования по обнаружению причин такого расхождения и, если потребуется, должны быть проведены повторные испытания паспортных характеристик системы с целью определения нового значения приписанного масштабного коэффициента, как описано в
5.2.
7.4.3. Проверка масштабных коэффициентов компонентов
Масштабный коэффициент(ы) каждого компонента может быть проверен использованием встроенного или внешнего калибратора, имеющего расширенную неопределенность не более +/- 1%. Если для каждого компонента различие в масштабном коэффициенте от его предыдущего значения не превышает 1%, то присвоенный масштабный коэффициент считается действительным. Если различие в масштабном коэффициенте какой-либо компоненты оказывается больше 1%, то должны быть проведены исследования для обнаружения причин такого различия и, если потребуется, то должны быть выполнены повторные испытания с целью определения нового значения присвоенного масштабного коэффициента, как описано в
5.2.
8. Измерение напряжения грозового импульса
8.1. Требования к сертифицируемой измерительной системе
8.1.1. Общие положения
Основными требованиями к сертифицируемой измерительной системе напряжения грозовых импульсов являются:
- измерение амплитудных значений испытательного напряжения согласно IEC 60060-1 для полных грозовых импульсов и грозовых импульсов, срезанных на спаде (на заднем фронте), должно проводиться с расширенной неопределенностью в пределах +/- 3%;
- измерение амплитудных значений испытательного напряжения для грозовых импульсов, срезанных по переднему фронту, должно проводиться с расширенной неопределенностью +/- 5% (0,5 мкс <= Tc < 2 мкс);
- измерение временных параметров, которые определяют форму сигнала, должно проводиться с расширенной неопределенностью в пределах +/- 10%;
- измерение колебаний, которые могут быть наложены на импульс, для того чтобы гарантировать, что эти колебания не превышают допустимые уровни, данные в IEC 60060-1.
Примечание. Нет рекомендаций по измерению спада (заднего фронта) грозового импульсного напряжения, так как ни один комитет IEC по измерительным приборам не сформулировал эти требования.
8.1.2. Составляющие неопределенности
Для измерительной системы напряжения грозового импульса расширенную неопределенность измерения U
M следует оценивать с коэффициентом охвата для 95%-ной вероятности согласно
5.10.3,
5.11.3 и
Приложениям А и
В (при необходимости). Перечень испытаний, проводимых для оценки составляющих неопределенности, которые, как правило, должны учитываться, приведен в таблице 4. В некоторых случаях дополнительно должны быть учтены другие неопределенности, если они имеют существенное значение.
Таблица 4
Требования, предъявляемые к испытаниям сертифицируемой
измерительной системы напряжения грозового импульса
Тип испытания | Типовые испытания | Приемо-сдаточные испытания | Эксплуатационные испытания | Эксплуатационные проверки |
Определение масштабного коэффициента/временных параметров при калибровке | | | | |
Проверка масштабного коэффициента | | | | |
| | | (если применимо) | |
Проверка динамических характеристик | | | | |
Проверка долгосрочной стабильности | | | (если применимо) | |
Проверка влияния температуры окружающей среды | | | | |
Проверка эффекта близости окружающих объектов, см. примечание 3 | (если применимо) | | (если применимо) | |
Проверка влияния программного обеспечения (IEC 61083-2) | (если применимо) | | | |
Испытание на влияние помех | | | | |
Испытание на устойчивость преобразовательного устройства в условиях сухой окружающей среды | | (если применимо) | | |
Испытание на устойчивость преобразовательного устройства выдерживаемым напряжением под дождем или в условиях загрязнения | (если применимо) | | | |
Определение масштабного коэффициента/временных параметров преобразователя | | | | |
Определение масштабного коэффициента/временных параметров системы передачи измеряемого сигнала (если требуется) | | | | |
Определение масштабного коэффициента измерительного прибора | | | | |
Ответственность | по компонентам производителя | |
Рекомендуемый интервал повторения | одноразово (типовые и приемо-сдаточные испытания) | рекомендуется ежегодно, но не реже 1 раза в 5 лет | в зависимости от стабильности, но не реже 1 раза в год |
Примечание 1. Вышеперечисленные испытания также применяют к отдельным компонентам, если эксплуатационные испытания проводят альтернативным методом (см. 5.2.2). Для оценки неопределенности измерения сертифицированной измерительной системы, собранной из данных компонентов, см. Приложение Б. Примечание 2. Испытание на линейность согласно 5.3 требуется только в том случае, если невозможно проведение калибровки методом сличения в пределах всего рабочего диапазона (см. 5.2.1.2). Примечание 3. Влияние близости окружающих объектов может быть вызвано эффектом короны и связанным с ней действием объемного заряда. Проверка эффекта близости окружающих объектов при эксплуатационных испытаниях необходима только в случае, если данных типовых испытаний недостаточно. |
8.1.3. Требования к измерительному прибору
Измерительный прибор должен соответствовать IEC 61083-1 и IEC 61083-2.
8.1.4. Динамические характеристики
Динамические характеристики измерительной системы должны быть приемлемыми для измерения соответствующих форм амплитуды грозового импульса и его временных параметров в границах номинального временного диапазона, указанных в паспорте измерительной системы. При этом масштабный коэффициент должен оставаться неизменным в следующих пределах:
- +/- 1% для измерения полных импульсов и импульсов, срезанных на спаде (на заднем фронте);
- +/- 3% для измерения импульсов, срезанных на переднем фронте;
- +/- 10% для измерения временных параметров.
Примечание 1. Чтобы воспроизводить на зарегистрированной кривой колебания, которые могут быть наложены на импульс, относительный верхний предел граничной частоты может составлять несколько мегагерц. Измерительная система с временем отклика

, менее или равным нескольким десяткам наносекунд, считается приемлемой для таких измерений (см.
Приложение В). Эти пределы пока находятся на рассмотрении.
Примечание 2. Предпочтительно, чтобы одну измерительную систему использовали для измерения всех требуемых величин, т.е. пикового значения, временных параметров и колебаний. Однако многие системы, которые могли бы быть сертифицированы для измерений пикового значения и временных параметров, не могут быть сертифицированы для измерений колебаний. Поэтому измерительная система может быть сертифицирована для измерения пикового напряжения и временных параметров, а для измерения колебаний (если необходимо, на более низком напряжении) сертифицируют вспомогательную систему.
8.1.5. Подключение к объекту испытаний
Преобразовательное устройство следует подключать непосредственно к входу объекта испытаний. Преобразовательное устройство не следует подключать между источником напряжения и объектом испытания. Кабель к преобразовательному устройству должен передавать ток только к измерительной системе. Преобразовательное устройство должно быть размещено так, чтобы взаимное влияние между испытательными и измерительными цепями было незначительным.
Примечание. Возможны исключения, например испытание комбинированными напряжениями (см. IEC 60060-1).
8.2. Испытания измерительной системы напряжения грозового импульса
Испытания согласно
разделу 5, обобщенные в
таблице 4, необходимы для подтверждения характеристик измерительной системы напряжения грозового импульса и ее компонентов, а также для оценки расширенной неопределенности измерения. Исключения представлены в
4.4.2.
Результаты типовых и приемо-сдаточных испытаний могут быть подготовлены на основе данных производителя. Приемо-сдаточные испытания должны проводиться на каждом устройстве.
8.3. Эксплуатационные испытания сертифицированных измерительных систем
8.3.1. Эталонный метод (предпочтительный метод)
Приписанный масштабный коэффициент и динамические характеристики сертифицированной измерительной системы следует определять методом сличения с эталонной измерительной системой согласно
5.2. Рекомендуется между двумя системами размещать прототип (аналог) объекта испытания, подключенный к импульсному генератору.
Подтверждение характеристик в номинальном временном диапазоне от tmin до tmax проводят с использованием импульсов следующих форм волны:
для полного импульса и импульса, срезанного на спаде (на заднем фронте),
- tmin равно наименьшему времени нарастания (длительности переднего) фронта импульса T1min;
- tmax равно наибольшему времени нарастания (длительности переднего) фронта импульса T1max;
- обе формы волны должны иметь приблизительно наибольшее значение времени до полуспада (длительности импульса) T2max, для которого сертифицируется измерительная система.
8.3.2. Альтернативный метод, дополненный измерением переходной характеристики согласно
Приложению В
Приписанный масштабный коэффициент определяют методом сличения сертифицированной измерительной системы напряжения грозового импульса с эталонной измерительной системой аналогичного типа напряжения согласно
5.2, с использованием полных импульсов с временем нарастания (длительностью переднего) фронта T
1cal в диапазоне от T
1min до T
1max и временем до полуспада, близким к его наибольшему значению T
2max, для которого сертифицируют систему. В качестве альтернативы приписанный масштабный коэффициент может быть рассчитан из масштабных коэффициентов компонентов системы (см.
5.2.2).
Для сертифицированных измерительных систем, предназначенных для измерения импульсов, срезанных на переднем фронте, калибровка должна проводиться импульсами с временем до среза Tccal в диапазоне от Tcmin до Tcmax.
Дополнительно к калибровке импульсами должна быть снята переходная характеристика сертифицируемой измерительной системы согласно
Приложению В. Опорный уровень в границах опорного временного диапазона, для которого измерительная система должна быть сертифицирована, не должен отличаться от значения переходной характеристики для времени:
- T1cal более чем +/- 1% для полных импульсов и импульсов, срезанных на спаде (на заднем фронте);
- Tccal более чем +/- 1% для импульсов, срезанных на переднем фронте.
Переходная характеристика не должна отклоняться более чем на 2% от опорного уровня в опорном временном диапазоне от 0,5T
1min до 2T
1max (Приложение В). Далее переходная характеристика не должна отклоняться более чем на 5% в диапазоне от 2T
1max до 2T
2max, где 2T
2max - время до полуспада импульса, близкое к наибольшему значению, для которого сертифицируют измерительную систему.
8.4. Испытание динамических характеристик
8.4.1. Сличение с сертифицированной измерительной системой
| | ИС МЕГАНОРМ: примечание. В официальном тексте документа, видимо, допущена опечатка: пункт 7.3.1 в тексте документа отсутствует. | |
Аналогичные измерения, выполненные в соответствии с испытанием 7.3.1, могут быть проведены при сличениях с более точной (эталонной) сертифицированной измерительной системой и могут быть использованы для оценки соответствующих временных параметров измеряемых импульсов испытуемой измерительной системы в отношении к сертифицированной измерительной системе и для оценки неопределенности измерения этих временных параметров с помощью испытуемой измерительной системы (см.
5.11).
Примечание. tmin может быть выбрано для одного типа импульса, а tmax - для другого, в случае, когда для калибровки используют набор импульсов. В этом случае следует использовать значение времени до полуспада (длительности) импульса, близкое к его наибольшему значению, для всех типов импульсов.
8.4.2. Альтернативный метод, основанный на измерении параметров переходной характеристики
(Приложение В)
При использовании данного метода необходимо регистрировать переходную характеристику на входе и выходе измерительной системы. Метод оценки представлен в
Приложении В.
Примечание. Характеристика может быть исследована при помощи метода свертки. Масштабный коэффициент измерительной системы определяют любым подходящим методом. Форма волны, используемая для определения масштабного коэффициента, должна находиться в пределах диапазона, соответствующего методу свертки, описанному в
Приложении Г.
Динамические характеристики сертифицируемой измерительной системы определяют с помощью снятия ее переходной характеристики (зарегистрированной согласно
Приложению В) и с помощью метода свертки для зарегистрированной переходной характеристики со стандартизованной формой волны, которой требуется подтверждение. При помощи метода свертки могут быть оценены погрешности измерительной системы для различных форм волны
(Приложение Г). Изменение масштабного коэффициента в границах опорного временного диапазона должно находиться в пределах +/- 1%.
8.5. Эксплуатационная проверка (поверка)
8.5.1. Сличения с более точной сертифицированной измерительной системой
Должны быть проведены сличения с другой, более точной (эталонной) сертифицированной измерительной системой при помощи методики
5.2. При сличении амплитудных значений можно также использовать шаровой разрядник согласно IEC 60052.
Если разность между двумя измеренными значениями находится в пределах +/- 3%, приписанный масштабный коэффициент считается легитимным. Если разность больше, то должны быть проведены работы по обнаружению причины и, если потребуется, должны быть проведены повторные испытания паспортных характеристик с целью определения нового значения приписанного масштабного коэффициента.
Значение каждого измеренного временного параметра должно находиться в пределах +/- 10% соответствующего значения, измеренного другой (эталонной) измерительной системой. Если разность больше 10%, то должны быть выполнены повторные испытания паспортных характеристик с целью определения новых значений границ номинального временного диапазона (если потребуется).
8.5.2. Проверка масштабного коэффициента компонентов
Масштабный коэффициент(ы) каждого компонента может быть проверен использованием встроенного или внешнего калибратора, имеющего расширенную неопределенность не более +/- 1%. Если разность у каждого масштабного коэффициента отличается от его предыдущего значения более чем на 1%, то приписанный масштабный коэффициент считается легитимным. Если какая-либо разность больше 1%, то должны быть проведены работы по обнаружению причины и, если потребуется, должны быть проведены повторные испытания паспортных характеристик с целью определения нового значения приписанного масштабного коэффициента.
8.5.3. Проверка динамических характеристик при помощи контрольной записи переходной характеристики
Если необходимо, то проверку рабочих динамических характеристик дополняют снятием переходной характеристики измерительной системы с использованием метода, описанного в
Приложении В. Результаты должны быть включены в паспорт измерительной системы для их дальнейшего использования в качестве контрольной записи, для того чтобы можно было обнаружить изменения в динамических характеристиках при последующих эксплуатационных проверках.
9. Измерение напряжения коммутационных импульсов
9.1. Требования к сертифицируемой измерительной системе
9.1.1. Общие требования
Основными требованиями к сертифицируемой измерительной системе напряжения коммутационных импульсов являются:
- измерение амплитудного значения испытательного напряжения коммутационных импульсов согласно IEC 60060-1 должно проводиться с расширенной неопределенностью в пределах +/- 3%;
- измерение временных параметров, которые определяют форму сигнала, должно проводиться с расширенной неопределенностью в пределах +/- 10%.
9.1.2. Составляющие неопределенности
Для измерительной системы напряжения коммутационного импульса расширенную неопределенность измерения U
M следует оценивать с коэффициентом охвата для 95%-ной вероятности согласно
5.10.3,
5.11.3 и
Приложениям А и
Б (при необходимости). Испытания для выявления составляющих неопределенности, которые, как правило, должны учитываться, обобщены в таблице 5. В некоторых случаях могут проявляться другие дополнительные составляющие неопределенности, которые также могут быть важны, и они должны быть тоже учтены.
Таблица 5
Испытания измерительной системы напряжения
коммутационных импульсов
Тип испытания | Типовые испытания | Приемо-сдаточные испытания | Эксплуатационные испытания | Эксплуатационные проверки |
Определение масштабного коэффициента/временных параметров при калибровке | | | | |
Проверка масштабного коэффициента | | | | |
| | | (если применимо) | |
Проверка динамических характеристик | | | | |
Проверка краткосрочной стабильности | | | | |
Проверка долгосрочной стабильности | | | (если применимо) | |
Проверка влияния температуры окружающей среды | | | | |
Проверка эффекта близости окружающих объектов, см. примечание 3 | (если применимо) | | (если применимо) | |
Проверка влияния программного обеспечения | (если применимо) | | | |
Испытание на воздействие помехами | | | | |
Испытание на устойчивость преобразовательного устройства в условиях сухой окружающей среды | | (если применимо) | | |
Испытание на устойчивость преобразовательного устройства выдерживаемым напряжением под дождем или в условиях загрязнения | (если применимо) | | | |
Определение масштабного коэффициента преобразователя | | | | |
Определение масштабного коэффициента передающей системы (если требуется) | | | | |
Определение масштабного коэффициента измерительного прибора | | | | |
Ответственность | по компонентам, производитель | |
Рекомендуемый интервал повторения | единоразово (типовые и приемо-сдаточные испытания) | рекомендуется ежегодно, но не реже 1 раза в 5 лет | в зависимости от стабильности, но не реже 1 раза в год |
Примечание 1. Вышеперечисленные испытания также применяют к отдельным компонентам, если эксплуатационные испытания проводят альтернативным методом (см. 5.2.2). Для определения неопределенности измерения сертифицируемой измерительной системы, собранной из данных компонентов, см. Приложение Б. Примечание 2. Испытание на линейность согласно 5.3 требуется только, если невозможно проведение калибровки методом сличения в пределах всего рабочего диапазона (см. 5.2.1.2). Примечание 3. Влияние близости окружающих объектов может быть вызвано эффектом короны и связанным с ней действием объемного заряда. Проверка эффекта близости окружающих объектов при эксплуатационных испытаниях необходима только в случае, если данных типовых испытаний недостаточно. |
9.1.3. Требования к измерительным приборам
Измерительные приборы должны соответствовать IEC 61083-1 и IEC 61083-2.
9.1.4. Динамические характеристики
Динамические характеристики сертифицированной измерительной системы считаются удовлетворительными, когда:
- масштабный коэффициент в номинальном временном диапазоне форм импульсного сигнала, указанных в паспорте измерительной системы, находится в пределах +/- 1%;
- расширенная неопределенность измерения временных параметров в номинальном временном диапазоне форм волны не превышает +/- 10%.
9.1.5. Подключение к объекту испытания
| | ИС МЕГАНОРМ: примечание. В официальном тексте документа, видимо, допущена опечатка: пункт 7.1.5 в тексте документа отсутствует. | |
Сертифицированная измерительная система должна быть подключена непосредственно к входу объекта испытания. В отличие от измерений напряжения грозовых импульсов (см. 7.1.5) измерительная система коммутационных импульсов может быть включена между генератором напряжения и объектом испытания. Взаимное влияние между испытательными и измерительными цепями должно быть незначительным.
9.2. Испытания сертифицируемой измерительной системы
Испытания согласно
разделу 5, обобщенные в
таблице 5, необходимы для подтверждения характеристик сертифицируемой измерительной системы напряжения коммутационного импульса и ее компонентов, а также для оценки расширенной неопределенности измерения. Исключения представлены в
4.4.2.
Результаты типовых и приемо-сдаточных испытаний могут быть подготовлены на основе данных производителя. Приемо-сдаточные испытания должны проводиться на каждом устройстве.
9.3. Эксплуатационные испытания сертифицированных измерительных систем
9.3.1. Эталонный метод (предпочтительный метод)
Приписанный масштабный коэффициент и динамические характеристики сертифицированной измерительной системы следует подтверждать методом ее сличения с эталонной измерительной системой согласно
5.2. Характеристики в номинальном временном диапазоне от t
min до t
max подтверждаются с использованием двух импульсов различной формы:
- tmin равно наименьшему времени Tpmin до максимума временного диапазона;
- tmax равно наибольшему времени Tpmax до максимума временного диапазона;
- обе формы волны должны иметь значение времени до полуспада (длительности импульса), близкое к наибольшему значению T2max (или время более 90%, или время до нуля), для которого сертифицирована измерительная система.
9.3.2. Альтернативный метод, дополненный измерением переходной характеристики
Приписанный масштабный коэффициент сертифицируемой измерительной системы подтверждают сличением с эталонной измерительной системой согласно
5.2 с использованием полных импульсов с временем до максимума T
pcal в диапазоне номинальных временных значений от T
pmin до T
pmax и с временем до полуспада (длительностью) импульса (или с временем более 90%, или с временем до полного спада импульса), близким к его наибольшему значению (или с временем более 90%, или с временем до полного спада импульса), для которого была сертифицирована измерительная система. В качестве альтернативного метода масштабный коэффициент может быть рассчитан из масштабных коэффициентов компонентов сертифицированной измерительной системы (см.
5.2.2).
В дополнение должна быть снята переходная характеристика сертифицированной измерительной системы согласно
Приложению В. Опорный уровень опорного временного диапазона, для которого была сертифицирована измерительная система, не должен отличаться от значения переходной характеристики T
pcal более чем на +/- 1%.
Переходная характеристика не должна изменяться более чем на 5% в диапазоне от Tpmin до Tpmax (или временем более 90%, или временем до нуля), для которого была сертифицирована измерительная система.
9.4. Динамические характеристики
Аналогичные измерения, сделанные в соответствии с испытанием
9.3.1, могут быть использованы при проведении сличения с сертифицированной измерительной системой, а также могут быть использованы оценка соответствующих временных параметров измеряемых импульсов для испытуемой и сертифицированной измерительных систем и неопределенность временных параметров, измеряемых испытуемой измерительной системой согласно
5.4 (таблица 5).
Примечание. tmin может быть выбрано для одного типа импульса, а tmax - для другого в случаях, когда для сертификации требуется группа разных типов импульсов. В таких случаях следует использовать самое длинное время до полуспада (длительность импульса) из всех используемых типов импульсов.
9.5. Эксплуатационная проверка (поверка)
9.5.1. Сличение с более точной сертифицированной измерительной системой
Должны быть проведены сличения с другой более точной (эталонной) сертифицированной измерительной системой при помощи методики
5.2. При сличении амплитудных значений можно также использовать шаровой разрядник согласно IEC 60052.
Если разность между двумя измеренными значениями находится в пределах +/- 3%, приписанный масштабный коэффициент считается легитимным. Если разность больше, должны быть проведены работы по обнаружению причины и, если потребуется, то должны быть проведены повторные испытания паспортных характеристик с целью определения нового значения приписанного масштабного коэффициента.
Значение каждого измеренного временного параметра должно находиться в пределах +/- 10% от соответствующего значения, измеренного другой (эталонной) измерительной системой. Если различие между этими значениями временных параметров превышает 10%, должны быть проведены исследования по обнаружению причин этого превышения и, если потребуется, то должны быть выполнены повторные испытания паспортных характеристик с целью определения новых значений границ номинального временного диапазона.
9.5.2. Проверка масштабных коэффициентов компонентов
Масштабный коэффициент(ы) каждого компонента может быть проверен использованием встроенного или внешнего калибратора, имеющего расширенную неопределенность не более +/- 1%. Если разность у каждого масштабного коэффициента отличается от его предыдущего значения более чем на 1%, то приписанный масштабный коэффициент считается легитимным. Если какая-либо разность больше 1%, то должны быть проведены работы по обнаружению причины и, если потребуется, должны быть проведены повторные испытания с целью определения нового значения приписанного масштабного коэффициента.
9.5.3. Проверка динамических характеристик при помощи контрольной записи переходной характеристики
Если необходимо, то проверку рабочих динамических характеристик дополняют снятием переходной характеристики измерительной системы с использованием метода, описанного в
Приложении В. Результаты должны быть включены в паспорт рабочих характеристик сертифицируемой измерительной системы для их дальнейшего использования в качестве контрольной записи для того, чтобы можно было обнаружить изменения в динамических характеристиках при последующих эксплуатационных проверках.
10. Эталонные измерительные системы
10.1. Требования к эталонным измерительным системам
10.1.1. Постоянное напряжение
Эталонная измерительная система должна обеспечивать измерение постоянного напряжения с расширенной неопределенностью в пределах UM <= 1% во всем рабочем диапазоне. На точность не должен влиять коэффициент пульсации значением до 3%.
10.1.2. Переменное напряжение
Эталонная измерительная система должна обеспечивать измерение переменного напряжения с расширенной неопределенностью в пределах UM <= 1% во всем рабочем диапазоне.
10.1.3. Напряжения полных и срезанных грозовых, а также коммутационных импульсов
Эталонная измерительная система должна обеспечивать:
- измерение амплитудных значений напряжений полных, срезанных на спаде (на заднем фронте) грозовых импульсов, а также коммутационных импульсов с расширенной неопределенностью в пределах UM1 <= 1%;
- измерение амплитудных значений напряжений грозовых импульсов, срезанных на спаде (на заднем фронте), в пределах UM2 <= 3%;
- измерение временных параметров импульсов в рабочем диапазоне измерений в пределах UM3 <= 5%.
Примечание. Колебания и/или выбросы должны регистрироваться без искажений (см.
8.1.4).
10.2. Калибровка эталонной измерительной системы
10.2.1. Общие требования
Соответствие эталонной измерительной системы необходимым требованиям, изложенным в
10.1 настоящего стандарта, должно подтверждаться испытаниями согласно 10.2.2. Дополнительно может быть применено испытание согласно
10.2.3.
10.2.2. Эталонный метод: сравнительное измерение
Удовлетворительные рабочие характеристики эталонной измерительной системы при определенном испытательном напряжении должны быть подтверждены сравнительными измерениями с эталонной измерительной системой с более низким уровнем неопределенности, которая является прослеживаемой к эталонам национальных метрологических институтов.
На импульсных напряжениях следует использовать два или более времени нарастания (длительности переднего) фронта в пределах номинального временного диапазона.
Примечание. Требования к эталонной измерительной системе с более низким уровнем неопределенности должны быть установлены следующие: расширенная неопределенность должна находиться в пределах UM <= 0,5% для измерения всех типов напряжений и в пределах UM3 <= 3% для измерения временных параметров импульсных напряжений.
10.2.3. Альтернативный метод для импульсного напряжения: измерение масштабного коэффициента и оценка параметров переходных характеристик
Масштабный коэффициент эталонной измерительной системы должен быть установлен для одной формы сигнала импульсного напряжения, например при помощи измерительных систем более высокого класса точности при соответствующем испытательном напряжении. Дополнительно следует провести оценку переходных характеристик согласно
Приложению В, в соответствии с таблицей 6. Дополнительно опорный уровень (уровни) опорного временного диапазона, для которого должна быть сертифицирована эталонная измерительная система, не должен отличаться от значения переходной характеристики на временном отрезке, соответствующем параметру используемого импульсного напряжения, более чем на +/- 0,5%.
Таблица 6
Рекомендуемые параметры отклика для измерительных систем
импульсного напряжения
Напряжение | Требования к |
полным грозовым импульсам и грозовым импульсам, срезанным на спаде | грозовым импульсам, срезанным на переднем фронте | коммутационным импульсам |
Экспериментальное время отклика TN | <= 15 нс | <= 10 нс | - |
Время успокоения ts | <= 200 нс | <= 150 нс | <= 10 мкс |
Время частичного отклика  | <= 30 нс | <= 20 нс | - |
10.3. Интервал между последовательными калибровками эталонной измерительной системы
Интервал калибровки определяется согласно национальному законодательству. Если этот вопрос законодательно не урегулирован, рекомендуемый интервал калибровки составляет не более 5 лет при условии регулярных эксплуатационных проверок, подтверждающих стабильность эталонной измерительной системы.
10.4. Использование эталонных измерительных систем
Рекомендуется, чтобы эталонные измерительные системы использовались только для сравнительных измерений при эксплуатационных испытаниях менее точных измерительных систем. Кроме того, эталонные измерительные системы могут быть использованы и для других измерений, включая рабочие измерения, если показано, что такое использование не влияет на их характеристики. (Эксплуатационные проверки (поверки) в соответствии с настоящим стандартом являются достаточными для их подтверждения.) В дополнение к сказанному допустимо замещение измерительного прибора на эквивалентный, который удовлетворяет требованиям соответствующего стандарта.
(справочное)
А.1. Общие положения
Раздел 5 описывает упрощенную процедуру оценки неопределенности измерения при условиях обычно применимых и вполне достаточных для высоковольтных измерений. В некоторых случаях необходимо или желательно оценить неопределенность более сложным методом.
Приложение А содержит обзор рекомендаций для таких случаев, в
Приложении Б представлены примеры их применения.
Каждое измерение величины в некоторой степени является несовершенным, и результат измерений является приблизительной оценкой настоящего значения измеряемой величины. Неопределенность измерения дает более ясную формулировку качества измерений. Она позволяет пользователю сравнить и взвесить результаты измерения, например полученные разными лабораториями, и предоставляет информацию о соответствии результатов измерения требованиям настоящего стандарта. Руководство по оценке неопределенности измерения (A Guide to the expression of Uncertainty in Measurement - GUM), первоначально опубликованное в 1993 году Международной организацией по стандартизации (International Organization for Standartization - ISO), в настоящее время ISO/IEC 98-3:2008, является международно принятым стандартом по оценке неопределенности измерения.
Руководство ISO/IEC 98-3 описывает основные правила оценки и выражения неопределенности в широком спектре измерений при различных уровнях неопределенности. Таким образом, необходимо выделить из него серию специфических правил, которые относятся к специфическим областям высоковольтных измерений и их уровню точности и сложности. Соответствующие основным принципам ISO/IEC 98-3 неопределенности сгруппированы в категории согласно методам оценки. Оба метода основаны на распределении вероятностей величин, влияющих на измерение и стандартные неопределенности, квалифицирующиеся различными стандартными отклонениями. Это позволяет унифицировать интерпретацию обеих категорий неопределенности и оценки суммарной стандартной неопределенности измеряемой величины. Согласно настоящему стандарту требуется расширенная неопределенность, соответствующая коэффициенту охвата для приблизительно 95%-ной вероятности.
Основные принципы ISO/IEC 98-3 и примеры определения неопределенности высоковольтных измерений представлены в нижеследующих разделах. Уравнения и примеры, данные в них, являются действительными для независимых входных величин, каковыми во многих случаях являются высоковольтные измерения.
А.2.1.
измеряемая физическая величина (measurable quantity): Характерное свойство явления, тела или вещества, которое может быть определено количественно и качественно.
А.2.2.
численное значение физической величины (value of a quantity): Значение физической величины, обычно выраженной как единица измерения этой величины, умноженная на численный показатель.
А.2.3.
измеряемый параметр (measurand): Определенная величина, подлежащая измерению.
А.2.4.
дисперсия (variance): Математическое ожидание квадрата разности между случайной величиной и ее математическим ожиданием.
А.2.5.
корреляция (взаимозависимость): Соотношение между двумя или несколькими случайными величинами внутри распределения двух или более случайных величин.
А.2.6.
вероятность охвата (coverage probability): Доля, обычно большая, распределения случайных величин, которая, как результат измерений, может быть корректно приписана измеряемой величине.
А.3. Модель функции
Каждое измерение может быть описано функциональным отношением f
Y = f(X
1, X
2, ..., X
i, ..., X
N), (А.1)
где Y - измеряемая величина, а Xi - различные входные величины, пронумерованные от 1 до N. В значении руководства ISO/IEC 98-3 модель функции f включает все измеренные значения, влияющие величины, поправки, поправочные коэффициенты, физические постоянные, и другие данные, которые могут существенно повлиять на значение Y и его неопределенность. Модель функции может быть представлена одним или несколькими аналитическими или численными выражениями, или их комбинациями. В целом входные значения Xi являются случайными величинами и описываются наблюдением xi ("входные оценки") с определенным законом распределения вероятности и связаны со стандартными неопределенностями u(xi) по типу A и по типу B. Их комбинация согласно правилам ISO/IEC 98-3 требует от стандартной неопределенности u(y) входной оценки y.
Примечание 1. Модель функции f в
уравнении (А.1) также является действительной для входной и выходной оценок x
i и y соответственно.
Примечание 2. В серии наблюдений kое наблюдаемое значение величины Xi обозначается xik.
А.4. Оценка стандартной неопределенности по типу A
Метод оценки типа A применяют к величинам, которые случайно изменяемы и для которых n независимых наблюдений были проведены при одинаковых условиях измерения. В целом для n измерений xik можно принять нормальный закон распределения вероятности (распределение Гаусса) (рисунок А.1).
Примечание. Затемненной областью отмечена стандартная неопределенность выше и ниже

.
Рисунок А.1. Плотность нормального распределения
вероятности p(x)
Примечание 1. Xi может быть масштабный коэффициент, значение испытательного напряжения или временной параметр с наблюдением xik.
Среднее арифметическое значение

, наблюдений x
ik определяют по формуле

, (А.2)
которая считается лучшей оценкой Xi. Стандартная неопределенность Xi по типу A равна экспериментальному стандартному отклонению от среднего значения

, (А.3)
где s(x) является экспериментальным стандартным (среднеквадратичным) отклонением отдельных величин

. (А.4)
Среднеквадратические значения s
2(x
i) и

называют простыми дисперсиями или дисперсиями усредненного значения соответственно. Количество измерений должно быть не менее 10, в противном случае достоверность оценки стандартной неопределенности по типу A должна быть проверена посредством использования эффективных степеней свободы.
Примечание 2. В некоторых случаях обобщенная оценка дисперсии sp2 может быть получена на основе большого числа предшествующих измерений, проведенных при хорошо известных условиях. Затем стандартную неопределенность измеряемого параметра, полученного при небольшом числе измерений n (n = 1, 2, 3, ...), лучше оценивать с помощью выражения

, не по
формуле (А.3).
А.5. Оценка стандартной неопределенности по типу B
Оценку стандартной неопределенности по типу B выполняют в тех случаях, когда не используется статистическая обработка результатов измерений. Стандартную неопределенность по типу B оценивают методом научного анализа, основанным на информации о возможном изменении входной величины Xi, при измерении xi, а именно:
- метод оценки величин;
- неопределенность калибровки измерительной системы и ее компонентов;
- нелинейность делителей и измерительных приборов;
- динамические характеристики, например изменение масштабного коэффициента при изменении частоты напряжения или формы импульса;
- краткосрочная стабильность, самонагрев;
- долгосрочная стабильность, смещение;
- условия окружающей среды во время измерения;
- эффект близости окружающих объектов;
- влияние программного обеспечения, используемого в приборах или при обработке результатов измерения;
- ограниченная разрешающая способность цифровых приборов, считывающих показания аналоговых приборов.
Информация по входным величинам и неопределенностям может быть получена из действующих и предыдущих измерений, сертификатов калибровки, данных справочников и стандартов, технических характеристик, указанных производителем продукции, или знания характеристик соответствующих материалов и приборов. Ниже описаны варианты оценки неопределенности по типу B:
a) часто известны только отдельное входное значение x
i и его стандартная неопределенность u(x
i), например отдельное измеренное значение параметра, значение поправки или эталонное значение из технической литературы. Это значение и его неопределенность закладывают в модель функции (в
уравнение (А.1)). Если неопределенность u(x
i) неизвестна, то ее следует рассчитать по соответствующим данным других неопределенностей или оценить экспериментально;
b) неопределенность устройства определяется как стандартная неопределенность, умноженная на коэффициент охвата k, например расширенная стандартная неопределенность U цифрового вольтметра, приведенная в сертификате калибровки
(раздел А.7). Если вольтметр используют в составе измерительной системы, его составляющая неопределенности выражается как

, (А.5)
где k - коэффициент охвата. Вместо расширенной неопределенности и коэффициента охвата можно использовать доверительную вероятность, например 68,3%, 95,45% или 99,7%. В целом следует предположить правомерность использования нормального закона распределения вероятности согласно
рисунку А.1 и рассматривать доверительный уровень в качестве эквивалента коэффициента охвата k = 1, 2 или 3 соответственно;
c) значение x
i входной величины X
i, которое находится в интервале от a
- до a
+, оценивают с определенным распределением вероятности p(x
i). Часто вид распределения p(x
i) неизвестен, и тогда предполагается прямоугольное распределение вероятности величин
(рисунок А.2). В этом случае математическим ожиданием значений X
i является середина

интервала:

(А.6)
и соответствующая стандартная неопределенность

, (А.7)
где a = (a+ - a-)/2.
Примечание. Затемненной областью отмечена стандартная неопределенность выше и ниже

.
Рисунок А.2. Плотность равномерного распределения
вероятности p(x)
В некоторых случаях может быть другое распределение вероятности - трапецеидальное, треугольное или нормальное.
Примечание 1. Для треугольного распределения стандартная неопределенность

соответствует нормальному распределению -

. Это означает, что равномерное распределение приводит к большему уровню неопределенности, чем другие распределения.
В руководстве ISO/IEC 98-3 установлено, что неопределенность по типу B не может быть учтена вторично, если определенное влияние уже учтено в неопределенности по типу A. Более того, оценка неопределенности должна быть реальной и основанной на стандартных неопределенностях, при этом следует избегать использования собственных или каких-либо других коэффициентов безопасности для получения больших неопределенностей, чем те, которые оценивают согласно руководству ISO/IEC 98-3. Часто входную величину Xi подстраивают или корректируют, чтобы избежать систематического влияния значимой величины, например на базе температуры или зависимости от напряжения. Однако необходимо учитывать неопределенность u(xi), связанную с этой поправкой.
Примечание 2. Повторный учет составляющих неопределенности возможен в случае, когда цифровой регистратор используют для повторяющихся импульсных измерений, например при калибровке масштабного коэффициента. Дисперсия n измеренных значений, вызывающих стандартную неопределенность по типу A, может быть частично связана ограниченной разрешающей способностью регистратора и его внутренними помехами (шумом). Разрешающую способность не следует повторно учитывать полностью, разве что небольшую ее долю в качестве остаточной неопределенности по типу B. Однако если цифровой регистратор затем используют при испытании импульсным напряжением для получения одиночного результата измерения, ограниченное разрешение следует учитывать в значении неопределенности по типу B.
Примечание 3. Оценка неопределенности по типу B требует глубокого понимания физической сущности исследуемых процессов и их взаимосвязи, а также хороших знаний методов измерения. Поскольку такая оценка не является точной наукой, приводящей к одному единственному решению, она не является общей для всех случаев, которые могут оценивать инженеры-испытатели в процессе проведения измерений. Существуют различные способы оценки, и могут быть получены разные значения неопределенности по типу B.
А.6. Суммарная стандартная неопределенность
Каждую стандартную неопределенность u(xi) оценки xi каждой входной величины Xi оценивают по типу A или по типу B, которые являются составляющими стандартной неопределенности выходной величины, которая рассчитывается по формуле
где ci - коэффициент чувствительности. Он характеризует влияние на оценку выходного сигнала у небольших изменений оценки входного сигнала xi. Он может быть определен непосредственно как частная производная модели функции f

(А.9)
или с использованием эквивалентных численных или экспериментальных методов. Значение ci может быть как положительным, так и отрицательным. В случаях, когда входные величины являются независимыми, знак перед коэффициентом чувствительности учитывать не следует, поскольку на следующих этапах расчета используют только среднеквадратические значения стандартных неопределенностей

, (А.10)
uc(y) является положительным корнем квадратным

. (А.11)
Если выходная величина Y является произведением или частным входных величин Xi, для нее могут быть соблюдены условия, аналогичные уравнениям (А.10) и (А.11) для относительных неопределенностей uc(y) и u(xi)/|xi|. Таким образом, закон переноса неопределенностей применяем к обоим типам модели функции для независимых входных величин.
Примечание. Если между входными величинами имеется корреляционная связь, то в законе переноса неопределенностей могут присутствовать линейные члены и знак коэффициента чувствительности будет иметь существенное значение. Корреляция возникает, например, в случае, когда один и тот же прибор используют для измерения двух или более входных величин. Чтобы избежать сложных расчетов, корреляцию следует устранить путем введения в модель функции f дополнительных входных величин с соответствующими корректировками и неопределенностями. В некоторых случаях наличие корреляции между входными величинами может даже уменьшить суммарную неопределенность. Таким образом, учет корреляционных связей является существенным моментом для сложного анализа неопределенности с целью получения очень точной ее оценки. В настоящем стандарте более подробно корреляционные связи не рассматриваются.
А.7. Расширенная неопределенность
В области измерения высоких напряжений и больших токов, как и при наиболее распространенных промышленных измерениях, требуется оценка неопределенности с вероятностью охвата приблизительно p = 95%. При таких условиях результат достигается умножением стандартной неопределенности u
c(y) в
(А.11) на коэффициент охвата k
U = kuc(y), (А.12)
где U - расширенная неопределенность.
В случаях, когда y соответствует закону нормального распределения и uc(y) обладает высокой степенью доверительной вероятности, используют коэффициент охвата k = 2, т.е. значение эффективной степени свободы для uc(y) является достаточно большим (раздел А.8). В противном случае для получения доверительной вероятности p = 95% значение k > 2 и должно быть определено.
Примечание 1. В более ранних стандартах использован термин "общая неопределенность" (overall uncertainty). В большинстве случаев этот термин интерпретируют как расширенную неопределенность U с коэффициентом охвата, равным 2.
Примечание 2. Так как неопределенности определяют с положительным знаком, знак U всегда является положительным. Конечно, в случаях, когда U используют в значении интервала неопределенности, k расценивают как +/- U.
А.8. Эффективные степени свободы
Допущение правомерности использования нормального закона распределения для расширенной неопределенности в целом выполняется в тех случаях, когда несколько (например, N >= 3) составляющих неопределенности с сопоставимыми значениями и при вполне определенном законе распределения вероятности (распределение Гаусса, прямоугольное распределение и др.) являются составляющими суммарной стандартной неопределенности и когда неопределенность по типу A основана на n >= 10 повторяющихся наблюдениях. Такие условия выполняются при калибровках многих измерительных систем. Если предположение о правомерности нормального закона распределения не подтверждается, то для получения примерно 95%-ной вероятности охвата значение коэффициента охвата должно определяться в области k > 2. Соответствующий коэффициент охвата оценивают на основе эффективных степеней свободы

стандартной неопределенности u
c(y)

, (А.13)
где u
i(y) задано
уравнением (А.8) для i = 1, 2, ..., N, а

- соответствующие степени свободы. Доверенные значения

следующие:
-

для неопределенности по типу A, основанной на n независимых наблюдений;
-

для неопределенности по типу B, взятой из сертификата калибровки, и при охвате для вероятности, установленной не менее 95%;
-

для неопределенности по типу B, включающей в себя равномерное распределение в пределе от a
- до a
+.
Эффективные степени свободы могут быть рассчитаны по
уравнению (А.13) и коэффициенту охвата, указанному в таблице А.1, который основан на t-распределении, оцениваемом из коэффициента охвата для p = 95,45%, если

не является целым интерполированным или округленным значением

до следующего наименьшего целого.
Таблица А.1
Коэффициент охвата k для эффективной степени свободы

(p = 95,45%)
| 1 | 2 | 3 | 4 | 5 | 6 | 7 | 8 | 10 | 20 | 50 | |
K | 13,97 | 4,53 | 3,31 | 2,87 | 2,65 | 2,52 | 2,43 | 2,37 | 2,28 | 2,13 | 2,05 | 2,00 |
Также для расчета k из

используют формулу

. (А.14)
А.9. Бюджет неопределенности
Бюджет неопределенности измерения - это детальный анализ всех источников и значений неопределенности согласно модели функции f. Соответствующие данные должны быть сохранены для инспекций в форме таблицы, эквивалентной или схожей с таблицей А.2. Последняя строка указывает значения результата измерения y, суммарную неопределенность u
c(y) и эффективные степени свободы

.
Таблица А.2
Структура бюджета неопределенности
Величина Xi | Значение xi | Составляющая стандартной неопределенности u(xi) | Степени свободы  | Коэффициент чувствительности ci | Составляющая суммарной стандартной неопределенности Ui(y) |
X1 | x1 | u(x1) | | c1 | u1(y) |
X2 | : | u(x2) | : | : | u2(y) |
: | x2 | : | | c2 | : |
XN | xN | u(xN) | | cN | uN(y) |
Y | y | | | | Uc(y) |
Примечание. Лицензионное программное обеспечение может быть получено на коммерческой основе, или оно может быть разработано пользователем на основе известных программ, позволяющих автоматически выполнять расчет параметров, указанных в таблице А.2, используя модель уравнения f. |
А.10. Представление результатов измерения
В сертификатах калибровки и испытаний измеряемая величина Y должна быть указана как y +/- U при вероятности покрытия (доверительной вероятности), приблизительно равной p = 95%. Числовое значение расширенной неопределенности U должно быть округлено не менее чем до двух значимых чисел. Если округление в меньшую сторону уменьшает значение на более чем 0,05U, то следует использовать округленное значение. Числовое значение должно быть округлено до минимального значимого числа, на которое может повлиять расширенная неопределенность.
Примечание 1. В качестве примера может быть приведен результат напряжения, установленный одним из следующих способов:
(227,2 +/- 2,4) кВ,
227,2 x (1 +/- 0,011) кВ или
227,2 x (1,1 x 10-2) кВ.
Должна быть представлена пояснительная записка о вероятности охвата p и коэффициенте охвата k.
Примечание 2. В качестве примера следующей полной формы выражения рекомендуется (термины в скобках применяют в случаях, когда

, т.е. k > 2,05 согласно
таблице А.1):
"Заявленная расширенная неопределенность измерения устанавливается в качестве неопределенности измерения, помноженной на коэффициент охвата k =2 (k = XX), который при нормальном законе распределения (распределение t с

эффективной степенью свободы) соответствует вероятности охвата, приблизительно равной 95%. Стандартную неопределенность измерения определяют согласно IEC 60060-2".
(справочное)
ПРИМЕРЫ РАСЧЕТА НЕОПРЕДЕЛЕННОСТЕЙ ИЗМЕРЕНИЯ
ПРИ ВЫСОКОВОЛЬТНЫХ ИЗМЕРЕНИЯХ
Б.1. Пример 1: Масштабный коэффициент измерительной системы переменного напряжения (метод сличений)
Калибровка измерительной системы номинального переменного напряжения 500 кВ, обозначенной X, производится в аккредитованной калибровочной лаборатории в испытательном помещении заказчика. Калибровку производят до VXmax = 500 кВ методом сличения с эталонной измерительной системой, обозначенной N (см. рисунок Б.1). Обе системы состоят из делителя напряжения и цифрового вольтметра, отображающих на выходах делителей значения напряжений VN и VX соответственно. Масштабный коэффициент и относительная расширенная неопределенность эталонной системы N при температуре окружающей среды 20 °C составляют соответственно FN = 1025 и UN = 0,8% (k = 2), включая составляющую неопределенность, определенную для долгосрочной нестабильности.
Рисунок Б.1. Сличение испытуемой системы X с эталонной
системой N
Температура окружающего воздуха при калибровке должна быть (15 +/- 2) °C. Так как масштабный коэффициент N был установлен при температуре 20 °C, вводится поправка - 0,3% согласно его температурному коэффициенту, исправление действительного значения на FN = 1022 при 15 °C. Эта поправка, однако, не очень точная и, более того, вследствие изменений температуры в пределах +/- 2 °C во время калибровки возможные значения FN могут принимать величины в пределах интервала +/- 0,001 от FN с прямоугольным законом распределения. Измерения в рамках сличений проводят при уровнях напряжения h = 5 приблизительно 20, 40, ..., 100% от VXmax. На каждом уровне напряжения одновременно регистрируют значения напряжения VN и VX для n = 10 приложенных напряжений. Дальнейшие исследования проводят для динамических характеристик, краткосрочной стабильности, температурного диапазона и помех: выявляют влияние на масштабный коэффициент испытуемого объекта Fx в пределах +/- 0,2%. Долгосрочную стабильность оценивают на основе данных производителя в пределах до +/- 0,3% до следующей калибровки.
Модель функции для расчета значения F
x и его стандартной неопределенности может быть следующей. В идеальном случае обе измерительные системы показывают одинаковое значение испытательного напряжения переменного тока V (см.
рисунок Б.1)
V = FNVN = FXVX. (Б.1)
Отсюда основное уравнение для расчета масштабного коэффициента испытуемой системы принимает вид

. (Б.2)
Как отмечалось выше, масштабные коэффициенты обеих систем подвержены влиянию ряда факторов, таких как дрейф, температура и др. Они оказывают влияние на значение масштабного коэффициента и его неопределенности. В настоящем стандарте составляющие этих неопределенностей обозначаются для эталонной системы как

,

, ... и как

,

, ... - для испытуемой системы. В общем случае каждая составляющая, вносящая свой вклад в значение масштабного коэффициента F
N или F
X, состоит из погрешности и стандартной неопределенности. Погрешность используется для коррекции масштабного коэффициента. Коррекция проводится с противоположным знаком. Вклад неопределенностей в соответствующий масштабный коэффициент F
N или F
X оценивается способом, подобным описанному в Приложении А,
раздел А.5, т.е. либо принятием прямоугольного закона распределения вероятности в пределах интервала +/- a
i, что приводит к стандартной неопределенности

, либо в случае калибровки компонентов посредством деления их расширенной неопределенности U на коэффициент охвата k. Составляющие

или

не всегда включают в себя погрешность (или считается, что погрешность пренебрежимо мала) и поэтому представляют собой только неопределенности u
i.
Основное
уравнение (Б.2) дополняется составляющими

и

для того, чтобы получить полную модель функции с целью определения масштабного коэффициента F
X и его суммарной стандартной неопределенности. Поскольку корреляция между влияющими факторами незначительна, то
уравнение (Б.2) может быть записано в общем виде

. (Б.3)
Примечание 1. Что касается определения результата погрешности, то введенные с обеих сторон уравнения имеют противоположный знак. Их определяют как

.
В соответствующих случаях масштабный коэффициент FX измерительной системы напряжения переменного тока может быть выражен следующим образом

, (Б.4)
где

- составляющая, вызванная более низкой температурой эталонной системы;

- составляющая, вызванная нелинейностью коэффициента;

- составляющая, вызванная краткосрочной нестабильностью испытуемой системы;

- составляющая, вызванная долгосрочной нестабильностью испытуемой системы;

- составляющая, вызванная динамическими характеристиками испытуемой системы;

- составляющая, вызванная изменением температуры испытуемой системы.
Примечание 2. В этом примере

включает в себя поправку и составляющую неопределенности к масштабному коэффициенту F
N, принимая во внимание, что составляющие

относятся только к неопределенности масштабного коэффициента F
X. Для удобства составляющие неопределенности

напрямую входят в F
X, т.е. коэффициенты чувствительности этих входных величин уже учтены.
Сличение измерений испытуемой системой с измерениями эталонной системой проводят на каждом уровне напряжения в серии из n = 10 приложений напряжения. По полученным парам измеренных значений напряжения V
N и V
X рассчитывают коэффициенты V
N/V
X, их средние значения и экспериментальное стандартное (среднеквадратичное) отклонение s(V
N/V
X). В качестве примера в таблице Б.1 приведены результаты измерений при уровне напряжения около 40% V
Xmax. Аналогичным образом получают коэффициенты V
N/V
X и их стандартные отклонения s(V
N/V
X) для каждого из h = 5 уровней напряжения вплоть до 500 кВ
(таблица Б.2).
Таблица Б.1
Результат измерений сличением на единичном
уровне напряжения
Количество измерений | Эталонная система VN, кВ | Испытуемая система VX, кВ | Коэффициент VN/VX |
1 | 191,4 | 190,8 | 1,0031 |
2 | 191,6 | 190,9 | 1,0037 |
3 | 190,7 | 189,9 | 1,0042 |
4 | 189,9 | 189,0 | 1,0048 |
5 | 190,9 | 189,9 | 1,0053 |
6 | 191,2 | 190,3 | 1,0047 |
7 | 191,3 | 190,4 | 1,0047 |
8 | 191,2 | 190,4 | 1,0042 |
9 | 190,6 | 189,9 | 1,0037 |
10 | 191,3 | 190,7 | 1,0031 |
Усредненное значение VN/VX при приблизительно 40% VXmax | 1,0042 |
Экспериментальное стандартное отклонение s(VN/VX) | 0,73 |
Таблица Б.2
Обобщенные результаты измерений по h = 5 уровням напряжения
(VXmax = 500 кВ)
N | Уровень напряжения, % от VXmax | VN/VX | s(VN/VX) |
1 | 18 | 1,0032 | 0,71 |
2 | 38 | 1,0042 | 0,73 |
3 | 63 | 1,0045 | 0,81 |
4 | 83 | 1,0065 | 0,68 |
5 | 100 | 1,0101 | 0,85 (= smax) |
Усредненное значение | | 1,0057 | |
Согласно данным
таблицы Б.2 усредненным значением коэффициента V
N/V
X, полученным по результатам измерений на 5 уровнях напряжения, является 1,0057. Для обеспечения гарантированного запаса в оценке стандартной неопределенности стандартную неопределенность V
N/V
X определяют по
уравнению (А.3) с использованием максимального значения стандартного отклонения s
max = 0,85

.
Отклонение коэффициентов V
N/V
X от их усредненного значения характеризует нелинейность системы X. Максимальное отклонение V
N/V
X от его усредненного значения (a
1 = 4,4) достигается при напряжении, равном 100% от V
Xmax (таблица Б.2). Таким образом, согласно
уравнению (А.7) стандартная неопределенность V
N/V
X по типу B, вызванная нелинейностью измерительной системы, будет равна

. Чтобы получить составляющую неопределенности u
B1 по типу B, это значение умножают на относительный коэффициент чувствительности


.
Значения и стандартные неопределенности всех входных величин вводят в правой части модели
функции (Б.4). Модель функции возможно оценить методом пересчета с использованием уравнений, указанных в
Приложении А, или с помощью специального программного обеспечения, утвержденного для расчета неопределенностей. Результаты оценки обобщены в таблице Б.3. В последней строке указаны приписанный масштабный коэффициент F
X, его суммарная стандартная неопределенность и эффективные степени свободы. Большое значение степеней свободы

свидетельствует о наличии нормального распределения возможных значений F
X, и, таким образом, правомерным является значение k = 2 (см. Приложение А,
таблица А.1).
Таблица Б.3
Бюджет неопределенности приписанного масштабного
коэффициента FX
Величина | Значение | Составляющая стандартной неопределенности | Степени свободы | Коэффициент чувствительности | Составляющая суммарной стандартной неопределенности |
FN | 1,025 | | 50 | 1,0057 | 4,0 |
| 3 | | | -1,0057 | -0,58 |
VN/VX | 1,0057 | | 9 | 1,022 | 0,28 |
| 0 | | | 1 | 2,6 |
| 0 | | | 1 | 1,2 |
| 0 | | | 1 | 1,8 |
| 0 | | | 1 | 1,2 |
| 0 | | | 1 | 1,2 |
FX | 1027,8 | | 180 | | 5,54 |
<1> Нормальное распределение. <2> Равномерное распределение. |
Примечание 3. Оценка неопределенности не очень точная, и высокая числовая точность не требуется.
В заключение полный результат калибровки сертифицированной измерительной системы выражают приписанным масштабным коэффициентом и его расширенной неопределенностью:
FX = 1028 +/- 11 = 1028(1 +/- 0,011) для коэффициента охвата k = 2 при вероятности не менее 95%.
Относительная расширенная неопределенность установленного масштабного коэффициента U = 1,1%. Так как она включает составляющую неопределенности долгосрочной стабильности, ее можно использовать в качестве расширенной неопределенности при измерении испытательного напряжения до следующей калибровки сертифицированной измерительной системы, при условии, что стабильность масштабного коэффициента проверяют промежуточными проверками рабочих характеристик (см.
5.3).
Примечание 4. В
разделе 5 приведен упрощенный метод оценки идентичной относительной расширенной неопределенности присвоенного масштабного коэффициента.
Б.2. Пример 2: Масштабный коэффициент измерительной системы импульсного напряжения (покомпонентный метод)
Измерительная система, предназначенная для измерения напряжения грозового импульса, состоит из импульсного делителя с номинальным напряжением 1,2 МВ, 10-битового цифрового регистратора и коаксиального кабеля длиной 20 м. Масштабные коэффициенты импульсного делителя (индекс "div" (от англ. "divider" - "делитель") и цифрового регистратора (индекс "rec" (от англ. "recorder" - "регистратор"), а также их расширенные неопределенности устанавливаются производителем:
Fdiv = 2015 (Udiv = 1,2%, P >= 95%, k = 2) и
Frec = 1,050 (Urec = 0,8%, P >= 95%, k = 2).
Неопределенность делителя включает составляющие неопределенности от испытания линейности до 1,2 МВ, от исследования динамических характеристик и от проверки краткосрочной стабильности. Дополнительную информацию по составляющим неопределенности от эффекта близости окружающих объектов и от долгосрочной стабильности предоставляет производитель. Калибровка цифрового регистратора была произведена во всех поддиапазонах от 60 до 100% полного отклонения методом применения калибровочных импульсов согласно IEC 61083-1. Переходная характеристика регистратора является достаточно ровной, из чего можно заключить, что масштабный коэффициент не зависит от временных параметров измеряемого импульса в границах специфицированного диапазона напряжения грозового импульса.
Для того чтобы получить неопределенность укомплектованной измерительной системы, пользователь должен выявить дополнительные составляющие неопределенности, либо выписать их значения из паспорта измерительной системы делителя и регистратора, либо определить при помощи дополнительных испытаний. Принимается, что далее следующие влияющие величины имеют равномерный закон распределения и его половинную часть a
i, из которой высчитывают составляющую неопределенности как

. Годовая долгосрочная нестабильность указывается производителем и должна находиться в пределах +/- 0,3% для делителя и +/- 0,2% для регистратора. Краткосрочная нестабильность регистратора должна находиться в пределах +/- 0,3%. Влияние от эффекта близости окружающих объектов не обязательно определять, так как делитель располагается на указанном производителем расстоянии. Поскольку на напряжение грозовых импульсов, генерируемых в испытательной лаборатории пользователя, накладываются колебания (пульсации) порядка 2%, то составляющая неопределенности в пределах +/- 0,3% приписывается программному обеспечению регистратора, используемому для расчета пикового значения от базовой кривой согласно частотной зависимости коэффициента k (см. IEC 60060-1, раздел 8).
Базовая модель функции для определения приписанного масштабного коэффициента F укомплектованной измерительной системы определяется как
F = Fdiv·Frec. (Б.5)
Модель функции дополняется подобно тому, как показано в
примере Б.1, посредством введения дополнительных членов

и

, вызванных перечисленными выше влияющими величинами. Эти члены обычно состоят из погрешности или рассчитанной из ее половинной части a
i (при допущении равномерного закона распределения вероятности), стандартной неопределенности

. Полная модель функции для масштабного коэффициента F
m полностью укомплектованной измерительной системы представлена ниже:

, (Б.6)
где

- составляющая, вызванная долгосрочной нестабильностью делителя;

- составляющая, вызванная долгосрочной нестабильностью регистратора;

- составляющая, вызванная краткосрочной нестабильностью регистратора;

- составляющая, вызванная программным обеспечением регистратора (внедрение коэффициента k).
Примечание 1. По определению погрешности

и

имеют отрицательный знак. Их определяют по формуле

.
Примечание 2. В этом примере

и члены от

до

являются составляющими только для неопределенности масштабного коэффициента F.
Значения и стандартные неопределенности всех входных величин вводят в правую часть модели
уравнения (Б.6). Модель уравнения может быть оценена вручную с использованием уравнений, данных в
Приложении А, или с помощью специального программного обеспечения, которое должно быть сертифицировано для расчета неопределенностей. Результаты оценки обобщены в таблице Б.4. В последней строке даны приписанный масштабный коэффициент F укомплектованной измерительной системы, его суммарная стандартная неопределенность и эффективные степени свободы.
Примечание 3. Оценка неопределенности не очень точная, поэтому высокая числовая точность не требуется.
Таблица Б.4
Бюджет неопределенности приписанного масштабного
коэффициента F
Величина | Значение | Составляющая стандартной неопределенности | Степени свободы | Коэффициент чувствительности | Составляющая суммарной стандартной неопределенности |
Fdiv | 2015 | | 50 | 1,05 | 13 |
| 0 | | | -1,05 | -3,7 |
Frec | 1,050 | | 50 | 2015 | 8,5 |
| 0 | | | -2015 | -2,4 |
| 0 | | | -2015 | -3,7 |
| 0 | | | -2015 | -3,7 |
F | 2115,8 | | 130 | | 16,7 |
<1> Нормальное распределение. <2> Равномерное распределение. |
Окончательный результат для приписанного масштабного коэффициента импульсной измерительной системы выражается как
FX = 2116 +/- 33 = 2116 (1 +/- 0,016) с коэффициентом охвата k = 2 при вероятности не менее 95%.
Относительная расширенная неопределенность приписанного масштабного коэффициента составляет значение U = 1,6%. Поскольку значение расширенной неопределенности включает составляющую неопределенности долгосрочной стабильности за один год, то это значение можно использовать в течение одного года и в качестве расширенной неопределенности при измерении испытательного напряжения, во всяком случае до следующей калибровки делителя и регистратора.
Б.3. Пример 3: Время нарастания (длительность переднего) фронта напряжения грозового импульса
Испытуемая измерительная система X с диапазоном нарастания напряжения грозового импульса до 2 МВ, состоящая из делителя напряжения и цифрового регистратора (10 бит, 100 МС/с), калибруется методом сличения с эталонной измерительной системой N при уровне грозовых импульсов, приблизительно равном 500 кВ
(рисунок Б.1). Систематическая средняя погрешность измерительной системы N при измерении времени нарастания (длительности переднего) фронта составляет

с расширенной неопределенностью U
N = 0,02 мкс (k = 2) в ее номинальном временном диапазоне.
Сличение проводят для n = 10 значений напряжения грозового импульса, имеющего специфицированное время нарастания (длительность переднего) фронта, с регистрацией значений одновременно двумя измерительными системами. Время нарастания (длительность переднего) фронта i-го импульса напряжения, зарегистрированного измерительной системой N (эталонное значение), определяют по формуле
T
1N,i = (t
90 - t
30)/0,6, (Б.7)
где t30 и t90 - соответственно время при уровнях 30% и 90% от амплитуды измеренного импульса, зарегистрированного измерительной системой N;
T1X,i - время нарастания (длительность переднего) фронта того же импульса напряжения, зарегистрированного измерительной системой X, рассчитанное таким же методом.
Для n = 10 разных значений времени нарастания (длительности переднего) фронта, измеренных системами X и N, определяют среднее значение полученного отклонения времени нарастания (длительности переднего) фронта,

по формуле

. (Б.8)
Сличения проводят для трех различных значений времени нарастания (длительности переднего) фронта: максимального, минимального и среднего от значения номинального временного диапазона, т.е. для T
1 ~ 0,8 мкс ~ 1,2 мкс и ~ 1,6 мкс. Для каждого из трех значений определяют среднее значение полученного отклонения

:

. (Б.9)
Другими словами,

является средним значением погрешности измерения времени нарастания (длительности переднего) фронта измерительной системы X относительно эталонной измерительной системы N в диапазоне T
1 = 0,8 мкс...1,6 мкс.
Модель функции погрешности измерительной системы X, скорректированной посредством введения поправки на погрешность

, определенной с помощью эталонной измерительной системы, представлена ниже:

. (Б.10)
Отдельные значения погрешностей и отклонений, полученные при сличении, приведены в таблице Б.5 и дополнительно показаны на
рисунке Б.2.
Таблица Б.5
Результаты сличений времени нарастания (длительности
переднего) фронта T1 и полученных отклонений
| Значение |
T1N,j | мкс | 0,80 | 1,20 | 1,60 |
T1X,j | мкс | 0,73 | 1,17 | 1,61 |
sj(T1x,j) | мкс | 0,015 | 0,01 | 0,01 |
| мкс | -0,07 | -0,03 | 0,01 |
| мкс | -0,03 |
Рисунок Б.2. Отклонение времени нарастания фронта
(длительности переднего фронта)

измерительной системы X
по отношению к эталонной измерительной системе N
и их среднее значение

в диапазоне
T1 = 0,8...1,6 мкс
Из максимального среднеквадратического стандартного отклонения трех значений T1X,j рассчитывают стандартную неопределенность по типу A

. (Б.11)
Так как T1X напрямую не указывают в модели функции, то uA(T1X) вводят как отдельную величину в бюджет неопределенности (см. таблицу Б.6).
Таблица Б.6
Бюджет неопределенности результата погрешности времени
нарастания (длительности переднего фронта)

при калибровке
Величина | Значение, мкс | Составляющая стандартной неопределенности, мкс | Степени свободы | Коэффициент чувствительности | Составляющая суммарной стандартной неопределенности, мкс |
| 0,01 | | 50 | 1 | 0,01 |
| -0,03 | | | 1 | 0,023 |
UA(T1X) | 0,0 | | 9 | 1 | 0,0047 |
| -0,020 | | 1700 | | 0,0256 |
<1> Нормальное распределение. <2> Равномерное распределение. |
Максимальное отклонение трех отдельных T
1X,j значений от их среднего значения

дает стандартную неопределенность по типу B

. (Б.12)
Значения и стандартные неопределенности всех входных величин вводятся в правую часть модели
уравнения (Б.8 и
Б.7). Модель уравнения может быть оценена вручную с использованием уравнений, данных в
Приложении А, или с помощью специального программного обеспечения, сертифицированного для расчета неопределенностей. Результаты оценки обобщены в
таблице Б.6. В последней строке даны среднее значение результата погрешности

, его суммарная стандартная неопределенность и эффективные степени свободы. Большое значение

подтверждает нормальный закон распределения возможных значений

и, таким образом, коэффициент охвата k = 2 является легитимным (см. Приложение А,
таблица А.1).
Конечный результат калибровки выражается следующим образом:

с коэффициентом охвата k = 2 при вероятности не менее 95%.
Другими словами, время нарастания (длительность переднего) фронта, измеренное испытуемой измерительной системой X в номинальном временном диапазоне, является очень малой величиной - -0,02 мкс. В этом случае, если измерительная система X используется для измерения импульсных напряжений, скорректированное время нарастания (длительность переднего фронта) T1cor получают введением поправки 0,02 мкс к измеренному значению T1meas. Если нет необходимости учитывать другие составляющие неопределенности к измеряемому времени нарастания (длительности переднего) фронта, то расширенная неопределенность T1cor составляет значение 0,051 мкс (k = 2).
Дополнительные составляющие неопределенности могут возникать в случае, когда цифровой регистратор измерительной системы X используется в диапазонах, отличных от тех, в которых проводилась калибровка методом сличения. В этом случае должна быть проведена оценка влияния на измерение уровней t
30 и t
90 и оценка допустимого отклонения T
1 в соответствии с
уравнением (Б.7), из которого в бюджет неопределенности вводят соответствующую неопределенность по типу B.
(справочное)
ИЗМЕРЕНИЯ ПЕРЕХОДНОЙ ХАРАКТЕРИСТИКИ
В.1. Общие положения
Измерение переходной характеристики является традиционным методом для выявления динамических характеристик делителя импульсного напряжения, импульсного осциллографа и цифрового регистратора. Поскольку нет прямой зависимости между параметрами переходной характеристики и корректным измерением импульсных напряжений, данное испытание потеряло свое значение для требований настоящего стандарта, но остается важным для охарактеризования динамических характеристик в объединении со сличительными измерениями (
8.4.2,
9.3.2) и особенно для усовершенствования делителей и оборудования. Более того, его применяют для эксплуатационных проверок динамических характеристик (см.
8.5.3 и
9.5.3).
Для оценки погрешностей при измерениях временных параметров методом свертки
(Приложение Г) необходимо точное измерение переходной характеристики.
В.2.1.
опорный уровень l
R (reference level l
R) (только для импульсных измерений): Среднее значение переходной характеристики, взятой в номинальном временном диапазоне (см.
В.2.10 и рисунок В.1, a), т.е. в пределах диапазона от 0,5t
min до 2t
max.
a - Определения для нормализованной переходной
характеристики g(t)
b - Определения интеграла переходной характеристики T(t)
Рисунок В.1. Определения переходных характеристик
Примечание. Измерительная система может иметь более одного опорного уровня, например это может иметь место при различных масштабных коэффициентах для разных форм сигнала, что приводит к изменению опорного уровня (см.
3.5.4 и
рисунок В.1, a).
В.2.2.
виртуальное начало переходной характеристики (условная начальная точка переходной характеристики) (origin of a step response), O
1: Точка, когда кривая переходной характеристики впервые стартует монотонно, нарастая выше амплитуды шума на нулевом уровне переходной характеристики (см.
рисунок В.1, a).
Примечание 1. В некоторых случаях единица переходной характеристики стартует с начальным искажением
(рисунок В.2). Тогда начальная точка O
1 должна быть определена пересечением с осью времени прямой линии, проведенной по касательной к самой крутой части фронта переходной характеристики. Начальное искажение может характеризоваться параметром T
0 (время начального искажения), который соответствует части площади(ей) между нулевой линией и единичной линией переходной характеристики до O
1.
Рисунок В.2. Нормализованная переходная характеристика
g(t), демонстрирующая начальное искажение начального
времени искажения T0
Примечание 2. Все временные величины (кроме T0) измеряются от начальной точки O1.
В.2.3.
нормализованная переходная характеристика (unit/normalized step response), g(t): Переходная характеристика, нормализованная таким образом, что опорный уровень становится единичным, а нулевой уровень остается нулевым.
Примечание. Измерительная система имеет нормированную переходную характеристику для каждого опорного уровня. Начальная точка O1 переходной характеристики взаимосвязана с нормированной переходной характеристикой.
В.2.4.
интеграл переходной характеристики (step response integral), T(t): Интеграл по пределам от O
1 до t, единица минус величина нормированной переходной характеристики g(t) (см.
рисунок В.1 , b)

. (В.1)
В.2.5.
экспериментальное время реакции (experimental response time), TN: Значение интеграла переходной характеристики при 2·tmax
TN = T(2·tmax). (В.2)
В.2.6.
частичное время реакции (partial response time),

: Максимальное значение интеграла переходной характеристики для t <= 2·t
max (рисунок В.1, b), равного заштрихованной области на
рисунке В.1, a.
Примечание. Обычно

, где t
1 - время, при котором g(t) впервые достигает амплитуды, равной единице
(рисунок В.1, a).
В.2.7.
остаточное время реакции (residual response time), TR(ti): Разница между экспериментальным временем отклика TN значением интеграла переходной характеристики для некоторого нормированного времени ti, где ti < 2·tmax:
TR(ti) = TN - T(ti). (В.3)
В.2.8.
выброс нормированной переходной характеристики (overshoot of the unit step response),

: Разность между максимальным g
max(t) значением нормированной переходной характеристики и единицей нормированной переходной характеристики в процентном выражении

. (В.4)
В.2.9.
время успокоения (settling time), ts: Наименьшее время, при котором остаточное время реакции TR(t) принимает определенную величину и остается меньше, чем 2% от t
|TN - T(t)| < 0,02t, (В.5)
которое должно быть измерено для всех значений во временном диапазоне от O
1 до наибольшего значения времени до полуспада (длительности импульса) T
2max импульсного напряжения
(рисунок В.1, b).
опорный временной диапазон (reference level epoch) (только для импульсных измерений): Временной диапазон, в котором определяется опорный уровень переходной характеристики, начиная от ее нижнего уровня, равного 0,5 нижнего предела номинального временного диапазона (0,5fmin), до ее верхнего уровня, равного 2 верхним пределам номинального временного диапазона (2fmax).
В.3. Схемы для измерений переходной характеристики
Схема цепи, используемой для определения переходной характеристики, должна быть представлена в паспорте измерительной системы и должна максимально соответствовать рабочим условиям эксплуатации.
Схемы измерения переходной характеристики представлены на
рисунке В.3. Предпочтительными являются схемы, приведенные на
рисунках В.3, a и
В.3, b, в которых генератор ступенчатых сигналов располагается у металлической стены
(рисунок В.3, a) или у металлической ленты
(рисунок В.3, b) шириной не менее 1 м, которая одновременно служит заземлением. Для того чтобы сформировать ступенчатое напряжение, на измерительную систему следует подавать медленно нарастающее импульсное напряжение либо постоянное напряжение, которое затем срезается с помощью реле или искрового разрядника. Приемлемыми считаются следующие методы формирования срезанного напряжения:
- с помощью реле с контактами, смоченными ртутью, что позволяет получать ступенчатые импульсы до нескольких сотен вольт;
- с помощью воздушных промежутков при атмосферном давлении с однородным электрическим полем и межэлектродным расстоянием до нескольких миллиметров, что позволяет получать ступенчатые импульсы до нескольких киловольт;
- с помощью разрядного промежутка в сжатом газе с однородным полем и межэлектродным расстоянием до нескольких миллиметров, что позволяет получать ступенчатые импульсы до нескольких десятков киловольт.
Рисунок В.3, a. Предпочтительная схема цепи
Рисунок В.3, b. Предпочтительная схема цепи
для больших делителей
Рисунок В.3, c. Альтернативная схема цепи
для больших делителей
Рисунок В.3, d. Типовая схема цепи ступенчатого генератора
Примечание. G - срезающее устройство для генерирования ступенчатых импульсов.
Рисунок В.3. Цепи, подходящие для измерения переходных
характеристик
Если ступенька напряжения генерируется с использованием генератора повторяющихся импульсов, то длительность ступенчатого импульса и интервала между ними должна быть выбрана таким образом, чтобы не появлялись дополнительные искажения в сравнении с одиночным импульсом.
В.4. Требования к переходной характеристике компонента
На компонент, обычно преобразовательное устройство или измерительный регистратор, воздействует напряжение ступеньки, и его выходное значение должно быть измерено. Время нарастания (длительность переднего) фронта прикладываемого ступенчатого импульса должно быть менее 1/5 времени частичного отклика

. Для уменьшения влияния небольших искажений и помех, наложенных на переходные характеристики, рекомендуется незначительное сглаживание зарегистрированных данных переходных характеристик.
Нормированная переходная характеристика в пределах выбранного опорного временного диапазона не должна отклоняться от единицы более чем на +/- 2%. Нормированная переходная характеристика при времени tf калибровки форм сигнала, используемая для измерения приписанного масштабного коэффициента, не должна отклоняться от опорного уровня более чем на +/- 1%, при условии, что tf вне диапазона номинального временного интервала. При использовании напряжения полного грозового импульса tf равно 2T1, т.е. это значение в 2 раза больше времени нарастания импульса. Если прибор предназначен для измерения грозового импульса со срезанным передним фронтом, то tf равно 2Tc, т.е. это значение в 2 раза больше времени до среза импульса. Если прибор предназначен для измерения коммутационного импульса, то tf равно Tp, т.е. это значение является временем до максимума импульса. Если прибор предназначен для измерения постоянного напряжения, то tf равно 100 мс. Если прибор предназначен для измерения переменного напряжения, то tf равно одной четверти периода напряжения.
Требования к переходным характеристикам эталонных измерительных систем импульсного напряжения представлены в
10.2.3.
(справочное)
МЕТОД СВЕРТКИ ДЛЯ ОПРЕДЕЛЕНИЯ ДИНАМИЧЕСКИХ ХАРАКТЕРИСТИК
ПОСРЕДСТВОМ ИЗМЕРЕНИЯ ПЕРЕХОДНОЙ ХАРАКТЕРИСТИКИ
Г.1. Общие положения
Метод свертки используют для оценки динамических характеристик делителей импульсного напряжения, цифровых регистраторов или полностью укомплектованной измерительной системы импульсного напряжения посредством измерения их переходных характеристик
(Приложение В).
Метод свертки использует переходную характеристику измерительной системы для расчета формы импульсного напряжения на ее выходе по форме импульсного напряжения на ее входе. Погрешности измерения параметров формы импульсов на выходе измерительной системы по отношению к форме входного сигнала могут быть использованы для оценки эксплуатационных характеристик измерительной системы, с помощью которой будут в дальнейшем проводиться измерения импульсов определенной формы.
Метод свертки предполагает, что переходная характеристика измерительной системы корректно измерена, а входная форма волны, используемая для расчета, представляет собой реальную форму импульса, которую надо будет измерить.
Г.2. Метод свертки
Если форма входного импульсного сигнала и нормированная переходная характеристика
(Приложение В) измерительной системы импульсного напряжения есть функции V
in(t) и g(t) соответственно, то на выходе имеет место функция V
out(t), и она может быть выражена следующим интегралом свертки:

, (Г.1)
где t - соответствующее время и

- первая производная входного сигнала импульсного напряжения с функцией V
in(t).
Если функции g(t) и Vin(t) являются выборками из одного и того же интервала выборок и количество выборок функции g(t) совпадает с количеством выборок функции Vin(t), то интеграл от непрерывных функций (Г.1) сводится к дискретной сумме свертки

i = 0, 1, 2, ..., n - 1, (Г.2)
где Vout(i) - массив дискретных выходных значений;

- первая производная входного массива;
g(i) - массив нормированных переходных характеристик;
n - количество сэмплов входного массива; и

- исходный интервал входного и выходного массивов и массива переходных характеристик.
Г.3. Методика проведения расчета методом свертки
Этот метод основывается на определении дискретной суммы свертки, выраженной
уравнением (Г.2). Он применяется при компьютерном способе расчетов, использующем цифровую регистрацию импульсных напряжений. Данный метод используется для оценки погрешностей измерения импульсной измерительной системой параметров выходного импульсного сигнала относительно параметров входного сигнала. Метод, представленный в данном разделе, описывает только основные этапы расчета. Ниже перечислены эти этапы:
a) получение совокупности значений входного импульсного сигнала Vin(i) для i = 0, 1, 2, ..., n - 1 и расчет их импульсных параметров;
b) частота (дискретизации) выборки входного импульсного сигнала должна быть идентична частоте (дискретизации) выборки нормализованной переходной характеристики с числом выборок, равным числу выборок нормализованной переходной характеристики [см.
этап c)]. Входной импульсный сигнал должен иметь сглаженную форму с наибольшей частотой шума, опускающейся ниже уровня частоты Найквиста (половина всей совокупности частот импульса). Сглаженная совокупность значений входного сигнала и параметры импульса могут быть получены с помощью одного из следующих способов:
1) используя аналитическое выражение для импульса, например сумму двух идеальных экспоненциальных функций. Параметры импульса данной формы могут быть определены либо из того же аналитического выражения, либо с помощью программы по обработке импульсов, поставляемой вместе с испытуемой цифровой импульсной измерительной системой;
2) используя зарегистрированный реальный импульс определенной формы, сглаженный точным цифровым низкочастотным фильтром или с помощью алгоритма, позволяющего выполнять кусочно-кубическую аппроксимацию сглаживания кривых. Параметры импульса данной формы также могут быть получены с помощью программного обеспечения по обработке импульсов, поставляемого вместе с испытуемой цифровой импульсной измерительной системой;
c) получение первой производной

для i = 0, 1, 2, ..., n - 1 от входного импульсного сигнала V
in(i) численными методами дифференцирования;
d) получение совокупности значений нормализованной переходной характеристики g(i) для i = 0, 1, 2, ..., m - 1 и m = n + j,
где j - количество точек перед начальным моментом регистрации переходной характеристики O1;
1) преобразование измеренной переходной характеристики в нормализованную
(Приложение В). Для получения нормализованной переходной характеристики с низким уровнем шума в целях свертки может быть использовано усреднение нескольких зарегистрированных переходных характеристик. Сглаживание совокупности значений нормализованной переходной характеристики g(i) становится менее критичным, если
уравнение (Г.2) используется для расчета свертки и уже проведено сглаживание совокупности значений импульса V
in(i);
2) получение нулевого уровня, l0, переходной характеристики посредством усреднения совокупности значений выборки переходной характеристики s(i), зарегистрированных до начала порога ступенчатого импульса;
3) получение опорного уровня, lR, переходной характеристики посредством усреднения совокупности значений выборки переходной характеристики s(i), зарегистрированных в пределах временного диапазона, включая минимальную длительность фронта импульса, для регистрации которой предназначена измерительная система, и вплоть до времени, соответствующего частоте, при которой был определен масштабный коэффициент преобразовательного устройства;
4) нормализация совокупности значений переходной характеристики s(i) во временную совокупность значений нормализованной переходной характеристики g0(i) осуществляется с помощью формулы

; (Г.3)
5) определение амплитуды шума при нулевом уровне посредством нахождения стандартного отклонения d0 совокупности значений выборки g0(i) перед началом ступени. Повторение процедуры в обратном направлении от конца g0(i), нахождение значений выборки, превышающих в три раза стандартное отклонение d0. Время этой выборки считается начальной точкой O1 для g0(i). Выборке присваивается индекс j;
6) построение нормализованной переходной характеристики g(t) от начальной точки начинается с удаления значения выборок g0(i), расположенных до начальной точки, т.е.
g(i - j) = g0(i), i = j, ..., m + j - 1. (Г.4)
Примечание. Регистрируемая функция g0(i) имеет m + j точек. Нормализованная переходная характеристика g(i - j) имеет n = m точек после удаления j точек до начальной точки O1;
e) получение выходной совокупности и совокупности параметров импульсов:
1) получение выходной совокупности для импульса данной формы V
out(i) с помощью расчета по
формуле (Г.2) для временной или частотной областей;
2) расчет параметров импульса Vout(i) с помощью программного обеспечения, поставляемого вместе с испытуемой импульсной измерительной системой;
3) расчет погрешности измерения Vout(i) как разность между выходными Vout(i) и входными Vin(i) значениями параметров импульса.
Г.4. Составляющие неопределенности
Погрешности измерения, найденные методом свертки, могут быть использованы для коррекции рассчитанных параметров. Однако такая коррекция требует заранее (до опыта) известных данных о форме импульса, т.е. если импульс имеет форму, отличную от стандартной, то такая коррекция недостоверна. Погрешности измерения и их разброс для различных форм импульса могут быть использованы для оценки составляющих суммарной неопределенности измерения интересующего параметра. Расчет неопределенности измерения должен быть проведен в соответствии с Руководством ISO/IEC Guide 98-3, см. также
Приложение А и примеры, данные в
Приложении Б.
Г.5. Расчет погрешностей параметров импульсов
Г.5.1. Погрешность измерения амплитуды
Единичный уровень нормализованной переходной характеристики обычно не остается постоянным. Поэтому расчетные значения погрешности измерения амплитуды импульса часто более существенны по сравнению с погрешностью, определенной методом свертки, хотя при этом они могут быть меньше по сравнению с требуемой неопределенностью измерения амплитуды. Расчетная относительная погрешность измерения амплитуды импульса должна быть равна относительной разности между единичным значением и значением g(i) в момент времени, равный примерно удвоенному значению длительности фронта T1 входного импульса Vin(i). Для подтверждения корректности проведения расчетов по методу свертки рассчитанную погрешность измерения амплитуды импульса можно сравнить с нормализованной переходной характеристикой.
Г.5.2. Погрешность измерения времени нарастания (длительности переднего) фронта импульса
С помощью метода свертки можно обнаружить изменение формы импульса, вызванное рабочими характеристиками измерительной системы, и таким образом определить величину погрешности измерения длительности фронта импульса, которая не может быть выявлена с помощью переходной характеристики. Вследствие замедленной переходной характеристики длительность фронта выходного сигнала становится больше. Кроме того, на величину длительности фронта импульса оказывают влияние выбросы или провалы переходной характеристики. В зависимости от момента времени, при котором появляются выбросы или провалы на переходной характеристике, фронт импульса может по-разному изменяться, что приводит либо к увеличению, либо к уменьшению значения длительности фронта.
Г.5.3. Погрешность измерения времени до полуспада (длительности импульса)
Время полуспада (длительность оцениваемого импульса) в основном зависит от разности между значением g(i) при времени, приблизительно равном удвоенному значению длительности фронта импульса T1, и значением g(i) при времени, равном T2. Для оценки погрешности измерения длительности импульса T2, которая не может быть оценена непосредственно из переходной характеристики, может быть использован метод свертки.
IEC 60050 (300):200 Международный электротехнический словарь. Электрические и электронные измерения и измерительные приборы. Часть 3.11. Общие термины, относящиеся к измерениям. Часть 312. Общие термины, относящиеся к электрическим измерениям. Часть 313. Типы электрических приборов. Часть 314. Специальные термины, соответствующие типу прибора (IEC 60050 (300):2001, International Electrotechnical Vocabulary - Electrical and electronic measurements and measuring instruments - Part 311: General terms relating to measurements; Part 312: General terms relating to electrical measurements; Part 313: Types of electrical measuring instruments; Part 314: Specific terms according to the type of instrument)
IEC 60050 (321):1986 Международный электротехнический словарь. Глава 321. Измерительные трансформаторы (IEC 60050 (321):1986, International Electrotechnical Vocabulary (IEV) - Part 321: Instrument transformers)
ГОСТ 30012.9-93 Приборы аналоговые, показывающие электроизмерительные прямого действия и вспомогательные части к ним. Часть 9. Рекомендуемые методы испытаний
ГОСТ 8711-93 Приборы аналоговые, показывающие электроизмерительные прямого действия и вспомогательные части к ним. Часть 2. Особые требования к амперметрам и вольтметрам
ГОСТ 30012.1-2002 Приборы аналоговые, показывающие электроизмерительные прямого действия и вспомогательные части к ним. Часть 1. Определения и основные требования, общие для всех частей
IEC 60060-3:2006 Технология испытаний высоким напряжением. Часть 3. Определения и требования к испытаниям на месте (IEC 60060-3:2006, High-voltage test techniques - Part 3: Definitions and requirements for on-site testing)
IEC 61083-1:2001 Аппаратура и программное обеспечение, применяемые при испытаниях импульсами высокого напряжения. Часть 1. Требования к аппаратуре
IEC 62475:2010 Методы испытания током большой величины. Определения и требования к токам для испытания и к измерительным системам (IEC 62475:2010, High-current test techniques - Definitions and requirements for test currents and measuring systems)
Руководство JCGM 200:2008 Международный словарь по метрологии. Основные и общие понятия и соответствующие термины (VIM) (JCGM 200:2008, International vocabulary of metrology - Basic and general concepts and associated terms (VIM), http://www.bipm.org/en/publications/guides
J.G. Proakis and D.G. Manolakis: Introduction to Digital Signal Processing. Macmillan Publishing Company, New York, 1988 (Й.Г. Проакис и Д.Г. Манолакис: Введение в цифровую обработку данных. Публикация компании Макмиллан, Нью-Йорк, 1998)
Y. Li, J. Rungis and A. Pfeffer: The Voltage and Time Parameter Measurement Uncertainties of a Large Damped Capacitor Divider due to its Non-ideal Step Response. Proceedings of 15th International Symposium on High Voltage Engineering, Ljubljana, 2007 (Ю. Ли, Ю. Рунгис и А. Пфеффер: Напряжение и временные параметры неопределенности измерения больших демпфированных емкостных делителей вследствие их неидеальных переходных характеристик. Протоколы 15-го Международного симпозиума по высоковольтным разработкам, Любляна, 2007)