Главная // Актуальные документы // ГОСТ Р (Государственный стандарт)СПРАВКА
Источник публикации
В данном виде документ опубликован не был.
Первоначальный текст документа опубликован в издании
М.: Стандартинформ, 2012.
Информацию о публикации документов, создающих данную редакцию, см. в справке к этим документам.
Примечание к документу
Название документа
"ГОСТ Р 54855-2011. Национальный стандарт Российской Федерации. Материалы и изделия строительные. Определение расчетных значений теплофизических характеристик"
(утв. и введен в действие Приказом Росстандарта от 15.12.2011 N 1560-ст)
(ред. от 17.09.2021)
"ГОСТ Р 54855-2011. Национальный стандарт Российской Федерации. Материалы и изделия строительные. Определение расчетных значений теплофизических характеристик"
(утв. и введен в действие Приказом Росстандарта от 15.12.2011 N 1560-ст)
(ред. от 17.09.2021)
Утвержден и введен в действие
агентства по техническому
регулированию и метрологии
от 15 декабря 2011 г. N 1560-ст
НАЦИОНАЛЬНЫЙ СТАНДАРТ РОССИЙСКОЙ ФЕДЕРАЦИИ
МАТЕРИАЛЫ И ИЗДЕЛИЯ СТРОИТЕЛЬНЫЕ
ОПРЕДЕЛЕНИЕ РАСЧЕТНЫХ ЗНАЧЕНИЙ
ТЕПЛОФИЗИЧЕСКИХ ХАРАКТЕРИСТИК
Building materials and products.
Determination of design thermal value
ГОСТ Р 54855-2011
| | Список изменяющих документов Росстандарта от 17.09.2021 N 986-ст) | |
Дата введения
1 июля 2012 года
Цели и принципы стандартизации в Российской Федерации установлены Федеральным
законом от 27 декабря 2002 г. N 184-ФЗ "О техническом регулировании", а правила применения национальных стандартов Российской Федерации -
ГОСТ Р 1.0-2004 "Стандартизация в Российской Федерации. Основные положения"
1 РАЗРАБОТАН Учреждением Научно-исследовательский институт строительной физики Российской академии архитектуры и строительных наук (НИИСФ РААСН)
2 ВНЕСЕН Техническим комитетом по стандартизации ТК 465 "Строительство"
3 УТВЕРЖДЕН И ВВЕДЕН В ДЕЙСТВИЕ
Приказом Федерального агентства по техническому регулированию и метрологии от 15 декабря 2011 г. N 1560-ст
4 ВВЕДЕН ВПЕРВЫЕ
Информация об изменениях к настоящему стандарту публикуется в ежегодно издаваемом информационном указателе "Национальные стандарты", а текст изменений и поправок - в ежемесячно издаваемых информационных указателях "Национальные стандарты". В случае пересмотра (замены) или отмены настоящего стандарта соответствующее уведомление будет опубликовано в ежемесячно издаваемом информационном указателе "Национальные стандарты". Соответствующая информация, уведомление и тексты размещаются также в информационной сети общего пользования - на официально сайте Федерального агентства по техническому регулированию и метрологии в сети Интернет
(раздел 1 в ред.
Изменения N 1, утв. Приказом Росстандарта от 17.09.2021 N 986-ст)
Настоящий стандарт распространяется на строительные материалы и изделия и устанавливает методы инструментального определения эксплуатационных значений теплофизических характеристик, а также правила пересчета значений указанных характеристик, полученных при одних условиях, в значения, действительные при других условиях применения материалов.
В настоящем стандарте использованы ссылки на следующие стандарты:
ГОСТ 8.207 <*> Государственная система обеспечения единства измерений. Прямые измерения с многократными наблюдениями. Методы обработки результатов наблюдений. Основные положения
(в ред.
Изменения N 1, утв. Приказом Росстандарта от 17.09.2021 N 986-ст)
--------------------------------
<*> В Российской Федерации действует
ГОСТ Р 8.736-2011 "Государственная система обеспечения единства измерений. Измерения прямые многократные. Методы обработки результатов измерений. Основные положения".
(сноска введена
Изменением N 1, утв. Приказом Росстандарта от 17.09.2021 N 986-ст)
ГОСТ 7076-99 Материалы и изделия строительные. Метод определения теплопроводности и термического сопротивления при стационарном тепловом режиме
ГОСТ 17177-94 Материалы и изделия строительные теплоизоляционные. Методы испытаний
ГОСТ 24816-81 Материалы строительные. Метод определения сорбционной влажности
ГОСТ 25898-83 Материалы и изделия строительные. Методы определения сопротивления паропроницанию
Примечание - При пользовании настоящим стандартом целесообразно проверить действие ссылочных стандартов в информационной системе общего пользования - на официальном сайте Федерального агентства по техническому регулированию и метрологии или по ежегодно издаваемому информационному указателю "Национальные стандарты", который опубликован по состоянию на 1 января текущего года, и по соответствующим информационным указателям, опубликованным в текущем году. Если ссылочный стандарт заменен (изменен), то при пользовании настоящим стандартом следует руководствоваться заменяющим (измененным) стандартом. Если ссылочный стандарт отменен без замены, то положение, в котором дана ссылка на него, применяется в части, не затрагивающей эту ссылку.
3 Термины, определения, обозначения и единицы измерения
3.1 Термины и определения
В настоящем стандарте применены следующие термины с соответствующими определениями:
3.1.1 расчетный коэффициент теплопроводности (расчетная теплопроводность): Значение теплопроводности строительного материала в конкретных условиях эксплуатации, принимаемое при расчете приведенного сопротивления теплопередаче ограждающей конструкции.
(п. 3.1.1 в ред.
Изменения N 1, утв. Приказом Росстандарта от 17.09.2021 N 986-ст)
3.1.2 расчетный коэффициент паропроницаемости (расчетная паропроницаемость): Значение паропроницаемости строительного материала в конкретных условиях эксплуатации, принимаемое при расчете условий защиты от переувлажнения ограждающей конструкции.
(п. 3.1.2 в ред.
Изменения N 1, утв. Приказом Росстандарта от 17.09.2021 N 986-ст)
3.1.3 эксплуатационная влажность (расчетная влажность А или Б): Значение влажности строительного материала, характерное для эксплуатации конструкции в отопительный период, с учетом влияния внешней и внутренней среды, используемое при определении расчетной теплопроводности материала.
(п. 3.1.3 в ред.
Изменения N 1, утв. Приказом Росстандарта от 17.09.2021 N 986-ст)
3.2 Обозначения и единицы измерения
Условные обозначения характеристик и единицы их измерения приведены в таблице 1.
Таблица 1
Обозначения и единицы измерения
Обозначения | Параметр | Единица измерения |
FT | Поправка к коэффициенту теплопроводности в зависимости от температуры | - |
T | Термодинамическая температура | К |
fT | Коэффициент влияния температуры | К-1 |
w | Влажность материала по массе | % |
| Коэффициент теплопроводности (теплопроводность) | Вт/(м·°C) |
| Коэффициент паропроницаемости строительного материала | мг/(м·ч·Па) |
| Плотность | кг/м3 |
m | Масса образца | кг |
4 Определение расчетной теплопроводности материала
Теплопроводность сухих и влажных образцов материала измеряют по
ГОСТ 7076 при средней температуре образца (25 +/- 1) °C [(298 +/- 1) К].
Измерения теплопроводности образцов материала в сухом состоянии проводят на образцах, высушенных до постоянной массы по 4.2. Измерения теплопроводности увлажненных образцов материала проводят при влажности, близкой к влажности при условиях эксплуатации А, и при влажности, близкой к влажности при условиях эксплуатации Б, по
4.4.
(в ред.
Изменения N 1, утв. Приказом Росстандарта от 17.09.2021 N 986-ст)
4.2 Подготовка образцов к испытанию
Измерения теплопроводности проводят на пяти образцах, отобранных от пяти партий конкретной марки материала или изделия (по одному образцу от партии). Измерения теплопроводности каждого образца проводят в сухом состоянии и при двух значениях влажности.
Если размер пор, раковин или инородных включений в материале не превышает 0,1 толщины образца, допускается проводить испытания на образцах толщиной 20 - 30 мм. Для материалов толщиной 5 мм и менее допускается проводить испытания при послойном наложении образцов друг на друга до получения толщины 20 - 30 мм. Толщину образца следует измерять по
ГОСТ 17177.
(в ред.
Изменения N 1, утв. Приказом Росстандарта от 17.09.2021 N 986-ст)
Отобранные образцы высушивают до постоянной массы при температуре, указанной в нормативном документе на данный материал, или в соответствии с требованиями
ГОСТ 17177. Образец считают высушенным до постоянной массы, если расхождения между результатами двух последовательных взвешиваний не будут превышать 0,5%, при этом время сушки должно быть не менее 0,5 ч. По окончании сушки определяют массу

и теплопроводность

каждого образца в сухом состоянии.
4.3 Определение эксплуатационной влажности материала
Значения эксплуатационной влажности исследуемого материала для условий эксплуатации А и Б следует принимать по значениям влажности аналогичного материала, приведенным в
приложении А. При этом следует учитывать следующие условия:
- если определенное по
приложению А значение эксплуатационной влажности материала для условий эксплуатации А оказалось меньше, чем значение сорбционной влажности материала при относительной влажности воздуха 80%, то в качестве эксплуатационной влажности материала для условий эксплуатации А следует принимать значение сорбционной влажности материала при относительной влажности воздуха 80%;
- если определенное по
приложению А значение эксплуатационной влажности материала для условий эксплуатации Б оказалось меньше значения сорбционной влажности материала при относительной влажности воздуха 97%, то в качестве эксплуатационной влажности материала для условий эксплуатации Б следует принимать значение сорбционной влажности материала при относительной влажности воздуха 97%.
(в ред.
Изменения N 1, утв. Приказом Росстандарта от 17.09.2021 N 986-ст)
Сорбционную влажность материала или изделия определяют по
ГОСТ 24816. Статистическую обработку результатов измерения выполняют по
ГОСТ 8.207 при доверительной вероятности 0,95 для нормального распределения результатов измерений. Неисключенную систематическую погрешность средств измерений следует принимать равной не менее 3% текущего значения теплопроводности.
4.4 Увлажнение образцов материала
4.4.1 Для каждого образца материала рассчитывают массу, до которой его следует увлажнить, чтобы получить значения влажности, соответствующие условиям эксплуатации А или Б:

; (1)

. (2)
4.4.2 Увлажнение проводят на установках, обеспечивающих принудительное насыщение образца водяным паром или капельно-воздушной смесью. Не допускается проводить увлажнение капельно-воздушной смесью теплоизоляционных материалов на основе минерального волокна.
Увлажнение образца паром проводят, не допуская его нагрева до температуры, выше которой происходит деструкция образца. Пар или капельно-воздушная смесь должны пронизывать (не омывать) образец.
4.4.3 Увлажнение образцов допускается проводить на установке, описанной ниже.
Образец плотно устанавливают в прямоугольный короб на сетку. Короб закрывают крышкой с подсоединенным к ней отсасывающим шлангом пылесоса. В короб с противоположного конца в течение нескольких минут (от 2 до 10) подают при работающем пылесосе пар или капельно-воздушную смесь. Затем образец охлаждают при комнатной температуре и взвешивают. Процедуру насыщения повторяют, поворачивая образец каждый раз другой поверхностью, до тех пор, пока не будет достигнута влажность по массе в интервале между

и

. После достижения заданной влажности образец помещают в камеру с относительной влажностью 97% (допускается выдерживать образец в камере нормального твердения бетона). Ежечасно в течение 4 ч образец переворачивают, затем устанавливают вертикально (на ребро) и выдерживают до проведения испытаний по определению теплопроводности:
(в ред.
Изменения N 1, утв. Приказом Росстандарта от 17.09.2021 N 986-ст)
- не менее 2 сут - образцы из материала на основе минерального волокна;
- не менее 14 сут - образцы из других строительных материалов, в том числе изготовленных из пенопласта и пенокаучука.
4.5 Измерение теплопроводности
Теплопроводность сухих

и увлажненных образцов материала

определяют при градиенте температуры в образце не более 1 град/см, за исключением образцов толщиной менее 20 мм, для которых градиент температуры допускается до 2 град/см. До проведения измерений используемый для определения теплопроводности прибор должен быть выведен на заданный режим испытаний при загруженном в него образце материала, аналогичного исследуемому. Влажный образец взвешивают перед помещением в прибор незамедлительно после проведения измерения.
Фактическую влажность образца до испытания

, % по массе, определяют по формуле

, (3)
после испытания

, % по массе, - по формуле

. (4)
Значение влажности

, при которой была определена теплопроводность образца, вычисляют как среднеарифметическое значение влажности до и после проведения измерений по формуле

. (5)
Для уменьшения потери влаги в процессе измерения теплопроводности открытые грани образца закрывают вставками из материалов с низкой паропроницаемостью. Измерения считают удовлетворительными, если снижение влажности образца за время измерений не превысило 10%.
(в ред.
Изменения N 1, утв. Приказом Росстандарта от 17.09.2021 N 986-ст)
4.6 Обработка результатов измерений
Рассчитывают среднеарифметическое значение теплопроводности образцов материала в сухом состоянии

, Вт/(м·К), по формуле

. (6)
Для каждого образца вычисляют теплопроводность при значении влажности, соответствующей условиям эксплуатации А и Б, по формулам:

; (7)

. (8)
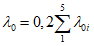
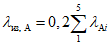
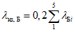
Рассчитывают среднеарифметическое измеренное значение теплопроводности

результатов пяти измерений для условий эксплуатации А и Б:

; (9)

. (10)
4.7 Пересчет значений теплопроводности на температуру, при которой принимаются расчетные значения
Поправку к коэффициенту теплопроводности по температуре

определяют по формуле

, (11)
где

- коэффициент влияния температуры;

- температура, при которой проводилось измерение теплопроводности, К;

- температура, при которой принимаются расчетные значения теплопроводности, К.
Коэффициент влияния температуры принимают равным

или определяют экспериментально при проведении измерений теплопроводности материала при различной температуре по
ГОСТ 7076.
Расчетные значения теплопроводности материала при условиях эксплуатации и А, и Б определяют по формулам:

; (12)

. (13)
4.8 Округление расчетных значений теплопроводности
Расчетные значения теплопроводности материала округляют согласно приведенным ниже правилам:
для теплопроводности

, Вт/(м·К):
- если

, то заявленное значение округляют до ближайшего большего числа с точностью до 0,001 Вт/(м·К);
- если

, то заявленное значение округляют до ближайшего большего значения с точностью до 0,005 Вт/(м·К);
- если

, то заявленное значение округляют до ближайшего большего числа с точностью до 0,01 Вт/(м·К);
- если

, то заявленное значение округляют до ближайшего большего значения с точностью до 0,1 Вт/(м·К).
5 Определение расчетной паропроницаемости материала
Расчетное значение паропроницаемости материала определяют по
ГОСТ 25898.
(обязательное)
ЭКСПЛУАТАЦИОННАЯ ВЛАЖНОСТЬ МАТЕРИАЛОВ
ПРИ УСЛОВИЯХ ЭКСПЛУАТАЦИИ А И Б
Таблица А.1
Росстандарта от 17.09.2021 N 986-ст)
Материалы (конструкции) | Эксплуатационная влажность материалов w, % по массе, при условиях эксплуатации |
А | Б |
1 Пенополистирол | 2 | 10 |
2 Пенополистирол экструзионный | 2 | 3 |
3 Пенополиуретан (PUR) | 2 | 5 |
4 Пенополиизоцианурат (PIR) | 2 | 5 |
5 Пенополиэтилен | 2 | 5 |
6 Плиты из резольно-фенолформальдегидного пенопласта | 5 | 20 |
7 Перлитопластбетон | 2 | 3 |
8 Теплоизоляционные изделия из вспененного синтетического каучука | 5 | 15 |
9 Маты и плиты из минеральной ваты (на основе каменного волокна и штапельного стекловолокна) | 2 | 5 |
10 Пеностекло или газостекло | 1 | 2 |
11 Плиты древесно-волокнистые и древесно-стружечные | 10 | 12 |
12 Плиты фибролитовые и арболит на портландцементе | 10 | 15 |
13 Плиты камышитовые | 10 | 15 |
14 Плиты торфяные теплоизоляционные | 15 | 20 |
15 Пакля | 7 | 12 |
16 Плиты на основе гипса | 4 | 6 |
17 Листы гипсовые обшивочные (сухая штукатурка) | 4 | 6 |
18 Изделия из вспученного перлита на битумном связующем | 1 | 2 |
19 Гравий керамзитовый | 2 | 3 |
20 Гравий шунгизитовый | 2 | 4 |
21 Щебень из доменного шлака | 2 | 3 |
22 Щебень шлакопемзовый и аглопоритовый | 2 | 3 |
23 Щебень и песок из вспученного перлита | 5 | 10 |
24 Вермикулит вспученный | 1 | 3 |
25 Песок для строительных работ | 1 | 2 |
26 Цементно-шлаковый раствор | 2 | 4 |
27 Цементно-перлитовый раствор | 7 | 12 |
28 Гипсоперлитовый раствор | 10 | 15 |
29 Поризованный гипсоперлитовый раствор | 6 | 10 |
30 Туфобетон | 7 | 10 |
31 Пемзобетон | 4 | 6 |
32 Бетон на вулканическом шлаке | 7 | 10 |
33 Керамзитобетон на керамзитовом песке и керамзитопенобетон | 5 | 10 |
34 Керамзитобетон на кварцевом песке с поризацией | 4 | 8 |
35 Керамзитобетон на перлитовом песке | 9 | 13 |
36 Шунгизитобетон | 4 | 7 |
37 Перлитобетон | 10 | 15 |
38 Шлакопемзобетон (термозитобетон) | 5 | 8 |
39 Шлакопемзопено- и шлакопемзогазобетон | 8 | 11 |
40 Бетон на доменных гранулированных шлаках | 5 | 8 |
41 Аглопоритобетон и бетон на топливных (котельных) шлаках | 5 | 8 |
42 Бетон на зольном гравии | 5 | 8 |
43 Вермикулитобетон | 8 | 13 |
44 Полистиролбетон | 4 | 8 |
45 Газо- и пенобетон, газо- и пеносиликат | 8 | 12 |
46 Газо- и пенозолобетон | 15 | 22 |
47 Кирпичная кладка из сплошного кирпича глиняного обыкновенного на цементно-песчаном растворе | 1 | 2 |
48 Кирпичная кладка из сплошного кирпича глиняного обыкновенного на цементно-шлаковом растворе | 1,5 | 3 |
49 Кирпичная кладка из сплошного кирпича глиняного обыкновенного на цементно-перлитовом растворе | 2 | 4 |
50 Кирпичная кладка из сплошного кирпича силикатного на цементно-песчаном растворе | 2 | 4 |
51 Кирпичная кладка из сплошного кирпича трепельного на цементно-песчаном растворе | 2 | 4 |
52 Кирпичная кладка из сплошного кирпича шлакового на цементно-песчаном растворе | 1,5 | 3 |
53 Кирпичная кладка из керамического пустотного кирпича плотностью 1400 кг/м3 (брутто) на цементно-песчаном растворе | 1 | 2 |
54 Кирпичная кладка из пустотного кирпича силикатного на цементно-песчаном растворе | 2 | 4 |
55 Древесина | 15 | 20 |
56 Фанера клееная | 10 | 13 |
57 Картон облицовочный | 5 | 10 |
58 Картон строительный многослойный | 6 | 12 |
59 Железобетон | 2 | 3 |
60 Бетон на гравии или щебне из природного камня | 2 | 3 |
61 Раствор цементно-песчаный | 2 | 4 |
62 Раствор сложный (песок, известь, цемент) | 2 | 4 |
63 Раствор известково-песчаный | 2 | 4 |
64 Гранит, гнейс и базальт | 0 | 0 |
65 Мрамор | 0 | 0 |
66 Известняк | 2 | 3 |
67 Туф | 3 | 5 |
68 Листы хризотилцементные плоские | 2 | 3 |
УДК 699.86:691:620.1:531.717:006.354 | | |
Ключевые слова: строительные материалы и изделия, теплофизические характеристики, расчетные значения, теплопроводность, паропроницаемость |