Главная // Актуальные документы // ГОСТ Р (Государственный стандарт)СПРАВКА
Источник публикации
М.: ФГБУ "Институт стандартизации", 2023
Примечание к документу
Документ
введен в действие с 01.09.2023.
Название документа
"ГОСТ Р 66.1.05-2023. Национальный стандарт Российской Федерации. Оценка опыта и деловой репутации субъектов предпринимательской деятельности. Национальная система стандартов. Оценка опыта и деловой репутации субподрядчиков"
(утв. и введен в действие Приказом Росстандарта от 22.08.2023 N 705-ст)
"ГОСТ Р 66.1.05-2023. Национальный стандарт Российской Федерации. Оценка опыта и деловой репутации субъектов предпринимательской деятельности. Национальная система стандартов. Оценка опыта и деловой репутации субподрядчиков"
(утв. и введен в действие Приказом Росстандарта от 22.08.2023 N 705-ст)
Утвержден и введен в действие
агентства по техническому
регулированию и метрологии
от 22 августа 2023 г. N 705-ст
НАЦИОНАЛЬНЫЙ СТАНДАРТ РОССИЙСКОЙ ФЕДЕРАЦИИ
ОЦЕНКА ОПЫТА И ДЕЛОВОЙ РЕПУТАЦИИ СУБЪЕКТОВ
ПРЕДПРИНИМАТЕЛЬСКОЙ ДЕЯТЕЛЬНОСТИ
НАЦИОНАЛЬНАЯ СИСТЕМА СТАНДАРТОВ
ОЦЕНКА ОПЫТА И ДЕЛОВОЙ РЕПУТАЦИИ СУБПОДРЯДЧИКОВ
Evaluation of experience and business reputation
of enterprises. The national system of standards.
Evaluation of experience and business reputation
of subcontractors
ГОСТ Р 66.1.05-2023
Дата введения
1 сентября 2023 года
1 РАЗРАБОТАН Обществом с ограниченной ответственностью "Центр исследований" (ООО "Центр исследований"), Ассоциацией "Общероссийская негосударственная некоммерческая организация - общероссийское отраслевое объединение работодателей "Национальное объединение саморегулируемых организаций, основанных на членстве лиц, осуществляющих строительство" (НОСТРОЙ), Автономной некоммерческой организацией "Национальное агентство мониторинга и статистики" (АНО "НАМИС")
2 ВНЕСЕН Техническим комитетом по стандартизации ТК 066 "Оценка опыта и деловой репутации предприятий"
3 УТВЕРЖДЕН И ВВЕДЕН В ДЕЙСТВИЕ
Приказом Федерального агентства по техническому регулированию и метрологии от 22 августа 2023 г. N 705-ст
4 ВВЕДЕН ВПЕРВЫЕ
Правила применения настоящего стандарта установлены в статье 26 Федерального закона от 29 июня 2015 г. N 162-ФЗ "О стандартизации в Российской Федерации". Информация об изменениях к настоящему стандарту публикуется в ежегодном (по состоянию на 1 января текущего года) информационном указателе "Национальные стандарты", а официальный текст изменений и поправок - в ежемесячном информационном указателе "Национальные стандарты". В случае пересмотра (замены) или отмены настоящего стандарта соответствующее уведомление будет опубликовано в ближайшем выпуске ежемесячного информационного указателя "Национальные стандарты". Соответствующая информация, уведомление и тексты размещаются также в информационной системе общего пользования - на официальном сайте Федерального агентства по техническому регулированию и метрологии в сети Интернет (www.rst.gov.ru)
Настоящий стандарт устанавливает специальные требования, модель и критерии оценки деловой репутации субподрядчиков.
Стандарт позволяет обеспечить единый и объективный подход при ранжировании, рейтинговании и выборе субподрядчиков для различных целей, в том числе при проведении различных видов закупок, включая конкурсы, а также оценки их репутационного потенциала и финансовой успешности.
Стандарт входит в национальную систему стандартов "Оценка опыта и деловой репутации субъектов предпринимательской деятельности", в соответствии с ОК 029 (КДЕС Ред. 2), относящихся к
разделу F "Строительство".
В настоящем стандарте использованы нормативные ссылки на следующие документы:
ГОСТ Р 66.0.01 "Оценка опыта и деловой репутации субъектов предпринимательской деятельности. Национальная система стандартов. Общие положения, требования и руководящие принципы"
ОК 029 (КДЕС Ред. 2) Общероссийский классификатор видов экономической деятельности (ОКВЭД 2)
Примечание - При пользовании настоящим стандартом целесообразно проверить действие ссылочных стандартов и классификаторов в информационной системе общего пользования - на официальном сайте Федерального агентства по техническому регулированию и метрологии в сети Интернет или по ежегодному информационному указателю "Национальные стандарты", который опубликован по состоянию на 1 января текущего года, и по выпускам ежемесячного информационного указателя "Национальные стандарты" за текущий год. Если заменен ссылочный документ, на который дана недатированная ссылка, то рекомендуется использовать действующую версию этого документа с учетом всех внесенных в данную версию изменений. Если заменен ссылочный документ, на который дана датированная ссылка, то рекомендуется использовать версию этого документа с указанным выше годом утверждения (принятия). Если после утверждения настоящего стандарта в ссылочный документ, на который дана датированная ссылка, внесено изменение, затрагивающее положение, на которое дана ссылка, то это положение рекомендуется применять без учета данного изменения. Если ссылочный документ отменен без замены, то положение, в котором дана ссылка на него, рекомендуется применять в части, не затрагивающей эту ссылку.
3.1 субподрядчик: Привлеченное генеральным подрядчиком лицо для выполнения определенных договором субподряда работ по строительству, реконструкции, капитальному ремонту, сносу объектов капитального строительства.
3.2 договор на строительство: Договор о строительстве, реконструкции, капитальном ремонте объектов капитального строительства, заключенный с иными лицами, кроме застройщика, технического заказчика, лица, ответственного за эксплуатацию здания, сооружения, регионального оператора, по своей природе являющийся договором субподряда.
3.3 договор строительного субподряда: Договор о строительстве, реконструкции, капитальном ремонте объектов капитального строительства, заключенный с застройщиком, техническим заказчиком, лицом, ответственным за эксплуатацию здания, сооружения, региональным оператором.
3.4
эксперт в области строительства: Специалист, соответствующий требованиям профессионального
стандарта [2].
4.1 Оценку опыта и деловой репутации субподрядчиков проводят в соответствии с руководящими принципами и порядком выполнения работ по оценке опыта и деловой репутации, представленными в
ГОСТ Р 66.0.01.
Примечание - Личное дело заявителя оформляют в соответствии с
приложением А. В отчет, содержащий информацию, отображающую результат оценки опыта и деловой репутации субподрядчиков, включают справки по формам, указанным в
А.7.
4.2 Оценку опыта и деловой репутации субподрядчиков проводит экспертная группа, состоящая из экспертов в области оценки опыта и деловой репутации субъектов предпринимательской деятельности, финансового аудитора, соответствующих требованиям
ГОСТ Р 66.0.01, и эксперта в области строительства.
4.3 Экспертная оценка опыта и деловой репутации субподрядчиков предусматривает документальное удостоверение соответствия заявителя требованиям настоящего стандарта и расчет индекса деловой репутации с использованием факторной модели, указанной в
разделе 5.
4.4 Оценку опыта и деловой репутации субподрядчиков проводят:
а) при отсутствии информации в реестре недобросовестных поставщиков;
б) при отсутствии информации о банкротстве, ликвидации.
5 Модель оценки опыта и деловой репутации субподрядчиков
5.1 В факторной модели оценка опыта и деловой репутации субподрядчиков выражается индексом R, который определяют по формуле
R = d1x1 + d2x2 + d3x3 + d4x4 + d5x5 + d6x6, (1)
где d1, d2, d3, d4, d5, d6 - коэффициенты весомости факторов, определяемые по результатам исследований, для которых справедливо следующее: d1 + d2 + d3 + d4 + d5 + d6 = 1. Индекс деловой репутации R определяется экспертным путем таким образом, чтобы при x1 = x2 = x3 = x4 = x5 = x6 = 100 максимальное значение индекса деловой репутации R = 100;
x1 - фактор "Финансовые ресурсы", характеризующий эффективность управления движением денежных средств, находящихся в распоряжении субподрядчиков;
x2 - фактор "Материально-технические ресурсы", характеризующий обеспеченность субподрядчиков материальными ресурсами, необходимыми для выполнения соответствующих работ и оказания услуг;
x3 - фактор "Трудовые ресурсы", характеризующий компетентность специалистов и руководителей субподрядчиков;
x4 - фактор "Опыт работы", характеризующий продолжительность присутствия (нахождения) субподрядчиков на рынке по оцениваемому виду экономической деятельности и объем выполненных работ.
Примечание - Под рынком в настоящем стандарте подразумевают систему общественных отношений, основанных на соблюдении правовых норм, возникающих между государством, заказчиком и субподрядчиком в процессе выполнения работ;
x5 - фактор "Репутация", характеризующий восприятие субподрядчиков заказчиком и обществом в целом;
x6 - фактор "Управление процессами", характеризующий наличие систем менеджмента, а также мер, направленных на управление процессами, у субподрядчиков.
В свою очередь факторы x1 - x6 определяются через субфакторы, которые могут быть рассчитаны с использованием информации, представляемой заявителем.
5.2 Фактор "Финансовые ресурсы" определяют по формуле
x1 = d11x11 + d12x12 + d13x13 + d14x14 + d15x15 +
+ d16x16 + d17x17, (2)
где d11, d12, d13, d14, d15, d16, d17 - коэффициенты весомости; d11 + d12 + d13 + d14 + d15 + d16 + d17 = 1;
x11 - субфактор "Финансовая автономия";
x12 - субфактор "Финансовая устойчивость";
x13 - субфактор "Рентабельность";
x14 - субфактор "Фондоотдача";
x15 - субфактор "Оборачиваемость активов";
x16 - субфактор "Темпы роста выручки";
x17 - субфактор "Ликвидность активов".
5.3 Фактор "Материально-технические ресурсы" определяют по формуле
x2 = x21d21 + x22d22 + x23d23 + d24x24 + d25x25, (3)
где d21, d22, d23, d24, d25 - коэффициенты весомости; d21 + d22 + d23 + d24 + d25 = 1;
x21 - субфактор "Обеспеченность оборотными средствами";
x22 - субфактор "Износ основных средств";
x23 - субфактор "Риск банкротства";
x24 - субфактор "Оборачиваемость запасов";
x25 - субфактор "Доля незавершенного строительства".
5.4 Фактор "Трудовые ресурсы" определяют по формуле
x3 = d31x31 + d32x32 + d33x33 + d34x34 + d35x35, (4)
где d31, d32, d33, d34, d35 - коэффициенты весомости; d31 + d32 + d33 + d34 + d35 = 1;
x31 - субфактор "Стаж работы работников";
x32 - субфактор "Образование работников";
x33 - субфактор "Квалификация работников";
x34 - субфактор "Награды и звания";
x35 - субфактор "Количество работников в штате".
5.5 Фактор "Опыт работ" определяют по формуле
x4 = d41x41 + d42x42 + d43x43, (5)
где d41, d42, d43 - коэффициенты весомости; d41 + d42 + d43 = 1;
x41 - субфактор "Добросовестность";
x42 - субфактор "Период профессиональной деятельности";
x43 - субфактор "Доля исполненных обязательств по договорам субподряда".
5.6 Фактор "Репутация" определяют по формуле
x5 = d51x51 + d52x52 + d53x53 + d54x54 + d55x55, (6)
где d51, d52, d53, d54, d55 - коэффициенты весомости; d51 + d52 + d53 + d54 + d55 = 1;
x51 - субфактор "Цитируемость";
x52 - субфактор "Наличие сайта";
x53 - субфактор "Арбитражная практика";
x54 - субфактор "Отзывы";
x55 - субфактор "Исковая нагрузка".
5.7 Фактор "Управление процессами" определяют по формуле
x6 = d61x61 + d62x62 + d63x63 + d64x64, (7)
где d61, d62, d63, d64 - коэффициенты весомости; d61 + d62 + d63 + d64 = 1;
x61 - субфактор "Сертифицированная система менеджмента";
x62 - субфактор "Документированное управление качеством";
x63 - субфактор "Страхование риска ответственности";
x64 - субфактор "Страхование гражданской ответственности".
5.8 Методология оценки опыта и деловой репутации субподрядчиков и описание субфакторов представлены в
приложении Б.
(обязательное)
ПОРЯДОК ФОРМИРОВАНИЯ ЛИЧНОГО ДЕЛА ЗАЯВИТЕЛЯ
А.1 Копии документов, полученные в рамках проведения работ по оценке опыта и деловой репутации субподрядчиков, должны быть сформированы в личном деле заявителя в блоках по своему назначению, содержанию и цели представления.
Перечень документов, необходимых для проведения работ по оценке опыта и деловой репутации субподрядчиков, приведен в
А.1.1 -
А.1.8.
Документы, подтверждающие правоспособность заявителя:
- копия свидетельства о государственной регистрации (ОГРН/ОГРНИП);
- копия свидетельства о постановке на учет в налоговом органе (ИНН);
- выписка из Единого государственного реестра (ЕГРЮЛ/ЕГРИП), выданная не ранее 30 календарных дней до даты начала выездной экспертизы;
- копия приказа о назначении на должность единоличного исполнительного органа (руководителя);
- копия учредительного договора (при наличии)/решения о создании субподрядчика/протокола общего собрания о создании юридического лица;
- копия Устава в действующей редакции;
- копии свидетельств, лицензий, сертификатов и прочих документов, подтверждающих право организации на осуществление строительства (при наличии);
- копия доверенности, подтверждающей полномочия лица, имеющего право действовать от имени заявителя (при необходимости).
Каждый лист копий документов, представленных в составе блока 1, должен быть заверен подписью руководителя либо уполномоченного лица и скреплен оттиском печати заявителя (при наличии).
А.1.2 Блок 2
Документы, подтверждающие наличие, уровень образования и квалификации трудовых ресурсов заявителя:
- копия актуального штатного расписания;
- копия приказа об утверждении/введении в действие штатного расписания;
- копия утвержденной организационной структуры (при наличии);
- копии приказов/распоряжений о приеме/переводе работников на работу;
- копии трудовых договоров;
- копии трудовых книжек (все листы);
- копии дипломов о присуждении ученых степеней (кандидата наук, доктора наук);
- копии дипломов об образовании (среднем профессиональном, бакалавра, специалиста, магистра);
- копии удостоверений о присвоении почетных званий Российской Федерации;
- копии документов, отражающих уровень квалификации работников заявителя (аттестаты о присвоении ученых званий доцента или профессора; удостоверения, свидетельства о повышении квалификации; дипломы о дополнительном образовании; дипломы о профессиональной переподготовке; документы о присвоении ведомственных наград; почетные грамоты и т.п.);
- оригинал справки по
форме N 1 "Сведения об образовании, квалификации и опыте сотрудников, привлекаемых заявителем с целью выполнения работ по строительству".
Сведения, оригиналы и копии документов предоставляют только на работников (руководителей, специалистов, рабочих) заявителя, непосредственно участвующих в выполнении работ по строительству.
Оригиналы документов, представленных в составе блока 2, должны быть оформлены на официальном бланке, подписаны руководителем либо уполномоченным лицом и скреплены печатью заявителя (при наличии).
Каждый лист копии документа, представленного в составе блока 2, должен быть заверен подписью руководителя либо уполномоченного лица и скреплен оттиском печати заявителя (при наличии).
Последний лист каждой копии трудовой книжки должен быть заверен следующим образом:
- ниже последней записи в трудовой книжке работника руководителем организации, руководителем отдела кадров или иным уполномоченным лицом заявителя должна быть сделана надпись: "Работает по настоящее время";
- под надписью должны быть проставлены: должность лица, сделавшего надпись, личная подпись с расшифровкой (инициалы, фамилия), дата заверения, печать заявителя (при наличии).
А.1.3 Блок 3
Документы, подтверждающие наличие опыта работы заявителя по строительству:
- оригиналы справки по
форме N 2 "Сведения об опыте выполнения работ по строительству";
- копии документов, подтверждающих сведения, указанные в справке по
форме N 2 (копии договоров; дополнительных соглашений; документов, подтверждающих факт выполнения работ/части работ);
- копии отзывов от органов государственной и муниципальной власти.
Справки по
форме N 2 должны быть сформированы отдельно за каждый год деятельности заявителя. Сведения в форме должны быть представлены в обратном хронологическом порядке и отсортированы по дате заключения договоров на строительство, договоров строительного субподряда.
В целях подтверждения наличия опыта работ по строительству заявитель должен указать не менее одного, но не более десяти исполненных договоров на строительство и (или) договоров строительного субподряда в справке по
форме N 2 за каждый год, анализируемый экспертами. Экспертная комиссия вправе самостоятельно выбрать договоры на строительство, договоры строительного субподряда, которые, по ее мнению, наилучшим образом характеризуют имеющийся опыт. Заявитель может включать в справки частично завершенные договоры на строительство, договоры строительного субподряда, обязательно отмечая данный факт.
При этом в каждой справке необходимо указать общий объем выполненных работ по строительству за анализируемый год, выраженный в тысячах рублей без учета НДС. Заявитель должен иметь возможность подтвердить указанные объемы работ в случае необходимости.
Для подтверждения сведений, указанных в справках по
форме N 2, заявитель должен предоставить заверенные в установленном порядке копии договоров на строительство, договоры строительного субподряда, дополнительных соглашений, документов, подтверждающих факт выполнения работ по строительству.
Допускается предоставление заверенных в установленном порядке копий отдельных листов перечисленных выше документов.
Предоставление копий отдельных листов перечисленных выше документов допускается только при наличии возможности у членов экспертной комиссии удостовериться в полноте и подлинности оригиналов документов.
Представленные копии листов должны содержать следующую информацию: реквизиты договора на строительство, предмет договора на строительство, стоимость договора на строительство, сроки выполнения работ, сведения о подписантах со стороны заказчика и субподрядчика, сведения о заказчике и субподрядчике, печати и подписи сторон. Документы, подтверждающие факт выполнения работ, должны содержать следующую информацию: реквизиты договора на строительство, перечень переданных и принятых заказчиком работ/услуг по договору на строительство, стоимость переданных и принятых заказчиком работ/услуг по договору на строительство, сведения о подписантах со стороны заказчика и субподрядчика, сведения о заказчике и субподрядчике, печати и подписи сторон.
На основании представленных копий документов у экспертов должна быть возможность сделать однозначный вывод об их ключевых составляющих, являющихся предметом оценки.
Оригиналы документов, представленных в составе блока 3, должны быть оформлены на официальном бланке, подписаны руководителем либо уполномоченным лицом и скреплены печатью заявителя (при наличии).
Каждый лист копии документа, представленного в составе блока 3, должен быть заверен подписью руководителя либо уполномоченного лица и скреплен оттиском печати заявителя (при наличии).
А.1.4 Блок 4
Судебная практика заявителя:
| | ИС МЕГАНОРМ: примечание. В официальном тексте документа, видимо, допущена опечатка: форма "Сведения об участии в судебных разбирательствах" имеет N 3, а не N 5. | |
- оригинал справки по
форме N 5 "Сведения об участии в судебных разбирательствах";
- копии вступивших в силу решений суда не в пользу заявителя, выступающего в качестве ответчика (третьего лица на стороне ответчика).
Оригиналы документов, представленных в составе блока 4, должны быть оформлены на официальном бланке, подписаны руководителем либо уполномоченным лицом и скреплены печатью заявителя (при наличии).
Каждый лист копии документа, представленного в составе блока 4, должен быть заверен подписью руководителя либо уполномоченного лица и скреплен оттиском печати заявителя (при наличии).
А.1.5 Блок 5
Сведения об упоминании заявителя в СМИ:
| | ИС МЕГАНОРМ: примечание. В официальном тексте документа, видимо, допущена опечатка: форма "Упоминания в СМИ" имеет N 4, а не N 6. | |
- оригинал справки по
форме N 6 "Упоминания в СМИ";
- копии документов, подтверждающих сведения, указанные в
форме N 6 (копии упоминаний, статей и прочее на бумажном носителе).
Оригиналы документов, представленных в блоке 5, должны быть оформлены на официальном бланке, подписаны руководителем либо уполномоченным лицом и скреплены печатью заявителя (при наличии).
Каждый лист копии документа, представленного в блоке 5, должен быть заверен подписью руководителя либо уполномоченного лица и скреплен оттиском печати заявителя (при наличии).
А.1.6 Блок 6
Документирование сведений об объектах и основных средствах (материально-технической базе) заявителя:
- в рамках проведения выездной экспертизы членам экспертной комиссии необходимо осуществить фотографирование производственных, офисных, складских, прочих площадок, объектов и мест выполнения работ по строительству;
- в рамках проведения выездной экспертизы членам экспертной комиссии необходимо произвести фотографирование техники и оборудования, принадлежащих на законных основаниях заявителю и используемых им для осуществления работ по строительству.
Выезд членов экспертной комиссии для проведения документирования (фотографирования) организует и обеспечивает заявитель.
Фотографии, полученные в процессе сертификации, должны быть распечатаны и включены в личное дело заявителя. Допускается цветная, черно-белая печать, а также печать в градациях серого.
А.1.7 Блок 7
Сведения об управлении процессами:
Сведения о системах менеджмента (при наличии):
- сертификаты систем менеджмента;
- приказы о назначении руководителя или руководства по качеству (менеджера по качеству), о разработке и внедрении в организации систем менеджмента;
- документированная информация о системах менеджмента заявителя.
Документированную информацию, содержащую в себе требования системы менеджмента, оформляют в виде единого документа или в виде совокупности документов с учетом следующих основных элементов:
- политика организации в области качества (если она выполнена в виде отдельного документа и не включена в руководство по качеству)/экологическая политика/политика в области охраны здоровья и безопасности труда;
- руководство по качеству/руководство по экологическому менеджменту (при наличии);
- структурная схема заявителя;
- структурная схема службы качества заявителя (если она не включена в общую структурную схему организации);
- перечень документов систем менеджмента заявителя;
- цели в области качества (экологические цели/цели в области охраны здоровья и безопасности труда) и планы по их достижению;
- программа внутренних проверок систем менеджмента в организации и документы, подтверждающие ее выполнение;
- документы по проведению анализа систем менеджмента со стороны руководства организации;
- копии договоров о страховании риска ответственности за нарушение заявителем условий заключаемых договоров, а также договоров страхования гражданской ответственности заявителя (при наличии);
- оригиналы документов, представленных в блоке 7, должны быть оформлены на официальном бланке, подписаны руководителем либо уполномоченным лицом и скреплены печатью заявителя (при наличии).
Каждый лист копии документа, представленного в блоке 7, должен быть заверен подписью руководителя либо уполномоченного лица и скреплен оттиском печати заявителя (при наличии).
Документы, отражающие имущественное и финансовое положение заявителя:
- бухгалтерский баланс за каждый год проверяемого периода;
- отчет о финансовых результатах за каждый год проверяемого периода;
- налоговая декларация по налогу на прибыль за каждый год проверяемого периода;
- налоговая декларация по налогу на добавленную стоимость за каждый квартал всех годов проверяемого периода;
- оборотно-сальдовая ведомость по всем счетам (общая) на 31 декабря каждого года проверяемого периода;
- оборотно-сальдовая ведомость по счету 01 "Основные средства" на 31 декабря каждого года проверяемого периода;
- анализ счета 68.2 по корреспондирующим субсчетам за каждый квартал каждого года проверяемого периода (к каждой декларации НДС);
- выписка из книги покупок и книги продаж с итоговой строкой (т.е. копия последней страницы за каждый квартал проверяемого периода);
- справка об остатках на расчетных счетах на 31 декабря каждого года проверяемого периода;
- уведомление о постановке на учет по месту нахождения обособленных подразделений или недвижимости;
- решения о выплате дивидендов (при наличии);
- справка о фактически осуществляемых видах экономической деятельности в соответствии с
ОК 029-2014 (КДЕС Ред. 2);
- инвентарная карточка учета объекта основных средств ОС-6;
- инвентарная карточка группового учета основных средств ОС-9 (при наличии);
- акт о выявленных дефектах оборудования ОС 11 (при наличии);
- копии иных документов в соответствии с требованиями системы стандартов.
Оригиналы документов, представленных в блоке 8, должны быть оформлены на официальном бланке, подписаны руководителем либо уполномоченным лицом и скреплены печатью заявителя (при наличии).
Каждый лист копии документа, представленного в блоке 8, должен быть заверен подписью руководителя либо уполномоченного лица и скреплен оттиском печати заявителя (при наличии).
А.2 При подписании оригиналов документов, заверении копий документов, представленных в
А.1, уполномоченным лицом, необходимо предоставить оригинал документа, подтверждающего полномочия данного лица, имеющего право действовать от имени заявителя, либо копию такого документа, заверенную подписью руководителя и скрепленную оттиском печати заявителя (при наличии).
А.3 При отсутствии возможности предоставить какой-либо из перечисленных в
А.1 документов (копию документа) необходимо оформить справку в свободной форме с указанием причин, по которым предоставление документа либо его копии не представляется возможным. Справка должна быть оформлена на официальном бланке, подписана руководителем либо уполномоченным лицом и скреплена печатью заявителя (при наличии).
А.4 При недостаточности представленных заявителем документов для расчета индекса деловой репутации, орган по сертификации вправе запросить иные документы, необходимые для определения конкретных субфакторов. Такие документы в обязательном порядке включают в состав личного дела заявителя и отражают в отчете по сертификации.
А.5 Рассматриваемым периодом деятельности заявителя для экспертной комиссии является весь срок существования организации. Если заявитель присутствует на рынке выполнения работ по строительству более трех календарных лет, рассматриваемым периодом являются три календарных года, предшествующие моменту оценки.
А.6 Личное дело заявителя должно быть сформировано в виде подлинника на бумажном носителе и в виде аутентичной копии на электронном носителе.
А.7 Формы справок для выполнения работ по оценке опыта и деловой репутации
Наименование заявителя:
___________________________________________________________________________
ИНН (или иной идентификационный номер) заявителя:
___________________________________________________________________________
Сведения об образовании, квалификации и опыте работников,
привлекаемых заявителем с целью выполнения работ по строительству
Общее количество сотрудников заявителя: ______________________________.
N п/п | ФИО работника (полностью) | Должность | Характер работы (основное место работы/по совместительству) | Общий трудовой стаж по оцениваемому виду деятельности заявителя | Образование (ученая степень, диплом) | Квалификация (почетные звания, ученые звания, удостоверения, аттестаты, сертификаты, награды, почетные грамоты и др.) | Год рождения |
1 | 2 | 3 | 4 | 5 | 6 | 7 | 8 |
Управленческий персонал |
1 | Указать полностью фамилию, имя, отчество работника заявителя | Указать должность работника в соответствии с приказом/распоряжением о приеме/переводе работника на работу и утвержденным штатным расписанием | Указать характер работы в соответствии с приказом/распоряжением о приеме/переводе работника на работу | Указать общий трудовой стаж работника заявителя в отрасли (по оцениваемому виду деятельности) в формате: N лет N месяцев | Указать сведения об образовании работника заявителя в следующем порядке: 1) сведения о наличии ученой степени (диплом кандидата наук, диплом доктора наук); 2) сведения об образовании (диплом бакалавра/магистра/специалиста, диплом о среднем профессиональном образовании) 3) дипломы о дополнительном (к высшему) образовании; 4) дипломы о профессиональной переподготовке. Реквизиты документов об образовании необходимо указать в следующем порядке: - наименование документа; - серия и номер документа; - наименование учебного учреждения; - дата выдачи/присуждения; - специальность/ученая степень; - квалификация | 1) Указать сведения о квалификации работника заявителя в следующем порядке: - почетные звания; - ученые звания (аттестат доцента/профессора); - удостоверения/свидетельства о повышении квалификации/документы, подтверждающие независимую оценку квалификации; - почетные грамоты; - другое. Реквизиты документов об уровне квалификации необходимо указать в следующем порядке: - наименование документа; - серия и номер документа; - наименование учебного учреждения/учреждения, выдавшего документ; - дата выдачи/присуждения/срок прохождения; - специальность/ученая степень; - квалификация | |
2 | | | | | | | |
... | | | | | | | |
Специалисты |
1 | | | | | | | |
2 | | | | | | | |
... | | | | | | | |
ИТОГО: общий стаж работников (в годах) |
__________________________________ __________________________ _____________ _______________ (должность уполномоченного лица) (наименование заявителя) (подпись) (ФИО) М.П. |
Примечания 1 Форму следует заполнить на официальном (фирменном) бланке заявителя. 2 Поля формы необходимо заполнить в соответствии с инструкциями, приведенными по тексту формы. 3 В данной форме приводят сведения о специалистах заявителя, которые непосредственно участвуют в выполнении работ по строительству. 4 Сведения, приведенные в форме, подтверждают копиями, заверенными подписью уполномоченного лица и оттиском печати заявителя (при наличии), следующих документов: документа об избрании/назначении на должность единоличного исполнительного органа (руководителя); документ о продлении полномочий единоличного исполнительного органа (руководителя); документа, подтверждающего полномочия лица, имеющего право действовать от имени заявителя (при необходимости); штатного расписания; приказа об утверждении штатного расписания; приказов/распоряжений о приеме/переводе работников на работу; трудовых договоров; трудовых книжек; документов об образовании и уровне квалификации работников. 5 Форма должна быть подписана руководителем заявителя или уполномоченным лицом и скреплена оттиском печати заявителя (при наличии). 6 Общий стаж работников (в годах) рассчитывают в соотношении суммы общего стажа каждого сотрудника (в соответствии с занимаемой им должностью) к общему количеству работников заявителя, учтенных в рамках проведения работ по оценке опыта и деловой репутации, -  , где x i - сумма общего стажа работников, n - общее количество работников. |
Наименование заявителя:
___________________________________________________________________________
ИНН (или иной идентификационный номер) заявителя:
___________________________________________________________________________
Сведения об опыте выполнения работ/оказания услуг
по управлению строительством
за _____ год
Объем выполненных работ/оказанных услуг по управлению строительством
за _____ год (тыс. руб. без НДС): ________________________________________.
N п/п | Реквизиты договора (номер, дата заключения) | Наименование заказчика (реквизиты, адрес, контактный телефон заказчика, контактное лицо) | Предмет договора | Регион деятельности | Срок выполнения работ/оказания услуг по договору | Сумма договора (тыс. руб. без НДС) | Сумма и реквизиты закрывающих документов (сумма, наименование, номер и дата документа, подтверждающего выполнение работ по договору) | Наличие прилагаемых отзывов от заказчиков (есть/нет) |
1 | 2 | 3 | 4 | 5 | 6 | 7 | 8 | 9 |
1 | Указать номер договора, дату заключения. Справки формируются по дате заключения договоров | Указать наименование заказчика/участника, адрес, ИНН. Указать контактное лицо по договору со стороны заказчика, к которому могут обратиться эксперты для получения отзыва о заявителе | Указать предмет договора. Предмет договора должен соответствовать оцениваемому виду деятельности. При необходимости предоставить копии приложений к договору, позволяющие сделать однозначный вывод о принадлежности его предмета к оцениваемому виду деятельности (ТЗ, календарный план, сметы и пр.) | Указать регион выполнения работ | Указать полностью сроки начала и окончания выполнения работ в соответствии с условиями договора | Указать сумму по договору в тыс. руб. без НДС | Указать сумму, наименование, номер и дату документа, подтверждающего выполнение работ/части работ по договору. Если документов несколько, указать каждый | Указать наличие или отсутствие отзывов. В случае наличия приложить заверенные копии отзывов |
2 | | | | | | | | |
Примечания 1 Форму следует заполнить на официальном (фирменном) бланке заявителя. 2 Форму заполняют отдельно на каждый год деятельности заявителя. 3 Сведения в форме должны быть представлены в обратном хронологическом порядке и отсортированы по дате заключения договоров. 4 Поля формы необходимо заполнить в соответствии с инструкциями, приведенными по тексту формы. 5 В данной форме приводят сведения об опыте выполнения работ/оказания услуг по управлению строительством. 6 Сведения, приведенные в форме, подтверждают копиями, заверенными подписью уполномоченного лица и оттиском печати заявителя, следующих документов: договоров (при необходимости приложений к договорам), дополнительных соглашений, документов, подтверждающих факт выполнения работ. 7 Форма должна быть подписана уполномоченным лицом и скреплена оттиском печати заявителя (при наличии). |
Наименование заявителя:
___________________________________________________________________________
ИНН (или иной идентификационный номер) заявителя:
___________________________________________________________________________
Сведения об участии в судебных разбирательствах
N п/п | Номер дела | Дата решения | Наименование судебного органа, место нахождения | Истец (наименование контрагента, предмет спора) | Решение |
1 | Указать номер дела | Указать дату вынесения/объявления решения | Указать наименование судебного органа и место его нахождения | Указать наименование истца, кратко изложить предмет спора | Указать решение судебного органа |
2 | | | | | |
Примечания 1 Форму следует заполнить на официальном (фирменном) бланке заявителя. 2 В данной форме приводят сведения о вступивших в силу решениях суда не в пользу заявителя, выступающего в качестве ответчика (третьего лица на стороне ответчика). 3 Форма должна быть подписана уполномоченным лицом и скреплена оттиском печати заявителя (при наличии). |
Наименование заявителя:
___________________________________________________________________________
ИНН (или иной идентификационный номер) заявителя:
___________________________________________________________________________
Сведения об упоминании в СМИ
N п/п | Название источника | Название статьи | Интернет-ссылка или номер печатного издания |
1 | Указать название источника | Указать название статьи, дату ее публикации | Указать интернет-ссылку, номер печатного издания и дату |
2 | | | |
Примечания 1 Форму следует заполнить на официальном (фирменном) бланке заявителя. 2 В данной форме приводят сведения об упоминании о заявителе в средствах массовой информации. 3 Форма должна быть подписана уполномоченным лицом и скреплена оттиском печати заявителя (при наличии). |
(обязательное)
МЕТОДОЛОГИЯ ОЦЕНКИ ОПЫТА И ДЕЛОВОЙ РЕПУТАЦИИ СУБПОДРЯДЧИКОВ
Б.1 Применяемые для целей оценки значения коэффициентов весомости факторов и субфакторов указаны в
таблице Б.1.
Коэффициент весомости | d1 | d11 | d12 | d13 | d14 | d15 | d16 | d17 | d2 | d21 | d22 | d23 | d24 |
Числовое значение | 0,09 | 0,19 | 0,25 | 0,19 | 0,04 | 0,07 | 0,11 | 0,15 | 0,24 | 0,33 | 0,2 | 0,13 | 0,07 |
Продолжение таблицы Б.1
Коэффициент весомости | d25 | d3 | d31 | d32 | d33 | d34 | d35 | d4 | d41 | d42 | d43 | d5 | d51 |
Числовое значение | 0,27 | 0,29 | 0,20 | 0,13 | 0,33 | 0,27 | 0,07 | 0,19 | 0,50 | 0,17 | 0,33 | 0,14 | 0,07 |
Окончание таблицы Б.1
Коэффициент весомости | d52 | d53 | d54 | d55 | d6 | d61 | d62 | d63 | d64 |
Числовое значение | 0,2 | 0,27 | 0,33 | 0,13 | 0,05 | 0,4 | 0,3 | 0,1 | 0,2 |
Б.2 В настоящем разделе указана методика расчета отдельных субфакторов в составе факторной модели. В настоящем разделе применены сокращения: МиБ - микробизнес, МаБ - малый бизнес, СБ - средний бизнес, КБ - крупный бизнес. Категории субъектов предпринимательской деятельности определяются в соответствии с
[3]. Крупным бизнесом считают предприятия, доход которых свыше 2 млрд. руб.
Б.2.1 Субфактор
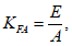
x11 "Финансовая автономия" отражает долю активов заявителя, которые покрывают за счет собственного капитала. Значения
x11 "Финансовая автономия" определяют в зависимости от категории заявителя по
таблице Б.2. Значение финансовой автономии
KFA вычисляют по формуле

(Б.1)
где E - собственный капитал;
A - суммарные активы.
x11 | 0 | 20 | 40 |
Значение KFA для МиБ | KFA < 0,0008 | 0,0008 <= KFA < 0,0014 | 0,0014 <= KFA < 0,0027 |
Значение KFA для МаБ | KFA < 0,0002 | 0,0002 <= KFA < 0,0003 | 0,0003 <= KFA < 0,0005 |
Значение KFA для СБ | KFA < 0,0001 | 0,0001 <= KFA < 0,0002 | 0,0002 <= KFA < 0,0005 |
Значение KFA для КБ | KFA < 0,0001 | 0,0001 <= KFA < 0,0011 | 0,0011 <= KFA < 0,0068 |
Окончание таблицы Б.2
x11 | 60 | 80 | 100 |
Значение KFA для МиБ | 0,0027 <= KFA < 0,0063 | 0,0063 <= KFA < 0,0292 | KFA >= 0,0292 |
Значение KFA для МаБ | 0,0005 <= KFA < 0,0012 | 0,0012 <= KFA < 0,0056 | KFA >= 0,0056 |
Значение KFA для СБ | 0,0005 <= KFA < 0,003 | 0,003 <= KFA < 0,0324 | KFA >= 0,0324 |
Значение KFA для КБ | 0,0068 <= KFA < 0,039 | 0,039 <= KFA < 0,1726 | KFA >= 0,1726 |
Б.2.2 Субфактор
x12 "Финансовая устойчивость" отражает, какую часть активов финансируют за счет устойчивых источников, то есть долю тех источников финансирования, которые заявитель может использовать в своей деятельности длительное время. Значения
x12 "Финансовая устойчивость" определяют в зависимости от категории заявителя по
таблице Б.3. Значение финансовой устойчивости
KFS вычисляют по формуле

(Б.2)
где E - собственный капитал;
DO - долгосрочные обязательства;
A - суммарные активы.
x12 | 0 | 25 | 50 |
Значение KFS для МиБ | KFS < 0,005 | 0,005 <= KFS < 0,018 | 0,018 <= KFS < 0,076 |
Значение KFS для МаБ | KFS < 0,004 | 0,004 <= KFS < 0,02 | 0,02 <= KFS < 0,068 |
Значение KFS для СБ | KFS < 0,017 | 0,017 <= KFS < 0,055 | 0,055 <= KFS < 0,156 |
Значение KFS для КБ | KFS < 0,1 | 0,1 <= KFS < 0,201 | 0,201 <= KFS < 0,373 |
Окончание таблицы Б.3
x12 | 75 | 100 |
Значение KFS для МиБ | 0,076 <= KFS < 0,31 | KFS >= 0,31 |
Значение KFS для МаБ | 0,068 <= KFS < 0,203 | KFS >= 0,203 |
Значение KFS для СБ | 0,156 <= KFS < 0,408 | KFS >= 0,408 |
Значение KFS для КБ | 0,373 <= KFS < 0,619 | KFS >= 0,619 |
Б.2.3 Субфактор
x13 "Рентабельность" отражает величину прибыли, которую получит заявитель на единицу стоимости капитала (всех видов ресурсов организации в денежном выражении, независимо от источников их финансирования). Значения
x13 "Рентабельность" определяют в зависимости от категории заявителя по
таблице Б.4. Значение рентабельности
KR вычисляют по формуле

(Б.3)
где Gp - прибыль до налогообложения;

- средняя величина активов.
x13 | 0 | 20 | 40 |
Значение KR для МиБ | KR < 1% | 1% <= KR < 2% | 2% <= KR < 4% |
Значение KR для МаБ | KR < 1% | 1% <= KR < 3% | 3% <= KR < 6% |
Значение KR для СБ | KR < 1% | 1% <= KR < 2% | 2% <= KR < 5% |
Значение KR для КБ | KR < 1% | 1% <= KR < 4% | 4% <= KR < 7% |
Окончание таблицы Б.4
x13 | 60 | 80 | 100 |
Значение KR для МиБ | 4% <= KR < 9% | 9% <= KR < 26% | KR >= 26% |
Значение KR для МаБ | 6% <= KR < 12% | 12% <= KR < 26% | KR >= 26% |
Значение KR для СБ | 5% <= KR < 10% | 10% <= KR < 20% | KR >= 20% |
Значение KR для КБ | 7% <= KR < 11% | 11% <= KR < 20% | KR >= 20% |
Б.2.4 Субфактор
x14 "Фондоотдача" отражает общую отдачу от использования заявителем каждого рубля, вложенного в основные средства, т.е. насколько эффективно это вложение средств. Значения
x14 "Фондоотдача" определяют в зависимости от категории заявителя по
таблице Б.5. Значение фондоотдачи
KFO вычисляют по формуле

(Б.4)
где R - выручка;

- средняя стоимость основных средств.
x14 | 0 | 20 | 40 |
Значение KFO для МиБ | KFO < 4,1 | 4,1 <= KFO < 8,8 | 8,8 <= KFO < 16,8 |
Значение KFO для МаБ | KFO < 6,9 | 6,9 <= KFO < 14 | 14 <= KFO < 25,4 |
Значение KFO для СБ | KFO < 3,2 | 3,2 <= KFO < 7,2 | 7,2 <= KFO < 14,9 |
Значение KFO для КБ | KFO < 1,1 | 1,1 <= KFO < 2 | 2 <= KFO < 3,6 |
Окончание таблицы Б.5
x14 | 60 | 80 | 100 |
Значение KFO для МиБ | 16,8 <= KFO < 34,4 | 34,4 <= KFO < 80,2 | KFO >= 80,2 |
Значение KFO для МаБ | 25,4 <= KFO < 48,7 | 48,7 <= KFO < 105 | KFO >= 105 |
Значение KFO для СБ | 14,9 <= KFO < 30,5 | 30,5 <= KFO < 71,2 | KFO >= 71,2 |
Значение KFO для КБ | 3,6 <= KFO < 6,9 | 6,9 <= KFO < 18 | KFO >= 18 |
Б.2.5 Субфактор
x15 "Оборачиваемость активов" отражает количество полных циклов обращения капитала за анализируемый период, иными словами, сколько прибыли принесла каждая денежная единица, вложенная в активы. Значение
x15 "Оборачиваемость активов" определяют в зависимости от категории заявителя по
таблице Б.6. Значение оборачиваемости активов
KRA вычисляют по формуле

(Б.5)
где R - выручка;

- средняя стоимость активов.
x15 | 0 | 20 | 40 |
Значение KRA для МиБ | KRA < 0,4 | 0,4 <= KRA < 0,8 | 0,8 <= KRA < 1,2 |
Значение KRA для МаБ | KRA < 0,8 | 0,5 <= KRA < 1,2 | 1,2 <= KRA < 1,6 |
Значение KRA для СБ | KRA < 0,8 | 0,8 <= KRA < 1,1 | 1,1 <= KRA < 1,5 |
Значение KRA для КБ | KRA < 0,6 | 0,6 <= KRA < 0,8 | 0,8<= KRA < 1,1 |
Окончание таблицы Б.6
x15 | 60 | 80 | 100 |
Значение KRA для МиБ | 1,2 <= KRA < 1,8 | 1,8 <= KRA < 2,6 | KRA >= 2,6 |
Значение KRA для МаБ | 1,6 <= KRA < 2,1 | 2,1 <= KRA < 2,8 | KRA >= 2,8 |
Значение KRA для СБ | 1,5 <= KRA < 1,9 | 1,9 <= KRA < 2,6 | KRA >= 2,6 |
Значение KRA для КБ | 1,1 <= KRA < 1,4 | 1,4 <= KRA < 2 | KRA >= 2 |
Б.2.6 Субфактор
x16 "Темпы роста выручки" отражает прирост выручки заявителя к величине прошлого отчетного периода. Значение
x16 "Темпы роста выручки" определяют в зависимости от категории заявителя по
таблице Б.7. Значение темпа роста выручки
TR вычисляют по формуле

(Б.6)
где Ri - выручка;
Ri-1 - выручка за предыдущий период.
x16 | 0 | 20 | 40 |
Значение TR для МиБ | TR < -37% | -37% <= TR < -15% | -15% <= TR < 3% |
Значение TR для МаБ | TR < -18% | -18% <= TR < -3% | -3% <= TR < 10% |
Значение TR для СБ | TR < -12% | -12% <= TR < -1% | -1% <= TR < 6% |
Значение TR для КБ | TR < -12% | -12% <= TR < -4% | -4% <= TR < 1% |
Окончание таблицы Б.7
x16 | 60 | 80 | 100 |
Значение TR для МиБ | 3% <= TR < 23% | 23% <= TR < 50% | TR >= 50% |
Значение TR для МаБ | 10% <= TR < 25% | 25% <= TR < 47% | TR >= 47% |
Значение TR для СБ | 6% <= TR < 18% | 18% <= TR < 35% | TR >= 35% |
Значение TR для КБ | 1% <= TR < 6% | 6% <= TR < 12% | TR >= 12% |
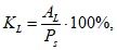
Б.2.7 Субфактор
x17 "Ликвидность активов" отражает способность заявителя погашать текущие (краткосрочные) обязательства за счет только оборотных активов. Значение
x17 "Ликвидность активов" определяют в зависимости от категории заявителя по
таблице Б.8. Значение ликвидности активов
KL вычисляют по формуле

(Б.7)
где AL - наиболее ликвидные активы;
Ps - краткосрочные пассивы.
x17 | 0 | 20 | 40 |
Значение KL для МиБ | KL < 84% | 84% <= KL < 100% | 100% <= KL < 104% |
Значение KL для МаБ | KL < 91% | 91% <= KL < 100% | 100% <= KL < 105% |
Значение KL для СБ | KL < 84% | 84% <= KL < 100% | 100% <= KL < 104% |
Значение KL для КБ | KL < 77% | 77% <= KL < 98% | 98% <= KL < 110% |
Окончание таблицы Б.8
x17 | 60 | 80 | 100 |
Значение KL для МиБ | 104% <= KL < 112% | 112% <= KL < 131% | KL >= 131% |
Значение KL для МаБ | 105% <= KL < 115% | 115% <= KL < 137% | KL >= 137% |
Значение KL для СБ | 104% <= KL < 115% | 115% <= KL < 141% | KL >= 141% |
Значение KL для КБ | 110% <= KL < 132% | 132% <= KL < 168% | KL >= 168% |
Б.2.8 Субфактор
x21 "Обеспеченность оборотными средствами" отражает наличие собственных оборотных средств у заявителя, необходимых для его финансовой устойчивости. Значение
x21 "Обеспеченность оборотными средствами" определяют в зависимости от категории заявителя по
таблице Б.9. Значение обеспеченности оборотными средствами
KSOS вычисляют по формуле

(Б.8)
где ASOS - собственные оборотные средства;
AL - оборотные средства.
x21 | 0 | 20 | 40 |
Значение Ksos для МиБ | Ksos < -0,167 | -0,167 <= Ksos < 0,004 | 0,004 <= Ksos < 0,045 |
Значение Ksos для МаБ | Ksos < -0,103 | -0,103 <= Ksos < 0,004 | 0,004 <= Ksos < 0,045 |
Значение Ksos для СБ | Ksos < -0,197 | -0,197 <= Ksos < -0,005 | -0,005 <= Ksos < 0,041 |
Значение Ksos для КБ | Ksos < -0,304 | -0,304 <= Ksos < -0,016 | -0,016 <= Ksos < 0,088 |
Окончание таблицы Б.9
x21 | 60 | 80 | 100 |
Значение Ksos для МиБ | 0,045 <= Ksos < 0,128 | 0,128 <= Ksos < 0,279 | Ksos >= 0,279 |
Значение Ksos для МаБ | 0,045 <= Ksos < 0,128 | 0,128 <= Ksos < 0,269 | Ksos >= 0,269 |
Значение Ksos для СБ | 0,041 <= Ksos < 0,132 | 0,132 <= Ksos < 0,289 | Ksos >= 0,289 |
Значение Ksos для КБ | 0,088 <= Ksos < 0,245 | 0,245 <= Ksos < 0,406 | Ksos >= 0,406 |
Б.2.9 Субфактор
x22 "Износ основных средств" отражает степень физического износа основных средств заявителя. Значение
x22 "Износ основных средств" определяют по
таблице Б.10. Значение износа основных средств
KA вычисляют по формуле

(Б.9)
где Sa - сумма износа (амортизации);
S - балансовая стоимость основных средств.
x22 | 100 | 80 | 60 | 40 | 20 | 0 |
Значение KA | KA < 0,15 | 0,15 <= KA < 0,25 | 0,25 <= KA < 0,35 | 0,35 <= KA < 0,45 | 0,45 <= KA < 0,5 | KA >= 0,5 |
Б.2.10 Субфактор
x23 "Риск банкротства" отражает способность заявителя расплачиваться по краткосрочным обязательствам при условии благоприятной реализации запасов. Значение
x23 "Риск банкротства" определяют в зависимости от категории заявителя по
таблице Б.11. Значение риска банкротства
KB вычисляют по формуле

(Б.10)
где i - запасы и НДС;
AL - наиболее ликвидные активы;
PS - краткосрочные обязательства;
A - суммарные активы.
x23 | 0 | 20 | 40 |
Значение KB для МиБ | KB < 0,003 | 0,003 <= KB < 0,042 | 0,042 <= KB < 0,115 |
Значение KB для МаБ | KB < 0,004 | 0,004 <= KB < 0,041 | 0,041 <= KB < 0,109 |
Значение KB для СБ | KB < -0,004 | -0,004 <= KB < 0,035 | 0,035 <= KB < 0,102 |
Значение KB для КБ | KB < -0,008 | -0,008 <= KB < 0,05 | 0,05 <= KB < 0,123 |
Окончание таблицы Б.11
x23 | 60 | 80 | 100 |
Значение KB для МиБ | 0,115 <= KB < 0,245 | 0,245 <= KB < 0,476 | KB >= 0,476 |
Значение KB для МаБ | 0,109 <= KB < 0,224 | 0,224 <= KB < 0,388 | KB >= 0,388 |
Значение KB для СБ | 0,102 <= KB < 0,195 | 0,195 <= KB < 0,325 | KB >= 0,325 |
Значение KB для КБ | 0,123 <= KB < 0,207 | 0,207 <= KB < 0,314 | KB >= 0,314 |
Б.2.11 Субфактор
x24 "Оборачиваемость запасов" отражает степень использования среднего остатка запасов у заявителя. Значение
x24 "Оборачиваемость запасов" определяют в зависимости от категории заявителя по
таблице Б.12. Значение оборачиваемости запасов
KRI вычисляют по формуле

(Б.11)
где COGS - себестоимость продаж;

- среднегодовой остаток запасов.
x24 | 0 | 20 | 40 |
Значение KRI для МиБ | KRI < 0,5 | 0,5 <= KRI < 0,9 | 0,9 <= KRI < 1,3 |
Значение KRI для МаБ | KRI < 0,9 | 0,9 <= KRI < 1,3 | 1,3 <= KRI < 1,8 |
Значение KRI для СБ | KRI < 1,1 | 1,1 <= KRI < 1,5 | 1,5 <= KRI < 1,9 |
Значение KRI для КБ | KRI < 1,2 | 1,2 <= KRI < 1,6 | 1,6 <= KRI < 2,1 |
Окончание таблицы Б.12
x24 | 60 | 80 | 100 |
Значение KRI для МиБ | 1,3 <= KRI < 1,9 | 1,9 <= KRI < 2,9 | KRI >= 2,9 |
Значение KRI для МаБ | 1,8 <= KRI < 2,3 | 2,3 <= KRI < 3,1 | KRI >= 3,1 |
Значение KRI для СБ | 1,9 <= KRI < 2,5 | 2,5 <= KRI < 3,2 | KRI >= 3,2 |
Значение KRI для КБ | 2,1 <= KRI < 2,5 | 2,5 <= KRI < 3,2 | KRI >= 3,2 |
Б.2.12 Субфактор
x25 "Доля незавершенного строительства" отражает долгосрочные вложения заявителя в работы по строительству. Значения
x25 "Доля незавершенного строительства" определяют в зависимости от категории заявителя по
таблице Б.13. Значение доли незавершенного строительства
KOS вычисляют по формуле

(Б.12)
где CIP - незавершенное строительство;
A - суммарные активы.
x25 | 0 | 20 | 40 |
Значение KOS для МиБ | KOS < 1% | 1% <= KOS < 2% | 2% <= KOS < 3% |
Значение KOS для МаБ | KOS < 2% | 2% <= KOS < 5% | 5% <= KOS < 9% |
Значение KOS для СБ | KOS < 5% | 5% <= KOS < 11% | 11% <= KOS < 21% |
Значение KOS для КБ | KOS < 21% | 21% <= KOS < 34% | 34% <= KOS < 49% |
Окончание таблицы Б.13
x25 | 60 | 80 | 100 |
Значение KOS для МиБ | 3% <= KOS < 9% | 9% <= KOS < 27% | KOS >= 27% |
Значение KOS для МаБ | 9% <= KOS < 18% | 18% <= KOS < 35% | KOS >= 35% |
Значение KOS для СБ | 21% <= KOS < 35% | 35% <= KOS < 59% | KOS >= 59% |
Значение KOS для КБ | 49% <= KOS < 64% | 64% <= KOS < 80% | KOS >= 80% |
Б.2.13 Субфактор
x31 "Стаж работы работников" отражает стаж работы и практический опыт работников заявителя (руководящего состава и специалистов), непосредственно участвующих в выполнении работ по оцениваемому виду деятельности. Значения
x31 "Стаж работы работников" определяют по
таблице Б.14.
Примечание - При расчете настоящего субфактора учитывают стаж работы работников в профессиональной деятельности, согласно занимаемой должности у заявителя.
Значение доли незавершенного строительства CE вычисляют по формуле

(Б.13)
где yPi - стаж работы i-го работника по оцениваемому виду деятельности в годах;
L - количество работников, учитываемых при расчете данного субфактора.
x31 | 0 | 20 | 40 | 60 | 80 | 100 |
Значение CE | CE < 2 | 2 <= CE < 4 | 4 <= CE < 6 | 6 <= CE < 8 | 8 <= CE < 10 | CE >= 10 |
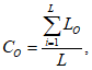
Б.2.14 Субфактор
x32 "Образование работников" отражает уровень образования работников заявителя (руководящего состава и специалистов), непосредственно участвующих в выполнении работ по оцениваемому виду деятельности. Значения
x32 "Образование работников" определяют по
таблице Б.15. Значение образования работников
CO вычисляют по формуле

(Б.14)
где L - количество работников;
LO = 1 - если высшее профильное образование;
LO = 0,5 - если среднее профессиональное профильное образование;
LO = 0 - если непрофильное образование или образование отсутствует.
x32 | 0 | 20 | 40 | 60 | 80 | 100 |
Значение CO | CO < 0,28 | 0,28 <= CO < 0,38 | 0,38 <= CO < 0,48 | 0,48 <= CO < 0,58 | 0,58 <= CO < 0,68 | CO >= 0,68 |
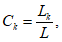
Б.2.15 Субфактор
x33 "Квалификация работников" отражает уровень квалификации работников лица, осуществляющего строительство (руководящего состава и специалистов), непосредственно участвующих в выполнении работ по оцениваемому виду деятельности. Значения
x33 "Квалификация работников" определяют по
таблице Б.16. Значение квалификации работников
Ck вычисляют по формуле

(Б.15)
где Lk - количество работников заявителя, прошедших обучение по программам повышения квалификации и имеющих удостоверение о повышении квалификации, в том числе документ, подтверждающий независимую оценку квалификации;
L - общее количество работников, учитываемых при расчете данного субфактора.
x33 | 0 | 20 | 40 | 60 | 80 | 100 |
Значение Ck | Ck < 0,27 | 0,27 <= Ck < 0,37 | 0,37 <= Ck < 0,47 | 0,47 <= Ck < 0,57 | 0,57 <= Ck < 0,67 | Ck >= 0,67 |
Б.2.16 Субфактор x34 "Награды и звания" отражает наличие у работников заявителя, непосредственно участвующих в выполнении работ по оцениваемому виду деятельности, ученых степеней, правительственных наград и званий за высокое профессиональное мастерство и многолетний добросовестный труд, достижения в области науки и иные заслуги перед государством. Значение наград и званий x34 вычисляют по формуле
x34 = CCN, (Б.16)
где CCN = 100 - наличие работников (более одного), имеющих ведомственные награды, звания и/или ученые степени по основному виду деятельности заявителя;
CCN = 50 - при наличии одного работника, имеющего ведомственные награды, звания и/или ученые степени;
CCN = 0 - при отсутствии работников, имеющих ведомственные награды, звания и/или ученые степени.
Б.2.17 Субфактор
x35 "Количество работников в штате" отражает размер штата работников субъекта предпринимательской деятельности. Значения
x35 "Количество работников в штате" определяют в зависимости от категории заявителя по
таблице Б.17. Значение количества работников в штате
CLS вычисляют по формуле
CLS = F(CL), (Б.17)
где CL - общее количество штатных работников субъекта предпринимательской деятельности.
x35 | 0 | 20 | 40 |
Значение CLS для МиБ | CLS < 2 | 2 <= CLS < 4 | 4 <= CLS < 5 |
Значение CLS для МаБ | CLS < 18 | 18 <= CLS < 22 | 22 <= CLS < 28 |
Значение CLS для СБ | CLS < 103 | 103 <= CLS < 121 | 121 <= CLS < 140 |
Значение CLS для КБ | CLS < 113 | 113 <= CLS < 285 | 285 <= CLS < 397 |
Окончание таблицы Б.17
x35 | 60 | 80 | 100 |
Значение CLS для МиБ | 5 <= CLS < 7 | 7 <= CLS < 10 | CLS >= 10 |
Значение CLS для МаБ | 28 <= CLS < 36 | 36 <= CLS < 53 | CLS >= 53 |
Значение CLS для СБ | 140 <= CLS < 164 | 164 <= CLS < 200 | CLS >= 200 |
Значение CLS для КБ | 397 <= CLS < 603 | 603 <= CLS < 1014 | CLS >= 1014 |
Б.2.18 Субфактор
x41 "Добросовестность" отражает способность заявителя надлежащим образом исполнять свои обязательства по заключенным договорам (в соответствии с положениями самого договора и/или в соответствии с действующим законодательством). Значения
x41 "Добросовестность" определяют по
таблице Б.18. Значение добросовестности
KD вычисляют по формуле

(Б.18)
где Dx - количество договоров, выполненных с нарушением договорных обязательств перед заказчиками за последние три года;
D - общее количество выполненных договоров за последние три года.
x41 | 100 | 80 | 60 | 40 | 20 | 0 |
Значение KD | KD < 0,19 | 0,19 <= KD < 0,32 | 0,32 <= KD < 0,45 | 0,45 <= KD < 0,58 | 0,58 <= KD < 0,71 | KD >= 0,71 |
Б.2.19 Субфактор x42 "Период профессиональной деятельности" отражает количество лет работы заявителя на рынке по оцениваемому виду деятельности.
Примечание - Первым годом деятельности организации признают год заключения первого договора на выполнение работ по оцениваемому виду деятельности. В случае присоединения юридического лица к другому юридическому лицу к последнему переходят права и обязанности присоединенного юридического лица, в том числе количество лет работы заявителя на рынке по оцениваемому виду деятельности.
Значения
x42 "Период профессиональной деятельности" определяют в зависимости от сегмента рынка заявителя по
таблице Б.19. Значение периода профессиональной деятельности
x42 вычисляют по формуле
x42 = F(Q), (Б.19)
где Q - количество лет работы заявителя на рынке с момента заключения первого договора на выполнение работ по оцениваемому виду деятельности. Объектом оценки являются годы существования заявителя, на протяжении которых он в качестве субподрядчика и тому подобному заключал договоры (не менее 1) на выполнение работ по оцениваемому виду деятельности.
x42 | 0 | 12,5 | 25 | 37,5 | 50 |
Значение Q для МиБ | Q < 1 | 1 <= Q < 2 | 2 <= Q < 4 | 4 <= Q < 5 | 5 <= Q < 6 |
Значение Q для МаБ | Q < 1 | 1 <= Q < 3 | 3 <= Q < 5 | 5 <= Q < 6 | 6 <= Q < 8 |
Значение Q для СБ | Q < 1 | 1 <= Q < 4 | 4 <= Q < 6 | 6 <= Q < 8 | 8 <= Q < 11 |
Значение Q для КБ | Q < 1 | 1 <= Q < 6 | 6 <= Q < 9 | 9 <= Q < 13 | 13 <= Q < 16 |
Окончание таблицы Б.19
x42 | 62,5 | 75 | 87,5 | 100 |
Значение Q для МиБ | 6 <= Q < 8 | 8 <= Q < 11 | 11 <= Q < 15 | Q >= 15 |
Значение Q для МаБ | 8 <= Q < 10 | 10 <= Q < 13 | 13 <= Q < 17 | Q >= 17 |
Значение Q для СБ | 11 <= Q < 14 | 14 <= Q < 18 | 18 <= Q < 22 | Q >= 22 |
Значение Q для КБ | 16 <= Q < 19 | 19 <= Q < 22 | 22 <= Q < 27 | Q >= 27 |
| | ИС МЕГАНОРМ: примечание. Текст дан в соответствии с официальным текстом документа. | |
Б.2.20 Субфактор
x43 "Доля исполненных обязательств по договорам субподряда" определяют как отношение суммы исполненных обязательств по договорам субподряда за последний год к выручке заявителя за этот же период деятельности. Значения
x48 "Доля исполненных обязательств по договорам субподряда" определяют в зависимости от сегмента рынка заявителя по
таблице Б.20. Значение доли исполненных обязательств по договорам субподряда
KDGI вычисляют по формуле

(Б.20)
где DGI - суммы исполненных обязательств по договорам субподряда за последний год;
R - выручка.
x43 | 0 | 20 | 40 | 60 | 80 | 100 |
Значение KDGI | KDGI < 0,20 | 0,20 <= KDGI < 0,34 | 0,34 <= KDGI < 0,48 | 0,48 <= KDGI < 0,62 | 0,62 <= KDGI < 0,74 | KDGI >= 0,74 |
| | ИС МЕГАНОРМ: примечание. Нумерация пунктов дана в соответствии с официальным текстом документа. | |
В.2.21 Субфактор
x51 "Цитируемость" отражает количество сообщений (упоминаний) о заявителе в средствах массовой информации. Значения
x51 "Цитируемость" определяют по
таблице Б.21. Значение цитируемости
x51 вычисляют по формуле
x51 = F(Cc), (Б.21)
где Cc - количество упоминаний заявителя в средствах массовой информации. Сообщениями (упоминаниями) об организации в средствах массовой информации являются:
- публикации, статьи или упоминания об организации в профессиональных отраслевых печатных изданиях, в зависимости от основного вида деятельности организации;
- публикации, статьи или упоминания об организации в печатных изданиях, интернет-ресурсах, за исключением социальных сетей, с информацией об успешном выполнении поставки товаров, оказания услуг или выполнении работ заявителем по оцениваемому виду деятельности.
Упоминания об организации в рекламных целях не учитываются при расчете значения Cc.
x51 | 0 | 20 | 40 | 60 | 80 | 100 |
Значение Cc | Cc < 10 | 10 <= Cc < 15 | 15 <= Cc < 19 | 19 <= Cc < 24 | 24 <= Cc < 29 | Cc >= 29 |
Б.2.22 Субфактор x52 "Наличие сайта" отражает наличие у заявителя сайта в информационно-телекоммуникационной сети Интернет. Значение наличия сайта x52 вычисляют по формуле
x52 = CI, (Б.22)
где CI = 100 - наличие сайта у заявителя в информационно-телекоммуникационной сети Интернет;
CI = 0 - отсутствие сайта у заявителя в информационно-телекоммуникационной сети Интернет.
На сайте должны быть размещены следующие сведения: данные о руководстве организации, наименование организации, реквизиты организации, контактные данные с указанием фактического адреса, телефона и электронной почты, информация о деятельности организации.
Б.2.23 Субфактор
x53 "Арбитражная практика" отражает количество нарушений договорных обязательств перед заказчиками и контрагентами, установленных решениями судов за последние три календарных года деятельности заявителя, предшествующих оценке. Значения
x53 "Арбитражная практика" определяют в зависимости от сегмента рынка заявителя по
таблице Б.22. Значение арбитражной практики
x53 вычисляют по формуле
x53 = F(U), (Б.23)
где U - количество удовлетворенных исков, в которых заявитель является ответчиком, за последние три календарных года, предшествующих оценке.
x53 | 100 | 80 | 60 | 40 | 20 | 0 |
Значение U для МиБ | U < 1 | 1 <= U < 2 | 2 <= U < 3 | 3 <= U < 4 | 4 <= U < 9 | U >= 9 |
Значение U для МаБ | U < 1 | 1 <= U < 2 | 2 <= U < 3 | 3 <= U < 4 | 4 <= U < 10 | U >= 10 |
Значение U для СБ | U < 1 | 1 <= U < 2 | 2 <= U < 3 | 3 <= U < 5 | 5 <= U < 11 | U >= 11 |
Значение U для КБ | U < 2 | 2 <= U < 5 | 5 <= U < 10 | 10 <= U < 20 | 20 <= U < 48 | U >= 48 |
Б.2.24 Субфактор x54 "Отзывы" отражает количество зафиксированных положительных отзывов и/или благодарностей о работе заявителя от муниципальных, государственных органов власти или субподрядчиков. Значение отзывов x54 вычисляют по формуле
x54 = CG, (Б.24)
где CG = 100 - при наличии более трех отзывов или благодарностей;
CG = 50 - при наличии от одного до трех отзывов или благодарностей;
CG = 0 - при отсутствии отзывов и благодарностей.
Б.2.25 Субфактор
x55 "Исковая нагрузка" отражает отношение суммы исковых требований по договорным обязательствам перед заказчиками и субподрядчиками, установленных решениями судов за три года деятельности заявителя, к размеру годовой выручки. Значения
x55 "Исковая нагрузка" определяют в зависимости от сегмента рынка заявителя по
таблице Б.23. Значение исковой нагрузки
KARR вычисляют по формуле

(Б.25)
где AR - размер требований по каждому иску;
R - выручка.
x55 | 100 | 50 | 0 |
Значение KARR для МиБ | KARR < 1% | 1% <= KARR < 2% | KARR >= 2% |
Значение KARR для МаБ | KARR < 1% | 1% <= KARR < 5% | KARR >= 5% |
Значение KARR для СБ | KARR < 1% | 1% <= KARR < 7% | KARR >= 7% |
Значение KARR для КБ | KARR < 1% | 1% <= KARR < 5% | KARR >= 5% |
Б.2.26 Субфактор x61 "Сертифицированная система менеджмента" отражает наличие действующих сертификатов систем менеджмента у заявителя, выданных органом по сертификации, аккредитованным в соответствии с законодательством Российской Федерации об аккредитации. Область аккредитации органа по сертификации должна включать сертификацию по требованию стандартов систем менеджмента. Значение сертифицированных систем менеджмента x61 вычисляют по формуле
x61 = CM, (Б.26)
где CM = 100 - при наличии сертификатов на систему менеджмента качества, экологического менеджмента и безопасности труда и охраны здоровья;
CM = 75 - при наличии сертификата только на систему менеджмента качества и систему экологического менеджмента;
CM = 50 - при наличии сертификата только на систему менеджмента качества;
CM = 0 - при отсутствии сертификата на систему менеджмента качества.
Б.2.27 Субфактор x62 "Документированное управление качеством" отражает подтверждение документированной информации наличием внедренной и поддерживающейся в актуальном состоянии системы менеджмента заявителя. Значение документированного управления качеством x62 вычисляют по формуле
x62 = CD, (Б.27)
где CD = 100 - при наличии внедренной и поддерживающейся в актуальном состоянии системы менеджмента качества;
CD = 0 - при отсутствии системы менеджмента качества.
Б.2.28 Субфактор x63 "Страхование риска ответственности" отражает информацию о наличии у заявителя договора страхования риска ответственности за нарушения условий договора. Значение страхования риска ответственности x63 вычисляют по формуле
x63 = CCIR, (Б.28)
где CCIR = 100 - если заявитель является стороной договора страхования риска ответственности за нарушения условий договора;
CCIR = 50 - если у заявителя имеются выплаты по такому договору страхования в случае нарушения условий договора;
CCIR = 0 - если заявитель не является стороной такого договора страхования.
Б.2.29 Субфактор x64 "Страхование гражданской ответственности" отражает информацию о наличии у заявителя договора страхования гражданской ответственности. Значение страхования гражданской ответственности x64 вычисляют по формуле
x64 = CCGO, (Б.29)
где CCGO = 100 - если заявитель является стороной договора страхования гражданской ответственности;
CCGO = 50 - если у заявителя имеются выплаты по такому договору страхования в случае наступления гражданской ответственности;
CCGO = 0 - если заявитель не является стороной такого договора страхования.
| Градостроительный кодекс Российской Федерации от 29 декабря 2004 г. N 190-ФЗ |
| Профессиональный стандарт 244 "Специалист по организации строительства", утвержденный приказом Минтруда России от 21 апреля 2022 г. N 231н |
| Постановление Правительства Российской Федерации от 4 апреля 2016 г. N 265 "О предельных значениях дохода, полученного от осуществления предпринимательской деятельности, для каждой категории субъектов малого и среднего предпринимательства" |
УДК 658.562:006.354 | |
Ключевые слова: оценка опыта, деловая репутация, оценка деловой репутации, факторы, субфакторы, факторная модель, экспертная оценка, строительство, застройщик |