Главная // Актуальные документы // Анкета (форма)СПРАВКА
Источник публикации
Документ опубликован не был
Примечание к документу
Название документа
"Методика расчета пожарных рисков на тепловозах и электровозах ОАО "РЖД"
(утв. Распоряжением ОАО "РЖД" от 26.12.2017 N 2750р)
"Методика расчета пожарных рисков на тепловозах и электровозах ОАО "РЖД"
(утв. Распоряжением ОАО "РЖД" от 26.12.2017 N 2750р)
| | ИС МЕГАНОРМ: примечание. В официальном тексте документа, видимо, допущена опечатка: Методика расчета пожарных рисков на тепловозах и электровозах ОАО "РЖД" утверждена распоряжением ОАО "РЖД" от 26.12.2017 N 2750р, а не N 2750. | |
от 26 декабря 2017 г. N 2750
Согласовано
Заместитель начальника
Департамента охраны труда,
промышленной безопасности
и экологического контроля ОАО "РЖД"
N ИСХ-3862/ЦБТ
В.С.БЕЛИКОВ
4 декабря 2017 года
Главный инженер
Проектно-конструкторского бюро
локомотивного хозяйства ОАО "РЖД"
N ИСХ-6899/ПКБЦТ
А.Г.ЛАМКИН
11 декабря 2017 года
Главный инженер Дирекции тяги -
филиала ОАО "РЖД"
О.В.ЧИКИРКИН
14 декабря 2017 года
Заместитель Генерального директора
АО "НИИАС"
А.М.ЗАМЫШЛЯЕВ
1 декабря 2017 года
МЕТОДИКА РАСЧЕТА ПОЖАРНЫХ РИСКОВ
НА ТЕПЛОВОЗАХ И ЭЛЕКТРОВОЗАХ ОАО "РЖД"
Настоящая методика содержит порядок выбора и реализации метода оценки пожарного риска на тяговом подвижном составе в зависимости от целей оценки пожарного риска.
Методика является базовым документом и должна быть использована при разработке нормативных документов, в области оценки и управления пожарными рисками на тяговом подвижном составе ОАО "РЖД", в т.ч.: регламентов, классификаторов, стандартов, инструкций. Методика обязательна к применению должностными лицами при формировании системы управления пожарными рисками на тяговом подвижном составе.
1. Федеральный
закон от 21.12.1994 N 69-ФЗ (ред. от 29.07.2017) "О пожарной безопасности".
2. Федеральный
закон от 22.07.2008 N 123-ФЗ (ред. от 29.07.2017) "Технический регламент о требованиях пожарной безопасности".
| | ИС МЕГАНОРМ: примечание. В официальном тексте документа, видимо, допущена опечатка: стандарт имеет номер ГОСТ 33433-2015, а не ГОСТ Р 33433-2015. | |
3.
ГОСТ Р 33433-2015 "Безопасность функциональная. Управление рисками на железнодорожном транспорте".
4.
ГОСТ 2.101-2016 "Единая система конструкторской документации. Виды изделий".
5.
ГОСТ 31538-2012 "Цикл жизненный железнодорожного подвижного состава. Общие требования".
| | ИС МЕГАНОРМ: примечание. В официальном тексте документа, видимо, допущена опечатка: Положение о системе технического обслуживания и ремонта локомотивов ОАО "РЖД" утверждено Распоряжением ОАО "РЖД" N 3р от 17.01.2005, а не 15.01.2005. | |
6.
Система технического обслуживания и ремонта локомотивов ОАО "РЖД", утв.
распоряжением ОАО "РЖД" N 3р от 15.01.2005 (ред. от 22.06.2012).
7. Инструкция по служебному расследованию, учету пожаров и последствий от них на железнодорожном транспорте, утв. Министерства путей сообщения России 17.12.1992 N ЦУО-130.
8.
Положение о порядке применения предупредительных талонов машинистов, помощников машинистов локомотивов, моторвагонного подвижного состава, специального самоходного подвижного состава и водителей, помощников водителей дрезин, утв. приказом Министерства путей сообщения Российской Федерации от 17.04.2000 N 9Ц.
| | ИС МЕГАНОРМ: примечание. В официальном тексте документа, видимо, допущена опечатка: Методика утверждена Приказом МЧС России от 10.07.2009 N 404, а не распоряжением ОАО "РЖД" от 22.09.2016 N 1946р. | |
9.
Методика определения расчетных величин пожарного риска на производственных объектах, утв. распоряжением ОАО "РЖД" от 22.09.2016 N 1946р (Зарегистрировано в Минюсте РФ 17.08.2009 N 14541).
10.
Инструкция по обеспечению пожарной безопасности на локомотивах и моторвагонном подвижном составе 27.04.1993 N ЦТ-ЦУО-175 (в ред. указания МПС России от 04.10.2001 N Е-1672у).
11. Общие технические
требования к противопожарной защите тягового подвижного состава N ЦТ-6 от 29.12.1995 г. (с изменениями и дополнениями от 25.05.98 г., 11.11.98 г. и 30.03.99 г.).
15.
ГОСТ Р 53286-2009 "Техника пожарная. Установки порошкового пожаротушения автоматические. Модули. Общие технические требования. Методы испытаний".
16.
ГОСТ Р 53284-2009 "Техника пожарная. Генераторы огнетушащего аэрозоля. Общие технические требования. Методы испытаний".
17.
ГОСТ Р 53325-2009 "Техника пожарная. Технические средства пожарной автоматики. Общие технические требования. Методы испытаний".
18.
ГОСТ Р 51017-2009 "Техника пожарная. Огнетушители передвижные. Общие технические требования. Методы испытаний".
20. Методические рекомендации по построению матрицы рисков, утв. распоряжением ОАО "РЖД" от 22.09.2016 N 1946р.
21. Классификатор нарушений требований пожарной безопасности на тепловозах и электровозах, утвержденный от 13 декабря 2016 г.
3 Определения и сокращения
Определения
Аудит пожарной безопасности тягового подвижного состава - систематический документированный процесс получения свидетельств о состоянии пожарной безопасности тягового подвижного состава при проведении комиссионных осмотров на тяговом подвижном составе.
| | ИС МЕГАНОРМ: примечание. В официальном тексте документа, видимо, допущена опечатка: стандарт имеет номер ГОСТ 2.101-2016, а не ГОСТ 2.101-2013. | |
Деталь - изделие, изготовленное из однородного по наименованию и марке материала, без применения сборочных операций, например: валик из одного куска металла, литой корпус; пластина из биметаллического листа; печатная плата; маховичок из пластмассы (без арматуры); отрезок кабеля или провода заданной длины. [
ГОСТ 2.101-2013. Единая система конструкторской документации. Виды изделий.].
Допустимый уровень риска - уровень риска, который приемлем при данных обстоятельствах, на основании существующих в текущий период времени ценностей в обществе. [
ГОСТ 33433-2015 "Безопасность функциональная. Управление на железнодорожном транспорте"].
Индивидуальный пожарный риск - пожарный риск, который может привести к гибели человека в результате воздействия опасных факторов пожара. [Федеральный закон от 22.07.2008 N 123-ФЗ (ред. от 29.07.2017) "Технический регламент о требованиях пожарной безопасности",
статья 2].
Источник зажигания - средство энергетического воздействия, инициирующее возникновение горения [Федеральный закон от 22.07.2008 N 123-ФЗ (ред. от 13.07.2015) "Технический регламент о требованиях пожарной безопасности",
статья 2].
Источник пожароопасного воздействия - объект, субъект или событие, от которых исходит пожароопасное воздействие.
Контрольно-оценочная карта - форма для регистрации и подсчета данных, собираемых в результате проведения аудита или измерений контролируемых показателей.
Критерии риска - правила, по которым оценивают значимость риска. [
ГОСТ 33433-2015 "Безопасность функциональная. Управление на железнодорожном транспорте"].
Матрица рисков - инструмент, позволяющий ранжировать и отражать риски путем определения уровней возможностей и последствий. [
ГОСТ 33433-2015 "Безопасность функциональная. Управление на железнодорожном транспорте"].
Нарушение требований пожарной безопасности - невыполнение или ненадлежащее выполнение требований пожарной безопасности. [Федеральный закон от 21.12.1994 г. N 69-ФЗ (ред. от 29.07.2017) "О пожарной безопасности",
статья 1].
Опасные факторы пожара - факторы пожара, воздействие которых может привести к травме, отравлению или гибели человека и (или) к материальному ущербу. [Федеральный
закон от 22.07.2008 N 123-ФЗ (ред. от 13.07.2015) "Технический регламент о требованиях пожарной безопасности"].
Отказ - событие, заключающееся в нарушении работоспособного состояния объекта. [СТО РЖД 02.044-2011 "Управление ресурсами, рисками и надежностью на этапах жизненного цикла (УРРАН). Термины и определения".]
Пожар - неконтролируемое горение, причиняющее материальный ущерб, вред жизни и здоровью граждан, интересам общества и государства. [Федеральный закон от 21 декабря 1994 г. N 69-ФЗ "О пожарной безопасности",
статья 1]
Пожароопасные состояния в узлах тягового подвижного состава - состояния узлов тягового подвижного состава, возникающие в результате отказов или отступлений от требований к техническому содержанию и ведущие к возникновению пожароопасных событий на тяговом подвижном составе.
Пожароопасные события в узлах тягового подвижного состава - события, которые могут привести к появлению пожара и/или загорания в узлах тягового подвижного состава.
Пожароопасный узел тягового подвижного состава - узел, в котором может возникнуть пожароопасное событие, пожароопасное состояние.
Сервисное/ремонтное предприятие - предприятие, на котором осуществляется сервисное обслуживанием и/или ремонт локомотива.
Система противопожарной защиты - комплекс организационных мероприятий и технических средств, направленных на защиту людей и имущества от воздействия опасных факторов пожара и (или) ограничение последствий воздействия опасных факторов пожара на объект защиты (продукцию) [Федеральный закон от 22.07.2008 N 123-ФЗ (ред. от 29.07.2017) "Технический регламент о требованиях пожарной безопасности",
статья 2].
Сценарий появления пожара - совокупность пожароопасных состояний и пожароопасных событий, происходящих в узле инициации и узле распространения.
Тип источника пожароопасного воздействия - комплексная характеристика источника пожароопасного воздействия, устанавливающая основные объекты, субъекты или процессы, от которых исходит пожароопасное воздействие. Типы источника воздействия: внешнее воздействие, воздействие работников, внутренние воздействие.
Узел тягового подвижного состава - часть подвижного состава, не имеющая самостоятельного эксплуатационного назначения. Далее в методике "узел" и "комплекс" отождествляются.
Условия образования пожароопасных состояний - состояние узла, при котором значение хотя бы одного специального параметра, характеризующего приближение изделия к пожароопасному отказу, достигает значения, указанного в эксплуатационной документации, или значение любого параметра изделия, характеризующего его работоспособность, достигает величины упреждающего допуска, указанного в эксплуатационной документации.
Узел инициации - узел тягового подвижного состава, в котором происходит событие, инициирующее цепь пожароопасных событий, последнее из которых является непосредственной причиной возникновения пожара.
Узел распространения - узел тягового подвижного состава, в котором начинается неконтролируемое горение.
Уровень защиты от инициирующего пожароопасного события - значение, показывающее величину защиты от возможности возникновения пожароопасного события.
Уровень защиты от распространения пламени - значение, показывающее величину защиты от возможности распространения огня.
Сокращения
ВВК - высоковольтная камера
КОК - контрольно-оценочная карта
КР - капитальный ремонт
МРОТ - минимальный размер оплаты труда
ОАО "РЖД" - открытое акционерное общество "Российские железные дороги"
ОС - окружающая среда
ОТВ - огнетушащее вещество
ОГН - огнетушитель
ПСПТ - первичные средства пожаротушения
СППЗ - система противопожарной защиты
СР - средний ремонт
ТО - техническое обслуживание
ТПС - тяговый подвижной состав
ТР - текущий ремонт
ТЭД - тяговый электродвигатель
УПС - установка пожарной сигнализации
УПТ - установка пожаротушения
ФС - фактическое состояние
ЧФ - человеческий фактор
4 Общие сведения о методике расчета пожарных рисков
на тепловозах и электровозах ОАО "РЖД"
В настоящей методике представлены методы оценки пожарного риска тягового подвижного состава (далее - ТПС), а также критерии выбора метода в зависимости от цели оценки рисков. В
таблице 4.1 приведен перечень методов и цели, достижению которых способствует оценка рисков тем или иным методом.
Критерии выбора метода оценки пожарного риска ТПС
N | | Цель оценки (критерий выбор) | Описание метода |
1 | Оценка риска на основании матрицы последствий и вероятностей пожара | Ранжирование серий тягового подвижного состава по уровню риска для определения перечня серий, требующих более подробного анализа, а также серий, риск на которых нужно обрабатывать в первую очередь | |
2 | Оценка уровня пожарного риска тепловозов и электровозов в эксплуатационном депо на основе анализа сценариев развития пожара | Определение участников жизненного цикла локомотива (приемщиков, эксплуатационной бригады и др.), оказывающих влияние на вероятность возникновения пожара на локомотивах в эксплуатационных депо | |
3 | Причинно-следственный анализ состояния тягового подвижного состава (оценка уровня пожарного риска на основе индивидуальной оценки фактического состояния локомотива) | Идентификация пожароопасных состояний на конкретном тяговом подвижном составе, оценка вероятности возникновения пожара и планирование мероприятий по управлению рисками на ТПС | |
--------------------------------
Также методика содержит порядок оценки следующих факторов, влияющих на пожарную безопасность тягового подвижного состава:
- оценка прямых последствий возникновения пожара на ТПС с учетом сценария развития пожара (см.
раздел 8);
- оценка систем противопожарной защиты на ТПС (см.
раздел 9);
- оценка прямых последствий возникновения пожара на ТПС с учетом систем противопожарной защиты (см.
раздел 10);
- оценка индивидуального риска локомотивной бригады (см.
раздел 11).
5 Оценка уровня пожарного риска серий тепловозов
и электровозов на основании матрицы последствий
и вероятностей с учетом эксплуатационного парка
Оценка уровня пожарного риска серий тепловозов и электровозов прямым методом на основе матрицы вероятностей и последствий осуществляется в 4 этапа:
- расчет вероятности возникновения пожара (см.
раздел 5.2);
- расчет последствий возникновения пожара (см.
раздел 5.3);
- определение уровня риска с помощью матрицы последствий и вероятностей (далее - матрицы рисков, см.
раздел 5.4).
Оценка уровня риска серий тепловозов и электровозов осуществляется с помощью матрицы пожарных рисков (см.
рис. 5.1). Матрица пожарных рисков построена в соответствии с Методическими рекомендациями
[20], рекомендуется актуализировать матрицу каждый семь лет и в связи с существенным (более 30%) изменением структуры статистических данных.
Оценка уровня пожарного риска серий тепловозов и электровозов осуществляется на основе статистических данных о случаях пожара, их последствиях (с учетом эксплуатационного парка оцениваемой серии).
При этом для обеспечения необходимой точности расчета должны быть выполнены следующие условия:
1) закон появления случайного события "пожар" - биноминальный (в случае, если случайная величина имеет не биноминальный закон распределения, то расчет вероятности осуществляется аналогично порядку, приведенному в
подразделах 5.1 -
5.2 по соответствующим распределению формулам);
2) период наблюдения - не менее 69 месяцев <1>;
--------------------------------
<1> достаточность периода определена с помощью оценки необходимого количества испытаний
3) в случае, если размер эксплуатационного парка менее 610 локомотиво-суток, то расчет вероятности возникновения пожара осуществляется с использованием точной оценки (см.
раздел 5.2.2).
Для расчета вероятности пожара и построения матрицы риска осуществляется сбор статистических данных в соответствии с
разделом 5.1 Методики.
5.1 Сбор статистических данных
5.1.1 Сбор статистических данных для расчета вероятности пожара
Сбор статистических данных для расчета вероятности возникновения пожара осуществляется по
форме таблицы 5.1 по пожарам различных серий тепловозов и электровозов <2>.
--------------------------------
<2> Рекомендуется, для упрощения дальнейших расчетов вести сбор данных в формате excel - файле или другом инструменте, позволяющим производить расчеты быстро.
Сбор статистических данных
для расчета вероятности пожара на локомотивах серии ________
| Экспл. парк (лок.-сут.), N | | Год ____ | ... | Год ____ |
| Фев | ... | Дек | Янв | Фев | ... | Дек | .. | | | |
1 | 2 | 3 | 4 | | 14 | 15 | 16 | | 26 | | | | |
| | | | | | | | | | | | | |
- в
строке "Год" указывают календарный год, по которому проводится сбор статистики пожаров;
5.1.2 Сбор статистических данных для расчета последствий пожара
Для расчета последствий и построения матрицы риска необходимо собрать данные по трудоемкости ремонта секции серии локомотива, для которой происходит оценка риска. Сбор данных осуществляют по
форме таблицы 5.2.
Сбор данных для расчета последствий
| | | | Экспертное мнение - вид ремонта |
1 | 2 | 3 | 4 | 5 |
| | | | |
- в
столбце 1 таблицы 5.2 указывают дату пожара на конкретном локомотиве оцениваемой серии. Рекомендуемый период для рассмотрения - 5 лет;
- в
столбце 3 таблицы 5.2 указывают узел возгорания на конкретном локомотиве оцениваемой серии. Перечень узлов представлен в таблицах 4.1 и 4.2 Классификатора
[21];
- в
столбце 4 указывают фактический вид ремонта, который применялся для восстановления локомотива оцениваемой серии из
столбца 2 после пожара. Виды ремонта: ТО-2, ТО-3, ТР-1, ТР-2, ТР-3, СР, КР;
- в
столбце 5 указывают объем восстановления локомотива оцениваемой серии из
столбца 2 после пожара (устанавливается на основе статистики или экспертного мнения).
5.2 Расчет вероятности возникновения пожара
Расчет вероятности пожара проводят на основе данных, указанных в
таблице 5.1 и объема эксплуатационного парка.
Если эксплуатационный парк оцениваемой серии составляет 610 локомотиво-суток и более, то расчет проводят по
разделу 5.2.1, иначе - по
разделу 5.2.2.
5.2.1 Расчет вероятности возникновения пожара для локомотивов серии с эксплуатационным парком 610 и более локомотиво-суток
Расчет вероятности пожара на локомотивах с данным ограничением по эксплуатационному парку проводят в 3 этапа.
Этап 1. Расчет параметра биномиального распределения
Параметр биномиального распределения рассчитывается по формуле:

(5.1)
где, j - индекс, определяющий серию локомотивов;
m - количество месяцев с пожарами. Оправляется согласно данным
таблицы 5.1 для данной серии;
n - общее количество месяцев. Определяется по
таблице 5.1.
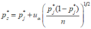
Этап 2. Расчет параметра биномиального распределения с учетом верхних границ
Параметр биномиального распределения с учетом верхних границ рассчитывают по формуле
<1>:

(5.2)
где,

- параметр биномиального распределения, рассчитанный по
формуле (5.1);
n - общее количество месяцев, по которым ведется оценка;

- квантиль стандартного нормального распределения: для доверительной вероятности

,

.
--------------------------------
<1>
Формула (5.2) определяет приближенное значение, связанное с "двойным приближением".
Этап 3. Расчет вероятности реализации пожара
Расчет вероятности реализации пожара осуществляют по формуле:

(5.3)
где, N - эксплуатационный парк локомотивов, определяемый с помощью
таблицы 5.1;

- параметр биномиального распределения с учетом верхних границ, рассчитанный по
формуле (5.2).
Формула (5.3) имеет упрощенный вид и включает в себя часть (1/30N), определяющую вероятность выбора локомотива из эксплуатационного парка, и часть

, являющуюся преобразованием формулы биномиального распределения для расчета вероятности появления события "пожар".
Расчет вероятности пожара для локомотивов серии
с эксплуатационным парком более 610 локомотиво-суток
Серия, j | Количество месяцев с пожарами, m | Общее число месяцев, n | Параметр биномиального распределения,  | Параметр биномиального распределения с учетом верхних границ,  | Эксплуатационный парк, N | Вероятность пожара, P |
1 | 2 | 3 | 4 | 5 | 6 | 7 |
| | | | | | |
5.2.2 Расчет вероятности возникновения пожара для локомотивов серии с эксплуатационным парком менее 610 локомотиво-суток
Расчет вероятности пожара на локомотивах с данным ограничением по эксплуатационному парку отличается от расчета, приведенного ранее, и осуществляется в 2 этапа. Основным отличием является точная оценка границ параметра биномиального распределения. Результатом расчета является заполненная
таблица 5.4.
Расчет вероятности пожара для локомотивов серии
с эксплуатационным парком менее 610 локомотиво-суток
| Количество месяцев с пожарами, m | | | Параметр биномиального распределения,  | | |
1 | 2 | 3 | 4 | 5 | 6 | 7 |
| | | | | | |
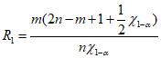
Этап 1. Точная оценка параметра биномиального распределения
Оценка параметра биноминального распределения осуществляется по
формуле (5.4):

(5.4)
где, j - индекс, определяющий серию локомотивов;
m - количество месяцев с пожарами, определенное согласно данным
таблицы 5.1 для данной серии;
n - общее количество месяцев, также определенное по
таблице 5.1;
R1 - параметр, определяемый по формуле:

(5.5)
где,

- квантиль распределения хи-квадрат с k = 2m степенями свободы;

- доверительная вероятность, принимаемая на уровне 0,95.
Этап 2. Расчет вероятности реализации пожара
Расчет вероятности реализации пожара осуществляют по формуле:

(5.6)

- параметр биномиального распределения, рассчитанный по
формуле (5.4).
5.3 Расчет последствий возникновения пожара
Расчет последствий пожара осуществляется в соответствии с данными
таблицы 5.2 раздела 5.1 на основании мнений экспертов. Результатом расчета является заполненная
таблица 5.5.
Расчет последствий пожара
| Серия и номер локомотива | Узел возгорания | Фактический вид ремонта | Экспертное мнение - вид ремонта | Ранг фактического вида, Rф | Ранг экспертного мнения, Rэ | | |
1 | 2 | 3 | 4 | 5 | 6 | 7 | 8 | 9 |
| | | | | | | | |
| | ИС МЕГАНОРМ: примечание. В официальном тексте документа, видимо, допущена опечатка: имеется в виду таблица 5.5, а не 5.1. | |
- в
столбце 9 таблицы 5.5 указывают итоговый вид ремонта, соответствующий расчетному значению среднего ранга.
5.3.1 Ранжирование технических осмотров и ремонтов
Последствия пожара в данном случае оцениваются как вид ТО/ТР, который необходимо будет проводить для восстановления работоспособности локомотива после пожара. Ранжировка видов ТО/ТР проведена в зависимости от трудозатрат и количества технологических операций, которые необходимо провести в результате реализации пожара.
Вид ремонта | нет | ТО-2 | ТО-3 | ТР-1 | ТР-2 | ТР-3 | СР | КР | не подлежит восст-ю |
Ранг | 0 | 1 | 2 | 3 | 4 | 5 | 6 | 7 | 8 |
5.3.2 Расчет среднего ранга и определение вида ТО/ТР
Средний ранг вида ТО/ТР рассчитывается по формуле:

(5.7)
На основе среднего ранга вида ремонта по
таблице 5.6 происходит определение вида ТО/ТР.
5.4 Определение уровня риска с помощью матрицы рисков
Уровень риска определяется по матрице пожарных рисков
(рис. 5.1) для тепловозов и электровозов, путем нанесения координаты пересечения значений вероятности возникновения пожара и его последствий.
Рисунок 5.1 - Матрица пожарных рисков
тепловозов и электровозов ОАО "РЖД"
5.5 Представление итогов расчета и определение уровня
пожарного риска
На основе расчетов, проведенных в
разделах 5.1 -
5.3 происходит формирование итоговой
таблицы 5.11 с результатами расчета, а также определение уровня пожарного риска и нанесение его координаты на матрицу риска.
| | ИС МЕГАНОРМ: примечание. Нумерация таблиц дана в соответствии с официальным текстом документа. | |
Итоговая таблица для оценки пожарного риска
| | ИС МЕГАНОРМ: примечание. В официальном тексте документа, видимо, допущена опечатка: таблица 5.7 отсутствует. | |
6 Оценка уровня пожарного риска тепловозов и электровозов
в эксплуатационном депо на основе анализа сценариев
развития пожара
Оценка пожарного риска ТПС, эксплуатируемых в эксплуатационных локомотивных депо осуществляется на основании совмещений методов <5> анализа сценариев появления и развития пожаров структурированного интервью в эксплуатационных депо.
--------------------------------
Данный раздел включает описание порядка сбора данных для формирования статистической базы, расчет вероятности реализации сценария пожара и его последствий в зависимости от этапов жизненного цикла локомотива и особенностей его эксплуатации в эксплуатационном локомотивном депо.
Для тепловозов выделены следующие стадии жизненного цикла: новый тепловоз; тепловоз на гарантийном обслуживании; тепловоз на постгарантийном обслуживании; тепловоз на постгарантийном обслуживании после капитального ремонта или модернизации.
Для электровозов выделены следующие стадии жизненного цикла: новый электровоз; электровоз на гарантийном обслуживании; электровоз на постгарантийном обслуживании; электровоз на постгарантийном обслуживании после капитального ремонта или модернизации.
6.1. Формирование анкет для оценки пожарного риска
на тепловозах и электровозах на основании
характеристик эксплуатационных депо
Для оценки пожарного риска тепловозов и электровозов формируются анкеты для сбора статистических данных об условиях эксплуатации, как локомотива в целом, так и конкретных пожароопасных узлов. При этом в анкеты включаются следующие группы показателей: показатели, учитывающие факторы внешнего воздействий (в т.ч. окружающей среды); показатели, отражающие факторы, влияющие на качество проведение ТО/ТР, показатели человеческого фактора. Сбор сведений осуществляется по сформированным анкетам, с применением системы балльной оценки наличия того или иного пожароопасного состояния.
Присвоение баллов осуществляется согласно следующим критериям:
4 балла - полное соответствие требованиям по показателю;
3 балла - хороший уровень соответствия требованиям по показателю, может быть рекомендовано действие по улучшению;
2 балла - удовлетворительный уровень соответствия требованиям по показателю, требуются улучшения;
1 балл - недостаточный уровень соответствия требованиям по показателю, обязательно требует улучшения;
0 баллов - неудовлетворительный уровень соответствия требованиям по показателю, обязательно требуются улучшения.
Рекомендованная типовая
форма анкет сбора данных факторах условий эксплуатации тепловозов и электровозов приведена в таблице 6.1 методики. Рекомендованный перечень факторов условий эксплуатации, влияющих на пожарный риск тепловозов и электровозов приведен в
таблицах 6.2 и
6.3 соответственно (с учетом стадии жизненного цикла).
Типовая форма анкет сбора об условиях эксплуатации
тепловоза/электровоза
N, k | Показатель | Значение | | Бi |
1 | 2 | 3 | 4 | 5 |
| | | | 4 |
| | 3 |
| | 2 |
| | 1 |
| | 0 |
| |
Рекомендованный перечень факторов условий эксплуатации
для стадий жизненного цикла тепловоза
Рекомендованный перечень факторов условий эксплуатации
для стадий жизненного цикла электровоза
В зависимости от стадии жизненного цикла заполняются определенные анкеты сбора данных. В
столбце 4 "Отметка" типовой формы анкет сбора данных для тепловозов и электровозов ставится отметка "V" напротив соответствующего значения для каждого показателя. Каждый фактор условий эксплуатации локомотивов оценивается с помощью индикатора - суммы баллов набранных по фактическим значениям показателей (см.
таблицу 6.1).
Для тепловозов и электровозов анкеты формируются по следующим индикаторам:
Электровозы | Тепловозы |
Индикаторы приемки локомотивов |
Баллы качества осуществления работ по контролю результатов сервисного обслуживания и ремонта локомотива в сервисной компании (на заводе) | Профессионализм сервисной/ремонтной бригады при приемке, сдаче, проведении ТО и ТР в эксплуатационном депо/на предприятии сервиса (ремонта) |
Баллы качества осуществления работ по контролю результатов сервисного обслуживания локомотива в эксплуатационном депо | |
Индикаторы пути следования |
Баллы профессионализма локомотивной бригады | Внешние факторы, влияющие на пожарную безопасность в пути следования |
Баллы безопасности режима следования электровоза | Профессионализм локомотивной бригады в пути следования |
Индикаторы сдачи электровоза |
Баллы профессионализма машиниста при сдаче локомотива | Тепловоз после нахождения в пути следования при сдаче локомотивной бригадой |
Баллы профессионализма операторов (и других участников кроме машинистов) при сдаче локомотива | Профессионализм локомотивной бригады при сдаче тепловоза после эксплуатации (по форме ТУ-152) |
Индикаторы технического обслуживания и ремонта |
Баллы безопасности проведения ТО-2, ТО-3 и ТР-1 | Общие сведения о конструкции тепловоза и материалах |
Баллы безопасности проведения ТР-2, ТР-3 | Сведения о конструкции и материалах |
Баллы безопасности обеспечения техническими средствами для проведения ремонта | Технические факторы ТО-2 |
Баллы безопасности используемых запчастей и материалов пульта управления машиниста | Технические факторы ТО-3 и ТР-1 |
Баллы безопасности используемых запчастей и материалов Калорифера/электрической печи | Технические факторы ТР-2 и ТР-3 |
Баллы безопасности используемых запчастей и материалов тягового трансформатора | Технические факторы капитального ремонта |
Баллы безопасности используемых запчастей и материалов сглаживающего реактора | |
Баллы безопасности используемых материалов коммутационной аппаратуры | |
Баллы безопасности используемых материалов аппаратуры защиты | |
Баллы безопасности используемых запчастей и материалов ТЭД | |
Баллы безопасности используемых материалов блока пуско-тормозных резисторов | |
Баллы безопасности используемых материалов аккумуляторных батарей | |
Баллы безопасности используемых материалов силовых электрических цепей | |
Баллы безопасности используемых материалов электрических цепей управления | |
Баллы безопасности используемых материалов статистических преобразователей, выпрямителей | |
Баллы безопасности используемых материалов вспомогательных электрических машин | |
Баллы безопасности используемых материалов, системы охлаждения ТЭД и выпрямительных установок | |
Баллы безопасности используемых материалов и запчастей пневматического оборудования | |
Баллы общего качества капитального ремонта | |
6.2 Расчет пожарного риска тепловозов
из-за условий эксплуатации
Расчет пожарного риска тепловоза из-за условий эксплуатации осуществляется в три этапа:
1) выбора наиболее вероятных сценариев пожара и оценка вероятности их появления (см.
раздел 6.2.1);
3) оценка уровня риска с помощью матрицы пожарных рисков тепловозов в эксплуатационном депо (см.
раздел 6.2.3).
Оценка пожарных рисков тепловозов из-за условий эксплуатации осуществляется исходя из определения наиболее вероятного сценария пожара и оценки вероятности их появления на основании результатов анкетирования депо. По результатам заполнения анкет осуществляется расчет баллов влияния для каждого узла тепловоза и выбор наиболее вероятных сценариев развития пожара на тепловозах.
Сценарии возникновения и распространения пожара (далее - сценарии пожара) приведены в
таблице 6.4.
Основные сценарии пожара на тепловозах
N сценария, j | Узел инициации | Условия для образования пожароопасных состояний | Пожароопасное состояние | Узел распространения |
1 | ТЭД | Пробой обмотки якоря | Появление условий нагрева кабелей и электротехнической продукции | ТЭД |
Возникновение кругового огня на коллекторе | Появление источников зажигания электрического происхождения |
Нагрев вследствие ослабления крепления электрических соединений | Появление условий нагрева кабелей и электротехнической продукции |
Нагрев вследствие повреждения изоляции |
КЗ из-за нарушения целостности изоляции | Появление источников зажигания электрического происхождения |
2 | ВВК | нагрев вследствие ослабления крепления электрических соединений | Появление условий нагрева кабелей и электротехнической продукции | ВВК |
КЗ из-за нарушения целостности изоляции | Появление источников зажигания электрического происхождения |
Разрушение целостности проводов (обрыв жил) |
Выплавление металла вследствие ослабления крепление электрических соединений | Появление условий нагрева кабелей и электротехнической продукции |
Деформация и замыкание пластин сопротивления | Появление источников зажигания электрического происхождения |
Несоответствие установок аппаратов электрической защиты |
3 | Силовые электрические цепи | КЗ из-за нарушения целостности изоляции | Появление источников зажигания электрического происхождения | Силовые электрические цепи |
КЗ с образованием электрической дуги |
Разрушение медных жил, нагрев изоляции | Появление условий нагрева кабелей и электротехнической продукции |
Пробой изолятора сопротивления шунтировки | Появление источников зажигания электрического происхождения |
Нагрев вследствие ослабления крепления электрических соединений | Появление условий нагрева кабелей и электротехнической продукции |
Прострел изолятора силовой катушки | Появление источников зажигания электрического происхождения |
4 | Электрические цепи управления | КЗ из-за нарушения целостности изоляции | Появление источников зажигания электрического происхождения | Электрические цепи управления |
Превышение нагрузки на сеть |
нагрев конструкции контактора с последующим возникновением электрической дуги | Появление условий нагрева кабелей и электротехнической продукции |
5 | Аккумуляторная батарея | КЗ из-за нарушения целостности изоляции | Появление источников зажигания электрического происхождения | Аккумуляторная батарея |
6 | Статические преобразователи, выпрямители | Нагрев вследствие ослабления крепления электрических соединений | Появление условий нагрева кабелей и электротехнической продукции | Статические преобразователи, выпрямители |
КЗ из-за нарушения целостности изоляции | Появление источников зажигания электрического происхождения |
7 | Турбокомпрессор | Вибрационные нагрузки, обрыв маслоподводящего трубопровода | Появление источников зажигания из-за неисправностей ТК, ротора, подшипников | Турбокомпрессор |
Разрушение опорного подшипника ротора ТК |
Скопление масла в ТК | Скопление масла или нагара |
Разрушение лопаток турбинного колеса | Появление источников зажигания из-за неисправностей ТК, ротора, подшипников |
Скопление масла и нагара в выхлопной системе | Скопление масла или нагара |
неисправность цилиндро-поршневой группы | Появление источников зажигания из-за неисправностей ТК, ротора, подшипников |
Неисправность лабиринтного уплотнителя |
Помпаж ТК |
Отсутствие стопорной планки втулки опорно-упорного подшипника |
Нарушение уплотнителя между газоприемным патрубком и компенсатором |
8 | Масляная система | Излом маслопроводов (нарушение герметичности) | Появление путей попадания ЛВВ на горячие поверхности | Выхлопная система |
9 | Топливная система | Нарушение трубки от фильтра тонкой очистки | Появление путей попадания ЛВВ на горячие поверхности | Выхлопная система |
Излом топливной трубки высокого давления |
"разносная" работа дизеля | |
Излом штуцера предохранительного клапана | Появление путей попадания ЛВВ на горячие поверхности |
Излом топливной трубки высокого давления из-за отсутствия крепежа |
Излом топливного трубопровода (объединения правого и левого топливных коллекторов) |
Излом звена топливопровода низкого давления |
Излом топливной трубки низкого давления |
Излом топливной трубки топливоподогревателя |
10 | Выхлопная система, в т.ч.: |
10.1 | Выхлопная система | Нарушение герметичности выхлопного тракта | Появление путей попадания горящих нефтепродуктов и искр на горючие материалы | Выхлопная система, машинное отделение |
Нарушение герметичности стыка выхлопного коллектора с патрубком |
Нарушение уплотнения стыка между выхлопным патрубком и искрогасителем |
Нарушение герметичности стыка выхлопного коллектора с патрубком ТК |
Нарушение герметичности выхлопного тракта |
Нарушение герметичности стыка выхлопного коллектора с патрубком |
10.2 | Выхлопная система | Скопление масла и нагара в выхлопной системе | Скопление масла или нагара | Система охлаждения ТЭД и выпрямительных установок |
Появление путей попадания горящих нефтепродуктов и искр на горючие материалы |
Попадание искр из бака дренажной системы |
11 | Вспомогательные электрические машины | Излом ведущего вала гидропривода вентилятора холодильника | Появление условий нагрева кабелей и электротехнической продукции | Вспомогательные электрические машины |
заклинивание гидромуфты вертикального вала гл. вентилятора | Появление источников зажигания электрического происхождения |
Межвитковое замыкание вследствие повреждения изоляции | Появление источников зажигания электрического происхождения |
Неотключение контактора мотор-компрессора вследствие пригорания | Появление условий нагрева кабелей и электротехнической продукции |
12 | Система охлаждения ТЭД и выпрямительных установок | Искрообразование из-за разрушения лопаток вентиляторного колеса | | Система охлаждения ТЭД и выпрямительных установок |
Нагрев вследствие повреждения изоляции | Появление условий нагрева электротехнической продукции и других частей дизеля |
13 | Главный генератор | Разбандажировка якоря главного генератора | Появление источников зажигания электрического происхождения | Главный генератор |
Межвитковое замыкание обмотки якоря |
КЗ из-за нарушения целостности изоляции |
Нагрев вследствие ослабления крепления электрических соединений | Появление условий нагрева кабелей и электротехнической продукции |
14 | Дизель | Перекос форсунки в корпусе форсуночного адаптера | Появление путей попадания горящих нефтепродуктов и искр на горючие материалы | Дизель |
15 | Механическое вспомогательное оборудование и их приводы | Механическое разрушение подвижных частей механизмов с их нагревом | Появление условий нагрева | Механическое вспомогательное оборудование и их приводы |
Неразмыкание силовых губок контактора компрессора, оплавление | Появление условий нагрева кабелей и электротехнической продукции |
16 | Фильтры непрерывного действия | Скопление масла в ТК | Скопление масла или нагара | Турбокомпрессор |
Загрязненные сетки |
6.2.1 Выбор наиболее вероятных сценариев пожара на тепловозах и оценка вероятности их появления
Алгоритм выбора наиболее вероятных сценариев пожара и оценка вероятности их появления включает 8 шагов, описанных подробно в разделе 6.2.1. Результатом является составление перечня наиболее вероятных сценариев пожара и заполнение
таблицы 6.10.
Шаг 1. Выбор сценария пожара для анализа и оценки вероятности пожара по этому сценарию.
Расчет вероятности ведется для каждого из сценариев, приведенных в
таблице 6.4. На первом шаге выбирается конкретный
j-ый сценарий и дальнейшие шаги выполняются последовательно по выбранному
j-ому сценарию. Далее шаги повторяются для всех приведенных сценариев.
Шаг 2. Вычисление значений индикаторов пожароопасного события (далее - индикаторов).
Шаг 2.1. По заполненным анкетам выбранного перечня индикаторов в соответствии со стадией жизненного цикла
(таблица 6.2) заполняется
столбец 5 таблицы 6.5 для каждого из сценариев развития пожара, в который вносятся данные о набранных баллах в соответствии с формулой расчета из
столбца 4 таблицы 6.5.
Расчет индикаторов пожароопасного события. Сценарий ________
Индикатор | Количество баллов | Формула для расчета индикатора | |
Обозначение | Наименование |
1 | 2 | 3 | 4 | 5 |
ББАЗА | Общие сведения | - | - | - |
БПУТЬ1 | Внешние факторы, влияющие на пожарную безопасность в пути следования | Бb1 | | |
БЧФ2 | Профессионализм локомотивной бригады в пути следования | Бb2 | | |
БПУТЬ2 | Тепловоз после нахождения в пути следования при сдаче локомотивной бригадой | Бb3 | | |
БЧФ3 | Профессионализм локомотивной бригады при сдаче тепловоза после эксплуатации (по форме ТУ-152) | Бb4 | | |
БЧФ1 | Профессионализм сервисной/ремонтной бригады при приемке, сдаче, проведении ТО и ТР в эксплуатационном депо/на предприятии сервиса (ремонта) | Бb5 | | |
БКиМ1i | Общие сведения о конструкции тепловоза и материалах | Бc1i | | |
БКиМ2i | Сведения о конструкции и материалах нового тепловоза | Бc2i | | |
БКиМ3i | Сведения о конструкции и материалах эксплуатирующегося тепловоза | Бc3i | | |
БКиМ4i | Сведения о конструкции и материалах эксплуатирующегося тепловоза после капитального ремонта | Бc4i | | |
БТЕХ1i | Технические факторы ТО-2 | Бc5i | | |
БТЕХ2i | Технические факторы ТО-3 и ТР-1 | Бc6i | | |
БТЕХ3i | Технические факторы ТР-2 и ТР-3 | Бc7i | | |
БТЕХ4i | Технические факторы капитального ремонта | Бc8i | | |
--------------------------------
<*> здесь и далее: в числители - фактически набранное количество баллов;
Si - максимально возможное количество баллов, которое можно набрать по анкете.
Шаг 3. Расчет уровня защиты от инициирующего пожароопасного события для узла инициации и уровня защиты от распространения огня для узла распространения выбранного сценария пожара.
Расчет производится в зависимости от стадии жизненного цикла по
формуле 6.1 для уровня защиты от инициирующего пожароопасного события,
формуле 6.2 для уровня защиты от распространения огня.
Формула расчета уровня защиты от инициирующего пожароопасного события:
Yинj = m
к1Б
КиМ1 + m
т1Б
Тех1 + m
т2Б
Тех2 + m
к3Б
КиМ3 +
+ mч1БЧФ1 + mп1БПуть1 + mч2БЧФ2 + mп2БПуть2 + mч3БЧФ3 +
+ mк4БКиМ4 + mт3БТех3 + mк2БКиМ2 + mт4БТех4 (6.1)
Формула расчета уровня защиты от распространения огня:
Yблокj = m
ч2Б
ЧФ2 + m
к1Б
КиМ1 + m
к3Б
КиМ3 + m
т1Б
Тех1 +
+ mт2БТех2 + mк4БКиМ4 + mт3БТех3 +
+ mк2БКиМ2 + mт4БТех4 (6.2)
где, коэффициенты
mnn - веса, для расчета уровней защиты от инициирующего пожароопасного события и защиты от распространения огня. Значения индикаторов берутся из
таблицы 6.6. Если для значения индикатора стоит "-", то значение приравнивается к 0.
Для выбранного сценария пожара из
шага 1 и стадии жизненного цикла по
формулам 6.1,
6.2 и
таблицы 6.6 проводится расчет <6> уровней защиты от инициирующего пожароопасного события
Yинj и защиты от распространения огня
Yблокj.
--------------------------------
<6> Весовые коэффициенты факторов получены экспертным путем и на основе статистики причин пожаров.
Веса для расчета уровней защиты от инициирующего
пожароопасного события и защиты от распространения огня
Шаг 4. Расчет среднего уровня защиты от реализации сценария пожара Yсрj. Расчет осуществляется по формуле:

, [%] (6.3)
Шаг 5. Определение
Pj - вероятности возникновения пожара на основе индикаторов для сценария пожара осуществляется на основе значений
Yин и
Yблок по
таблице 6.7.
Вероятность возникновения пожара на основе индикаторов
Уровень защиты от инициирующего пожароопасного события, Yин | Уровень защиты от распространения пожароопасных событий, Yблок |
90 - 100% | 80 - 90% | 70 - 80% | 60 - 70% | Менее 60% |
90 - 100% | 10-7 | 2,4·10-7 | 10-6 | 5·10-6 | 2,4·10-5 |
80 - 90% | 4,6·10-7 | 2·10-6 | 9,4·10-6 | 2,3·10-5 | 10-4 |
70 - 80% | 2·10-6 | 9,4·10-6 | 4,5·10-5 | 10-4 | 5,2·10-4 |
60 - 70% | 10-5 | 4,6·10-5 | 2·10-4 | 9,45·10-4 | 2,28·10-3 |
Менее 60% | 4,5·10-5 | 2·10-4 | 9,5·10-4 | 4,3·10-3 | 0,02 |
Шаг 6. Формирование результатов расчета.
Результаты расчета вероятности пожара на основе индикаторов
| Базовая вероятность возникновения пожара PБj | Вероятность пожара на основе индикаторов, Pj | Средний уровень защиты, Yсрj |
1 | 2 | 3 | 4 |
| | | |
Шаг 7. Расчет итоговой вероятности реализации сценария пожара.
Расчет итоговой вероятности реализации
j-го сценария пожара происходит по значениям
PБj,
Pj из
таблицы 6.8. Выбор формулы для расчета итоговой вероятности происходит на основе информации о среднем уровне защиты
Yсрj из
таблицы 6.8, по правилам:
1) если средний уровень защиты меньше 80%, то итоговая вероятность
j-ого сценария пожара вычисляется по
формуле (6.4):
2) если средний уровень защиты равен или больше 80%, то итоговая вероятность j-ого сценария пожара вычисляется по формуле:
PТj = Pj (6.5)
Внести результаты расчета итоговой вероятности в
таблицу 6.9.
Результаты расчета итоговой вероятности
N сценария, j | Базовая вероятность возникновения пожара, PБj | Вероятность пожара на основе индикаторов, Pj | Средний уровень защиты, Yсрj | Итоговая вероятность PТj |
| | | | |
Шаг 8. Выбор наиболее вероятных сценариев пожара.
Шаг 8.1. Из
таблицы 6.9 выявляются сценарии пожара, для которых выполняются условия:
1) средний уровень защиты менее 80%;
2) итоговая вероятность появления более 1,7·10-5 для тепловозов на гарантийном обслуживании, тепловозов на постгарантийном обслуживании и тепловозов на постгарантийном обслуживании после капитального ремонта или модернизации и более 10-6 для новых тепловозов.
Шаг 8.2. Среди сценариев пожара, попадающих под условия
шага 8.1, выбирать сценарии пожара:
1) с наибольшим значением итоговой вероятности.
2) с наименьшим средним уровнем защиты.
Составить перечень наиболее вероятных сценариев пожара, внести в
таблицу 6.10. Нумерация сценариев
таблицы 6.9 при этом сохраняется.
Перечень наиболее вероятных сценариев пожара
N сценария, j | Узел инициации | Условия для образования пожароопасных состояний | Пожароопасное состояние | Пожароопасное событие в узле инициации или в узле распространения | Узел распространения | Итоговая вероятность, PТj |
| | | | | | |
6.2.2 Оценка последствий от пожаров на тепловозах
Оценка последствий от пожаров на тепловозах в эксплуатационном депо может быть осуществлена одним из двух методов:
1) метод 1: оценка прямых последствий от пожаров с применением экспертных оценок (порядок оценки приведен ниже);
2) метод 2: оценка последствий от пожаров с учетом состояния систем противопожарной защиты (см.
разделы 8,
9,
10).
Метод 2 применяется, если тепловозы эксплуатационного депо оборудованы системами пожаротушения лучше, чем в среднем по сети.
Порядок реализации метода 2:
1) на основе
таблицы 6.10 в
таблице 8.2 для тепловозов выбирается строка соответствующая наиболее вероятному сценарию пожара;
2) по
таблице 8.2 для наиболее вероятного сценария пожара на основании экспертных оценок определяется ожидаемая продолжительность пожара (менее 5 минут, 5 - 15 минут, более 15 минут);
3) по
таблице 8.2 на пересечении строки, соответствующей наиболее вероятному сценарию пожара и столбцов, соответствующих продолжительности пожара определяются последствия для материальных ценностей и людей.
6.2.3 Оценка уровня риска тепловозов с помощью матрицы
пожарных рисков эксплуатационных депо
На основании оценки вероятности появления пожара на тепловозах в эксплуатационном депо и последствий от пожаров по матрице рисков определяется уровень пожарного риска, для этого:
1. В столбце "Вероятность пожара" матрицы рисков
(рис. 6.1) выбирается интервал, в который попадает расчетное значение вероятности появления наиболее вероятного сценария пожара (исходя из данных
таблицы 6.9). При наличии равновероятных сценариев пожара, выбирается один из них на усмотрение экспертов проводящих оценку пожарного риска.
2. В строках "Последствия для материальных ценностей" и "Последствия для людей" выбираются последствия, определенные в соответствии с
разделом 6.2.2.
3. На пересечении значений из
пункта 1 и
пункта 2 ставится координата пожарного риска

, где
j - номер сценария пожара (при этом может быть две координаты, в зависимости от последствий).
Рисунок 6.1 - Матрица пожарных рисков серии тепловоза
в эксплуатационном депо
6.3 Расчет пожарного риска электровозов
из-за условий эксплуатации
Оценка пожарного риска электровозов в эксплуатационном депо из-за условий эксплуатации осуществляется в три этапа:
1) выбор наиболее вероятных пожароопасных событий на электровозах и оценка вероятности их появления (см.
раздел 6.3.1);
3) оценка уровня риска с помощью матрицы пожарных рисков электровозов в эксплуатационном депо (см.
раздел 6.3.3).
6.3.1 Выбор наиболее вероятных пожароопасных событий
на электровозах и оценка вероятности их появления
Выбор наиболее вероятных пожароопасных событий на электровозах и оценка вероятности их появления осуществляется в 6 шагов:
Шаг 1. Расчет значений индикаторов пожароопасного события. По результатам сбора данных осуществляется расчет значений индикаторов опасности по формулам, приведенным в
таблице 6.11.
Формулы расчета индикаторов пожароопасного события
Наименование индикатора опасности | Формула расчета | N |
Бпр1 | Баллы качества осуществления работ по контролю результатов сервисного обслуживания и ремонта локомотива в сервисной компании (на заводе) | | (6.6) |
Бпр2 | Баллы качества осуществления работ по контролю результатов сервисного обслуживания локомотива в эксплуатационном депо | | (6.7) |
БЭ1 | Баллы профессионализма локомотивной бригады | | (6.8) |
БЭ2 | Баллы безопасности режима следования электровоза | | (6,.9) |
Бсдачи1 | Баллы профессионализма машиниста при сдаче локомотива | | (6.10) |
Бсдачи2 | Баллы профессионализма операторов (и других участников кроме машинистов) при сдаче локомотива | | (6.11) |
БТОиТР1 | Баллы безопасности проведения ТО-2, ТО-3 и ТР-1 | | (6.12) |
БТОиТР2 | Баллы безопасности проведения ТР-2, ТР-3 | | (6.13) |
БТОиТР3 | Баллы безопасности обеспечения техническими средствами для проведения ремонта | | (6.14) |
БТОиТР4_1 | Баллы безопасности используемых запчастей и материалов пульта управления машиниста | | (6.15) |
БТОиТР4_2 | Баллы безопасности используемых запчастей и материалов Калорифера/электрической печи |
БТОиТР4_3 | Баллы безопасности используемых запчастей и материалов тягового трансформатора |
БТОиТР4_4 | Баллы безопасности используемых запчастей и материалов сглаживающего реактора |
БТОиТР4_5 | Баллы безопасности используемых материалов коммутационной аппаратуры |
БТОиТР4_6 | Баллы безопасности используемых материалов аппаратуры защиты |
БТОиТР4_7 | Баллы безопасности используемых запчастей и материалов ТЭД |
БТОиТР4_8 | Баллы безопасности используемых материалов блока пуско-тормозных резисторов |
БТОиТР4_9 | Баллы безопасности используемых материалов аккумуляторных батарей |
БТОиТР4_10 | Баллы безопасности используемых материалов силовых электрических цепей |
БТОиТР4_11 | Баллы безопасности используемых материалов электрических цепей управления |
БТОиТР4_12 | Баллы безопасности используемых материалов статистических преобразователей, выпрямителей |
БТОиТР4_13 | Баллы безопасности используемых материалов вспомогательных электрических машин | | |
БТОиТР4_14 | Баллы безопасности используемых материалов, системы охлаждения ТЭД и выпрямительных установок |
БТОиТР4_15 | Баллы безопасности используемых материалов и запчастей пневматического оборудования |
БКР | Баллы общего качества капитального ремонта | | (6.16) |
Шаг 2. Определение базовой вероятности возникновения пожара на электровозе. Базовая вероятность возникновения пожара на электровозе
i-ой серии из-за
j-ого пожароопасного события определяется по
таблице 6.14.
| | ИС МЕГАНОРМ: примечание. Нумерация таблиц дана в соответствии с официальным текстом документа. | |
Базовая вероятность возникновения из-за пожароопасного
события на электровозах в региональной дирекции в год <7>
--------------------------------
<7> На основе статистики трех лет
Региональная дирекция | | Пожароопасные события, j |
Искры короткого замыкания | Электрическая дуга | Нагрев | Пробой | Прогар | Другое | Круговой огонь |
ОКТ | 0,011 | 0,066 | 10-6 | 10-6 | 10-6 | 10-6 | 0,025 |
КЛНГ | 10-6 | 10-6 | 10-6 | 10-6 | 10-6 | 10-6 | 10-6 |
МОСК | 0,011 | 10-6 | 0,026 | 10-6 | 10-6 | 0,111 | 0,051 |
ГОРЬК | 0,022 | 10-6 | 0,026 | 10-6 | 0,066 | 10-6 | 10-6 |
СЕВ | 0,022 | 0,066 | 0,04 | 10-6 | 10-6 | 10-6 | 10-6 |
С-КАВ | 10-6 | 0,066 | 0,013 | 10-6 | 0,066 | 10-6 | 0,0253 |
Ю-ВОСТ | 0,033 | 10-6 | 0,04 | 10-6 | 10-6 | 10-6 | 0,0253 |
ПРИВ | 10-6 | 10-6 | 0,013 | 10-6 | 10-6 | 10-6 | 10-6 |
КБШ | 0,033 | 10-6 | 0,013 | 10-6 | 10-6 | 10-6 | 0,025 |
СВЕРД | 0,066 | 10-6 | 0,040 | 0,111 | 0,066 | 0,111 | 0,025 |
Ю-УР | 10-6 | 10-6 | 10-6 | 10-6 | 10-6 | 10-6 | 10-6 |
З-СИБ | 10-6 | 10-6 | 0,013 | 0,111 | 10-6 | 10-6 | 0,076 |
КРАСН | 0,076 | 0,066 | 0,040 | 0,111 | 10-6 | 10-6 | 0,051 |
В-СИБ | 10-6 | 0,066 | 0,040 | 10-6 | 0,133 | 0,111 | 10-6 |
ЗАБ | 0,044 | 10-6 | 0,026 | 10-6 | 10-6 | 10-6 | 0,025 |
ДВОСТ | 10-6 | 10-6 | 10-6 | 10-6 | 10-6 | 10-6 | 10-6 |
Шаг 3. Расчет индексов блокировки появления событий, предшествующих опасным событиям.
Выявление наиболее вероятных опасных сценарий появления пожара - событий, приводящих к появлению источника зажигания, осуществляется на основе рассчитанных значений индикаторов опасности. На основании значений индикаторов пожароопасного события (рассчитанных в соответствии с
таблицей 6.11) рассчитываются индексы блокировки появления событий, предшествующих опасным событиям, по формулам, приведенным в
таблице 6.16. Перечень событий, предшествующих пожароопасных состояний приведен в
таблице 6.15.
Перечень событий, предшествующих пожароопасным событиям
Пожароопасные события, j |
Искры короткого замыкания | Электрическая дуга | Нагрев | Пробой | Прогар | Другое | Круговой огонь |
1) Большие переходные сопротивления. 2) Быстропротекающих электрических процессов. 3) Событий, непосредственно приводящих к коротким замыканиям, вызывающим воспламенение. 4) Неисправности. | 1) Большие переходные сопротивления; 2) Быстропротекающих электрических процессов; 3) Событий, непосредственно приводящих к электрическим дугам; 4) Разрушения ламелей коллектора; 5) Перегорание электротехнической продукции; 6) Неисправности | 1) Большие переходные сопротивления; 2) События, непосредственно приводящие к нагреву; 3) Термическое воздействие; 4) Заклинивание; 5) Отказ; 6) Межвитковое замыкание. | Пробой. | 1) Межвитковое замыкание в электрооборудовании; 2) Отсутствие деталей/комплектов; | 1) Хищение; 2) Включение неисправности; 3) Загорание скопившихся легковоспламеняющихся веществ. 4) Обледенение; 5) Использование открытого огня. | 1) Термическое воздействие 2) Межвитковое замыкание. |
Формулы для расчета индекса блокировки события
Наименование события, предшествующего пожароопасному | Формула для расчета I - индекса блокирования события |
Большие переходные сопротивления | |
Быстропротекающих электрических процессов | |
Событий, непосредственно приводящих к коротким замыканиям, вызывающим воспламенение. | |
Неисправности | |
Разрушения ламелей коллектора | |
Перегорание электротехнической продукции | |
События, непосредственно приводящие к нагреву | |
Термическое воздействие | |
Заклинивание | |
Отказ | |
Межвитковое замыкание | |
Отсутствие деталей/комплектов; | |
Включение неисправности | |
Хищение | Iхищ | Условия |
0,9 | 1) Хищение оборудования возможно из-за социально-экономических особенностей региона, однако для работников созданы благоприятные условия для добросовестного выполнения их должностных обязанностей. 2) В прошлом были случаи хищения оборудования, но все прецеденты проанализированы, учтены и устранены причины подобных происшествий. |
0,7 | Хищение оборудования возможно из-за социально-экономических особенностей региона. Причины хищения разбираются формально. Созданных условий для добросовестного выполнения рабочих обязанностей не достаточно. |
0,5 | Хищение оборудования возможно из-за социально-экономических особенностей региона. Влияние на эти процессы слабые. |
Загорание скопившихся легковоспламеняющихся веществ | |
Обледенение |  , в летнее время Iоблед = 1 |
Термическое воздействие | |
Шаг 4. Определение уровня защиты электровоза от появления пожароопасных событий.
На основании рассчитанных значений I - индексов блокирований события определяется уровень защиты от j-го пожароопасного события. Если индекс блокирования процесса 0,8 и более, то уровень блокирования процесса считается равным I·100%. Если у всех процессов I > 0,8, то итоговый уровень блокирования процесса равен среднему арифметическому уровней блокирования процессов, предшествующих ему. В противном случае уровень защиты равен от пожароопасного события определяется по следующим правилам:
1) определяется количество процессов, имеющих уровни блокирования из диапазонов:
a) 0,6 <= I < 0,8
b) 0,4 <= I < 0,6
c) 0,2 <= I < 0,4
d) I < 0,2
2) определяется уровень защиты для каждого интервала (по
таблице 6.17);
3) определяется уровень защиты в целом: равен наихудшему уровню защиты из определенных.
Шаг 5. Формирование оценки итоговых уровней защиты от пожароопасных событий.
Результаты определения итогового уровня защиты от пожароопасных событий заносится в
таблицу 6.18.
Итоговый уровень защиты от пожароопасных событий
Показатели | Пожароопасные события, j |
Искры КЗ | Электрические дуги | Нагрев | Прогар | Пробой | Другое | Круговой огонь |
Итоговый уровень защиты | | | | | | | |
Шаг 6. Расчет итоговой вероятности появления пожароопасных событий.
Итоговая вероятность появления пожароопасных событий определяется на основе базовой вероятности появления событий и итогового уровня защиты:
1) если итоговый уровень защиты 80% и более, то вероятность реализации пожара из-за появления j-ого пожароопасного события для локомотива i-ой серии равна в Pij = 10-6 и событие считается заблокированным;
2) если итоговый уровень защиты менее 80%, то вероятность реализации пожара из-за появления j-ого пожароопасного события на локомотиве i-ой серии рассчитывается по формуле:
Pij = Pбаза-ij·k (6.17)
где, Pбаза-ij - базовая вероятность j-ого пожароопасного
события для локомотива i-ой серии;
k - корректирующий коэффициент, принимает следующие значения в зависимости от уровня защиты (%):
Итоговый уровень защиты 80 - 90% - k = 10-4
Итоговый уровень защиты 70 - 80% - k = 10-3
Итоговый уровень защиты 60 - 70% - k = 1
Итоговый уровень защиты менее 60% - k = 1,2
Pck - вероятность реализации скрытого пожароопасного отказа.
Итоговая вероятность возникновения пожаров из-за событий
| Пожароопасные события, j |
Искры КЗ | Электрические дуги | Нагрев | Прогар | Пробой | Другое | Круговой огонь |
Pi | | | | | | | |
По результатам определения итоговых вероятностей возникновения пожаров из-за j-ых пожароопасных событий, выбирается пожароопасное событие с наибольшим расчетным значением вероятности возникновения пожара. Это событие является основным пожароопасным событием, и вероятность его появления соответствует вероятности появления пожара на электровозах в эксплуатационном депо.
Шаг 7 Определение узла, в котором наиболее вероятна реализация основного пожароопасного события.
Шаг 7.1 Оценка уровня соответствия пожарной безопасности материалов i-ого узла по формуле:

(6.18)
Шаг 7.2 Исключение хорошо защищенных узлов. Если

лежит в интервале от 3 до 4, то узел считается хорошо защищенным. Из узлов с

менее 3 выбираются узлы с наименьшим значением

, они считаются узлами, в которых наиболее вероятна реализация основных пожароопасных событий. Эти узлы заносятся в
таблицу 6.20.
Наиболее вероятные узлы реализации основного
пожароопасного события
6.3.2 Оценка последствий от пожаров
Оценка последствий от пожаров на электровозах в эксплуатационном депо может быть осуществлена одним из двух методов
<8>:
1) метод 1: оценка прямых последствий от пожаров с применением экспертных оценок (порядок оценки приведен ниже);
2) метод 2: оценка последствий от пожаров с учетом состояния систем противопожарной защиты (см.
разделы 8,
9,
10).
--------------------------------
<8> Аналогично
разделу 6.2. Порядок оценки приведен для облегчения чтения и ввиду наличия отличий.
Метод 2 применяется, если электровозы эксплуатационного депо оборудованы системами пожаротушения лучше, чем в среднем по сети.
Порядок реализации метода 2:
1) по
таблице 8.3 для наиболее вероятных узлов реализации основного пожароопасного события
(таблица 6.20) определяются последствия от пожара. При этом если узлов несколько, то выбираются последствия, наибольшие для материальных ценностей при продолжительности развития пожар 5 - 15 минут и соответствующие такому узлу последствия для людей. На основании экспертных оценок определяется ожидаемая продолжительность пожара (менее 5 минут, 5 - 15 минут, более 15 минут) и соответствующие последствия;
2) по
таблице 8.3 на пересечении строки, соответствующей выбранному по
п. 1 узлу и столбцу, соответствующих продолжительности пожара определяются последствия для материальных ценностей и людей.
6.3.3 Оценка уровня пожарного риска электровозов
с помощью матрицы пожарных рисков эксплуатационных депо
На основании оценки вероятности появления пожара на электровозах (вероятности появления j-го пожароопасного события) в эксплуатационном депо и последствий от пожаров по матрице рисков определяется уровень риска, для этого:
1. В столбце "Вероятность пожара" матрицы рисков
(рис. 6.2) выбирается интервал, в который попадает расчетное значение вероятности появления наиболее вероятного пожароопасного события (исходя из данных
таблицы 6.19). При наличии равновероятных пожароопасных событий, выбирается одно из них на усмотрение экспертов проводящих оценку пожарного риска.
2. В строках "Последствия для материальных ценностей" и "Последствия для людей" выбираются последствия, определенные в соответствии с
разделом 6.2.2.
3. На пересечении значений из
пункта 1 и
пункта 2 ставится координата пожарного риска

, где
j - пожароопасное событие (при этом может быть две координаты, в зависимости от последствий).
Рисунок 6.2 - Матрица пожарных рисков серии электровоза
в эксплуатационном депо
7 Оценка уровня пожарного риска на основе
индивидуальной оценки фактического состояния локомотива
На основании фактического состояния локомотива рассчитывается индивидуальная вероятность появления пожароопасного состояния (пожара) и индивидуальный уровень риска. Анализ фактического состояния локомотива является причинно-следственным анализом и основан на структурированном методе идентификации возможных причин пожара на локомотиве.
Оценка индивидуального пожарного риска по фактическому состоянию тягового подвижного состава включает в себя следующие этапы:
- формирование перечня возможных причин пожара, связанных с состоянием локомотива и требований к содержанию контрольно-оценочных карт для оценки фактического состояния локомотива
(раздел 7.1);
- сбор данных для расчета показателей контрольно-оценочных карт, характеризующих пожароопасное состояние узла
(раздел 7.2);
| | ИС МЕГАНОРМ: примечание. В официальном тексте документа, видимо, допущена опечатка: разд. 7.8 отсутствует. | |
- расчет вероятности пожара и его уровня риска, а также построение шкалы рисков (
раздел 7.4 - 7.8).
7.1 Формирование перечня возможных причин пожара, связанных с состоянием локомотива и требований к содержанию контрольно-оценочных карт для оценки фактического состояния локомотива
Перечень возможных причин пожара, связанных с состоянием локомотива формируется на основе анализа статистики причин пожаров с выделением пожароопасных узлов с помощью диаграммы Исикавы и анализа Парето. Примеры приведены на
рисунках 7.1 и
7.2. Для каждой серии ТПС выявляется перечень пожароопасных узлов и формируется перечень пожароопасных состояний, из-за которых может возникнуть пожар в процессе эксплуатации локомотива. При формировании перечня пожароопасных состояний необходимо учитывать не только состояния, способные в одиночку привести к появлению пожара (способствующие формированию искр, нагрева, пламени и других непосредственных причин пожара), но и состояния, за счет которых достигается кумулятивный эффект.
Рисунок 7.1 - Диаграмма Исикавы "Причины пожара на ТПС"
Рисунок 7.2 - Анализ Парето
"Распределение количества пожаров по узлам тепловозов"
На основании сформированного перечня возможных пожароопасных состояний и причин пожара формируются контрольно-оценочные карты фактического состояния локомотива (КОК). КОК предназначены для регистрации фактического состояния локомотива и расчета вероятности возникновения пожара из-за выявленных состояний. Типы КОК исходя из источника данных:
1) КОК для сбора данных о состоянии узлов ТПС;
2) КОК для сбора данных об условиях эксплуатации секции ТПС при которых повышается вероятность пожара;
3) КОК для регистрации результатов оценок ТПС.
Требования к КОК для сбора данных о состоянии узлов ТПС. КОК должна включать следующую информацию:
1) узел (части узла), в котором возможно появление пожароопасных состояний;
2) пожароопасные состояния узла (части узла);
3) графу с возможностью регистрации наличия состояний;
4) оценку влияния пожароопасного состояния на вероятность возникновения пожара (или оценке вклада в вероятность);
5) оценку вероятности появления пожара из-за состояний, которые не возможно выявить с помощью контрольно-оценочной карты

;
6) графу с возможностью регистрации отметки об устранении пожароопасного состояний

;
7) оценку влияния мероприятий по устранению пожароопасных состояний на вероятность пожара

;
8) формулу для расчета вероятности возникновения пожара с учетом выявленных состояний;
9) формулу для расчета вероятности возникновения пожара в узле с учетом оценки вероятности появления пожара из-за состояний, которые не возможно выявить с помощью контрольно-оценочной карты;
10) формулу для вероятности возникновения пожара в узле с учетом устраненных пожароопасных состояний.
Рекомендуемая
форма КОК для сбора данных о состоянии узла ТПС приведена в таблице 7.1.
Форма контрольно-оценочной карты ТПС
N | Часть узла | N | | | | | | |
1 | 2 | 3 | 4 | 5 | 6 | 7 | 8 | 9 |
| | | | | | | | |
Формула для расчета вероятности возникновения пожара с учетом выявленных состояний: | |
Формула для расчета вероятности возникновения пожара в узле с учетом оценки вероятности появления пожара из-за состояний, выявить которые с помощью контрольно-оценочной карты не представляется возможным: | |
Формула для вероятности возникновения пожара в узле с учетом устраненных пожароопасных состояний: | |

,

,

являются показателями контрольно-оценочных карт и должны быть рассчитаны до регистрации информации о состоянии локомотива. Порядок расчета приведен в
разделе 7.2.
Порядок использования КОК для оценки пожарного риска приведен в
разделе 7.3.
Требования к КОК для сбора данных об условиях эксплуатации секции ТПС, при которых повышается вероятность пожара. КОК должна включать информацию об:
1) основных характеристиках локомотива, позволяющих его однозначно идентифицировать: серия, номер, год постройки, региональная дирекция;
2) условиях соблюдения графиков режима технического обслуживания и ремонта. Рекомендуемая
форма приведена в таблице 7.2. Порядок учета влияния соблюдения графиков режима технического обслуживания и ремонта приведен в
разделе 7.4.
Анкета об условиях эксплуатации секции ТПС
Показатель | Значение |
Серия | |
Номер | |
Год постройки | |
Региональная дирекция | |
Эксплуатационное депо приписки | |
Пробег, (ед. изм) (после КР) | |
Перепробег по ТО-2, (ед. изм) | |
Перепробег по ТО-3, (ед. изм) | |
Перепробег по ТР-1, (ед. изм) | |
Перепробег по ТР-2, (ед. изм) | |
Перепробег по ТР-3, (ед. изм) | |
Перепробег по СР, т. (ед. изм) | |
Перепробег по КР, т. (ед. изм) | |
Требования к КОК для регистрации результатов оценок ТПС. КОК должна включать информацию о:
1) вероятности возникновения пожара для секции ТПС

;
2) вероятности возникновения нежелательного события, которое может привести к пожароопасному отказу

;
3) вероятности возникновения пожара для ТПС в целом PТПС;
4) вероятности возникновения пожара для локомотива в целом после проведения компенсирующих риск мероприятий

.
Рекомендуемая
форма приведена в таблице 7.3. Порядок расчета приведен в
разделе 7.5.
Типовая форма итоговых данных об оценке пожарного риска ТПС
Узел | Секция "A" | ... | Секция "N" |
| | | | | |
1 | 2 | 3 | 4 | 5 | 6 | 7 |
| | | | | | |
| | | |
| |
| |
7.2 Сбор данных для расчета показателей
контрольно-оценочных карт
Для полного формирования контрольно-оценочной карты необходимо провести расчет значений следующих показателей: вероятности возникновения пожароопасного события из-за
i-ого пожароопасного состояния -

; коэффициента, учитывающего долю скрытых (не выявляемых с помощью КОК) пожароопасных состояний по
j-ому пожароопасному узлу -

и коэффициента влияния компенсирующих действий по
i-ому пожароопасному состоянию узла на вероятность реализации пожара -

.
Расчет осуществляет на основе собранных данных по серии локомотива, для которого происходит расчет пожарного риска. Для этого требуется заполнить
таблицы 7.4 -
7.7.
Сбор данных по количеству пожаров
по причинам некачественного ремонта
Дата пожара на локомотиве | |
1 | 2 |
| |
- в
столбец 1 "Дата пожара на локомотиве" таблицы 7.4 указывается дата пожара серии оцениваемого локомотива. Для расчета используется статистика пожаров по серии за последние 5 лет;
- в
столбец 2 "Вид ТО/ТР" таблицы 7.4 указывается вид ремонта по причине некачественного проведения которого произошел пожар.
Сбор данных по видам ремонта
для устранения пожароопасных состояний.
- в
столбце 1 "Узел" указываются все определенные ранее пожароопасные узлы;
- в
столбцы 2 "Часть узла",
3 "Пожароопасное состояние" переносятся соответствующие узлам части и пожароопасные состояния из КОК ТПС, составленных по
форме таблицы 7.1.
- в
столбце 4 "Виды ТО/ТР для устранения" указывают соответствующие пожароопасным состояниям виды ТО/ТР: каждому состоянию соответствует минимальный вид ремонта, на котором данное пожароопасное состояние устранялось (ТО-2, ТО-3, ТР-1, ТР-2, ТР-3, СР, КР).
Сбор данных по периодичности
технического обслуживания локомотива
Вид ТО/ТР | ТО-2 | ТО-3 | ТР-1 | ТР-2 | ТР-3 | СР | КР |
Периодичность проведения, тыс. км xi | | | | | | | |
- в
строке "Периодичность проведения" для серии оцениваемого локомотива указывают соответствующий каждому виду ремонта пробег, после которого этот ремонт проводится.
Сбор данных по статистике отказов и пожаров на локомотивах
Периодичность проведения, xi | Количество отказов за 1 квартал | Количество пожаров в среднем за 1 квартал |
1 | 2 | 3 |
< xТО-2 | | |
xТО-2 <= ... < xТО-3 | | |
xТО-3 <= ... < xТР-1 | | |
xТР-1 <= ... < xТР-2 | | |
xТР-2 <= ... < xТР-3 | | |
xТР-3 <= ... < xСР | | |
xСР <= ... < xКР | | |
- в
столбце 1 "Периодичность проведения,
xi" указывается периодичность проведения технических обслуживаний и ремонтов из
таблицы 7.6;
- в
столбце 2 "Количество отказов за 1 квартал" указывается количество отказов за 1 квартал (рекомендуется брать статистику последнего истекшего квартала), случившихся на определенном пробеге от начала эксплуатации.
- в
столбце 3 "Количество пожаров в среднем за 1 квартал" указывается количество пожаров в среднем за 1 квартал, случившихся на определенном пробеге локомотивов серии от начала эксплуатации. Рекомендуется для расчета брать статистику последних 5 лет.
7.2.1 Расчет доли влияния мероприятий, компенсирующих пожароопасное состояние
Расчет доли влияния мероприятий, компенсирующих пожароопасное состояние, осуществляется на основе данных
таблицы 7.5 в 3 этапа. Результатом расчета является заполненная
таблица 7.8.
Итоговая таблица долей влияния
Узел, j | Доля влияния ТО/ТР, mi |
КР | СР | ТР-3 | ТР-2 | ТР-1 | ТО-3 | ТО-2 |
| | | | | | | |
Этап 1. Определение рангов ТО/ТР
Итоговые ранги видов ТО/ТР
| | | Порядковый номер ранга, i | Весовой коэффициент,  |
1 | 2 | 3 | 4 | 5 |
| 1 | | | |
... | | | |
n | | | |
| | ИС МЕГАНОРМ: примечание. Здесь и далее в официальном тексте документа, видимо, допущена опечатка: имеется в виду таблица 7.5, а не 7.6. | |
- в
столбце 2 "Вид ТО/ТР" таблицы 7.9 указываются перечисленные в
столбце 4 таблицы 7.6 различные виды ремонтов для устранения пожароопасных состояний узлов. У каждого узла перечень видов ремонта свой;
- в
столбец 3 "Ранг,
ki" таблицы 7.9 для каждого узла происходит проставление рангов видам ремонта. Проставление рангов происходит по следующим правилам:
1) Ранги видов ТО/ТР в порядке от высшего к низшему (от 1 и далее):

.
2) Следующие виды ТО/ТР имеют одинаковый ранг: ТР-3 и СР, ТР-1 и ТО-3, ТР-2 и ТО-2.
В
таблице 7.10 представлены начальные ранги видов ТО/ТР по которым впоследствии проводится определение итоговых рангов видов ТО/ТР для каждого из пожароопасных узлов по правилу присвоения рангов.
Ранги видов ТО/ТР. Пример для узла, который
имеет все виды ремонта
Вид ТО/ТР | Ранг, ki |
КР | 1 |
ТР-3 | 2,5 |
СР | 2,5 |
ТР-1 | 4,5 |
ТО-3 | 4,5 |
ТР-2 | 6,5 |
ТО-2 | 6,5 |
Этап 2. Расчет доли влияния вида текущего осмотра и ремонтов, компенсирующих пожароопасное состояние
Для каждого узла рассчитывается mi по формуле:

(7.1)
где, mi - доли влияния вида ТО/ТР, компенсирующих пожароопасное состояние, является неизвестным числом,
индекс i - порядковый номер, изменяется от 1 до n, где n - последний порядковый номер.
7.2.2 Расчет веса влияния пожароопасного состояния
на вероятность возникновения пожароопасного состояния в узле
Расчет веса влияния пожароопасного состояния на вероятность возникновения пожароопасного состояния в узле определяется с помощью расчетов, проведенных в
разделе 7.2.1, а именно
таблицы 7.8 и данных
таблицы 7.5. Расчет производится в 2 этапа. Результатом раздела являются рассчитанные значения весов влияния пожароопасного состояния на вероятность возникновения пожароопасного состояния в узле

. Результаты расчета необходимо сразу вносить в
столбец 6 разработанных по форме таблицы 7.1 КОК ТПС.
Этап 1. Определение пожароопасных состояний, устраняемых определенным видом ТО/ТР
Результатом этапа 1 является заполненная
таблица 7.11. Порядок заполнения таблицы приведен ниже.
Количество пожароопасных состояний, которые
можно предотвратить определенным видом ТО/ТР
| | Количество пожароопасных состояний, устраняемых определенным видом ТО/ТР, Nj |
1 | 2 | 3 |
| | |
| |
| |
Этап 2. Расчет весов влияния пожароопасного состояния на вероятность возникновения пожара в конкретном узле
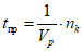
Вес влияния пожароопасного состояния на вероятность возникновения пожара в конкретном узле зависит от общего числа возможных пожароопасных состояний для конкретного узла Nj, а также доли влияния вида ТО/ТР, компенсирующих данное пожароопасное состояние и рассчитывается по формуле:

(7.2)
где,
Nj - общее количество пожароопасных состояний, которые возможно предотвратить одним и тем же видом ТО/ТР
j-ого узла. Определяется по
таблице 7.11;
mi - доля влияния вида ТО/ТР, компенсирующих
i-ое пожароопасное состояние
j-ого узла. Определяется по
таблице 7.8.
Результаты расчета необходимо сразу вносить в
столбец 6 разработанных по форме таблицы 7.1 КОК ТПС.
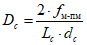
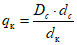
7.2.3 Расчет коэффициента, учитывающего долю скрытых (не выявляемых с помощью КОК) пожароопасных состояний
Расчет коэффициента, учитывающего долю пожароопасных состояний по узлу, которые невозможно выявить при проведении пожарного аудита с помощью контрольно-оценочных карт осуществляется по формуле:

(7.3)
где,

- коэффициент, учитывающий долю пожароопасных состояний, которые невозможно выявить при проведении пожарного аудита по
j-ому узлу;
mi - доля влияния вида ТО/ТР компенсирующих данное пожароопасное состояние
j-ого узла. Определяется по
таблице 7.8;

- величина, отображающая влияние количества пожаров произошедших по причине некачественного проведения того или иного вида ТО/Тр и определяется по формуле:

(7.4)
где,
n - общее количество пожаров за расчетный период на серии оцениваемого локомотива, определяется по
таблице 7.4;
nТО/ТРi - количество пожаров, произошедших по причине некачественного проведения
i-го вида ТО/ТР на рассматриваемой серии за расчетный период, определяется по
таблице 7.4.
Рассчитанные значения коэффициента, учитывающего долю пожароопасных состояний, которые невозможно выявить при проведении пожарного аудита, необходимо сразу вносить в
столбец 7 разработанных по форме таблицы 7.1 КОК ТПС.
| | ИС МЕГАНОРМ: примечание. Нумерация пунктов дана в соответствии с официальным текстом документа. | |
7.2.3.2 Расчет для серий локомотивов, имеющих малое количество пожаров или их отсутствие
Расчет коэффициента, учитывающего количество произошедших за исследуемый период пожаров по вине конкретного ТО/ТР при малой статистике пожара или отсутствие случаев пожара проводится через вывод уравнения

по следующим шагам:
1) Определяется максимальное и минимальное значение коэффициента веса влияния пожароопасного состояния

и

и среднего шага

между значениями

по каждому из узлов по сериям, имеющим статистику пожаров.
2) Находится линейный коэффициент корреляции

узлов по сериям, имеющим статистику и коэффициентов из
п. 1 в соответствии с формулой:

(7.5)
где, X, Y - независимые случайные величины, проверяемые на взаимосвязь.
3) Далее после нахождения наибольшей зависимости значений выборок проводится решение уравнения линейной парной регрессии, описывающей связь между двумя переменными: зависимой
Y (в нашем случае -

) и независимой
X (определяется в соответствии с корреляционным анализом) сходимости. Уравнение имеет вид
(7.6) и решается методом наименьших квадратов.
Согласно методу наименьших квадратов неизвестные параметры модели выбираются так, чтобы сумма квадратов отклонений эмпирических значений от модельных была минимальной:

(7.7)
Далее находятся частые производные по этим переменным и приравниваются к нулю.
Полученную систему дифференциальных уравнений преобразуем в систему нормальных уравнений и решаем ее относительно неизвестных параметров a, b. Расчетные значения параметров подставляются в
уравнение (7.6).
В соответствии с проведенными расчетами <9> и значениями параметров a и b для оцениваемых серий уравнение имеет конечный вид
(7.8) в соответствии с которым и проводятся расчеты коэффициента, учитывающего количество произошедших за исследуемый период пожаров по вине конкретного ТО/ТР при малой статистике пожара или отсутствие случаев пожара.
--------------------------------
<9> Опытные расчеты проводились для локомотивов серий 2ТЭ116, 2М262, 2ТЭ10, 3ТЭ10 в период комиссионного осмотра в 2017 году.

(7.8)
При этом данное уравнение применимо для условий, когда наименьшее расчетное значение веса пожароопасного состояний узла менее или равно 0,1

.
Если наименьшее расчетное значение веса пожароопасного состояний узла более 0,1

, то значение коэффициента, учитывающего количество произошедших за исследуемый период пожаров по вине конкретного ТО/ТР находится по
таблице 7.12 с учетом процентного охвата узла при осмотре.
Определение коэффициента слепоты осмотра узла
Процент охвата осмотра узла, % | |
100 | 0,024 |
70 - 90 | 0,034 |
50 - 70 | 0,053 |
30 - 50 | 0,068 |
< 30 | 0,088 |
Процент охвата узла при осмотре определяется экспертно.
7.2.4 Расчет значения влияния компенсирующих действий по пожароопасному состоянию узла на вероятность реализации пожара
Расчет значения влияния компенсирующих действий по пожароопасному состоянию узла на вероятность реализации пожара рассчитывается по формуле:

(7.9)
где,

- коэффициент, учитывающий долю пожароопасных состояний по узлу, которые невозможно выявить при проведении пожарного аудита. Рассчитывается по
формуле (7.5 (7.8)) раздела 7.2.3 и берется из
столбца 7 разработанных по форме таблицы 7.1 КОК ТПС;

- вес влияния пожароопасного состояния на вероятность возникновения пожара в конкретном узле. Рассчитывается по
формуле (7.2) раздела 7.2.2 и берется из
столбца 6 разработанных по форме таблицы 7.1 КОК ТПС;

- значение влияния компенсирующих действий по пожароопасному состоянию узла на вероятность реализации пожара.
Рассчитанные значения влияния компенсирующих действий по пожароопасному состоянию узла на вероятность реализации необходимо сразу вносить в
столбец 9 по форме таблицы 7.1 КОК ТПС.
7.2.5 Расчет вероятности возникновения нежелательного события, которое может привести к пожароопасному отказу в процессе эксплуатации локомотива в зависимости от соблюдения графика проведения технического осмотра и ремонта
Расчет вероятности возникновения нежелательного события, которое может привести к пожароопасному отказу, определяется в зависимости от года постройки оцениваемого локомотива. Если локомотив имеет период эксплуатации менее 17 лет, то расчет производится по
разделу 7.2.5.1, если период эксплуатации локомотива более 17 лет, то расчет производится по
разделу 7.2.5.2. Расчет осуществляется для случаев, когда для локомотива соблюдается график проведение технического осмотра и ремонта (далее - "при нормативах"), а также для случаев, когда график ТОиР нарушен (далее - "при перепробегах").
7.2.5.1 Расчет вероятности возникновения нежелательного события, которое может привести к пожароопасному отказу для локомотивов с периодом эксплуатации менее 17 лет
Результатами расчета является заполненная
таблица 7.13. Порядок заполнения таблицы приведен ниже.
Вероятность возникновения нежелательного события
для локомотива с периодом эксплуатации менее 17 лет
Периодичность проведения, тыс. км xi | Вид ремонта | Вероятность нежелательного события,  |
| |
< xТО-2 | ТО-2 | | |
xТО-2 <= ... < xТО-3 | ТО-3 | | |
xТО-3 <= ... < xТР-1 | ТР-1 | | |
xТР-1 <= ... < xТР-2 | ТР-2 | | |
xТР-2 <= ... < xТР-3 | ТР-3 | | |
xТР-3 <= ... < xСР | СР | | |
xСР <= ... < xКР | КР | | |
| | ИС МЕГАНОРМ: примечание. Здесь и далее в официальном тексте документа, видимо, допущена опечатка: имеется в виду таблица 7.13, а не 7.14. | |
Порядок заполнения
таблицы 7.14 в зависимости от перепробега:
Если оцениваемый локомотив не имеет перепробегов ни по одному из видов ТО и ТР, то значение

выбирается из
столбца "При нормативах" таблицы 7.14 по последнему из проходящих видов ТО/ТР и расчет происходит только для этой строки
таблицы.
Если локомотив имеет перепробег по одному или нескольким видам ТО/ТР, то значение

выбирается из
столбца "При перепробеге" по максимальному из значений и расчет производится обоих столбцов таблицы.
Процесс расчета:
Расчет вероятности нежелательного события "при нормативах" осуществляется по формуле:

(7.10)
где, Pнорм - вероятность нежелательного события "при нормативах";

- квантиль стандартного нормального распределения, для доверительной вероятности

,

;

- параметр биномиального распределения k-ой серии, рассчитывающийся по формуле:

(7.11)
| | ИС МЕГАНОРМ: примечание. Здесь и далее в официальном тексте документа, видимо, допущена опечатка: имеется в виду таблица 7.7, а не 7.8. | |
Для каждого вида ремонта результаты расчета вносятся в
столбец "при нормативах" таблицы 7.14.
Расчет вероятности нежелательного события "при перепробеге" осуществляется по формуле:

(7.12)
где, Pпер - вероятность нежелательного события "при перепробеге";
Pнорм - вероятность нежелательного события "при нормативах", определяющая по
формуле (7.6);
Для каждого вида ремонта результаты расчета вносятся в
столбец "при перепробеге" таблицы 7.14.
7.2.5.2 Расчет вероятности возникновения нежелательного события, которое может привести к пожароопасному отказу локомотивов с периодом эксплуатации более 17 лет
Результатами расчета является заполненная
таблица 7.15. Порядок заполнения таблицы приведен ниже.
| | ИС МЕГАНОРМ: примечание. Нумерация таблиц дана в соответствии с официальным текстом документа. | |
Вероятность возникновения нежелательного события
для локомотива с периодом эксплуатации более 17 лет
Периодичность проведения, тыс. км xi | Вид ремонта | Вероятность нежелательного события,  |
| |
< xТО-2 | ТО-2 | | |
xТО-2 <= ... < xТО-3 | ТО-3 | | |
xТО-3 <= ... < xТР-1 | ТР-1 | | |
xТР-1 <= ... < xТР-2 | ТР-2 | | |
xТР-2 <= ... < xТР-3 | ТР-3 | | |
xТР-3 <= ... < xСР | СР | | |
xСР <= ... < xКР | КР | | |
Порядок заполнения
таблицы 7.15 в зависимости от перепробега:
Если оцениваемый локомотив не имеет перепробегов ни по одному из видов ТО и ТР, то значение

выбирается из
столбца "При нормативах" таблицы 7.15 по последнему из проходящих видов ТО/ТР и расчет происходит только для этой строки
таблицы.
Если локомотив имеет перепробег по одному или нескольким видам ТО/ТР, то значение

выбирается из
столбца "При перепробеге" по максимальному из значений и расчет производится обоих столбцов
таблицы.
Процесс расчета:
Расчет вероятности нежелательного события "при нормативах" осуществляется по формуле:

(7.13)
где, Pнорм - вероятность нежелательного события "при нормативах";
Для каждого вида ремонта результаты расчета вносятся в
столбец "при нормативах" таблицы 7.15.
Расчет вероятности нежелательного события "при перепробеге" осуществляется по формуле:

(7.14)
где, Pпер - вероятность нежелательного события "при перепробеге";
Pнорм - вероятность нежелательного события "при нормативах", определяющая по
формуле (7.13);
Для каждого вида ремонта результаты расчета вносятся в
столбец "при перепробеге" таблицы 7.15.
7.3 Сбор данных о фактическом состоянии
Для каждой секции локомотива данной серии проводится сбор данных о фактическом состоянии и перепробегах по плановым видам технического обслуживания и текущего ремонта. При проведении аудита пожарной безопасности заполняется журнал контрольно-оценочных карт, разработанный индивидуально для каждой из серий тепловозов
(раздел 7.1). Для этого в
столбце 5 "Отметка о наличии" ставят знак "V" напротив того
i-го пожароопасного состояния из
столбца 4 "Пожароопасное состояние", которому соответствует фактическое состояние части
j-ого пожароопасного узла на момент проведения аудита пожарной безопасности, и заполняется
таблица 7.2. Разработанные журналы контрольно-оценочных карт основных пожароопасных серий локомотивов приведены в Классификаторе
[21].
7.4 Расчет вероятности возникновения пожара
в узле локомотива
По итогам сбора данных о фактическом состоянии узлов тягового подвижного состава, производится расчет вероятности реализации пожара узлов каждом узле.
Расчет суммарного влияния накопленных пожароопасных состояний по i-ому узлу секции ТПС. Вычисляется по формуле:

(7.15)
где,

- значение влияния
i-го пожароопасного состояния узла на вероятность реализации пожара. Рассчитывались по
разделу 7.2.2 и уже должны быть внесены в контрольно-оценочные карты.
Расчет вероятности реализации пожара в конкретном узле локомотива вычисляется по формуле:

(7.16)
где,

- коэффициент, учитывающий долю пожароопасных состояний по узлу, которые невозможно выявить при проведении пожарного аудита. Коэффициент рассчитывался по
разделу 7.2.3 и уже должен быть внесен в контрольно-оценочные карты.
7.5 Расчет вероятности реализации пожара
для секции и локомотива в целом
Для каждого узла секций локомотива проставляются значения вероятности реализации пожара по узлам локомотива

, рассчитанные по
формуле (7.16) и коэффициенты, учитывающие долю пожароопасных состояний по узлу, которые невозможно выявить при проведении пожарного аудита, рассчитанные по
формуле (7.3 (7.8)).
Далее происходит расчет вероятности возникновения пожара для секции локомотива и вероятности реализации пожара для локомотива в целом.
Вероятность возникновения пожара для секции локомотива зависит от фактического состояния каждого из узлов и перепробегов по плановым видам технического обслуживания и текущего ремонта.
Расчет вероятности возникновения пожара для секции локомотива производится по формуле:

(7.17)
где,

- максимальная вероятность возникновения пожара по
j-му узлу;
| | ИС МЕГАНОРМ: примечание. В официальном тексте документа, видимо, допущена опечатка: имеется в виду таблица 7.15, а не 7.14. | |

- вероятность возникновения нежелательного события, которое может привести к пожароопасному отказу, выбирается из
таблицы 7.13,
7.14 в зависимости от года постройки локомотива.
Расчет вероятности возникновения пожара для локомотива в целом.
Выполняется на основе расчетных значений вероятностей по секциям ТПС и вычисляется по формуле:

(7.18)
7.6 Оценка уровня индивидуального пожарного риска локомотива
На основании рассчитанного значения P
ТПС определяется индивидуальный уровень пожарного риска по шкале пожарных рисков. Построение шкалы пожарных рисков локомотивов проводится в соответствии с положениями
раздела 7.6.1.
7.6.1 Построение шкалы пожарных рисков
Для построения шкалы рисков используется одномерная унифицированная шкала рисков, рекомендации по построению которой, приведены в Методических рекомендациях
[20]. Форма шкалы рисков представлена на
рисунке 7.1.
| | ИС МЕГАНОРМ: примечание. Нумерация рисунков дана в соответствии с официальным текстом документа. | |
Рис. 7.1 - Форма шкалы риска базовая
где,
Rдоп - уровень допустимого риска. Определяется в соответствии с положениями
раздела 7.6.1.1;
K - масштаб шкалы рисков.
Рассчитанные значения шкалы рисков наносятся на форму на
рисунке 7.1 и в дальнейшем используются для определения уровня пожарного риска локомотива.
7.6.1.1 Определение уровня допустимого риска
Определение уровня допустимого риска осуществляется методом экспертных оценок. При этом перед экспертами ставится задача определить множества возможных пожароопасных состояний локомотива и каждому множеству проставить в соответствие качественную оценку риска: допустимый или не допустимый. При этом мнение экспертов соответствует границе между допустимым и нежелательным уровнем риска в соответствии с
рисунком 7.1
Для каждого пожароопасного узла ТПС экспертом заполняется карта экспертной оценки объекта (см.
таблицу 7.16).
Карта для экспертной оценки объекта ____________
Метод экспертной оценки __________________________ |
| Номера входящих во множество пожароопасных состояний | Уровень пожарного рискам множества пожароопасных состояний | Трудоемкость устранения пожароопасного состояния, норма-часы | |
1 | 2 | 3 | 4 | 5 |
| | | | |
При заполнении карты эксперт пользуется следующими понятиями:
1) Множество пожароопасных состояний - перечень пожароопасных состояний, в которых одновременно может находиться узел ТПС. Множества формируют эксперты на основании перечня свойств объектов. Рекомендуется формировать до 10 наиболее часто встречающихся.
2) Уровень пожарного риска множества пожароопасных состояний - масштаб риска или совокупности рисков, который характеризуется определенным сочетанием последствий и вероятности их возникновения. Эксперт определяет принадлежность множества одной из двух категорий риска: допустимый и недопустимый.
3) Ранг - уровень иерархической организованной последовательности множеств пожароопасных состояний. Ранг может принимать значение от 1 до М (М - количество множеств). Множеству с рангом 1 соответствует наиболее пожароопасное множество состояний.
- в
строке "Метод экспертной оценки _________" указывается выбранный экспертами метод оценки объектов. Рекомендуемый метод простого ранжирования;
- в
столбце 1 "N п/п множества" указывается порядковый N множества, включающего в себя группу пожароопасных состояний, образующих определенный уровень риска и трудоемкость устранения состояний;
- в
столбце 2 "Номера входящих во множество пожароопасных состояний" указываются номера пожароопасных состояний;
- в
столбце 3 "Уровень пожарного риска" указывается определенный экспертом общий уровень пожарного риска, образованный множеством пожароопасных состояний из
столбца 2 таблицы. Уровень пожарного риска может быть задан как "допустимый" или "недопустимый";
- в
столбце 4 "Трудоемкость устранения пожароопасного состояния, норма-часы" указывается определенное экспертом количество норма-часов для элементов (пожароопасных состояний) множества из
столбца 2.
| | ИС МЕГАНОРМ: примечание. В официальном тексте документа, видимо, допущена опечатка: имеется в виду разд. 7.6.1.1.1, а не 4.6.1.1.1. | |
7.6.1.1.1 Экспертная оценка методом простого ранжирования
| | ИС МЕГАНОРМ: примечание. В официальном тексте документа, видимо, допущена опечатка: имеется в виду таблица 5.6, а не 6. | |
По данному методу проводится заполнение
столбца 5 таблицы 7.16. Каждому множеству состояний эксперт присваивает ранг (значимость) в зависимости от степени его пожарной опасности в следующем порядке: наиболее значимому (приоритетному для устранения, наиболее быстро приводящему к пожару и т.п.) множеству пожароопасных состояний присваивается ранг 1, ранг 2 получает следующее по значимости множество и так далее. В
таблице 6 приведен пример ранжирования для свойств объекта из
таблицы 7.17.
Перечень свойств объекта ТЭД серии 2ТЭ116
N | Часть узла | N | |
1 | 2 | 3 | 4 |
1 | ТЭД | | Клицы повреждены |
| Грязь и подтеки масла |
| Целостность корпуса и подшипниковых щитов нарушена |
| Проходные втулки кабелей повреждены |
| Оболочки кабеля повреждены |
| Кабели ненадежно закреплены в клице |
| Закопченность, загрязнения маслом и пылью коллекторных пластин |
| Общее состояние: трещины, перекосы, оплавления и изломы |
| Пальцы щеткодержателей с трещинами и повреждениями |
| Изоляторы на пальцах сидят неплотно |
| Пальцы щеткодержателей со следами пробоя изоляции |
Из
столбца 4 "Пожароопасное состояние" таблицы 7.17 выбираются пожароопасные состояния, сочетание которых наиболее вероятно и образует определенный уровень пожарного риска и заполняют
таблицу по форме 4. Пример заполнения приведен в
таблице 7.18. Этот этап выполняется коллективно. Рекомендуется формировать до 10 наиболее часто встречающихся множеств пожароопасных состояний.
Пример коллективного мнения о множествах
возможных пожароопасных состояний в узле ТЭД серии 2ТЭ116
N п/п множества | Номера входящих во множество пожароопасных состояний | Наименования пожароопасных состояний, входящих во множество |
1 | | - Целостность корпуса и подшипниковых щитов нарушена |
2 | | - Проходные втулки кабелей повреждены - Оболочки кабеля повреждены - Закопченность, загрязнения маслом и пылью коллекторных пластин - Общее состояние: трещины, перекосы, оплавления и изломы - Изоляторы на пальцах сидят неплотно - Пальцы щеткодержателей с трещинами и повреждениями - Пальцы щеткодержателей со следами пробоя изоляции |
3 | | - Клицы повреждены - Грязь и подтеки масла - Кабели не надежно закреплены в клице |
| | ИС МЕГАНОРМ: примечание. В официальном тексте документа, видимо, допущена опечатка: имеется в виду таблица 7.19, а не 7. | |
Далее заполняется
таблица по форме 3. При этом
столбцы 1 и
2 заполняются на основе коллективного мнения о множествах возможных пожароопасных состояний в узле. Пример приведен в
таблице 7.
Перенос коллективного мнения в карты экспертной оценки
Метод экспертной оценки ____________________ |
| N, входящих во множество пожароопасных состояний | Уровень пожарного риска | Трудоемкость устранения пожароопасного состояния, норма-часы | Ранг |
1 | 2 | 3 | 4 | 5 |
1 | | | | |
2 | | | | |
3 | | | | |
| | ИС МЕГАНОРМ: примечание. В официальном тексте документа, видимо, допущена опечатка: имеется в виду таблица 7.20, а не 8. | |
Далее для каждого множества пожароопасных состояний эксперт выносит мнение об уровне риска, риска и ранге опасности. При этом наиболее опасному множеству присваивается ранг 1. Максимально возможный ранг равен количеству возможных множеств (в данном примере 3). В случае если множества состояний по мнению экспертов, одинаково опасны, рассчитывается среднее арифметическое рангов (порядок выполнения приведен ниже). В
таблице 8 приведен пример заполненной карты пожароопасного узла ТЭД серии 2ТЭ116 для экспертной оценки.
Карта пожароопасного узла ТЭД серии 2ТЭ116
для экспертной оценки
Метод экспертной оценки ____________________ |
N п/п множества | N, входящих во множество пожароопасных состояний | Уровень пожарного риска | Трудоемкость устранения пожароопасного состояния, норма-часы | Ранг |
1 | 2 | 3 | 4 | 5 |
1 | | Недопустимый | - | 1 |
2 | | Недопустимый | - | 2 |
3 | | Допустимый | - | 3 |
В случае если эксперт считает, что два или более множества пожароопасных состояний должны иметь одинаковый ранг, то для данных множества рассчитывается связанные ранг:
- располагают такие множества в случайном порядке и последовательно присваивают им последовательно ранги так, как будто они не являются связанными;
- считают среднее арифметическое данных рангов и каждому из пожароопасных состояний присваивается связанный ранг (расчетное среднее арифметическое значение).
Например, пусть определены 4 множества пожароопасных состояний (N, M, F, L) таких, что множеству пожароопасных состояний N присвоен ранг 1, а множества пожароопасных состояний M и F равны по значимости и уступают лишь множеству N. Поэтому множества M и F должны были бы получить 2 и 3 ранги соответственно. Тогда ранги для множеств M и F будут равны: (2 + 3)/2 = 2,5. Таким образом, получаем следующее распределение рангов по множествам:
Множество | Ранг |
N | 1 |
M | 2,5 |
F | 2,5 |
L | 4 |
7.6.1.1.2 Обработка результатов экспертных оценок и вывод итогового мнения
Для каждого множества пожароопасных состояний (далее - множества) выделенных с помощью коллективного мнения экспертов рассчитывается P
мнK - вероятность появления пожароопасного события из-за K-ого множества пожароопасных состоянии. P
мнK рассчитывается как сумма

входящих в множество состояний. Далее, с учетом индивидуальных мнений экспертов каждому множеству ставится в соответствии пара чисел (P
мнK;

) где

индикатор принадлежности множеству недопустимых состояний (по мнению экспертов),

если множеству соответствует допустимый уровень риска и

если недопустимый. Пары (P
мнK;

) можно представить графически, см.
рисунок 7.2. Задача поиска допустимого значения формируется следующим образом: P
доп - такое, что как можно больше "единичек" было "сверху", как можно больше "нолей" было "снизу", при этом P
iсверху <= P
доп, P
iснизу > P
доп. Т.е. решением является решением выражения:

,
где M - количество "1" снизу от Pдоп; L - количество "0" сверху от Pдоп.
Рисунок 7.2 - Графическая постановка задачи поиска
допустимой вероятности пожара
7.6.2 Определение уровня пожарного риска локомотива
и предоставление результатов
Уровень пожарного риска определяется в соответствии с расчетным значением вероятности возникновения пожара на ТПС (см.
формулу 7.18). На индивидуальную шкалу пожарных рисков локомотива наносится координата с расчетным значением.
7.7 Оценка влияния воздействия компенсирующих мероприятий
на уровень пожарного риска и итоговые результаты
Если установленный по итогам расчета уровень риска выше допустимого, то определяется перечень компенсирующих риск мероприятий в соответствии с выявленными пожароопасными состояниями. После проведения компенсирующих мероприятий, локомотив проходит повторную оценку уровня пожарного риска. Процесс повторной оценки риска заключается в следующем:
1) В контрольно-оценочных картах, построенных по
форме таблицы 7.1 напротив каждого устраненного с помощью мероприятий, компенсирующих пожарный риск, пожароопасного состояния в
столбце 8 ставится отметка об устранении "V".
2) проводится расчет уровня пожарного риска для конкретного узла после проведения компенсационных мероприятий на основе заполненного
столбца 8 "Отметка об устранении" индивидуальной контрольно-оценочной карты по формуле:

(7.19),
где,

- вес влияния компенсирующих действий по
i-му пожароопасному состоянию
j-го пожароопасного узла на вероятность реализации пожара. Значение приведено в
столбце 9 контрольно-оценочной карты и рассчитывается в соответствии с
разделом 7.2.4.
3) Оценивается уровень пожарного риска для секции локомотива после проведения компенсационных мероприятий на основе заполненной индивидуальной контрольно-оценочной карты по j-ому узлу по формуле:

, (7.20)
где,

- уровень пожарного риска для конкретного узла после проведения компенсационных мероприятий, определенный по
формуле (7.19);

- вероятность возникновения нежелательного события, которое может привести к пожароопасному отказу, определяемая по
разделу 7.2.5.
4) Проводится расчет вероятности вероятность возникновения пожара для локомотива в целом после проведения компенсирующих риск мероприятий на основе расчетных значений вероятностей по секциям ТПС, по формуле:

(7.21)
5) С помощью рассчитанного по
формуле (7.21) вероятности реализации пожара для локомотива в целом после проведения компенсационных мероприятий происходит нанесение координаты на шкалу риска, полученную в
разделе 7.6 и фиксирование уровня риска.
6) Фиксирование итоговых результатов происходит путем заполнения
таблицы 7.3.
8 Оценка прямых последствий возникновения пожара
на тепловозах и электровозах
Оценка прямых последствий осуществляется для целей анализа эффективности систем пожаротушения и оценки индивидуального риска локомотивных бригад.
Оценка прямых последствий возникновения пожара осуществляется для трех временных интервалов "5 минут и менее", "5 - 15 минут" и "более 15 минут" путем установления степени повреждения ТПС в результате пожара и уровня ущерба для людей в результате воздействия опасных факторов пожара.
Оценка прямых последствия осуществляется на основе моделирования процесса горения в соответствии с определенным сценарием развития или узлом начала пожара. Результаты расчета приведены в
таблицах 8.2 и
8.3.
Уровень последствий для людей определяется исходя из критериев, приведенных в
таблице 8.1.
Классификация уровней последствий для людей, образованные
воздействием опасных факторов пожара
Оценка последствий пожара
основных сценариев пожара на тепловозах
--------------------------------
<10> В случае если причиной пожара становится составная часть узла "помпаж", то последствия пожара характеризуются как 30 - 50% ТПС в первые 5 минут от начала пожара.
Оценка последствий пожара на электровозе
--------------------------------
<11> Объем повреждений образован последствиями отказа и резкого перехода отказа в пожар (взрыв).
9 Анализ и оценки систем противопожарной защиты
на тяговом подвижном составе
Анализ и оценка систем противопожарной защиты на тяговом подвижном составе осуществляется на основе сбора данных о фактическом оснащении ТПС системами пожарной сигнализации, пожаротушения, первичными средствами пожаротушения и условиями их эксплуатации. Анкета для сбора данных приведена в
таблице 9.1. По результатам анализа системы противопожарной защиты ТПС оценивается вероятность локализации <12> (остановки развития пожара) на интервале развития пожара менее 5 минут и на интервале развития пожара от 5 до 15 минут от начала пожара. Если по итогам расчета вероятности реализации пожара, наиболее вероятными узлами пожара являются ТЭД или аккумуляторная батарея, в таком оценка систем противопожарной защиты не проводится и вероятность локализации пожара для данных узлов равна 0.
--------------------------------
<12> В зависимости от интенсивности и узла пожара
Сведения о системах противопожарной защиты ТПС
N | Показатель | Отметка о состоянии | Состояние | Б |
1. Установка пожарной сигнализации (УПС) |
| Наличие установки пожарной сигнализации | | Да | 4 |
| Нет | 0 |
2 | Состояние установки пожарной сигнализации | | Исправно | 2 |
| Неисправно | 0 |
| Тип устройств пожарной сигнализации | | Адресно-аналоговые системы | 4 |
| Адресные опросная | 2 |
| Не адресная (пороговая) | 1 |
| Отсутствует | 0 |
2. Установка пожаротушения (УПТ) |
| Наличие установки пожаротушения | | Да | 4 |
| Не предусмотрена по нормам | 1 |
| Нет | 0 |
5 | Исправность установки пожаротушения | | Исправна | 2 |
| Неисправна/Отсутствует | 0 |
6 | Тип установки пожаротушения по огнетушащему веществу | | Газовые | 4 |
| Порошковые | 3 |
| Аэрозольные | 2 |
| Пенные | 1 |
| Отсутствует | 0 |
| Тип запуска установки пожаротушения <13> | | Дистанционный с пульта в кабине машиниста | 4 |
| Дистанционный с пульта вне кузова | 3 |
| Автоматический | 2 |
| Местный пуск | 1 |
| Установка отсутствует | 0 |
8 | Количество типов установок пожаротушения по огнетушащему веществу по одному проекту | | 3 | 4 |
| 1 | 2 |
| Установка отсутствует | 0 |
| Одновременное наличие двух установок по разным проектам (в одной секции ТПС) | | Нет | 2 |
| Да/установка отсутствует | 0 |
3. Первичные средства пожаротушения (ПСПТ) |
| Наличие огнетушителей на каждую секцию | | По норме | 4 |
| Не по норме | 0 |
11 | Наличие пожарного ведра с песком в соответствии с нормами | | Да | 2 |
| Не предусмотрено по нормам | 1 |
| Нет | 0 |
12 | Тип огнетушителя по ОТВ | | Углекислотные огнетушители | 4 |
| Воздушно-эмульсионные | 3 |
| Порошковые огнетушители | 2 |
| Пенные огнетушители | 1 |
| Нет/Неисправны | 0 |
| Наличие более одного типа огнетушителей | | Нет | 2 |
| Да | 0 |
4. Эксплуатация |
4.1. Эксплуатация систем пожарной автоматики |
| Проведение любого из ТО и ТР штатных <14> систем пожарной автоматики согласно технологическим картам разработанным в соответствии с требованиями инструкции ЦТ-ЦУО-175 и других действующих инструкций (в течение последнего года) | | Да/ТПС новый (не эксплуатируемый) | 2 |
| Нет/отсутствует | 0 |
15 | Проведение любого из ТО и ТР современных <15> систем пожарной автоматики в соответствии с руководством по эксплуатации на систему и других действующих инструкций | | Да/ТПС новый (не эксплуатируемый) | 2 |
| нет/отсутствует | 0 |
| Проверки исправности систем пожарной автоматики при сдаче-приемке локомотивов при смене локомотивных бригад с записью в журнале формы ТУ-152 (осуществлялась всегда в течение последнего года) | | Да/ТПС новый (не эксплуатируемый) | 2 |
| Нет | 0 |
| Наличие резервной очереди огнетушащего вещества на ТПС | | Да | 2 |
| Нет | 0 |
| Наличие сертификатов на современную систему пожарной автоматики установленным нормам | | Да/Не требуется | 2 |
| Нет | 0 |
| Соответствие систем пожарной автоматики установленным техническим требованиям р1857ТТ утвержденных ОАО "РЖД" от 26.12.2014 N 510 | | Да | 2 |
| Нет | 0 |
4.2. Фактическое состояние |
| Обеспечение условной герметичности помещения при тушении пожара установкой пожаротушения <*> | | Да | 2 |
| Нет | 0 |
21 | Тип отключения необходимых технологических процессов локомотива при тушении пожара | | Автоматически | 2 |
| Вручную | 0 |
| Срок фактической эксплуатации систем пожарной автоматики, лет | | 1 - 3 | 4 |
| 4 - 6 | 3 |
| 7 - 10 | 1 |
| 15/Установка отсутствует | 0 |
4.3. Эксплуатация ПСПТ |
| Периодичность проверки исправности огнетушителя в соответствии с инструкцией по эксплуатации | | Да/ТПС новый (не эксплуатируемый) | 2 |
| Нет | 0 |
24 | Периодичность перезарядки соответствует норме огнетушителей в соответствии с инструкцией по эксплуатации | | Да/ТПС новый (не эксплуатируемый) | 2 |
| Нет | 0 |
25 | Наличие сертификатов на огнетушители (заполняется при необходимости) | | Да | 2 |
| Неизвестно | 1 |
| Нет | 0 |
26 | Соответствие огнетушителей требованиям ГОСТ Р 51057-97 (заполняется при необходимости) | | Да | 2 |
| Неизвестно | 1 |
| Нет | 0 |
| Соответствие техническим требованиям ОАО "РЖД" N 2624р от 17.12.10 г. (заполняется при необходимости) | | Да | 2 |
| Нет | 0 |
5. Человеческий фактор |
5.1 Обучение локомотивной бригады |
| Прохождение проверок знаний по пожарной безопасности локомотивной бригадой | | Да | 2 |
| Нет | 0 |
29 | Частота проведения практических занятий с локомотивными бригадами о порядке применения и принципах работы систем пожаротушения и пожарной сигнализации на приписной ТПС | | 1 раз в 3 месяца | 4 |
| 1 раз в 4 месяца | 3 |
| 1 раз в 6 месяцев | 2 |
| 1 раз в год | 1 |
| Не проводятся | 0 |
30 | Стаж работы машиниста | | От 11 до 15 лет | 4 |
| От 5 до 10 лет, более 15 лет | 3 |
| От 2 до 5 лет | 2 |
| От 1 до 2 лет | 1 |
| Менее 1 | 0 |
31 | Количество работников, не прошедших проверку знаний и отстраненных от основной деятельности (в среднем в год) | | 0 | 4 |
| 1 | 3 |
| 2 | 2 |
| 3 | 1 |
| 4 и более | 0 |
32 | Количество работников, не прошедших проверку знаний с 1-го раза (в среднем в год) | | 0 | 4 |
| 1 | 3 |
| 2 | 2 |
| 3 | 1 |
| 4 и более | 0 |
33 | Количество работников, не прошедших обучение (в среднем в год) | | 0 | 4 |
| 1 | 3 |
| 2 | 2 |
| 3 | 1 |
| 4 и более | 0 |
| Были ли случаи не выполнения требований пожарной безопасности локомотивной бригадой после начала пожара на ТПС? | | Нет | 2 |
| Да | 0 |
5.2 Защита локомотивной бригады от ОФП |
35 | Наличие средств индивидуальной защиты органов дыхания и зрения (самоспасатели) | | Да | 2 |
| Нет | 0 |
36 | Принцип действия самоспасателей для защиты органов дыхания и зрения | | Изолирующие (со сжатым воздухом или химически связанным кислородом) | 3 |
| Фильтрующие | 2 |
| Отсутствуют | 0 |
37 | Самоспасатель предназначен для защиты кожных покровов головы | | Да | 2 |
| Нет | 0 |
--------------------------------
<13> В соответствии с техническими требованиями р1857ТТ утвержденные ОАО "РЖД" от 26.12.2014 г. за N 510
<14> Штатные установки пожарной сигнализации и пожаротушения при постройке локомотива
<15> Современные системы пожаротушения: ООО НПО "ПАС" (СОТП), ООО НПО "Экспресс" (КТС-УАСП), ООО НПФ "Спецсистемы" (УПАС-ТПС; УПС-ТПС-ПО), ООО НПО "Электромашина" (Радуга-5М; МГ), ООО "Дизельремгруппа" (СПСТ Эл4-04), ООО ПКФ "Интерсити" (Приз-о-Л) и другие системы пожарной автоматики соответствующие положениям
ФЗ N 123 от 22.07.2008 г.
<*> Обеспечение условной герметичности - возможное обеспечение герметичности секции локомотива, в которой произошло возгорание с применением необходимых технологических процессов, для эффективной работы УПТ.
Пояснение: При ответе на
вопросы 14 -
16,
18,
19 "Эксплуатация АСПТ" при ответе "Да" 2 балла делятся между УПС и УПТ по каждому из вопросов, т.е. УПС и УПТ получают по одному баллу каждый, при положительном ответе на вопрос. При ответе "Нет" УПС и УПТ получают по 0 баллов каждый.
Система противопожарной защиты оценивается по следующим индикаторам:
- работоспособность установки пожарной сигнализации (далее - индикатор УПС);
- работоспособность установки пожаротушения (далее - индикатор УПТ);
- работоспособность первичных средств пожаротушения (далее - индикатор ПСПТ);
- человеческий фактор (далее - индикатор ЧФ);
- фактическое состояние (далее - индикатор ФС).
Анализ эффективности системы пожарной защиты и расчет вероятности локализации пожара необходим для определения последствий для людей и материальных ценностей от пожара с учетом СППЗ.
Вероятность локализации пожара рассчитывается для временных интервалов "5 минут и менее" и "5 - 15 минут" от начала пожара.
Шаг 1. Анализ системы противопожарной защиты.
Порядок распределения баллов по индикаторам:
Результаты фактического анализа систем пожаротушения
N | Индикатор | |
1 | 2 | 3 |
1 | УПС | |
2 | УПТ | |
3 | ПСПТ | |
4 | ЧФ | |
5 | ФС | |
Шаг 2. Расчет вероятности локализации пожара для временного интервала "5 минут и менее" от начала пожара.
В зависимости от суммы баллов набранной по каждому из индикаторов (кроме ФС) по дереву событий
(рис. 9.1) определяется формула расчета вероятности локализации пожара на данном интервале. Каждый из индикаторов имеет проходную сумму баллов по ветви. В зависимости от набранной суммы баллов каждым из индикаторов определяется путь по ветви "Да" или "Нет".
Рисунок 9.1 - Дерево событий для временного интервала
"5 минут и менее"
Порядок использования дерева событий для временного интервала "5 минут и менее":
1) Дерево читается слева направо от точки "В".
2) На основании анализа системы противопожарной защиты и значения индикаторов осуществляется проход по ветвям дерева следующим образом:
- по ветвям уровня УПС: от точки начала "В" идем по ветви "ДА" если по индикатору УПС набрано 9 и более баллов. Иначе, идем по ветви "НЕТ" до уровня ЧФ (в этом случае прохождения дерева продолжается с уровня ЧФ. Уровни УПТ, Авт. Запуск, Герметичность пропускаются);
- по ветвям уровня УПТ идем по ветви "ДА" если по индикатору УПТ набрано 16 и более баллов. Иначе идем по ветви "НЕТ";
- по ветвям уровня
Авт. Запуск УПТ. Ответ "ДА" соответствует ответу "Автоматический"
вопроса 7 таблицы 9.1. Иначе - прохождение по ветви "НЕТ" до уровня (в этом случае прохождения дерева продолжается с уровня ЧФ);
- по ветвям уровня
Герметичность. Прохождение по ветви дерева "ДА" соответствует ответу "Да"
вопроса 20 таблицы 9.1. Иначе - прохождение по ветви "НЕТ";
- по ветвям уровня ЧФ. Идем по ветви "ДА", если по индикатору ЧФ набрано 13 и более баллов. Иначе идем по ветви "НЕТ";
- по ветвям уровня Руч. запуск УПТ. Ветвь "ДА" если выполнены оба условия:
а) если тип запуска дистанционный с пульта в кабине машиниста или с пульта вне корпуса, местный пуск;
б) по индикатору УПТ набрано 16 и более баллов.
- по ветвям уровня ПСПТ. Прохождение по ветви "ДА", если по индикатору ПСПТ набрано 11 и более баллов. Иначе идем по ветви "НЕТ".
3) После прохождения уровня ПСПТ определяется формула для расчета Pтуш1.
Расчет вероятности локализации пожара ведется на основе:
| | ИС МЕГАНОРМ: примечание. В официальном тексте документа, видимо, допущена опечатка: имеется в виду таблица 9.3, а не 8.3. | |
- коэффициентов

, соответствия сумме набранных баллов для каждого из индикаторов определенному значению. Коэффициенты выбираются по
таблице 8.3, где

- коэффициент соответствия набранной сумме баллов для индикатора установка пожарной сигнализации;

- коэффициент соответствия набранной сумме баллов для индикатора установка пожаротушения;

- коэффициент соответствия набранной сумме баллов для индикатора первичные средства пожаротушения;
| | ИС МЕГАНОРМ: примечание. Абзац дан в соответствии с официальным текстом документа. | |

- коэффициент соответствия набранной сумме баллов для индикатора человеческий фактор.
Пояснение: Например, из
столбца 2 выбирается коэффициент

соответствующий количеству баллов набранных при оценке УПС из
столбца 1. Далее коэффициент подставляется в необходимую формулу.
Коэффициенты соответствия индикаторов пожаротушения
| | | | | | | |
1 | 2 | 5 | 6 | 7 | 8 | 3 | 4 |
15 | 1 | 27 | 1 | 22 | 1 | 24 | 1 |
13 - 14 | 0,9 | 24 - 26 | 0,9 | 19 - 21 | 0,9 | 20 - 23 | 0,9 |
11 - 12 | 0,8 | 22 - 23 | 0,8 | 16 - 18 | 0,8 | 17 - 19 | 0,8 |
9 - 10 | 0,7 | 18 - 21 | 0,65 | 13 - 15 | 0,7 | 14 - 16 | 0,7 |
7 - 8 | 0,5 | 15 - 17 | 0,5 | 10 - 12 | 0,54 | 11 - 13 | 0,5 |
5 - 6 | 0,4 | 12 - 14 | 0,4 | 8 - 9 | 0,4 | 9 - 10 | 0,4 |
3 - 4 | 0,3 | 6 - 11 | 0,3 | 5 - 7 | 0,3 | 6 - 8 | 0,3 |
1 - 2 | 0,1 | 1 - 5 | 0,1 | 1 - 4 | 0,1 | 1 - 5 | 0,1 |
0 | 0 | 0 | 0 | 0 | 0 | 0 | 0 |
- коэффициента
n, учитывающего фактическое количество огнетушителей на секцию и тип огнетушащего вещества, выбирается по
таблице 9.4;
| Углекислотные/Порошковые | Пенные |
Более 3 | 1 | 0,9 |
3 | 0,9 | 0,75 |
2 | 0,75 | 0,62 |
1 | 0,62 | 0,5 |
Нет/Неисправны | 0 | 0 |
Пояснение: При наличии по огнетушащему веществу более 1 вида огнетушителей, выбирается коэффициент для того типа огнетушителей, которых большее количество.
- коэффициента К
ФС, учитывающего фактическое обеспечение условной герметичности и выполнение необходимых технологических процессов и эффективность работы установки пожаротушения. Выбирается по
таблице 9.5.
Значения коэффициента К
ФС
| Пенная | Газовая | Порошковая | Газопорошковая | Аэрозольная |
7 - 8 | 0,5 | 0,8 | 0,75 | 0,8 | 0,7 |
5 - 6 | 0,42 | 0,7 | 0,64 | 0,7 | 0,6 |
3 - 4 | 0,3 | 0,5 | 0,45 | 0,5 | 0,42 |
1 - 2 | 0,2 | 0,3 | 0,3 | 0,3 | 0,3 |
0 | 0 | 0 | 0 | 0 | 0 |
Формулы для расчета Pтуш1 вероятности локализации пожара на интервале "5 минут и менее":

(9.1)

(9.2)

(9.3)

(9.4)

(9.5)
По результатам расчета Pтуш1 определяется возможность остановки пожара на интервале развития "5 минут и менее":
- если Pтуш1 >= 0,6, то наиболее вероятный интервал остановки пожара "5 минут и менее";
- P
туш1 < 0,6, то переходим к
шагу 3 настоящего раздела, расчет вероятности локализации пожара на интервале "5 - 15 минут".
Шаг 3. Расчет вероятности локализации пожара для временного интервала "5 - 15 минут" от начала пожара.
Аналогично с
шагом 2 настоящего раздела используем данные из
таблиц 9.1 и
9.2. По дереву событий
(рис. 9.2) для "5 - 15 минут" определяем формулу для расчета вероятности локализации, используя коэффициенты из
таблиц 9.3 -
9.5.
Рисунок 9.2 - Дерево события для временного интервала
"5 - 15 минут"

(9.6)

(9.7)
0,8 - корректирующий коэффициент учитывающий отношение скорости тушения пожара и скорости распространения пламени на интервале "5 - 15 минут".
По результатам расчета Pтуш2 определяется возможность остановки пожара на интервале "5 - 15 минут":
- если Pтуш2 >= 0,2, наиболее вероятный временной интервал остановки пожара "5 - 15 минут";
- если Pтуш2 < 0,2, то наиболее вероятный временной интервал остановки пожара "более 15 минут".
Шаг 4. Результаты оценки систем противопожарной защиты
Наиболее вероятный интервал остановки пожара | |
Вероятность Pтуш1 вероятности локализации пожара на интервале "5 минут и менее" от начала пожара | |
Вероятность Pтуш2 вероятности локализации пожара на интервале "5 - 15 минут" от начала пожара | |
Индикатор | |
УПС | |
УПТ | |
ПСПТ | |
ЧФ | |
ФС | |
10 Оценка последствий от пожара с учетом действия систем
противопожарной защиты
Оценка последствий от пожара определяется с учетом:
2) наличия участков пути следования, на которых запрещена остановка и своевременного прибытия пожарного поезда;
3) результатов оценки последствий для людей и материальных ценностей.
Если на участке обслуживания локомотива менее 50% участков пути, на которых запрещено производить остановку, то последствия рассчитываются в соответствии с
разделом 10.1.
Если на участке обслуживания локомотива более 50% участков пути, на которых запрещено производить остановку, то последствия рассчитываются в соответствии с
разделом 10.2.
Индивидуальный пожарный риск работников локомотивной бригады рассчитывается в соответствии с разделом 10 (независимо от наличия участков, на которых запрещена остановка).
10.1 Оценка последствий от пожара для материальных ценностей
при наличии менее 50% участков пути, на которых
запрещено производить остановку
Если на путь следования приходится менее 50% участков пути, на которых запрещено производить остановку, то последствия будут определяться согласно
рисунку 10.1.
Рисунок 10.1 - Схема развития последствий от пожара
при наличии менее 50% сложных участков пути.
Результатом оценки последствий от пожара является заполненная
таблица 10.1.
Последствия от пожаров на участке обслуживания локомотива
с менее 50% участков пути, на которых
запрещено производить остановку
Наиболее вероятный временной интервал остановки пожара | |
Вероятность того, что на участке пожара нельзя останавливаться Pсл | |
Индивидуальный пожарный риск | |
N сценария, j | |
Для материальных ценностей | | |
| | | |
Порядок заполнения
таблицы 10.1 в случае, когда менее 50% участков пути, на которых запрещено производить остановку:
Шаг 1. Проверка выполнения условий эффективной локализации пожара с помощью СППЗ:
а) если Pтуш1 >= 0,6 или Pтуш2 >= 0,2, то:
- определяется наиболее вероятностный временной интервал остановки пожара по
таблице 10.1;
| | ИС МЕГАНОРМ: примечание. В официальном тексте документа, видимо, допущена опечатка: имеется в виду разд. 11, а не 9.3. | |
б) если P
туш1 < 0,6 и P
туш2 < 0,2, то осуществляется переход к
шагу 2.
Шаг 2. Проверка возможности отсоединения ТПС в течение 5 минут после остановки:
а) если ТПС возможно отсоединить в течение 5 минут после остановки, то переходим к
шагу 3.
б) если для отсоединения ТПС необходимо более 5 минут после остановки, то переходим к
шагу 4.
Шаг 3. Проверка возможности эффективной локализации ТПС пожарными поездами:
а) если пожарный поезд может прибыть к месту пожара в течение 15 минут после вызова, то в
таблице 10.1 указывается наиболее вероятный интервал локализации пожара "более 15 минут". В
строке "Вероятность того, что на участке пожара нельзя останавливаться
Pсл" ставится знак "X" или рассчитанное значение. В
столбцах "Последствия" (для материальных ценностей и людей) таблицы 10.1 указываются последствия для каждого соответствующего узла и пожароопасного события для наиболее вероятного интервала остановки пожара. В
столбце последствия "для вагонов" указывается: маловероятно повреждение вагонов ПС.
б) если пожарный поезд может прибыть к месту пожара только более чем 15 минут после вызова, то в
таблице 10.1 указывается наиболее вероятный интервал локализации пожара "более 15 минут". В
строке "Вероятность того, что на участке пожара нельзя останавливаться
Pсл" ставится знак "X" или рассчитанное значение. В
столбце последствий "для материальных ценностей" таблицы 10.1 в этом случае указывается "полное выгорание состава". В
столбце последствий "для людей" указываются последствия при пожаре "более 15 минут". В
столбце последствия "для вагонов" указывается: вероятно, повреждение вагонов ПС.
Шаг 4. Проверка возможности эффективной локализации ТПС, а также вагонов силами пожарного поезда:
а) если пожарный поезд может прибыть к месту пожара в течение 15 минут после вызова, то в
таблице 10.1 указывается наиболее вероятный временной интервал локализации пожара "более 15 минут". В
строке "Вероятность того, что на участке пожара нельзя останавливаться
Pсл" ставится знак "X" или рассчитанное значение. В
столбце "Последствия" таблицы 10.1 указываются последствия для каждого соответствующего сценария пожара для наиболее вероятного интервала остановки пожара (на основе
таблицы 10.1). В
столбце последствия "для вагонов" указывается: маловероятно повреждение вагонов ПС.
б) если пожарный поезд может прибыть к месту пожара только более чем 15 минут после вызова, то в
таблице 10.1 указывается наиболее вероятный временной интервал локализации пожара "более 15 минут". В
строке "Вероятность того, что на участке пожара нельзя останавливаться
Pсл" ставится знак "X" или рассчитанное значение. В
столбце последствий "для материальных ценностей" таблицы 10.1 в этом случае указывается "полное выгорание состава". В
столбце последствий "для людей" указываются последствия при пожаре "более 15 минут". В
столбце последствия "для вагонов" указывается: вероятно, повреждение вагонов ПС.
10.2 Последствия от пожара для материальных ценностей
при наличии более 50% сложных участков пути
Если на путь следования приходится более 50% участков пути, на которых запрещено производить остановку, то последствия будут определяться согласно
рисунку 10.2.
Результатом оценки последствий от пожара является заполненная
таблица 10.1.
| | ИС МЕГАНОРМ: примечание. Нумерация рисунков дана в соответствии с официальным текстом документа. | |
Рисунок 9.2 - Схема развития последствий от пожара
при наличии более 50% сложных участков пути
Порядок заполнения
таблицы 10.1 в случае, когда более 50% участков пути, на которых запрещено производить остановку:
Шаг 1. Расчет вероятности того, что на участке обслуживания локомотива, на котором возник пожар нельзя останавливаться, по формуле:

(10.1)
где m - доля участков пути участка обслуживания локомотива, на которых запрещена остановка,
N - количество участков пути, рассчитывается по формуле:

(10.2)
Lобщ - длина участка обслуживания локомотива, км,
l15минут - расстояние, которое в среднем проходит ПС за 15 минут, рассчитывается по формуле:
l15минут = V·15 (10.3)
V - средняя скорость движения ПС по участку обслуживания локомотива, км/мин.
Шаг 2. Проверка условия возможности локализации:
а) если
Pсл <= 0,5, то расчет последствий ведется по
разделу 10.1.
б) если
Pсл > 0,5, то в случае пожара наиболее вероятно полное выгорание ТПС и повреждение вагонов ПС. В
таблице 10.1 указывается наиболее вероятный временной интервал локализации пожара "более 15 минут". В
строке "Вероятность того, что на участке пожара нельзя останавливаться
Pсл" указывается рассчитанное значение. В
столбце последствий "для материальных ценностей" указывается "полное выгорание состава". В
столбце последствий "для людей" указываются последствия при пожаре "более 15 минут". В
столбце последствия "для вагонов" указывается: вероятно, повреждение вагонов ПС.
11 Расчет индивидуального пожарного риска
локомотивной бригады
Результаты расчета индивидуального пожарного риска заносятся в
таблицу 10.1.
Индивидуальный пожарный риск работников локомотивной бригады рассчитывается по формуле:

(11.1)
Pпожар - максимальная вероятность пожара по всем сценариям
tэв - прогнозное время эвакуации, рассчитывается по формуле:
tэв = tсекции + tкоридора + tпр + tвыхода (11.2)
tсекции - время прохождения секции, рассчитывается в соответствии с
разделом 11.1;
tкоридора - время прохождения коридора, рассчитывается в соответствии с
разделом 11.2;
tпр - время прохождения проемов, рассчитывается в соответствии с
разделом 11.3;
tвыхода - время покидания локомотива через выход, рассчитывается в соответствии с
разделом 11.4;
tущерба - время воздействия опасных факторов пожара, через которое будет нанесен вред жизни и здоровью человека, зависит от Б
з.л.б. количества баллов соответствия, набранных по
группе вопросов "Защита локомотивной бригады от ОФП", таблицы 9.1.
tущерба = 15 мин - если Бз.л.б. = 7
tущерба = 10 мин - если Бз.л.б = 6
tущерба = 5 мин - если Бз.л.б = 5
tущерба = 5 мин - если Бз.л.б = 4
tущерба = 3,5 мин - если Бз.л.б = 2
tущерба = 3,5 мин - если Бз.л.б = 0.
| | ИС МЕГАНОРМ: примечание. Нумерация пунктов дана в соответствии с официальным текстом документа. | |
10.1 Расчет времени прохождения секций
tсекции - время прохождения секции, рассчитывается по формуле:

(11.3)
| | ИС МЕГАНОРМ: примечание. В официальном тексте документа, видимо, допущена опечатка: имеется в виду таблица 11.1, а не 10.1. | |
Vс - скорость прохождения по секции [м/мин], определяется по таблице
<16> 10.1 в зависимости от значения
Dс (см.
формулу (11.4)). Если путь эвакуации проходит через зону воздействия опасных факторов пожара, то
Vс = 15 [м/мин]
<17>,
Lс - длина секции [м],
nс - количество секций
--------------------------------
<16> Значение принято в соответствии с
Приложение 5 Приказ МЧС РФ от 30.06.2009 N 382 (ред. от 12.12.2011) "Об утверждении методики определения расчетных величин пожарного риска в зданиях, сооружениях и строениях различных классов функциональной пожарной опасности" (Зарегистрировано в Минюсте РФ 06.08.2009 N 14486).
<17> Установлено для минимального значения скорости движения людского потока, но горизонтальной поверхности.
Скорость прохождения секции
Dс | Vс |
0,01 и менее | 100 |
0,05 | 100 |
0,10 | 80 |
0,20 | 60 |
0,30 | 47 |
0,40 | 40 |
0,50 | 33 |
0,60 | 28 |
0,70 | 23 |
0,80 | 19 |
0,9 и более | 15 |

(11.4)
fпм = 0,125 [м
2] - средняя площадь горизонтальной проекции машиниста и помощника машиниста
<18>;
Lс - длина секции [м],
dс - ширина прохода в секции [м].
--------------------------------
<18> Значение принято по аналогии с
разделом II Приказ МЧС РФ от 10.07.2009 N 404 (ред. от 14.12.2010) "Об утверждении методики определения расчетных величин пожарного риска на производственных объектах" (Зарегистрировано в Минюсте РФ 17.08.2009 N 14541).
11.2 Расчет времени прохождения коридоров
tкоридора - время прохождения коридора, рассчитывается по формуле:

(11.5)
| | ИС МЕГАНОРМ: примечание. В официальном тексте документа, видимо, допущена опечатка: имеется в виду таблица 11.2, а не 10.2. | |
Vk - скорость движения по коридору [м/мин], определяется по
таблице 10.2 в зависимости от значения
qк (см.
формулу (11.6)). Если путь эвакуации проходит через зону воздействия опасных факторов пожара, то
Vk = 15 [м/мин]
<19>,
Lk - длина коридора [м],
nk - количество коридоров,
--------------------------------
<19> Установлено для минимального значения скорости движения людского потока по горизонтальной поверхности.
Скорость прохождения коридора
qк | Vk |
1,0 и менее | 100 |
5,0 | 100 |
8,0 | 80 |
12,0 | 60 |
14,1 | 47 |
16,0 | 40 |
16,5 | 33 |
16,3 | 28 |
16,1 | 23 |
15,2 | 19 |
13,5 и более | 15 |

(11.6)
dк - ширина прохода в коридоре [м].
11.3 Расчет времени прохождения проемов
tпр - время прохождения проемов, рассчитывается по формуле:

(11.7)
Vp = Vc
nk - количество дверных проемов
11.4 Расчет времени покидания локомотива через выход
В зависимости от конструкции локомотива наиболее полный путь эвакуации может пролегать через окно или дверь. В обоих случаях выход располагается на расстоянии 1,6 метров.
Время выхода из локомотива по вертикальной лестнице
Т.к. высота лестницы не превышает 4 метров <20>, то скорость движения по лестнице принимается равно 1,5 м/с. Время выхода по вертикальной лестнице:
--------------------------------
<20> Диссертация на соискание ученой степени Кандидат наук по теме: Совершенствование методов определения расчетных величин пожарного риска для производственных зданий и сооружений нефтегазовой отрасли
Время выхода из локомотива через окно
Время выхода через окно определяется на основе экспериментальных данных.
ЗНАЧЕНИЕ БАЗОВОЙ ВЕРОЯТНОСТИ ПОЖАРА
В ЗАВИСИМОСТИ ОТ СЕРИИ ТЕПЛОВОЗА
Таблица А1
Значения базовой вероятности в зависимости
от серии тепловоза
N сценария, j | Базовая вероятность возникновения пожара |
2ТЭ10 | 3ТЭ10 | 2ТЭ116 | 2М62 | 2ТЭ25 | ТЭП70 | Другие |
1 | 3,15·10-5 | 1,37·10-4 | 4,43·10-5 | 1,38·10-10 | 2,54·10-9 | 1,05·10-10 | 10-10 |
2 | 3,1·10-5 | 1,95·10-4 | 5,15·10-5 | 1,38·10-10 | 2,54·10-9 | 1,05·10-10 | 10-10 |
3 | 3,15·10-5 | 2,15·10-4 | 3,49·10-5 | 1,38·10-10 | 2,54·10-9 | 1,05·10-10 | 10-10 |
4 | 2,6·10-5 | 1,37·10-4 | 5,15·10-5 | 1,38·10-10 | 2,54·10-9 | 1,05·10-10 | 10-10 |
5 | 2,05·10-5 | 1,37·10-4 | 3,49·10-5 | 1,38·10-10 | 2,54·10-9 | 1,05·10-10 | 10-10 |
6 | 2,02·10-5 | 1,37·10-4 | 5,15·10-5 | 1,38·10-10 | 2,54·10-9 | 1,05·10-10 | 10-10 |
7 | 3,18·10-5 | 2,05·10-4 | 3,49·10-5 | 1,38·10-10 | 2,54·10-9 | 1,05·10-10 | 10-10 |
8 | 3,1·10-5 | 2,1·10-4 | 3,45·10-5 | 1,38·10-10 | 2,54·10-9 | 1,05·10-10 | 10-10 |
9 | 3,1·10-5 | 2,1·10-4 | 3,45·10-5 | 1,38·10-10 | 2,54·10-9 | 1,05·10-10 | 10-10 |
10.1 | 2,6·10-5 | 1,95·10-4 | 3,45·10-5 | 1,38·10-10 | 2,54·10-9 | 1,05·10-10 | 10-10 |
10.2 | 3,1·10-5 | 1,39·10-4 | 3,45·10-5 | 1,38·10-10 | 2,54·10-9 | 1,05·10-10 | 10-10 |
11 | 2,6·10-5 | 1,37·10-4 | 4,43·10-5 | 1,38·10-10 | 2,54·10-9 | 1,05·10-10 | 10-10 |
12 | 2,05·10-5 | 1,37·10-4 | 3,49·10-5 | 1,38·10-10 | 2,54·10-9 | 1,05·10-10 | 10-10 |
13 | 3,15·10-5 | 1,76·10-4 | 3,45·10-5 | 1,38·10-10 | 2,54·10-9 | 1,05·10-10 | 10-10 |
14 | 2,02·10-5 | 1,39·10-4 | 3,45·10-5 | 1,38·10-10 | 2,54·10-9 | 1,05·10-10 | 10-10 |
15 | 2,02·10-5 | 1,39·10-4 | 3,49·10-5 | 1,38·10-10 | 2,54·10-9 | 1,05·10-10 | 10-10 |
16 | 2,02·10-5 | 1,37·10-4 | 4,43·10-5 | 1,38·10-10 | 2,54·10-9 | 1,05·10-10 | 10-10 |