Главная // Актуальные документы // Акт (форма)СПРАВКА
Источник публикации
М.: ОАО "ЦНИИТЭнефтехим", 2000
Примечание к документу
Документ
введен в действие с 1 ноября 2000 года.
Название документа
"РД 153-39.4-058-00. Руководящий документ. Типовой план по организации и технологии работ по ликвидации аварийных разливов нефтепродуктов при авариях и повреждениях переходов магистральных нефтепродуктопроводов через крупные водные преграды"
(принят и введен в действие Приказом Минэнерго России от 04.10.2000 N 95)
"РД 153-39.4-058-00. Руководящий документ. Типовой план по организации и технологии работ по ликвидации аварийных разливов нефтепродуктов при авариях и повреждениях переходов магистральных нефтепродуктопроводов через крупные водные преграды"
(принят и введен в действие Приказом Минэнерго России от 04.10.2000 N 95)
Принят и введен в действие
Российской Федерации
от 4 октября 2000 г. N 95
РУКОВОДЯЩИЙ ДОКУМЕНТ
ТИПОВОЙ ПЛАН
ПО ОРГАНИЗАЦИИ И ТЕХНОЛОГИИ РАБОТ ПО ЛИКВИДАЦИИ
АВАРИЙНЫХ РАЗЛИВОВ НЕФТЕПРОДУКТОВ ПРИ АВАРИЯХ
И ПОВРЕЖДЕНИЯХ ПЕРЕХОДОВ МАГИСТРАЛЬНЫХ
НЕФТЕПРОДУКТОПРОВОДОВ ЧЕРЕЗ КРУПНЫЕ
ВОДНЫЕ ПРЕГРАДЫ
РД 153-39.4-058-00
Дата введения
1 ноября 2000 года
1. Разработан Астраханским филиалом ОАО "СКБ "Транснефтеавтоматика".
2. Внесен Акционерной компанией трубопроводного транспорта нефтепродуктов ОАО "АК "Транснефтепродукт".
3. Принят и введен в действие
Приказом Министерства энергетики Российской Федерации от 04.10.2000 N 95.
4. Введен впервые.
1.1. Настоящий руководящий документ (далее - РД) распространяется на хозяйствующие организации, эксплуатирующие магистральные нефтепродуктопроводы (МНПП).
1.2. РД устанавливает способы, последовательность, организацию, технологию и безопасность выполнения работ по ликвидации аварийных разливов нефтепродуктов (АРН) на водных переходах МНПП. Рекомендованы отечественные и зарубежные технические средства для выполнения указанных работ.
На основе РД должны разрабатываться планы ликвидации АРН для конкретных объектов МНПП.
В РД использованы ссылки на следующие нормативные документы:
ГОСТ Р 22.0.05-94. Безопасность в чрезвычайных ситуациях. Техногенные чрезвычайные ситуации. Термины и определения
РД 153-39.4Р-002-96. Табель технического оснащения аварийно-восстановительных пунктов магистральных нефтепродуктопроводов
РД 153-112-014-97. Инструкция по ликвидации аварий и повреждений на магистральных нефтепродуктопроводах
3. Определения и сокращения
В РД применяются следующие термины с соответствующими определениями и сокращения:
3.1. Авария на переходе магистрального нефтепродуктопровода через водную преграду - событие, связанное с возникновением неконтролируемой утечки (вылив под давлением) нефтепродукта в водоем, в результате разрушения (разгерметизации) трубопровода, запорной арматуры, оборудования для запуска или приема внутренних средств очистки, дефектоскопии
(ГОСТ Р 22.0.05-94).
3.2. Чрезвычайная ситуация (ЧС) - ситуация, возникающая в результате аварии, характеризуется в данном случае:
- пожаровзрывоопасностью паров нефтепродукта;
- загрязнением окружающей среды (вода, земля и воздух) нефтепродуктами и их парами.
ЧС классифицируются на локальные, местные, территориальные, региональные, федеральные и трансграничные в зависимости от количества людей, пострадавших в этих ситуациях, людей, у которых оказались нарушены условия жизнедеятельности, размера материального ущерба, а также границы зон распространения поражающих факторов ЧС.
Классификация ЧС производится в соответствии с "
Положением о классификации ЧС природного и техногенного характера", утвержденным Постановлением Правительства РФ от 13 сентября 1996 г. N 1094 и РД 153-112-014-97.
3.3. Катастрофа - крупная авария на магистральном нефтепродуктопроводе, как правило, с человеческими жертвами.
3.4. Повреждение МНПП - нарушение его исправного состояния при сохранении работоспособности.
3.5. Крупная водная преграда - река, водохранилище шириной при меженном горизонте 75 м и более
(СНиП 2.05.06-85).
3.6. АВП - аварийно-восстановительный пункт.
3.7. АРН - аварийный разлив нефтепродукта.
3.8. АРС - аварийно-ремонтная служба.
3.9. БЗ - боновое заграждение.
3.10. ГИБДД - Государственная инспекция безопасности дорожного движения МВД России.
3.11. ГПС - головная перекачивающая станция.
3.12. ЛПДС - линейно-производственная диспетчерская станция.
3.13. МНПП - магистральный нефтепродуктопровод.
3.14. МЧС - Министерство Российской Федерации по делам гражданской обороны, чрезвычайным ситуациям и ликвидации последствий стихийных бедствий.
3.15. НП - наливной пункт.
3.16. НС - самоходное (несамоходное) судно для сбора с поверхности воды нефтепродуктов, нефти и мусора.
3.17. НСУ - устройство переносное с приводом (от стороннего источника) для сбора с поверхности воды нефтепродуктов в местах, недоступных для судна НС, - мелководье, узкие протоки, заросли и др. препятствия.
3.18. ПЛА - план ликвидации возможных аварий.
3.19. ПНА - передвижной насосный агрегат.
3.20. ПП - подводный переход МНПП через водную преграду, состоящий из системы сооружений одного или нескольких трубопроводов.
3.21. ППУ - передвижная паровая установка.
3.22. ПС - перекачивающая станция.
3.23. СКЗ - станции катодной защиты.
3.24. ТС - технические средства.
3.25. ГУГПС - Главное управление государственной противопожарной службы МВД России.
3.26. ЦСЭН - территориальный орган (центр) департамента Госсанэпиднадзора Министерства здравоохранения РФ.
4. Характеристика подводного перехода
магистрального нефтепродуктопровода
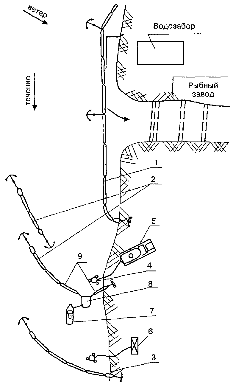
4.1. Ситуационный план района с краткой характеристикой (оценкой) возможной обстановки при возникновении аварийного разлива нефтепродукта
4.1.1. На ситуационном плане (М 1:150000, 1:200000) должен быть район в пределах 25 - 30 км ниже подводного перехода (ПП) с указанием на нем:
- очертания берегов;
- трассы МНПП;
- населенных пунктов, расположенных вблизи берега;
- гидросооружений;
- границ водоохранных и санитарных зон (при их наличии);
- мест размещения аварийно-восстановительных пунктов (АВП), перекачивающих станций (ПС), в том числе ЛПДС, головных и промежуточных станций, отводов от МНПП, нефтебаз, наливных пунктов, а также складирования технических средств для ликвидации АРН;
- расположения дорог от АВП и ПС до подводного перехода и мест локализации и сбора АРН (в качестве примера приведены рисунки 1 и
2);
- мест размещения водозаборных сооружений рыбоводных предприятий, а также мест нереста, зимовки и миграции рыб.
Ситуационный план
Рис. 1
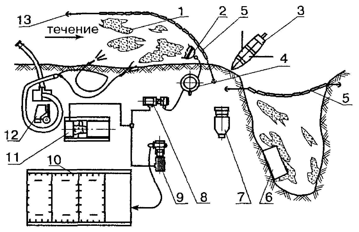
Маршруты следования к местам ликвидации АРН
Рис. 2
4.2. Характеристика участка реки в районе подводного перехода
4.2.1. Описать колебание уровня воды, скорость течения по руслу, скорости и направления ветра
Гидрологический режим
Паводковый режим
максимальная поверхностная скорость, м/с,
даты прохождения паводка
Меженный период
среднемеженный уровень воды, м
Параметры водной преграды
ширина по зеркалу реки в межени, м,
максимальная и минимальная глубины, м,
средняя скорость, м/с
Ледовый режим
дата установления ледостава,
толщина льда, см,
дата вскрытия реки.
4.2.2. Описать левый и правый берега, где рассмотреть рельеф прибрежной зоны с указанием наличия и места расположения отмелей, скал, лагун и кос, состав прибрежных почв, состояние почв в прибрежной зоне (заболоченность, засоленность и т.д.), степень освоения района под сельское хозяйство, плодородность прирусловых отмелей и кос, растительность по берегам, залегание грунтовых вод, их минерализация, распространение солончаков и заболоченных участков, наличие средних и мелких водотоков на подступах к береговой полосе, устойчивость берегов в зоне переменного уровня реки с данными об укреплении отсыпкой гидротехническим камнем, щебеночным покрытием с указанием их толщины, наличие условий для проезда техники в период половодья.
4.2.3. Описать возможные опасные ситуации при распространении АРН за время сообщения, реагирования и организационных действий до момента его ликвидации в соответствии с РД 153-112-014-97, другими действующими нормативно-техническими документами, а также при ликвидации последствий АРН.
4.2.4. Перечислить объекты, которые при контакте с нефтепродуктом могут представлять серьезную опасность для людей, животных и других объектов природной среды.
4.2.5. Указать назначение водоема (питьевое, рекреационное и рыбохозяйственное с указанием мест нереста, нагула и зимовки рыб, собственников водных объектов и характеристику реки (судоходная, несудоходная, сплавная и т.д.).
4.3. Характеристика трубопровода
4.3.1. Общие сведения о подводном переходе МНПП:
- наименование МНПП;
- головная проектная организация;
- головная строительная организация;
- количество ниток;
- год постройки;
- протяженность перехода по основной и резервной ниткам;
- место расположения МНПП на карте.
4.3.2. Представить продольный профиль трубопровода с указанием положения трубы в грунте, глубины реки, отметок земли, отметок верха трубы, пикетажа на всей длине с интервалом 20 - 25 м (см. рисунок 3).
Рис. 3
4.3.3. Характеристика перекачиваемых нефтепродуктов:
Наименование нефтепродукта | Плотность, кг/м3 | Кинематическая вязкость, м2/с | Температура застывания, °C | Температура вспышки, °C | Примечание |
| | | | | |
4.3.4. Характеристика конструктивных элементов нефтепродуктопровода:
N п/п | Характеристика | Ед. измерения | Величина | ГОСТ или ТУ |
1 | Диаметр наружный: | | | |
| нитка основная нитка резервная | мм мм | | |
2 | Толщина стенки: | | | |
| нитка основная нитка резервная | мм мм | | |
3 | Рабочее давление | МПа | | |
4 | Марка стали: | | | |
| нитка основная нитка резервная | | | |
5 | Завод изготовитель: | | | |
| нитка основная нитка резервная | | | |
4.3.5. Наличие кривых вставок
Основная нитка | Резервная нитка |
Изготовлено | | Изготовлено | |
Местоположение, пикет | | Местоположение, пикет | |
Градус | | Градус | |
4.3.6. Задвижки
N п/п | N задвижки |  , мм |  , МПа | Привод | Завод-изготовитель | ГОСТ или ТУ |
электрический | ручной |
| | | | | | | |
4.4. Расчет вероятного количества аварийного разлива нефтепродукта
4.4.1. Виды возможных аварий на водных переходах МНПП
Аварии на МНПП с выливом (разливом) нефтепродукта происходят в результате образования на трубопроводе свищей, трещин, разрывов стенок трубы, повреждения запорной арматуры и фланцевых соединений.
Свищи могут образовываться в результате внешней и внутренней коррозии стенок труб. Внешние свищи появляются при повреждении пассивной защиты (изоляция трубопровода) и нарушения режима работы катодной защиты. Свищи от воздействия внутренней коррозии образуются в стенке трубы при недостаточной очистке транспортируемого нефтепродукта и образования отстоя подтоварной воды.
Благоприятные условия для отделения воды создаются при малой скорости движения или остановке перекачки нефтепродукта в магистральном нефтепродуктопроводе.
Прогнозирование повреждений наружной изоляции возможно выполнить путем анализа данных электрометрических измерений и режимов работы станций катодной защиты (СКЗ).
Обнаружение повреждений от внутренней и внешней коррозии возможно пропуском внутритрубного дефектоскопа.
Разрывы трубы возможны:
- потоком воды в русловой части перехода при размывах трубопровода в период паводка;
- якорями судов на размытых участках трубопровода;
- береговой посторонней техникой при нарушении охранной зоны МНПП.
С целью предупреждения повреждения трубы якорями судов переходы МНПП должны быть ограждены береговыми знаками "Якоря не бросать", створными знаками, нанесены на лоцманских картах. Должен вестись приборный и водолазный контроль за состоянием бутовой засыпки и размывом трубы в грунте, в период паводка - еженедельный приборный.
4.4.2. Методика расчета количества АРН
Если определены характер повреждения и площадь сечения отверстия (свищ, трещина), то объем АРН

может быть рассчитан по формуле:

, м3, (1)
где Q - расход нефтепродукта через отверстие, м3/с;
T - продолжительность вылива, которая складывается из времени от начала утечки до отключения трубопровода, передачи информации от лица, обнаружившего утечку, до оператора и ликвидации утечки. Общая продолжительность может составлять от одного часа до нескольких суток (плохая видимость, штормовые условия).
Расчетная формула для определения расхода нефтепродукта через трещины, свищи и т.п. при истечении под уровень (Приложение А,
п. 9 и
рисунок 4):

, (2)
где Q - расход нефтепродукта, м3/с;
W - площадь сечения отверстия, м2;
m - коэффициент расхода;
g - ускорение силы тяжести, g = 9,81 м/с2;
H - давление нефтепродукта на уровне расположения отверстия, м,

, (3)
где

- давление перекачки, м;
h - глубина укладки трубы, м.
вылива нефтепродукта из трубопровода
Рис. 4
1. Трубопровод
2. Траншея
3. Отверстие в трубопроводе
Значение коэффициента m при истечении из отверстий разного вида определяется опытным путем. В практических расчетах для малых отверстий принимается m = 0,59 - 0,64, в среднем m = 0,62.
Площадь пятна АРН может быть определена по формуле:

(4)
или

, (5)
где

- толщина пленки нефтепродукта, м;
L - длина полосы пятна АРН, м;
B - ширина полосы пятна АРН, м.
Толщина пленки

определяется стеклянной трубкой с делениями (в мм) погружением ее вертикально в воду с пленкой нефтепродукта и закрытием в воде нижнего отверстия, т.е. методом взятия керна.
Размеры L и B определяются по координатам на карте-планшете после нанесения на нее пятна (ареала) распространения АРН. L и B формируются в основном под воздействием скорости течения реки, скорости и направления ветра, очертанием берегов.
Скорость растекания ориентировочно можно определить по формуле
[1]:

, (6)
где

- скорость течения реки, м/с;

- скорость ветра, м/с.
Количество АРН может быть определено ориентировочно по размеру образовавшегося пятна нефтепродукта (ареал распространения) на акватории:

, (7)
где L - длина полосы АРН, м;
B - ширина полосы АРН, м;

- толщина пленки нефтепродукта, м.
Это количество АРН не учитывает количество нефтепродукта, испарившегося в атмосферу и растворившегося в воду.
Для определения интенсивности испарения разлитого нефтепродукта рекомендуется использовать результаты, экспериментально определенные МИСИ им. В.В. Куйбышева
(Приложение Б).
Максимальное количество АРН может быть при разрыве трубы ПП и достигать объема трубы ПП.

;

, (8)
где

;
d - внутренний диаметр трубопровода, м;
L - длина ПП (между береговыми задвижками), м.
Длины ПП для МНПП ОАО "АК "Транснефтепродукт" составляют от 100 до 10 тыс. м.
При разрыве трубы предусматривается отключение насоса на ПС и обратный запорный клапан у береговых задвижек.
Расчет максимального количества АРН в зависимости от диаметра трубы, давления перекачки и характера повреждения сведен в таблице 1.
Таблица 1
Диаметр МНПП d, мм | Давление перекачки нефтепродукта P, МПа (кг/см2) | Характер повреждения | Объем АРН  , м3 |
300 | 1,5 (15) | Свищ (5 мм2) - разрыв трубы | (МНПП "Уфа-Камбарка", ПП через р. Белая) |
300 | 5,0 (50) | Свищ (5 мм2) - разрыв трубы | (МНПП "Уфа-Камбарка", ПП через р. Белая) |
350 | - | Разрыв трубы | до 50 (МНПП "МНПЗ - Володарская ЛПДС", ПП через р. Москва) |
500 | - | Разрыв трубы | (МНПП "Самара-Брянск", ПП через р. Волга) |
--------------------------------
<*> Длина ПП составляет 7530 м.
<**> Длина ПП составляет 10000 м.
Описать имеющиеся средства связи в районе ПП (телефон, радиосвязь), информационные таблички о ПП и номера телефонов для сообщений об АРН.
5. Схемы оповещения и связи
5.1. Источниками информации при разливе нефтепродукта могут быть: линейные обходчики, капитаны проходящих судов, рыбаки или посторонние лица, первые заметившие АРН.
5.2. Поступившая информация срочно должна быть передана через телефонную связь или радиосвязь руководству ПС и акционерного общества, в т.ч. главному инженеру АО - руководителю работ по ликвидации АРН, который немедленно приступает к организации работ по ликвидации АРН.
5.3. По экстренному вызову оповещается патрульная группа для проверочного осмотра и определения сложившейся ситуации на месте АРН и владельцы коммуникаций, проходящих в одном техническом коридоре.
5.4. При осмотре фиксируются на карте габариты и координаты АРН, направление его распространения, уточняется место появления разлива на поверхности воды.
5.5. В случае подтверждения аварийного выхода нефтепродукта на ПП (создана ситуация, при которой нарушаются нормальные условия жизни и деятельности людей, возникла угроза их жизни и здоровью, наносится ущерб имуществу населения, народному хозяйству и окружающей среде
(ГОСТ Р 22.0.05-94)), руководитель работ по ликвидации АРН объявляет по объектам МНПП аварийную ситуацию. Оповещаются все рабочие группы в соответствии со схемой оповещения
(Приложение В). Рабочие группы немедленно приступают к выполнению работ по ликвидации АРН.
5.6. Организация оповещения и связи
5.6.1. Оповещение об АРН и связь организуются по принципу поэтапной информации должностных лиц, подразделений акционерного общества, администраций хозяйств, предприятий и населенных пунктов в зоне аварии, районных, областных (республиканских) организаций и формирований, контролирующих данные чрезвычайные ситуации и участвующих в мероприятиях по их ликвидации, органов местного самоуправления, санитарно-эпидемиологической службы региона (рисунок 5 и
Приложения В,
Г,
Д).
Схема оповещения
┌──────────────────┐ ┌──────────┐
│Штаб ликвидации │ │Диспетчер │
│АРН │ │ │
│Руководитель работ├──────────┤ │
│Помощники │ │ │
└─────────┬────────┘ └─────┬────┘
│ │
┌───────────┬───────────┬──┴─────────┬────────────┬──┴────────┬───────────┐
│ │ │ │ │ │ │
┌────┴─────┐┌────┴────┐┌─────┴─────┐┌─────┴─────┐┌─────┴────┐┌─────┴────┐┌─────┴─────┐
│Террито- ││Террито- ││Террито- ││Террито- ││Террито- ││Террито- ││Террито- │
│риальный ││риальный ││риальный ││риальный ││риальный ││риальный ││риальный │
│орган ││орган МЧС││центр ││орган ГУГПС││орган ││орган ││орган │
│Минприроды││России ││Госсан- ││МВД России ││Госгор- ││судоходной││Госком- │
│России ││ ││эпиднадзора││ ││технадзора││инспекции ││рыболовства│
│ ││ ││ ││ ││России ││ ││России │
└──────────┘└─────────┘└───────────┘└───────────┘└──────────┘└──────────┘└───────────┘
Рис. 5
5.6.2. Акционерные общества МНПП сообщают об АРН и информируют о ходе и результативности проведения работ по ликвидации разлива ОАО "АК "Транснефтепродукт".
5.6.3. Схемы оповещения и списки должностных оповещаемых лиц составляются в соответствии со структурой и штатными расписаниями акционерных обществ, ПС и их подразделений.
5.6.4. Предупреждение и ликвидация ЧС выше объектового уровня проводятся в соответствии с Единой государственной системой предупреждения и ликвидации ЧС, утвержденной
Постановлением Правительства РФ от 5 ноября 1995 г. N 1113.
6. Организация и технология работ по ликвидации
аварийного разлива нефтепродукта
Аварийная ситуация, угроза загрязнения водоема, атмосферы и грунта, большие трудности и объемы выполнения работ по ликвидации АРН могут привести к замешательству и трудностям в организации работ. Поэтому очень важно разделить территории и функции на мелкие и легкоуправляемые участки и зоны, распределить по ним рабочие силы (группы) и технические средства, организовать проведение тренировок и учений. Учения и тренировки рекомендуется проводить не реже одного раза в год поочередно в летний и зимний периоды года (РД 153-112-014-97).
6.1. Распределение обязанностей
Руководитель работ, назначенный приказом по АО, как правило, главный инженер акционерного общества МНПП, осуществляет общее руководство всеми работами по ликвидации АРН.
Руководитель работ создает штаб для координации и управления всеми работами из состава постоянно действующей комиссии по предупреждению и ликвидации ЧС, определяет место расположения штаба с учетом прямой связи по телефону и радио и через диспетчера АО со всеми подразделениями АО, руководителями рабочих групп и контролирующими организациями. Организует рабочие группы по ликвидации АРН, тренировки и учения с ними и подразделениями ПС.
Рабочие группы формируются из персонала работников подразделений ПС и работников АО. Форма списков рабочих групп приведена в
Приложениях Е,
Ж,
И,
К,
Л,
М,
Н.
Дежурный диспетчер АО, получив первое сообщение об АРН на ПП, извещает руководителя работ, который принимает решение об объявлении аварийной ситуации для всех работников, задействованных в плане ликвидации АРН.
| | ИС МЕГАНОРМ: примечание. Нумерация пунктов дана в соответствии с официальным текстом документа. | |
6.1.2. Руководитель работ по ликвидации АРН обязан:
- прибыть в штаб и возглавить руководство аварийно-восстановительными работами;
- заслушать сообщения руководителей патрульной и ремонтной групп (N 1 и N 2) о фактической ситуации в районе АРН, уточнить характер аварии, объем работ по ликвидации АРН;
- принять меры через руководство ПС по сокращению выхода нефтепродукта из МНПП в воду;
- уточнить необходимую численность рабочих групп, техники и технических средств для обеспечения непрерывной работы по ликвидации аварии;
- возложить ответственность за ведение оперативного журнала на одного из помощников;
- организовать доставку ТС и оборудования для работы групп, их отдых и питание;
- в течение всего времени производства работ по ликвидации аварии, находясь вне штаба, поддерживать постоянную связь с дежурным диспетчером АО;
- оценить сложившуюся ситуацию, возможные последствия, принять соответствующие меры, сообщить в ОАО "АК "Транснефтепродукт";
- дать указание диспетчеру АО о передаче сообщений об АРН организациям согласно схеме оповещения, об уточнении прогноза погоды на период ликвидации АРН в территориальном центре гидрометеослужбы и вызове вертолета для облета и осмотра места АРН;
- организовать посты по охране зоны АРН от посторонних лиц;
- вести контроль за ходом ликвидации АРН.
Один помощник руководителя работ обеспечивает координацию переговоров с рабочими группами, контролирующими и заинтересованными организациями.
Второй помощник ведет документацию по ликвидации аварии:
- оперативный журнал ликвидации аварии, где должны фиксироваться команды руководителя работ и сообщения руководителей рабочих групп о ходе выполнения работ и ситуации на рабочих местах;
- расчеты;
- акты и другие документы в соответствии с
разделом 6.
6.1.3. Обязанности руководителя ремонтной группы N 1
С объявлением аварийной ситуации на ПП МНПП руководитель аварийно-восстановительной группы немедленно обеспечивает выезд на место ПП и закрытие береговых задвижек аварийной нитки. Одновременно по согласованию с руководителем работ и диспетчерских служб организует врезку патрубков (

) и обеспечивает откачку или вытеснение нефтепродукта из поврежденного участка трубопровода в соответствии с мероприятиями по сокращению выхода нефтепродукта из ПП МНПП
(п. 6.6).
После откачки или вытеснения нефтепродукта из трубопровода производит вскрытие и ремонт поврежденного участка (накладывается хомут, врезается катушка) в соответствии с действующими в системе ОАО "АК "Транснефтепродукт" нормативно-техническими документами
(Приложение А).
Координирует выполнение всех работ с руководителем работ (или штабом) и руководителями других групп.
6.1.4. Обязанности руководителя патрульной группы (N 2)
По указанию руководителя работ прибывает (катером, вертолетом) к месту АРН.
По прибытии на место аварии докладывает по рации руководителю работ или в штаб по ликвидации АРН сведения о месте появления пятна нефтепродукта относительно длины ПП, скорости и направления его распространения, габаритах пятна.
Отмечает на карте района ПП указанные сведения на момент начала обследования и затем организует фиксирование их через каждые два часа.
Измеряет скорость и направление ветра анемометром на высоте 1 - 1,5 м от поверхности воды.
Измеряет толщину пленки нефтепродукта на поверхности воды и, учитывая габариты пятна, определяет ориентировочное количество АРН на конкретный момент времени.
Информацию передает в штаб руководителю работ.
Оповещает с ведома руководителя работ эксплуатационно-диспетчерские службы гидросооружений, суда, находящиеся в районе ПП, об АРН и принимает меры пожаровзрывобезопасности.
Руководитель группы должен пройти подготовку по оформлению карт и измерению толщины пленки нефтепродукта, скорости и направления ветра на акватории.
6.1.5. Обязанности руководителя группы подготовки и доставки ТС к месту аварии (N 3)
С объявлением аварийной ситуации на ПП немедленно готовит ТС, совместно с группой N 4 организует погрузку на месте хранения, доставку и разгрузку на месте аварии, местах локализации и сбора АРН.
Уточняет для водителей маршрут следования транспорта к месту установки технических средств ликвидации АРН.
Планирует на берегу площадку для монтажа линии боновых заграждений с устройствами их крепления на акватории.
Обеспечивает доставку к месту аварии нефтесборщика, передвижных насосов, сборных емкостей, прокладку соединительных линий (рукавов) для перекачки смеси воды с нефтепродуктом от насосов, нефтесборщиков и нефтесборных устройств.
Координирует свои действия с руководителем работ по ликвидации АРН и старшим группы N 4.
Одновременно с доставкой ТС для локализации и сбора АРН организует доставку техники для энергообеспечения ТС и средств связи.
При необходимости организует доставку вагонов-бытовок, палаток, оборудования полевой кухни, питьевой воды и других устройств бытового обеспечения работников.
Группа комплектуется квалифицированными специалистами для управления транспортной и грузоподъемной техникой.
6.1.6. Обязанности руководителя группы энергообеспечения (N 4)
Обеспечивает совместно с группой N 3 доставку техники на место аварии.
Производит прокладку кабелей электропитания к приводам нефтесборщиков, нефтесборных устройств, перекачивающих насосов, электроосвещения, связи и других потребителей электроэнергии.
Выполняет планировку территории, подъездов к объектам на месте аварии, изготовление обвалований, котлованов и других земляных работ по указанию руководителя работ по ликвидации АРН.
Обеспечивает перевозку работников, сопровождение транспортной техники на территории от ПП до дороги.
В холодный период года обеспечивает теплоэнергией (паром) нефтесборщики, нефтесборные устройства и сборные емкости с нефтепродуктом.
Группа комплектуется квалифицированными специалистами для обслуживания энергетических установок и другой техники, находящейся в распоряжении группы.
6.1.7. Обязанности руководителя группы локализации и сбора АРН (N 5)
С объявлением аварийной ситуации руководит подготовкой, перевозкой и монтажом ТС на берегу.
Уточняет в штабе схемы постановки боновых заграждений (БЗ), нефтесборщиков и нефтесборных устройств (НСУ) и организует постановку их на акватории.
Постановка ТС на акватории должна быть закончена до момента поступления в этот район движущегося под действием течения реки, ветра и волн пятна нефтепродукта.
Обеспечивает своевременный пуск в работу нефтесборщика.
На случай частичного пропуска нефтесборщиком пятна нефтепродукта, ниже его по течению выставляет дублирующие линии БЗ и нефтесборные устройства.
Ведет учет собранного нефтепродукта.
Для приема смеси нефтепродукта от нефтесборщика и нефтесборных устройств готовит береговые, плавучие емкости (баржи) или другие емкости для собранной смеси.
Обеспечивает максимально результативную очистку акватории от АРН.
Группа комплектуется специалистами, подготовленными для управления судами, мотозавознями и нефтесборщиком, нефтесборными устройствами, насосными агрегатами.
6.1.8. Графики выполнения работ в летнее и зимнее время представлены в
Приложениях П и
Р.
6.1.9. Обязанности руководителя группы контроля (N 6)
С объявлением аварийной ситуации готовит группу к выезду на место аварии для отбора и анализа проб:
- нефтепродукта на содержание воды;
- воды на содержание нефтепродукта;
- грунта на содержание нефтепродукта;
- воздуха на содержание углеводородов;
- температуры вспышки паров нефтепродукта.
В готовности должны быть пробоотборники, переносные лабораторные приборы, химреактивы, приспособления для перевозки и переноски проб, анализ которых проводится не на месте, а доставляется в лабораторию.
Совместно с руководителем группы N 4 обеспечивает доставку членов группы N 6 к месту аварии и обратно.
Контролирует выполнение работ по отбору и анализу проб. Передает результаты контроля в штаб.
6.1.10. Обязанности руководителя группы ликвидации последствий АРН (N 7)
Обеспечивает выполнение группой работ по сбору нефтепродукта в местах, недоступных для использования нефтесборщика, утилизацию или очистку загрязненной воды, грунта, мусора с помощью технических средств, ручных приспособлений и подручными средствами.
Ведет учет собранного нефтепродукта, загрязненного грунта, мусора, использованных сорбентов и других материалов.
Работы, выполняемые группой: смыв нефтепродукта с береговой полосы; сбор загрязненного нефтепродуктом грунта и мусора; сбор нефтепродукта с недоступных для нефтесборщика мест (мелководье, заросли кустарника, камыша и пр.); утилизация или уничтожение загрязненных воды, грунта, мусора.
Состав группы 8 - 20 человек. По мере завершения работы группой N 5 пополняется освободившимися людьми. При необходимости привлекаются работники других формирований.
6.1.11. Обязанности дежурного оператора ПС при сообщении обходчика или постороннего лица о появлении нефтепродукта в районе подводного перехода
Дежурный оператор обязан:
- сообщить об АРН диспетчеру АО;
- по указанию руководства или диспетчера, а в их отсутствие самостоятельно остановить перекачку и дать указание закрыть береговые задвижки;
- сообщить диспетчеру АО об изменении режима перекачки.
Все свои действия, распоряжения и сообщения, поступающие от лиц, связанных с ликвидацией аварии, заносить в оперативный журнал с указанием времени их поступления.
6.2. Маршруты следования к месту ликвидации аварийного разлива нефтепродукта
Место разворачивания технических средств локализации и сбора АРН намечается заранее. В период тренировок и учений отрабатываются нормы времени на погрузку, перевозку и монтаж ТС в рабочее положение до поступления туда нефтепродукта. Поэтому и маршруты следования транспорта выбираются с учетом:
- минимальных затрат времени;
- минимальной загруженности дорог общественным и личным транспортом;
- требований
Правил дорожного движения.
Маршруты наносятся на схему района и согласовываются с ГИБДД. В случае если маршруты проходят через железнодорожные переезды, должно быть и согласование начальника дистанции пути железной дороги на предмет возможности проезда транспорта с крупногабаритными и тяжелыми грузами (см.
рисунок 2).
6.3. Способы обнаружения места аварии подводного перехода магистрального нефтепродуктопровода
Способы обнаружения аварий МНПП на переходах через водную преграду - визуальный, по отличительным признакам нефтепродукта, водолазным обследованием и косвенный.
Если определить место выхода нефтепродукта и аварийную нитку визуально невозможно, то предлагается косвенный способ:
- останавливается перекачка на аварийном участке и закрываются береговые задвижки;
- в каждой нитке вакуумной установкой поочередно создается разрежение (может использоваться вакуумная машина);
- по достижению максимально возможного вакуума установку отключают;
- определяют аварийную нитку по скорости падения разрежения.
Сравнительно большая скорость падения вакуума указывает на наличие в трубопроводе данной нитки свищей, через которые происходит заполнение его водой. Аварийна данная нитка.
Для облегчения обнаружения места повреждения применяется способ с применением окрасочных веществ, добавляемых в воду при закачке ее в трубопровод.
6.4. Оценка сложившейся ситуации
6.4.1. Для реальной оценки аварийной ситуации руководитель работ как можно быстрее должен знать (или определить):
- характер повреждения трубопровода и его размеры;
- количество разлившегося нефтепродукта, скорость и направление его распространения;
- потребность ТС для ликвидации АРН.
6.4.2. Объем плавающего на воде нефтепродукта периодически определяется ориентировочно по формулам, см.
п. 4.4.2.
Размеры пятна (L, B,

) определяются руководителем патрульной группы (N 2) по координатам усредненных длины пятна и ширины, нанесенных на карту-планшет района.
6.4.3. После ликвидации АРН количество разлитого нефтепродукта уточняется по результатам измерений в резервуарах, трубопроводе, собранного и утилизированного топлива. Рассчитывается количество нефтепродукта, испарившегося в атмосферу и растворившегося в воде.
6.4.4. После определения количества АРН, габаритов и скорости его распространения, имея характеристики технических средств сбора, руководитель может определить возможность и срок ликвидации АРН своими силами и необходимую помощь от сторонних организаций, имеющих средства локализации и сбора нефтепродуктов с акваторий.
6.5. Расчет и обоснование количества технических средств для ликвидации аварийного разлива нефтепродукта
6.5.1. При расчете потребности НС и НСУ необходимо учитывать, что их общая производительность

должна быть больше текущего расхода аварийного вылива нефтепродукта из трубопровода

, т.е.

, (9)
где n - коэффициент эффективности работы НС (НСУ), характеризующий содержание нефтепродукта в собираемой смеси нефтепродукта с водой, n = 0,05 - 0,9
[2],
или

. (10)
Продолжительность сбора составит:

. (11)
6.5.2. Количество боновых заграждений определяется в основном габаритами акватории и скоростью течения реки
[2],
[3] и
[4].
Минимальное количество БЗ для постановки на реке по схеме
рисунка 6 должно быть:
- 2 линии по 100 м - основное БЗ;
- 1 линия 100 м - дублирующая линия БЗ;
- 2 линии по 10 м - направляющие линии к НС;
- 2 линии по 50 м - основные линии БЗ при смыве и сборе нефтепродукта с берегов (2НСУ) - на рис. не показаны;
- 1 линия - БЗ 100 м резервная;
- 3 линии БЗ - защита берега и объектов от загрязнения нефтепродуктом.
Схема размещения ТС для ликвидации АРН
Рис. 6
1. Защитное БЗ (берега и объектов)
2. Двухъярусное БЗ (основные линии)
3. Дублирующее БЗ
4. НСУ
5. Вакуумный автомобиль
6. Отстойник
7. Баржа
8. НС
9. Направляющие линии к НС
В качестве основных и резервных линий заграждения рекомендуется БЗ производства Ростовского опытного завода АЗС
(проект БЗ-140-1) [4].
В качестве защитных линий заграждения рекомендуется БЗ проекта и производства АО "АЦКБ" или Уфимского завода РТИ (проект УЖ-20 М).
УЖ-20 М - 300 м.
6.5.3. Смыв нефтепродукта с береговой полосы в воду с помощью передвижного насосного агрегата (ПНА), локализация и сбор его с помощью нефтесборного устройства для условий, приведенных в примере, потребуется:
ширина смываемой полосы берега B, м, длина L, м;
норма на смыв - 100 м2/ч.
Трудоемкость в этом случае составит:

, ч. (12)
6.5.4. Бульдозер используется на работах по планировке площадок, обеспечению прохождения транспортных средств и сбору загрязненного грунта. Работы выполняются одновременно, как минимум на двух участках. Поэтому принимается количество бульдозеров - 2.
Схема очистки берега от загрязненного грунта и мусора показана на рисунке 7. Один бульдозер за час может срезать и собрать в отвалы грунт толщиной 5 см с участка длиной 100 м (на ширину ножа бульдозера - 2 м)
[3].
Схема очистки пологих участков береговой
полосы дорожно-транспортной техникой
Рис. 7
1. Самосвал
2. Экскаватор
3. Бульдозер
Два указанных выше бульдозера выполнят работу по очистке берега от нефтепродукта на участке длиной L за следующее время

, ч. (13)
6.5.5. Самосвалы - перевозка грунта и мусора
Объем грунта

, м3. (14)
Для перевозки этого грунта потребуются самосвалы при следующих количествах рейсов:

, рейсов, (15)
где n - общее количество рейсов;

- общая грузоподъемность имеющихся самосвалов, м3.
Для погрузки грунта в самосвал потребуется экскаватор - 1 шт.
Если невозможно собрать грунт и мусор на одну площадку с помощью технических средств по местным условиям, то для очистки берега от нефтепродукта вручную потребуется следующее количество времени:

, часов, (16)
где n - количество рабочих, человек;
ширину очищаемой вручную полосы берега принимаем равной 1 м;
норму времени на удаление загрязненного грунта при толщине слоя 5 см с береговой полосы вручную с укладкой в контейнер (бочку или самосвал) принимаем 5 м2 в час
[3].
Состав ручного инструмента и спецодежды для ликвидации последствий АРН приведен в
Приложении Т.
6.5.6. Расчет потребности сорбентов
Сорбенты должны применяться всегда, когда необходимо сократить ущерб от загрязнения атмосферы и воды нефтепродуктом, т.к. сорбент, впитавший в себя нефтепродукт, сокращает его испарение в атмосферу и растворение в воду.
Расход сорбента (Q) определяется его сорбционной способностью, то есть способностью поглощать в себя нефтепродукт (C):

, кг, (17)
где n - кратность использования и регенерации сорбента.
Пример: Для сбора 1000 кг дизтоплива сорбентом НПМ C = 12 кг/кг (в виде матов) или сорбентом "Лессорб" C = 8 кг/кг (крошка торфяная) необходимо

;

.
6.5.7. Количество автомобилей для транспортировки технических средств локализации и сбора АРН:
БЗ в количестве 800 м - 3 автомашины
НСУ в количестве 2 шт. - 1 автомашина
Сорбент - 1 автомашина
Насосный агрегат, 2 шт. - 1 автомашина
Бульдозер, 2 шт. - 2 автомашины
Дизельгенератор с комплектом кабелей 300 м, 2 шт. - 2 автомашины
Сварочный агрегат - 1 автомашина
Самосвал - 3 шт.
Всего: 14 автомобилей
Более точный расчет потребности ТС будет проводиться в планах ликвидации АРН для конкретных предприятий, исходя из местных условий.
6.6. Мероприятия по сокращению выхода нефтепродукта из подводного перехода магистрального нефтепродуктопровода
6.6.1. Остановить перекачку нефтепродукта по МНПП.
6.6.2. Закрыть задвижки до и после ПП.
6.6.3. Безогневым методом врезать патрубки с задвижками

в перекрытый трубопровод с обоих берегов.
6.6.4. Подключить насосы к патрубкам и вести откачку нефтепродукта из аварийного участка МНПП. Откачку нефтепродукта вести до прекращения выхода нефтепродукта на поверхность водоема в месте повреждения.
6.6.5. Приступить к поиску места повреждения трубы и вскрытию.
6.6.6. Откачку нефтепродукта и воды вести в передвижные емкости (автоцистерны), резино-тканевые резервуары (тип Аристок, МР и ОРГС), отводы к нефтебазе или во временно сооруженные котлованы, построенные в соответствии с РД 153-112-014-97.
6.6.7. В случае истечения нефтепродукта через свищ небольшого сечения рекомендуется освободить трубопровод от нефтепродукта путем вытеснения его водой.
6.7. Технология ведения работ по локализации аварийного разлива нефтепродукта
В комплекс работ по локализации АРН входят:
- локализация пятна нефтепродукта на акватории с целью его последующего сбора;
- защита береговых сооружений от загрязнения нефтепродуктом, пляжей, заповедных зон, водозаборов, рыбоводных сооружений и других объектов.
6.7.1. Локализация АРН проводится по схемам, приведенным на
рис. 6, 8,
9,
10. В речных условиях, где преобладающими факторами распространения АРН по акватории являются течение и ветер, применяются схемы, указанные на
рисунках 6, 8.
Схема ликвидации АРН на реке
Рис. 8
1. Основная линия БЗ
2. Дублирующая линия БЗ
3. НС
4. Полоса АРН
5. Анкер
Схема ликвидации АРН на акватории водохранилищ
Рис. 9
1. Боновое заграждение
2. Буксир
3. Нефтесборщик
Схема ликвидации АРН в зимний период
Рис. 10
1. Боновое заграждение
2. Улавливающие траншеи
3. Вакуумная машина
4. Передвижная паровая установка
В условиях моря, озера или водохранилища, где преобладающим фактором перемещения АРН является ветер, применяются схемы локализации, указанные на
рисунке 9.
Доставку заграждений к месту применения целесообразно осуществлять судами или автотранспортом.
Установка заграждений должна проводиться в соответствии с инструкцией завода-изготовителя.
Угол постановки бонового заграждения в зависимости от скорости течения может составлять:
Скорость (м/с) Угол (град)
0 - 0,1 90
0,1 - 0,3 45
0,3 - 0,6 30
0,6 - 1,2 20
1,2 - 2,4 15
Угол постановки существенно изменяется при изменении длины и зависит от конструктивных возможностей конкретной марки бонового заграждения.
6.7.2. На
рисунках 11 и
12 показана последовательность выполнения операции по постановке БЗ на акватории:
поз. 1 - буксировка БЗ мотозавозней (или другим судном) вблизи берега, заводка троса определенной длины (30 м) конца БЗ к береговому якорю, в разрыв между нижней кромкой БЗ и берегом заводится нефтесборщик с двумя направляющими секциями БЗ ("усами"), концы которых закрепляются за береговой якорь и за нижнюю кромку БЗ.
Подача троса на берег производится с помощью лодки, или работник входит в воду и вручную переносит трос и крепит к якорю;
поз. 2 - мотозавозня отходит от берега и на определенном удалении бросает якорь с тросом от БЗ;
- якорь устанавливается на грунте, и БЗ занимает рабочее положение.
1. Катер
2. БЗ
3. НС
4. Анкер
5. Автомобиль с лебедкой
Длина "усов" может быть 10 - 20 м в зависимости от очертаний берега и конструктивных особенностей НС.
Аналогично описанной технологии устанавливаются дублирующие линии БЗ ниже по течению от нефтесборщика.
Постановка БЗ на акватории реки в несколько ярусов производится в следующей последовательности
(рисунок 12):
- первая линия БЗ (1 ярус) устанавливается, как описано выше;
- вторая линия БЗ (2 ярус) заводится двумя мотозавознями и устанавливается на два якоря:
поз. 1 - буксировка БЗ двумя мотозавознями мимо кромки первой линии;
поз. 2 - нижний конец БЗ заводится выше и левее якоря первой линии и, с учетом перекрыша струй течения, бросается нижний якорь;
поз. 3 - верхняя мотозавозня отклоняется вправо и бросает якорь от верхнего конца БЗ;
поз. 4 - вторая линия БЗ в рабочем положении.
1. Катер
2. Якорь
3. Верхняя линия БЗ
4. Нижняя линия БЗ
5. НС
6. Анкер
Вторая линия должна быть установлена так же под углом к направлению течения с учетом величины его скорости.
Третья и последующие линии БЗ заводятся так же, как и вторая линия.
Учитывая нагрузки от усилий буксировки, течения, ветра и волн, длина каждой линии (яруса) заграждения должна быть не более 100 м.
6.7.3. Постановка БЗ на акваториях со слабым течением (менее 0,2 м/с) производится в зависимости от силы и направления ветра, а также от направления распространения АРН. Технология постановки для таких случаев приведена на
рисунке 9.
6.7.4. В случаях ширины реки не более 200 м БЗ раскрепляется между берегами (
рисунки 8 и
11, б). Нефтесборщик заводится и крепится в разрыв между БЗ и берегом или в разрыв двух линий БЗ, закрепленных противоположными концами за берега.
6.7.5. В условиях водохранилища к работам по ликвидации АРН привлекаются: танкер с навесной нефтесборной установкой, буксир, нефтесборщик, боновое заграждение (см. рисунок 13).
Бортовая нефтесборная приставка к самоходному судну
Рис. 13
1. Понтон - рабочий
2. Понтон - вспомогательный
3. Ферма-экран
4. Заслонка поплавка
5. Поплавок следящий забортного уровня
6. Поплавок следящий внутреннего уровня
7. Насосная установка
8. Напорный рукав
9. Задвижка
10. Штанга
11. Решетка съемная
Танкер становится на якорь с подветренной стороны относительно загрязненного участка. Боны, длиной 180 - 200 м, одним концом закрепляются за борт танкера и с помощью буксира устанавливаются под углом 30 - 40° относительно направления ветра. Буксир встает на якорь. Ширина зоны захвата загрязнения составит 80 - 100 м.
Корпус танкера и боны образуют карман, в который ветер будет нагонять нефтепродукт, который с помощью навесного нефтесборного устройства и нефтесборщика будет собираться и перекачиваться в емкости танкера.
Скорость буксировки боновых заграждений не более двух узлов (3,7 км/ч).
Необходимо прогнозировать направление и скорость дрейфа АРН, используя результаты дневных наблюдений, а во время прекращения работ (ночное время) не терять их из вида, установив наблюдение с дежурного катера.
Работы по ликвидации АРН становятся опасными и неэффективными при неблагоприятных погодных условиях. В этом случае боны и нефтесборное устройство демонтируются, грузятся на танкер и доставляются к месту их очистки.
6.7.6. В случае АРН зимой локализация обычными БЗ невозможна из-за ухудшения их работоспособности при обмерзании, а также трудностей с постановкой.
В таких случаях, если позволяет толщина льда, прорезаются (пропиливаются) улавливающие траншеи под углом не более 30° к направлению течения. Ширина траншеи во льду должна быть около 3 м. Нижняя по течению сторона траншеи является экраном для всплывающего на поверхность воды нефтепродукта. Нефтепродукт отводится по траншее к берегу, где организуется его сбор. Длина траншеи должна перекрыть направление движения АРН.
Количество траншей должно быть не менее трех, располагаемых последовательно ниже по течению с интервалом 40 - 50 м.
Учитывая опыт ликвидации АРН на нефтепроводе в 1995 году (ПП через р. Белая, г. Уфа), для более надежной локализации АРН зимой в улавливающие траншеи заводятся боновые заграждения из металлических труб. Концы заграждения крепятся тросами за берега, или верхний конец крепится за лед (см.
рис. 10).
Траншеи и БЗ постоянно очищаются от обмерзания.
6.7.7. Постановка БЗ с целью защиты берегов или береговых объектов от загрязнения нефтепродуктом производится, как указано на
рисунке 6.
Верхний и нижний концы БЗ крепятся к берегу или якорю. При необходимости средняя часть БЗ тоже может крепиться с помощью тросов к якорю или берегу.
Порядок постановки защитного БЗ:
- собирается из секций заграждение необходимой длины на берегу;
- буксируется с помощью мотозавозни и крепится верхний конец БЗ к берегу выше защищаемого объекта;
- завозятся якоря от оттяжек средней части БЗ;
- крепится к береговому якорю нижний конец БЗ.
Длина заграждения определяется протяженностью защищаемой береговой полосы.
6.7.8. Расчет держащей силы и веса якоря проводится по
[5] из условия, что держащая сила якоря (P) составляет 3 - 4-кратную его массу, т.е.
P = 1,05 x K x M, (18)
где K = 3 - 4 - коэффициент для якорей системы Холла;
M - масса якоря.
Держащая сила якоря должна быть больше или равна суммарной продольной нагрузке, действующей на БЗ от сил течения, ветра, волн, а также усилий, передаваемых от нефтесборщика.

. (19)
Величина каждой силы рассчитывается исходя из конкретных условий.
6.8. Технология сбора аварийного разлива нефтепродукта
6.8.1. Сбор основного количества АРН должен быть выполнен нефтесборщиком, обеспечивающим производительность сбора около 100 м3/ч, предварительный отстой собираемой смеси нефтепродукта с водой и их выкачку.
6.8.2. Производительность нефтесборщика по сбору нефтепродукта в смеси с водой должна соответствовать интенсивности поступления смеси в приемное устройство.
В отстойнике нефтесборщика нефтепродукт предварительно отстаивается, отделяется от воды и откачивается в сторонние емкости.
Вода по мере накопления в отстойнике откачивается за борт в локализованную зону.
Нефтепродукт и вода из отстойника выкачиваются насосом нефтесборщика.
Регулировка производительности сбора нефтепродукта, отстоя и выкачки производится в соответствии с Инструкцией по эксплуатации нефтесборщика.
В качестве нефтесборщиков могут быть применены:
- речной нефтесборщик, проект Р 157 А;
- нефтемусоросборщик на базе теплохода М 105, проект 4311;
- многоцелевое природоохранное судно на базе танкера проекта 558, проект 4895;
- теплоход-сборщик (проект 354 К) с навесным нефтесборным устройством, проект 4586;
- несамоходный нефтесборщик, проект 4345;
- понтон-нефтесборщик,
проект 4606 и 4697. Проекты нефтесборщиков разработаны АО "Астраханское ЦКБ";
- морской нефтемусоросборщик МНМС проекта Южного научно-исследовательского проектно-конструкторского института морского флота, г. Одесса;
- зарубежный НС "ЭГМОПОЛ", Франция.
В холодный период года нефтесборщик должен обеспечивать подогрев собранного нефтепродукта в приемной камере и отстойнике.
При отсутствии устройств подогрева у нефтесборщика его приемная камера, отстойник, как и береговые сборные емкости, должны подогреваться от передвижных паровых установок.
6.8.3. С помощью нефтесборных устройств собирается АРН в местах, недоступных для основного нефтесборщика: на мелководье, в зарослях, у береговой полосы, а также в улавливающих траншеях зимой.
Нефтесборные устройства, как правило, обеспечивают сбор смеси нефтепродукта с водой и выкачку ее в береговую отстойную емкость (резиновый или металлический резервуар, автоцистерна, котлован) или в плавучую емкость (баржа, понтон),
рисунки 6, 14.
схема ликвидации АРН с помощью транспортабельного
комплекса снаряжения
Рис. 14
1. АРН
2. НСУ
3. Лодка
4. Вакуум-баллон
5. БЗ
6. Сорбент
7. Устройство отжимное
8. Вакуум-насос
9. Насос
10. Контейнер
11. Электростанция
12. Насос
13. Якорь
Приемник НСУ перемещается вручную в места наибольшего скопления нефтепродукта.
Смесь нефтепродукта с водой в сборной емкости отстаивается. Вода с нижнего уровня отстойника выпускается в локализованную зону перед НСУ. Нефтепродукт накапливается в емкости.
Для более эффективного сбора АРН выбираются НСУ, которые обеспечивают наименьшую эмульсацию нефтепродукта в воде при перекачке, быстрое и качественное разделение их уровней (вакуумные, барабанные, дисковые).
В случае АРН зимой из-за сложности доставки к месту аварии нефтесборщика сбор нефтепродукта производится с помощью НСУ.
В зону сбора АРН подводится пар от передвижной паровой установки ППУА-1600/100, обеспечивается разогрев плавающего нефтепродукта, сбор и перекачка в сборную емкость,
рисунок 10. Опыт ликвидации аварийного разлива нефти (г. Уфа, 1995 г.) показал, что зимой без подогрева зоны сбора, приемника и насоса нефтесборные устройства из-за обледенения неработоспособны.
В качестве НСУ могут быть применены:
Отечественные НСУ:
- вакуумная установка,
проект 4765; АО "АЦКБ", г. Астрахань;
- универсальный нефтемаслосборщик ТНА-3, СКБ "Транснефтеавтоматика", г. Москва;
- малогабаритное НСУ, СКБ "Транснефтеавтоматика", г. Астрахань.
Зарубежные НСУ:
- нефтесборное устройство ТДС-135, фирма "Эластек", США;
- "Диск-ЭГМО", Франция.
Краткая характеристика ТС, рекомендуемых к применению для ликвидации АРН, приведена в
Приложении У.
6.9. Технология ликвидации последствий аварийного разлива нефтепродукта
Значительная часть нефтепродукта, растекаясь по поверхности воды под действием течения реки, ветра, волн и сил поверхностного натяжения, быстро достигает берегов, задерживается на неровностях, заплескивается и размазывается по прибрежной полосе.
Бензины, обладая высокой испаряемостью, особенно летом при температурах воды и воздуха выше 20 °C и ветре, испаряются с поверхности воды практически полностью за 3 - 4 часа. Поэтому сбор разлитого бензина необходимо проводить с помощью сорбентов, которые предотвращают его испарение в атмосферу и растворение в воде.
Керосины и топлива для реактивных двигателей при таких же условиях испаряются полностью за 2 - 3 суток. Сбор и очистку берегов при их разливе необходимо производить до истечения этого срока.
Дизельные топлива оседают на береговой полосе тонким слоем, но легко смываются водой. Пленки дизельного топлива легко определить по радужным пятнам.
6.9.1. Смывание дизельного топлива и других неиспаряющихся нефтепродуктов производится техническими средствами, обеспечивающими подачу воды под давлением: гидромониторами, поливомоечными машинами, передвижными насосными агрегатами и т.п.
Смыв нефтепродукта с береговой полосы производится по направлению к нефтесборному устройству или приемному окну нефтесборщика.
По мере обработки зона очистки смещается вниз по реке. Во избежание естественных преград на берегу и для перемещения насосного агрегата (мотопомпы), рекомендуется его размещение на плавсредстве (легкий паром, катер, шлюпка). Рукава с пожарными стволами подают на берег.
Откачка собранной смеси из нефтесборного устройства производится в транспортную емкость, которая должна быть оборудована устройством для слива отстоявшейся воды. Оборудование, используемое для работы с нефтесборным устройством, можно располагать как на берегу, так и на судне. Собранный нефтепродукт из транспортной емкости должен откачиваться в береговой или плавучий амбар.
Для успешного выполнения работ указанным способом необходимо придерживаться определенных правил, которые выработались в результате накопленного опыта ликвидации загрязнений.
Боновое заграждение надо перемещать плавно, со скоростью не более 0,1 м/с, иначе нефтепродукт проникнет под заграждение.
Давление воды, подаваемой из стволов, регулируется в зависимости от целей: для смыва нефтепродукта с грунта и перемещения его по поверхности воды на расстояние 10 - 12 м необходимы слабые и рассеянные струи с давлением у ствола 0,2 - 0,3 МПа, для сгона на расстояние 12 - 20 м и размыва грунта - 0,6 - 0,8 МПа.
Перемещение пленки нефтепродукта по воде должно производиться поверхностным течением, создаваемым струей воды.
6.9.2. При понижении уровня воды в реке пролитый нефтепродукт может оказаться на берегу на значительном расстоянии от уреза воды; в этом случае смыв ее струями к приемному устройству нефтесборщика невозможен.
Если позволяет рельеф местности и твердость грунта, то загрязненный пологий берег очищают с помощью специализированной техники.
Срезание верхней части грунта (5 см), пропитанного нефтепродуктом, и формирование валков выполняют бульдозером, скрепером или автогрейдером.
Для погрузки собранного грунта используют экскаваторы.
Транспортировку собранного грунта в отведенное место осуществляют автомобилями-самосвалами. Перевозка загрязненного грунта и его захоронение осуществляется в соответствии с действующими нормами и Правилами.
Транспортировку гусеничной дорожной техники к месту разлива рекомендуется производить на трейлерах.
При работе землеройно-транспортных машин в условиях береговой полосы лимитирующими показателями являются твердость грунта и наклон береговой полосы.
При выборе машин следует отдавать предпочтение машинам повышенной и высокой проходимости.
При использовании для сбора нефтепродукта землеройно-транспортных машин требуется ручная работа, так как после машин остаются небольшие необработанные участки.
6.9.3. Способы очистки участка, покрытого растительностью, выбираются в зависимости от ее типа. Загрязненная трава полностью удаляется. На участках, где использование машин невозможно, трава выкашивается вручную.
Загрязненные кустарники и деревья очищают струями воды, подаваемой из ствола давлением 0,6 - 0,8 МПа. При низкой температуре воздуха целесообразно пользоваться теплой водой температурой 30 - 40 °C.
Загрязненный нефтепродуктом тростник выкашивается камышекосилкой, грузится на понтон, а затем трактором сгружается на берег и сжигается
(рисунок 15).
Схема сбора тростника, загрязненного нефтепродуктом
Рис. 15
1. Камышекосилка
2. Бульдозер
3. Понтон
4. Буксир
Порядок сжигания должен быть разработан и согласован с территориальными комитетом экологии, центром санэпиднадзора и пожарной охраной.
Схема механизированного смывания нефтепродукта с берега, локализации и сбора приведена на
рисунке 14.
6.9.4. С целью сохранения нефтепродукта от испарения в атмосферу и растворения в воду при сборе АРН применяются сорбенты.
Сорбенты, обладая пористостью структуры, специально обработанные для избирательной способности к нефтепродуктам и гидрофобностью, быстро впитывают (0,5 - 2,0 часа) и удерживают в себе нефтепродукт.
На водоемах питьевого, рекреационного и рыбохозяйственного назначения могут применяться только экологически чистые сорбенты, имеющие соответствующие сертификаты Минздрава России и утвержденные Госкомрыболовством России.
Сорбенты в виде порошков или крошки распыляются по поверхности АРН с помощью вентиляторов, гидравлических струй, специальных пушек, дельтапланов или вручную. Сорбент с нефтепродуктом собирается НС или вручную сачками с мелкой сеткой. Сорбенты в виде лент ткани, матов, салфеток опускаются в нефтепродукт, извлекаются и отжимаются (регенерируются) от нефтепродукта в специальных валиках или прессах и используются многократно. Нефтепродукт, собранный при регенерации сорбента, очищается и используется по назначению.
Сорбенты разового применения после использования сжигают в кострах. Не рекомендуется сжигать сорбент на поверхности воды.
6.9.5. Применение растворителей и моющих средств
Для очистки загрязненных поверхностей береговых сооружений, корпусов судов, оборудования, спецодежды и обуви используются моющие средства и растворители, а в холодный период - острый пар, при этом принимаются меры для предупреждения попадания в водоем смываемых нефтепродуктов и токсичных растворителей.
6.9.6. Биопрепараты типа "Деворойл", "Олеоворин", "Путидойл" и др. целесообразно применять для ликвидации последствий АРН в случаях, когда нет возможности собрать нефтепродукт, в теплый период года, на влажных (заболоченных) территориях.
Биопрепараты должны иметь гигиенический сертификат и разрешение на их применение. Технология их применения должна быть согласована с органами Госсанэпидслужбы и рыбоохраны.
6.9.7. Нерекомендуемые способы ликвидации АРН - это сжигание на воде, рассеивание (растворение), потопление на дно водоема, присыпка и закапывание в грунт.
Сжигание допускают в случаях, когда, например, по причине заболоченности района АРН, невозможна доставка ТС, а значительный ущерб от загрязнения водоема неизбежен. При этом надо иметь в виду, что нефтепродукт, потерявший легкие фракции, трудно поджечь; устойчивого горения при толщине пленки менее 2 мм не достигается; при сильном ветре приступать к сжиганию нельзя из-за переноса горения на другие объекты.
В каждом конкретном случае операция сжигания должна быть продумана, подготовлена, организована и согласована с территориальными органами ГУГПС МВД России, санитарно-эпидемиологического надзора, природоохранными органами, местной администрацией и с владельцами расположенных вблизи сооружений и коммуникаций.
Выжигание остатков разлитого нефтепродукта должно проводиться в соответствии с требованиями, предъявляемыми к временным огневым работам, с оформлением в установленном порядке наряда-допуска на выполнение работ повышенной опасности.
Диспергенты для рассеивания пятна нефтепродукта применяют только в условиях моря при крайней необходимости для рассеивания нефтепродукта с целью его дальнейшего биологического разложения.
Применение диспергентов должно быть согласовано с органами Госсанэпидслужбы и рыбоохраны.
6.10. Утилизация собранного нефтепродукта, размещение загрязненного грунта и мусора
6.10.1. Нефтепродукт, собранный нефтесборщиками и другими средствами, накапливается в нефтеналивном судне, береговых емкостях, а после окончания работ перевозится в резервуарные парки на ПС или НП. После дополнительной очистки закачивается в трубопровод в пределах допустимого запаса качества.
6.10.2. Грунт и попутный мусор обрабатываются в утилизационных установках методом пропаривания, термического сжигания
[6],
[7] или промываются водой от остатков нефтепродуктов, а затем размещаются в отвалы в соответствии с договорами с владельцами объектов размещения этих отходов на их прием и разрешением территориального органа Минприроды России.
Вода, загрязненная нефтепродуктом, вывозится на очистные сооружения.
6.10.3. Передача земли землепользователю после очистки ее от загрязнения нефтепродуктом производится в соответствии с "Основными положениями о рекультивации земель, снятии, сохранении и рациональном использовании плодородного слоя почвы" (Приложение А,
п. 13).
7. Безопасность выполнения работ
7.1. Пожарная безопасность
7.1.1. Работы по ликвидации АРН должны выполняться в соответствии с требованиями "
Правил пожарной безопасности в Российской Федерации" (ППБ-01-93), "
Правил пожарной безопасности для предприятий ОАО "АК "Транснефтепродукт" (ВППБ-01-03-96) и других нормативных документов, регламентирующих вопросы пожарной безопасности при эксплуатации нефтепродуктопроводного транспорта
(Приложение А).
7.1.2. Планы ликвидации АРН должны содержать мероприятия, направленные на предупреждение возникновения пожара:
- определение газоопасных и пожароопасных зон на акватории и в прибрежной полосе по пути распространения АРН;
- введение режима запрета допуска в опасные зоны посторонних лиц и транспортных средств, не принимающих участия в аварийных работах;
- введение режима допуска на территорию опасных зон персонала и техники, участвующих в ликвидации последствий аварийного выхода нефтепродуктов;
- оповещение об опасности жителей населенных пунктов, расположенных по пути распространения АРН, а также производителей работ (сельскохозяйственные рабочие, водители автотранспорта, рыболовы и т.п.), которые могут оказаться в опасных зонах;
- порядок, условия и маршруты эвакуации населения и производителей работ с территории, оказавшейся в опасной зоне, а также при наличии реальной угрозы в ней оказаться в результате распространения АРН;
- порядок определения концентрации и температуры вспышки паров нефтепродукта в воздушной среде рабочей зоны;
- порядок проведения огневых работ и применения технических средств при ликвидации аварий;
- порядок ввода особого противопожарного режима и другие мероприятия.
7.1.3. Границы газоопасной зоны устанавливаются руководителем работ по ликвидации АРН на основании результатов контроля загазованности воздуха. При этом ширина опасной зоны должна быть не менее 200 метров от ареала распространения нефтепродукта.
7.1.4. По периметру опасной зоны, в том числе вблизи населенных пунктов, производственных объектов, на пересечениях с автомобильными, пешеходными и железными дорогами, должны устанавливаться предупредительные знаки. Количество предупредительных знаков выбирается из расчета их видимости с любой точки периметра опасной зоны.
При необходимости, по согласованию с местными органами самоуправления, вблизи населенных пунктов и на пересечении с дорогами дополнительно устанавливаются дежурные посты.
7.1.5. Места разлива нефтепродуктов должны ограждаться, например, красными флажками, а в темное время суток - световыми сигналами и освещаться фонарями напряжением не более 12 В с уровнем взрывозащиты, соответствующим категории и группе взрывоопасной смеси.
7.1.6. Вблизи производства аварийных работ должны находиться пожарный автомобиль пенного тушения или цистерна (емкость) вместимостью не менее 1500 л, заполненная водопенным раствором, с пожарной мотопомпой, а также первичные средства пожаротушения (кошма, асбестовое полотно, огнетушители и т.д.) в количестве, предусмотренном нарядом-допуском на выполнение работ повышенной опасности.
7.1.7. В газоопасной зоне запрещается проводить любые работы, не связанные с ликвидацией аварийной ситуации.
7.1.8. Допуск в опасную зону разрешается только персоналу, занятому в аварийных работах. Проезд на территорию газоопасной зоны до полного устранения последствий аварии разрешается только транспорту аварийных бригад. При этом транспорт с двигателями внутреннего сгорания должен быть оборудован искрогасителями.
7.1.9. Жители населенных пунктов, а также работники промысловых, промышленных и сельскохозяйственных предприятий, расположенных на пути распространения АРН, оповещаются об опасности по заранее разработанной схеме (с обходом зданий, сооружений и помещений и дублированием сообщений по радио и громкоговорящей связи) и, в случае необходимости, эвакуируются временно в безопасное место по предусмотренным в ПЛА маршрутам.
7.1.10. В рабочей зоне до начала работ и ежечасно в период их выполнения определяется концентрация паров нефтепродукта в воздухе. При появлении явных признаков увеличения концентрации паров нефтепродуктов, а также при резком изменении погодных условий (изменение направления ветра, повышение температуры, уменьшение облачности и т.п.) должны проводиться дополнительные замеры концентрации паров.
Пробы воздуха отбираются у кромки пятна нефтепродукта на высоте 1 м от поверхности воды (почвы) в соответствии с требованиями
РД 52.04.186-89. Анализ пробы воздуха проводится лаборантом при помощи переносного газоанализатора (УГ-2, ПГФ 2МI-ИЗГ, ГВ-3, ГХП-3М) или хроматографами типа "Газохром 310", ХПМ-4, ХПМ-5.
Результаты замеров заносятся в специальный журнал.
7.1.11. В случае использования при аварийных работах технических средств и оборудования, ограниченных по применению во взрывоопасных средах, в зоне АРН необходимо наряду с определением концентрации паров нефтепродуктов производить отбор проб и определение температуры вспышки паров нефтепродукта.
Пробы паров нефтепродукта отбираются на расстоянии не менее 0,5 м от кромки его пятна пробоотборником, укрепленным на шесте. Лица, участвующие в отборе пробы, должны быть в противогазах. Пробы отбираются по периметру пятна не менее чем в 3-х точках.
7.1.12. При температуре вспышки паров нефтепродукта 61 °C и ниже допускается применение только оборудования взрывозащищенного исполнения и инструментов, изготовленных из материалов, исключающих образование искр при ударах.
7.1.13. В случае непосредственной пожарной опасности для прилегающих предприятий и населенных пунктов руководитель работ по ликвидации АРН должен выйти с предложением в органы государственной власти или органы местного самоуправления на соответствующих территориях об установлении особого противопожарного режима.
7.1.14. При возникновении пожара в период ликвидации АРН руководителем тушения пожара является прибывшее на пожар старшее оперативное должностное лицо пожарной охраны.
В этом случае руководитель работ по ликвидации АРН и все работники, находящиеся в его распоряжении, поступают в распоряжение руководителя тушения пожара.
7.2.1. Работы по ликвидации АРН должны выполняться в соответствии с требованиями "
Правил по охране труда при эксплуатации магистральных нефтепродуктопроводов" (ПОТ РО 112-002-98).
Все работающие должны быть организованы в рабочие группы. В каждой рабочей группе должен быть назначен руководитель группы, отвечающий за состояние безопасности труда на вверенном ему участке работ. Персонал, выполняющий работы по ликвидации АРН, должен быть проинструктирован (под роспись) о безопасных методах и приемах выполнения работ, а также уметь оказывать первую (доврачебную) медицинскую помощь.
7.2.2. Перед началом работ по ликвидации АРН необходимо провести анализ воздушной среды. В случае концентрации паров нефтепродукта в воздухе свыше предельно допустимой концентрации (ПДК) работа в этой зоне без средств защиты органов дыхания не допускается.
7.2.3. Участники работ должны быть ознакомлены с особенностями местности, расположением технических средств, средств связи, противопожарного инвентаря и постов медицинской помощи.
7.2.4. Все участники работ должны быть обеспечены спецодеждой, соответствующей сезону и конкретным видам работ, и необходимыми средствами индивидуальной защиты. Лица, работающие непосредственно со средствами сбора нефтепродукта на береговой полосе, должны работать в резиновых сапогах, а работающие на мелководье - в болотных сапогах.
При работе на воде (катер, мотозавозня, шлюпки, лодка) все работающие должны быть в спасательных жилетах.
Для переходов с судов на берег устанавливаются трапы шириной не менее 600 мм с надежными поручнями.
7.2.5. Открытые горловины резервуаров, ямы и другие опасные места ограждаются надежными поручнями.
7.2.6. Запрещается перевозить людей в неприспособленных для этого транспортных средствах.
7.2.7. Запрещается использовать этилированный бензин как растворитель для мытья рук, очистки одежды, деталей механизмов и инструмента.
7.2.8. К управлению техническими средствами допускаются лица, прошедшие специальную подготовку и имеющие на это свидетельство.
7.2.9. Запрещается эксплуатация технических средств, не оборудованных искрогасителями, а также в режимах и условиях, не отвечающих их эксплуатационным характеристикам.
7.2.10. Применение сорбентов, растворителей, моющих средств должно осуществляться в соответствии с инструкциями по их применению.
7.2.11. Запрещается подавать пар на устройства, используемые вручную. Температура воды, подаваемой на такие устройства, должна быть не более 60 °C.
7.2.12. Работы по сбору нефтепродукта в ночное время, как правило, не производятся, но вспомогательные работы (разгрузку нефтесборщиков, разогрев нефтепродукта, транспортировку и т.п.) целесообразно выполнять круглосуточно, поэтому должны быть предусмотрены меры безопасности труда в ночное время (освещение, охрана).
7.2.13. В зимний период при выполнении работ на льду (изготовление траншей, перемещение ТС) необходимо контролировать толщину льда и безопасное расстояние до кромки льда траншеи в соответствии с
[8].
При устройстве в ледяном покрове траншей и наличии майн эти опасные места должны ограждаться и отмечаться знаками через 50 м (флажки, вешки), видимыми в дневное и ночное время.
Безопасная толщина ледяного покрова реки и допустимое расстояние до кромки льда приведены в
Приложении Х.
7.2.14. В случае недостаточного количества судов и береговых специальных емкостей строительство котлованов и обвалований для временного отвода нефтепродукта и воды ведется в соответствии с РД 153-112-014-97. При этом должна предусматриваться гидроизоляция полиэтиленовой пленкой, слоем глины или другими способами.
8. Порядок и сроки оформления документации
при ликвидации аварийного разлива нефтепродукта
8.1. В процессе ликвидации АРН должен вестись Оперативный журнал ликвидации аварии,
Приложение Ц. Ответственный за ведение журнала - один из помощников руководителя комиссии.
8.2. Руководитель ремонтно-восстановительной группы N 1 должен оформить непосредственно после выполненного ремонта:
- заключение по контролю сварных стыков неразрушающим методом (составляется до начала изоляции катушки);
- акт на очистку трубы перед изоляцией;
- акт на праймирование и изоляцию трубы;
- акт на подбивку грунта под трубопровод;
- акт на засыпку трубопровода (трудоемкость, использование технических средств, материалов и оборудования).
8.3. Руководитель патрульной группы N 2 оформляет:
- карты с нанесением на ней пятна АРН с интервалом 2 часа от начала обследования до момента окончания сбора АРН;
- расчеты количества плавающего пятна АРН, площади загрязненной береговой территории;
- трудоемкость и использование техники и оборудования.
8.4. Руководители рабочих групп N 3 и N 4 ведут учет трудоемкости, использования техники, материалов, оборудования и энергии для обеспечения работ по ликвидации АРН.
8.5. Руководители рабочих групп N 5 и N 7 ведут учет трудоемкости, материалов, работы ТС, собранного нефтепродукта, загрязненного грунта и мусора, а также очищенной береговой территории.
8.6. Руководитель рабочей группы N 6 ведет учет трудоемкости, отобранных проб и выполненных анализов нефтепродукта, воздуха, грунта и воды.
8.7. Сведения по
пп. 8.2 -
8.6 от всех руководителей групп непосредственно после завершения работ передаются в штаб помощнику руководителя работ, назначенному ответственным за оформление документации и в комиссию по расследованию аварий.
8.8. Комиссия по ликвидации АРН совместно с представителями соответствующих контролирующих органов (см.
п. 5.6.1) должна составить акт об экологическом последствии АРН, где должен быть указан размер ущерба окружающей среде, рыбному хозяйству, агропрому или другим отраслям хозяйства.
Оценка ущерба от загрязнения окружающей среды определяется по методикам
[9],
[10].
8.9. Авария на ПП МНПП должна быть зарегистрирована в Журнале учета аварий и повреждений на магистральных нефтепродуктопроводах и оформлена актом согласно
Приложениям Ш и
Щ. Форма журнала приведена в
Приложении Э.
(рекомендуемое)
НЕОБХОДИМОЙ ТЕХНИЧЕСКОЙ ДОКУМЕНТАЦИИ
ДЛЯ ОРГАНИЗАЦИИ РАБОТ ПО ЛИКВИДАЦИИ АРН
При организации и проведении аварийно-восстановительных работ на магистральных трубопроводах необходимо руководствоваться действующими нормами и правилами:
1.
ГОСТ Р 22.0.05-94. Безопасность в чрезвычайных ситуациях. Техногенные чрезвычайные ситуации. Термины и определения
2. РД 153-112-014-97. Инструкция по ликвидации аварий и повреждений на магистральных нефтепродуктопроводах
3.
Правила охраны магистральных трубопроводов, Москва, 1992 г.
4.
ПОТ РО 112-002-98. Правила по охране труда при эксплуатации магистральных нефтепродуктопроводов
5.
ВППБ 01-03-96. Правила пожарной безопасности для предприятий АК "Транснефтепродукт". Утверждены Минтопэнерго России 02.12.1996
6.
Правила пожарной безопасности в Российской Федерации, ППБ 01-93
7.
СНиП III-42-80. Магистральные трубопроводы. Правила производства и приемки работ
8. Типовая
инструкция о порядке ведения сварочных и других огневых работ на взрывоопасных, взрывопожароопасных и пожароопасных объектах нефтяной промышленности. Миннефтепром СССР, 1974 г.
9. РД 152-112-016-97. Инструкция по техническому расследованию, учету аварий и повреждений объектов МНПП и списанию безвозвратных потерь нефтепродуктов
10.
РД 153-39.4Р-002-96. Табель технического оснащения АВП магистральных нефтепродуктопроводов. АК "Транснефтепродукт", Москва, 1995 г.
11.
Инструкция по производству строительных работ в охранных зонах магистральных трубопроводов Миннефтепрома СССР. ВСН 31-81
12. Строительство магистральных и промысловых трубопроводов.
ВСН 006-89
13.
Приказ Минприроды России N 525 и Роскомзема России N 67 от 22.12.1995 "Основные положения о рекультивации земель, снятии, сокращении и рациональном использовании плодородного слоя почвы".
(рекомендуемое)
СКОРОСТЬ ИСПАРЕНИЯ ОГНЕОПАСНЫХ ЖИДКОСТЕЙ
Скорость испарения огнеопасных жидкостей в зависимости от температуры и скорости движения воздуха по экспериментальным данным МИСИ им. В.В. Куйбышева.
Скорость воздуха над поверхностью испарения V, м/с | Температура воздуха t, °C | Скорость испарения А-72, г/с x м2 |
0,2 | 35 | 0,890 |
0,2 | 25 | 0,676 |
0,2 | 15 | 0,435 |
0,2 | 10 | 0,355 |
0,2 | 5 | 0,296 |
0,5 | 35 | 1,340 |
0,5 | 25 | 0,970 |
0,5 | 15 | 0,670 |
0,5 | 10 | 0,535 |
0,5 | 5 | 0,425 |
1,0 | 35 | 2,660 |
1,0 | 25 | 2,140 |
1,0 | 15 | 1,520 |
1,0 | 10 | 1,060 |
1,0 | 5 | 0,760 |
ОПОВЕЩЕНИЯ РАБОТНИКОВ
ДЛЯ ЛИКВИДАЦИИ АРН НА ПП МНПП
┌──────────┐ ┌───────────────┐ ┌────────────────────┐
│ Линейный ├──────────┤ Диспетчер ПС, ├────────┤ Лицо, обнаружившее │
│ обходчик │ │ тел. │ │ аварию │
└──────────┘ └─────────┬─────┘ └────────────────────┘
┌─────────┴─────┐
│ДИСПЕТЧЕР ОАО, │
│ тел. │
└─────────┬─────┘
│
ШТАБ ПО │ ЛИКВИДАЦИИ АРН
┌──────────────────┬──────────┼──────────┬─────────────────┐
┌──────┴──────┐ ┌────────┴────────┐ │ ┌───────┴──────┐ ┌──────┴─────┐
│ Генеральный │ │ Главный инженер │ │ │ Заместитель │ │ Начальник │
│директор ОАО,│ │ОАО, руководитель│ │ │ генерального │ │УЭ ОАО, тел.│
│ тел. │ │ работ, тел. │ │ │директора ОАО,│ │ │
│ │ │ │ │ │ тел. │ │ │
└─────────────┘ └─────────────────┘ │ └──────────────┘ └────────────┘
┌──────────────────┬─────────┼──────────┬─────────────────┐
┌──────┴──────┐ ┌────────┴───────┐ │ ┌───────┴──────┐ ┌───────┴─────┐
│Начальник ПС,│ │ Начальник │ │ │ Заместитель │ │Начальник ТТУ│
│ тел. │ │ юридического │ │ │начальника ПС,│ │ ОАО, тел. │
│ │ │отдела ОАО, тел.│ │ │ тел. │ │ │
└─────────────┘ └────────────────┘ │ └──────────────┘ └─────────────┘
│
РАБОЧИЕ │ ГРУППЫ
┌──────────────────┬─────────┼──────────┬─────────┬────────┐
┌──────┴───────┐ ┌───────┴──────┐ │ ┌────────┴────────┐│┌───────┴───────┐
│ Аварийно- │ │ Патрульная │ │ │Группа подготовки│││Группа энерго- │
│ ремонтная │ │ группа N 2 │ │ │и доставки ТС N 3│││обеспечения N 4│
│ группа N 1 │ │ │ │ │ │││ │
├──────────────┤ ├──────────────┤ │ ├─────────────────┤│├───────────────┤
│ Руководитель │ │ Руководитель │ │ │ Руководитель │││ Руководитель │
│ группы, тел. │ │ группы, тел. │ │ │ группы, тел. │││ группы, тел. │
└──────────────┘ └──────────────┘ │ └─────────────────┘│└───────────────┘
│ │
┌──────────────────┐ │ ┌──────────────┐ ┌─┴───────────────┐
│Группа локализации│ │ │ Группа │ │Группа ликвидации│
│ и сбора АРН N 5 │ │ │лабораторного │ │ последствий АРН │
│ │ │ │ контроля N 6 │ │ N 7 │
├──────────────────┤ │ ├──────────────┤ ├─────────────────┤
│ Руководитель │ │ │ Руководитель │ │ Руководитель │
│ группы, тел. ├────────┴─┤ группы, тел. │ │ группы, тел. │
└──────────────────┘ └──────────────┘ └─────────────────┘
Сбор и доставку на пункты сбора обеспечивает | Место сбора рабочих групп |
Руководителя работ | Водитель | N 1 | |
Членов штаба | Водитель | N 2 | |
Руководителей ПС | Водитель | N 3 | |
Патрульную группу | Водитель | N 4 | |
Аварийно-ремонтную группу | Водитель | N 5 | |
Групп N 3 - 7 | Водитель | N 6 | |
| | N 7 | |
Время сбора: 1 час в рабочее время, 2 часа в нерабочее время.
Составил: Начальник УЭ ______________________ Ф.И.О.
______________________ подпись
(рекомендуемое)
организаций, оповещаемых при авариях МНПП
на подводном переходе
───────────────────────────────────────────────────────────────────────────
1. Территориальная инспекция по надзору за магистральными
трубопроводами Госгортехнадзора России
тел.
2. Штаб по делам ГО И ЧС области (республики)
дежурный, тел.
адрес
3. Госавтоинспекция области (республики)
дежурный, тел.
адрес
4. Районное управление гидросооружений области (республики)
диспетчер, тел.
адрес
5. Орган ГУГПС МВД России области (республики)
диспетчер, тел.
адрес
6. Комитет (Министерство) экологии и природных ресурсов области
(республики)
диспетчер, тел.
тел. днем
тел. ночью
адрес
7. Речная инспекция
диспетчер, тел.
адрес
8. Областная инспекция рыбоохраны
оперативная группа, тел.
адрес
Составил:
Начальник управления (отдела) эксплуатации _______________________ (Ф.И.О.)
___________________________________________________________________ подпись
(рекомендуемое)
УТВЕРЖДАЮ
Главный инженер ОАО _____________
_________________________________
"___" _______________ г.
землепользователей, оповещаемых при авариях
на подводном переходе
N п/п | Наименование землепользователя | Границы хозяйств по трассе МНПП, км | Ф.И.О. руководителя хозяйства | Адрес и тел. руководителя хозяйства |
| Колхоз " | 330,8 - 350,303 | | |
| Колхоз " | 350,303 - 351,703 352,498 - 363,053 | | |
| Водопользователи | | | |
Составил:
Начальник управления (отдела) эксплуатации _______________________ (Ф.И.О.)
___________________________________________________________________ подпись
(рекомендуемое)
рабочей группы N 1
(форма)
N п/п | Ф.И.О. | Должность | Телефон | Адрес домашний |
рабочий | домашний |
1 | | Водолаз/сварщик | | | |
2 | | Водолаз/сварщик | | | |
3 | | Механик | | | |
4 | | Слесарь | | | |
5 | | Электрослесарь | | | |
6 | | Водитель | | | |
7 | | Тракторист | | | |
8 | | Бульдозерист | | | |
9 | | Мастер АРС | | | |
Руководитель группы:
Мастер АРС ______________________________________________ (Ф.И.О.)
___________________________________________________________________ подпись
(рекомендуемое)
рабочей группы N 2
(форма)
N п/п | Ф.И.О. | Должность | Телефон | Адрес домашний |
рабочий | домашний |
1 | | Линейный обходчик | | | |
2 | | Линейный обходчик | | | |
3 | | Оператор | | | |
4 | | Капитан катера | | | |
5 | | Инженер отдела эксплуатации | | | |
Руководитель группы,
Инженер ОЭ ____________________________ (Ф.И.О.)
___________________________________________________________________ подпись
(рекомендуемое)
рабочей группы N 3
(форма)
N п/п | Ф.И.О. | Должность | Телефон | Адрес домашний |
рабочий | домашний |
1 | | Энергетик ПС | | | |
2 | | Механик гаража ПС | | | |
3 | | Водитель а/м | | | |
4 | | Водитель а/м | | | |
5 | | Водитель а/м | | | |
6 | | Водитель автокрана | | | |
Руководитель группы
Механик гаража ПС ___________________________ (Ф.И.О.)
___________________________________________________________________ подпись
(рекомендуемое)
рабочей группы N 4
(форма)
N п/п | Ф.И.О. | Должность | Телефон | Адрес домашний |
рабочий | домашний |
1 | | Зам. начальника ПС | | | |
2 | | Инженер-механик ОГМ | | | |
3 | | Электромеханик ОГМ | | | |
4 | | Электромонтер | | | |
5 | | Электромонтер | | | |
6 | | Начальник службы связи | | | |
7 | | Водитель автобуса | | | |
8 | | Бульдозерист | | | |
9 | | Рабочий | | | |
10 | | Рабочий | | | |
Руководитель группы,
Зам. начальника ПС _________________________________________ (Ф.И.О.)
___________________________________________________________________ подпись
Кроме этого, в зимний период
11. Водитель ППУА
12. Водитель ППУА
(рекомендуемое)
рабочей группы N 5
(форма)
N п/п | Ф.И.О. | Должность | Телефон | Адрес домашний |
рабочий | домашний |
1 | | Главный инженер ПС | | | |
2 | | Электрослесарь ПС | | | |
3 | | Оператор ПС | | | |
4 | | Оператор ПС | | | |
5 | | Оператор ПС | | | |
6 | | Капитан мотозавозни | | | |
7 | | Матрос | | | |
8 | | Капитан мотозавозни | | | |
9 | | Матрос | | | |
10 | | Рабочий | | | |
11 | | Рабочий | | | |
Руководитель группы
Зам. начальника ПС _______________________________ (Ф.И.О.)
___________________________________________________________________ подпись
(рекомендуемое)
рабочей группы N 6
(форма)
N п/п | Ф.И.О. | Должность | Телефон | Адрес домашний |
рабочий | домашний |
1 | | Заведующий лабораторией ПС | | | |
2 | | Лаборант-пробоотборщик | | | |
3 | | Лаборант | | | |
4 | | Лаборант | | | |
Руководитель группы
Зав. лабораторией ПС ____________________________ (Ф.И.О.)
___________________________________________________________________ подпись
(рекомендуемое)
рабочей группы N 7
(форма)
N п/п | Ф.И.О | Должность | Телефон | Адрес домашний |
рабочий | домашний |
1 | | Заместитель начальника ПС | | | |
2 | | Механик | | | |
3 | | Оператор | | | |
4 | | Эл. слесарь | | | |
5 | | Бульдозерист | | | |
6 | | Водитель а/м | | | |
7 | | Водитель а/м | | | |
8 | | Экскаваторщик | | | |
9 - 20 | | Рабочий | | | |
Руководитель группы
Нач. отдела эксплуатации ПС _______________________ (Ф.И.О.)
___________________________________________________________________ подпись
выполнения работ по ликвидации АРН в летний период
(форма)
Виды работ | 1 день | 2 день | 3 день |
1 | 2 | 3 | 4 | 5 | 6 | 7 | 8 | 9 | 10 | 11 | 12 | 13 | 14 | 15 | 16 | 17 | 18 | 19 | 20 | 21 |
1. Проверочный осмотр зоны АРН (раб. гр. N 2) | | | | | | | | | | | | | | | | | | | | | |
2. Обнаружение и ремонт трубы (раб. гр. N 1) | | | | | | | | | | | | | | | | | | | | | |
3. Транспортировка, монтаж БЗ и НС (раб. гр. N 3, 4 и 5) | | | | | | | | | | | | | | | | | | | | | |
4. Локализация и сбор АРН (раб. гр. N 5) | | | | | | | | | | | | | | | | | | | | | |
5. Ликвидация последствий АРН (раб. гр. N 7) | | | | | | | | | | | | | | | | | | | | | |
6. Утилизация продуктов сбора АРН (раб. гр. N 7) | | | | | | | | | | | | | | | | | | | | | |
7. Контроль загрязнения воды, воздуха, грунта (раб. гр. N 6) | | | | | | | | | | | | | | | | | | | | | |
8. Оформление документации об АРН (штаб) | | | | | | | | | | | | | | | | | | | | | |
Продолжение приложения П
Виды работ | 1 день | 2 день | 3 день |
1 | 2 | 3 | 4 | 5 | 6 | 7 | 8 | 9 | 10 | 11 | 12 | 13 | 14 | 15 | 16 | 17 | 18 | 19 | 20 | 21 |
Необходимые ресурсы: | | | | | | | | | | | | | | | | | | | | | |
Нефтесборщики | | | | | | 2 | 2 | 2 | 2 | 2 | | | | | | | | | | | |
Нефтесборные устройства | | | | | | 4 | 4 | 4 | 4 | 4 | | | | | | | | | | | |
Боновое заграждение | | | | | | 4x100 1x300 | 4x100 1x300 | 4x100 1x300 | 4x100 1x300 | 4x100 1x300 | | | | | | | | | | | |
Бульдозер | | | 2 | 2 | 2 | 2 | 2 | 2 | 2 | 2 | 2 | 2 | 2 | 2 | 2 | 2 | 2 | 2 | 2 | 2 | 2 |
Экскаватор | | | 1 | 1 | 1 | 1 | 1 | 1 | 1 | 1 | 1 | 1 | 1 | 1 | 1 | 1 | 1 | 1 | 1 | 1 | 1 |
Самосвалы, автомобили | | | 3 | 3 | 3 | 3 | 3 | 3 | 3 | 3 | 3 | 3 | 3 | 3 | 3 | 3 | 3 | 3 | 3 | 3 | 3 |
Передвижной насосный агрегат | | | | | | 2 | 2 | 2 | 2 | 2 | 2 | 2 | 2 | 2 | 2 | 2 | 2 | 2 | 2 | 2 | 2 |
Пожарная машина | | | 2 | 2 | 2 | 2 | 2 | 2 | 2 | 2 | 2 | | | | | | | | | | |
Вертолет | 1 | 1 | | | | | | | | | | | | | | | | | | | |
Катер | 1 | 1 | 1 | 1 | 1 | 1 | 1 | 1 | 1 | 1 | 1 | 1 | | 1 | | 1 | | 1 | | 1 | |
Мотозавозня | | | | | | 2 | 2 | 2 | 2 | 2 | 2 | 2 | | | | | | | | | |
Баржа наливная (автоцистерны) или резино-тканевые резервуары (МР) | | | 1 (2) | 1 (2) | 1 (2) | 1 (2) | 1 (2) | 1 (2) | 1 (2) | 1 (2) | 1 (2) | 1 (2) | | | | | | | | | |
Дизель-генераторы | | | 1 | 1 | 1 | 2 | 2 | 2 | 2 | 2 | 1 | 1 | 1 | 1 | 1 | 1 | 1 | 1 | 1 | 1 | 1 |
Сварочный агрегат | | | 1 | 1 | 1 | 1 | 1 | | | | | | | | | | | | | | |
Водолазное оборудование | | 1 | 1 | 1 | 1 | 1 | 1 | | | | | | | | | | | | | | |
Вахтовая машина | | 2 | 2 | 2 | 2 | 2 | 2 | 2 | 2 | 2 | 2 | 1 | 1 | 1 | 1 | 1 | 1 | 1 | 1 | 1 | 1 |
Автобус | | | 1 | 1 | 1 | 1 | 1 | 1 | 1 | 1 | 1 | 1 | 1 | 1 | 1 | 1 | 1 | 1 | 1 | 1 | 1 |
Радиостанция | 1 | 1 | 1 | 1 | 1 | 1 | 1 | 1 | 1 | 1 | 1 | 1 | 1 | 1 | 1 | 1 | 1 | 1 | 1 | 1 | 1 |
Работники | 15 | 15 | 43 | 43 | 43 | 48 | 48 | 39 | 39 | 39 | 28 | 28 | 28 | 28 | 28 | 28 | 28 | 28 | 28 | 28 | 28 |
выполнения работ по ликвидации АРН в зимний период
(форма)
Виды работ | 1 неделя | 2 неделя | 3 неделя |
1 | 2 | 3 | 4 | 5 | 6 | 7 | 8 | 9 | 10 | 11 | 12 | 13 | 14 | 15 | 16 | 17 | 18 | 19 | 20 | 21 |
1. Обнаружение и ремонт трубы (раб. гр. N 1 и 2) | | | | | | | | | | | | | | | | | | | | | |
2. Сооружение улавл. траншеи Т-1 (раб. гр. N 3, 4 и 5) | | | | | | | | | | | | | | | | | | | | | |
3. Сооружение улавл. траншеи Т-2 (раб. гр. N 3, 4 и 5) | | | | | | | | | | | | | | | | | | | | | |
4. Сооружение улавл. траншеи Т-3 (раб. гр. N 3, 4 и 5) | | | | | | | | | | | | | | | | | | | | | |
5. Монтаж НСУ (раб. гр. N 4, 5) | | | | | | | | | | | | | | | | | | | | | |
6. Сбор нефтепродукта в Т-1 и Т-2 (раб. гр. N 4 и 5) | | | | | | | | | | | | | | | | | | | | | |
7. Сбор нефтепродукта сорбентом (раб. гр. N 4, 5 и 7) | | | | | | | | | | | | | | | | | | | | | |
8. Дробление льда и удаление, определение границ АРН (раб. гр. N 2, 7) | | | | | | | | | | | | | | | | | | | | | |
9. Контрольное бурение льда (раб. гр. N 2 и 5) | | | | | | | | | | | | | | | | | | | | | |
| | ИС МЕГАНОРМ: примечание. В официальном тексте документа, видимо, допущена опечатка: имеется в виду Приложение Р, а не Приложение П. | |
Продолжение приложения П
Виды работ | 1 день | 2 день | 3 день |
1 | 2 | 3 | 4 | 5 | 6 | 7 | 8 | 9 | 10 | 11 | 12 | 13 | 14 | 15 | 16 | 17 | 18 | 19 | 20 | 21 |
Необходимые ресурсы: | | | | | | | | | | | | | | | | | | | | | |
Нефтесборщики | | | | | | 2 | 2 | 2 | 2 | 2 | | | | | | | | | | | |
Нефтесборные устройства | | | | | | 4 | 4 | 4 | 4 | 4 | | | | | | | | | | | |
Боновое заграждение | | | | | | 4x100 1x300 | 4x100 1x300 | 4x100 1x300 | 4x100 1x300 | 4x100 1x300 | | | | | | | | | | | |
Бульдозер | | | 2 | 2 | 2 | 2 | 2 | 2 | 2 | 2 | 2 | 2 | 2 | 2 | 2 | 2 | 2 | 2 | 2 | 2 | 2 |
Экскаватор | | | 1 | 1 | 1 | 1 | 1 | 1 | 1 | 1 | 1 | 1 | 1 | 1 | 1 | 1 | 1 | 1 | 1 | 1 | 1 |
Самосвалы, автомобили | | | 3 | 3 | 3 | 3 | 3 | 3 | 3 | 3 | 3 | 3 | 3 | 3 | 3 | 3 | 3 | 3 | 3 | 3 | 3 |
Передвижной насосный агрегат | | | | | | 2 | 2 | 2 | 2 | 2 | 2 | 2 | 2 | 2 | 2 | 2 | 2 | 2 | 2 | 2 | 2 |
Пожарная машина | | | 2 | 2 | 2 | 2 | 2 | 2 | 2 | 2 | 2 | | | | | | | | | | |
Вертолет | 1 | 1 | | | | | | | | | | | | | | | | | | | |
Катер | 1 | 1 | 1 | 1 | 1 | 1 | 1 | 1 | 1 | 1 | 1 | 1 | | 1 | | 1 | | 1 | | 1 | |
Мотозавозня | | | | | | 2 | 2 | 2 | 2 | 2 | 2 | 2 | | | | | | | | | |
Баржа наливная (автоцистерны) или резино-тканевые резервуары (МР) | | | 1 (2) | 1 (2) | 1 (2) | 1 (2) | 1 (2) | 1 (2) | 1 (2) | 1 (2) | 1 (2) | 1 (2) | | | | | | | | | |
Дизель-генераторы | | | 1 | 1 | 1 | 2 | 2 | 2 | 2 | 2 | 1 | 1 | 1 | 1 | 1 | 1 | 1 | 1 | 1 | 1 | 1 |
Сварочный агрегат | | | 1 | 1 | 1 | 1 | 1 | | | | | | | | | | | | | | |
Водолазное оборудование | | 1 | 1 | 1 | 1 | 1 | 1 | | | | | | | | | | | | | | |
Вахтовая машина | | 2 | 2 | 2 | 2 | 2 | 2 | 2 | 2 | 2 | 2 | 1 | 1 | 1 | 1 | 1 | 1 | 1 | 1 | 1 | 1 |
Автобус | | | 1 | 1 | 1 | 1 | 1 | 1 | 1 | 1 | 1 | 1 | 1 | 1 | 1 | 1 | 1 | 1 | 1 | 1 | 1 |
Радиостанция | 1 | 1 | 1 | 1 | 1 | 1 | 1 | 1 | 1 | 1 | 1 | 1 | 1 | 1 | 1 | 1 | 1 | 1 | 1 | 1 | 1 |
Работники | 15 | 15 | 43 | 43 | 43 | 48 | 48 | 39 | 39 | 39 | 28 | 28 | 28 | 28 | 28 | 28 | 28 | 28 | 28 | 28 | 28 |
(рекомендуемое)
(форма)
Место отбора проб | 1 день | 2 день | 3 день |
1 | 2 | 3 | 4 | 5 | 6 | 7 | 8 | 9 | 10 | 11 | 12 | 13 | 14 | 15 | 16 | 17 | 18 | 19 | 20 | 21 |
1. Содержание воды в нефтепродукте: | | | | | | | | | | | | | | | | | | | | | |
в нефтесборщике | | | | | + | | + | | | | + | | | | | | | + | | | |
в сборной емкости | | | | | + | | + | | | | + | | | | | | | + | | | |
2. Содержание нефтепродукта в воде: | | | | | | | | | | | | | | | | | | | | | |
ниже 5 м от дублирующего БЗ | | | | | + | | + | | + | | + | | + | | | + | | + | | + | |
3. Содержание углеводородов в воздухе, температура вспышки: | | | | | | | | | | | | | | | | | | | | | |
у кромки пятна АРН | | | | | + | | + | | + | | + | | + | | | + | | + | | + | |
у берега в направлении распространения загазованности | | | | | + | | + | | + | | + | | + | | | + | | + | | + | |
Примечания.
1. Пробы на содержание воды в нефтепродукте из НС и сборной емкости отбираются в соответствии с
ГОСТ 2517.
2. Пробы на содержание нефтепродукта в воде отбираются на 300 мм от поверхности воды.
3. Пробы воздуха на содержание углеводородов отбираются на высоте 1 м от поверхности воды.
4. Анализ проб производится по утвержденным Методикам.
(рекомендуемое)
СОСТАВ РУЧНОГО ИНСТРУМЕНТА И СПЕЦОДЕЖДЫ
ДЛЯ ЛИКВИДАЦИИ ПОСЛЕДСТВИЙ АРН
Лопата, ЛКП;
Лопата, ЛР;
Лом обыкновенный, ЛО-28;
Багор, БПН;
Вилы хозяйственные четырехрогие;
Топор АЗ;
Пила 3800-0001;
Пила-ножовка поперечная;
Пешня;
Грабли садово-огородные;
Коса 900;
Молоток ЦБ 12хр;
Ключ разводной 30;
Термометр жидкостный (пределы измерений от -30 до 50 °C ТС);
Канат капроновый;
Рукава пожарные длиной 20 м;
Рукава резино-тканевые длиной 4 м,

;
Канистры емкостью 20 л;
Канистры емкостью 10 л;
Ведра емкостью 12 л;
Ветошь обтирочная;
Швабры полипропиленовые.
Спецодежда:
Плащ мужской рабочий;
Костюм мужской рабочий;
Брюки ватные;
Фартук;
Шапка-ушанка;
Сапоги резиновые формовые;
Сапоги резиновые болотные;
Рукавицы тканевые рабочие;
Жилет страховочный.
Аптечка.
Палатка 4-местная.
(рекомендуемое)
КРАТКАЯ ХАРАКТЕРИСТИКА ТЕХНИЧЕСКИХ СРЕДСТВ,
РЕКОМЕНДУЕМЫХ К ПРИМЕНЕНИЮ ДЛЯ ЛИКВИДАЦИИ АРН
Разработчики и изготовители ТС
1. ОАО "Астраханское ЦКБ" (тел. (8512) 26-22-45, 22-32-38).
ПРОЕКТЫ:
2. ОАО "СКБ "Транснефтеавтоматика".
Малогабаритное нефтесборное
устройство МНСУ (рисунок У11).
3. ИПТЭР (г. Уфа).
Агрегат для сбора и удаления нефтяного загрязнения с поверхности почвы (рисунок У12).
4. Франция.
Стационарное плавающее ограждение предназначено для постоянного ограждения части акватории в местах стоянки перекачивающих и зачистных станций.
ТЕХНИЧЕСКАЯ ХАРАКТЕРИСТИКА
Длина секции, м 5
Высота надводной части, м 0,35
Высота подводной части, м 0,55
Масса секции, кг 300
ЭКСПЛУАТАЦИОННЫЕ ХАРАКТЕРИСТИКИ
Волнение реки, баллов не более 3
Скорость течения (при расположении
ограждения под углом 90° к направлению
течения), м/с до 0,5
Рис. У1
Плавающее ограждение относится к оперативным средствам защиты водоемов от загрязнения нефтью и предназначено для локализации зоны загрязнения, предотвращения растекания и перемещения нефти, а также для защиты от загрязнения водных объектов, береговой полосы и сооружений.
ТЕХНИЧЕСКАЯ ХАРАКТЕРИСТИКА
Длина секции, м 19,8
Высота надводной части, м 0,15
Высота подводной части, м 0,45
Толщина слоя нефти, удерживаемого
ограждением без его отвода, м 0,1
Масса секции, кг 77
ПЛАВАЮЩЕЕ ОГРАЖДЕНИЕ МОЖЕТ ЭКСПЛУАТИРОВАТЬСЯ
ПРИ СЛЕДУЮЩИХ УСЛОВИЯХ:
Волнение реки, баллов не более 3
Скорость ветра, м/с до 12
Скорость течения (при расположении
ограждения под углом 90° к направлению
течения), м/с до 0,25
(свыше 0,25 ограждение
устанавливается
под острым углом)
Температура воздуха, °C от -20 до +40
Количество секций, буксируемых
в одной "нитке", шт. не более 10
Скорость буксировки, км/ч не более 5
Рис. У2
В состав комплекта входят средства локализации, средства сбора нефти, электрооборудование, шанцевый инструмент, спецодежда. Средства локализации служат для ограничения и предотвращения распространения пролитой нефти и концентрации ее в районе сбора.
СРЕДСТВА ЛОКАЛИЗАЦИИ И СБОРА НЕФТИ ВКЛЮЧАЮТ В СЕБЯ:
- насос НЦС-4 с подачей 60 м3/ч, шт. 1
- вакуум-баллон емкостью 0,3 м3, шт. 1
- лодку "Автобот", шт. 1
- вакуум-насос РВНЗО 450, шт. 1
- подвесной мотор марки ПЛМ-2 ("Ветерок-83")
мощностью 8 л.с., шт. 1
- насос шестеренчатый Ш6-25-5,8 2,5, шт. 1
- отжимное устройство с ручным приводом, шт. 1
- нефтесборное устройство переносное
- якорь крепления плавающего ограждения, шт. 3
- швабра, шт. 3
- сорбент, м3 1,0
ЭЛЕКТРООБОРУДОВАНИЕ ВКЛЮЧАЕТ В СЕБЯ:
- электромегафон марки ЗМ-7, шт. 1
- агрегат переносной (электростанция
АБ-4 2-Т-230 с бензиновым двигателем УД-25,
мощностью 3,2 кВт, напряжением 230 В), шт. 1
- светильник "СГВ-2УI, I взрывонепроницаемый, шт. 2
- кабель КРПТ 3 x 1,5 x 1 x 1, м 100
Рис. У3
Бортовая нефтесборная приставка предназначена для сбора незагустевшей нефти с поверхности воды способом траления и в стационарном положении совместно с судами проектов Р164, 866, 795 и 354К в условиях водохранилищ и реки.
ТЕХНИЧЕСКАЯ ХАРАКТЕРИСТИКА
Габаритные размеры, м:
Длина 8,3
Ширина 3,8
Высота 1,95
Высота борта понтона 0,7
Осадка 0,4
Ширина окна приемной камеры 1,0
Масса, кг 1580
ЭКСПЛУАТАЦИОННЫЕ ХАРАКТЕРИСТИКИ
Угол установки приставки к борту судна, град 60
Количество бортовых приставок (левая, правая), шт. 2
Общая ширина захвата двумя приставками, м
(изменяется в зависимости от ширины
судна-буксировщика) 22,6 - 24,8
Волнение, баллов до 3
Скорость буксировки при сборе нефти, км/ч 2,0 - 3,0
Скорость буксировки по походному, км/ч 5,0 - 10,0
Производительность откачки водонефтяной
смеси (общая), м3/ч 240
Мощность, потребляемая насосами, кВт (общая) 15
Рис. У4
ПРОЕКТ 4843 - алюм. сплава
ПРОЕКТ 4855 - стальное
Нефтесборное устройство предназначено для сбора загустевшей нефти с поверхности воды. Разработано две модификации нефтесборного устройства: стальное и из алюминиевого сплава.
Работает нефтесборное устройство следующим образом: при откачке воды из приемной камеры в нее через поплавковую заслонку из зоны загрязнения поступает водонефтяная смесь.
Толщина собираемого слоя нефти регулируется интенсивностью откачки водонефтяной смеси из приемной камеры нефтесборного устройства.
ТЕХНИЧЕСКАЯ ХАРАКТЕРИСТИКА
стальное из алюминиевого сплава
Габаритные размеры:
Длина, м 1,0 0,85
Ширина, м 1,05 0,94
Высота, м 0,52 0,5
Осадка, м 0,15 0,15
Масса, кг 60 22
Рис. У5
При ликвидации нефтяных загрязнений вакуумная установка применяется:
- как устройство, обеспечивающее вакуумный прием и накопление водонефтяной смеси при сборе нефти с поверхности в комплекте с нефтесборными устройствами;
- как емкость для временного хранения и отстоя собранной водонефтяной смеси;
- как средство для откачки в стороннюю емкость;
- как устройство, работающее в режиме пневмотранспортной установки, для сбора и накопления застывшей нефти.
ТЕХНИЧЕСКАЯ ХАРАКТЕРИСТИКА
Габаритные размеры, м 2,85 x 2,06 x 1,70
Рабочее разряжение в баллоне
при наполнении, % 50 - 70
Рабочее давление воздуха в баллоне
при опорожнении, кгс/см2 1,2
Продолжительность наполнения баллона, мин 6 - 8
Продолжительность опорожнения баллона, мин 6 - 8
Производительность откачки, м3/ч 10 - 15
Насос вакуумный ротационный РВН30/450
Двигатель модели УД2-М1, N = 10 - 12 л.с.
Масса, кг 1450
Рис. У6
Понтон-нефтесборщик предназначен для ликвидации нефтяных загрязнений на мелководных участках водоемов, у берега, в местах, недоступных для работы судов-нефтесборщиков с большими габаритами и осадкой.
Проект 4697 с усиленным днищем.
ТЕХНИЧЕСКАЯ ХАРАКТЕРИСТИКА
Габаритные размеры, м
Длина 10,24
Ширина 3,12
Высота борта на мидельшпангоуте 1,0
Высота 1,96
Осадка порожнем 0,2
Осадка рабочая 0,35
Грузоподъемность при полной загрузке, т 5
Водоизмещение понтона порожнем (со снабжением), тс 5,23
Количество плавающих ограждений, м 80
Класс судна "Л"
Речного Регистра России
НАСОСНЫЙ АГРЕГАТ
1) Насос:
Марка НЦС-2
Подача, м3/ч 120
Полный напор, м 11,3
Вакуумметрическая высота всасывания, м 4,3
2) Бензиновый двигатель:
Марка УД 2-М1
Мощность, л.с. 10 - 12
Рис. У7
Понтон-нефтемусоросборщик предназначен для сбора с поверхности воды и береговой полосы пролитых нефтепродуктов и мусора. Понтон может самостоятельно перемещаться по зоне загрязнения. Транспортировка понтона может осуществляться автомобильным, железнодорожным и водным транспортом.
ТЕХНИЧЕСКАЯ ХАРАКТЕРИСТИКА
Длина, м 11,16
Ширина, м 3,16
Высота борта, м 1,0
Осадка порожнем, м 0,3
Осадка рабочая, м 0,5
Грузовместимость приемной ванны, м3 4,5
Емкость контейнера для мусора, м3 0,75
Температура вспышки собираемых нефтепродуктов, °C 60 и выше
Масса понтона порожнем, кг 9500
Рис. У8
Понтон-нефтесборщик предназначен для сбора пролитой нефти различной вязкости. На понтоне проекта 4908-А имеется котельная установка для подогрева нефти.
ТЕХНИЧЕСКАЯ ХАРАКТЕРИСТИКА
Габаритные размеры
Длина, м 19,8
Ширина, м 8
Высота борта, м 1,6
Осадка, м 0,3 - 0,8
Грузоподъемность по нефти, т 40
Количество плавающих ограждений, м 100
НАСОСНАЯ УСТАНОВКА
Марка насоса НЦС-1
Тип центробежный,
одноступенчатый,
самовсасывающий
Подача, м3/ч 120
Напор, м 11,3
Высота всасывания, м 4,3
Рис. У9
БОНОВОЕ ЗАГРАЖДЕНИЕ БЗ-140-1
Рис. У10
1. Промежуточная гибкая секция
2. Концевая секция
3. Трос
ОАО "СКБ "Транснефтеавтоматика"
БОНОВОЕ ЗАГРАЖДЕНИЕ БЗ-140-1
(Рисунок У10)
Боновое заграждение предназначено для локализации аварийных разливов нефтепродуктов и нефти (АРН) на акваториях нефтебаз, подводных переходов магистральных нефтепродуктопроводов и других объектов.
Гибкая конструкция БЗ-140-1 обеспечивает надежную локализацию АРН при волнах на акватории и ветре, удобство в постановке и хранении.
Прочность бона обеспечивает возможность постановки на любом течении реки с помощью катера.
Изделие комплектуется Руководством по эксплуатации, содержащим схемы применения бона при различных местных условиях.
Конструкция БЗ одобрена комиссией на Всероссийских учениях по ликвидации АРН на р. Иртыш (г. Омск, 1995 г.).
ОСНОВНЫЕ ТЕХНИЧЕСКИЕ ХАРАКТЕРИСТИКИ
Длина секции, м 10,0
Высота экрана, м:
над водой 0,2
под водой 0,5
Диаметр поплавка, м 0,2
Масса секции, кг 56
_______________________________________________________________
Изготовитель: АО "Ростовский опытный завод АЗС"
344034, г. Ростов-на-Дону, ул. Привокзальная, 3/2
тел. (8632) 66-96-96, факс 66-80-54
Разработчик: ОАО "СКБ "Транснефтеавтоматика"
414014, г. Астрахань, Бехтерева, 20
Приемник МНСУ
Схема расположения МНСУ на акватории
Рис. У11
1. Корпус воронки
2. Поплавок
3. Штанга
4. Соединительный рукав
5. Патрубок
6. Поплавок
7. Заслонка
8. Вакуумная машина
9. Боновое заграждение
ОАО "СКБ "Транснефтеавтоматика"
МАЛОГАБАРИТНОЕ НЕФТЕСБОРНОЕ УСТРОЙСТВО МНСУ
(Рисунок У11)
НАЗНАЧЕНИЕ
Малогабаритное нефтесборное устройство (МНСУ) предназначено для сбора разлитых нефтепродуктов с поверхности водоемов: в прибрежной полосе, на мелководьях и отстойных прудах.
МНСУ может эксплуатироваться при положительных температурах воды и окружающего воздуха.
ТЕХНИЧЕСКАЯ ХАРАКТЕРИСТИКА
| | ИС МЕГАНОРМ: примечание. Единица измерения производительности сбора нефтяной смеси дана в соответствии с официальным текстом документа. | |
1. Производительность сбора нефтеводяной смеси, м/ч - от 5 до 15;
2. Масса, кг - 40;
3. Габаритные размеры, мм - 700 x 1500 x 500;
4. Глубина погружения приемника, мм - 350;
5. Толщина слоя перелива в воронку, мм - от 0 до 5;
6. Диаметр всасывающего рукава, мм - 75;
7. Привод - вакуумная машина типа КО-503 (Шасси ГАЗ-51 или ГАЗ-53).
АГРЕГАТ ДЛЯ СБОРА И УДАЛЕНИЯ НЕФТЯНОГО ЗАГРЯЗНЕНИЯ
С ПОВЕРХНОСТИ ПОЧВЫ
Рис. У12
1. Рычаг включения гидроцилиндров подъема стрелы
2. Пульт управления электроприводами
3. Клиноременная передача
4. Рычаг переключения скоростей
5. Педаль сцепления
6. Педаль газа
7. Рычаги фрикционов
8. Стрела
9. Опорно-поворотное колесо
10. Концевой выключатель
11. Шарнир заборной головки
12. Электродвигатель привода лепесткового ротора
13. Лепестковый ротор
14. Рама заборной головки
Скоростной самоходный нефтесборщик "ЭГМО-РАПИД"
Рис. У13
1 - алюминиевый корпус; 2 - защитное покрытие из каучука; 3 - подъемный строп; 4 - крышка машинного отделения; 5 - крышка отделения резервуаров; 6 - крышка бака для углеводородов; 7 - вентиляционные трубы машинного отделения; 8 - перила и площадка; 9 - нижняя часть кабины (прикрепленная сваркой к корпусу); 10 - верхняя часть кабины (съемная); 11 - закрытый пост управления; 12 - внешний пост управления; 13 - входное отверстие бака для углеводородов; 15 - головка нефтесборщика (в заднем положении); 16 - кран-укосина подъема насоса W100; 17 - загребающая лапа (с головкой нефтесборщика в заднем положении); 18 - загребающая лапа (с головкой нефтесборщика в переднем положении); 19 - съемный мостик; 20 - конвейерная лента (в положении хранения); 21 - гидравлическая система и управление двигателей; 22 - задний защитный пояс; 23 - рукав управления лапами; 24 - дверь; 25 - сливная труба
ТЕХНИЧЕСКАЯ ХАРАКТЕРИСТИКА
СКОРОСТНОГО САМОХОДНОГО НЕФТЕСБОРЩИКА "ЭГМО-РАПИД"
(Рисунок У13)
1. Производительность, м3/ч 20 - 100
2. Объем отстойника, м3 4,5
3. Скорость хода, км/ч 36
4. Привод, тип дизель,
гидравлический
5. Габаритные размеры, м:
длина 10
ширина 2,5
высота
осадка 0,43 - 1,15
6. Обслуживающий персонал, чел. 2
7. Разработчик Франция
(рекомендуемое)
КРАТКАЯ ХАРАКТЕРИСТИКА СОРБЕНТОВ
Показатели | Ед. изм. | Наименование сорбентов, характеристики |
ПИТ СОРБ | Пауэсорб | КФП-сорбент | Сиб-сорбент | Лес-сорб | НПМ-3 | Эконафт Применяется для безотходного химичес. обезвреживания и герметизации нефтемаслоотходов, санации нефтезагрязненных грунтов, ликвидации аварий нефте- и продуктопроводов |
характ. разработчиков | результаты лаборатор. испытаний | характ. разработчиков | характ. разработчиков | характ. разработчиков | характ. разработчиков |
Основа сорбента | | торф | | карбамидная пена | торф | торф | ткань пропитка ОДП-240 | |
Форма представления | | крошка | рулон | крошка | крошка | крошка | мат. | порошок |
Плотность | г/см3 | | - | 0,010 - 0,015 | | | | |
Нефтеемкость | г/г | 6 - 7 | 12 | 40 - 60 | 7,6 - 9,3 | 15 - 12 | 8 | 0,7 - 1,0 |
Нефтеемкость при t = +4 °C | | | 11,4 | - | - | - | - | |
Плавучесть | ч | 240 | | не огран. | 2 | 24 | не огран. | |
Водопоглощение | г/г | гидрофоб. | 0,06 | гидрофоб. | гидрофоб. | гидрофоб. | гидрофоб. | гидрофоб. |
Токсичность | | безвред. | | нет документов | безвред. | безвред. | безвред. | безвред. |
Стоимость | дол./кг | 7 | | - | 0,4 | 7 | | |
Способ утилизации | | сжигание, захоронение | | - | сжигание | сжигание | регенерация, сжигание | использование в качестве стройматериала |
Упаковка | | мешок п/э 22 кг | | - | мешок п/э | мешок п/э 15 кг | рулон 10 - 15 кг | мешок, рулон |
Разработчик | | Канада | | Институт криосферы СО АН совместно с Тюм. ГНГУ | АО "ТСН" | АО МН "Дружба", Брянск | ИХН СО РАН, г. Томск | Институт экологической безопасности, г. Курск |
(рекомендуемое)
ГРУЗОПОДЪЕМНОСТЬ ЛЕДЯНОГО ПОКРОВА
Груз | Масса груза, тонн | Наименьшая безопасная толщина ледяного покрова реки, см | Наименьшее допустимое расстояние до кромки льда, м |
Человек со снаряжением | 0,1 | 10 | 5 |
Автомашина грузоподъемностью 1,5 т с грузом | 3,5 | 25 | 19 |
Автомашина с грузом | 6,5 | 35 | 25 |
Автосамосвал с грузом или бульдозер | 8,5 | 39 | 25 |
Автотягач с грузом или трактор | 10 | 40 | 26 |
Трактор с грузом | 20 | 55 | 30 |
Сверхтяжелый груз | 40 | 95 | 38 |
Примечания:
1. Указания таблицы соответствуют зимнему льду. При этом для речного льда указания относятся к периоду, когда температура воздуха находится в пределах от минус 1 до минус 20 °C.
2. Прочность льда весной уменьшается вдвое. При появлении на льду воды расчетная нагрузка на лед должна быть снижена на 50 - 80%. При расчете принимается только толщина прочных слоев льда; слой снежного и пористого, пропитанного водой льда из общей толщины исключается.
(рекомендуемое)
ЛИКВИДАЦИИ ПОСЛЕДСТВИЙ АРН
(форма)
Дата | Время | Содержание событий, действий, распоряжений и сообщений, связанных с ликвидацией аварийного разлива нефтепродукта | Отметка об исполнении |
| | | |
| | | |
| | | |
технического расследования аварии (повреждения)
линейной части магистрального нефтепродуктопровода
________________________________________ ___________________________ г.
(место составления акта)
Комиссия, назначенная приказом ________________________________________
____________________________ N ________________ от "___" _______________ г.
(наименование организации)
в составе:
Председателя ______________________________________________________________
(Ф.И.О., должность)
и членов __________________________________________________________________
(Ф.И.О., должность)
после ознакомления с проектной и эксплуатационной документацией, изучения
места аварии (повреждения) и обстоятельств, при которых произошла авария
(повреждение) объекта, установила следующее:
N п/п | Характеристика и свойства объекта | Данные расследования причин аварии (повреждения) | Примечание |
1. Объект расследования |
1. | Наименование ОАО | | |
2. | Наименование МНПП | | |
3. | Наименование ЛПДС, ГПС, ПС, НП | | |
4. | Объект расследования, место аварии (повреждения), км | | |
5. | Дата и время поступления первой информации об аварии (повреждении) | | |
6. | Источник первой информации | | |
7. | Дата и время обнаружения места аварии патрульной группой АВБ или АВБ | | |
8. | Наименование ближайшего населенного пункта | | |
9. | Расстояние до ближайшего населенного пункта, км | | |
10. | Расстояние до ближайшего водотока, водоема, м | | |
11. | Расстояние до перехода через автомобильные и (или) железные дороги, м | | |
12. | Наличие сторонних коммуникаций, расстояние до них, км, м | | |
2. Техническая характеристика объекта расследования |
13. | Конструктивное исполнение объекта | | |
14. | Диаметр, толщина стенки МНПП (мм) | | |
15. | Марка стали и номер сертификата качества трубы | | |
16. | Конструктивное исполнение трубы | | |
17. | Завод - изготовитель трубы, оборудования, государство | | |
18. | Проектное рабочее давление (кгс/кв. см) | | |
19. | Тип электрохимзащиты | | |
20. | Год установки электрохимзащиты | | |
21. | Вид защитного покрытия МНПП | | |
22. | Тип изоляции МНПП | | |
23. | Защитный потенциал (В) | | |
24. | Дата испытаний объекта при вводе в эксплуатацию | | |
| Величина испытательного давления (кгс/кв. см) | | |
26. | Дата ввода в эксплуатацию | | |
27. | Температура воздуха во время сварочных работ (при строительстве), град. C | | |
28. | Дата(ы) повторного(ых) испытания(й) объекта | | |
29. | Величина повторного испытательного давления (кгс/кв. см) | | |
30. | Дата последнего капитального ремонта | | |
31. | Величина рабочего давления в момент аварии (повреждения) (кгс/кв. см) | | |
32. | Глубина заложения трубопровода (м) | | |
33. | Наименование перекачиваемого нефтепродукта | | |
34. | Температура перекачиваемого продукта, град. C | | |
3. Условия эксплуатации |
35. | Характеристика местности | | |
36. | Геологические условия (грунт) | | |
37. | Высота снежного покрова (м) | | |
38. | Температура воздуха и состояние погоды в день аварии (повреждения), град. C | | |
39. | Другие условия | | |
4. Характеристика ремонтно-восстановительных работ |
40. | Способ обнаружения аварии (повреждения) | | |
41. | Расстояние от ГПС (км) | | |
42. | Расстояние от ПС, НП (по ходу транспорта) в км | | |
43. | Время остановки транспорта нефтепродуктов (дата, час, мин) | | |
44. | Время выезда АВБ на перекрытие участка МНПП и время его перекрытия запорной арматурой (дата, час, мин) | | |
45. | Время прекращения истечения нефтепродукта (дата, час, мин) | | |
46. | Способ устранения утечки нефтепродукта | | |
47. | Время выезда и приезда на место аварии (повреждения) 1 АВБ (дата, час, мин) | | |
48. | Время выезда и приезда на место аварии (повреждения) следующей(их) АВБ (дата, час, мин) | | |
49. | Время выезда и прибытия на место аварии (повреждения) технических средств (дата, час, мин) | | |
50. | Время ликвидации аварии, повреждения (дата, час, мин) | | |
51. | Способ ликвидации аварии, повреждения | | |
52. | Время возобновления транспорта нефтепродуктов (дата, час, мин) | | |
Характеристика аварии (повреждения) |
53. | Стадия эксплуатации, при которой произошла авария (повреждение) | | |
54. | Величина продольных и поперечных смещений концов труб (при вырезке катушки, трубы), мм | | |
55. | Характер и место дефекта | | |
56. | Размеры разрушения (мм) | | |
57. | Местоположение дефекта на окружности сечения трубы | | |
58. | Характер очага разрушения | | |
59. | Вид излома | | |
Последствия аварии (повреждения) |
60. | Протяженность отказавшего участка (км) | | |
61. | Простой на ПС, НП (час, мин) | | |
62. | Простой на перегоне (час, мин) | | |
63. | Объем произведенных работ (чел. x час) | | |
64. | Затраты на ликвидацию аварии (повреждения), тыс. руб. | | |
65. | Количество нефтепродукта, вышедшего на рельеф местности (тн) | | |
66. | Безвозвратные потери нефтепродуктов (тн) | | |
| в том числе распределение потерь нефтепродуктов по составляющим природной среды: | | |
66.1. | воздух (тн) | | |
66.2. | вода (тн) | | |
66.3. | грунт (тн) | | |
66.4. | снег (тн) | | |
67. | Стоимость безвозвратно потерянного нефтепродукта, тыс. руб. | | |
68. | Убытки от перевода собранного нефтепродукта в нестандартный, тыс. руб. | | |
69. | Площадь загрязненной местности (кв. м) | | |
70. | Убытки от простоя (потерянной выгоды) МНПП, тыс. руб. | | |
71. | Уплаченные штрафы органам охраны природы, тыс. руб. | | |
72. | Уплаченные штрафы землепользователям, землевладельцам, тыс. руб. | | |
73. | Другие последствия аварии (повреждения) | | |
74. | Общий ущерб от аварии (повреждения), тыс. руб. | | |
Заключение комиссии по результатам расследования аварии, повреждения |
| Причина аварии | |
| Категория аварии | |
| Причина повреждения | |
| Квалификация обслуживающего персонала (где и когда проходили обучение и инструктаж по технике безопасности, проверку знаний в квалификационной комиссии) | |
| Организация, лица, виновные в аварии. Предложенные меры их наказания | |
ПРИЛАГАЕМЫЕ ОРГТЕХМЕРОПРИЯТИЯ И СРОКИ ИХ ИСПОЛНЕНИЯ
1.
2.
3.
4.
5.
6.
7.
ПРИЛОЖЕНИЯ К АКТУ ТЕХНИЧЕСКОГО РАССЛЕДОВАНИЯ
1. Сокращенный профиль поврежденного участка с эпюрой давления, технологической схемой и ситуацией.
2. Ситуационный план с эскизом площади, залитой нефтепродуктом.
3. Справка товаротранспортной службы с расчетом потерь нефтепродукта.
4. Эскиз (фото) разрушения с указанием размеров.
5. Эскиз восстановления участка поврежденного трубопровода (исполнительный документ).
6. Картограммы самопишущих манометров на нагнетании и всасывании ближайших перекачивающих станций отказавшего участка.
7. Заключение научно-исследовательского института (лаборатории) об исследовании образцов из дефектных участков (при необходимости).
8. Объяснительные записки и другие материалы (при необходимости).
9. Заключение комиссии.
ПРИМЕЧАНИЕ: 1. Приложения должны быть подписаны всеми членами комиссии.
Председатель комиссии __________________________ (Ф.И.О.)
подпись
Члены комиссии _________________________________ (Ф.И.О.)
подпись
Подпись главного инженера ОАО __________________ (Ф.И.О.)
подпись
К ЗАПОЛНЕНИЮ АКТА ТЕХНИЧЕСКОГО РАССЛЕДОВАНИЯ АВАРИИ
(ПОВРЕЖДЕНИЯ) ЛИНЕЙНОЙ ЧАСТИ МАГИСТРАЛЬНОГО
НЕФТЕПРОДУКТОПРОВОДА
1. Информация, которую предполагается получить в графе "Данные расследования причин аварии (повреждения)" путем ответов на вопросы графы "Характеристика и свойства объекта", касается непосредственно объекта аварии, повреждения (места аварии, повреждения): его территориальной принадлежности, местоположения относительно головной и перекачивающих станций, основных конструктивных, технико-технологических и других параметров, характеризующих непосредственно или опосредованно отказавший объект и обстоятельства аварии.
2. Объект расследования: тело трубы заводской поставки, тройник, переходник, вантуз, обратный клапан, камера пуска-приема очистных устройств, колена гнутые, узлы подключения коллектора к насосу.
3. Конструктивное исполнение объекта. Указывается способ прокладки: подземный, наземный, надземный, подводный, под автомобильной дорогой, под железной дорогой, по болоту, а также конструкция труб - бесшовная, прямошовная, со спиральным швом.
4. Тип изоляции. Указывается вид защитного покрытия (битумное, полимерное и т.п.) и тип изоляции (нормальная, усиленная).
5. Защитный потенциал. В числителе указывается величина защитного потенциала трубопровода в месте на момент аварии, в знаменателе - необходимый для данного участка минимальный защитный потенциал, например: 0,6/0,85.
6. Дата приемочных испытаний (для периодических испытаний). Для трубопроводов с длительным сроком эксплуатации, испытываемых периодически, указывается дата последнего испытания.
7. Величина испытательного давления указывается в соответствии с
пунктом 25.
8. Температура перекачиваемого продукта. В числителе указывается фактическая температура продукта в месте и в момент аварии, в знаменателе - расчетная температура в тех же условиях.
9. Характеристика местности. Указывается характеристика местности: уклон или изменение уклона (для пересеченной местности), равнина, а также характеристика поверхностного слоя: трава, пашня, кустарник, лес, болото и прочее.
10. Геологические условия. Указывается тип грунтов, в которых уложен участок подземного трубопровода: песчаный, супесчаный, глинистый, суглинистый, скальный, торфяной, а также их просадочность (по коэффициенту просадочности "в": непросадочные - в < 0,1; просадочные - 0,1 <= в <= 0,3; сильнопросадочные - в > 0,3).
11. Дата, время и способ обнаружения аварии, повреждения. Указывается год, месяц, число, час (с точностью до минут) обнаружения, а также способ ее обнаружения: по показанию приборов, визуально обходчиком, вертолетным патрулем, по дебалансу перекачки и т.д.
12. Способ ликвидации аварии: замена трубы, вварка катушки, вырезка дефектного участка стыка и последующая заварка его, наварка заплат, установка хомута, забивка свища пробкой с последующей обваркой и т.д.
13. Стадия эксплуатации, при которой произошла авария, - пуск в эксплуатацию, в процессе работы, капремонт и т.п.
14. Величина продольных и поперечных смещений концов труб. Пункт заполняется в случае ремонта, сопровождаемого вырезкой трубы, катушки. Указывается величина смещений концов труб, определяемая при помощи установки маяков, фиксирующих продольные и поперечные смещения.
15. Характер и место дефекта: свищ на теле трубы, группа свищей на теле трубы, свищ в заводском продольном (спиральном) шве, разрыв по кольцевому монтажному шву, разрыв по околошовной зоне заводского продольного, спирального шва, разрыв по целому металлу, трещина в заводском продольном, спиральном шве, трещина по целому металлу, трещина переходника и т.д.
16. Характер очага разрушения: неметаллические включения, расслоения, поры, шлаковые включения, выходящие на поверхность излома, закаты, непровары, риски, царапины, подрезы, кратеры, свищи, поверхностные дефекты в виде вмятин, раковины, наплывы, перекрытие швов, следы зачистки дефектов, плены, рванины, открывшиеся пузыри, забоины, различного рода и происхождения трещины, различного рода и происхождения коррозионные повреждения; часто излом происходит при взаимном влиянии нескольких очагов разрушения.
17. Вид излома: хрупкий, вязкий, смешанный, усталостный, коррозионно-механическое разрушение (коррозионная усталость и коррозионное растрескивание), электрохимическая коррозия.
18. Причина аварии: несоблюдение норм проектирования, нарушение правил технической эксплуатации, несоблюдение требований СНиП, низкий уровень качества материалов или брак, брак строительно-монтажных работ, стихия, нарушение Правил производства работ в охранной зоне, коррозионные процессы, повреждение трубопровода посторонними лицами с целью хищения нефтепродуктов, акт терроризма.
аварий и повреждений на МНПП
акционерного общества _________________
за __________ месяц ______ года
N п/п | Наименование ЛПДС, ГПС, ПС, НП нефтепродуктопровода (отвода),  (мм) и толщина стенки (мм) трубы, год ввода в эксплуатацию, государство, республика, область, край | Км трассы | Дата и время | Характер дефекта | Причина аварии, повреждения | Категория аварии | Способ устранения дефекта | Виновные лица, организации | Простой, час, мин, на | Потери н/п, тонн | Убытки, тыс. руб. |
обнаружения аварии, повреждения | ликвидации аварии, повреждения | головной станции | перегоне | безвозвратные | в том числе: воздух/вода/грунт/свет | Всего | в том числе |
от потерь нефтепродукта (АБ, ДТ) | от пересортицы | Затраты на ликвидацию аварии, повреждения | от простоя МНПП | штрафы выплаченные |
| | | | | | | | | | | | | | | | | | | |
| | | | | | | | | | | | | | | | | | | |
| | | | | | | | | | | | | | | | | | | |
Примечание. Стоимость затрат на территории государств СНГ, Украины указывается в российских рублях.
1. И.А. Тув "Судовые технические средства предотвращения загрязнения водоемов нефтепродуктами". М., "Транспорт", 1976
2. Проведение испытаний и разработка предложений по постановке на производство технических средств локализации и сбора аварийных разливов нефти на водных переходах МН
Этап 1. "Подготовка и проведение сравнительных испытаний технических средств". Отчет СКБ "Транснефтеавтоматика" 26.10.1995
3. Обоснование норм на работы, связанные с ликвидацией аварийных разливов нефти и эксплуатацией технических средств защиты водоемов. АО "Астраханское ЦКБ", г. Астрахань, 1975
4. Рекомендации по эксплуатации боновых ограждений и нефтесборных устройств. СКБ "Транснефтеавтоматика", г. Москва, 1993
5. А.Н. Гурович "Судовые устройства". Справочник, "Судостроение", 1967
6. Экстрактор передвижной, проект 5206 АО "АЦКБ"
7. Установка переработки нефтешлама УПН-1, ЦКБ "Титан" (г. Волгоград),
8. П.А. Долин. Справочник по технике безопасности. М., "Энергоатомиздат", 1984
9. Временная типовая методика определения экономической эффективности осуществления природоохранных мероприятий и оценки экономического ущерба, причиняемого народному хозяйству загрязнением окружающей среды. М., Экономика, 1986
10. Методика определения ущерба окружающей природной среде при авариях на магистральных нефтепроводах. Утверждена Минтопэнерго России 01.11.1995.