Главная // Актуальные документы // Акт (форма)СПРАВКА
Источник публикации
Документ опубликован не был
Примечание к документу
В соответствии с
Приказом Минтопэнерго России от 25.02.1997 N 66 данный документ
введен в действие с 01.03.1997.
Взамен "Инструкции по учету нефтепродуктов на магистральных нефтепродуктопроводах", утв. 25.12.1987 Заместителем Председателя Госкомнефтепродукта СССР.
Название документа
"РД 153-39-011-97. Инструкция по учету нефтепродуктов на магистральных нефтепродуктопроводах"
(утв. Минтопэнерго России 23.01.1997)
"РД 153-39-011-97. Инструкция по учету нефтепродуктов на магистральных нефтепродуктопроводах"
(утв. Минтопэнерго России 23.01.1997)
Президент Акционерной
компании трубопроводного
транспорта нефтепродуктов
"ТРАНСНЕФТЕПРОДУКТ"
И.Т.ИШМУХАМЕТОВ
20 января 1996 года
Заместитель Министра
топлива и энергетики
Российской Федерации
Е.С.МОРОЗОВ
23 января 1997 года
Согласовано
Заместитель Председателя
Комитета Российской Федерации
по стандартизации, метрологии
и сертификации
Л.К.ИСАЕВ
26 декабря 1996 года
Дата введения -
1 февраля 1997 года
ИНСТРУКЦИЯ
ПО УЧЕТУ НЕФТЕПРОДУКТОВ НА МАГИСТРАЛЬНЫХ
НЕФТЕПРОДУКТОПРОВОДАХ
РД 153-39-011-97
Взамен "Инструкции по учету нефтепродуктов на магистральных нефтепродуктопроводах", утв. 25.12.87 Заместителем Председателя Госкомнефтепродукта СССР.
Настоящая Инструкция устанавливает порядок учета нефтепродуктов, проведения учетно-расчетных операций и оформления товарных балансов при перекачке нефтепродуктов по магистральным нефтепродуктопроводам (МНПП) и является обязательной для всех акционерных обществ АК "Транснефтепродукт", а также потребителей и поставщиков, пользующихся услугами АО магистральных нефтепродуктопроводов АК "Транснефтепродукт", независимо от принадлежности субъектов РФ и форм собственности, на всей территории Российской Федерации, а также при транспортировке в страны СНГ, Латвию, Венгрию и др.
Инструкция разработана на основе опыта эксплуатации организаций магистральных нефтепродуктопроводов, с учетом действующей нормативно-технической документации в области учета, стандартизации и метрологии.
Исполнителями работы являются:
От ХНИЛ "Транснефтегаз" - чл.-кор. Академии наук, д.т.н., профессор Новоселов В.Ф., д.т.н. Фролов Ю.А., инж. Муфтахова В.Н., к.т.н. Муфтахов Е.М.
От ГАНГ им. И.М. Губкина - д.т.н., профессор Лурье М.В.
От АК "Транснефтепродукт" - главный метролог, к.т.н., доцент Федотов Н.М., вед. технолог Кайгородова Л.Т.
1.1. Акционерные общества магистральных нефтепродуктопроводов (далее - АО), входящие в АК "Транснефтепродукт", принимают нефтепродукты от заказчиков для их перемещения из пунктов производства в пункты сдачи и отгрузки в соответствии с условиями договоров на услуги по транспортированию нефтепродуктов.
Заказчик - юридическое лицо, владеющее нефтепродуктами на правах собственности (грузовладелец), вступающее в договорные отношения с АК "Транснефтепродукт" и/или ее АО на прием, транспортирование и сдачу нефтепродуктов по нефтепродуктопроводам на пункты назначения или отгрузку их с наливных пунктов.
Грузоотправитель - юридическое или физическое лицо, действующее по договору (по доверенности) с заказчиком и от его лица выполняющее операции по приему (отпуску, отгрузке) нефтепродуктов и оформлению транспортных документов.
Исполнитель - АК "Транснефтепродукт" или ее АО, выполняющие все условия заключенного с заказчиком договора на транспортирование нефтепродуктов по территории России и за ее пределы.
Получатель - лицо, получающее нефтепродукт в пункте назначения.
1.2. Прием и сдача нефтепродуктов по количеству и качеству осуществляется на приемо-сдаточных пунктах (ПСП), на нефтеперерабатывающих заводах (НПЗ), головных, конечных и других перекачивающих станциях (ПС), наливных пунктах (НП) и раздаточных блоках магистральных нефтепродуктопродов (МНПП), нефтебазах, АЗС, складах горюче-смазочных материалов (ГСМ) и других организаций (предприятий) по обеспечению нефтепродуктами (ПОН).
Приемка нефтепродуктов по количеству и качеству должна производиться с соблюдением требований, предусмотренных Инструкциями:
- по количеству - о порядке приемки продукции производственно-технического назначения и товаров народного потребления по количеству. Утверждена Постановлением Госарбитража СССР от 15.06.65 N П-6 (с последующими дополнениями и изменениями);
- по качеству - о порядке приемки продукции производственно-технического назначения и товаров народного потребления по качеству. Утверждена Постановлением Госарбитража СССР от 25.04.66 N П-7 (с последующими дополнениями и изменениями).
1.3. При проведении учетно-расчетных операций в системе трубопроводного транспорта следует различать следующие нефтепродукты:
- нефтепродукт заказчика, который принимается от него или для него для оказания услуг по транспортированию;
- нефтепродукт - собственность АО, технологически необходимый для поддержания оптимальных режимов перекачки (объем трубопроводов и мертвых остатков в резервуарах);
- нефтепродукт, приобретаемый АО для реализации и собственных нужд трубопроводного транспорта.
1.4. При учете нефтепродуктов следует различать оперативный учет, который обеспечивает нормальный режим эксплуатации системы магистральных трубопроводов, и коммерческий учет, необходимый для получения объективной документации - коммерческой, бухгалтерской и учетной, используемой при учетно-расчетных операциях.
1.5. При проведении учетно-расчетных операций массу нефтепродуктов определяют методами, регламентированными
ГОСТ 26976-86.
1.6. Средства измерений и методики выполнения измерений, применяемые при коммерческом учете нефтепродуктов, подлежат государственному метрологическому контролю и надзору.
1.7. Учет нефтепродуктов осуществляется в весовых единицах - тоннах. При определении объема и массы нефтепродуктов результаты расчетов округляют и записывают: объема - до 0,001 м3 (1 л), массы - до 0,001 т (1 кг).
1.8. Учетное время в системе АК "Транснефтепродукт" - 6.00 час. московского времени.
2. Прием, транспортирование и сдача нефтепродуктов
2.1.1. Прием нефтепродуктов в пункте предъявления к транспортированию и сдача в пункте назначения производятся по измерениям в резервуарах, транспортных средствах или по коммерческим узлам учета представителями заказчика или исполнителя с составлением акта приема-сдачи. Запрещается производить одновременно прием и сдачу нефтепродукта из одного и того же резервуара.
Прием и сдача нефтепродуктов по резервуарам, имеющим просроченные градуировочные таблицы, запрещается.
2.1.2. Стационарные пробоотборники, используемые для отбора проб из резервуаров и трубопроводов, должны соответствовать требованиям
ГОСТ 2517-85.
2.1.3. Технологическая обвязка и запорная арматура резервуаров и узлов учета должны быть технически исправны и не допускать перетока и утечки нефтепродуктов.
2.1.4. Резервуары и транспортные средства должны подвергаться зачистке в соответствии с действующими правилами по их эксплуатации и с
ГОСТ 1510-84.
2.1.5. Прием и сдача нефтепродуктов с использованием резервуаров проводится после не менее 2-часового отстоя и удаления подтоварной воды.
2.1.6. Прием и сдача нефтепродуктов осуществляется уполномоченными представителями заказчика и исполнителя при наличии доверенности на совершение указанных операций
(Приложение 13).
2.1.7. При приеме и сдаче во всех случаях качество нефтепродуктов должно соответствовать требованиям нормативно-технических документов (НТД) и подтверждаться паспортом качества с информацией о сертификате соответствия.
2.1.8. По требованию заказчика исполнитель предоставляет результаты анализов остатков нефтепродуктов в резервуарах.
При сдаче нефтепродуктов получателям исполнитель (или получатель совместно с исполнителем) производят контроль их качества по номенклатуре показателей, предусмотренных Инструкцией и договорами на совершение услуг по транспортированию нефтепродуктов.
Контроль качества нефтепродуктов проводят в соответствии с РД 112-РСФСР-040-91 "Положение об организации контроля и обеспечения сохранности качества нефтепродуктов в системе Российского Государственного концерна по обеспечению нефтепродуктами "Роснефтепродукт", утв. 17 октября 1991 г. - М.
2.1.9. Базовые высоты (высотные трафареты) резервуаров приемо-сдаточных пунктов МНПП, а также нефтебаз и АЗС измеряют один раз в год в летнее время, а также после их ремонта и зачистки с составлением соответствующих актов.
Акты утверждаются главным инженером или руководителем организации, эксплуатирующей резервуары, и прилагаются к паспортам и градуировочным таблицам резервуаров.
2.1.10. Заказчик (грузоотправитель) совместно с исполнителем проверяют закрытие и герметичность расходных задвижек резервуаров и всех других задвижек, технологически связанных с приемной линией, пломбирует их и отражает это в специальном журнале регистрации пломб.
После окончания сдачи нефтепродуктов и оформления акта приема-сдачи пломбы снимаются.
2.1.11. Началом транспортировки считается дата сдачи нефтепродуктов заказчиком (грузоотправителем) в резервуары исполнителя или НПЗ с составлением акта приема-сдачи.
2.1.12. Учитывая технологию последовательной перекачки, цикличность работы трубопровода, производится накопление односортных нефтепродуктов нескольких заказчиков до минимальной партии. График поставки может быть откорректирован по согласованию сторон, но не позднее чем за пять дней до планируемого месяца.
2.1.13. Для обеспечения нормального режима эксплуатации систем магистральных нефтепродуктопроводов проводят оперативный учет.
Оперативный учет нефтепродуктов и их остатков осуществляют в АО - товарно-транспортные отделы (ТТО), в структурных подразделениях АО - товарно-транспортные службы (ТТС), на линейно-производственных диспетчерских станциях (ЛПДС), ПС и НС - операторы. Указанные сведения записывают в суточные диспетчерские и операторные листы.
2.1.14. Сведения за сутки о движении нефтепродуктов (о приеме, сдаче и их наличии) формируются и передаются в вышестоящую организацию по состоянию на 6 часов московского времени.
2.1.15. По каждому нефтепродуктопроводу ТТО (ТТС) АО по оперативным данным откачки, поступления на конечные пункты, сброса на ЛПДС и ПС, попутные нефтебазы и АЭС через каждые два часа ведут учет движения нефтепродуктов и составляют оперативный баланс в единицах массы (кг, т) за каждые два часа и за сутки в целом.
При этом необходимо учитывать допустимое расхождение баланса, обусловленное изменениями объема и плотности нефтепродуктов из-за разности температур закачанного нефтепродукта и поступившего на промежуточные и конечные приемо-сдаточные пункты.
Методика составления оперативного баланса по массе нефтепродукта приводится в
приложении 1.
При возникновении дебаланса проводят контроль режимов перекачки по трубопроводу с проведением измерений не реже одного раза в час с обязательной сверкой часов. Кроме того, проводят анализ работы технических средств, используемых для измерений и достоверности полученной измерительной информации, используемой при сведении оперативных балансов.
2.1.16. Заказчик или по его поручению получатель или исполнитель имеют право с участием представителей заинтересованных сторон проводить проверки состояния учета нефтепродуктов, сдаваемых на ПСП, АЗС, ГСМ и другие ПОН.
Результаты проверок и принятые меры при обнаружении излишков и недостач оформляются письменно и доводятся до руководства АО, АК "Транснефтепродукт" и ПОН.
2.1.17. Отбор проб должен проводиться в соответствии с
ГОСТ 2517-85. При отборе проб во всех случаях должен быть обеспечен сбор, сохранение и реализация сливаемого нефтепродукта, не входящего в пробу, и пробы.
2.2. Учет нефтепродуктов при приеме и сдаче
на наливных пунктах
2.2.1. Условия отгрузки нефтепродуктов и услуги по наливу в транспортные средства устанавливаются отдельным договором между заказчиком либо получателем по грузовой таможенной декларации (ГТД) и исполнителем (соисполнителем).
2.2.2. При сдаче нефтепродуктов на наливных пунктах в железнодорожные, автомобильные цистерны и танки речных и морских судов представители сторон совместно или только исполнитель по доверенности согласно договору определяют массу нефтепродукта в каждой цистерне (судне). Масса налитого нефтепродукта в железнодорожные цистерны сверяется с его массой, измеренной в резервуаре исполнителя при каждом наливе, о чем делается отметка в журнале оператора исполнителя. Пломбирование цистерн производит грузоотправитель после приема нефтепродукта.
2.2.3. Подготовку железнодорожных и автомобильных цистерн и судов под налив производят в соответствии с
ГОСТ 1510-84.
2.2.4. Налив нефтепродуктов в железнодорожные цистерны в соответствии с
ГОСТ 1510-84 производится с учетом изменения объема из-за повышения температуры нефтепродуктов в пути следования и в пункте назначения.
2.2.5. При отгрузке нефтепродуктов за пределы Российской Федерации грузоотправитель оформляет необходимые документы о параметрах подвижного состава в соответствии с
Приказом N 426 от 19 августа 1994 г. ГТК РФ.
Пригодность железнодорожных цистерн к перевозке нефтепродуктов в коммерческом и техническом отношении определяет грузоотправитель, который несет ответственность за порчу груза в результате налива в несоответствующую или неочищенную цистерну.
Подаваемые под налив железнодорожные цистерны должны сопровождаться документом, в котором должно быть указано наименование нефтепродукта, под налив которого цистерна подготовлена.
2.2.6. После налива нефтепродуктов в железнодорожные цистерны грузоотправитель обязан проверить правильность закрытия крышки люка, наличие прокладки; о замеченных недостатках сообщить представителю железной дороги для устранения их в установленный срок.
2.2.7. Железнодорожные цистерны, танки речных и морских судов с нефтепродуктами должны быть опломбированы пломбой грузоотправителя. Грузоотправитель несет ответственность за правильность определения количества и качества нефтепродуктов в цистернах и судах при наливе.
2.2.8. На нефтепродукты, отгружаемые железнодорожными цистернами, грузоотправитель оформляет железнодорожную накладную.
К железнодорожной накладной грузоотправитель прикладывает паспорт качества с информацией о сертификате соответствия на отгружаемый нефтепродукт.
При отгрузках нефтепродуктов группами цистерн в адреса разных получателей паспорт качества должен быть приложен в количестве не менее 5 экз. в каждый адрес, который используется в случае отцепки цистерн в процессе их движения по технической неисправности или другим причинам.
При отгрузках маршрутами топлива для реактивных двигателей паспорта качества должны быть приложены к каждой цистерне.
При отгрузке нефтепродуктов маршрутами или группами цистерн при их переформировании в процессе движения на распределительных пунктах, паспорта качества с информацией на сертификаты соответствия должны быть приложены к каждой цистерне.
2.2.9. Из железнодорожных и автомобильных цистерн в пунктах налива и слива отбирают пробы по
ГОСТ 2517-85.
2.2.10. Станция отправления выдает грузоотправителю квитанцию на принятый к перевозке нефтепродукт. Эта квитанция является документальным подтверждением исполнения договора между заказчиком и исполнителем и основанием для финансовых расчетов с грузоотправителем.
2.2.11. Кроме железнодорожной накладной, которая следует с нефтепродуктом в пункт назначения, грузоотправитель на каждый наливаемый маршрут в адреса получателей составляет отгрузочную ведомость по форме
Приложения 2, которую вместе с прилагаемыми к ней квитанциями передают в бухгалтерию исполнителя. Ведомости являются основанием для списания соответствующего собственного нефтепродукта со счета "Ресурсы...", проведения взаиморасчетов.
2.3. Учет нефтепродуктов при приеме и сдаче по отводам
магистральных нефтепродуктопроводов
2.3.1. Учет нефтепродуктов при приеме и сдаче по отводам магистральных нефтепродуктопроводов должен производиться в соответствии с
РД 153-39.4-001-96 "Правила сдачи нефтепродуктов на нефтебазы, АЗС и склады ГСМ по отводам магистральных нефтепродуктопроводов" (приложение 3 <*>).
--------------------------------
<*> Не приводится.
В каждом конкретном случае разрабатывается рабочая инструкция и утверждается совместно организациями АО и предприятиями по обеспечению нефтепродуктами (ПОН).
2.3.2. Операция приема-сдачи нефтепродуктов проводится путем закачки их из магистрального нефтепродуктопровода по отводу в резервуары с последующим измерением и сдачей этих нефтепродуктов.
2.3.3. Отвод или узел подключения должен быть опломбирован, обеспечивать возможность проверки герметичности, оборудован шиберной задвижкой или шаровым краном.
Конечный узел задвижек отвода на территории ПОН (АЗС, склад ГСМ и др.), вне зависимости от принадлежности отвода заказчику или исполнителю, должен быть огражден и запираться на замок.
Исполнитель совместно с получателем пломбируют концевые задвижки и сдают охране ПОН с записью в журнале регистрации по формам
Приложений 4,
5.
2.3.4. Заказчик обеспечивает исполнителя технической документацией по ПОН, АЗС, складу ГСМ (технологической схемой, технологической картой эксплуатации резервуаров, градуировочными таблицами резервуаров и трубопроводов).
2.3.5. Контроль за наполнением резервуара и изменением уровня нефтепродукта в нем не реже чем через каждые 2 часа (в четные часы) осуществляет оператор заказчика (получателя) в присутствии оператора исполнителя (либо лица, уполномоченные для проведения этих операций) по показаниям объемного (массового) счетчика или путем измерения уровня с помощью стационарного уровнемера.
Данные о поступлении нефтепродукта за каждые два часа оператор получателя сообщает оператору перекачивающей станции, а последний - диспетчеру структурного подразделения АО, который затем сообщает их диспетчеру АО.
2.3.6. Объем и массу нефтепродукта, принятого по отводу магистрального нефтепродуктопровода, представители исполнителя и получателя определяют совместными измерениями уровня, плотности, температуры нефтепродукта, а также подтоварной воды в резервуаре до и после заполнения; по градуировочной таблице определяют объем нефтепродукта в технологической части от концевой задвижки на отводе трубопровода до резервуара на нефтебазе. Приемо-сдаточный акт оформляется по форме
Приложения 8.
Нефтепродукты, находящиеся в отводах и числящиеся на балансе нефтебазы, являются ее собственностью и учитываются в остатках этой нефтебазы.
2.3.7. При отпуске нефтепродуктов в автомобильных цистернах учет нефтепродуктов ведут в соответствии с
Приложением 38.
3. Определение массы нефтепродуктов по узлу учета
3.1. При приеме-сдаче нефтепродуктов по коммерческому узлу учета или коммерческому расходомеру их массу определяют в соответствии с инструкцией, согласованной с Госстандартом РФ.
4. Определение массы нефтепродуктов в резервуарах
и транспортных средствах
4.1.1. Массу нефтепродуктов в резервуарах определяют объемно-массовым статическим или гидростатическим методами в соответствии с
ГОСТ 26976-86.
Значение массы нефтепродуктов, полученное при измерении, принимают за действительное.
4.1.2. При определении массы нефтепродуктов в автомобильных и железнодорожных цистернах наряду с косвенным объемно-массовым статическим методом используют и прямые методы (взвешивание) и динамические с помощью счетчиков.
При применении прямых методов измеряют массу продуктов с помощью весов, весовых дозаторов и устройств, массовых счетчиков или массовых расходомеров с интеграторами.
4.1.3. Масса нефтепродукта в морских и речных судах определяется в соответствии с
Инструкцией N 06/21-8-446 "О порядке поступления, хранения, отпуска и учета нефти и нефтепродуктов на нефтебазах, наливных пунктах и автозаправочных станциях системы Госкомнефтепродукта СССР", утвержденной 15 августа 1985 г., или в соответствии с Общими правилами перевозок грузов, пассажиров и багажа по морским путям сообщения на судах Министерства морского флота 4-М.
4.2. Определение массы нефтепродуктов объемно-массовым
статическим методом в резервуарах, железнодорожных
и автомобильных цистернах
4.2.1. Определение вместимости и градуировка резервуаров,
железнодорожных и автомобильных цистерн
4.2.1.1. Определение вместимости и градуировку стальных вертикальных цилиндрических резервуаров проводят в соответствии с
МИ 1823-87.
4.2.1.2. Определение вместимости и градуировку железобетонных цилиндрических резервуаров проводят по
РД 50-156-79.
4.2.1.3. Определение вместимости и градуировку горизонтальных цилиндрических резервуаров объемом от 3 до 200 м
3 проводят по
ГОСТ 8.346-79.
4.2.1.4. Железнодорожные и автомобильные цистерны, применяемые в качестве мер вместимости при учетно-расчетных операциях, должны быть отградуированы в соответствии с требованиями Инструкции 36-55.
4.2.1.5. Градуировочные таблицы пересматривают в установленные сроки в соответствии с действующими стандартами. После каждого ремонта, связанного с изменением вместимости, резервуар должен быть переградуирован, а после изменения оснащенности его внутренним оборудованием градуировочная таблица должна быть пересмотрена и утверждена в установленном порядке.
Ежегодно проводить коррекцию днищ резервуаров с составлением соответствующих актов по каждому резервуару.
4.2.1.6. Работы по градуировке резервуаров выполняют специализированные метрологические организации (группы) или лица, прошедшие обучение по выполнению измерений вместимости резервуаров в порядке, установленном Госстандартом РФ, получившие право на проведение указанных работ и зарегистрированные в установленном порядке.
Градуировочные таблицы на резервуары, предназначенные для оперативного контроля, утверждает руководитель (главный инженер) АО; на резервуары, предназначенные для учетно-расчетных операций, утверждает руководитель территориального органа Госстандарта РФ.
4.2.2. Определение уровня нефтепродуктов и подтоварной воды
в резервуарах и транспортных средствах
4.2.2.1. Уровень нефтепродукта в резервуарах измеряют стационарными уровнемерами, обеспечивающими точность определения массы в соответствии с
ГОСТ 26976-86, а также вручную измерительной рулеткой с грузом (лотом) по ГОСТ 7502-89. Уровень нефтепродукта в железнодорожных цистернах измеряют вручную метроштоком по ТУ 112-РСФСР-029-90.
4.2.2.2. Объем нефтепродуктов в автомобильных цистернах определяется по указателю уровня налива, установленному в горловине котла автоцистерны на уровне, соответствующем ее действительной вместимости, или по заданной дозе согласно показаниям объемного счетчика.
Действительную вместимость автомобильных цистерн по указателю уровня налива устанавливает завод-изготовитель. Вместимость автомобильных цистерн поверяется территориальными органами Госстандарта согласно ГОСТ 27352-87 и Инструкции 36-55. Периодичность поверки вместимости автомобильных цистерн - не реже 1 раза в 2 года.
При использовании для измерений объема (дозы) нефтепродукта объемного счетчика погрешность измерений не должна превышать +/- 0,5% в рабочих условиях.
4.2.2.3. Измерение уровня нефтепродукта рулеткой с грузом (лотом) осуществляют в следующей последовательности.
4.2.2.3.1. Проверяют базовую высоту (высотный трафарет) как расстояние по вертикали между днищем резервуара в точке касания лота рулетки и риской планки замерного люка. Полученный результат сравнивают с известной (паспортной) величиной базовой высоты, нанесенной на резервуаре.
Если базовая (паспортная) высота (НБ) отличается от полученного результата более чем на 0,1% НБ, необходимо выявить причину изменения базовой высоты и устранить ее.
4.2.2.3.2. Измерительную ленту рулетки с лотом следует опускать медленно до касания лотом днища, не допуская отклонения лота от вертикального положения и ударов о днище резервуара, не задевая за внутреннее оборудование и сохраняя спокойное состояние поверхности нефтепродукта, не допуская волн. Лента рулетки должна находиться все время в натянутом состоянии, а место касания лота на днище резервуара должно быть горизонтальным и жестким.
4.2.2.3.3. Поднимают ленту рулетки вверх строго вертикально, не допуская смещения в сторону, чтобы избежать искажения линии смачивания на измерительной ленте.
4.2.2.3.4. Отсчет по ленте рулетки производят до 1 мм сразу после появления смоченной части ленты рулетки над измерительным люком.
4.2.2.3.5. Ленту рулетки до и после измерений необходимо протереть мягкой тряпкой насухо.
4.2.2.4. Измерение уровня нефтепродукта в каждом резервуаре или железнодорожной цистерне производят дважды. Если результаты измерений отличаются на 1 мм, то в качестве результата измерения уровня принимается их среднее значение, если полученное расхождение измерений более 1 мм, то измерения повторяют еще дважды и берут среднее по трем наиболее близким измерениям.
4.2.2.5. Измерение уровня нефтепродукта метроштоком осуществляют аналогично требованиям
пп. 4.2.2.3 и
4.2.2.4.
4.2.2.6. Определение уровня подтоварной воды в резервуарах и транспортных емкостях.
Определение уровня подтоварной воды в резервуарах и транспортных емкостях производят при помощи водочувствительной ленты или пасты.
Для определения уровня подтоварной воды водочувствительную ленту в натянутом виде прикрепляют к поверхности лота или к нижнему концу метроштока с двух противоположных сторон.
Водочувствительную пасту наносят тонким слоем (0,2 - 0,3 мм) на поверхность лота или нижний конец метроштока полосками с двух противоположных сторон.
Рулетка с лотом или метрошток с водочувствительной пастой или с прикрепленной водочувствительной лентой при определении уровня подтоварной воды должны выдерживаться в резервуаре или емкости неподвижно в течение 2 - 3 минут, когда водочувствительный слой полностью растворится и грань между слоями воды и нефтепродукта будет резко выделена.
Определение уровня подтоварной воды в резервуарах и транспортных средствах следует производить согласно
пп. 4.2.2.4 и
4.2.2.5.
Измерение уровня подтоварной воды должно быть повторено, если на ленте или пасте уровень обозначается нечетко, косой линией или на неодинаковой высоте с обеих сторон, что указывает на наклонное положение лота при выполнении измерений.
Размытая грань является следствием отсутствия резкой границы раздела между водой и нефтепродуктом и свидетельствует о наличии водоэмульсионного слоя. В этом случае необходимо измерение повторить после отстоя и расслоения эмульсии.
Определив уровень подтоварной воды с помощью водочувствительной ленты или пасты, по градуировочной таблице резервуара или транспортной емкости находят объем подтоварной воды.
Для определения фактического объема нефтепродукта нужно из объема, отвечающего уровню наполнения емкости, вычесть объем подтоварной воды.
4.2.2.7. Уровни нефтепродукта в железнодорожных цистернах при отсутствии счетчиков или узлов учета измеряют метроштоком через горловину котла цистерны в 2-х противоположных точках горловины по оси цистерны, следя за тем, чтобы метрошток опускался вертикально на нижнюю образующую котла цистерны и не попадал в углубление для нижних сливных приборов.
Расхождения в измерениях не должны превышать 1 мм, в противном случае измерения необходимо повторить.
Если объем отпущенных нефтепродуктов определяют по коммерческим счетчикам, то их уровень в цистернах не измеряют.
При приеме нефтепродуктов из морских и речных танкеров и нефтеналивных барж требовать отделения подтоварной воды на судне.
4.2.3. Определение плотности нефтепродуктов
4.2.3.1. Плотность нефтепродуктов определяют по
ГОСТ 3900-85.
4.2.3.2. При определении плотности нефтепродуктов используют ареометры типа АН или АНТ 1 по
ГОСТ 18481-81Е с ценой деления шкалы 0,5 кг/м
3, при этом отсчет по шкале ареометра проводят с точностью до одного деления шкалы.
4.2.3.3. Для определения плотности нефтепродуктов в резервуарах и транспортных емкостях отбирают пробы по
ГОСТ 2517-85.
Отбор проб производят одновременно с измерением уровня нефтепродуктов.
Для отбора проб в стационарных резервуарах должны применять сниженные пробоотборники по ГОСТ 13196-85, а в случае их отсутствия - ручные пробоотборники по
ГОСТ 2517-85 для отбора точечных проб или пробоотборники других типов, удовлетворяющие требованиям стандарта.
4.2.3.4. Для отбора точечных проб герметичный пробоотборник опускают на заданный уровень и выдерживают в течение 5 минут, отбор точечных проб и их количество производят в соотношении, принятом для составления объединенной пробы по
ГОСТ 2517-85.
4.2.3.5. Плотность нефтепродуктов в трубопроводе измеряют автоматическими плотномерами или по
ГОСТ 3900-85 по пробам, отобранным в соответствии с
ГОСТ 2517-85.
4.2.3.6. Для определения плотности нефтепродуктов в автоцистернах при их наливе пробы следует отбирать не реже чем через каждые два часа.
4.2.3.7. Плотность нефтепродукта по отобранным пробам определяют работники ТТО (ТТС) в лаборатории или на месте отбора проб по
ГОСТ 3900-85.
4.2.3.8. Для расчета массы нефтепродукта значение плотности определяют по
ГОСТ 3900-85 при средней температуре нефтепродукта в резервуаре или транспортной емкости.
4.2.4. Измерение температуры нефтепродуктов в резервуаре
или транспортной емкости
4.2.4.1. Среднюю температуру нефтепродукта в емкостях определяют по показаниям стационарных датчиков температуры одновременно с измерением уровня или путем измерения ее при отборе проб.
4.2.4.2. Измерение средней температуры нефтепродукта с помощью стационарных датчиков температуры проводят в соответствии с инструкцией по эксплуатации этих устройств.
4.2.4.3. При отборе объединенной пробы стационарным пробоотборником в один прием по
ГОСТ 2517-85 определяют среднюю температуру нефтепродукта в емкостях путем измерения температуры этой пробы. Для измерения температуры применяют термометры по
ГОСТ 28498-90 и
ГОСТ 400-80Е.
4.2.4.4. При отборе точечных проб температуру нефтепродукта в пробе определяют в течение 1 - 3 минут после отбора, при этом переносной пробоотборник выдерживают на уровне отбираемой пробы не менее 5 минут. Термометр погружают в нефтепродукт на глубину, указанную в техническом паспорте на данный термометр, и выдерживают в пробе до принятия столбиком ртути постоянного положения.
Отсчет температуры по шкале термометра берут до 0,5 °C, не вынимая его из нефтепродукта.
Среднюю температуру нефтепродукта рассчитывают по температуре точечных проб, используя соотношения для составления объединенной пробы из точечных по
ГОСТ 2517-85.
4.2.5. Определение массы нефтепродуктов в емкости
4.2.5.1. Массу нефтепродуктов в емкостях (вертикальных и горизонтальных резервуарах, транспортных емкостях и т.п.) определяют объемно-массовым статическим методом по
ГОСТ 26976-86 как произведение объема нефтепродукта в градуированных емкостях на плотность, измеренную ареометром при температуре измерения объема в соответствии с
ГОСТ 3900-85.
4.2.5.2. Массу сданного (принятого) нефтепродукта (М) в градуированной емкости при приемо-сдаточных операциях определяют по формуле:
M = Mi - Mi+1

(1)
где:
Mi, Mi+1 - массы нефтепродукта, соответственно, в начале и конце учетной операции, кг;
Vi, Vi+1 - объемы нефтепродукта, соответственно, в начале и в конце учетной операции, определяемые по градуировочной таблице резервуара, м3;

- средние плотности нефтепродукта, соответственно, в начале и в конце учетной операции, кг/м
3;

- коэффициент линейного расширения материала стенок резервуара, 1/°C;

- коэффициент объемного расширения нефтепродукта, 1/°C;

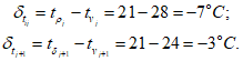
- разность температур стенок резервуара при измерении объема, соответственно, в начале и конце учетной операции и при градуировке резервуара, °C.
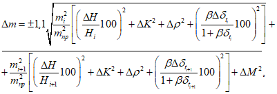
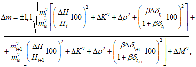
4.2.5.2. Погрешность определения массы нефтепродукта объемно-массовым методом определяют по формуле:

(2)
где:
H - уровень продукта в емкости, м;

- абсолютная погрешность измерения уровня наполнения продуктом, м;

- относительная погрешность градуировки резервуара, %;

- разность температур продукта при измерении плотности

и объема (t
v), °C;

- относительная погрешность центрального блока обработки информации данных, %;

- относительная погрешность измерения плотности, %;

- абсолютная погрешность измерения разности температур продукта при измерении плотности

и (t
v), °C.
4.2.6. Средства измерений, применяемые для измерений массы, объема, уровня, плотности, температуры, давления и других параметров нефтепродуктов, при проведении учетно-расчетных операций должны иметь сертификаты Госстандарта РФ об утверждении типа средств измерений и быть допущены в обращение в Российской Федерации в соответствии с
ПР 50.2.009-94.
4.2.7. Средства измерений, применяемые при учете нефтепродуктов, подлежат поверке органами Государственной метрологической службы в соответствии с
ПР 50.2.006-94.
4.2.8. Средства измерений, применяемые при оперативном учете нефтепродуктов, могут подвергаться калибровке в соответствии с ПР 50.2.017-95.
5. Оформление учетных документов
при приемо-сдаточных операциях
5.1. Порядок приема (сдачи) нефтепродуктов по нефтепродуктопроводам и оформление приемо-сдаточных актов обуславливается договорами (контрактами), заключенными между заказчиками и исполнителями (соисполнителями).
5.2. При сдаче на трубопроводный транспорт нефтепродукты сдаются владельцем или иным юридическим лицом по доверенности от владельца. Масса принятого на трубопроводный транспорт нефтепродукта измеряется в резервуарах исполнителя (головных станций МНПП) или НПЗ представителями заказчика и исполнителя и передается исполнителю по акту
(Приложение 6). На основании указанных актов возможно оформление единого акта на всю партию продукта между заказчиком и исполнителем по договору.
При приеме-сдаче нефтепродуктов на экспорт между АО (структурными подразделениями АО) магистральных нефтепродуктопроводов, входящих в систему АК "Транснефтепродукт", составляется акт по форме
Приложения 7.
5.3. Нефтепродукты, поступившие по нефтепродуктопроводам, принимаются в пунктах назначения по коммерческим узлам учета (коммерческим счетчикам) или по измерениям в резервуарах.
Результаты приема (сдачи) нефтепродуктов по нефтепродуктопроводам оформляются актом формы
Приложения 8.
5.4. При приеме-сдаче нефтепродуктов в железнодорожных и автотранспортных цистернах или судах оформляется отгрузочная ведомость и другие документы установленной формы в соответствии с правилами, действующими в системе соответствующего вида транспорта.
5.5. По результатам анализа пробы нефтепродукта исполнитель заполняет паспорт качества с информацией о сертификате соответствия.
По согласованию сторон допускается не проставлять в паспорте качества значения показателей качества нефтепродуктов, не определяемых исполнителем.
5.6. Акты приема-сдачи и отгрузочные ведомости нумеруются по каждому приемо-сдаточному пункту по порядку с начала каждого календарного года и регистрируются в журнале по форме
Приложения 11, а отобранные пробы - в журнале по форме
Приложения 12.
5.7. Акты приема-сдачи и отгрузочные ведомости подписывают представители исполнителя и заказчика (получателя) с проставлением печатей или штампов.
5.8. Должностные лица, ответственные за прием нефтепродуктов от заказчика и сдачу их получателям, назначаются, а порядок составления и подписания актов приема-сдачи и отгрузочных ведомостей устанавливается приказом по организации.
Образцы подписей представителей заказчика (получателя) хранятся в бухгалтерии исполнителя, а представителей исполнителя - в бухгалтерии заказчика (получателя) вместе с приказом об их назначении.
5.9. Акты приема-сдачи и отгрузочные ведомости составляют в пяти экземплярах (а при необходимости и большем количестве) с приложением паспорта качества с информацией о сертификате соответствия.
В случае поставки нефтепродуктов на внутренний рынок один экземпляр документов остается на приемо-сдаточном пункте, один передается заказчику (получателю), остальные высылаются в вышестоящую организацию.
В случае экспортной поставки один экземпляр документов остается на приемо-сдаточном пункте, один передается заказчику (получателю), один высылается в вышестоящую организацию, два экземпляра направляются в АК "Транснефтепродукт" - один экземпляр остается в АК "Транснефтепродукт", а второй передается заказчику и служит основанием для производства финансовых расчетов в соответствии с контрактом или договорными отношениями.
Акты приема-сдачи на экспортный груз должны содержать сведения, указанные в маршрутных телеграммах на прием (сдачу) нефтепродуктов, и высылаться в АК "Транснефтепродукт".
В случае отгрузки нефтепродуктов на экспорт АО (структурные подразделения АО) на основании реестра железнодорожных накладных
(Приложение 10) составляют сводный акт по итогам за месяц
(Приложение 9), два экземпляра которого направляются в АК "Транснефтепродукт".
5.10. Расчеты за оказанные услуги по транспорту, сдаче и отгрузке нефтепродуктов производятся заказчиком и исполнителем в порядке, установленном договорными отношениями между ними и соответствующими нормативными документами.
5.11. Журналы регистрации актов приема-сдачи нефтепродуктов и регистрации проб должны быть прошнурованы, пронумерованы и заверены печатью. Количество листов в журнале заверяется подписью руководства организации.
5.12. При отгрузке нефтепродуктов с НП МНПП или сдаче на ПСП получателям паспорт качества с информацией о сертификате соответствия прилагается к акту приема-сдачи нефтепродукта и заполняется по показателям, определяемым лабораторией перекачивающей станции, наливного пункта или приемо-сдаточного пункта, по количеству показателей, предусмотренных Положением РД 112-РСФСР-040-91 или оговоренных в договорах (контрактах).
5.13. Регистрация выданных паспортов качества производится лабораторией в журнале, форма которого приведена в
Приложении 14. Порядок оформления журналов учета выдачи паспортов качества аналогичен
п. 5.11 настоящей Инструкции.
6. Определение массы нефтепродуктов в трубопроводе
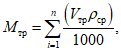
6.1. Массу нефтепродукта Mтр, находящегося в трубопроводе, определяют как произведение вместимости трубопровода (геометрический объем внутренней полости) на значение средней плотности нефтепродукта с учетом поправочных коэффициентов на давление и температуру.
Вместимость трубопровода определяют по градуировочной характеристике, которую составляют в соответствии с РД 112-РСФСР-036-91 "Определение вместимости и градуировка магистральных нефтепродуктопроводов".
Формы составления градуировочной характеристики трубопровода приведены в
Приложениях 15,
16.
Расчет производится для отдельных участков нефтепродуктопровода, а полученные результаты суммируются и округляются до разряда абсолютной погрешности определения плотности нефтепродукта в тоннах:

(3)
где:
Vтр - вместимость участка трубопровода диаметром D и длиной L, определяемая по градуировочной таблице, м3, с учетом коэффициентов влияния температуры и давления;
n - число участков трубопровода, заполненных нефтепродуктом;

- средняя плотность нефтепродукта, кг/м
3.
6.2. Если на трассе нефтепродуктопровода имеется значительный перепад геодезических отметок, например, если трубопровод проложен в гористой местности, то расчетные участки следует выбирать таким образом, чтобы в промежуточных точках соблюдалось условие:

(4)
где Pнач, Pкон, Pпр - давление в трубопроводе, соответственно, в начале, конце и промежуточных точках рассматриваемого участка.
6.3. С учетом влияния средних для данного участка трубопровода значений температуры и давления вместимость участка нефтепродуктопровода рассчитывается по формуле:
Vтр = Vгр·Kt·Kp, (5)
где: Kt - коэффициент, учитывающий влияние температуры.
Kp - коэффициент i-го участка, учитывающий расширение трубопровода и сжатие нефтепродукта от давления.
Коэффициент Kp определяют по формуле:

(6)
где:
K1 - коэффициент, учитывающий расширение трубопровода от внутреннего давления;
K2 - коэффициент, учитывающий сжатие нефтепродукта от давления;
Pн, Pк - давление в начале и конце участка трубопровода, МПа;
Dв - внутренний диаметр трубы, мм;

- толщина стенки трубы, мм;
E - модуль упругости материала трубы (по
СНиП 2.05.06-85 E = 2,06·10
5 МПа);

- коэффициент сжимаемости перекачиваемого нефтепродукта, 1/МПа.
Значения поправочных коэффициентов K
1 и K
2 в зависимости от диаметра трубопровода, давления и при принятом значении E приведены в
Приложениях 18,
19.
В случаях, когда встречаются диаметры трубопровода или давления, не указанные в таблицах, значения коэффициентов K
1 и K
2 могут быть определены расчетом по приведенной
формуле (6).
6.4. При определении массы нефтепродукта в технологических трубопроводах они должны быть полностью заполнены, контроль за их заполнением ведется с помощью воздушных кранов, установленных на возвышенных участках трубопровода.
Разрешается полностью освобождать отдельные участки нефтепродуктопровода от нефтепродуктов (при проведении ремонтных работ, в межнавигационный период и т.д.).
6.5. При наличии самотечных участков объем нефтепродуктов в них определяют по методике, приведенной в
Приложении 20.
6.6. Средние для данного участка значения плотности, температуры и давления нефтепродукта, находящегося в линейной части магистрального нефтепродуктопровода и в технологических трубопроводах, определяют как среднее арифметическое соответствующих величин, измеренных в начале и конце участка нефтепродуктопровода во время проведения инвентаризации:

(7)
Pср = 0,5(Pнач + Pкон), (8)
tср = 0,5(tнач + tкон), (9)
где:

- плотность нефтепродукта в начале и конце участка при температуре и давлении в месте отбора проб, кг/м
3;
Pнач, Pкон - значение давления в начале и конце участка, МПа;
tнач, tкон - значение температуры в начале и конце участка, °C.
6.7. Если на момент инвентаризации на участке магистрального нефтепродуктопровода окажутся различные марки и виды нефтепродуктов, массу каждого нефтепродукта определяют по массе закачанных в трубопровод партий с учетом сброса на пунктах сдачи, сброса и подкачки на промежуточных станциях и нормативной естественной убыли при транспортировке нефтепродуктов, находящихся в трубопроводе.
7. Инвентаризация нефтепродуктов на объектах
магистральных нефтепродуктопроводов
7.1. Инвентаризацию нефтепродуктов проводят с целью контроля их сохранности путем проверки фактического наличия и сопоставления с данными бухгалтерского учета для каждой марки и вида нефтепродукта в отдельности с детализацией ресурсов по собственным нефтепродуктам АО и сторонних заказчиков, а также для установления недостач или излишков, образовавшихся за межинвентаризационный период.
7.2. Инвентаризация проводится также в следующих случаях:
- при наличии дебаланса на магистральных нефтепродуктопроводах;
- при смене материально ответственных лиц, при этом инвентаризация проводится на день приемки-передачи дел;
- при установлении фактов диверсий, краж, ограблений, хищений или злоупотреблений, а также порчи (умышленной или неумышленной) немедленно по установлении таких фактов;
- после пожаров или стихийных бедствий (наводнений, землетрясений и др.) - немедленно по окончании пожара или стихийного бедствия;
- в других случаях, предусмотренных законодательством Российской Федерации.
7.3. Инвентаризацию нефтепродуктов проводят на 6 часов московского времени первого числа каждого месяца, следующего за отчетным, руководствуясь
Законом РФ "О бухгалтерском учете" N 129-ФЗ, нормативными актами, требованиями "
Положения о бухгалтерском учете и отчетности в Российской Федерации", утв. Министерством финансов Российской Федерации от 26 декабря 1994 г. N 170, и "
Инструкции о порядке поступления, хранения, отпуска и учета нефтепродуктов на нефтебазах и автозаправочных станциях системы Госкомнефтепродукта СССР", Москва, 1985 г., утв. Зам. председателя Госкомнефтепродукта СССР 15 августа 1985 г.
7.4. Для проведения инвентаризации приказом по АО и подразделению АО создаются постоянно действующие и рабочие инвентаризационные комиссии из числа работников организации (акционеров) при обязательном участии бухгалтера, возглавляемые руководителем организации или его заместителем (представителем руководства организации).
Руководитель и главный (старший) бухгалтер организации несут ответственность за правильное и своевременное проведение инвентаризации. Порядок организации инвентаризационных комиссий и их функциональные обязанности приведены в
Приложении 22.
7.5. При проведении инвентаризации на всех объектах магистрального трубопровода необходимо:
- сверить показания часов;
- измерить уровни нефтепродуктов в закачиваемых и откачиваемых резервуарах одновременно на всем трубопроводе.
7.6. Перед началом инвентаризации нефтепродукты из ловушек должны быть откачаны в емкости, имеющие градуировочные таблицы.
7.7. Инвентаризацию проводят, как правило, без прекращения перекачки нефтепродуктов по магистральным трубопроводам, которые должны работать на постоянном режиме.
При проведении инвентаризации во время остановки перекачки нефтепродуктов необходимо закрыть все задвижки на нефтепродуктопроводе, в том числе и на отводах. Самотечные участки нефтепродуктопровода заполняются нефтепродуктом путем перекрытия задвижки на нижнем участке трубопровода.
Технологические трубопроводы должны быть полностью заполнены, контроль за их заполнением ведут с помощью воздушных кранов, установленных на возвышенных участках нефтепродуктопровода.
При инвентаризации разрешается отдельные участки нефтепродуктопровода полностью освобождать от нефтепродуктов (при проведении ремонтных работ, в межнавигационный период и т.п.).
7.8. Линейная часть магистральных трубопроводов, ответвления и отводы, резервуары, технологические трубопроводы и технологическое оборудование должны находиться в исправном состоянии. Линейная часть и резервуары должны иметь градуировочные таблицы и другие нормативно-технические документы (паспорта на резервуары, технологический регламент и др.). На технологические трубопроводы необходимо иметь градуировочные таблицы, утвержденные главным инженером ЛПДС, ПС или наливного пункта. Технологические трубопроводы градуируются в соответствии с РД 112-РСФСР-023-89.
7.9. Массу нефтепродуктов при инвентаризации определяют:
- в резервуарах и других емкостях (железнодорожных цистернах, судах и др.);
- в линейной части магистрального нефтепродуктопровода, ответвлениях и отводах (пример расчета приведен в
Приложении 21);
- в технологических трубопроводах;
- в технологическом оборудовании (насосах и их обвязке, фильтрах, отстойниках, емкостях для утечек, запорной арматуре и пр.).
7.10. Определение массы нефтепродуктов в емкостях производят в соответствии с
разделом 4 настоящей Инструкции.
7.11. К моменту инвентаризации должно быть минимальное количество резервуаров, находящихся в режиме закачки-выкачки.
7.12. Массу нефтепродуктов в резервуаре при инвентаризации определяют первоначально в отключенных резервуарах, затем в установленное время проведения инвентаризации - в работающих.
7.13. Если на момент инвентаризации производят налив из резервуаров в транспортные средства, массу нефтепродукта определяют по резервуару до начала налива в транспортные средства.
Нефтепродукт, подготовленный к отгрузке железнодорожным, водным или другими видами транспорта, но не оформленный отгрузочными документами по состоянию на 6 часов московского времени 1-го числа, учитывают в остатках.
Нефтепродукт, оформленный к этому времени отгрузочными документами, учитывается заказчиком (владельцем) в остатках как нефтепродукт, находящийся в пути, в составе товарных остатков.
Исполнитель о каждой проведенной отгрузке по телеграфу (факсу) извещает заказчика (владельца) о массе отгруженного нефтепродукта с указанием даты отгрузки и номеров отгрузочных документов.
Грузополучатель уведомляет заказчика (владельца) о готовности к приему нефтепродукта. В случае отгрузки с наливных пунктов отделение железной дороги грузополучателя дает подтверждение в отделение железной дороги грузоотправителя.
7.14. При инвентаризации и в других необходимых случаях определяют остаток нефтепродуктов в резервуарах. Остаток нефтепродуктов включает в себя минимально допустимый, технологический и товарный остаток.
7.15. Величины норм минимально допустимого и технологического остатков определяются в соответствии с технологическими картами по эксплуатации резервуаров.
Расчет и утверждение норм минимально допустимых и технологических остатков нефтепродуктов в резервуарных парках МНПП и НС производится 1 раз в год.
7.16. Для определения товарных остатков из величины фактического остатка нефтепродукта в резервуарах следует вычесть величины минимально допустимого и технологического остатков.
Объем товарных остатков определяется по каждому виду (марке) нефтепродуктов.
7.17. При инвентаризации нефтепродуктов в резервуарах, находящихся в режиме хранения, качество нефтепродуктов определяют по пробам, отобранным до момента инвентаризации, но не более чем за трое суток до момента инвентаризации.
7.18. Для определения плотности нефтепродуктов проводят отбор проб по
ГОСТ 2517-85 на момент инвентаризации.
7.19. Среднюю температуру нефтепродукта определяют во время измерения уровня нефтепродукта в резервуаре или в другой емкости.
7.20. Массу нефтепродукта в линейной части трубопровода, отводах и ответвлениях, технологических трубопроводах определяют в соответствии с
разделом 6 настоящей Инструкции.
7.21. Массу нефтепродуктов, находящихся в технологическом оборудовании, определяют исходя из геометрической вместимости конкретного оборудования и плотности нефтепродуктов.
7.22. Фактическое наличие нефтепродукта на 1 число каждого месяца отражается в актах инвентаризации или в инвентаризационных описях, формы которых приведены в
Приложениях 23 -
28. Инвентаризационные описи составляются в трех экземплярах. Один экземпляр описи остается на объекте, а два других экземпляра в день составления передают в АО.
7.23. По результатам инвентаризации каждое АО составляет сводную ведомость по форме
Приложения 29.
7.24. Для выявления результатов инвентаризации нефтепродуктов бухгалтерия совместно с ТТО или ТТС АО составляет сличительные ведомости по форме
Приложения 30 в срок не более 5 дней после снятия натурных остатков.
7.25. Инвентаризационная комиссия рассматривает результаты проведенной инвентаризации и свои замечания, предложения и решения отражает в протоколе инвентаризации, который утверждает руководитель организации не позднее 10 дней после окончания инвентаризации. Для акционированных организаций результаты работы инвентаризационных комиссий могут быть вынесены для обсуждения на общем собрании акционеров.
7.26. На продукт, принадлежащий заказчикам, начисляют потери в пределах норм естественной убыли, что оговаривается в договорах. Потери нефтепродуктов, принадлежащих организациям АК "Транснефтепродукт", в пределах норм естественной убыли списываются распоряжением руководителя предприятия на издержки обращения только после установления факта недостачи.
7.27. Если разница между массой нефтепродуктов, определенной при инвентаризации, и массой нефтепродуктов, определенной по данным бухгалтерского учета (за минусом убыли в пределах установленных норм), находится в пределах погрешности измерения, установленной
ГОСТ 26976-86, то эта разница не учитывается, а за основу принимаются данные бухгалтерского учета. В случае если указанная разница превышает установленные погрешности измерения, то данное превышение взыскивается с материально ответственных лиц (при недостаче) или приходуется (при излишке).
При этом установленные
ГОСТ 26976-86 предельные нормы погрешности могут применяться только по отношению к фактическому остатку нефтепродуктов, измеренному в резервуарах при инвентаризации.
Запрещается списание нефтепродуктов на погрешность средств и методов измерений.
7.28. При сдаче нефтепродуктов по отводам на ПОН и выявлении дебаланса должен быть обеспечен доступ для организации внезапных и внеплановых проверок.
При установлении недостач и потерь, явившихся следствием злоупотребления, соответствующие материалы в течение 5 дней после установления недостач и потерь подлежат передаче в следственные органы, а на сумму выявленных недостач и потерь предъявляется гражданский иск.
7.29. Недостачи нефтепродуктов сверх норм естественной убыли, потери от порчи, диверсий и хищений, когда конкретные виновники не установлены, списываются в установленном порядке в соответствии с действующим порядком налогообложения на результаты финансовой деятельности организации в соответствии с
Законом РФ "О бухгалтерском учете" от 21 ноября 1996 г. N 129-ФЗ.
В документах, предъявляемых для оформления списания недостач нефтепродуктов, должны быть указаны меры, принятые по предотвращению таких недостач и потерь.
8. Определение величины потерь нефтепродуктов и их списание
8.1. При транспортировании и хранении нефтепродуктов возможны следующие виды потерь:
- естественная убыль при хранении и проведении операций приема-отпуска;
- естественная убыль нефтепродуктов из магистральных и технологических трубопроводов при транспортировке, связанная с утечками через уплотнения насосно-силового, технологического оборудования и арматуры и т.п.;
- потери нефтепродуктов, связанные с проведением технического обслуживания и ремонта (ТОР) оборудования и сооружений магистральных нефтепродуктопроводов (зачистка резервуаров, врезка и ремонт технологического оборудования и т.п.);
- разовые потери при отказах, связанных с нарушением герметичности нефтепродуктопровода и оборудования (повреждения и аварии);
- потери, связанные с хищением нефтепродуктов из трубопроводов и резервуаров.
8.2. Общие фактические потери определяют как разность между приходной и расходной частью баланса движения нефтепродуктов
(Приложение 31). Эта разность включает все виды потерь, перечисленных в
п. 8.1.
8.3. Величину потерь нефтепродуктов от естественной убыли определяют в соответствии с нормами естественной убыли нефтепродуктов при приеме, хранении, отпуске и транспортировании, утвержденными
Постановлением Госснаба СССР от 26.03.86 N 40.
8.4. Под нормой естественной убыли понимают допустимую величину безвозвратных потерь нефтепродуктов, происходящих непосредственно при товарно-транспортных операциях.
8.5. К естественной убыли не относят потери нефтепродуктов, вызванные нарушениями требований правил технической эксплуатации МНПП или технологических регламентов.
8.6. Нормы естественной убыли нефтепродуктов установлены для двух периодов года: осенне-зимнего (с 1 октября по 31 марта) и весенне-летнего (с 1 апреля по 30 сентября), а также в зависимости от типа резервуара, его вместимости и оснащенности средствами сокращения потерь (понтон, газовая обвязка и т.п.).
8.7. Нормы естественной убыли начисляют на продукт, принадлежащий заказчикам, в зависимости от вида технологической операции, группы нефтепродукта, климатической зоны, периода года, типа хранилища или вида транспорта, что оговаривается в договорах.
Нормы естественной убыли на продукт, принадлежащий организациям, входящим в состав АК "Транснефтепродукт", начисляют и списывают только при установлении факта недостачи и относят на издержки обращения.
При эксплуатации трубопроводов в режимах, существенно отличающихся от номинальных, фактические потери указываются в договоре по согласованию сторон.
8.8. Ежемесячно составляется отчет об общих потерях нефтепродуктов с указанием потерь собственных нефтепродуктов и нефтепродуктов сторонних организаций по форме
Приложения 32.
8.9. Определение потерь нефтепродуктов при авариях и повреждениях и их списание проводится в соответствии с действующей Инструкцией по техническому расследованию, учету аварий и повреждений технологических объектов магистральных нефтепродуктопроводов и списанию сверхнормативных потерь нефтепродуктов.
8.10. В целях предотвращения загрязнения водоемов и почвы при повреждениях нефтепродуктопроводов принимаются меры по закрытию необходимых линейных задвижек и опорожнению участка трубопровода путем сброса нефтепродуктов в резервуарные емкости перекачивающих станций или, в порядке исключения, по организации сдачи их ближайшим предприятиям по обеспечению нефтепродуктами и АЗС вне зависимости от имеющихся договоров на поставку нефтепродуктов или планов их сдачи.
Сдача производится на основании условий сдачи нефтепродуктов при аварийных ситуациях, оговариваемых в инструкции взаимоотношений между организациями МНПП и потребителями (ПОН и АЗС), тяготеющими к трубопроводам.
8.11. При повреждениях на магистральных нефтепродуктопроводах с выходом нефтепродукта на поверхность земли организуют сбор и закачку его в нефтепродуктопровод.
При невозможности закачки собранного нефтепродукта в нефтепродуктопровод организуют вывоз его и сдачу ближайшим предприятиям по обеспечению нефтепродуктами с привлечением технических средств этих предприятий или АЗС, а также промышленных предприятий и других хозяйств.
При невозможности доставки собранного нефтепродукта на предприятия по обеспечению нефтепродуктами и АЗС, с целью уменьшения безвозвратных потерь нефтепродукта при повреждениях нефтепродуктопровода он может быть реализован непосредственно предприятиям и хозяйствам, участвующим при вывозе нефтепродукта с оформлением акта приема-сдачи через ближайшие предприятия по обеспечению нефтепродуктами или АЗС вне зависимости от объемов поставок нефтепродуктов, предусмотренных договорами.
Нестандартный нефтепродукт, собранный после аварии (загрязненный водой, механическими примесями, разложившейся битумной изоляцией и т.п.), реализуется исполнителем предприятиям промышленности и сельского хозяйства по ценам печного бытового топлива, мазута или отработанных нефтепродуктов группы СНО.
Реализованный нестандартный нефтепродукт учитывается в балансе движения нефтепродуктов как "пересортица" сверх норматива.
Разница в стоимости относится на издержки исполнителя и погашается в соответствии с действующим порядком налогообложения. Списание потерь нефтепродуктов производится на основании акта расследования аварии.
8.12. Потери нефтепродукта при выполнении планово-предупредительных работ по зачистке резервуаров, трубопроводов, их ремонте и заполнении нефтепродуктом трубопроводов, производимых в соответствии с действующими НТД, определяются комиссией, назначаемой руководителем АО или его структурного подразделения. Потери нефтепродуктов не должны превышать технически обоснованные объемы и действующие нормы, установленные РД 112-РСФСР-028-90 "Нормы технологических потерь нефтепродуктов при зачистке резервуаров".
Нефтепродукты, собранные при зачистке резервуаров, трубопроводов, цистерн, нефтеналивных судов и другого оборудования, а также использованные в качестве промывочных жидкостей, переводятся в зависимости от их качества в другие сорта или отработанные нефтепродукты группы СНО и отражаются в отчете формы N 17-ПС.
Результаты перевода оформляются актом по форме
Приложения 33. Затраты, связанные с реализацией данных нефтепродуктов, относятся на издержки исполнителя.
8.13. Потери (недостачи) нефтепродуктов, связанные со злоупотреблениями, диверсиями и хищениями на магистральных трубопроводах и из резервуаров перекачивающих станций, устанавливаются:
- обнаружением оперативных дебалансов по нефтепродуктам на отдельных участках нефтепродуктопровода на работающем МНПП;
- падением статического давления в линейной части на неработающем трубопроводе, отдельных его участках или отводах;
- определением сверхнормативного дебаланса по результатам инвентаризации с учетом норм естественной убыли и погрешностей измерений и анализа баланса.
По установленным фактам назначается служебное расследование с привлечением органов внутренних дел, составляется акт с указанием количества недостачи.
В тех случаях, когда виновники не установлены, что подтверждается справкой из органов внутренних дел, или во взыскании с виновных лиц отказано судом, убытки от недостач списываются на финансовые результаты организации в соответствии с
Законом РФ "О бухгалтерском учете" от 21 ноября 1996 г. N 129-ФЗ после рассмотрения экспертной комиссией АО (или АК "Транснефтепродукт") и решения Совета Директоров АО (собрания акционеров).
9. Учет нефтепродуктов при последовательной перекачке
9.1. Нефтепродукты перекачивают последовательно по одному трубопроводу в соответствии с "Инструкцией по технологии последовательной перекачки нефтепродуктов по магистральным нефтепродуктопроводам Госкомнефтепродукта СССР", утв. Госкомнефтепродуктом СССР 23.09.86.
9.2. При последовательной перекачке нефтепродуктов учет их движения ведется по группам, маркам и видам с отражением в цветном графике с расшифровкой по заказчикам-потребителям.
На каждой перекачивающей станции магистрального трубопровода ведется журнал записи информации о последовательной перекачке по формам
Приложений 34 и
35.
9.3. На головной перекачивающей станции определяют массу и показатели качества каждой партии нефтепродукта по группам, маркам и видам, подготовленной для последовательной перекачки.
Количество контролируемых показателей качества, определяемых на головных станциях МНПП, устанавливается РД 112-РСФСР-040-91.
Если фактический показатель качества нефтепродукта выше нормы по стандарту технических условий на этот нефтепродукт, считают, что нефтепродукт по этому показателю имеет запас качества. Величину запаса качества определяют по разности значений фактического показателя качества и показателя по норме.
9.4. На промежуточных перекачивающих станциях дополнительно определяют массу и показатели качества нефтепродукта, сбрасываемого или подкачиваемого на этих станциях по распределительным трубопроводам или отводам.
9.5. На конечных станциях и приемо-сдаточных пунктах определяют массу и показатели качества в соответствии с РД 112-РСФСР-040-91 каждой принимаемой партии нефтепродукта по группам, маркам, видам и оформляют паспорта качества с информацией о сертификате соответствия.
9.6. Технологическая смесь нефтепродуктов для всех категорий заказчиков, образовавшаяся при последовательной перекачке, на конечных пунктах принимается в отдельные резервуары или в резервуары с товарным нефтепродуктом, имеющим запас по качеству.
9.7. Из резервуаров с технологической смесью нефтепродуктов отбирают пробы смеси по
ГОСТ 2517-85, определяют процентное содержание в смеси отдельных нефтепродуктов и выдают рекомендацию по исправлению смеси.
9.8. Смесь нефтепродуктов раскладывают в резервуары с нефтепродуктами соответствующих марок и видов, входящих в смесь, с учетом запаса их качества.
9.9. На приемо-сдаточных пунктах исполнитель по данным запаса качества нефтепродуктов, поступающих от поставщика заказчика, раскладывает смесь в резервуары с нефтепродуктами соответствующей марки. Легкую смесь раскладывают в бензиновые резервуары, тяжелую - в резервуары с дизельным топливом.
9.10. Ежемесячно перекачивающие и наливные станции составляют акты на перечисление нефтепродуктов при их последовательной перекачке по форме
Приложения 36.
9.11. В случае отсутствия запаса качества высокосортного нефтепродукта смесь исправляется смешением с низкосортным нефтепродуктом. Для сохранения качества низкосортного нефтепродукта принимаются меры по многократному перемешиванию смеси.
Оформление соответствующего перечисления производится на основании фактических объемов перекачки нефтепродуктов и расчетного количества нормативных технологических смесей.
Эти данные заносят в соответствующие графы товарного балансового отчета с разбивкой по категориям заказчиков.
Данный нефтепродукт принадлежит заказчику (владельцу) и реализуется по его указанию.
9.12. При инвентаризации нефтепродуктов в товарных балансовых отчетах массу смеси в резервуарах учитывают отдельно по нефтепродуктам, которыми предполагается исправить смеси.
9.13. Исполнитель при организации последовательной перекачки различных групп, марок и видов нефтепродуктов принимает меры по уменьшению смесеобразования в соответствии с действующей Инструкцией по технологии последовательной перекачки нефтепродуктов по магистральным нефтепродуктопроводам.
9.14. Технологическую смесь на приемных пунктах делят на тяжелую (легкое дизтопливо) и легкую (тяжелый автобензин), как правило, при 50-процентном соотношении перекачиваемых нефтепродуктов (например, бензина и дизельного топлива) и принимают в два резервуара. Границей отсечения тяжелой смеси от стандартного дизельного топлива считают смесь с концентрацией 2 - 3% бензина в дизельном топливе (температура вспышки 18 - 25 °C).
Легкая смесь отсекается от стандартного бензина при концентрации 2 - 3% дизельного топлива в бензине (температура конца кипения 220 - 230 °C). Концентрация перекачиваемых нефтепродуктов в смеси определяется по плотности смеси и контактирующих нефтепродуктов.
При недостатке ресурсов для исправления смеси или малом запасе качества одного из контактирующих нефтепродуктов граница разделения смеси передвигается в сторону этого нефтепродукта.
9.15. На приемо-сдаточных пунктах заказчик технологическую смесь принимает от исполнителя в следующем порядке:
легкую смесь (тяжелый автобензин) - как автобензин, тяжелую смесь (легкое дизтопливо) - как дизельное топливо с составлением приемо-сдаточного акта
(Приложение 8).
Порядок реализации смесей, не подлежащих исправлению на ПСП, определяется договором между заказчиком (владельцем) и исполнителем.
9.16. При смешении нефтепродуктов в результате перекачки различных марок по одному нефтепродуктопроводу сверх нормативов, предусмотренных технологическим регламентом, приеме разных марок автомобильных бензинов или дизельных топлив в один резервуар без соответствующей очистки и других операциях назначается комиссия, которая устанавливает причины смешения, количество смешанных нефтепродуктов и их качество.
9.17. По результатам проверки комиссией составляется акт на смешение нефтепродуктов по форме
Приложения 37.
9.18. Акт смешения нефтепродуктов и объяснение ответственных лиц рассматриваются руководством предприятия.
9.19. Потери от смешения нефтепродуктов сверх нормативов относят на счет виновных лиц.
Потери от смешения нефтепродуктов и затраты, связанные с этим, в случаях, когда конкретные виновники не установлены, возмещаются за счет предприятия-исполнителя в соответствии с действующим порядком налогообложения.
При отклонениях режимов перекачки от нормальных, т.е. при работе на пониженных режимах, с остановками и т.д., с заказчиком можно заранее оговаривать увеличение смесеобразования и потерь, что должно быть отражено в договоре.
10. Определение товарных остатков нефтепродуктов
в резервуарных парках головных, промежуточных
и наливных станций
10.1. Общий остаток нефтепродуктов включает в себя минимально допустимый (мертвый) остаток, минимально допустимый технологический и товарный остаток.
10.2. Минимально допустимый (мертвый) остаток в резервуарах - остаток, определяемый уровнем нефтепродуктов в резервуарах, уменьшение которого может привести к нарушению нормальных режимов работы магистрального нефтепродуктопровода, ответвлений, насосного оборудования, резервуаров и правил их эксплуатации.
10.3. Минимально допустимый (мертвый) остаток определяют в соответствии с технологическими картами по эксплуатации резервуаров.
10.4. Технологический остаток в резервуарах - остаток сверх минимально допустимого. Технологический остаток необходим для обеспечения бесперебойной плановой ритмичной работы магистральных нефтепродуктопроводов и ответвлений с учетом последовательной перекачки нефтепродуктов по ним, неритмичности сдачи для перекачки и накопления односортных нефтепродуктов нескольких потребителей (заказчиков) до минимальной партии. Технологический остаток также необходим для обеспечения оптимального режима сдачи и налива нефтепродуктов на наливных пунктах на другие виды транспорта.
10.5. Величина технологического остатка определяется отдельно по группам, маркам и видам нефтепродуктов в соответствии с технологическими картами по эксплуатации резервуаров.
10.6. Для головных перекачивающих станций технологический остаток принимается равным объему трехсуточной плановой перекачки при их полной загрузке. При этом для нефтепродуктов, планируемых к последовательной перекачке в один, два и три цикла в месяц, величина технологического остатка в зависимости от числа циклов в месяц принимается равной объему:
пятнадцатисуточного плана перекачки при одном цикле;
десятисуточного плана перекачки при двух циклах;
пятисуточного плана перекачки при трех циклах.
10.7. Для промежуточных перекачивающих станций величина технологического остатка при полной загрузке трубопровода принимается равной объему двухсуточной плановой перекачки, но не менее 3000 т по каждой марке или виду нефтепродукта.
10.8. Для наливных станций величина технологического остатка принимается равной объему трехсуточного плана налива по маркам нефтепродуктов, но не менее 3000 т.
10.9. Для перекачивающих и наливных станций технологический остаток определяется как сумма технологических остатков на перекачку и налив.
10.10. Товарный остаток нефтепродуктов по каждой станции определяют как разность между фактическим общим остатком и суммой минимально допустимого и технологического остатков.
10.11. Объем общего технологического собственного нефтепродукта (объем магистральных и технологических трубопроводов, мертвые остатки в резервуарах) для обеспечения нормального процесса перекачки должен быть не менее объема трубопроводов и мертвых остатков в резервуарах.
Распродажа технологического собственного нефтепродукта без согласования с АК "Транснефтепродукт" запрещается.
10.12. Операции по технологической замене видов и сортов нефтепродуктов в магистральных трубопроводах и резервуарах, временного использования заказчиками собственных технологических нефтепродуктов АО и организациями АО из нефтепродуктов заказчиков производятся без отражения в денежных расчетах.
11. Прием-отпуск нефтепродуктов на собственные нужды АО
11.1. АО, входящие в состав АК "Транснефтепродукт", согласно уставу имеют право приобретать у НПЗ или других юридических лиц нефтепродукты для собственных нужд, а также для осуществления своей хозяйственной деятельности, в том числе и из системы МНПП.
11.2. Прием-сдача нефтепродукта от заказчика (владельца) производится с оформлением двухсторонних актов по форме
Приложения 6,
7 или в одностороннем порядке с приложением разрешения владельца.
11.3. Нефтепродукт, приобретенный для собственных нужд, считается складским продуктом и в общем балансе по МНПП проводится в приемной части как прием от владельца, в расходной части строкой "сдача на склад".
12. Порядок составления товарного балансового отчета
12.1. Баланс движения нефтепродуктов составляется акционерными обществами компании с разделением их по принадлежности (нефтепродукты АО и заказчиков) и с расшифровкой всех позиций баланса по отдельным заказчикам АО и компании.
12.2. Баланс составляется на 1-е число каждого месяца на основании актов приема-сдачи нефтепродуктов за отчетный месяц и инвентаризационных описей.
12.3. Баланс АО разрабатывается на основе балансов его структурных подразделений.
12.4. Баланс составляется по итогам движения нефтепродуктов за месяц, квартал, полугодие, девять месяцев и год нарастающим итогом.
12.5. Составление баланса осуществляется товарно-транспортными службами АО, руководители которых несут ответственность за его соответствие требованиям настоящей Инструкции.
12.6. АО до 12 числа каждого последующего месяца направляют в компанию 1 экз. баланса движения нефтепродуктов за месяц, квартал, полугодие, 9 месяцев и год за подписью генерального директора, главного бухгалтера и начальника товарно-транспортного отдела; один экз. остается в ТТО и один экз. передается в бухгалтерию. Кроме того, балансы передаются в компанию по компьютерной сети для анализа и составления сводного баланса по компании.
12.7. Разработка балансов осуществляется в соответствии с требованиями ЕАСУ (программа "Баланс движения нефтепродуктов") и по форме, приведенной в
Приложении 31.
13. Порядок организации бухгалтерского учета и отчетности
13.1. При организации бухгалтерского учета и отчетности руководствоваться
Законом РФ "О бухгалтерском учете" от 21 ноября 1996 г. N 129-ФЗ,
Положением о бухгалтерском учете и отчетности в Российской Федерации Министерства финансов от 26.12.1994 N 170,
Положением о составе затрат по производству и реализации продукции (работ, услуг), включаемых в себестоимость продукции (работ, услуг), и порядке формирования финансовых результатов, учитываемых при налогообложении прибыли.
13.2. Первичными документами, передаваемыми в бухгалтерию компании и АО при перевалке нефтепродуктов на железнодорожный и автомобильный транспорт, являются отгрузочная ведомость по форме
Приложения 2 и железнодорожная квитанция на принятый к перевозке груз. Квитанция является документальным подтверждением исполнения договора между заказчиком и исполнителем и основанием для списания соответствующего собственного нефтепродукта со счета "Ресурсы", проведения взаиморасчетов.
13.3. Для контроля сохранности нефтепродуктов проводят их инвентаризацию путем проверки их фактического наличия и сопоставления с данными бухгалтерского (коммерческого) учета. Инвентаризацию нефтепродуктов проводят на 6 часов московского времени (см.
п. 7.2 настоящей Инструкции).
13.4. Инвентаризация нефтепродуктов проводится первого числа каждого месяца также в случаях, предусмотренных
п. 7.3 настоящей Инструкции.
13.5. Проведение инвентаризации осуществляется постоянно действующими или рабочими инвентаризационными комиссиями из числа работников организации при обязательном участии бухгалтера (см.
п. 7.4 настоящей Инструкции).
13.6. Порядок проведения инвентаризации на МНПП предусмотрен
разделом 7 настоящей Инструкции.
СОСТАВЛЕНИЯ ОПЕРАТИВНОГО БАЛАНСА ПО МАССЕ НЕФТЕПРОДУКТА
1. По данным оперативных измерений объема и плотности закачанного в трубопровод и поступившего на конечный пункт нефтепродукта определяют его массу при одинаковых или приведенных к одним условиям (температура и давление) за период составления оперативного баланса по
ГОСТ 26976-86.
При отсутствии автоматизированных узлов учета используют объемно-масссовый статический метод.
2. Массу нефтепродукта до и после транспортировки определяют как произведение объемов нефтепродуктов, определенных по градуировочным таблицам резервуаров, на плотность нефтепродукта при той же температуре, что и определение объема.
Если температуры, при которой определялся объем нефтепродукта и его плотность различны, масса сданного (принятого) нефтепродукта в емкости при приемо-сдаточных операциях т
пр определяют по формуле (см.
п. 4.2.5):
где:
mi - масса нефтепродукта в емкости;
mi+1 - масса нефтепродукта в емкости до ее заполнения или после опорожнения;
Vi, Vi+1 - объемы продукта, соответственно, в начале и в конце товарной операции, определяемые по градуировочкой таблице резервуара, м3;

- средние плотности продукта, соответственно, в начале и в конце товарной операции, кг/м
3;

- коэффициент линейного расширения металла стенки резервуара, 1/°C;

- коэффициент объемного расширения продукта, 1/°C;

- разность температур стенок резервуара при определении объема t
v и при его градуировке Ц, °C;
Модель погрешности метода:
где:
H - уровень продукта, в емкости, м;

- абсолютная погрешность измерения уровня наполнения продукта, м;

- относительная погрешность градуировки резервуара, %;

- разность температур продукта при измерении плотности

и объема (t
v), °C;

- относительная погрешность измерения плотности, %;

- абсолютная погрешность измерения разности температур продукта при измерении плотности

и (t
v), °C;

- относительная погрешность центрального блока обработки информации данных, %.
Значения коэффициента объемного расширения нефтепродукта в зависимости от его плотности определяются по таблице П.1, либо рассчитываются по формуле:
Таблица П.1
 кг/м 3 |  1/°C |  кг/м 3 |  1/°C |  кг/м 3 |  1/°C |
700 - 719 | 0,001255 | 800 - 819 | 0,000937 | 900 - 919 | 0,000688 |
720 - 739 | 0,001183 | 820 - 839 | 0,000882 | 920 - 939 | 0,000645 |
740 - 759 | 0,001118 | 840 - 859 | 0,000831 | 940 - 959 | 0,000604 |
760 - 779 | 0,001054 | 860 - 879 | 0,000782 | 960 - 979 | 0,000564 |
780 - 799 | 0,000995 | 880 - 899 | 0,000734 | 980 - 1000 | 0,000526 |
3. Найденная с учетом норм естественной убыли разница массы нефтепродукта до и после транспортировки согласно
пункту 2 не должна превышать максимальной величины погрешности определения массы нефтепродуктов

предусмотренной
ГОСТ 26976-86.
При объемно-массовом статическом методе

- при измерении массы нетто нефтепродуктов от 100 т и выше.
4. Пример.
Для транспортировки принят продукт в резервуарах РВС-10000.
- погрешность градуировки;
tгрi - 10 °C - температура градуировки резервуара в пункте приема продукта к транспорту.
При измерениях использованы следующие средства измерений:
уровнемер с абсолютной погрешностью -

ареометр для измерения плотности -

термометр с абсолютной погрешностью -

относительная погрешность центрального блока обработки информации (ЦБОИ) -

4.1. При измерениях были получены следующие результаты:
Показатели | Перед отпуском | После отпуска |
Высота взлива продукта, м | Hi = 6,364 | Hi+1 =2,149 |
Плотность продукта в объединенной пробе, кг/м3 | | |
при температуре, °C | | |
Средняя температура продукта в резервуаре, °C | tvi = 30 | tvi+1 = 23 |
Средняя температура воздуха на момент измерений, °C | | |
4.2. Определяем коэффициенты объемного расширения:
4.3. Определяем разность температур при измерении плотности и объема:
4.4. Определяем температуру стенки резервуара:
tстi = (tvi + tвi) / 2 = (30 + 15) / 2 = 22,5 °C;
tстi+1 = (tvi+1 + tвi+1) / 2 = (23 + 9) / 2 = 16 °C;
4.5. По градуировочной таблице резервуара находим:
объем продукта перед отпуском Vi = 5830,483 м3;
объем продукта после отпуска Vi+i = 1973,445 м3.
4.6. Масса закачанного в трубопровод продукта составит:
mпрi = mi - mi+1 = 5850,483 · (1 + 2 · 1,2 · 10-5 · 12,5) -
- 854 · [1 + 8,22 · 10-4 · (-8)] - 1973,445 · (1 + 2 · 1,2 ·
· 10-5 · 6,0) · 856 · [1 + 8,17 · 10-4 · (-1)] =
= 4964946 - 1688132 = 3276814 кг.
4.7. Определяем погрешность метода:
относительная погрешность измерения плотности:
абсолютная погрешность измерения разности температур:
При определении погрешности метода учитывают, что она достигает максимума при:
- максимальном и минимальном уровне взлива в резервуаре Hmax и Hmin, м;
- максимальном превышении температуры t
v над температурой

которые указываются в методике выполнения измерений (МВИ).
4.8. Для нашего случая погрешность измерения массы при сдаче на трубопровод выразится уравнением:
4.9. После транспортировки в конечном наливном пункте на момент сведения, баланса продукт был принят в резервуар РВС-10000

- погрешность градуировки;
tгрj = 12 °C - температура градуировки резервуара в конечном пункте сдачи.
При выполнении измерений использованы следующие средства измерений:
уровнемер с абсолютной погрешностью -

ареометр для измерения плотности -

термометр с абсолютной погрешностью -

относительная погрешность ЦБОИ -

4.10. В пункте сдачи были получены следующие результаты измерений:
Показатели | Перед отпуском | После отпуска |
Высота взлива продукта, м | Hj = 2,961 | Hj+1 =7,125 |
Плотность продукта в объединенной пробе, кг/м3 | | |
при температуре, °C | | |
Средняя температура продукта в резервуаре, °C | tvj = 28 | tvj+1 = 24 |
Средняя температура воздуха на момент измерений, °C | | |
4.11. Определяем коэффициенты объемного расширения:
4.12. Определяем разности температур при измерении плотности и объема:
4.13. Определяем температуру стенки резервуара, в который принимается продукт в конечном пункте в начале и конце операции:
tстj = (tvj + tвj) / 2 = (28 + 15) / 2 = 21,5 °C;
tстj+1 = (tvj+1 + tвj+1) / 2 = (24 + 10) / 2 = 17 °C;
4.14. По градуировочной таблице резервуара находим:
объем продукта перед приемом Vj = 2719,188 м3;
объем продукта после приема Vj+1 = 6551,285 м.
4.15. Масса продукта принятого в резервуар конечного пункта составит:
mnpj = mj+1 - mj =
= 6551,285 · (1 + 2 · 1,2 · 10-5 · 5,0) ·
· 855 · [1 + 8,17 · 10-4 · (-3)] - 2719,188 ·
· (1 + 2 · 1,2 · 10-5 · 9,5) · 856 · 856 ·
· [1 + 8,20 · 10-4 · (-7)] = 5588290,28 - 2314792,01 =
= 3273502,27 кг.
4.16. Для нашего случая погрешность измерения массы продукта при сдаче с магистрального трубопровода в конечном приемосдаточном пункте определяется по уравнению:
Таким образом в обоих случаях пределы относительной погрешности методов измерения массы нефтепродуктов не более регламентированных
ГОСТ 26976-86:
при закачке из резервуара в трубопровод:
при приеме в резервуар на приемо-сдаточном пункте:
Относительная погрешность сведения оперативного баланса нефтепродуктов по массе определяется по уравнению:
ОТГРУЗОЧНАЯ ВЕДОМОСТЬ N ______
на отгрузку ___________________________ со станции ______________ за ______
(наименование нефтепродукта) (наименование) (дата)
Подано под налив ___________________ Налив окончен ________________________
(время) (время)
Продолжительность налива _______________
(время)
N п/п | N ж/д накладной | N вагона-цистерны | Тип ж/д цистерны | N резервуара, из которого производят налив | Температура нефтепродукта в цистерне, °C | Плотность нефтепродукта в цистерне, кг/м3 | Уровень нефтепродукта в цистерне, мм | Объем нефтепродукта в цистерне, м3 | Масса нефтепродукта в цистерне, кг | Наименование ж/д и станции назначения | Получатель |
1 | 2 | 3 | 4 | 5 | 6 | 7 | 8 | 9 | 10 | 11 | 12 |
| | | | | | | | | | | |
Итого масса нефтепродукта _________________________________________________
(прописью)
Сдал Исполнитель
наливного пункта ______________ ___________________________________
(подпись) М.П. (фамилия, имя, отчество)
Принял представитель
Грузоотправителя ______________ ___________________________________
(подпись) М.П. (фамилия, имя, отчество)
Принял весовщик
жел. дороги ______________ ___________________________________
(подпись) М.П. (фамилия, имя, отчество)
регистрации открытия и закрытия задвижек
на приемо-сдаточном пункте
________________________________________
(ПОН)
и их опломбирования на ________________ г.
N п/п | Дата и время | Наименование операции | Номера задвижек | Подписи представителей |
исполнитель | грузополучатель (заказчик) |
1 | 2 | 3 | 4 | 5 | 6 |
| | | | | |
| | | | | |
регистрации состояния задвижек конечного узла отвода на
_______________________________________________________
(наименование ПОН, приемо-сдаточного пункта)
и сдачи узла под охрану на ____________________ г.
N п/п | Дата и время | Номер закрытых задвижек | Номера опломбированных задвижек | Опломбировал и сдал под охрану | Принял узел под охрану |
фамилия, имя, отчество | подпись | фамилия, имя, отчество | подпись |
1 | 2 | 3 | 4 | 5 | 6 | 7 | 8 |
| | | | | | | |
| | | | | | | |
| | | | | | | |
приема (сдачи) нефтепродуктов от нефтеперерабатывающего
завода на нефтепродуктопроводный транспорт
"__" ______________ г.
Составлен в том, что представитель ____________________________________
(наименование организации
_____________________________________________________________________ сдал,
(Заказчика), фамилия, имя, отчество)
а представитель ___________________________________________________________
(наименование организации магистральных нефтепродуктопроводов)
____________________________________________________________________ принял
(фамилия, имя, отчество)
_________________________ в резервуарах ___________________________________
(наименование продукта) (наименование НПЗ или ГПС)
в количестве:
N резервуара | Уровень, мм | Объем, м3 | Плотность, кг/м3 | Температура, °C | Масса, кг |
общий | подтоварной воды | общий | подтоварной воды | нефтепродукта |
1 | 2 | 3 | 4 | 5 | 6 | 7 | 8 | 9 |
до перекачки (первоначальные данные) |
1 | 2 | 3 | 4 | 5 | 6 | 7 | 8 | 9 |
после перекачки (окончательные данные) |
Всего принято (сдано) _____________________________________________________
(объем и масса прописью)
Маршрут и N МТ <*> ________________________________________________________
--------------------------------
<*> Заполняется при поставке на экспорт.
Ресурсы (Заказчик, N договора) ____________________________________________
НПЗ-производитель, N паспорта качества ____________________________________
Сдал ______________ Принял _______________
(подпись) (подпись)
М.П. М.П.
--------------------------------
<*> Заполняется при поставке на экспорт.
приема (сдачи) нефтепродуктов между структурными
подразделениями в системе АК "Транснефтепродукт"
"__" ________________ г.
Составлен в том, что представитель ____________________________________
(наименование подразделения,
_____________________________________________________________________ сдал,
фамилия, имя, отчество)
а представитель ___________________________________________________________
(наименование подразделения
____________________________________________________________________ принял
фамилия, имя, отчество)
_________________________ в резервуарах ___________________________________
(наименование продукта) (наименование НС или ЛПДС)
в количестве:
N резервуара | Уровень, мм | Объем, м3 | Плотность, кг/м3 | Температура, °C | Масса, кг |
общий | подтоварной воды | общий | подтоварной воды | нефтепродукта |
1 | 2 | 3 | 4 | 5 | 6 | 7 | 8 | 9 |
до перекачки (первоначальные данные) |
1 | 2 | 3 | 4 | 5 | 6 | 7 | 8 | 9 |
после перекачки (окончательные данные) |
Всего принято (сдано) _____________________________________________________
(объем (масса), куб. м (кг), прописью)
Маршрут и N МТ ___________________________________________________
Номер ГТД _________________________________________________________________
Ресурсы (Заказчик, N договора) ____________________________________________
НПЗ-производитель, N паспорта качества ____________________________________
Сдал ______________ Принял _______________
(подпись) (подпись)
М.П. М.П.
приема (сдачи) нефтепродуктов по трубопроводу
"__" ________________ г.
Составлен в том, что представитель ____________________________________
(наименование организации-исполнителя,
_____________________________________________________________________ сдал,
фамилия, имя, отчество)
а представитель ___________________________________________________________
(наименование организации получателя (Заказчика),
____________________________________________________________________ принял
фамилия, имя, отчество)
_________________________ в резервуарах ___________________________________
(наименование продукта) (наименование организации)
в количестве:
N резервуара | Уровень, мм | Объем, м3 | Плотность, кг/м3 | Температура, °C | Масса, кг |
общий | подтоварной воды | общий | подтоварной воды | нефтепродукта |
1 | 2 | 3 | 4 | 5 | 6 | 7 | 8 | 9 |
до перекачки (первоначальные данные) |
1 | 2 | 3 | 4 | 5 | 6 | 7 | 8 | 9 |
после перекачки (окончательные данные) |
Всего принято (сдано) _____________________________________________________
(объем (масса), куб. м (кг), прописью)
Номер ГТД <*> _____________________________________________________________
--------------------------------
<*> Заполняется при поставке на экспорт.
Ресурсы (Заказчик, N договора) ____________________________________________
НПЗ-производитель, N паспорта качества ____________________________________
Сдал ______________ Принял _______________
(подпись) (подпись)
М.П. М.П.
при отгрузке нефтепродуктов на экспорт
"__" ____________ 19__ г. N ______________ г. _____________________________
В _______________ 19__ г. _________________________________________________
(наименование НП)
___________________________________________________________________________
ГТД N __________________________________________________ сдано и отгружено:
Наименование нефтепродукта ________________________________________________
ГОСТ (ТУ) ____________________ N паспорта качества ________________________
Заказчик по договору, N договора __________________________________________
НПЗ-производитель _________________________________________________________
Количество, тонн __________________________________________________________
Всего _____________________________________________________________________
в том числе _______________________________________________________________
Отгрузка с НП _____________________________________________________________
Сдача трубопроводом _______________________________________________________
Представитель структурного Получатель груза или
подразделения АО _________ Заказчик по договору
М.П. М.П.
железнодорожных накладных
при отгрузке нефтепродуктов с наливного пункта
____________________________________________________
(наименование)
для ______________________________________________________________
(наименование Заказчика, N договора)
за ____________ месяц _______ года
N п/п | N ГТД | НПЗ-производит. | Номер В/цистерны | Вес В/цистерны, кг | Наименование экспедитора |
1 | 2 | 3 | 4 | 5 | 6 |
1 | | | | | |
2 | | | | | |
3 | | | | | |
4 | | | | | |
5 | | | | | |
6 | | | | | |
| | | | | |
Всего |
Представитель структурного
подразделения АО ______________ ______________________
(подпись)
"__" _____________ 19__ г. М.П.
регистрации актов приема-сдачи нефтепродуктов
по приемо-сдаточному пункту __________________
(наименование)
за ____________________ г.
N п/п | Дата | Номер акта приема-сдачи | Номер резервуара | Масса принятого (сданного) нефтепродукта, кг | Роспись в получении акта приема-сдачи |
1 | 2 | 3 | 4 | 5 | 6 |
| | | | | |
регистрации проб нефтепродуктов
N п/п | Наименование нефтепродукта | Дата отбора пробы | Количество отобранной пробы | Откуда отобрана проба | Номер резервуара, в который слит нефтепродукт | Объем анализа (приемо-сдаточный, контрольный) полный | Дата окончания анализа | Дата окончания срока хранения пробы | Отметка об отправке контрольной пробы (арбитражной) или об уничтожении пробы | Примечание |
1 | 2 | 3 | 4 | 5 | 6 | 7 | 8 | 9 | 10 | 11 |
| | | | | | | | | | |
| | | | | | | | | | |
ТИПОВАЯ МЕЖДУВЕДОМСТВЕННАЯ ФОРМА N М-2а
Доверенность действительна по "__" ____________ 19__ г.
___________________________________________________________________________
(наименование потребителя и его адрес)
___________________________________________________________________________
(наименование плательщика и его адрес)
Счет N _______________________ в __________________________________________
(наименование банка)
ДОВЕРЕННОСТЬ N _________
Выдана ____________________________________________________________________
(должность, фамилия, имя, отчество)
Паспорт серия _____________ N ______________ выдан "__" ___________ 19__ г.
__________________________________________ милиции гор. ___________________
На получение от ___________________________________________________________
(наименование организации-поставщика)
товарно-материальных ценностей по _________________________________________
(номер и дата договора)
___________________________________________________________________________
(контракта) и т.п.)
Обратная сторона
Перечень
товарно-материальных ценностей, подлежащих получению
Подпись лица, получившего доверенность _______________________ удостоверяем
N п/п | Товарно-материальные ценности | Единица измерения | Количество прописью |
1 | 2 | 3 | 4 |
| | | |
| | | |
| | | |
М.П. Руководитель организации (подпись)
Главный бухгалтер (подпись)
ЖУРНАЛ УЧЕТА ВЫДАЧИ ПАСПОРТОВ КАЧЕСТВА
Порядковый номер паспорта | Номер пробы по лабораторному журналу | Наименование нефтепродукта | Номер резервуара | Дата выдачи паспорта | Получатель (организация) | Роспись получателя | Номер товаро-транспортной накладной | Примечание |
1 | 2 | 3 | 4 | 5 | 6 | 7 | 8 | 9 |
| | | | | | | | |
ФОРМА ГРАДУИРОВОЧНОЙ ХАРАКТЕРИСТИКИ
МАГИСТРАЛЬНОГО НЕФТЕПРОДУКТОПРОВОДА НА УРОВНЕ
СТРУКТУРНЫХ ПОДРАЗДЕЛЕНИЙ АО <*>
--------------------------------
<*> Заполняется в соответствии с РД 112 РСФСР-036-91.
Номер отдельного участка нефтепродуктопровода | Наименование и назначение участка нефтепродуктопровода | Границы участка (в соответствии с номерами задвижек по схеме) | Длина, м | Вместимость, м3 |
отдельный участок | нефтепровод в целом | отдельный участок | нефтепровод в целом |
1 | 2 | 3 | 4 | 5 | 6 | 7 |
| | | | | | |
ФОРМА ГРАДУИРОВОЧНОЙ ХАРАКТЕРИСТИКИ МАГИСТРАЛЬНОГО
НЕФТЕПРОДУКТОПРОВОДА НА УРОВНЕ АО МНПП <*>
--------------------------------
<*> Заполняется в соответствии с РД 112 РСФСР-036-91.
Номер нефтепродуктопровода (от головной станции) | Наименование нефтепродуктопровода (подразделений) | Границы нефтепродуктопровода (по номерам задвижек) | Длина, м | Вместимость, м3 |
нефтепродуктопровод (подразделений) | магистральный нефтепродуктопровод АО МНПП | нефтепродуктопровод (подразделений) | магистральный нефтепродуктопровод АО МНПП |
1 | 2 | 3 | 4 | 5 | 6 | 7 |
| | | | | | |
| | | | | | |
ЗНАЧЕНИЯ ПОПРАВОЧНОГО КОЭФФИЦИЕНТА K
t НА ВМЕСТИМОСТЬ
ТРУБОПРОВОДА В ЗАВИСИМОСТИ ОТ СРЕДНЕЙ ТЕМПЕРАТУРЫ
t, °C | Kt | t, °C | Kt |
-10 | 0,99899 | 15 | 0,99983 |
-9 | 0,99903 | 16 | 0,99987 |
-8 | 0,99906 | 17 | 0,99990 |
-7 | 0,99909 | 18 | 0,99993 |
-6 | 0,99913 | 19 | 0,99997 |
-5 | 0,99916 | 20 | 1,00003 |
-4 | 0,99919 | 21 | 1,00007 |
-3 | 0,99923 | 22 | 1,00010 |
-2 | 0,99926 | 23 | 1,00013 |
-1 | 0,99929 | 24 | 1,00017 |
0 | 0,99933 | 25 | 1,00020 |
1 | 0,99936 | 26 | 1,00024 |
2 | 0,99940 | 27 | 1,00027 |
3 | 0,99943 | 28 | 1,00030 |
4 | 0,99946 | 30 | 1,00034 |
5 | 0,99950 | 31 | 1,00037 |
6 | 0,99953 | 32 | 1,00040 |
7 | 0,99956 | 33 | 1,00044 |
8 | 0,99960 | 34 | 1,00047 |
9 | 0,99963 | 35 | 1,00050 |
10 | 0,99966 | 36 | 1,00054 |
11 | 0,99970 | 37 | 1,00057 |
12 | 0,99973 | 38 | 1,00060 |
13 | 0,99976 | 39 | 1,00064 |
14 | 0,99980 | 40 | 1,00067 |
ЗНАЧЕНИЯ ПОПРАВОЧНЫХ КОЭФФИЦИЕНТОВ K
1 НА ВМЕСТИМОСТЬ
ТРУБОПРОВОДА В ЗАВИСИМОСТИ ОТ СРЕДНЕГО ДАВЛЕНИЯ
НА УЧАСТКЕ И РАЗМЕРОВ ТРУБОПРОВОДА
 мм | D, мм | | Среднее избыточное давление в трубопроводе, МПа |
1,0 | 1,1 | 1,2 |
100 x 4 | 100 | 0,000119 | 1,000119 | 1,000131 | 1,000143 |
100 x 5 | 98 | 0,000093 | 1,000093 | 1,000102 | 1,000112 |
100 x 6 | 96 | 0,000076 | 1,000076 | 1,000084 | 1,000091 |
150 x 5 | 149 | 0,000142 | 1,000142 | 1,000156 | 1,000170 |
150 x 6 | 147 | 0,000117 | 1,000117 | 1,000129 | 1,000140 |
150 x 7 | 145 | 0,000099 | 1,000099 | 1,000109 | 1,000119 |
150 x 8 | 143 | 0,000035 | 1,000035 | 1,000094 | 1,000102 |
200 x 6 | 207 | 0,000164 | 1,000164 | 1,000180 | 1,000197 |
200 x 7 | 205 | 0,000139 | 1,000139 | 1,000153 | 1,000167 |
200 x 8 | 203 | 0,000121 | 1,000121 | 1,000133 | 1,000145 |
200 x 9 | 201 | 0,000106 | 1,000106 | 1,000117 | 1,000127 |
250 x 6 | 261 | 0,000207 | 1,000207 | 1,000228 | 1,000248 |
250 x 8 | 257 | 0,000153 | 1,000153 | 1,000168 | 1,000184 |
250 x 10 | 253 | 0,000120 | 1,000120 | 1,000132 | 1,000144 |
300 x 6 | 313 | 0,000248 | 1,000248 | 1,000273 | 1,000298 |
300 x 8 | 309 | 0,000184 | 1,000184 | 1,000202 | 1,000221 |
300 x 10 | 305 | 0,000145 | 1,000145 | 1,000160 | 1,000174 |
350 x 7 | 363 | 0,000247 | 1,000247 | 1,000272 | 1,000296 |
350 x 9 | 359 | 0,000190 | 1,000190 | 1,000209 | 1,000228 |
350 x 11 | 355 | 0,000154 | 1,000154 | 1,000169 | 1,000185 |
400 x 7 | 412 | 0,000280 | 1,000280 | 1,000303 | 1,000336 |
400 x 9 | 408 | 0,000216 | 1,000216 | 1,000238 | 1,000259 |
400 x 11 | 404 | 0,000175 | 1,000175 | 1,000193 | 1,000210 |
450 x 7 | 464 | 0,000316 | 1,000316 | 1,000348 | 1,000379 |
450 x 9 | 460 | 0,000243 | 1,000243 | 1,000267 | 1,000292 |
450 x 11 | 456 | 0,000197 | 1,000197 | 1,000217 | 1,000236 |
500 x 7 | 515 | 0,000350 | 1,000350 | 1,000385 | 1,000420 |
500 x 8 | 513 | 0,000305 | 1,000305 | 1,000336 | 1,000366 |
500 x 10 | 509 | 0,000242 | 1,000242 | 1,000266 | 1,000290 |
500 x 12 | 505 | 0,000200 | 1,000200 | 1,000220 | 1,000240 |
600 x 8 | 614 | 0,000365 | 1,000365 | 1,000402 | 1,000438 |
600 x 10 | 610 | 0,000290 | 1,000290 | 1,000319 | 1,000348 |
600 x 12 | 606 | 0,000240 | 1,000240 | 1,000264 | 1,000288 |
700 x 8 | 704 | 0,000419 | 1,000419 | 1,000461 | 1,000503 |
700 x 10 | 700 | 0,000333 | 1,000333 | 1,000366 | 1,000400 |
700 x 12 | 696 | 0,000276 | 1,000276 | 1,000304 | 1,000331 |
Продолжение Прил. 18
 мм | Среднее избыточное давление в трубопроводе, МПа |
1,3 | 1,4 | 1,5 | 1,6 |
100 x 4 | 1,000155 | 1,000167 | 1,000179 | 1,000190 |
100 x 5 | 1,000121 | 1,000130 | 1,000140 | 1,000149 |
100 x 6 | 1,000099 | 1,000106 | 1,000114 | 1,000122 |
150 x 5 | 1,000185 | 1,000199 | 1,000214 | 1,000227 |
150 x 6 | 1,000152 | 1,000164 | 1,000176 | 1,000187 |
150 x 7 | 1,000129 | 1,000138 | 1,000149 | 1,000158 |
150 x 8 | 1,000111 | 1,000118 | 1,000128 | 1,000136 |
200 x 6 | 1,000213 | 1,000230 | 1,000246 | 1,000262 |
200 x 7 | 1,000181 | 1,000195 | 1,000209 | 1,000222 |
200 x 8 | 1,000157 | 1,000169 | 1,000182 | 1,000194 |
200 x 9 | 1,000133 | 1,000148 | 1,000159 | 1,000170 |
250 x 6 | 1,000269 | 1,000290 | 1,000310 | 1,000331 |
250 x 8 | 1,000199 | 1,000214 | 1,000230 | 1,000245 |
250 x 10 | 1,000156 | 1,000134 | 1,000180 | 1,000192 |
300 x 6 | 1,000322 | 1,000347 | 1,000372 | 1,000397 |
300 x 8 | 1,000239 | 1,000258 | 1,000276 | 1,000294 |
300 x 10 | 1,000189 | 1,000203 | 1,000218 | 1,000232 |
350 x 7 | 1,000321 | 1,000346 | 1,000370 | 1,000395 |
350 x 9 | 1,000247 | 1,000266 | 1,000285 | 1,000304 |
350 x 11 | 1,000200 | 1,000216 | 1,000231 | 1,000246 |
400 x 7 | 1,000364 | 1,000392 | 1,000420 | 1,000448 |
400 x 9 | 1,000281 | 1,000302 | 1,000324 | 1,000346 |
400 x 11 | 1,000228 | 1,000245 | 1,000263 | 1,000280 |
450 x 7 | 1,000411 | 1,000442 | 1,000474 | 1,000506 |
450 x 9 | 1,000316 | 1,000340 | 1,000365 | 1,000389 |
450 x 11 | 1,000256 | 1,000276 | 1,000296 | 1,000315 |
500 x 7 | 1,000455 | 1,000490 | 1,000525 | 1,000560 |
500 x 8 | 1,000397 | 1,000427 | 1,000458 | 1,000488 |
500 x 10 | 1,000315 | 1,000339 | 1,000363 | 1,000387 |
500 x 12 | 1,000260 | 1,000280 | 1,000300 | 1,000320 |
600 x 8 | 1,000475 | 1,000511 | 1,000543 | 1,000584 |
600 x 10 | 1,000377 | 1,000406 | 1,000435 | 1,000464 |
600 x 12 | 1,000312 | 1,000336 | 1,000360 | 1,000384 |
700 x 8 | 1,000545 | 1,000587 | 1,000629 | 1,000670 |
700 x 10 | 1,000433 | 1,000466 | 1,000500 | 1,000533 |
700 x 12 | 1,000359 | 1,000386 | 1,000414 | 1,000442 |
Продолжение Прил. 18
 мм | Среднее избыточное давление в трубопроводе, МПа |
1,7 | 1,8 | 1,9 | 2,0 |
100 x 4 | 1,000202 | 1,000214 | 1,000226 | 1,000238 |
100 x 5 | 1,000158 | 1,000167 | 1,000176 | 1,000186 |
100 x 6 | 1,000129 | 1,000137 | 1,000144 | 1,000152 |
150 x 5 | 1,000241 | 1,000256 | 1,000270 | 1,000284 |
150 x 6 | 1,000199 | 1,000211 | 1,000222 | 1,000234 |
150 x 7 | 1,000168 | 1,000178 | 1,000188 | 1,000198 |
150 x 8 | 1,000145 | 1,000153 | 1,000162 | 1,000170 |
200 x 6 | 1,000279 | 1,000295 | 1,000312 | 1,000328 |
200 x 7 | 1,000236 | 1,000250 | 1,000264 | 1,000278 |
200 x 8 | 1,000206 | 1,000218 | 1,000230 | 1,000242 |
200 x 9 | 1,000180 | 1,000191 | 1,000201 | 1,000212 |
250 x 6 | 1,000352 | 1,000373 | 1,000393 | 1,000414 |
250 x 8 | 1,000260 | 1,000275 | 1,000291 | 1,000306 |
250 x 10 | 1,000204 | 1,000216 | 1,000228 | 1,000240 |
300 x 6 | 1,000422 | 1,000446 | 1,000471 | 1,000496 |
300 x 8 | 1,000313 | 1,000332 | 1,000350 | 1,000368 |
300 x 10 | 1,000247 | 1,000261 | 1,000276 | 1,000290 |
350 x 7 | 1,000420 | 1,000445 | 1,000469 | 1,000494 |
350 x 9 | 1,000323 | 1,000342 | 1,000361 | 1,000380 |
350 x 11 | 1,000262 | 1,000277 | 1,000293 | 1,000303 |
400 x 7 | 1,000476 | 1,000504 | 1,000532 | 1,000560 |
400 x 9 | 1,000367 | 1,000389 | 1,000410 | 1,000432 |
400 x 11 | 1,000298 | 1,000315 | 1,000333 | 1,000350 |
450 x 7 | 1,000537 | 1,000569 | 1,000600 | 1,000632 |
450 x 9 | 1,000413 | 1,000437 | 1,000462 | 1,000486 |
450 x 11 | 1,000335 | 1,000355 | 1,000344 | 1,000394 |
500 x 7 | 1,000595 | 1,000630 | 1,000665 | 1,000700 |
500 x 8 | 1,000519 | 1,000549 | 1,000530 | 1,000610 |
500 x 10 | 1,000411 | 1,000436 | 1,000460 | 1,000484 |
500 x 12 | 1,000340 | 1,000360 | 1,000380 | 1,000400 |
600 x 8 | 1,000621 | 1,000657 | 1,000694 | 1,000730 |
600 x 10 | 1,000493 | 1,000522 | 1,000551 | 1,000580 |
600 x 12 | 1,000408 | 1,000432 | 1,000456 | 1,000480 |
700 x 8 | 1,000712 | 1,000754 | 1,000796 | 1,000838 |
700 x 10 | 1,000566 | 1,000599 | 1,000633 | 1,000666 |
700 x 12 | 1,000469 | 1,000497 | 1,000524 | 1,000552 |
Продолжение Прил. 18
 мм | Среднее избыточное давление в трубопроводе, МПа |
2,1 | 2,2 | 2,3 | 2,4 |
100 x 4 | 1,000250 | 1,000262 | 1,000274 | 1,000285 |
100 x 5 | 1,000195 | 1,000205 | 1,000214 | 1,000223 |
100 x 6 | 1,000160 | 1,000167 | 1,000175 | 1,000182 |
150 x 5 | 1,000293 | 1,000312 | 1,000327 | 1,000341 |
150 x 6 | 1,000246 | 1,000257 | 1,000269 | 1,000281 |
150 x 7 | 1,000208 | 1,000218 | 1,000228 | 1,000238 |
150 x 8 | 1,000179 | 1,000187 | 1,000196 | 1,000204 |
200 x 6 | 1,000344 | 1,000361 | 1,000377 | 1,000394 |
200 x 7 | 1,000292 | 1,000306 | 1,000320 | 1,000334 |
200 x 8 | 1,000254 | 1,000266 | 1,000278 | 1,000290 |
200 x 9 | 1,000223 | 1,000233 | 1,000244 | 1,000254 |
250 x 6 | 1,000435 | 1,000455 | 1,000476 | 1,000494 |
250 x 8 | 1,000321 | 1,000337 | 1,000352 | 1,000367 |
250 x 10 | 1,000252 | 1,000264 | 1,000276 | 1,000288 |
300 x 6 | 1,000521 | 1,000546 | 1,000570 | 1,000595 |
300 x 8 | 1,000386 | 1,000405 | 1,000423 | 1,000442 |
300 x 10 | 1,000305 | 1,000319 | 1,000334 | 1,000348 |
350 x 7 | 1,000519 | 1,000543 | 1,000568 | 1,000592 |
350 x 9 | 1,000393 | 1,000413 | 1,000437 | 1,000456 |
350 x 11 | 1,000323 | 1,000339 | 1,000354 | 1,000370 |
400 x 7 | 1,000588 | 1,000616 | 1,000644 | 1,000674 |
400 x 9 | 1,000454 | 1,000475 | 1,000497 | 1,000518 |
400 x 11 | 1,000368 | 1,000335 | 1,000403 | 1,000420 |
450 x 7 | 1,000664 | 1,000695 | 1,000727 | 1,000758 |
450 x 9 | 1,000510 | 1,000535 | 1,000559 | 1,000583 |
450 x 11 | 1,000414 | 1,000433 | 1,000453 | 1,000473 |
500 x 7 | 1,000735 | 1,000770 | 1,000805 | 1,000840 |
500 x 8 | 1,000641 | 1,000671 | 1,000702 | 1,000732 |
500 x 10 | 1,000508 | 1,000532 | 1,000557 | 1,000581 |
500 x 12 | 1,000420 | 1,000440 | 1,000460 | 1,000480 |
600 x 8 | 1,000767 | 1,000803 | 1,000840 | 1,000876 |
600 x 10 | 1,000609 | 1,000638 | 1,000667 | 1,000696 |
600 x 12 | 1,000504 | 1,000528 | 1,000552 | 1,000576 |
700 x 8 | 1,000880 | 1,000922 | 1,000964 | 1,001006 |
700 x 10 | 1,000699 | 1,000733 | 1,000765 | 1,000799 |
700 x 12 | 1,000580 | 1,000607 | 1,000635 | 1,000662 |
Продолжение Прил. 18
 мм | Среднее избыточное давление в трубопроводе, МПа |
2,5 | 2,6 | 2,7 | 2,8 |
100 x 4 | 1,000298 | 1,000309 | 1,000321 | 1,000333 |
100 x 5 | 1,000233 | 1,000242 | 1,000251 | 1,000260 |
100 x 6 | 1,000190 | 1,000198 | 1,000205 | 1,000213 |
150 x 5 | 1,000355 | 1,000369 | 1,000383 | 1,000398 |
150 x 6 | 1,000293 | 1,000304 | 1,000316 | 1,000328 |
150 x 7 | 1,000248 | 1,000257 | 1,000267 | 1,000277 |
150 x 8 | 1,000213 | 1,000221 | 1,000230 | 1,000233 |
200 x 6 | 1,000410 | 1,000426 | 1,000443 | 1,000459 |
200 x 7 | 1,000348 | 1,000361 | 1,000375 | 1,000389 |
200 x 8 | 1,000303 | 1,000315 | 1,000327 | 1,000339 |
200 x 9 | 1,000265 | 1,000276 | 1,000286 | 1,000297 |
250 x 6 | 1,000518 | 1,000538 | 1,000559 | 1,000580 |
250 x 8 | 1,000383 | 1,000398 | 1,000413 | 1,000428 |
250 x 10 | 1,000300 | 1,000312 | 1,000324 | 1,000336 |
300 x 6 | 1,000620 | 1,000645 | 1,000670 | 1,000694 |
300 x 8 | 1,000460 | 1,000478 | 1,000497 | 1,000515 |
300 x 10 | 1,000363 | 1,000377 | 1,000392 | 1,000406 |
350 x 7 | 1,000618 | 1,000642 | 1,000667 | 1,000692 |
350 x 9 | 1,000475 | 1,000494 | 1,000513 | 1,000532 |
350 x 11 | 1,000385 | 1,000400 | 1,000416 | 1,000431 |
400 x 7 | 1,000700 | 1,000728 | 1,000756 | 1,000784 |
400 x 9 | 1,000540 | 1,000562 | 1,000583 | 1,000605 |
400 x 11 | 1,000438 | 1,000455 | 1,000473 | 1,000490 |
450 x 7 | 1,000790 | 1,000822 | 1,000853 | 1,000885 |
450 x 9 | 1,000608 | 1,000632 | 1,000656 | 1,000680 |
450 x 11 | 1,000493 | 1,000512 | 1,000532 | 1,000552 |
500 x 7 | 1,000875 | 1,000910 | 1,000945 | 1,000980 |
500 x 8 | 1,000763 | 1,000793 | 1,000824 | 1,000854 |
500 x 10 | 1,000605 | 1,000629 | 1,000653 | 1,000678 |
500 x 12 | 1,000500 | 1,000520 | 1,000540 | 1,000560 |
600 x 8 | 1,000913 | 1,000949 | 1,000986 | 1,001022 |
600 x 10 | 1,000725 | 1,000754 | 1,000783 | 1,000812 |
600 x 12 | 1,000600 | 1,000624 | 1,000648 | 1,000672 |
700 x 8 | 1,001048 | 1,001089 | 1,001131 | 1,001173 |
700 x 10 | 1,000833 | 1,000866 | 1,000899 | 1,000932 |
700 x 12 | 1,000690 | 1,000718 | 1,000745 | 1,000773 |
Продолжение Прил. 18
 мм | Среднее избыточное давление в трубопроводе, МПа |
2,9 | 3,0 | 3,1 | 3,2 |
100 x 4 | 1,000345 | 1,000357 | 1,000389 | 1,000381 |
100 x 5 | 1,000270 | 1,000279 | 1,000283 | 1,000293 |
100 x 6 | 1,000220 | 1,000228 | 1,000236 | 1,000243 |
150 x 5 | 1,000412 | 1,000426 | 1,000440 | 1,000454 |
150 x 6 | 1,000339 | 1,000351 | 1,000363 | 1,000374 |
150 x 7 | 1,000287 | 1,000297 | 1,000307 | 1,000317 |
150 x 8 | 1,000247 | 1,000255 | 1,000264 | 1,000272 |
200 x 6 | 1,000476 | 1,000492 | 1,000508 | 1,000525 |
200 x 7 | 1,000403 | 1,000417 | 1,000431 | 1,000445 |
200 x 8 | 1,000351 | 1,000363 | 1,000375 | 1,000387 |
200 x 9 | 1,000307 | 1,000318 | 1,000329 | 1,000339 |
250 x 6 | 1,000600 | 1,000621 | 1,000642 | 1,000662 |
250 x 8 | 1,000444 | 1,000459 | 1,000474 | 1,000490 |
250 x 10 | 1,000348 | 1,000360 | 1,000372 | 1,000384 |
300 x 6 | 1,000719 | 1,000744 | 1,000769 | 1,000794 |
300 x 8 | 1,000534 | 1,000552 | 1,000570 | 1,000589 |
300 x 10 | 1,000421 | 1,000435 | 1,000450 | 1,000464 |
350 x 7 | 1,000716 | 1,000741 | 1,000766 | 1,000790 |
350 x 9 | 1,000551 | 1,000570 | 1,000589 | 1,000608 |
350 x 11 | 1,000447 | 1,000462 | 1,000477 | 1,000493 |
400 x 7 | 1,000812 | 1,000840 | 1,000868 | 1,000896 |
400 x 9 | 1,000626 | 1,000648 | 1,000670 | 1,000691 |
400 x 11 | 1,000508 | 1,000525 | 1,000543 | 1,000550 |
450 x 7 | 1,000916 | 1,000948 | 1,000980 | 1,001011 |
450 x 9 | 1,000705 | 1,000729 | 1,000753 | 1,000778 |
450 x 11 | 1,000571 | 1,000591 | 1,000611 | 1,000630 |
500 x 7 | 1,001015 | 1,001050 | 1,001085 | 1,001120 |
500 x 8 | 1,000885 | 1,000915 | 1,000946 | 1,000976 |
500 x 10 | 1,000702 | 1,000726 | 1,000750 | 1,000774 |
500 x 12 | 1,000580 | 1,000600 | 1,000620 | 1,000640 |
600 x 8 | 1,001059 | 1,001095 | 1,001132 | 1,001168 |
600 x 10 | 1,000841 | 1,000870 | 1,000899 | 1,000928 |
600 x 12 | 1,000696 | 1,000720 | 1,000744 | 1,000768 |
700 x 8 | 1,001215 | 1,001257 | 1,001299 | 1,001341 |
700 x 10 | 1,000966 | 1,000999 | 1,001032 | 1,001066 |
700 x 12 | 1,000800 | 1,000828 | 1,000856 | 1,000883 |
Продолжение Прил. 18
 мм | Среднее избыточное давление в трубопроводе, МПа |
3,3 | 3,4 | 3,5 | 3,6 |
100 x 4 | 1,000393 | 1,000405 | 1,000417 | 1,000428 |
100 x 5 | 1,000307 | 1,000316 | 1,000326 | 1,000335 |
100 x 6 | 1,000251 | 1,000258 | 1,000266 | 1,000274 |
150 x 5 | 1,000469 | 1,000483 | 1,000497 | 1,000511 |
150 x 6 | 1,000386 | 1,000398 | 1,000410 | 1,000421 |
150 x 7 | 1,000327 | 1,000337 | 1,000347 | 1,000356 |
150 x 8 | 1,000281 | 1,000289 | 1,000298 | 1,000306 |
200 x 6 | 1,000541 | 1,000558 | 1,000574 | 1,000590 |
200 x 7 | 1,000459 | 1,000473 | 1,000487 | 1,000500 |
200 x 8 | 1,000399 | 1,000411 | 1,000424 | 1,000436 |
200 x 9 | 1,000350 | 1,000360 | 1,000371 | 1,000382 |
250 x 6 | 1,000683 | 1,000704 | 1,000725 | 1,000745 |
250 x 8 | 1,000505 | 1,000520 | 1,000536 | 1,000551 |
250 x 10 | 1,000396 | 1,000408 | 1,000420 | 1,000432 |
300 x 6 | 1,000818 | 1,000843 | 1,000868 | 1,000893 |
300 x 8 | 1,000607 | 1,000626 | 1,000644 | 1,000662 |
300 x 10 | 1,000479 | 1,000493 | 1,000508 | 1,000522 |
350 x 7 | 1,000815 | 1,000840 | 1,000865 | 1,000889 |
350 x 9 | 1,000627 | 1,000646 | 1,000665 | 1,000684 |
350 x 11 | 1,000508 | 1,000524 | 1,000539 | 1,000554 |
400 x 7 | 1,000924 | 1,000952 | 1,000980 | 1,001008 |
400 x 9 | 1,000713 | 1,000734 | 1,000756 | 1,000778 |
400 x 11 | 1,000578 | 1,000595 | 1,000613 | 1,000630 |
450 x 7 | 1,001043 | 1,001074 | 1,001106 | 1,001138 |
450 x 9 | 1,000802 | 1,000825 | 1,000851 | 1,000875 |
450 x 11 | 1,000650 | 1,000670 | 1,000690 | 1,000709 |
500 x 7 | 1,001155 | 1,001190 | 1,001225 | 1,001260 |
500 x 8 | 1,001007 | 1,001037 | 1,001068 | 1,001098 |
500 x 10 | 1,000799 | 1,000823 | 1,000847 | 1,000871 |
500 x 12 | 1,000660 | 1,000680 | 1,000700 | 1,000720 |
600 x 8 | 1,001205 | 1,001241 | 1,001278 | 1,001314 |
600 x 10 | 1,000957 | 1,000986 | 1,001015 | 1,001044 |
600 x 12 | 1,000792 | 1,000816 | 1,000840 | 1,000864 |
700 x 8 | 1,001383 | 1,001425 | 1,001457 | 1,001508 |
700 x 10 | 1,001099 | 1,001132 | 1,001166 | 1,001199 |
700 x 12 | 1,000911 | 1,000938 | 1,000966 | 1,000994 |
Продолжение Прил. 18
 мм | Среднее избыточное давление в трубопроводе, МПа |
3,7 | 3,8 | 3,9 | 4,0 |
100 x 4 | 1,000440 | 1,000452 | 1,000464 | 1,000476 |
100 x 5 | 1,000344 | 1,000353 | 1,000363 | 1,000372 |
100 x 6 | 1,000281 | 1,000289 | 1,000296 | 1,000304 |
150 x 5 | 1,000525 | 1,000540 | 1,000554 | 1,000568 |
150 x 6 | 1,000433 | 1,000445 | 1,000456 | 1,000468 |
150 x 7 | 1,000366 | 1,000376 | 1,000386 | 1,000390 |
150 x 8 | 1,000315 | 1,000323 | 1,000332 | 1,000340 |
200 x 6 | 1,000607 | 1,000523 | 1,000640 | 1,000656 |
200 x 7 | 1,000514 | 1,000528 | 1,000542 | 1,000556 |
200 x 8 | 1,000448 | 1,000460 | 1,000472 | 1,000484 |
200 x 9 | 1,000392 | 1,000403 | 1,000413 | 1,000424 |
250 x 6 | 1,000766 | 1,000787 | 1,000807 | 1,000828 |
250 x 8 | 1,000566 | 1,000581 | 1,000597 | 1,000612 |
250 x 10 | 1,000444 | 1,000456 | 1,000468 | 1,000480 |
300 x 6 | 1,000918 | 1,000942 | 1,000967 | 1,000992 |
300 x 8 | 1,000681 | 1,000699 | 1,000718 | 1,000736 |
300 x 10 | 1,000537 | 1,000551 | 1,000566 | 1,000580 |
350 x 7 | 1,000914 | 1,000939 | 1,000963 | 1,000988 |
350 x 9 | 1,000703 | 1,000722 | 1,000741 | 1,000760 |
350 x 11 | 1,000570 | 1,000585 | 1,000601 | 1,000616 |
400 x 7 | 1,001036 | 1,001064 | 1,001092 | 1,001120 |
400 x 9 | 1,000799 | 1,000821 | 1,000842 | 1,000864 |
400 x 11 | 1,000648 | 1,000665 | 1,000683 | 1,000700 |
450 x 7 | 1,001169 | 1,001201 | 1,001232 | 1,001264 |
450 x 9 | 1,000899 | 1,000923 | 1,000948 | 1,000972 |
450 x 11 | 1,000729 | 1,000749 | 1,000768 | 1,000788 |
500 x 7 | 1,001295 | 1,001330 | 1,001365 | 1,001400 |
500 x 8 | 1,001129 | 1,001159 | 1,001190 | 1,001220 |
500 x 10 | 1,000895 | 1,000920 | 1,000944 | 1,000968 |
500 x 12 | 1,000740 | 1,000760 | 1,000780 | 1,000800 |
600 x 8 | 1,001351 | 1,001387 | 1,001424 | 1,001460 |
600 x 10 | 1,001073 | 1,001102 | 1,001131 | 1,001160 |
600 x 12 | 1,000888 | 1,000912 | 1,000936 | 1,000960 |
700 x 8 | 1,001550 | 1,001592 | 1,001634 | 1,001676 |
700 x 10 | 1,001232 | 1,001265 | 1,001299 | 1,001332 |
700 x 12 | 1,001021 | 1,001049 | 1,001076 | 1,001104 |
ЗНАЧЕНИЯ ПОПРАВОЧНЫХ КОЭФФИЦИЕНТОВ K
2 В ЗАВИСИМОСТИ
ОТ ВЕЛИЧИНЫ КОЭФФИЦИЕНТА СЖИМАЕМОСТИ НЕФТЕПРОДУКТА
И СРЕДНЕГО ДАВЛЕНИЯ В ТРУБОПРОВОДЕ
Среднее избыточное давление в трубопроводе, МПа | Наименование нефтепровода |
бензин | керосин | дизельное топливо | нефть |
Коэффициент сжимаемости гамма, МПа-1 |
1,0·10-3 | 0,7·10-3 | 0,65·10-3 | 0,9·10-3 |
1 | 2 | 3 | 4 | 5 |
1,0 | 1,001000 | 1,000700 | 1,000650 | 1,000000 |
1,1 | 1,001100 | 1,000770 | 1,000715 | 1,000099 |
1,2 | 1,001200 | 1,000840 | 1,000780 | 1,000108 |
1,3 | 1,001300 | 1,000910 | 1,000845 | 1,000117 |
1,4 | 1,001400 | 1,000930 | 1,000910 | 1,000126 |
1,5 | 1,001500 | 1,001050 | 1,000975 | 1,000135 |
1,6 | 1,001600 | 1,001120 | 1,001040 | 1,000144 |
1,7 | 1,001700 | 1,001190 | 1,001105 | 1,000153 |
1,8 | 1,001800 | 1,001260 | 1,001170 | 1,000162 |
1,9 | 1,001900 | 1,001330 | 1,001235 | 1,000171 |
2,0 | 1,002000 | 1,001400 | 1,001300 | 1,000180 |
2,1 | 1,002100 | 1,001470 | 1,001365 | 1,000189 |
2,2 | 1,002200 | 1,001540 | 1,001430 | 1,000198 |
2,3 | 1,002300 | 1,001610 | 1,001495 | 1,000207 |
2,4 | 1,002400 | 1,001680 | 1,001560 | 1,000216 |
2,5 | 1,002500 | 1,001750 | 1,001625 | 1,000225 |
2,6 | 1,002600 | 1,001820 | 1,001690 | 1,000234 |
2,7 | 1,002700 | 1,001890 | 1,001755 | 1,000243 |
2,8 | 1,002800 | 1,001960 | 1,001820 | 1,000252 |
2,9 | 1,002900 | 1,002030 | 1,001885 | 1,000261 |
3,0 | 1,003000 | 1,002100 | 1,001950 | 1,000270 |
3,1 | 1,003100 | 1,002170 | 1,002015 | 1,000279 |
3,2 | 1,003200 | 1,002240 | 1,002080 | 1,000288 |
3,3 | 1,003300 | 1,002310 | 1,002145 | 1,000297 |
3,4 | 1,003400 | 1,002380 | 1,002210 | 1,000306 |
3,5 | 1,003500 | 1,002450 | 1,002275 | 1,000315 |
3,6 | 1,003600 | 1,002520 | 1,002340 | 1,000324 |
3,7 | 1,003700 | 1,002590 | 1,002405 | 1,000333 |
3,8 | 1,003800 | 1,002660 | 1,002470 | 1,000342 |
3,9 | 1,003900 | 1,002730 | 1,002535 | 1,000351 |
4,0 | 1,004000 | 1,002800 | 1,002600 | 1,000360 |
РАСЧЕТА ОБЪЕМА НЕФТЕПРОДУКТА, НАХОДЯЩЕГОСЯ В САМОТЕЧНОМ
УЧАСТКЕ НЕФТЕПРОДУКТОПРОВОДА
1. Наличие самотечного участка и длина его определяется графически на профиле нефтепродуктопровода отдельно для каждого перегона от одной перекачивающей станции до следующей.
2. Для графической работы используют профиль перегона нефтепродуктопровода, имеющиеся гидравлические напоры в начале Hн и конце Hк перегона, известный гидравлический уклон i (потеря напора на трение, отнесенная к единице длины трубопровода).
3. На профиле перегона (рис. 1 <*>) с уровня гидравлического напора в начале перегона H
н проводят линию гидравлического уклона

Если эта линия касается одной из верхних точек

на профиле, то эта точка является перевальной, и за ней следует самотечный участок.
--------------------------------
<*> Рисунки не приводятся.
4. На профиле перегона с уровня гидравлического напора в конце перегона H
к проводят линию гидравлического уклона i. Точка пересечения С этой линии с линией профиля означает конец самотечного участка. Расстояние от точки

до точки С принимается за длину самотечного участка l
с.
5. Если на перегоне нефтепродуктопровода имеется несколько высоких точек-пиков, то самотечных участков может быть несколько (рис. 2). В случае, когда линия гидравлического уклона, проведенная с начала перегона, касается вершины первого пика - верхней точки

а линия гидравлического уклона, проведенная с конца перегона, пересекает профиль второго пика в точке C", имеются самотечные участки после каждого пика. В таком случае линия гидравлического уклона i проводится касательно вершины второго пика в точке

до пересечения профиля первого пика в точке C'. Эта точка пересечения означает конец первого самотечного участка. А второй самотечный участок имеется после второго пика от точки

до точки C".
Аналогичным образом находятся самотечные участки, когда их больше двух.
6. Определяют гидравлический уклон iс на самотечных участках как отношение разности hс геодезических отметок начала и конца участка к длине lс самотечного участка, т.е.:
i = hс/lс.
7. Находят модуль расхода M (дм3/с) по формуле:
| | ИС МЕГАНОРМ: примечание. В официальном тексте документа, видимо, допущена опечатка: имеется в виду таблица П20, а не П17. | |
8. Степень заполнения K
3 по площади поперечного сечения трубопровода нефтепродуктом на самотечном участке находят по
таблице П17. Для этого в столбце, соответствующем данному диаметру нефтепродуктопровода, находят строку с вычисленным значением модуля расхода M. В крайнем левом столбце таблицы находят соответствующее значение коэффициента K
3.
9. Объем V нефтепродукта, находящегося на самотечном участке трубопровода, находят по формуле:
V = K3·FО·lс,
где FО - площадь поперечного сечения нефтепродуктопровода, кв. м;
lс - длина самотечного участка, м.
Пример.
Исходные данные: D = 0,5 м; расход Q = 1235 м3/ч = 343 дм3/с;
гидравлический уклон на напорном участке i = 0,00374.
Расчет:
1) на профиле трассы (рис. 1) находим lс = 30000 м, hс = 240 м:
iс = hс/lс = 0,008;
2) находим модуль расхода:
3) определяем по таблице степень заполнения K3 по сечению трубопровода нефтепродуктом на самотечном участке (применяя интерполяцию на промежуточное значение M = 3835):
K3 = 0,892;
4) объем нефтепродукта на самотечном участке вычисляют по формуле:
V = K3·FО·lс = 0,892·0,785·(0,5)2·30000 = 5252 м3.
Таблица П20
ЗНАЧЕНИЯ СТЕПЕНИ ЗАПОЛНЕНИЯ ТРУБОПРОВОДА НЕФТЕПРОДУКТОМ
НА САМОТЕЧНЫХ УЧАСТКАХ В ЗАВИСИМОСТИ ОТ ДИАМЕТРА
ТРУБОПРОВОДА И МОДУЛЯ РАСХОДА
Степень заполнения, K=F3/FО | Модуль расхода,  дм 3/с |
диаметр трубопровода, D, м |
0,2 | 0,25 | 0,30 | 0,35 | 0,40 | 0,50 |
0,018 | 1,6 | 2,8 | 4,6 | 7,0 | 10,0 | 18,1 |
0,052 | 6,8 | 12,4 | 29,2 | 30,5 | 43,5 | 78,8 |
0,094 | 15,9 | 28,9 | 47,0 | 70,9 | 101,2 | 183,5 |
0,142 | 28,7 | 52,1 | 84,7 | 127,7 | 182,4 | 330,7 |
0,195 | 44,9 | 81,5 | 132,5 | 199,8 | 285,3 | 517,3 |
0,252 | 64,3 | 116,5 | 189,4 | 285,7 | 407,9 | 739,7 |
0,312 | 86,2 | 156,4 | 254,3 | 383,5 | 547,6 | 992,8 |
0,374 | 110,5 | 200,4 | 325,8 | 491,5 | 701,7 | 1272,0 |
0,436 | 136,6 | 247,7 | 402,8 | 607,6 | 867,4 | 1573,0 |
0,500 | 164,0 | 297,3 | 483,5 | 729,3 | 1041,0 | 1888,0 |
0,563 | 192,1 | 348,3 | 566,4 | 854,4 | 1220,0 | 2212,0 |
0,625 | 220,4 | 399,5 | 650,0 | 980,0 | 1399,0 | 2537,0 |
0,688 | 248,1 | 449,8 | 731,5 | 1103,0 | 1575,0 | 2856,0 |
0,747 | 274,6 | 497,9 | 809,6 | 1221,0 | 1744,0 | 3161,0 |
0,804 | 299,1 | 542,3 | 881,8 | 1330,0 | 1899,0 | 3443,0 |
0,856 | 320,6 | 581,3 | 945,2 | 1426,0 | 2036,0 | 3691,0 |
0,906 | 338,0 | 612,8 | 996,4 | 1503,0 | 2146,0 | 3891,0 |
0,948 | 349,6 | 633,8 | 1031,0 | 1555,0 | 2220,0 | 4024,0 |
0,981 | 353,2 | 640,5 | 1041,0 | 1571,0 | 2243,0 | 4067,0 |
1,000 | Более | Более | Более | Более | Более | Более |
| 355,0 | 645,0 | 1045,0 | 1575,0 | 2245,0 | 4070,0 |
МАССЫ НЕФТЕПРОДУКТА В ЛИНЕЙНОЙ ЧАСТИ ТРУБОПРОВОДА
Определить массу дизельного топлива в участке трубопровода длиной L = 100 км, диаметром D = 529 мм, толщиной стенки

мм. Давление в начале участка трубопровода P
н = 5,5 МПа; в конце P
к = 0,1 МПа. Модуль упругости трубы E = 2,06·10
-5 МПа. Средняя температура на участке t
ср = 10 °C.
1) Находят геометрический объем участка трубопровода по градуировочной таблице:
Vгр = 20658,800 м3.
2) Находят среднее избыточное давление:
Pср = (Pн + Pк)/2 = (5,5 + 0,1)/2 = 2,8 МПа.
3) По
Приложению 18 находят значение поправочного коэффициента на вместимость трубопровода в зависимости от среднего давления на участке и размеров трубопровода:
K1 = 1,000854.
4) По
Приложению 19 находят значение поправочного коэффициента в зависимости от величины коэффициента сжимаемости нефтепродукта и среднего давления в трубопроводе:
K2 = 1,001820.
5) По
Приложению 17 находят значение поправочного коэффициента на вместимость трубопровода в зависимости от средней температуры t
ср = 10 °C:
Kt = 0,99966.
6) С учетом значений Kt и Kр = (K1·K2) определяют вместимость участка трубопровода (объем дизельного топлива в трубопроводе):
V = Kt·K1·K2·V = 0,99966·1,000854·1,001820·20658,800 м3 =
= 20707,031 м3.
7) Определяют плотность дизельного топлива как среднее значение плотности в начале

= 852,5 кг/м
3 и конце

= 854,0 кг/м
3 участка трубопровода:
8) Массу дизельного топлива находят умножением средней плотности на его объем в трубопроводе:
M = 17668274,2 кг.
ОРГАНИЗАЦИИ ИНВЕНТАРИЗАЦИОННЫХ КОМИССИЙ
И ИХ ФУНКЦИОНАЛЬНЫЕ ОБЯЗАННОСТИ
1. Для инвентаризации основных средств, товарно-материальных ценностей, денежных средств и расчетов в АО магистральных нефтепродуктопроводов, а также в их подразделениях создаются постоянно действующие инвентаризационные комиссии в составе:
руководителя или его заместителя (председатель комиссии);
главного (старшего) бухгалтера;
руководителей структурных подразделений;
представителя общественности.
2. Для непосредственного проведения инвентаризации нефтепродуктов создаются рабочие комиссии в составе:
представителя руководства АО (председатель комиссии);
работника бухгалтерии, а также других опытных работников, (акционеров), имеющих навыки проведения инвентаризации нефтепродуктов.
3. Запрещается назначать председателем рабочей инвентаризационной комиссии у одних и тех же материально ответственных лиц одного и того же работника два раза подряд.
4. Персональный состав постоянно действующих инвентаризационных комиссий и рабочих инвентаризационных комиссий утверждается руководителем (генеральным директором), о чем издается приказ по организации (может быть избран на общем собрании акционеров).
5. Постоянно действующие инвентаризационные комиссии выполняют следующие функции:
- проводят профилактическую работу по обеспечению сохранности нефтепродуктов, материальных и денежных средств, а при необходимости заслушивают на своих заседаниях руководителей структурных подразделений по вопросам сохранности товарно-материальных ценностей и денежных средств;
- организуют проведение инвентаризаций и осуществляют инструктаж членов рабочих инвентаризационных комиссий;
- осуществляют контрольные проверки правильности проведения инвентаризаций, а также проводят выборочные инвентаризации нефтепродуктов и других материальных ценностей в местах хранения;
- проверяют правильность выводов результатов инвентаризаций на местах, обоснованность предложенных зачетов по пересортице нефтепродуктов на перекачивающих станциях, наливных пунктах и пунктах приема-сдачи;
- в необходимых случаях (при установлении серьезных нарушений правил проведения инвентаризаций и др.) проводят по поручению руководства предприятий (для акционерных предприятий - по поручению общего собрания акционеров) повторные сплошные инвентаризации;
- рассматривают объяснения от должностных лиц, допустивших недостачу или порчу нефтепродуктов, а также другие нарушения и дают свои предложения о порядке регулирования выявленных недостач, потерь от порчи и пр.
6. Рабочие инвентаризационные комиссии:
- осуществляют инвентаризацию нефтепродуктов, товарно-материальных и денежных средств на предприятиях и в структурных подразделениях (ПС, НП и т.д.) МНПП;
- совместно с бухгалтерией участвуют в разборе (определении) результатов инвентаризации и разрабатывают предложения по зачету недостач и излишков по пересортице, а также списанию недостач в пределах норм естественной убыли;
- вносят предложения по вопросам совершенствования и упорядочения приемки, хранения и отпуска нефтепродуктов, улучшения учета и контроля за их сохранностью;
- несут ответственность за своевременность и соблюдение порядка проведения инвентаризации в соответствии с приказом руководства организации, за полноту и точность внесения в описи данных о фактических остатках проверяемых материальных ценностей; за правильность указания в инвентаризационной описи отличительных признаков нефтепродуктов, по которым определяют их цены; за правильность и своевременность оформления материалов инвентаризации в соответствии с установленным порядком.
7. Члены инвентаризационных комиссий за внесение в инвентаризационные описи заведомо неправильных данных о фактических остатках товарно-материальных ценностей с целью сокрытия их недостач, растрат или выявленных излишков подлежат привлечению к ответственности в установленном законом порядке.
ИНВЕНТАРИЗАЦИОННАЯ ОПИСЬ N ________
нефтепродуктов в резервуарах ________________________
(наименование объекта)
Мы, нижеподписавшиеся, председатель комиссии ______________________________
(должность,
___________________________________________________________________________
фамилия, И.О.)
и члены комиссии __________________________________________________________
(должность, фамилия, И.О.)
составили настоящую опись в том, что ______ на ____ часов было произведено
(дата)
снятие остатков нефтепродуктов и после расчета установили следующее
наличие:
N п/п | Номер резервуара | Наименование нефтепродукта | Уровень, мм | Объем по градуировочной таблице, м3 | Средняя температура нефтепродукта, °C | Средняя плотность нефтепродукта, кг/м3 | Масса нефтепродукта, кг |
общий | подтоварной воды | общий | подтоварной воды | нефтепродукта |
1 | 2 | 3 | 4 | 5 | 6 | 7 | 8 | 9 | 10 | 11 |
| | | | | | | | | | |
Председатель комиссии __________________
(подпись)
Члены: __________________
(подписи)
ИНВЕНТАРИЗАЦИОННАЯ ОПИСЬ N ______
нефтепродуктов в линейной части нефтепродуктопровода
____________________________________________________
(наименование)
Мы, нижеподписавшиеся, председатель комиссии ______________________________
(должность,
___________________________________________________________________________
фамилия, И.О.)
и члены комиссии __________________________________________________________
(должность, фамилия, И.О.)
составили настоящую опись в том, что __________ на ______ часов установлено
(дата)
следующее количество нефтепродуктов в линейной части нефтепродуктопровода:
N п/п | Наименование нефтепродукта | Граница участка нефтепродуктопровода (пикеты) | Длина участка нефтепродуктопровода, м | Геометрическая (расчетная) вместимость участка нефтепродуктопровода, м3 | Среднее давление в нефтепродуктопроводе, МПа (кгс/см2) | Поправочный коэффициент K = Kt·Kp на объем нефтепродукта в трубопроводе | Поправочный коэффициент Kз (степень заполнения самотечного участка трубопровода) | Объем нефтепродукта, м3 | Средняя температура, °C | Средняя плотность нефтепродукта, кг/м3 | Масса нефтепродукта, кг |
1 | 2 | 3 | 4 | 5 | 6 | 7 | 8 | 9 | 10 | 11 | 12 |
| | | | | | | | | | | |
Председатель комиссии ________________
(подпись)
Члены: ________________
(подписи)
ИНВЕНТАРИЗАЦИОННАЯ ОПИСЬ N ______
нефтепродуктов в технологических трубопроводах
______________________________________________
(наименование объекта)
Мы, нижеподписавшиеся, председатель комиссии ______________________________
(должность,
___________________________________________________________________________
фамилия, И.О.)
и члены комиссии __________________________________________________________
(должность, фамилия, И.О.)
составили настоящую опись в том, что ________ на ________ часов установлено
(дата)
следующее количество нефтепродуктов в технологических трубопроводах:
N п/п | Наименование нефтепродукта | Наименование участка (от задвижки до задвижки и др.) | Вместимость участка нефтепродуктопровода, м3 | Объем нефтепродукта, м3 | Средняя температура нефтепродукта, °C | Средняя плотность нефтепродукта при средней температуре, кг/м3 | Масса нефтепродукта, кг |
1 | 2 | 3 | 4 | 5 | 6 | 7 | 8 |
| | | | | | | |
Председатель комиссии ________________
(подпись)
Члены: ________________
(подписи)
ИНВЕНТАРИЗАЦИОННАЯ ОПИСЬ N ______
нефтепродуктов в технологическом оборудовании
_____________________________________________
(наименование объекта)
Мы, нижеподписавшиеся, председатель комиссии ______________________________
(должность,
___________________________________________________________________________
фамилия, И.О.)
и члены комиссии __________________________________________________________
(должность, фамилия, И.О.)
составили настоящую опись в том, что ________ на ________ часов установлено
(дата)
следующее количество нефтепродуктов в технологическом оборудовании:
N п/п | Наименование нефтепродукта | Наименование технологического оборудования (насосы, фильтры и т.д.) | Вместимость технологического оборудования, м3 | Объем нефтепродукта, м3 | Средняя температура нефтепродукта, °C | Средняя плотность нефтепродукта при средней температуре, кг/м3 | Масса нефтепродукта, кг |
1 | 2 | 3 | 4 | 5 | 6 | 7 | 8 |
| | | | | | | |
Председатель комиссии ________________
(подпись)
Члены: ________________
(подписи)
ИНВЕНТАРИЗАЦИОННАЯ ОПИСЬ N ______
нефтепродуктов в емкостях технологического оборудования
_______________________________________________________
(наименование объекта)
Мы, нижеподписавшиеся, председатель комиссии ______________________________
(должность,
___________________________________________________________________________
фамилия, И.О.)
и члены комиссии __________________________________________________________
(должность, фамилия, И.О.)
составили настоящую опись в том, что ______ на _____ часов было произведено
(дата)
снятие остатков нефтепродуктов, и после расчета установили следующее
наличие:
N п/п | Номер емкости технологического оборудования | Наименование нефтепродукта | Уровень, мм | Объем по градуировочной таблице, м3 | Средняя температура нефтепродукта, °C | Средняя плотность нефтепродукта, кг/м3 | Масса нефтепродукта, кг |
общий | подтоварной воды | общий | подтоварной воды | нефтепродукта |
1 | 2 | 3 | 4 | 5 | 6 | 7 | 8 | 9 | 10 | 11 |
| | | | | | | | | | |
Председатель комиссии ________________
(подпись)
Члены: ________________
(подписи)
ИНВЕНТАРИЗАЦИОННАЯ ОПИСЬ N ______
нефтепродуктов, находящихся в пути (на учетное время,
оформленное отгрузочными документами),
по __________________________________________________
(наименование объекта)
Мы, нижеподписавшиеся, председатель комиссии ______________________________
(должность,
___________________________________________________________________________
фамилия, И.О.)
и члены комиссии __________________________________________________________
(должность, фамилия, И.О.)
составили настоящую опись в том, что ________ на ________ часов установлено
(дата)
следующее количество нефтепродуктов, находящихся в пути:
N п/п | Наименование поставщика | Наименование нефтепродукта | Дата отгрузки | Номер товарно-транспортного документа | Номер цистерны, наименование судна и т.д. | Масса нефтепродукта нетто (по документам), кг |
1 | 2 | 3 | 4 | 5 | 6 | 7 |
| | | | | | |
Председатель комиссии ________________
(подпись)
Члены: ________________
(подписи)
СВОДНАЯ ВЕДОМОСТЬ N ________
инвентаризации нефтепродуктов по ______________________,
(наименование объекта)
составленная на основании инвентаризационных описей структурных
подразделений по состоянию на ______ часов московского времени ____________
(дата)
N п/п | Наименование нефтепродукта | Масса нефтепродукта, кг | Всего масса нефтепродукта, кг |
в резервуарах | в линейной части нефтепродуктопровода | в технологических трубопроводах | в технологическом оборудовании | в емкостях технологического оборудования | находящегося в пути |
1 | 2 | 3 | 4 | 5 | 6 | 7 | 8 | 9 |
| | | | | | | | |
Зам. Генерального директора _______________ ______________________
(подпись) (фамилия, И.О.)
Начальник ТТО (ТТС) _______________ ______________________
(подпись) (фамилия, И.О.)
Гл. бухгалтер _______________ ______________________
(подпись) (фамилия, И.О.)
СЛИЧИТЕЛЬНАЯ ВЕДОМОСТЬ N ______
результатов инвентаризации нефтепродуктов
на _______________________
(дата)
по ___________________________________
(наименование объекта)
N п/п | Наименование нефтепродукта | Остаток нефтепродукта, т | Результаты инвентаризации |
излишки | недостача |
фактический | книжный (по данным бухгалтерии) |
масса, кг | масса, кг |
1 | 2 | 3 | 4 | 5 | 6 |
| | | | | |
Зам. Генерального директора _______________ ______________________
(подпись) (фамилия, И.О.)
Начальник ТТО (ТТС) _______________ ______________________
(подпись) (фамилия, И.О.)
Гл. бухгалтер _______________ ______________________
(подпись) (фамилия, И.О.)
Баланс движения нефтепродуктов
по АО (структурному подразделению АО)
за месяц, квартал, полугодие, 9 месяцев и год
(в тоннах)
N п/п | Наименование позиции | Ассортимент перекачиваемых нефтепродуктов |
всего | АБ Итого | А-76...АБ | ДТ Итого | Дл-262...ДТ | Пр 51 Итого | Пр 51... |
1 | 2 | 3 | 4 | 5 | 6 | 7 | 8 | 9 |
| ОСТАТКИ НА НАЧАЛО | | | | | | | |
в том числе: | | | | | | | |
Ресурсы АО | | | | | | | |
Ресурсы сторон. орг-ций | | | | | | | |
из них | | | | | | | |
В емкостях: | | | | | | | |
Ресурсы АО | | | | | | | |
Ресурсы сторон. орг-ций | | | | | | | |
В трубопроводах: | | | | | | | |
Ресурсы АО | | | | | | | |
Ресурсы сторон. орг-ций | | | | | | | |
В технологии: | | | | | | | |
Ресурсы АО | | | | | | | |
Ресурсы сторон. орг-ций | | | | | | | |
| ПРИЕМ НЕФТЕПРОДУКТОВ | | | | | | | |
в том числе: | | | | | | | |
Ресурсы АО | | | | | | | |
Ресурсы сторон. орг-ций | | | | | | | |
из них: | | | | | | | |
2.1 | От НПЗ | | | | | | | |
НПЗ (из словаря) | | | | | | | |
Ресурсы АО | | | | | | | |
Ресурсы сторон. орг-ций | | | | | | | |
2.2 | От других орг-ций | | | | | | | |
Организации (из словаря) | | | | | | | |
Ресурсы АО | | | | | | | |
Ресурсы сторон. орг-ций | | | | | | | |
2.3 | От соседних АО | | | | | | | |
Ресурсы АО | | | | | | | |
Ресурсы сторон. орг-ций | | | | | | | |
2.4 | Пересортица | | | | | | | |
Ресурсы АО | | | | | | | |
Ресурсы сторон. орг-ций | | | | | | | |
| РАСХОД НЕФТЕПРОДУКТОВ | | | | | | | |
в том числе: | | | | | | | |
Ресурсы АО | | | | | | | |
Ресурсы сторон. орг-ций | | | | | | | |
из них: | | | | | | | |
3.1 | Сдача нефтепродуктов | | | | | | | |
в том числе: | | | | | | | |
Ресурсы АО | | | | | | | |
Ресурсы сторон. орг-ций | | | | | | | |
из них | | | | | | | |
По трубопроводу: | | | | | | | |
Ресурсы АО | | | | | | | |
Ресурсы сторон. орг-ций | | | | | | | |
в том числе | | | | | | | |
Соседним АО: | | | | | | | |
Ресурсы АО | | | | | | | |
Ресурсы сторон. орг-ций | | | | | | | |
По железной дороге: | | | | | | | |
Ресурсы АО | | | | | | | |
Ресурсы сторон. орг-ций | | | | | | | |
Автоналив, РБ: | | | | | | | |
Ресурсы АО | | | | | | | |
Ресурсы сторон. орг-ций | | | | | | | |
3.2 | Самовывоз | | | | | | | |
Ресурсы АО | | | | | | | |
Ресурсы сторон. орг-ций | | | | | | | |
3.3 | Пересортица | | | | | | | |
Ресурсы АО | | | | | | | |
Ресурсы сторон. орг-ций | | | | | | | |
3.4 | Потери | | | | | | | |
Ресурсы АО от: | | | | | | | |
естественной убыли | | | | | | | |
зачистки | | | | | | | |
аварий | | | | | | | |
хищений | | | | | | | |
Ресурсы сторон. орг-ций: | | | | | | | |
от естественной убыли | | | | | | | |
3.5 | Собственные нужды | | | | | | | |
| ОСТАТКИ НА КОНЕЦ | | | | | | | |
в том числе: | | | | | | | |
Ресурсы АО | | | | | | | |
Ресурсы сторон. орг-ций | | | | | | | |
из них | | | | | | | |
В емкостях: | | | | | | | |
Ресурсы АО | | | | | | | |
Ресурсы сторон. орг-ций | | | | | | | |
В трубопроводах: | | | | | | | |
Ресурсы АО | | | | | | | |
Ресурсы сторон. орг-ций | | | | | | | |
В технологии: | | | | | | | |
Ресурсы АО | | | | | | | |
Ресурсы сторон. орг-ций | | | | | | | |
5. | | | | | | | | |
Генеральный директор ________________
(подпись)
Гл. бухгалтер ________________
(подпись)
Начальник ТТО ________________
(подпись)
Примечание. По всем позициям баланса показатели приводятся по ресурсам собственного нефтепродукта АО и по ресурсам сторонних организаций раздельно. По ресурсам сторонних организаций - с расшифровкой Заказчиков.
о потерях нефтепродуктов за ___________ г.
по _______________________________________
(наименование объекта)
Наименование нефтепродукта | Потери по нормам, т | Фактические потери, т | В том числе | Фактическая естественная убыль (выше или ниже нормы) |
при приеме, отпуске и хранении в резервуарах | при отпуске в транспортные средства | при перекачке по магистральным трубопроводам | всего | разовые потери, т | естественная убыль (опред. с точностью до 1 кг), т |
при повреждении и аварии | при зачистке резервуаров и трубопровода | при врезке, ремонте и пр. | при несанкционированном доступе |
(-) ниже нормы, (+) выше нормы, т | в х |
1 | 2 | 3 | 4 | 5 | 6 | 7 | 8 | 9 | 10 | 11 | 12 | 13 |
| | | | | | | | | | | | |
Общие потери нефтепродуктов
в том числе:
собственные
сторонних организаций
Ген. директор ______________ ______________________
(подпись) (фамилия, И.О.)
Начальник ТТО (ТТС) ______________ ______________________
(подпись) (фамилия, И.О.)
УТВЕРЖДАЮ
___________________
(Ф.И.О.)
___________________
(подпись)
от "__" _______________ г.
перечисления нефтепродуктов из сорта в сорт
при смене нефтепродуктов в технологических трубопроводах
и резервуарах, при зачистке и ремонте резервуаров,
трубопроводов, насосов по ________________________
(наименование объекта)
Инвентаризационная комиссия, действующая на основании приказа
(распоряжения) N ______ от _____________ г., составила настоящий акт в том,
что __________________________________ г. в результате смены нефтепродуктов
в технологических трубопроводах, резервуарах (нужное подчеркнуть), при
зачистке и ремонте резервуаров, трубопроводов, насосов (нужное подчеркнуть)
перечислено из сорта в сорт _______________________________________________
(наименование нефтепродуктов)
в количестве ________________________________________ т.
(тонны прописью (с точностью до 1 кг))
Председатель _______________ _______________ ______________
(должность) (подпись) (Ф.И.О.)
Члены: _______________ _______________ ______________
(должность) (подпись) (Ф.И.О.)
_______________ _______________ ______________
(должность) (подпись) (Ф.И.О.)
_______________ _______________ ______________
(должность) (подпись) (Ф.И.О.)
учета движения партии нефтепродукта
при последовательной перекачке по нефтепродуктопроводу
______________________________________________________
(наименование объекта)
на _______________ г.
N партии нефтепродукта | Наименование нефтепродукта | Дата и время начала закачки | Дата и время окончания закачки | Количество закачанной партии нефтепродукта, т | Средняя плотность партии нефтепродукта, кг/м3 | Средняя температура партии нефтепродукта, °C | Сдано на нефтебазы и др., т | Остаток в отводах на нефтебазы, т | Сброс на промежуточных перекачивающих станциях, т | Поступило на конечный пункт, т | Итого сдано и поступило, т | Отклонение баланса, (+) - излишки, (-) - недостача, т |
1 | 2 | 3 | 4 | 5 | 6 | 7 | 8 | 9 | 10 | 11 | 12 | 13 |
| | | | | | | | | | | | |
Подписи __________________
__________________
Дополнительные отметки для ТПП ___________________________________
учета поступления партии нефтепродукта на промежуточные
перекачивающие станции и конечные пункты
_______________________________________
(наименование объекта)
на _________________________ г.
N партии нефтепродукта | Наименование нефтепродукта | Дата и время начала поступления | Дата и время окончания поступления | Количество принятого нефтепродукта, т | Средняя плотность партии нефтепродукта, кг/м3 | Средняя температура партии нефтепродукта, °C | Количество подкачанного нефтепродукта в партию, т | Средняя плотность подкачанного нефтепродукта, кг/м3 | Средняя температура подкачанного нефтепродукта, °C |
1 | 2 | 3 | 4 | 5 | 6 | 7 | 8 | 9 | 10 |
| | | | | | | | | |
Подписи __________________
__________________
Дополнительные отметки для ТПП ___________________________________
УТВЕРЖДАЮ
______________________
(Ф.И.О.)
______________________
(подпись)
от ___________ __________ г.
на перечисление нефтепродуктов
от смешения при их последовательной перекачке
по нефтепродуктопроводу ________________________
(наименование объекта)
Инвентаризационная комиссия, ЛПДС ____________________________________,
действующая на основании приказа (распоряжения) N _________________________
от _____________________________________ г., составила настоящий акт в том,
что _________________________ г. в результате технологического смешения при
последовательной перекачке по нефтепродуктопроводу ________________________
(наименование объекта)
перечислено из сорта в сорт _______________________________________________
(наименование нефтепродуктов)
в количестве ________________ т.
(тонны прописью)
ПРЕДСЕДАТЕЛЬ _______________ _______________ _____________
(должность) (подпись) (Ф.И.О.)
Члены: _______________ _______________ _____________
(должность) (подпись) (Ф.И.О.)
_______________ _______________ _____________
(должность) (подпись) (Ф.И.О.)
Ст. диспетчер ТТС _______________ ______________
(подпись) (Ф.И.О.)
УТВЕРЖДАЮ
_____________________
(должность, Ф.И.О.)
_____________________
(подпись)
на смешение нефтепродуктов
"__" _____________ г.
На основании приказа (распоряжения) по _______________________ N ______
(наименование)
от "__" ___________ г. комиссия в составе: ________________________________
(Ф.И.О., должность)
в присутствии товарного оператора _________________________________________
проверила факт смешения ___________________________________________________
(указывается наименование нефтепродуктов,
подвергающихся смешению)
произошло "__" _________ г. в результате __________________________________
(краткое описание причин
___________________________________________________________________________
смешения нефтепродуктов)
При смешении получено ____________________________ тонн, что подтверждается
(наименование)
следующими данными:
N п/п | Номер резервуара | Наименование нефтепродукта | Уровень, мм | Объем по градуировочной таблице, м3 | Средняя температура нефтепродукта, °C | Средняя плотность нефтепродукта, кг/м3 | Масса нефтепродукта, кг |
общий | подтоварной воды | общий | подтоварной воды | нефтепродукта |
1 | 2 | 3 | 4 | 5 | 6 | 7 | 8 | 9 | 10 | 11 |
| | | | | | | | | | |
Получено в Подписи членов
результате комиссии ________________
смешения: _______________________ (подпись)
________________
Результат от смешения (подпись)
(прибыль, убыток): ________________
___________________________ Бухгалтер _________ Оператор _________
(подпись) (подпись)
ОСОБЕННОСТИ УЧЕТА НЕФТЕПРОДУКТОВ ПРИ НАЛИВЕ
В АВТОМОБИЛЬНЫЕ ЦИСТЕРНЫ
1. Учет нефтепродуктов при наливе в автоцистерны производится в соответствии с "
Инструкцией о порядке поступления, хранения, отпуска и учета нефтепродуктов на нефтебазах, наливных пунктах и автозаправочных станциях системы Госкомнефтепродукта СССР", утвержденной Госкомнефтепродуктом СССР 15 августа 1985 г. N 06/21-8-446.
2. Налив нефтепродуктов в автоцистерны на НС или РБ производят автоматизированными системами налива типа АСН-5. Для отпуска на АСН должны быть предназначены отдельные резервуары.
3. Автоцистерны, прибывающие под налив, должны соответствовать требованиям Инструкции 36-55 Госстандарта "Поверка автоцистерн калиброванных"
4. Перевозка нефтепродуктов осуществляется самовывозом - автотранспортом получателей или централизованно при наличии договора на оказание услуг по наливу - транспортом исполнителя, либо арендованным у специализированных автопредприятий транспортом.
5. На получателей продукта НС или РБ заводятся совмещенные материально-денежные карточки, в которых отражаются декадные, месячные, квартальные, годовые объемы отпуска нефтепродуктов, а также денежные средства, поступающие на расчетный счет исполнителя в порядке предоплаты за оказание услуг по наливу. При отпуске собственного продукта АО денежные платежи за нефтепродукт и за оказание услуг по наливу приводятся раздельно.
6. Отпуск нефтепродуктов потребителям сверх объемов, оговоренных в договорах, и при отсутствии денег (предварительной оплаты) за услуги по наливу категорически запрещается.
Отпуск нефтепродуктов, являющихся ресурсами АО, производится с предварительной оплатой. В отдельных случаях допускается отпуск нефтепродуктов без предварительной оплаты по решению руководства АО.
Недопустим также отпуск нефтепродуктов при поступлении денежных средств на картотеку получателя от других организаций.
7. При централизованной доставке нефтепродуктов, осуществляемой исполнителем по договорам с получателем, на АЗС комбинатов автообслуживания, наливные пункты и пункты сдачи заключают с автотранспортными предприятиями договора на аренду автотранспортных средств или на оказание транспортных услуг, в которых указывается прогнозируемый объем перевозок по сортам нефтепродуктов по возможности с квартальной и месячной разбивкой, с предоплатой. Отклонение согласованных объемов перевозок от фактического и их оплата производятся по согласованию сторон.
8. Руководство централизованными перевозками осуществляет диспетчер Исполнителя с суточными графиками налива нефтепродуктов, составленными на основании двухстороннего соглашения между исполнителем и заказчиком.
9. При централизованной доставке нефтепродуктов, осуществляемой исполнителем, потребителям в соответствии с заключенными договорами, потребители представляют наливным станциям месячные графики перевозок с разбивкой по дням и сортам нефтепродуктов. Объем перевозок по согласованным графикам должен соответствовать месячным объемам, заявленным потребителями в договорах. По согласованию сторон график на осуществление услуг по наливу может быть откорректирован не позднее чем за пять дней до планируемого месяца.
10. Для машинной обработки суточных, месячных и т.д. объемов сдачи нефтепродуктов получателям в соответствии с нормативными документами ЦКБ "АСУ-Нефтепродукт" предприятиям получателям, заказчикам присваиваются специальные коды: кодируются нефтепродукты по группам, сортам, видам и категориям потребителей. Карточкам потребителей также присваивают кодовые номера.
11. До начала смены оператор по наливу отбирает пробы по каждому сорту нефтепродукта, определяет их температуру и плотность и результаты измерений заносит в журнал оператора, осуществляющего оформление первичных документов (товарно-транспортных накладных - ТТН) по форме:
Дата и время | Наименование нефтепродукта | Место отбора пробы | Температура нефтепродукта, °C | Плотность нефтепродукта, кг/м3 | Роспись товарного оператора АСН |
1 | 2 | 3 | 4 | 5 | 6 |
12. Измерение плотности и температуры отпускаемых нефтепродуктов производится по пробам, отбираемым непосредственно из автоцистерн (в соответствии с
ГОСТ 2517-85) через каждые 2 часа.
13. Зафиксированные в журнале результаты измерений плотности и температуры нефтепродуктов вводятся в оперативную память электронных фактурных бухгалтерских машин, например, типа "Искра" (ЭФБМ) или ПЭВМ, и являются основанием при подсчете массы нефтепродуктов.
14. Оформление товарно-транспортных накладных осуществляется операторами ЭФБМ по паспортам на автоцистерны, подписанным и скрепленным печатями Государственного поверителя.
15. Одновременно с оформлением ТТН с карточек получателей снимают объемы, суммы средств на оказание услуг по наливу и суммы стоимости нефтепродуктов, если этот продукт взят из ресурсов АО.
16. При въезде автоцистерн на территорию площадки АСН-5 водителям должны выдаваться ключи от стояков налива. Налив осуществляется под точками, соответствующими сорту нефтепродукта, указанному в ТТН, и контролируется оператором по наливу.
17. После налива автоцистерны и приведения стояков в исходное положение на экземпляре ТТН оператор штампом "пропустить" подтверждает получение (налив) нефтепродуктов. Данная ТТН оставляется дежурному ВОХР при выезде с территории наливной станции.
18. Отпущенное количество нефтепродуктов по маркам, видам и категориям потребителей ежедневно суммируют по ТТН или распечатанным перфокартам ЭФБМ, сличают со счетчиками и результатами измерений по резервуарам.
При выявлении разницы, превышающей +/- 0,5% по массе, излишки нефтепродуктов в резервуарах исполнителя приходуются. Заказчиком (владельцем нефтепродуктов) при недостаче нефтепродуктов проводится расследование, и к виновным лицам применяют меры в установленном законом порядке.
ПЕРЕЧЕНЬ
НОРМАТИВНО-ТЕХНИЧЕСКИХ ДОКУМЕНТОВ, ПРИМЕНЯЕМЫХ
ПРИ УЧЕТЕ НЕФТЕПРОДУКТОВ
1.
Закон Российской Федерации о поставках продукции и товаров для государственных нужд от 28 мая 1992 г. N 2859-1. Вестник Высшего Арбитражного Суда РФ, 1994, N 11, с. 13 - 17.
2. Федеральный
закон о поставках продукции для федеральных государственных нужд от 13 декабря 1994 г. N 60-ФЗ. Вестник Высшего Арбитражного Суда РФ, 1995, N 2, с. 10 - 14.
3.
Закон Российской Федерации "Об обеспечении единства измерений"
4. Правила технической эксплуатации магистральных нефтепродуктопроводов. Гос. ком. РСФСР по обеспечению нефтепродуктами: введ. 23.07.84, разраб. Госкомнефтепродукт СССР. - М.: Недра, 1988, 87 с.
5. Особые условия поставки нефтепродуктов нефтеснабсбытовыми организациями потребителям. Утв. Постановлением Госснаба СССР и Госарбитража СССР от 17 мая 1979 г. N 33/10 с последующим Дополнением от 29.06.87 Д-76.
6. Особые
условия поставки нефтепродуктов предприятиями-изготовителями нефтеснабсбытовым организациям. Утв. Постановлением Госснаба СССР и Госарбитража СССР от 06.03.75 N 18/104. М.: Госснаб СССР, 1975.
7.
Инструкция о порядке приемки продукции производственно-технического назначения и товаров народного потребления по количеству. Утв. Постановлением Госарбитража СССР от 15.06.65 N П-6 (с изменениями, внесенными Постановлениями Госарбитража СССР от 29 декабря 1973 г. N 81, от 14 ноября 1974 г. N 98, от 23 июля 1975 г. N 115).
8. Инструкция по технологии последовательной перекачки нефтепродуктов по магистральным нефтепродуктопроводам Госкомнефтепродукта СССР. Утв. Госкомнефтепродуктом СССР 23.09.86.
9. Инструкция по техническому расследованию, учету аварий и повреждений технологических объектов магистральных нефтепродуктопроводов и списанию сверхнормативных потерь нефтепродуктов. Утв. Госкомнефтепродуктом СССР 28.03.84. Госкомнефтепродукт СССР.
10. Инструкция по транспортированию топлива для реактивных двигателей по магистральным нефтепродуктопроводам. Утв. Госкомнефтепродуктом СССР 29.07.89.
11.
Инструкция по учету поступления и расходованию горюче-смазочных материалов и единых талонов на отпуск нефтепродуктов на предприятиях, в организациях, колхозах и совхозах. Утв. Госкомнефтепродуктом СССР 03.02.84 N 01/21-8-72. М.: Госкомнефтепродукт СССР, 1972.
12.
Инструкция N 06/21-8-446 "О порядке поступления, хранения, отпуска и учета нефти и нефтепродуктов на нефтебазах, наливных пунктах и автозаправочных станциях системы Госкомнефтепродукта СССР", утвержденная 15 августа 1985 г.
13. Общие правила перевозок грузов, пассажиров и багажа по морским путям сообщения на судах Министерства морского флота 4-М.
14.
Инструкция о порядке приемки продукции производственно-технического назначения и товаров народного потребления по качеству, утвержденная
Постановлением Госарбитража СССР от 25.04.66 N П-7 (с изменениями, внесенными Постановлениями Госарбитража СССР от 29 декабря 1973 г. N 81, от 14 ноября 1974 г. N 98, от 23 июля 1975 г. N 115).
15.
Инструкция о порядке поступления, хранения, отпуска и учета нефтепродуктов на нефтебазах, наливных пунктах и автозаправочных станциях системы Госкомнефтепродукта СССР. Москва, 1985 г. Утв. Зам. Председателя Госкомнефтепродукта СССР 15 августа 1985 г. N 06/21-8-446.
16. Нормы естественной убыли нефтепродуктов при приеме, хранении, отпуске и транспортировании. Утв.
Постановлением Госснаба СССР от 26.03.86 N 40. М.: Госснаб СССР, 1986.
17.
ГОСТ 1510-84. Нефть и нефтепродукты. Упаковка, маркировка, транспортирование и хранение.
18. ГОСТ 8.321-78. Уровнемеры промышленного применения и поплавковые. Методы и средства поверки.
19.
ГОСТ 26976-86. Нефть и нефтепродукты. Методы измерения массы.
20.
ГОСТ 8.346-79. ГСИ. Резервуары стальные горизонтальные. Методы и средства поверки.
21. ГОСТ 7502-80. Рулетки измерительные металлические.
22. ГОСТ 8.247-77. ГСИ. Метрошток для измерения уровня нефтепродуктов в транспортных и стационарных емкостях. Методы и средства поверки.
23.
ГОСТ 427-75. Линейки измерительные металлические. Основные параметры и размеры. Технические требования.
24.
ГОСТ 2517-85. Нефть и нефтепродукты. Методы отбора проб.
25.
ГОСТ 3900-85. Нефть и нефтепродукты. Методы определения плотности.
26. ГОСТ 13196-85. Пробоотборники стационарные для резервуаров с нефтью и нефтепродуктами. Тип и основные параметры. Общие технические требования.
27.
ГОСТ 1770-74. Посуда мерная лабораторная стеклянная. Цилиндры, мензурки, колбы.
28.
ГОСТ 18481-81Е. Ареометры и цилиндры стеклянные. Технические условия.
29.
ГОСТ 2477-65. Нефтепродукты. Методы количественного определения содержания воды.
| | ИС МЕГАНОРМ: примечание. Нумерация пунктов дана в соответствии с официальным текстом документа. | |
29.
ГОСТ 6370-83. Нефтепродукты и присадки. Метод определения механических примесей.
30.
ГОСТ 8.207-76. ГСИ. Прямые измерения с многократными наблюдениями. Методы обработки результатов наблюдений. Основные положения.
31. ГОСТ 8.470-82. ГСИ. Государственная поверочная схема для средств измерений объема жидкости.
32.
ПР 50.2.006-94 "ГСИ. Поверка средств измерений. Организация и порядок проведения".
33.
ПР 50.2.009-94 "ГСИ. Порядок проведения испытаний и утверждения типа средств измерений".
34. ПР 50.2.017-94 "ГСИ. Положение о Российской системе калибровки".
35. РД 112 РСФСР-028-90 "Нормы технологических потерь нефтепродуктов при зачистке резервуаров".
36. РД 153-39.4Р-005-94 "Положение о метрологической службе АК "Транснефтепродукт".
37. РД 112 РСФСР-036-91 "Определение вместимости и градуировка магистральных нефтепродуктопроводов".
38.
РД 50-156-79. Методические указания. Определение вместимости и градуировка железобетонных цилиндрических резервуаров со сборной стенкой вместимостью до 30000 м
3 геометрическим методом.
39. РД 112-РСФСР-040-91. Положение об организации контроля и обеспечения сохранности качества нефтепродуктов в системе Российского государственного концерна по обеспечению нефтепродуктами "Роснефтепродукт". Утв. 17.10.91. М.: 1992, с. 93.
40.
РД 153-39.4-001-96 "Правила сдачи нефтепродуктов на нефтебазы, АЗС и склады ГСМ по отводам магистральных нефтепродуктопроводов".
41. Правила 14-49. О порядке утверждения местными органами Госстандарта калибровочных таблиц береговых резервуаров для нефти и нефтепродуктов, принимаемых и сдаваемых на перевалочных нефтебазах при перевозке водным транспортом. - М.: Изд. стандартов, 1970.
42.
МИ 1823-87. Вместимость стальных вертикальных цилиндрических резервуаров. Методика выполнения измерений геометрическим и объемным методами.
43. Методические указания по определению вместимости и градуировка трубопроводов нефтебаз. Геометрический метод. Утв. Главнефтеснабом РСФСР 15.11.77. - М.: Главнефтеснаб РСФСР, 1977.
44. Инструкция 36-55 по поверке автоцистерн калиброванных.
45. Таблицы калибровки железнодорожных цистерн. М.: Транспорт, 1980.
46.
Положение о бухгалтерском учете и отчетности в Российской Федерации. Утв. Минфином РФ от 26 декабря 1994 г. N 170.
47.
Основные положения по инвентаризации основных средств, товарно-материальных ценностей, денежных средств и расчетов. Приложение к письму Минфина СССР от 30 декабря 1982 г. N 179. М.: Минфин СССР, 1983.
48.
Положение о составе затрат по производству и реализации продукции (работ, услуг), включаемых в себестоимость продукции (работ, услуг), и о порядке формирования финансовых результатов, учитываемых при налогообложении прибыли. Утв. Постановлением Правительства РФ от 5 августа 1992 г. N 552.
49.
Закон РФ о бухгалтерском учете от 21 ноября 1996 г. N 129-ФЗ.