Главная // Актуальные документы // Акт (форма)СПРАВКА
Источник публикации
Документ опубликован не был
Примечание к документу
Название документа
"Методика по бонитировочному учету молоди рыб на нерестово-выростных хозяйствах"
(утв. Минрыбхозом СССР 07.04.1969)
"Методика по бонитировочному учету молоди рыб на нерестово-выростных хозяйствах"
(утв. Минрыбхозом СССР 07.04.1969)
Заместитель начальника
Главрыбвода
А.ИСАЕВ
7 апреля 1969 года
МЕТОДИКА
ПО БОНИТИРОВОЧНОМУ УЧЕТУ МОЛОДИ РЫБ
НА НЕРЕСТОВО-ВЫРОСТНЫХ ХОЗЯЙСТВАХ
В свете решений XXIII съезда партии и последующих пленумов о всемерном развитии рыбоводных мероприятий во внутренних водоемах нашей страны все большее значение приобретают вопросы экономической эффективности действующих рыбоводных хозяйств.
Установление показателей экономической эффективности работы рыбоводных предприятий возможно лишь при условии правильной постановки техники учета продукции как в промежуточных звеньях работы, так и на конечном этапе работы производства.
Правильный учет в каждой звене рыбоводного процесса (икры, личинок, молоди) и при выпуске продукции (молоди для зарыбления нагульных водоемов или товарной рыбы) позволит определить рентабельность работы рыбоводного предприятия и вскрыть имеющиеся резервы производства.
В бассейнах внутренних морей нашей страны ведутся большие работы по воспроизводству запасов промысловых видов рыб, путем выращивания их молоди в рыбоводных хозяйствах. Однако, в биотехнике промышленного рыбоводства методы учета рыбоводной продукции являются далеко недостаточно разработанными.
Наиболее распространенным методом учета численности молоди рыб в нерестово-вырастных хозяйствах в настоящее время служит повременный учет на шлюзах с помощью ловушек различных конструкций. Длительность и трудоемкость повременного учета, его субъективный характер, задержка ската молоди, которая увеличивает вероятность ее выедания хищниками и влечет к потере инстинкта ската и образованию тугорослых форм, неоднократно отмечались рядом исследователей (Кожин, 1941; Кузнецова, 1950; Летичевский, 1951а; 1953, 1965; Таманская, 1957, 1965 и др.).
В последние годы в водоемах нерестово-вырастных хозяйств все более широкое распространение получает бонитировочный учет молоди рыб. Так называется в этом случае ихтиологическая съемка или выборочный метод обследования водоема с помощью орудий лова.
Причинами все более широкого распространения бонитировочного метода учета молоди рыб являются упоминавшиеся недостатки повременного учета на шлюзах, меньшая затрата времени и труда на бонитировочный учет, чем на повременный, и, при выполнении соответствующих условий, возможность получения эффективной <*> оценки урожая молоди рыб.
--------------------------------
<*> Содержащей наименьшую случайную погрешность.
Чтобы с помощью бонитировочного учета получить наиболее верную информацию о численности выращенной молоди рыб, должны быть выполнены 2 основных условия вероятностного метода исследования:
а) планирование и проведение съемки так, чтобы она представляла обследуемую совокупность рыб и б) математическая обработка статистических данных таким образом, чтобы были получены наиболее правильные выводы относительно величины урожая молоди рыб.
Для выполнения первого условия - представительности съемки для обследуемой совокупности рыб - необходимо обеспечить репрезентативность уловов при достаточно большом числе станций облова и выполнении принципа случайности при их расстановке. Это условие обеспечивается планированием и методикой проведения бонитировочного учета, которые в течение последних лет разрабатывались и усовершенствовались рядом исследователей (Майский, 1940; Кузнецова, 1950; Летичевский, 1951б; Таманская, 1965; Аксютина, Волкова, Таманская, 1967; Летичевский, Рогаткин, 1968; и др.).
Для выполнения второго условия - получения по данным контрольных уловов наиболее правильных выводов относительно численности выращенной молоди - математическая обработка статистических данных должна быть обоснована вероятностными законами распределения концентрации облавливаемого стада рыб (Аксютина, Таманская, 1967; Аксютина, Волкова, Таманская, 1967; Аксютана, 1968; Аксютина, Драпацкий, 1968).
Уже из биологических соображений можно ожидать, что закон распределения совокупности рыб в водоеме отличается от нормального, так как особи стада распределяются по акватории не случайно, а скоплениями, косяками, в зависимости от биологических факторов и факторов среды, влияние которых на стадо различно и в общем случае определит асимметричный характер его распределения.
В данной методике была поставлена задача обеспечить выполнение как первого; так и второго условий вероятностного метода исследования поэтому взамен общепринятого термина "бонитировочный <*> учет" мы будем пользоваться термином "вероятностный учет".
--------------------------------
<*> Бонитировка (лат. bonitas - доброкачественность) - качественная оценка почв, растений, хозяйственной и племенной ценности с.-х. животных и др.
В результате проведенного нами вероятностно-статистического исследования закономерностей распределения концентрации молоди рыб в водоемах нерестово-вырастных хозяйств Кубани и Дона, по данным более чем 50-ти бонитировочных съемок за 1965 - 1968 годы, было установлено, что распределение молоди рыб по акватории удовлетворительно согласуется с логарифмически нормальным законом распределения и лишь примерно 27% съемок не противоречат нормальному закону.
Таким образом, средний арифметический улов, будучи репрезентативной оценкой математического ожидания улова при нормальном распределении молоди рыб, приблизительно для 73% съемок может быть неэффективной оценкой и содержать значительную случайную погрешность.
Следовательно, задача определения эффективной оценки математического ожидания улова, а затем и урожая молоди рыб не имеет однозначного решения и обработке статистических данных уловов должен предшествовать анализ вероятностной закономерности их распределения.
Исследование вероятностного закона распределения концентрации стада рыб, оценка числовых характеристик соответствующего распределения, а затем урожая молоди рыб и точности получаемого результата - весьма трудоемкие работы, поэтому, по поручению Главрыбвода, отделом "Прогноз" Управления по координации вычислительных работ, исследованию и руководству операциями при Министерстве рыбного хозяйства СССР, по алгоритму З.М. Аксютиной, разработана стандартная программа решения этих задач на электронно-вычислительной машине (стандартная программа вероятностной оценки запасов рыб по данным ихтиологической съемки).
Следует заметить, что точность оценки урожая при зональной съемке выше, чем при простой (без деления на зоны). При зональной съемке относительная погрешность оценки урожая молоди рыб может составить в среднем 15 - 25% от оцениваемой величины. В разделах методики изложены основные принципы планирования и проведения вероятностного учета и порядок подготовки статистических данных для их математической обработки на электронно-вычислительной машине.
Основные математические положения, используемые для оценки урожая молоди рыб, и алгоритм стандартной программы даны в приложениях. Там же дан перечень материалов и оборудования и образец акта оценки урожая молоди для нерестово-вырастных хозяйств.
I. Основные принципы планирования
вероятностного метода учета молоди рыб
Планирование вероятностного учета молоди рыб, в основном, сводится к следующему:
1. Для всей съемки выбирается единый тип орудия лова и устанавливается время одного замета.
2. Проводятся рекогносцировочные обловы с целью установления зон относительно равномерной концентрации рыбы (если планируется зональная съемка).
3. Выбирается методика определения коэффициентов уловистости и устанавливаются коэффициенты уловистости орудия лова для выделенных зон (при зональной съемке) и контролируемых видов рыб.
4. Вычисляются площади зон и площади обмета при одном притонении в соответствующих зонах (последние могут быть разными в коллекторе, зонах водоема, свободных от растительности и заросших ею).
5. Для каждой зоны устанавливается число станций облова (желательно не менее 20 - 30, чтобы избежать нестабильных малых выборок).
6. Выбирается метод, обеспечивающий принцип случайности при расстановке станций облова и составляется план съемки (сетка станций расставляется равномерно по водоему, или методом случайных чисел).
7. Устанавливается метод оценки величины улова: при малых выборках - сплошной учет, при больших - отбор субвыборки с оценкой ее величины и последующей экстраполяцией на весь улов. Предусматривается выполнение условий, обеспечивающих принцип случайности отбора субвыборки из улова.
8. Назначается время и устанавливается длительность проведения бонитировочного учета (желательна более или менее синхронная съемка).
В следующем разделе излагается рекомендуемая нами методика проведения вероятностного учета молоди полупроходных видов рыб в водоемах нерестово-выростных хозяйств.
II. Сбор информации о численности молоди рыб в водоеме
Применение вероятностного метода учета молоди полупроходных видов рыб возможно как на естественных нерестилищах, так и в водоемах нерестово-вырастных хозяйств на любом этапе развития молоди, начиная с периода ее повсеместного распространения по вырастной площади. С целью оценки урожая лов молоди целесообразно проводить, начиная с этапа E до начала ее ската в море. В этом периоде в качестве орудия лова используется хамсоросовая мальковая волокуша с обшивкой кутца и приводов марлей или крупноячейным мельничным газом.
Если полойные вырастные водоемы спускаются не полностью, то после спуска воды в них производится повторная бонитировка для оценки численности не скатившейся молоди. На период работ по учету молоди целесообразно организовывать авторитетные комиссии под председательством главного рыбовода хозяйства. Вся организация учета и обязанности членов комиссии при его проведении устанавливаются в соответствии с правилами, изложенными в данной методике. Свою работу комиссия заканчивает составлением
акта по оценке численности и качества выращенной молоди в каждом вырастном водоеме (приложение 8).
Для проведения вероятностного учета рыбоводное хозяйство должно провести ряд подготовительных работ. Последние следует осуществлять в зимний период, когда напряженность работ в хозяйстве спадает. Подготавливается инвентарь и все необходимое оборудование
(приложение 7), ремонтируются или изготовляются заново орудия лова, приобретается спецодежда, флот, посуда и нужные химреактивы, заготавливаются масшабные контурные карты вырастных (полойных) водоемов, а также предусмотренные инструкцией формы учетных ведомостей и актов.
Хозяйством должны быть заготовлены стандартные вешки с указанием номеров станций. Вешки должны входить в перечень учетного инвентаря хозяйства. При учете молоди на больших вырастных площадях (полоях) и в водоемах, имеющих высокую зарастаемость жесткой растительностью следует предусмотреть контрастное оформление вешек в целях облегчения их обнаружения.
Количество флотоединиц определяется количеством бригад. Бригада должна иметь, как минимум, одну лодку, грузоподъемность которой зависит от глубины воды в обследуемой зоне водоема:
при глубине воды 0,5 - 1,0 м - грузоподъемность лодки 0,5 тонны;
при глубине воды свыше 1,0 м - от 0,75 до 1,0 тонны.
При глубинах 1,5 - 2,0 метра каждая бригада должна дополнительно иметь и малую лодку грузоподъемностью 0,2 - 0,3 тонны. Бригада комплектуется, как минимум, из пяти человек: бригадир, учетчик и три рыбака. При определении количества бригад исходят из общей численности станций и необходимости единовременности их съемки. Как показал опыт, бригада за 3 - 4 часа работы (при площади зоны в 100 га) может легко выполнить 20 контрольных обловов.
В зависимости от особенностей обследуемой зоны водоема, производится один из трех типов замета: в коллекторах - с бровок каналов; на плесах водоема - с лодки, если глубина воды превышает один метр, или вброд, если глубина воды составляет от 0,5 до 1,0 м.
Во всех случаях замета мальковая волокуша представляет собою равнокрылый невод, высота которого должна быть равна глубине воды в местах лова. Для обмета стандартной площади
(приложение 1) должны быть заготовлены волокуши со стандартными длинами. При замете с бровки канала или с лодки длина волокуш должна составлять 15 м, при замете вброд - 10 м.
Волокуши, предназначенные для лова в зонах, имеющих высокую зарастаемость мягкой подводной растительностью должны обладать при притонении хорошим показателем "подрезки". Для этого пригрузку нижней подборы нужно увеличить по сравнению с принятой.
В каждом хозяйстве общее количество волокуш и их размеры определяются в зависимости от условий водоема: количества зон, глубины воды в каждой из них и количества бригад.
2. Рекогносцировочное обследование водоема
Разбивка водоема на однородные зоны
Рекогносцировочному обследованию, с целью выделения зон, однородных по плотности распределения молоди рыб, подвергается каждый вырастной водоем. При этом обследовании, применяя обычные ихтиологические приемы изучения водоема, как среды обитания рыб, основное внимание обращается на различие в глубинах, степень заиления, качественные и количественные показатели зарастания, плотность населения разнохарактерных участков водоема молодью рыб.
Для получения перечисленных сведений выполняются два поперечных и два продольных разреза водоема. В каждой разрезе через определенные промежутки расстояния (100 - 500 м, в зависимости от различий в рельефе дна поймы) измеряются глубины воды. По этим же разрезам, в различных по условиям среды местах (глубине, характеру зарослей и степени зарастания), производятся контрольные обловы мальковой волокушей в целях установления зон одинаковой концентрации молоди. Количество необходимых контрольных обловов определяется в зависимости от особенностей каждого водоема. В случае отсутствия выращиваемой молоди в контрольном облове, нужно сразу устанавливать причину, путем повторных обловов на смежных участках, сходнях по глубине и другим условиям. Одновременно с измерением глубины и обловами мальковой волокушей устанавливаются наиболее характерные виды растительности и определяется интенсивность зарастания. Желательно использование ботанических приемов по установлению плотности зарастания участков отдельными растительными сообществами. Для оценки урожая молоди рыб может быть достаточным и визуальное определение интенсивности зарослей с установлением вида растительности. Во время объезда водоема, на масштабной контурной карте, с учетом местных ориентиров, наносятся контуры резко выделяющихся растительных сообществ. Особенно четко должны быть выделены участки сплошных зарослей жесткой растительностью.
Если удается, путем визуального осмотра и контрольных обловов, установить границы участков водоема практически не содержащих взращиваемой молоди, контуры этих участков также обозначаются на карте и в дальнейшем исключаются из учета.
В результате анализа всех полученных данных водоем разбивается на однородные зоны. Выделение зон, однородных по концентрации молоди, будет способствовать снижению погрешности оценки урожая.
Осредненные данные по характеристике выделенных зон, с планируемым числом станций в каждой из них, регистрируются в таблице по
форме 1.
В каждой выделенной зоне необходимо разместить не менее 20 - 30 станций. Расстановку станций на карте выростного водоема следует осуществлять по возможности равномерно с учетом охвата различий в биотопах.
Количество контурных карт водоема определяется планируемым количествам бригад учета и необходимостью наличия такой же карты в акте хозяйства и у представителя комиссии по учету.
Полностью оформленные контурные карты с обозначением зон и станций облова выдаются бригадирам учетных бригад.
Разделение вырастного водоема N ________ на зоны
и их характеристика (пример составления таблицы)
Номер зоны | Местоположение зоны | Средняя глубина | Основные виды растительности | Интенсивность зарастания в % | Общее количество станций (вешек) | Номер станции (вешек) от и до | | Площадь облова в га | Коэффициенты уловистости (К) | Площадь зоны в га | Примечание |
Лещ | Судак |
1. | Северная часть водоема | 0,7 | тростник и рогоз | 25 | 25 | 1 - 25 | вброд | 0,0022 | 0,3 | 0,1 | 100 | заросли изреженные |
2. | 1-я зона агромелиорации | 1,0 | рдест, жирушник | 15 | 20 | 26 - 45 | вброд | 0,0022 | 0,3 | 0,1 | 50 | заросли редкие |
3. | 2-я зона агромелиорации | 1,3 | луговые травы | 10 | 20 | 46 - 65 | с лодки | 0,0112 | 0,1 | 0,1 | 100 | заросли на дне |
4. | Коллектор | 1,8 | - | - | 20 | 66 - 85 | на канале | 0,0067 | 0,25 | 0,1 | 3 | - |
--------------------------------
<*> Эта форма таблицы со всеми данными переносится в биологический журнал хозяйства.
<**> Тип замета см. в
разделе "Техника контрольного облова".
Размещение станций (вешек) в водоеме
Станции в зонах водоема распределяются путем установки вешек. Пронумерованные ветки, хранящиеся в складах хозяйства, выдаются бригадирам или учетчикам бригад по требованию, подписанному главным рыбоводом. Бригадиры проверяют соответствие выданного количества вешек с количеством станций, отмеченных на карте. Расстановка станций должна происходить не позже, чем накануне учета, поэтому хозяйство планирует и осуществляет специальные разъезды с расстановкой вешек по водоему. Вешки расставляются членами бригад, за которыми закрепляются определенные зоны или их участки. Установка вешек производится строго в соответствии с размещением станций на карте.
3. Техника проведения контрольных обловов
Контрольные обловы следует проводить при тихой и ясной погоде.
Ихтиологическая съемка станций, обозначенных в водоеме пронумерованными вешками, производится по возможности синхронно. Поэтому все бригады приступают к съемке одновременно. Очередность съемки станций, порученных конкретной бригаде, не имеет значения; порядок перехода от одной станции к другой устанавливается бригадиром данной бригады, исходя из соображений экономии времени на переезд.
Подъезд к станции и все операции по лову рыбы надо производить бесшумно. Лодка подъезжает к месту, обозначенному вешкой и закрепляется. В зависимости от глубины водоема в данном месте осуществляется определенный тип замета.
Замет мальковой волокушей вброд
Для замета вброд используется мальковая волокуша длиною 10 м. В начале замета ее вытягивают по прямой линии. Середина волокуши остается неподвижной, а концы сводятся вместе, описывая циклойду
(рис. 1). В облове участвуют три человека. Два человека, войдя в воду, вытягивают волокушу по прямой линии и затем постепенно сводят клячи так, чтобы волокуша образовала круг. Третий человек удерживает середину волокуши, следя за правильным расположением кутца и плотным "подрезанием" дна нижними подборами крыльев волокуши. После соединения обоих клячей рыбак, удерживающий до этого середину волокуши, подходит к двум другим и подхватывает подборы (обе вместе) и подбирает их, пригружая ко дну. Два других рыбака подбирают по бокам (каждый отдельно) верхние подборы; подбор крыльев волокуши ведется так, чтобы нижние подборы шли плотно прилегая к дну, а верхняя часть крыльев "сливала" пойманную рыбу в направлении кутца.
При таком обмете площадь облова 10-метровой волокущей составляет q
(10) = 0,0022 га
(Приложение 1).
Замет мальковой волокушей на канале
При замете на канале используется 15-метровая волокуша, к клячам которой привязаны урезы. Конец уреза левого крыла закрепляется или удерживается рыбаком на одной стороне канала, а волокуша вытягивается по прямой, вдоль его противоположной бровки, так, чтобы конец левого крыла был расположен против закрепленного конца уреза. Затем конец уреза правого крыла передается на противоположную сторону и два рыбака, сходясь к середине расстояния между концами урезов, подтягивают волокушу, притоняя ее на берег
(рис. 2).
В этом случае волокуша обметывает площадь, близкую к полуэллипсу и составляющую, при ширине канала 6 м и длине волокуши 15 м, q
(15,6) = 0,0067
(приложение 1).
Замет мальковой волокушей с лодки
Для замета с лодки также используется 15-метровая волокуша, к клячам которой привязываются урезы, каждый длиною 10 м. Второй конец уреза левого крыла прикрепляется к гундере (стоянку, вбиваемому в грунт у вешки, отмечающей станцию). Лодка отходит от станции по прямой, выметывая левый урез на всю его длину. После этого она поворачивается на 90° к первоначальному направлению и, выметав левый кляч, движется по прямой, выметывая всю волокушу. После вымета правого кляча лодка поворачивается под прямым углом к растянутой по прямой волокуше и, выпуская правый урез, идет параллельно левому. По скончании выпуска правого уреза, лодка вновь поворачивается под прямым углом к урезу и движется по направлению к станции. Достигнув ее, лодка закрепляется с помощью первой, а затем и второй гундер (нос - первой, корма - второй)
(рис. 3).
После этого два рыбака, один с носовой части, другой с кормы, начинают подтягивать урезы. По мере подтягивания волокуши, оба рыбака сходятся в середине лодки, откуда третий начинает выбирать нижние подборы, держа их в положении большой "пригрузки". Площадь обмета в этом случае близка к полуэллипсу и составляет q
(15,10) = 0,0112 га
(приложение 1).
Примечание: при всех типах замета надо строго следить за тем, чтобы сторона, обшитая марлей, находилась всегда внутри невода.
При любом типе замета притонение волокуши завершается поднятием краев кутца над поверхностью воды. Вся пойманная рыба перекладывается в таз с небольшим количеством воды. Кутец волокуши вертикальным движением споласкивается для перемещения в его центр молоди, прилипшей к марже. После чего внутренняя часть кутца осторожно выворачивается над тазом и смывается в другой таз. Весь улов упаковывается в марлевую тару, снабжается этикеткой и опускается в четырех - шестипроцентный раствор формалина для разбора в лаборатории. В случае очень большого улова (с численностью молоди всех видов рыб свыше 1000 шт.) фиксируется его часть и в полевой блокнот заносится соответствующая запись.
При больших уловах общее количество пойманной рыбы определяется с помощью мерной кружки (8 см x 12 см). В случае крупной рыбы фиксируется не менее двух кружек, в случае мелкой - одной кружки или ее части. Учетчик бригады должен следить за правильным составлением этикеток и тщательной упаковкой проб; к каждому мешочку с пробой рекомендуется крепить номер станции, написанный на отдельном листке пергамента простым (средней мягкости) карандашом. Такая же этикетка вкладывается и во внутрь мешочка.
Формат и содержание этикетки:
Форма этикетки. Пример ее оформления.
Ст. N ________ Ст. N 15
Дата "__" ___________ 196_ г. Дата 16 июня 1969 г.
___ час ___ мин. 10 час. 15 мин.
Водоем ______________________ Водоем: Северный
Глубина _____________________ Глубина: 1,5 м.
t°: 20,2
Улов ________________________ Улов: весь (или 1/10)
По окончании обработки улова на каждой станции вешка забирается в лодку.
По возвращении на базу хозяйства бригадир каждой бригады сдает ответственному за учет рыбоводу следующее:
а) карту водоема;
б) нумерованные вешки;
в) посуду с фиксированными пробами;
г) полевой блокнот.
Методика определения коэффициентов уловистости мальковой волокуши еще не разработана полностью. По данным опытов, проведенных 1967 - 68 гг., получены следующие значения коэффициента уловистости волокуши:
N п/п | Тип замета волокуши | Вид рыб |
тарань | лещ | судак |
1. | Лов вброд | 0,3 | 0,3 | 0,1 |
2. | Лов с лодки | 0,3 | 0,3 | 0,1 |
3. | Лов на канале | 0,25 | 0,25 | 0,1 |
4. Обработка проб. Отчетность
Обработка проб ведется в лабораториях хозяйства с целью определения количества и качества выращенной молоди. В разборе материала принимают участие специалисты рыбоводы и лаборанты. Для обработки фиксированного материала устанавливается определенный порядок разбора пробы. Во избежание ошибок (перепутывание этикеток и др.) не рекомендуется одновременно обрабатывать пробы разных бригад.
Порядок разбора пробы может быть следующим. Каждая проба в зависимости от ее величины перекладывается из марлевого мешочка в подходящий по размеру кювет с расчетом дальнейшего раскладывания всех пойманных рыб по видам. Если кювет невелик, должна быть приготовлена вспомогательная посуда. Прежде чем разбирать пробу надо найти этикетку и установить принадлежность пробы к определенному номеру станции; тут же надо найти записи по этой же станции в полевом блокноте и сделать отметку "обработана". Записи данных по обработке проб каждой бригады следует вести в отдельных блокнотах или тетрадях. При разборе проб можно пользоваться определителем А.Ф. Коблицкий (1966) <*>.
--------------------------------
<*> В ихтиологии принято считать пробу случайно отобранной, если сачком или кружком она произвольно отделяется от всего улова.
По окончании разбора проб по видам, данные переносятся в биологический журнал, по определенной форме (форма 2).
Результаты разбора проб контрольных обловов
по бонитировочному учету от "__" _______ 196_ г.
в вырастном водоеме N ____________________________________
(наименование хозяйства)
Орудие лова ___________________________________________________________
N п/п | Зона | Водоем | N ст. | Температура воды в °C | Глубина в м | Площадь облова в га (q) | Коэффициент уловистости (К) | Количество рыб в шт. (по видам) | |
| | | | | | | | |
| | | | | | | | | | | | | | | | | |
Итого: | | | | | | | | | | | | | | | | |
| | | | | | | | | | | | | | | | | |
Итого: | | | | | | | | | | | | | | | | |
--------------------------------
<*> Замечания по фактическим уловам условиям притонения волокуши; интенсивности зарастания; преобладающих видов растений и т.д.
При разборе проб определяются и характеристики качества выращенной молоди. Для этого измеряется и взвешивается от 100 до 200 случайно
<*> отобранных экземпляров молоди каждого вида рыб с определением этапа ее развития. (Васнецов и др., 1957). Для каждой зоны измерения и взвешивания рыб производят отдельно по материалу двух - трех станций, отличающихся друг от друга по биотопам.
Результаты обработки фиксированного материала заносятся в биологический журнал (форма 3). Оценка средней длины тела и веса молоди рыб осуществляется по общепринятой методике (Праждин, 1966).
Данные о качестве выращенной молоди _________________
______________________________ Водоем _______________
(вид рыбы)
зона ______________, ст. N __________ Дата __________
Этапы развития по Васнецову и др. (1957) |
E | F | J |
l | p | l | p | l | p | l | p | l | p | l | p | l | p | l | p | l | p | l | p | l | p | l | p |
| | | | | | | | | | | | | | | | | | | | | | | |
Обозначения:
| | | |  - общее количество рыб | | | | |
| | | |  - средняя длина в мм | | | | |
| | | |  - средний вес в мг | | | | |
Данные о среднем весе молоди, соответствующем определенному этапу развития, заносятся в
акт, составленный комиссией по учету (Приложение 8).
Копии статистических данных, отправляемых в вычислительный центр, и результаты оценки урожая молоди на ЭВМ должны храниться хозяйством в хронологическом порядке. Сохраняются также первичные материалы по качеству выращенной молоди и данные их обработки.
III. Оформление статистических данных для расчетов на ЭВМ
Для оценки урожая молоди рыб на ЭВМ НВХ должны выполнить следующую подготовительную работу.
1) Статистические данные уловов для каждой зоны и по каждому обследуемому виду рыб оформить в виде таблиц с указанием НВХ, вида рыбы, года учета, номера зоны и ее параметров:
Q - площади зоны, q - площади облова при одном притонении и k - коэффициента уловистости орудия лова для данной зоны и данного вида рыб.
Пример: Восточно-Ахтарское НВХ (г. Приморско-Ахтарск, Краснодарского края), молодь тарани, 1968 г., зона 1
Q = 1500 га, | q = 0,057 га, | k = 0,3. |
N станций | Величина улова (в шт.) | | N станций | Величина улова (в шт.) |
1 | 21 | | ... | ... |
2 | 116 | | 28 | 55 |
3 | 87 | | 29 | 0 |
... | ... | | 30 | 4 |
2) Четко оформить задание для вычислительной машины.
Пример: По стандартной программе вероятностной оценки запасов рыб оценить:
1. Общий урожай молоди тарани по зонам 1 - 4;
2. Общий урожай молоди судака по зонам 2 - 4 (в зоне 1 судака практически нет).
Приложения: 1. Таблицы уловов молоди тарани по зонам 1 - 4
(4 таблицы);
2. Таблицы уловов молоди судака по зонам 2 - 4
(3 таблицы).
3) Задание и статистические данные уловов отправить почтой по адресу: Москва, А-440, Прибрежный проезд д. 6, Управление по координации вычислительных работ, исследованию и руководству операциями при Министерстве рыбного хозяйства СССР, отдел "Прогноз".
4) Копии задания и таблиц статистических данных отправить в Главрыбвод: Москва, Б-140, В. Красносельская, д. 17а/1 (Финансовые расчеты с Управлением за выполненную в 1969 году для НВХ работу, будут производиться Главрыбводом).
Примечание: Если съемка простая (без деления на зоны), то оформляется одна таблица статистических данных для обследуемого вида рыб. Соответственно упрощается и задание. Однако следует заметить, что точность оценки урожая в случае простой съемки будет ниже, чем при зональной.
IV. Выдача вычислительной машиной результатов
оценки урожая молоди рыб
Результаты расчетов на ЭВМ по данным вероятностного учета молоди рыб выдаются машиной в виде трех таблиц.
Таблица 1 представляет результаты счета, если в данных, присланных рыбоводным хозяйством, отсутствует хотя бы один из параметров: Q - площадь водоема, q - площадь облова при одном притонении или k - коэффициент уловистости орудия лова. В этом случае урожай молоди не может быть подсчитан. Машина выдаст лишь число ненулевых уловов, средний улов, его относительную погрешность и доверительные границы для математического ожидания уловов вычисленные о надежностью 90%. В
столбце 2 для исследовательских целей указана величина меры отклонения (см.
приложение 5). Цифрой 1 или 2, стоящей над столбцом 2, закодирован полученный в результате исследования закон распределения уловов: 1 - нормальный, 2 - логарифмически нормальный.
Таблица 2 представляет результаты оценки урожая в одной зоне или в случае простой съемки во всем водоеме.
Столбец 2 имеет тот же смысл что и в
таблице 1.
При зональной съемке машина выдает результат в виде
таблиц 2 - результатов оценки по каждой зоне - и
таблицы 3 - оценки общего урожая по всем зонам.
Таблица 3 содержит средний взвешенный улов (см.
приложение 4), его относительную погрешность и доверительные границы, общий средний урожай и 90%-ные доверительные границы для фактического урожая.
Ниже приведены примеры таблиц.
Таблица 1
Число уловов | | Средний улов | Нижняя граница | Верхняя граница | Относительная погрешность |
60 | 0,03 | 499,93 | 181,66 | 818,00 | 0,32 |
Таблица 2
ВЗМОРЬЕ, ЮЖНЫЙ ВОДОЕМ, 1968, ЛЕЩ; ПЛОЩАДЬ ЗОНЫ - 3 ГА,
ПЛОЩАДЬ ТРАЛЕНИЯ 0,0087 ГА, КОЭФФИЦИЕНТ УЛОВИСТОСТИ - 0,3
Число уловов | Мера отклонения | Средний улов | Нижняя граница | Верхняя граница | Относительная погрешность | Средний запас | Нижняя граница запаса | Верхняя граница запаса |
20 | 0,10 | 2344,21 | 1204,08 | 3486,36 | 0,28 | 2910051,90 | 1494716,59 | 4325387,21 |
АХТАРСКОЕ НВХ, 1965 Г. ИЮНЬ
ПЛОЩАДЬ ЗОНЫ - 4000, ПЛОЩАДЬ ТРАЛЕНИЯ - 0,0057,
КОЭФФИЦИЕНТ УЛОВИСТОСТИ - 0,1
Число уловов | | Средний улов | Нижняя граница | Верхняя граница | Относительная погрешность сред. улова | Средний запас | Нижняя граница запаса | Верхняя граница запаса |
14 | 0,06 | 11,43 | 8,05 | 14,81 | 0,17 | 80200500,50 | 56472284,75 | 103928716,50 |
ПЛОЩАДЬ ЗОНЫ - 4000, ПЛОЩАДЬ ТРАЛЕНИЯ - 0,0057,
КОЭФФИЦИЕНТ УЛОВИСТОСТИ - 0,1
Число уловов | Мера отклонен. | Средний улов | Нижняя граница | Верхняя граница | Относительн. погрешн. сред. улова | Средний запас | Нижняя граница запаса | Верхняя граница запаса |
41 | 0,07 | 14,25 | 7,24 | 21,25 | 0,29 | 99987899,50 | 50822777,25 | 149153022,00 |
Число уловов | Мера отклонен. | Средний улов | Нижняя граница | Верхняя граница | Относительн. погрешн. сред. улова | Средний запас | Нижняя граница запаса | Верхняя граница запаса |
14 | 0,21 | 8,79 | 4,92 | 12,65 | 0,25 | 23120300,62 | 12940284,68 | 333000316,50 |
Общее число уловов | Средний взвешен. улов | Нижняя граница | Верхняя граница | Относит. погрешн. | Общий средний запас | Нижняя граница запаса | Верхняя граница запаса |
69 | 12,20 | 8,93 | 15,47 | 0,16 | 203308701,00 | 148824481,00 | 257792921,00 |
1. Майский В.Н. | К методике изучения рыбной продуктивности Азовского моря. Тр. АзчерНИРО, вып. 12, 1940 |
2. Кожин Н.И. | Пути воспроизводства полупроходных рыб в дельте Волги. Тр. ВНИРО, т. XVI, 1941 |
3. Кузнецова И.И. | Бонитировочный метод учета молоди рыб в дельте Волги, "Рыбное хозяйство", N 10, 1950 |
4. Летичевский М.А. | Ранний выпуск молоди полупроходных рыб из рыбоводных хозяйств дельты Волги. "Рыбное хозяйство", N 11, 1951 а |
5. Летичевский М.А. | Опыт учета сеголетков в НВХ дельты Волги при помощи орудий лова. Тр. ВНИРО, т. XIX, 1951 б |
6. Летичевский М.А. | Рыбопродуктивность НВХ дельты Волги при совместном выращивании молоди сазана и леща. Тр. ВНИРО, т. XXIV, 1953 |
7. Васнецов В.В., Еремеева Е.Ф., Ланге Н.О., Дмитриева Е.Н., Брагинская Р.Я. | Этапы развития промысловых полупроходных рыб Волги и Дона: леща, сазана, воблы, тарани и судака. Тр. института М<...> АН СССР им. А.Н. Северцева, вып. 16, 1957 |
8. Таманская Г.Г. | Опыт эксплуатации кубанских лиманных нерестово-выростных хозяйств. Тр. рыбоводной биологической лаборатории Азчеррыбвода, вып. 2, 1957 |
9. Таманская Г.Г. | О количественной оценке урожая молоди судака в кубанских лиманах. Сб. научно-технической информации ВНИРО, вып. 6, 1965 |
10. Летичевский М.А. | Улучшение эксплуатации НВХ дельты Волги и ликвидация сезонности их работы. "Рыбное хозяйство", N 1, 1965 |
11. Коблицкая А.Ф. | Определитель молоди рыб дельты Волги. Издательство "Наука", М., 1966 |
12. Правдин И.Ф. | Руководство по изучению рыб. Издательство "Пищевая промышленность". М. 1966 |
13. Аксютина З.М., Таманская Г.Г. | Об оценке численности популяции рыб. Сб. научно-технической информации ВНИРО, вып. 1, 1967 |
14. Аксютина З.М., Волкова А.И., Таманская Г.Г. | Методика проведения бонитировочного учета молоди полупроходных рыб в кубанских и донских нерестово-выростных хозяйствах. Изд. ВНИРО, 1967 |
15. Аксютина З.М. | Элементы математической оценки результатов наблюдений в биологических и рыбохозяйственных исследованиях. Изд. "Пищевая промышленность", 1968 |
16. Аксютина З.М., Драпацкий Э.Я. | Математическая модель распределения уловов рыбы. Сб. Научно-технической информации ВНИРО, вып. 8, 1968 |
17. Летичевский М.А., Рогаткин О.Д. | Учет молоди полупроходных рыб в НВХ дельты Волги при помощи орудий лова. Тр. КаспНИИРХ, т. XXIV, 1968 |
18. Кушнаренко А.И. | Бонитировочный учет молоди осетровых. Сб. ЦНИОРХ. Биологическое обоснование и принципы размещения заводской молоди осетровых в водоемах, Астрахань, 1968 |
РАСЧЕТЫ ПЛОЩАДЕЙ ОБЛОВА ПРИ РАЗЛИЧНЫХ ТИПАХ ЗАМЕТА
1. Замет мальковой волокушей вброд
При глубине водоема от 0,5 до 1,0 м замет производится вброд. При этом волокуша растягивается по прямой, середина ее закрепляется, а концы сводятся вместе, описывая циклойду
(рис. 1). Параметрическое уравнение циклойды имеет вид:
Площадь одной циклойды определяется формулой:
Если длину волокуши обозначить через l, то

и тогда
При вычислении площади необходимо учесть, что, при работе в воде, материал, из которого сделана волокуша, дает усадку, равную приблизительно 5% ее длины.
При таком замете площадь, облавливаемая 10-метровой волокушей, составляет
q(10) = 0,0022 га.
2. Замет мальковой волокушей на канале
При замете на канале притонение производится на берег или на кромку коллектора. При этом волокуша обметывает площадь, ограниченную полуэллипсом
(рис. 2). Параметрическое уравнение полуэллипса определяется системой:
Площадь, ограниченная полуэллипсом, равна
Если

то площадь обмета при одном притонении волокуши составит
где l - длина волокуши,
b - ширина канала.
При 15-метровой длине волокуши и ширине канала 6 м площадь облова составляет
q(15, 6) = 0,0067 га.
3. Замет мальковой волокушей с лодки
При замете на глубине, превышающей 1,0 метр притонение производится на лодку. Волокуша при этом описывает площадь, близкую к полуэллипсу
(рис. 3).
При 15-метровой длине волокуши и длине урезов по 10 м площадь обмета будет равна
q(15, 10) = 0,0112 га.
ОСНОВНОЕ УРАВНЕНИЕ ОЦЕНКИ ЧИСЛЕННОСТИ РЫБ
Оценка численности рыб по данным бонитировочного учета основана на оценке среднего улова на единицу площади водоема и экстраполяции его на всю площадь водоема. Систематическая ошибка, возникающая вследствие того, что в уловы попадает лишь часть рыбы, находящейся в зоне облова, учитывается введением поправочного коэффициента уловистости.
Основное уравнение оценки численности рыб имеет вид:
где

- оценка численности рыб;
Q - площадь обследуемой акватории;

- средний улов - оценка математического ожидания улова на одно притонение;
q - площадь облова при одном притонении;
k - коэффициент уловистости орудия лова для обследуемого вида рыб - отношение количества рыб в улове к количеству всех рыб, находящихся в зоне облова.
Подобные формулы применялись И.И. Месяцевым при оценке запасов тресковых рыб в Баренцевом море и сиговых в Ладожском озере и В.Н. Майским при определении запасов хамсы и тюльки в Азовском море.
НОРМАЛЬНЫЙ ЗАКОН РАСПРЕДЕЛЕНИЯ И ЕГО ЧИСЛОВЫЕ ХАРАКТЕРИСТИКИ
Плотность вероятностей нормального закона распределения случайной величины выражается функцией
где

- математическое ожидание случайной величины x,

- стандартное отклонение случайной величины.
Таким образом, параметры нормального распределения являются его числовыми характеристиками.
График плотности вероятностей нормального распределения изображен на
рис. 4.
Репрезентативными оценками числовых характеристик нормального закона распределения являются:

- средняя арифметическая выборочных случайной величины;

- выборочное стандартное отклонение случайной величины.
Стандартное отклонение средней выборочной в

раз меньше, чем стандартное отклонение случайной величины:
где n - число наблюдений.
Доверительный интервал для неизвестного математического ожидания с надежностью

определяется равенством:
где

- значение t - распределения Стьюдента при надежности

и k = n - 1.
Относительная погрешность оценки математического ожидания определена как отношение стандартного отклонения средней выборочной к ее величине:
ЛОГАРИФМИЧЕСКИ НОРМАЛЬНЫЙ ЗАКОН РАСПРЕДЕЛЕНИЯ
И ЕГО ЧИСЛОВЫЕ ХАРАКТЕРИСТИКИ
Плотность вероятностей логарифмически нормального закона распределения выражается функцией:
где

При логарифмически нормальном законе распределения нормально распределяется не сама случайная величина x, а функция от нее Y = ln x:
Функция плотности вероятностей логарифмически нормального распределения изображена на
рис. 5. Для сравнения с нею совмещена нормальная кривая.
Числовые характеристики логарифмически нормального закона распределения являются функциями от его параметров:
Эффективной оценкой математического ожидания логнормального распределения служит его максимально правдоподобная оценка, определяемая равенством:
где:
Дисперсия максимально правдоподобной оценки равна величине
Так как максимально правдоподобные оценки распределяются асимпотически нормально, то доверительный интервал для математического ожидания логнормального распределения определяется равенством:
Относительная погрешность максимально правдоподобной оценки может составить величину:
ОЦЕНКА ЗАПАСОВ РЫБ ПРИ ЗОНАЛЬНОЙ СЪЕМКЕ
Зональная съемка и оценка среднего взвешенного по зонам улова дают возможность получить более точную оценку урожая, чем при простой (без деления на зоны) съемке.
Если съемка не содержит нулевых уловов, то среднему улову каждой зоны i приписывается вес, равный коэффициенту зоны:
(параметры Q, q, k сохраняют тот же смысл, что и в
приложении 1).
Если съемка зоны содержит нулевые уловы, то для использования информации нулевых уловов можно предположить, что совокупность рыб занимает часть площади зоны, пропорциональную числу ненулевых уловов, т.е.

Отсюда

где zi - часть площади зоны пропорциональная числу ненулевых уловов;
mi - число нулевых уловов в зоне;
ni - число ненулевых уловов в зоне.
В этом случае коэффициент

примет вид:
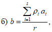
Средний взвешенный по зонам улов определяется соотношением
где

- средний улов зоны, это средний арифметический улов

при нормальном распределении уловов или максимально правдоподобная оценка математического ожидания при логнормальном распределении;
s - число зон;
Дисперсия среднего взвешенного улова зависит только от внутризональных дисперсий и не зависит от флоктуаций уловов между зонами
где

- дисперсии зональных средних.
Доверительный интервал для математического ожидания улова по всем контролируемым зонам определяется равенством
или
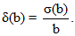
Относительная погрешность среднего взвешенного улова может составить величину
Общий средний урожай и доверительные границы для фактического урожая с надежностью

определяются равенствами:
Nmin = bmin · r;
Nmax = bmax · r;
АЛГОРИТМ СТАНДАРТНОЙ ПРОГРАММЫ ВЕРОЯТНОСТНОЙ
ОЦЕНКИ ЗАПАСА РЫБ ПО ДАННЫМ ИХТИОЛОГИЧЕСКОЙ СЪЕМКИ
На
рис. 6 изображена блок-схема программы вероятностной оценки запаса рыб по данным ихтиологической съемки. Она содержит 3 подпрограммы: первая - анализа распределения уловов и оценки соответствующих числовых характеристик (если не заданы параметры Q, q и k), вторая - анализа распределения уловов и оценки запасов рыб при простой (без деления на зоны) съемке и третья - анализа распределения уловов и оценки запасов рыб при зональной съемке.
Алгоритм программы состоит из шести основных блоков.
Блок I проверяет гипотезу о нормальном распределении уловов.
1.1. Составляется упорядоченный статистический ряд уловов:
x1 < x2 < ... < xk < ... < xl
m1 < m2 < ... < mk < ... < ml,
где xk - величина k-го улова,
mk - число уловов xk,
l - число членов статистического ряда.
1.2. Вычисляются оценки числовых характеристик - распределения:
Блок-схема программы анализа распределения уловов,
вычисления его характеристик и оценки запасов рыб по данным
ихтиологической съемки
1.3. Рассчитываются значения функций:
1.4. Вычисляется мера отклонения:
--------------------------------
<*> Аксютина, 1968.
1.5. Мера отклонения

сравнивается с критическими значениями

а) если

, то распределение уловов несущественно отличается от нормального и вычисления передаются блоку II;
б) если

, то распределение существенно отличается от нормального и вычисления передаются блоку III;
Блок II включается в расчеты в случае выполнения неравенств
1,5 а и оценивает погрешность среднего улова и доверительные границы для математического ожидания улова:
2.1.
2.2.
2.3. а) Если заданы параметры зоны, площадь зоны Q, площадь притонения при одном замете орудия лова q и коэффициент уловистости k, то вычисления предаются блоку V.
б) Если параметры Q, q и k не заданы, то на печать, в виде
табл. 1, выдаются результаты
п. п. 1.2, а,
б,
г;
1.4 и
2.2. Расчеты прекращаются. (В таблице 1 средний улов обозначен буквой а, при нормальном распределении уловов это средний арифметический улов, при логнормальном - максимально правдоподобная оценка математического ожидания).
III блок включается в вычисления в случае выполнения неравенств
1.5 б или 1.5 в и проверяет гипотезу о логарифметически нормальном распределении уловов.
3.1. Составляется статистическая совокупность логарифмов уловов
3.2. Вычисляются оценки параметров распределения:
3.3. Определяется значения функций:
3.4. Рассчитывается мера отклонения:
3.5. а) если

, то вычисления передаются блоку IV:
б) если

,
то на печать выдаются результаты вычислений
п. п. 1.4 и
3.4 и расчеты прекращаются:
IV блок включается в вычисления в случае выполнения неравенств
3.5 а и оценивает числовые характеристики логнормального распределения.
4.1. Вычисляется значения функции
при
4.2. Вычисляются выборочные характеристики:
4.3. а) если заданы параметры Q, q и k, то вычисления передаются блоку V;
V. Блок оценивает численность рыб в контролируемой зоне.
5.1. Вычисляется коэффициент зоны:
где n - число ненулевых уловов,
m - число нулевых уловов.
5.2. Оценивается средняя численность рыб в зоне и доверительные границы фактической деятельности:
а)

--------------------------------
<*> Буквой a обозначен средний улов: при нормальном законе распределения это средний арифметический улов

при логарифмическом нормальном - это максимально правдоподобная оценка математического ожидания улова.
г) на печать в виде
табл. 2 выдаются результаты
п. п. 1.2, а,
б;
1.4,
2.1 а;
2.2 а,
б;
5.2 а,
б,
в или
1.2 а;
3.4;
4.2 а,
г,
д,
е;
5.2 а,
б,
в;
д) если съемка простая (s = 1), то расчеты прекращаются.
5.3. Если съемка зональная (s > 1), то:
а) параметры Q, q, k, a,

и

сохраняются в памяти машины;
в) вычисления по блокам I - V повторяются для следующих зон;
в) после расчетов по всем зонам вычисления передаются блоку VI.
VI блок вычисляет общий запас по зонам.
6.1. Вычисляются объединенные характеристики.
где s - число зон;
6.2. Оцениваются границы математического ожидания улова:
6.3. Оценивается общий средний запас и его доверительные границы:
Примечание: 1. В
таблицах 1 и
2 закон распределения уловов закодирован цифрой 1 или 2 стоящей над столбцом 2; 1 - нормальный закон распределения, 2 - логарифмически нормальный закон распределения.
Число уловов | Мера отклонения | Средний улов | Нижняя граница | Верхняя граница | Относительная погрешность | |
| или | или | или | или | или | |
Число уловов | Мера отклонения | Средний улов | Нижняя граница | Верхняя граница | Относительная погрешность | Средний запас | Нижняя граница запаса | Верхняя граница запаса |
| или | или | или | или | или | | | |
Общее число уловов | Средний взвешенный улов | Нижняя граница | Верхняя граница | Относительная погрешность | Средний запас | Нижняя граница запаса | Верхняя граница запаса |
| | | | | | | |
МАТЕРИАЛОВ И ОБОРУДОВАНИЯ
1. Хамсорос.
2. Марля.
3. Формалин.
4. Пергаментная бумага.
5. Калька.
6. Миллиметровка.
7. Простая бумага.
8. Сорочок.
9. Кордовая нить.
10. Оцинкованная жесть.
1. Лодки моторные.
2. Лодки весельные (малые разнотоннажные).
3. Гундеры (деревянные колья).
4. Водонепроницаемые костюмы.
5. Хамсоросовые волокуши.
6. Деревянные вешки.
7. Тара емкостью 10 л для фиксации проб молоди.
8. Кюветы разного размера.
9. Ножницы.
10. Препаровальные иглы.
11. Пинцеты.
12. Ланцеты.
13. Чашки Петри.
14. Бинокулярная лупа.
15. Весы.
16. Измерительные линейки.
17. Биологические журналы.
18. Блокноты для целевых записей.
19. Простые карандаши средней степени твердости.
20. Рейка для измерения глубины.
21. Ботаническая рамка размером (25 см x 25 см) для установления плотности зарослей.
23. Сетчатые мерные кружки размером 8 см x 12 см.
Форма 4
оценки урожая выращенной молоди в нерестово-выростном
водоеме N ___ хозяйства _______________________________
в 19__ г.
Комиссией в составе: __________________________________________________
(фамилия, ____________________ должность, ____________________ организация)
1. ________________________________________________________________________
2. ________________________________________________________________________
3. ________________________________________________________________________
4. ________________________________________________________________________
составлен настоящий акт об оценке выращенной хозяйством молоди с
применением вероятностного (бонитировочного) метода учета, в соответствии с
методикой, утвержденной МРХ СССР от 7 апреля 1969 г.
I. Рекогносцировочное обследование выростного
водоема N _____________
В целях ознакомления с общим положением в хозяйстве по выращиванию
молоди ______________________________ предварительное обследование водоемов
произведено "__" ____________ 19__ г.
По полученным при обследовании материалам выяснено:
1) основной этап развития молоди:
а) ___________________
б) ___________________
в) ___________________
2) молодь распространена по всей выростной площади (или выростные
водоемы не содержат молоди на ________ га своей площади; или то же по
отдельным видам рыб);
3) в соответствии с условиями выращивания молоди в данном году
характером ее распространения по всему водоему площадь его (имеющая в
наличии молодь) разделяется на следующие однородные учетные
(бонитировочные) зоны.
Табл. 1
Планирование контрольных обловов
(пример составления сводной таблицы)
Номер зоны | Местоположение зоны | Средняя глубина в м | Общее к-во станций | Тип замета | Площадь замета в га | Коэффициент уловистости | Площадь зоны в га |
лещ | судак |
1. | Северная часть водоема | 0,7 | 25 | вброд | 0,0022 | 0,3 | 0,1 | 100 |
2. | 1 зона агломерации | 1,0 | 27 | вброд | 0,0022 | 0,3 | 0,1 | 50 |
3. | 2 зона агломерации | 1,3 | 22 | с лодки | 0,0112 | 0,3 | 0,1 | 100 |
4. | Коллектор | 1,8 | 0 | на канале | 0,0067 | 0,25 | 0,1 | 3 |
Съемка станций по зонам закреплена за следующими бригадами:
зона N 1 бригада N ___, бригадир ________________________
учетчик ________________________
зона N 2 бригада N ___, бригадир ________________________
учетчик ________________________
и т.д.
II. Получение информации о численности
молоди рыб в выростном водоеме N ______
Контрольные (бонитировочные) обловы выполнены "___" ________ 196_ г. в
часы (от и до) _________ в соответствии с составленным планом
(табл. 1) <*>
--------------------------------
<*> В случаях, когда бригадир вынужден по независящим от него
обстоятельствам вносить изменения в утвержденный план съемки, дается
подробное объяснение принятых изменений.
Состояние погоды на часы съемки характеризовалось:
облачность _______________. Ветер (его направление и сила) ________________
_______________________ температура воздуха (C°) __________________________
температура воды (C°) ________________.
В разборе проб контрольных обловов и подсчете численности молоди по
выделенным зонам принимали участие следующие специалисты хозяйства:
зона N 1 ________________
зона N 2 ________________
зона N 3 ________________
зона N 4 ________________
и т.д.
На основании выполненной ихтиологической съемки и в соответствии с
результатами обработки в лаборатории собранных проб контрольных
(выборочных) уловов, статистические данные уловов для расчета на
электронно-вычислительной машине приводятся отдельно по зонам данного
водоема. (Форма представления статистических данных уловов дана в
III. Оценка урожая молоди рыб электронно-вычислительной машиной
В соответствии с результатами расчета общего количества молоди,
произведенного электронно-вычислительным центром (местонахождение центра)
по представленным хозяйством исходным статистическим данным, оценка урожая
выращенной и выпущенной молоди утверждается следующими числовыми
показателями по видам рыб (в млн. шт.).
Таблица 2
Оценка урожая молоди ____________ в водоеме
N ___ от "__" ___________ 19__ г.
(оценка численности перед выпуском)
Номер зоны | Число обловов | Общая численность молоди | Относительная погрешность | |
средний урожай | нижняя граница | верхняя граница |
1. | | | | | | |
2. | | | | | | |
| | | | | | |
| | | | | | |
В целом по водоему | | | | | | |
--------------------------------
<*> Таблица составляется отдельно по каждому виду выращиваемой молоди, если необходимо, с учетом размерных групп, а также по сорным и посторонним видам рыб.
Таблица 3
Оценка количества остаточной молоди _____
в водоеме N _______ от "__" ___________ 19__ г.
(в случае если водоем не полностью спускной)
Номер зоны | Число обловов | Общая численность молоди | Относительная погрешность | |
средний урожай | нижняя граница | верхняя граница |
1. | | | | | | |
2. | | | | | | |
: | | | | | | |
: | | | | | | |
В целом по водоему | | | | | | |
Таблица 4
Количество выпущенной молоди из водоема N ___
в 196_ г.
N п/п | Виды молоди | Урожай в млн. шт. | |
среднее значение | нижняя граница | верхняя граница |
1. | | | | | |
2. | | | | | |
3. | | | | | |
: | | | | | |
Всего по водоему | | | | | |
--------------------------------
<*> Таблица 4 является конечным результатом вероятностного (бонитировочного) учета. По каждому виду рыб записывается разница общих итогов по
табл. 2 и
3 - в случае наличия в водоеме остаточной молоди.
Если остаточной молоди нет, итоговый показатель по выпущенной из хозяйства молоди ограничивается показаниями, приводимыми в
табл. 2, и это в тексте акта соответственно оговаривается.
IV. Оценка качества выращенной молоди по данным вероятного
(бонитировочного) учета
По состоянию на "__" ___________ 196_ г. в водоеме N _________, как показали анализы, выращиваемая молодь была одноразмерной (или состояла из двух резко отличающихся - по длине, весу и этапам развития - групп).
Табл. 5
Характеристика выращенной молоди по этапам ее развития
в водоеме N ________ по состоянию
на "__" ___________ 196_ г.
N п/п | Виды рыб | Соотношение этапов в % | К-во рыб |
E | F | J | шт. | % |
| | | | | | |
| | | | | | |
| | | | | | |
Примечание: Если молодь на период проведения бонитировочного учета имеет вызуально различимые группы, то целесообразно оценивать ее качество по отдельным группам.
Табл. 6
Показатели веса выращенной молоди в водоеме N _________
по состоянию на "__" ___________ 1969 г.
Виды рыб | Номер зоны | К-во рыб | Длина тела в мм | Вес в граммах |
Средн. | Нижняя граница | Верхняя граница | Средн. | Нижняя граница | Верхняя граница |
Лещ | 1 | | | | | | | |
2 | | | | | | | |
: | | | | | | | |
: | | | | | | | |
Судак | 1 | | | | | | | |
2 | | | | | | | |
: | | | | | | | |
: | | | | | | | |
Табл. 7
Показатели веса остаточной молоди в водоеме N _________
по состоянию на "__" ___________ 1969 г.
Виды рыб | Номер зоны | К-во рыб | Длина тела в мм | Вес в граммах |
Средн. | Нижняя граница | Верхняя граница | Средн. | Нижняя граница | Верхняя граница |
| | | | | | | | |
| | | | | | | | |
| | | | | | | | |
В чем и составлен настоящий акт
Подписи: