Главная // Актуальные документы // Акт (форма)СПРАВКА
Источник публикации
Макеевка - Донбасс: МакНИИ, 1989
Примечание к документу
Взамен
Руководства по проектированию вентиляции угольных шахт, утв. Минуглепромом СССР 10.04.1974;
Дополнения к "Руководству по проектированию вентиляции угольных шахт", утв. Минуглепромом СССР 27.12.1979;
Инструкции по расчету количества воздуха, необходимого для проветривания действующих угольных шахт, утв. Минуглепромом СССР 25.03.1974; Временной инструкции по проектированию вентиляции при проходке и углубке стволов, утв. Минуглепромом СССР 25.12.1980; Временного руководства по нагнетательно-всасывающему проветриванию подготовительных выработок с применением пылеулавливающих установок, утв. Минуглепромом СССР 09.07.1982; Руководства по проектированию и организации проветривания подготовительных выработок действующих угольных шахт, утв. Минуглепромом СССР 16.05.1984; Временного руководства по выбору технологических схем проветривания и управления газовыделением на выемочных участках, утв. Минуглепромом СССР 16.05.1984; Методических указаний по применению "Руководство по проектированию и организации проветривания подготовительных выработок действующих угольных шахт", утв. Минуглепромом СССР 18.06.1985 и др.
Название документа
"Руководство по проектированию вентиляции угольных шахт"
(утв. Минуглепромом СССР 15.08.1989)
"Руководство по проектированию вентиляции угольных шахт"
(утв. Минуглепромом СССР 15.08.1989)
Министерством угольной
промышленности СССР
15 августа 1989 года
Согласовано
с Госгортехнадзором СССР
18 июня 1989 года
с Госстроем СССР
4 июня 1989 года
РУКОВОДСТВО
ПО ПРОЕКТИРОВАНИЮ ВЕНТИЛЯЦИИ УГОЛЬНЫХ ШАХТ
В Руководстве изложены порядок проектирования вентиляции шахт, методы определения ожидаемого газовыделения в горные выработки, выбора эффективных схем проветривания выемочных участков, тупиковых выработок и шахт, методики расчета расхода воздуха для проветривания горных выработок, выбора вентиляторов местного и главного проветривания, воздухонагревательных установок, определения устойчивости проветривания шахт и основные способы повышения ее при конструировании схем, анализа состояния проветривания шахт и др.
Руководство предназначено для всех организаций, занимающихся составлением проектов новых и реконструируемых шахт, проектов подготовки новых горизонтов и на период строительства шахт, паспортов выемочных участков действующих шахт и расчетами расхода воздуха, необходимого для проветривания угольных шахт.
Настоящее Руководство разработано МакНИИ, ДонУГИ, ВостНИИ, ИГД им. А.А. Скочинского, ВНИИОМШС, ВНИИГМ им. М.М. Федорова, ВНИИГД, ИГТМ АН УССР, проектными институтами "Донгипрошахт", "Днепрогипрошахт", "Карагандагипрошахт" и "Сибгипрошахт" на основании научно-исследовательских работ, выполненных МакНИИ, ДонУГИ, ВостНИИ, ИГД им. А.А. Скочинского, ВНИИОМШС, ВНИИГМ им. М.М. Федорова, ДГИ АН УССР и др.
Требования Руководства обязательны для всех организаций и предприятий угольной промышленности при проектировании и обеспечении проветривания угольных шахт, включая их строительство. С выходом Руководства утрачивают силу при проектировании шахт и расчете расхода воздуха для действующих шахт следующие документы:
Руководство по проектированию вентиляции угольных шахт, утвержденное Минуглепромом СССР 10 апреля 1974 г.;
Дополнения к "Руководству по проектированию вентиляции угольных шахт", утвержденные Минуглепромом СССР 27 декабря 1979 г.;
Инструкция по расчету количества воздуха, необходимого для проветривания действующих угольных шахт, утвержденная Минуглепромом СССР 25 марта 1974 г.; Временная инструкция по проектированию вентиляции при проходке и углубке стволов, утвержденная Минуглепромом СССР 25 декабря 1980 г.; Временное руководство по нагнетательно-всасывающему проветриванию подготовительных выработок с применением пылеулавливающих установок, утвержденное Минуглепромом СССР 9 июля 1982 г.; Руководство по проектированию и организации проветривания подготовительных выработок действующих угольных шахт, утвержденное Минуглепромом СССР 16 мая 1984 г.; Временное руководство по выбору технологических схем проветривания и управления газовыделением на выемочных участках, утвержденное Минуглепромом СССР 16 мая 1984 г.; Методические указания по применению "Руководства по проектированию и организации проветривания подготовительных выработок действующих угольных шахт", утвержденные Минуглепромом СССР 18 июня 1985 г., и другие действующие бассейновые инструкции, руководства, методики и рекомендации по расчету и проектированию вентиляции.
Выбор наиболее эффективного способа дегазации должен производиться в соответствии с Руководством по дегазации угольных шахт, выбор средств пылеподавления - Руководством по борьбе с пылью и пылевзрывозащите на угольных и сланцевых шахтах, разрезах, обогатительных и брикетных фабриках, а тепловые расчеты - по Единой методике прогнозирования температурных условий в угольных шахтах.
ОСНОВНЫЕ УСЛОВНЫЕ ОБОЗНАЧЕНИЯ

- среднесуточная добыча с выемочного участка, т;

- среднесуточная добыча с шахтопласта, т;

- зольность угля, %;
B - масса одновременно взрываемых ВВ, кг;

- максимальная ширина призабойного пространства, м;

- минимальная ширина призабойного пространства, м;

- ширина забоя тупиковой выработки по углю, м;

- ширина условного пояса газового дренирования угольного массива через поверхности обнажения пласта в подготовительных выработках, м;

- концентрация газа в поступающей на выемочный участок вентиляционной струе, % (по объему);
C - допустимая концентрация газа в исходящей вентиляционной струе, % (по объему);

- концентрация газа в пунктах 1 и 2, % (по объему);

- диаметр трубопровода, м;
H - глубина разработки, м;

- расстояние по нормали между разрабатываемым и сближенным пластами, при котором метановыделение из последнего практически равно нулю, м;

- расстояние по нормали между кровлей разрабатываемого и почвой сближенного (при подработке) и между почвой разрабатываемого и кровлей сближенного (при надработке) пластов, м;

- давление вентилятора, даПа;

- депрессия выемочного участка, даПа;

- депрессия очистной выработки, даПа;

- абсолютное метановыделение из выработанного пространства, м3/мин;

- абсолютное метановыделение из очистной выработки, м3/мин;

- абсолютная метанообильность тупиковой выработки, м3/мин;

- абсолютное метановыделение из отбитого угля, м3/мин;

- абсолютное метановыделение на выемочном участке, м3/мин;

- абсолютное метановыделение с неподвижных обнаженных поверхностей пласта, м3/мин;

- коэффициент неравномерности газовыделения;
| | ИС МЕГАНОРМ: примечание. Текст дан в соответствии с официальным текстом документа. | |

- коэффициент, учитывающий движение воздуха по части выработанного пространства, непосредственно прилегающей к призабойному пространству;

- коэффициент, учитывающий выделение метана из боковых пород;

- коэффициент, учитывающий влияние системы разработки на метановыделение из пласта;

- коэффициент, учитывающий утечки воздуха через выработанное пространство;

- коэффициент, учитывающий утечки воздуха через вентиляционные сооружения;

- коэффициент турбулентной диффузии;

- коэффициент, учитывающий метановыделение из выработанного пространства в призабойное;

- коэффициент, учитывающий метановыделение из эксплуатационных потерь угля в пределах выемочного участка;

- коэффициент, учитывающий изменение метановыделения во времени;

- длина крыла, м;

- длина очистного забоя, м;

- длина трубопровода, м;

- длина очистного забоя, для которой рассчитывается максимально допустимая нагрузка, м;

- длина тупиковой выработки, м;

- длина звена трубопровода, м;

- вынимаемая полезная мощность пласта, м;

- полная мощность угольных пачек разрабатываемого пласта, м;

- вынимаемая мощность пласта с учетом породных прослоек, м;

- суммарная мощность угольных пачек отдельного (i-го) сближенного пласта (спутника), м (для спутника, состоящего из углистосланцевых пород, принимается равной половине его действительной мощности);

- наибольшее число людей, одновременно работающих в очистной или тупиковой выработке;

- подача вентиляционной установки, м3/с;

- расход воздуха на выемочном участке, м3/мин;

- расход воздуха для обособленного проветривания камеры, м3/мин;

- расход воздуха для проветривания очистной выработки, м3/мин;

- утечки воздуха через надшахтное здание и вентиляционный канал, м3/мин;

- расход воздуха в шахте, м3/мин;

- расход воздуха, который необходимо подавать в призабойное пространство тупиковой выработки, м3/мин;

- относительная метанообильность выемочного участка, м3/т;

- относительная метанообильность очистной выработки, м3/т;

- относительное метановыделение из вмещающих пород, м3/т;

- относительное метановыделение из разрабатываемого пласта, м3/т;

- относительное метановыделение из сближенных пластов (спутников), м3/т;

- относительная метанообильность шахты, м3/т;

- относительное метановыделение из отдельного подрабатываемого (верхнего) пласта (спутника), м3/т;

- относительное метановыделение из отдельного надрабатываемого (нижнего) пласта (спутника), м3/т;

- относительное метановыделение из отбитого угля, м3/т;

- относительное метановыделение с очистного забоя, м3/т;

- аэродинамическое сопротивление трубопровода,

;
r - удельное аэродинамическое сопротивление выработки,

;

- площадь поперечного сечения призабойного пространства очистной выработки в свету, м2;
S - площадь поперечного сечения выработки в свету, м2;

- площадь забоя тупиковой выработки по углю, м2;

- время проведения тупиковой выработки, сут;

- естественная температура пород, °C;
v - скорость воздуха, м/с;

- скорость подвигания очистного забоя, м/сут;

- скорость подвигания забоя тупиковой выработки, м/сут;

- максимально допустимая ПБ скорость воздуха в очистной выработке, м/с;

- минимально допустимая ПБ скорость воздуха в призабойном пространстве тупиковой выработки, м/с;

- скорость транспортирования угля по лаве, м/мин;

- выход летучих веществ, %;
W - пластовая влажность угля, %;

- природная метаноносность пласта, м3/т сухой беззольной массы (м3/т с.б.м.);
x - природная метаноносность пласта, м3/т;

- остаточная метаноносность угля, м3/т;

- остаточная метаноносность угля, м3/т с.б.м.;

- остаточная метаноносность угля при выдаче его за пределы выемочного участка, м3/т;

- остаточная метаноносность угольного пласта после его надработки или подработки, м3/т;

- остаточная метаноносность угля при выдаче его за пределы выемочного участка, м3/т с.б.м.;

- природная метаноносность i-го пласта (спутника), м3/т;

- коэффициент аэродинамического сопротивления,

;

- угол падения пласта, градус;

- плотность угля, т/м3;

- плотность воздуха, кг/м3;

- плотность угля i-го пласта (спутника), т/м3;

- коэффициент полезного действия установки.
Материалы для проектирования вентиляции новых и реконструируемых шахт, а также на период их строительства предоставляются заказчиком в соответствии с Временной инструкцией по разработке проектов и смет для промышленного строительства
СН 202-81*.
Состав рудничного воздуха, климатические условия в подземных выработках, допустимые содержания углекислого газа, метана, вредных газов и пыли, скорость воздуха в горных выработках должны соответствовать требованиям действующих Правил безопасности в угольных и сланцевых шахтах (ПБ).
Организация проветривания строящихся, реконструируемых и действующих шахт осуществляется по проекту вентиляции, являющемуся частью общего проекта шахты.
Проект вентиляции на период строительства новой, реконструкции или подготовки горизонтов действующей шахты разрабатывается проектными институтами, проектными конторами, группами шахтостроительных комбинатов (трестов) и производственных объединений. В разработке проектов участвуют геологоразведочные организации, шахты и научно-исследовательские институты, участие которых заключается в следующем.
1.1. Геологоразведочные организации
1.1.1. Согласно Положению о порядке передачи разведанных месторождений полезных ископаемых для промышленного освоения, утвержденному Министерством геологии СССР 21 июля 1970 г., геологоразведочные организации представляют организациям, занимающимся составлением прогноза газообильности:
данные о природной метаноносности угольных пластов и вмещающих пород в пределах полей проектируемых шахт;
схемы и карты опробования рабочих пластов с прогнозом газоносности и нанесением верхних границ зоны метановых газов, геологических нарушений, изогипс почвы или кровли пластов, геологоразведочных скважин (с указанием их номеров, отметок устьев и пересечений пластов, мощности и структуры пластов), линии геологических разрезов и, если возможно, изогаз; при отсутствии изогаз указывается природная метаноносность в м3/т с.б.м. по скважинам газового опробования;
результаты технического анализа угольных пластов и пропластков, массовый и объемный выход летучих веществ, логарифм

, пластовую влагу и зольность угля и генетическую классификацию углей в процентах;
схематические геологические разрезы с нанесением верхних границ зоны метановых газов и, если возможно, изогаз;
геологические разрезы скважин по форме, принятой в данном бассейне или районе, с обязательным нанесением всех пластов и пропластков угля и углистого сланца, указанием их мощности, расстояний между ними, структуры вмещающих пород и их крепости по шкале проф. Протодьяконова;
обводненность пересекаемых породных и угольных пластов;
геотермические условия пересекаемых породных и угольных пластов;
константу, характеризующую химическую активность угля по отношению к кислороду воздуха, и группу угольных пластов, склонных к самовозгоранию;
процентное содержание в угле компонентов группы фюзинита.
1.1.2. Представляемая документация должна быть выполнена в соответствии с Временными техническими требованиями угольной промышленности к геологоразведочным работам и исходным геологическим материалам, представляемым для проектирования нового строительства и реконструкции шахт и разрезов, утвержденными Минуглепромом СССР 19 октября 1970 г.
1.2.1. Накапливают и представляют данные о фактической метанообильности шахт, шахтопластов, крыльев, этажей, выемочных участков и отдельных выработок за период работы в соответствии с Инструкцией по проверке состава рудничного воздуха, определению газообильности и установлению категорий шахт по метану.
1.2.2. Представляют организациям, занимающимся составлением прогноза газообильности:
гипсометрические планы рабочих пластов с их выходами на поверхность в пределах границ поля действующей шахты и смежных с ними участков пластов, для которых необходимо составить прогноз метанообильности или углекислотообильности горных выработок; на гипсометрическом плане каждого угольного пласта должны быть нанесены: верхняя граница зоны метановых газов; геологические нарушения угольных пластов, установленные по данным геологической разведки и в процессе ведения горных работ; геологоразведочные скважины с указанием их номеров, отметок устья и пересечения пласта, фактической мощности и структуры пласта и пересекаемых пород, результатов технического анализа угля, крепости вмещающих пород;
планы горных выработок по каждому разрабатываемому угольному пласту в пределах отработанной части шахтного поля действующей шахты, являющейся смежной с той частью шахтного поля, для которой требуется составить прогноз; на каждом плане горных выработок должны быть указаны границы отработанных за каждый месяц площадей пласта на этажах (горизонтах), мощность пласта на площади отработки его за каждый месяц (общая, вынимаемая), геологические нарушения, обнаруженные в процессе ведения горных работ, места внезапных выбросов и суфлярных выделений метана (с указанием продолжительности и расхода его); места очагов действующих и списанных эндогенных пожаров; фактическая месячная добыча угля, число дней, в которые производилась добыча угля в каждом месяце, способы управления кровлей и выемки угля в очистных забоях, дегазационные скважины;
прилагаемую к плану горных выработок записку, в которой указаны способы и эффективность дегазации разрабатываемого пласта, сближенных пластов и выработанного пространства, параметры применявшихся способов дегазации, время и место подработки или надработки разрабатываемого пласта;
геологические разрезы по стволам и квершлагам с нанесением всех пластов и пропластков угля и углистого сланца с указанием их мощности и строения;
результаты технического анализа пластов и пропластков угля и углистого сланца.
1.2.3. При реконструкции шахты, кроме того, шахты представляют проектной организации:
результаты газовой и депрессионной съемок и маркшейдерские данные о состоянии горных выработок на момент проектирования;
акты обследования состояния вентиляционных установок главного проветривания;
схему вентиляции с фактическим распределением расхода воздуха.
1.2.4. На действующих шахтах определяют ожидаемую метанообильность выемочных участков и тупиковых выработок в соответствии с
разделом 3 настоящего Руководства, производят необходимые расчеты по газовому фактору, решают вопросы целесообразности дегазации, руководствуясь Руководством по дегазации угольных шахт и данными о фактическом газовом балансе выемочного участка, выбирают схему проветривания выемочного участка и тупиковой выработки с учетом пластов угля, склонных к самовозгоранию, рассчитывают расход воздуха для проветривания шахты и выбирают средства проветривания тупиковых выработок.
1.2.5. В соответствии с производственными программами развития горных работ выполняются текущий и перспективный (один раз в пять лет) расчеты расхода воздуха для проветривания отдельных выработок и шахты в целом.
Текущий расчет расхода воздуха производится два раза в год (не менее одного раза в полгода). При изменении, по сравнению с принятыми при расчетах геологических или горнотехнических условий (метанообильности, добычи, скорости проведения выработок, массы одновременно взрываемых взрывчатых веществ, мощности установленного оборудования и т.п.), расчеты расхода воздуха по отдельным объектам должны производиться повторно. При повторном расчете расхода воздуха в целом по шахте расход воздуха на проветривание поддерживаемых выработок, камер и внутренние утечки не пересчитываются. Для новых очистных и тупиковых выработок, выемочных участков и камер расчеты производятся при разработке паспортов.
В тех случаях, когда ожидаемое метановыделение определялось по природной метаноносности, по мере накопления данных о фактическом метановыделении должен производиться повторный расчет расхода воздуха.
Расчет на пятилетие выполняется депрессионной службой ВГСО совместно с шахтой во время производства депрессионных и газовых съемок на шахте для периода наибольшей потребности в воздухе. При этом проверяется возможность пропуска расчетного расхода воздуха по горным выработкам, а при отсутствии такой возможности разрабатываются мероприятия по совершенствованию проветривания шахты (см.
раздел 12).
1.2.6. Выполнение расчета расхода воздуха возлагается на участок вентиляции и техники безопасности (ВТБ), начальника вентиляции шахты или лицо, выполняющее его функции. Результаты расчетов должны быть утверждены главным инженером шахты.
1.2.7. Основными исходными материалами для расчета расхода воздуха для новых (реконструируемых) шахт и горизонтов являются схема вскрытия и подготовки, схема вентиляции, календарные планы развития горных работ, данные прогноза газообильности.
На действующих шахтах основными исходными материалами для расчетов расхода воздуха являются: производственная программа и календарные планы развития горных работ, схема вентиляции, результаты измерения расхода воздуха и концентрации газов в выработках. При наличии должны использоваться также данные разовых и депрессионных съемок.
1.2.8. Расчеты расхода воздуха выполняются для очистных выработок, выемочных участков, тупиковых выработок и камер, а также поддерживаемых и погашаемых выработок. Определяются утечки воздуха через вентиляционные сооружения. Общий расход воздуха для проветривания шахты определяется как сумма расходов воздуха для обособленно проветриваемых объектов и утечек воздуха и проверяется по допустимой концентрации метана (углекислого газа) в исходящей струе шахты (крыла).
1.2.9. Приведенные в Руководстве значения коэффициентов неравномерности газовыделения, коэффициентов утечек воздуха через выработанное пространство выемочных участков, коэффициентов, учитывающих поступление метана из выработанных пространств в очистные выработки, а также нормы утечек воздуха через вентиляционные сооружения могут уточняться для конкретных условий по согласованию с МакНИИ или ВостНИИ на основании газовых и воздушных съемок.
1.3. Проектные организации
Определяют ожидаемую метанообильность (углекислотообильность) горных выработок проектируемой шахты или горизонта и производят необходимые расчеты по газовому фактору, решают вопросы целесообразности дегазации, пользуясь Руководством по дегазации угольных шахт, применяя при этом наиболее эффективные способы ее, обеспечивающие заданную нагрузку на очистной забой, выбирают схему проветривания выемочного участка, шахты и способ проветривания шахты с учетом пластов, склонных к самовозгоранию, рассчитывают расход воздуха для проветривания шахты, депрессию ее, выбирают вентиляторы главного проветривания и воздухонагреватели, определяют устойчивость вентиляции в соответствии с настоящим Руководством.
Разрабатывают проект вентиляции на период строительства шахты, включающий выбор схем проветривания при проходке и армировке стволов и проведении горизонтальных и наклонных тупиковых выработок, расчет расхода воздуха, выбор средств проветривания и способов и средств подогрева воздуха, подаваемого в выработки.
1.4. Научно-исследовательские институты и служба ВГСЧ
Консультируют проектные организации, производственные объединения (комбинаты) и шахты по всем вопросам проектирования вентиляции новых и реконструируемых шахт. При необходимости разрабатывают рекомендации по проектированию вентиляции для вновь применяемой технологии выемки угля и специфических условий бассейна, не нашедших отражения в данном Руководстве.
2. ПОРЯДОК ПРОЕКТИРОВАНИЯ ВЕНТИЛЯЦИИ УГОЛЬНЫХ ШАХТ
2.1. Проектирование вентиляции новых шахт
и на период строительства
2.1.1. Для принятых в проекте последовательности отработки пластов, системы разработки и ее основных параметров (порядка отработки выемочных полей, скорости подвигания очистных и тупиковых забоев, технологии выемки и др.) определяется газообильность очистных и тупиковых выработок и выемочных участков (см.
разделы 3 и
4) и выбираются способы дегазации (см. Руководство по дегазации угольных шахт).
По относительной метанообильности выемочного участка и принятой нагрузке на очистной забой выбираются возможные варианты наиболее приемлемых схем проветривания (см.
раздел 5).
Рассчитывается максимально допустимая нагрузка на очистную выработку для выбранных вариантов схем по газовому фактору (см.
раздел 6) и сравнивается с нагрузкой, принятой по пропускным способностям ведущих технологических процессов (звеньев). Если последняя больше расчетной, то пересматривается схема проветривания выемочного участка с корректировкой прогноза метанообильности, нагрузки на очистной забой по газовому фактору и принимается минимальная из них.
2.1.2. На основе анализа отбираются варианты, подлежащие экономическому сравнению.
2.1.3. Для каждого из рассматриваемых вариантов конструируется схема проветривания панели, блока (определяемая, как правило, схемой проветривания выемочного участка), что практически предопределяет варианты схемы подготовки шахтного поля, подлежащего сравнению. Число очистных забоев в шахте, в панели (блоке) в первом приближении принимается исходя из планируемой производственной мощности.
2.1.4. По каждому из сравниваемых вариантов рассчитывается расход воздуха для проветривания блока или шахты (см.
раздел 7).
2.1.5. Составляются возможные варианты схем проветривания шахты. Схема проветривания шахты принимается на основе анализа основных технических решений в увязке со всеми ведущими технологическими процессами (звеньями).
Выполняются технико-экономические расчеты и устанавливается число анализируемых вариантов.
2.1.6. Для принятого наиболее экономичного варианта схемы проветривания шахты производится расчет вентиляции на первый период (15 - 25 лет) эксплуатации шахты (см. ниже). В зависимости от схем вскрытия, подготовки и схемы вентиляции могут потребоваться расчеты на остальные периоды.
2.1.7. Для первого периода устанавливаются наиболее характерные этапы развития шахты (сдача шахты в эксплуатацию, освоение проектной мощности, максимальное развитие горных работ, ввод новых горизонтов, блоков и т.п.) и для них составляются схемы проветривания шахты.
2.1.8. Для каждой такой схемы производится расчет расхода воздуха в соответствии с Руководством (см.
раздел 7) и тепловой расчет в соответствии с Единой методикой прогнозирования температурных условий в угольных шахтах, если естественная температура пород для проектируемой глубины разработки достигает 30° и более.
2.1.9. Производится расчет и выбор воздухонагревателей (см.
раздел 11).
2.1.10. Для каждого этапа отработки и соответствующей ему схемы проветривания рассчитывается депрессия шахты и выбирается способ проветривания (см.
раздел 8).
2.1.11. В соответствии с Руководством производится анализ устойчивости проветривания шахты (см.
раздел 10).
2.1.12. Выбираются способы и средства проветривания тупиковых выработок (см.
раздел 7).
2.1.13. Выбираются вентиляционные установки главного проветривания (см.
раздел 9), приводные электродвигатели, и определяются режимы работы вентиляционных установок.
2.1.14. На период строительства шахты:
составляется прогноз метанообильности (углекислотообильности) тупиковых выработок (см.
разделы 3 и
4);
выбираются варианты схем проветривания стволов при их проходке, армировке, а также при проведении горизонтальных и наклонных выработок с учетом календарного плана работ;
выбираются схемы и средства для проветривания башенных копров;
производится расчет расхода воздуха для каждой тупиковой выработки, выбор трубопроводов и средств проветривания по периодам развития горных работ, которые определяются соединением новых выработок в замкнутую сеть, позволяющую увеличить число подготовительных выработок, проветриваемых за счет общешахтной депрессии;
в каждый период развития горных работ определяется расход воздуха для проветривания горных выработок в соответствии с Руководством (см.
раздел 7) и осуществляется тепловой расчет в соответствии с Единой методикой прогнозирования температурных условий в угольных шахтах и дополнениями к разделу 4 Единой методики, если естественная температура горных пород для проектируемой глубины разработки достигла 30 °C и более;
производится расчет и выбор места воздухонагревательной установки;
определяются режимы работы вентиляционной установки на период проходки стволов и проведения тупиковых выработок. Выбор вентиляционной установки может осуществляться по периодам развития горных работ.
2.2. Проектирование вентиляции реконструируемых шахт
и новых горизонтов на действующих шахтах
При проектировании вентиляции реконструируемых шахт необходимо, кроме указанных в
пп. 2.1.1 -
2.1.14 требований, выполнение дополнительных работ.
2.2.1. Для определения источников и величины метановыделения, то есть для составления газового баланса на шахте следует проводить специальные газовые съемки на выемочных участках и на шахте в целом по методике, изложенной в Руководстве по производству депрессионных и газовых съемок в угольных шахтах.
2.2.2. Для определения фактических аэродинамических сопротивлений ветвей, мест утечек и их величины проводится депрессионная съемка выработок шахты. Аэродинамическое сопротивление существующих выработок, используемых при реконструкции, принимается равным фактическому, если выработка находится в удовлетворительном состоянии.
2.2.3. При изменении схем проветривания для повышения устойчивости вентиляции следует избегать диагоналей или стремиться к уменьшению их числа, правильно размещать отрицательные регуляторы, сокращать число вентиляционных установок главного проветривания (до одной на крыло, блок).
3. ПРОГНОЗ МЕТАНООБИЛЬНОСТИ ВЫРАБОТОК УГОЛЬНЫХ ШАХТ
3.1. Прогноз метанообильности выработок по метаноносности
угольных пластов
Этим методом можно пользоваться для расчета ожидаемой метанообильности горных выработок при отработке угольных пластов в любых горно-геологических условиях. Для расчета ожидаемой метанообильности по метаноносности необходимые исходные материалы представляются в соответствии с
п. 1.1.1.
Кроме того, для составления прогноза необходимо иметь данные о последовательности отработки пластов, системе разработки и ее основных параметрах, в том числе: о порядке отработки выемочных полей (прямом, обратном); количестве подэтажей в этаже (при разработке пласта по простиранию); скорости подвигания очистных и тупиковых забоев (стволов, уклонов, штреков и т.д.); времени от окончания подготовки участка до начала очистных работ; способе выемки угля в очистных и тупиковых забоях; величине заходки при проведении тупиковых выработок; продолжительности времени, прошедшего от отбойки угля до выдачи его из участка, шахты; эксплуатационных потерях угля; количестве слоев и порядке их выемки, вынимаемой мощности каждого слоя; расстоянии и времени опережения очистных забоев первого слоя по отношению к очистным забоям второго слоя (при большом количестве слоев - также по второму по отношению к третьему и т.д.); продолжительности обнажения поверхности невынимаемой толщи пласта в очистном пространстве; способах управления кровлей; способах проведения тупиковых выработок (одинарными или параллельными забоями, проходкой ствола бурением и т.д.); размерах тупиковых выработок (в свету, вчерне); ширине целиков между параллельными тупиковыми выработками; предполагаемых способах дегазации.
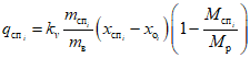
Относительная метанообильность выработок шахтопласта

определяется по формуле

, (3.1)
где

- число одновременно действующих выемочных участков в пределах шахтопласта;

- коэффициент, учитывающий метановыделение из выработанных пространств ранее отработанных этажей (горизонтов);

- метановыделение из обособленно проветриваемых тупиковых выработок, м3/мин;

- метановыделение из одновременно погашаемых выемочных участков, м3/мин; принимается для каждого погашаемого участка равным 50% от метановыделения действующего выемочного участка;

- метановыделение из монтажных выработок, м3/мин; рассчитывается как

для остановленных выработок;

- коэффициент, учитывающий способ подготовки выемочного участка; для условий Кузбасса принимается по табл. 3.1, а для остальных бассейнов и месторождений

.
Таблица 3.1
Значения коэффициента, учитывающего способ
подготовки выемочного участка
Способ подготовки выемочного участка | Система разработки | Падение пласта | |
1 | 2 | 3 | 4 |
Параллельными выработками на откаточном и вентиляционном горизонтах | Без разделения пласта на слои, а также слоевая с большим опережением работ одного слоя по отношению к другому | Крутое | 0,7 |
Параллельными выработками на откаточном и одиночными на вентиляционном горизонтах | То же | То же | 0,8 |
Слоевыми выработками | Слоевая и комбинированная с одновременной выемкой слоев | -"- | 0,6 |
Пологое | 0,7 |
Одиночными выработками | | Пологое | 1,0 |
Значение коэффициента

для условий шахт Донецкого и Львовско-Волынского бассейнов принимается равным 0,25, а для других бассейнов страны - 0,15. В случае, когда вентиляционная выработка пройдена по антрацитовому пласту, имеющему сближенные пласты (спутники), и примыкает к выработанному пространству ранее отработанных этажей (горизонтов),

принимается равным 0,35.
Относительная метанообильность выемочного участка определяется как суммарное метановыделение из разрабатываемого пласта (

, м3/т), сближенных угольных пластов и пропластков (

, м3/т) и вмещающих пород (

, м3/т), т.е.

. (3.2)
3.1.1. Метановыделение из разрабатываемого пласта
При разработке пласта без разделения на слои и схемах проветривания выемочных участков без подсвежения (кроме щитовой системы разработки при отработке мощных пластов) относительное метановыделение из разрабатываемого пласта рассчитывается по формуле

, (3.3)
где

- коэффициент, учитывающий влияние системы разработки на метановыделение из пласта;
x - природная метаноносность пласта, м3/т;

- остаточная метаноносность угля, выдаваемого за пределы выемочного участка, м3/т;

- коэффициент, учитывающий метановыделение из эксплуатационных потерь угля в пределах выемочного участка, доли единицы, принимается по проекту; при отсутствии данных о величине потерь - как частное от деления разности между подготовленными к отработке и извлеченными запасами угля к подготовленным;

- остаточная метаноносность угля, оставляемого в выработанном пространстве в целиках, невынимаемых пачках и т.д., м3/т.
Пересчет природной метаноносности пласта

, м3/т с.б.м., и остаточной

, м3/т с.б.м., на уголь x и

осуществляется умножением

,

соответственно на коэффициент

, где W - пластовая влажность угля, а

- зольность угля, %.
При разработке пласта (или слоя) длинными столбами по восстанию (падению) или полосами по простиранию за x принимается максимальная, а при других системах разработки - средняя природная метаноносность в пределах этажа (подэтажа, яруса). При разработке подработанных или надработанных угольных пластов в расчетные формулы вместо x подставляется

, значения которого определяются по
формулам (3.41),
(3.42).
Значение

принимается по данным геологической разведки, а

определяется в зависимости от выхода летучих веществ из угля по табл. 3.2.
Таблица 3.2
Остаточная метаноносность углей
Бассейны | Значения  , м3/т с.б.м., при выходе летучих веществ, % |
2 - 8 | 8 - 12 | 12 - 18 | 18 - 26 | 26 - 35 | 35 - 42 | 42 - 50 |
Донецкий и Львовско-Волынский | 12,1 - 5,3 | 5,3 - 4,1 | 4,1 - 3,2 | 3,2 - 2,6 | 2,6 - 2,2 | 2,2 - 1,9 | 1,9 - 1,7 |
Карагандинский, Экибастузский и Печорский | - | - | 7 - 6 | 6 - 5 | 5 - 4 | 4 - 3 | 3 - 2 |
Партизанский и Угловский | 1,5 | 1,5 | 1,5 | 1,3 | 1,0 | 1,0 | - |
Кузнецкий | 3,5 | 3,0 | 2,5 | 2,0 | 2,5 | 2,5 | - |
Примечание. Значения

для других месторождений страны принимаются по рекомендациям МакНИИ или ВостНИИ.
Величина остаточной метаноносности угля, выдаваемого за пределы выемочного участка

, определяется по формулам:
при разработке каменных углей и антрацитов с объемным выходом летучих веществ больше 165 мл/г с.б.м.

; (3.4)
при разработке высокометаморфизованных антрацитов с объемным выходом летучих веществ от 100 до 165 мл/г с.б.м.

, (3.5)
где k - коэффициент, равный для условий Донецкого и Львовско-Волынского бассейнов 0,85, для Печорского 0,6, а для остальных бассейнов и месторождений страны - 1;
n - показатель степени, зависящий от скорости подвигания очистного забоя, степени метаморфизма угля, глубины разработки;

- коэффициент, учитывающий долю газа, оставшегося в отбитом угле;

- объемный выход летучих веществ, мл/г с.б.м.
Значения n для Донецкого и Львовско-Волынского бассейнов определяются по формуле (3.6), а для других бассейнов и месторождений страны - по формуле (3.7)

; (3.6)

, (3.7)
где

- коэффициенты, значения которых для Донецкого и Львовско-Волынского бассейнов принимаются: для углей с выходом летучих веществ

; при

.
Примечание. При глубине горных работ более 1000 м расчетное значение H в формуле (3.6) принимается равным 1000 м.
Значение

для Печорского бассейна принимается равным 0,1, а для других бассейнов и месторождений страны - 0,21.
Коэффициент

определяется по формуле

, (3.8)
где

- коэффициенты, характеризующие газоотдачу из отбитого угля; принимаются для условий Донецкого и Львовско-Волынского бассейнов при времени дегазации отбитого угля (времени транспортирования угля) до 6 мин соответственно равными 0,051 и 0,7, а при

. Для восточных бассейнов и месторождений страны значения

принимаются по табл. 3.3, а

.
Таблица 3.3
Значения коэффициента, характеризующего газоотдачу
из отбитого угля
Бассейны, месторождения, пласты | Значения коэффициента  |
1. | Кузнецкий бассейн, пласты угля с выходом летучих веществ, % |
до 16 | 0,075 |
от 16 до 36 | 0,115 |
от 36 и более | 0,075 |
2. | Карагандинский бассейн: |
пласты карагандинской свиты  | 0,075 |
пласты карагандинской свиты  и все пласты долинской свиты | 0,044 |
3. | Воркутское месторождение: |
пласты "Мощный", "Тройной" | 0,115 |
пласты "Четвертый", "Пятый" и "Тройной" после подработки | 0,033 |
4. | Для других месторождений | 0,115 |
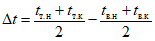
Время транспортирования угля с момента отторжения его от массива до выдачи его за пределы участка

определяется по формуле

, (3.9)
где

- число участков длиной

с различной скоростью движения угля;

- протяженность выработок с i-м видом транспорта, м;

- скорость транспортирования угля на участке

, м/с.
Для других условий величина

рассчитывается по рекомендациям научно-исследовательских институтов, а при отсутствии таких рекомендаций

принимается равной

.
Коэффициент, учитывающий влияние системы разработки на метановыделение из пласта, вычисляется для каждого выемочного столба или подэтажа по формуле

. (3.10)
В формуле (3.10) знак "плюс" принимается при сплошной системе разработки (коренная лава), а также при системе разработки парными штреками (прямой ход), а "минус" при столбовой системе разработки.
При сплошной системе разработки, когда вышележащая лава отработана, а также при комбинированной, когда один штрек пройден, а другой проходится вслед за лавой,

.
Ширина условного пояса газового дренирования угольного массива

определяется по табл. 3.4, в зависимости от времени с момента окончания проведения подготовительных выработок до начала очистной выемки.
Таблица 3.4
Значения ширины условного пояса газового
дренирования пласта

Время с момента окончания проведения подготовительных выработок до начала очистной выемки, сут | Значения  для углей с выходом летучих веществ, % |
до 8 | 8 - 12 | 12 - 18 | 18 - 26 | 26 - 35 | более 35 |
50 | 5,5 | 7,5 | 10,0 | 12,5 | 10,0 | 7,5 |
100 | 7,0 | 10,0 | 12,5 | 16,0 | 12,5 | 10,0 |
150 | 7,5 | 10,5 | 13,5 | 17,5 | 13,5 | 10,5 |
200 и более | 8,0 | 11,0 | 14,0 | 18,0 | 14,0 | 11,0 |
Примечание. Для условий Карагандинского и Кузнецкого бассейнов при газоносности пластов менее 15 м3/т значение

уменьшается в два раза.
Для пластов Партизанского угольного бассейна значение

принимается равным 10 м, а для Угловского бассейна - 15 м.
При щитовой системе разработки относительное метановыделение из пласта определяется:
при выемке тонких и средней мощности крутых пластов щитовыми агрегатами типа АЩ, АНЩ полосами по падению по
формуле (3.3);
при выемке мощных крутых пластов

, (3.11)
где

- абсолютное метановыделение в очистной выработке из обнаженных поверхностей пласта, м3/мин; рассчитывается по формуле
| | ИС МЕГАНОРМ: примечание. Формула дана в соответствии с официальным текстом документа. | |

; (3.12)

- коэффициент, значение которого приведено в табл. 3.5.
Таблица 3.5
Значения коэффициента

в зависимости
от выхода летучих веществ
 , % | до 8 | 8 - 12 | 12 - 18 | 18 - 26 | 26 - 35 | 35 - 42 | более 42 |
| 0,14 | 0,14 - 0,18 | 0,18 - 0,28 | 0,28 - 0,43 | 0,43 - 0,38 | 0,38 - 0,30 | 0,28 |

- коэффициент, учитывающий увеличение метанообильности выработки в зависимости от применяемой технологии; определяется по формулам:
при буровзрывной выемке с выпуском угля из печей

, (3.13)
при буровзрывной выемке с выгрузкой угля из забоя с помощью скреперных лебедок

, (3.14)
при механизированной выемке угля

, (3.15)

- масса угля, отбиваемого за один или несколько приемов взрывания без выгрузки, т;

- площадь щитового перекрытия, м2;

- длина щитового перекрытия, м;

- скорость рабочего хода скрепера, м/с;

- количество углеспускных печей;

- производительность скреперной установки и агрегата соответственно, т/ч;

- периметр углеспускной печи, м;

- расстояние между углеспускными печами, м;

- скорость проведения углеспускной печи, м/сут;

- скорость подвигания щита, м/сут.
| | ИС МЕГАНОРМ: примечание. При публикации в издании Макеевка - Донбасс: МакНИИ, 1989 допущен типографский брак. Текст, не пропечатанный в официальном тексте документа, в электронной версии данного документа выделен треугольными скобками. | |
При выемке мощных пластов с разделением на слои относительная метанообильность выемочного участка, обусловленная метановыделением из разрабатываемого пласта <...> призабойно <...> пространство, определяется:
для первого слоя (в порядке очередности выемки)

, (3.16)
для второго слоя (кроме комбинированной системы с гибким перекрытием)

, (3.17)
где

- коэффициенты, учитывающие метановыделение из угольного массива, примыкающего к штрекам, до начала выемки соответственного первого и второго слоев;

- полная и вынимаемая мощность угольных пачек соответственно второго и первого слоев с учетом 50% мощности прослоек углистосланцевых пород с зольностью свыше 60%, м;

- остаточная метаноносность временно не вынимаемого угольного массива, м3/т.
Коэффициент, учитывающий выделение метана в прилегающие к угольному массиву подготовительные выработки первого и второго слоев до начала очистных работ в зависимости от принятой системы разработки, определяется по
формуле (3.10). При выемке второго слоя после отработки первого принимается

. При выемке второго слоя остаточная метаноностность пласта рассчитывается по формулам:
для системы разработки с закладкой выработанного пространства

; (3.18)
для пологих и наклонных пластов с выемкой слоев длинными столбами по простиранию с обрушением кровли

, (3.19)
где

- мощность временно не вынимаемого нижнего слоя (слоев), м;

- время, прошедшее с момента надработки нижнего слоя или спутника до начала ведения очистных работ, сут.
При комбинированных системах разработки с гибким перекрытием (КГП) относительная метанообильность выработок первого монтажного слоя рассчитывается так же, как и для других слоев систем. Относительное метановыделение из разрабатываемого пласта под гибким перекрытием второго слоя

определяется по
формуле (3.11), а

и

, входящие в
формулу (3.11), рассчитываются соответственно по формулам:

; (3.20)

, (3.21)
где

- коэффициент, учитывающий дренирование угольного массива в зависимости от метаноносности и мощности пласта; определяется по графику, приведенному на
рис. 3.1;

- коэффициент, учитывающий дренирование угольного массива в течение времени

, прошедшего с момента начала подготовки отрабатываемого столба (начало проведения "минусового" штрека) до начала очистной выемки; принимается в зависимости от

следующим:
 , сут | 0 | 20 | 40 | 60 | 80 | 100 | 120 | 140 | 160 | 180 |
| 1 | 0,82 | 0,67 | 0,55 | 0,45 | 0,37 | 0,30 | 0,25 | 0,20 | 0,16 |
Рис. 3.1. Графики для определения коэффициента дренирования
угольного массива

по метаноносности и мощности пласта

- площадь обнажения пласта очистным забоем по второму слою, м2;

- масса угля, отбиваемого за одно взрывание, т;

- коэффициент, зависящий от технологической схемы выемки угля, принимается равным 79,2 при выемке по простиранию и 188,6 - по падению.
При схемах проветривания выемочных участков с обособленным разбавлением метана по источникам его выделения относительное метановыделение из пласта определяется по формуле

, (3.22)
где

- относительное метановыделение с очистного забоя, м3/т;

- относительное метановыделение из отбитого угля, м3/т.
Значения

и

определяются по формулам:

; (3.23)

; (3.24)

; (3.25)

, (3.26)
где

- коэффициенты, учитывающие долю отбитого угля, соответственно находящегося на конвейере и оставляемого в лаве, дол. ед.; значения

при односторонней выемке угля;

при двухсторонней выемке угля;

- коэффициенты, учитывающие степень дегазации отбитого угля соответственно в очистной выработке на конвейере (

), на почве в лаве (

) и на конвейере в выработке участка (

); определяются по формулам:

; (3.27)

; (3.28)

; (3.29)

- время нахождения отбитого угля на почве в лаве при односторонней выемке угля, мин; принимается ориентировочно равным времени работы комбайна по выемке полоски угля на ширину захвата с учетом времени на концевые операции;

- время транспортирования угля в лаве, мин;

; (3.30)

- скорость транспортирования угля в лаве, м/с.
Значения

и

приведены на стр. 21.
3.1.2. Метановыделение из сближенных угольных пластов (спутников)
Относительное метановыделение из сближенных пластов (спутников) определяется по формуле

. (3.31)
Относительное метановыделение как из подрабатываемого

, так и из надрабатываемого

(кроме Карагандинского бассейна) пласта (спутника) определяется по формуле

, (3.32)
где

- коэффициент, учитывающий влияние скорости подвигания очистного забоя на метановыделение из спутника; для условий Донецкого и Львовско-Волынского бассейнов

, причем при отработке тонких и средней мощности крутых пластов щитовыми агрегатами типа АЩ, АНЩ

определяется как отношение ширины полосы к времени ее отработки. Для других бассейнов и месторождений страны

;

- суммарная мощность угольных пачек отдельного (i-го) спутника, м (для спутника, состоящего из углистосланцевых пород, принимается равной половине его действительной мощности);

- природная метаноносность i-го спутника, м3/т;

- остаточная метаноносность угля i-го спутника, м3/т; определяется так же, как

.
Если природная метаноносность спутника не определена при разведке месторождения, то она принимается равной метаноносности ближайшего рабочего пласта с введением поправки на зольность и влажность спутника, т.е.

, (3.33)
где

и

- соответственно зольность и пластовая влажность спутника, %.
При подработке пологих наклонных пластов в условиях Донецкого и Львовско-Волынского бассейнов

определяется по формуле

, (3.34)
где

- коэффициент, учитывающий влияние литологического состава вмещающих пород

и угла падения пласта

на образование зоны разгрузки пород с раскрытием трещин; определяется по формуле

; (3.35)

- коэффициент, учитывающий влияние способа управления кровлей; при полном обрушении - 1,0; при частичной закладке, плавном опускании и удержании на кострах - 0,8; при полной закладке - 0,4;

- вынимаемая мощность пласта с учетом породных прослоек, м.
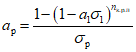
Коэффициент

, учитывающий литологический состав пород в зоне их деформации с раскрытием трещин, принимается в зависимости от степени метаморфизма угля следующим:
 , % | 2 - 8 | 8 - 12 | 12 - 18 | 18 - 26 | 26 - 35 | более 35 |
| 1,8 - 1,6 | 1,6 - 1,5 | 1,5 - 1,35 | 1,35 - 1,20 | 1,20 - 1,0 | 0,9 |
При определение

для лавы длиной более 220 м в
формулу (3.34) необходимо подставлять

.
Для Печорского бассейна при подработке пологих и наклонных пластов

определяется по формуле (3.36), а для остальных бассейнов - по формуле (3.37)

; (3.36)

. (3.37)
Значение

при полном обрушении кровли принимается равным 40, а при закладке выработанного пространства - 30.
Если при вынимаемой мощности пласта (или слоя) более 3,5 м величина

при расчете по формуле (3.37) получается более 300 м, то в дальнейших расчетах

принимается равной 300 м.
При надработке пологих и наклонных угольных пластов значение

принимается: для Донецкого и Львовско-Волынского бассейнов равным 60 м; для остальных бассейнов, кроме Печорского, - 35 м. Для Печорского бассейна

определяется по формуле

. (3.38)
Для условий подработки крутых пластов

определяется по
формуле (3.37), а для условий надработки крутых пластов - по формуле

. (3.39)
Значения

при подработке и надработке крутых пластов в условиях Донецкого бассейна принимаются: при управлении кровлей полным обрушением

; частичной закладкой, плавным опусканием и удержанием на кострах

и полной закладкой

.
При надработке пологих и наклонных пластов Карагандинского бассейна относительное метановыделение за счет каждого отдельного надрабатываемого пласта (спутника), находящегося в пределах

, определяется по формуле

, (3.40)
где

- остаточная метаноносность пласта (спутника) после его надработки, м3/т;

. (3.41)
При

выражение

принимается равным единице.
Если угольный пласт до его разработки или сближенный пласт был подработан или надработан, то в расчетные формулы вместо x подставляется остаточная метаноносность, величина которой (кроме Карагандинского бассейна при надработке пластов) определяется по формуле

. (3.42)
Если велась заблаговременная дегазация пласта (углепородной толщи), то в
формулы (3.41), (3.42) вместо x подставляется

. Значение

принимается в соответствии с Руководством по дегазации угольных шахт.
Если

или

, то метан из пласта не выделяется.
3.1.3. Метановыделение из вмещающих пород
При наличии данных по метаноносности вмещающих пород относительное метановыделение из них определяется по формулам:
| | ИС МЕГАНОРМ: примечание. Формула дана в соответствии с официальным текстом документа. | |

; (3.43)

; (3.44)

, (3.45)
где

- относительное метановыделение из вмещающих пород, попадающих в зону интенсивного дробления, принятую равной

, м3/т;

- относительное метановыделение из вмещающих пород, попадающих в зону трещинообразования, равную

, м3/т;

- средняя метаноносность пород в 30-кратной вынимаемой мощности пласта (

), м3/т;

- метаноносность i-го слоя вмещающих пород, м3/т;

- средняя плотность пород в зоне

, т/м3;

- плотность i-го слоя вмещающих пород, т/м3.
При отсутствии данных по метаноносности вмещающих пород для условий Донецкого и Львовско-Волынского бассейнов

, (3.46)
где

- коэффициент, учитывающих влияние способа управления кровлей и литологический состав пород; значения его берутся из табл. 3.6;

- глубина верхней границы зоны метановых газов, м.
Таблица 3.6
Значения коэффициента

Способ управления кровлей | |
Полное обрушение | 0,00106 |
Частичная закладка, удержание кровли на кострах, плавное опускание | 0,00084 |
Полная закладка | 0,00043 |
Для других бассейнов относительное метановыделение из пород

. (3.47)
Коэффициент

принимается равным:
для условий Кузнецкого и Карагандинского бассейнов - до глубины разработки 500 м от поверхности при

и полном обрушении кровли - 0,15, полной закладке - 0,06, а при

; на глубинах более 500 м от поверхности

, (3.48)
где

- соответствующее значение

для глубины разработки до 500 м;
для Воркутского месторождения при полном обрушении 0,10 - 0,15.
Для Партизанского бассейна относительное метановыделение из смещающих пород кровли принимается 0,6 м3/т, почвы - 0,2 м3/т.
Для Угловского бассейна метановыделение из вмещающих пород не учитывается.
3.1.4. Метанообильность тупиковых выработок
Абсолютная метанообильность тупиковой выработки (

, м3/мин) слагается из метановыделения с неподвижных обнаженных поверхностей пласта

(м3/мин) и из отбитого угля

(м3/мин)

. (3.49)
Метановыделение с неподвижных обнаженных поверхностей пласта рассчитывается по формуле

, (3.50)
где

- полная мощность угольных пачек пласта, м;

- проектная скорость подвигания забоя тупиковой выработки, м/сут;

- коэффициент, учитывающий условия фильтрации метана; для тонких и средней мощности пластов принимается равным 1,0; для мощных пластов определяется по
табл. 3.7;

- коэффициент, учитывающий изменение метановыделения во времени, зависит от времени

, прошедшего от начала проведения проектируемого участка выработки до момента выделения

. Для шахт Донецкого и Львовско-Волынского бассейнов принимается по
табл. 3.8 или формуле (3.51), а для остальных бассейнов - равным

, при

принимается равным 13,4;

; (3.51)

- коэффициент, для шахт Донецкого и Львовско-Волынского бассейнов принимается равным 5,2, а для остальных бассейнов находится по
табл. 3.5;

- показатель степени; принимается равным 1 для шахт Донецкого и Львовско-Волынского бассейнов, а для остальных бассейнов и месторождений

.
Таблица 3.7
Значение коэффициента

| 1,0 и более | 0,9 | 0,8 | 0,7 | 0,6 | 0,5 | 0,4 | 0,3 | 0,2 | 0,1 |
| 1,0 | 0,95 | 0,91 | 0,85 | 0,76 | 0,65 | 0,54 | 0,43 | 0,34 | 0,26 |
Примечание. S - площадь поперечного сечения выработки в свету, м2.
Таблица 3.8
Значения коэффициента

в зависимости от

 , сут | |  , сут | |  , сут | |
1 | 1,2 | 15 | 3,8 | 75 | 9,1 |
2 | 1,4 | 20 | 4,5 | 90 | 9,6 |
3 | 1,6 | 25 | 5,2 | 105 | 10,0 |
4 | 1,8 | 30 | 5,8 | 120 | 10,3 |
5 | 2,0 | 45 | 7,5 | 150 | 10,6 |
10 | 3,0 | 60 | 8,5 | более 150 | 11,0 |
При определении метановыделения с неподвижных обнаженных поверхностей пласта остановленной выработки

в
формулу (3.50) подставляется величина

, определяемая для условий Донецкого и Львовско-Волынского бассейнов как разность между

, рассчитанными для времени

и

, а для других бассейнов и месторождений

, (3.52)
где

- время, прошедшее с момента остановки работ по проведению выработки до их возобновления, сут. Пересчет производится при

более 10 сут.
Метановыделение с неподвижных обнаженных поверхностей пласта в тупиковую выработку, проводимую по надработанному пласту, определяется по
формуле (3.50), в которую вместо x подставляется

, определенное по
формуле (3.41) или
(3.42), с учетом времени, прошедшего с момента надработки пласта до начала проведения выработки.
Метановыделение с неподвижных обнаженных поверхностей пласта в тупиковые выработки дренажных шахт, проводимые по пласту

, находится по
формуле (3.50), в которую вместо

подставляется 0,5 периметра выработки.
Метановыделение из отбитого угля зависит от способа проведения выработки и определяется следующим образом.
При комбайновом способе проведения

, (3.53)
где j - техническая производительность комбайна, т/мин, принимается 1,2 т/мин для комбайна 4ПУ; 1,8 - для ГПКС; 1,5 - для 4ПП-2; 1,0 - для 4ПП-5; 2,4 - для ПК-25; 1,6 - для 1ПК-3Р;

- коэффициент, учитывающий степень дегазации отбитого угля; зависит от времени нахождения угля в призабойном пространстве

. Значения

для условий Донецкого и Львовско-Волынского бассейнов следует принимать при

| 1 | 2 | 3 | 4 | 5 | 6 |
| 0,052 | 0,088 | 0,116 | 0,138 | 0,157 | 0,173 |
или рассчитывать по
формуле (3.27) при любом значении

. Для остальных бассейнов и месторождений Востока

рассчитывается по
формуле (3.27), в которую вместо

подставляется

, а коэффициенты, входящие в
формулу (3.27), принимаются в соответствии с рекомендациями
п. 3.1.1.
Значение

рассчитывается по формуле

, (3.54)
где

- площадь сечения выработки по углю в проходке, м2;

- подвигание забоя за цикл непрерывной работы комбайна, м; принимается при мощности пласта, меньшей диаметра резцовой коронки (барабана) комбайна, равным длине коронки (барабана), а при мощности пласта, большей диаметра резцовой коронки, - расстоянию между арками (рамами) крепи, но не менее 1 м.
При проведении выработок с помощью отбойных молотков или выбуриванием

определяется по
формуле (3.53), а вместо технической производительности комбайна подставляется значение суммарной производительности проходчиков, одновременно работающих по отбойке угля, или техническая производительность бурового станка (j, т/мин).
Суммарная производительность проходчиков, одновременно работающих по отбойке угля, определяется по формуле

, (3.55)
где

- число проходчиков, одновременно работающих в смене по отбойке угля;

- норма выработки одного проходчика по выемке угля отбойным молотком, т/смену;

- время работы проходчиков в смене по отбойке угля, ч.
При проведении выработок буровзрывным способом

определяется по формуле

, (3.56)
где

- подвигание угольного забоя за взрывание, м.
Максимальное метановыделение в призабойное пространство при ведении буровзрывных работ по углю определяется по формуле

. (3.57)
Метановыделение в призабойное пространство тупиковой выработки (

) при выемке угля комбайнами, отбойными молотками или выбуриванием определяется по
формуле (3.49). В этом случае при определении

по
формуле (3.50) длина призабойного участка выработки принимается равной 20 м при нагнетательном способе проветривания и 50 м при нагнетательно-всасывающем с применением пылеулавливающих установок. Время проведения участка выработки

рассчитывается как частное от деления длины призабойного участка на скорость проведения выработки,

и коэффициент

определяются соответственно по
формулам (3.53),
(3.27), а

- по
формуле (3.54).
Метановыделение в параллельные тупиковые выработки определяется по формулам:
при одновременном подвигании забоев

; (3.58)
при проведении второй выработки после окончания проведения первой

. (3.59)
Значения

рассчитываются как для одиночных выработок по формулам, приведенным выше.
При расчете метановыделения в наклонные тупиковые выработки по
формулами (3.50),
(3.53),
(3.56) и
(3.57) значение x принимается для восстающих выработок на глубине устья выработки, а для нисходящих - на глубине проектной длины выработки.
При пересечении угольных пластов ожидаемое метановыделение в тупиковые выработки определяется по
формуле (3.49). При этом в
формуле (3.50) коэффициент

определяется для времени

, (3.60)
где

- полная мощность угольного пласта с учетом породных прослоек, м.
Если выработкой пересекаются несколько угольных пластов, то ожидаемое метановыделение в выработку определяется как сумма метановыделений из последнего пересекаемого пласта и обнаженных поверхностей ранее пересеченных пластов. Метановыделение с обнаженной поверхности ранее пересеченного угольного пласта находится по
формуле (3.50), при этом значение

определяется по формуле

, (3.61)
где

- расстояние от места полного обнажения ранее пересеченного пласта до забоя, м.
Если до начала проведения тупиковой выработки пласт, по которому она проводится, был подработан, надработан или заблаговременно дегазирован, то при расчете ожидаемого метановыделения в расчетные формулы вместо x подставляется

. Значение

определяется по
формулам (3.41),
(3.42). Коэффициент дегазации пласта принимается в соответствии с рекомендациями Руководства по дегазации угольных шахт.
При проведении выработок по породам и вприсечку к выработанному пространству ожидаемое метановыделение определяется по рекомендациям МакНИИ или ВостНИИ.
Метановыделение при бурении скважин (

, м3/мин) определяется по формуле (3.62), а при расширении скважин (

, м3/мин) - по формуле (3.63)

; (3.62)

, (3.63)
где

- соответственно диаметры скважин при их бурении и расширении, м;

- длина скважины, м;

- средняя скорость проведения скважин, м/сут;

- скорость подачи бурового инструмента, м/мин;

- планируемое максимальное подвигание скважины за смену, м.
3.1.5. Метановыделение при проведении вертикальных стволов
При проведении вертикальных выработок (стволов, шурфов и др.) и пересечении ими угольных пластов ожидаемое метановыделение в призабойное пространство определяется по формуле

, (3.64)
где

- метановыделение в призабойное пространство ствола, м3/мин;

- метановыделение из неподвижных обнаженных поверхностей пересекаемого пласта, м3/мин;

- метановыделение из отбитого угля, м3/мин.
При пересечении стволом нескольких угольных пластов расчет ожидаемого метановыделения производится по каждому из них. К дальнейшим расчетам принимается наибольшее из полученных значений

.
Метановыделение

и

определяется по формулам

; (3.65)

, (3.66)
где

- диаметр ствола в проходке, м;

- мощность угольных пачек пласта в заходке, м;

- время, прошедшее с момента взрывания, мин; при расчете максимального метановыделения в заходке принимается равным 1 мин; при

.
При проходке стволов бурением рассчитывается ожидаемое метановыделение в ствол в период его осушения

, (3.67)
где

- диаметр ствола в свету, м;

- полная мощность угольных пачек i-того пласта, пересекаемого стволом, м;

- природная метаноносность пересекаемого стволом i-того пласта, м3/т;

- число пересекаемых пластов.
3.1.6. Определение относительной метанообильности шахты
Ожидаемая относительная метанообильность шахты определяется по формуле

, (3.68)
где

- относительная метанообильность выработок шахтопласта, м3/т;

- среднесуточная добыча с шахтопласта;

- число одновременно отрабатываемых шахтопластов;

- зольность горной массы i-го шахтопласта, %.
3.2. Определение ожидаемой абсолютной газообильности
выработок действующей шахты
3.2.1. Общие положения определения фактической газообильности горных выработок
Значения ожидаемого абсолютного газовыделения, входящего в формулы для расчета расхода воздуха, должны определяться по фактической газообильности выработок данного шахтопласта. В тех случаях, когда сведения о фактической газообильности отсутствуют или не могут быть использованы (при вскрытии новых пластов, при изменении систем разработки), допускается расчет ожидаемого метановыделения по природной метаноносности угольных пластов.
Фактическое газовыделение рассчитывается на основании измерений расхода воздуха и лабораторных анализов проб воздуха; измерений концентрации газов, выполняемых участком ВТБ (вентиляционной службой) при помощи переносных приборов, и телеинформации о концентрации метана, выдаваемой аппаратурой контроля метана (АКМ).
Природная метаноносность пласта принимается по данным геолого-разведочных или научно-исследовательских организаций, а при отсутствии таких данных допускается ее определение по результатам газовых съемок в тупиковых выработках в соответствии с
п. 3.2.2.
В условиях Кузбасса, когда метаноносность определяется по газовым съемкам, в зонах дизъюнктивных нарушений, на расстоянии не более 20 м по нормали от плоскости смещения, должно учитываться возможное увеличение метаноносности пласта. В этих условиях x заменяется на

, где x - метаноносность, определенная по результатам съемки.
Коэффициент

принимается по фактическим данным, если представляется возможным установить его на этой же шахте при встрече с тем же самым нарушением. При отсутствии таких данных:
для висячих крыльев нарушений, не выходящих под наносы (кроме поперечных согласных взбросов),

;
для лежачих крыльев нарушений, не выходящих под наносы (кроме поперечных согласных взбросов),

;
для крыльев нарушений, имеющих выход по наносы и срезанных плоскостью смещения на глубинах 200 - 250 м от поверхности, а также для зон влияния поперечных согласных взбросов

.
Примечание. Телеинформация, выдаваемая аппаратурой АКМ, используется при определении фактической метанообильности выемочных участков, тупиковых выработок, крыла и шахты в целом.
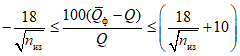
Частота и пункты измерений концентрации газов и расхода воздуха выбираются согласно требованиям ПБ. Фактическое газовыделение определяется в соответствии с Инструкцией по проверке состава рудничного воздуха, определению газообильности и установлению категорий шахт по метану или по изложенной в
п. 3.2.3 методике на основании обработки результатов измерений за период не менее, чем за три месяца, предшествующий расчету, а при наличии телеизмерений расхода воздуха с записью на самопишущем приборе - не менее, чем за месяц.
3.2.2. Определение метанообильности тупиковых выработок
Расчет ожидаемого метановыделения на призабойном участке тупиковой выработки и всей выработки осуществляется согласно
п. 3.1.4, а значение (

), входящее в расчетные формулы, определяется на основании данных о фактическом метановыделении с обнаженных поверхностей пласта в действующей выработке, проводимой по тому же пласту, по формулам:
для шахт Донецкого и Львовско-Волынского угольных бассейнов

; (3.69)
для остальных угольных бассейнов и месторождений

. (3.70)
Для дренажных шахт значение (

) определяется по рекомендациям ВостНИИ.
Коэффициенты

и

принимаются по
табл. 3.5 и
3.7 соответственно. Коэффициенты

следует определять в зависимости от продолжительности проведения участка выработки

, для которого определено

, для шахт Донецкого и Львовско-Волынского угольных бассейнов по
табл. 3.8, а для остальных угольных бассейнов и месторождений - по формуле

.
Фактическое метановыделение с обнаженных поверхностей пласта

определяется по специальной методике. В действующей тупиковой части выработки в 10 - 15 м от ее устья производится измерение расхода воздуха и отбор не менее 5 проб воздуха. Одновременно отбирается не менее 3 проб воздуха перед ВМП, проветривающим данную выработку. Пробы отбираются мокрым способом или же в резиновые камеры и должны характеризовать среднюю по сечению выработки концентрацию метана в пунктах отбора. Отбор проб производится с интервалом времени 5 - 10 мин.
Отбор проб следует начинать после выгрузки угля из выработки, но не ранее, чем через 2 ч после окончания работ по выемке угля и выполнения противовыбросных мероприятий. По данным наблюдений значение

определяется по формуле

, (3.71)
где

- расход воздуха в тупиковой выработке в 10 - 15 м от ее устья, м3/мин;

- средняя концентрация метана в исходящей струе тупиковой выработки в 10 - 15 м от ее устья, %;

- средняя концентрация метана перед ВМП, %.
Наблюдения для определения

должны проводиться при длине тупиковой выработки не менее 75 м. При этом участок выработки, для которого определяется

, должен проводиться без остановок (перерывы в выходные и праздничные дни не следует считать остановками).
При содержании метана в исходящей из выработок струе 0,5% и более вместо отбора проб допускается измерение концентрации интерферометром.
Отбор проб или измерение концентрации метана интерферометром выполняются участком ВТБ или ВГСЧ.
При проведении наклонных выработок по угольным пластам сверху вниз в тех случаях, когда разность высотных отметок устья и забоя выработки превышает

, следует периодически определять значение (

) по фактическому метановыделению с обнаженных поверхностей пласта и производить корректировку расчета расхода воздуха по мере изменения длины выработки.
Для выработок, проводимых на глубине до 300 м ниже верхней границы метановой зоны, принимается

; для выработок, проводимых на большей глубине,

.
Первая корректировка производится при длине выработки

, определяемой по формуле

, (3.72)
где

- разность высотных отметок устья и забоя выработки, м;

- угол наклона выработки, град.
Для этого по описанной выше методике в 60 м от забоя выработки и у ВМП производятся наблюдения для определения (

), а затем по новому значению (

) определяется ожидаемое метановыделение и корректируется расчет расхода воздуха.
Вторая корректировка производится при длине выработки

. (3.73)
Длина выработки, при которой необходимо выполнять третью и последующие корректировки, определяется аналогичным образом

и т.д. (3.74)
Если разность между проектной длиной тупиковой выработки

и длиной, при которой должна производиться корректировка, менее 60 м, то корректировку можно не выполнять.
При расчете ожидаемого метановыделения в проектируемую выработку принимается значение (

), определенное по метановыделению с обнаженных поверхностей пласта согласно описанной выше методике для действующей выработки-аналога, а при отсутствии выработки-аналога - по геологическим данным о природной метаноносности пласта. После проведения выработки на длину 75 м значение (

) необходимо уточнить по фактическому метановыделению с обнаженных поверхностей пласта по приведенной выше методике. Для выработок, длина которых менее 75 м, корректировка (

) не производится.
Примечание. За выработку-аналог принимается выработка, пройденная по тому же пласту в пределах то же панели, блока, при этом разность вертикальных отметок от ее устья до устья проектируемой выработки не должна превышать 20 м на глубинах до 300 м ниже верхней границы метановой зоны; на больших глубинах - не превышать 50 м. В окрестности не должно быть ранее пройденных выработок на расстоянии ближе 20 м по падению и восстанию пласта.
Метанообильность проектируемых выработок, полевых и погашаемых, а также проводимых по завалу и вприсечку, принимается равной фактической метанообильности действующих (или ранее пройденных) выработок, проводимых (погашаемых) в аналогичных условиях. При отсутствии выработки-аналога метанообильность определяется по рекомендациям МакНИИ или ВостНИИ.
Метанообильность остановленных выработок определяется на основании измерений или рассчитывается как метановыделение с обнаженных поверхностей пласта.
3.2.3. Определение газообильности очистных выработок и выемочных участков
Среднее фактическое газовыделение в очистной выработке при обособленном проветривании рассчитывается по формуле

, (3.75)
где

- средний расход газа в вентиляционной выработке на расстоянии 10 - 15 м от очистного забоя, м3/мин;

- средний расход газа в выработке с подсвежающей струей (при схемах проветривания с подсвежением) в 15 - 20 м от очистного забоя, м3/мин;

- средний расход газа, поступающего на выемочный участок, м3/мин.
При последовательном проветривании очистных выработок

рассчитывается по формуле

, (3.76)
где

- средний расход газа, поступающего в данную очистную выработку из других очистных выработок этого же выемочного участка, м3/мин;

- средний расход газа, поступающего на выемочный участок с основной и подсвежающими струями, проходящими через данную очистную выработку, м3/мин.
Средний расход углекислого газа, поступающего на выемочный участок с атмосферным воздухом рассчитывается по формуле

, (3.77)
где

- концентрация углекислого газа в атмосферном воздухе на поверхности шахты, %;

- число измерений расхода воздуха за месяц;

- расход воздуха, поступающего на выемочный участок, при отдельных измерениях, м3/мин.
Среднее газовыделение в выработки выемочного участка рассчитывается по формуле

, (3.78)
где

- средний расход газа в исходящей из выемочного участка вентиляционной струе, м3/мин.
Средняя абсолютная метанообильность выемочного участка с учетом газа, извлекаемого дегазацией из спутников (

, м3/мин), выработанного пространства (

, м3/мин), разрабатываемого пласта (

, м3/мин) и отводимого по трубопроводу, скважине или по дренажной (неподдерживаемой) выработке за пределы участка (

, м3/мин), рассчитывается по формуле

. (3.79)
Значения

определяются в соответствии с методикой, изложенной в Инструкции по проверке состава рудничного воздуха, определению газообильности и установлению категорий шахт по метану, а

- по формуле

, (3.80)
где

- средний расход газа в 15 - 20 м за и перед камерой смешения, м3/мин;

- средний расход газа в скважине, м3/мин.
Средний расход газа в пункте измерения определяется по формуле

, (3.81)
где

- расход газа в i-м пункте при отдельных измерениях, м3/мин;

- число определений за три месяца.
Расход газа <*>, проходящего в пункте при каждом измерении, при использовании данных лабораторных анализов

, (3.82)
где

- расход газа в i-м пункте измерений, м3/мин;

- концентрация газа в воздухе в i-м пункте измерений по лабораторному анализу, %.
--------------------------------
<*> Здесь и далее по тексту под газом подразумевается как метан, так и углекислый газ.
При использовании данных лабораторных анализов и измерений концентрации переносными приборами средний расход газа, проходившего в пункте измерений в течение месяца,

, (3.83)
где

- расход воздуха в пункте измерения, м3/мин;

- концентрация газа по данным лабораторных анализов, %;

- число лабораторных анализов за месяц;

- концентрация газа по измерениям переносными приборами, %;

- число определений концентрации переносными приборами за месяц.
| | ИС МЕГАНОРМ: примечание. Текст дан в соответствии с официальным текстом документа. | |
При использовании данных лабораторных анализов и телеинформации средний расход газа, проходившего в пункте измерений в течение месяца,

, (3.84)
где

- среднесуточная концентрация метана по данным телеинформации, выдаваемой аппаратурой АКМ, %;

- число определений среднесуточной концентрации по данным аппаратуры АКМ за месяц.
Примечание. При телеинформации расхода воздуха с записью на самопишущем приборе фактическое метановыделение определяется по формуле (3.84), в которой

- средний расход воздуха по данным телеизмерений за сутки, м3/мин.
Значения

и

берутся из формы 2 "Вентиляционного журнала"; значение

берется из Книги замеров метана... по одному за сутки, а

и

- из "Журнала оператора АКМ". Значения

отбираются следующим образом: в первые сутки - за первую смену, во вторые сутки - за вторую и т.д.
При отработке тонких и средней мощности крутых пластов щитовыми агрегатами типа АЩ, АНЩ при определении фактической метанообильности полосы

и выемочного участка в
формулы (3.83) и
(3.84) подставляются значения концентрации газа, начиная с положения, когда щитовой забой находится от вентиляционного штрека на расстоянии не менее

при проведении откаточного штрека по пласту и

- по породе, где

- наклонная высота этажа, м.
3.2.4. Определение ожидаемого метановыделения очистной выработки и выемочного участка
Ожидаемое среднее метановыделение в очистной выработке и на участке определяется:
для лав

; (3.85)

; (3.86)
для камерообразных выработок:
при щитовой системе разработки

; (3.87)
при комбинированной системе разработки с гибким перекрытием

, (3.88)
где

- длина очистной выработки, для которой рассчитывается ожидаемое метановыделение, м;

- длина очистной выработки, для которой определено фактическое метановыделение, м;

- планируемая добыча угля, т/сут;
A - средняя добыча угля, при которой определялось фактическое метановыделение, т/сут;

- коэффициент, учитывающий изменение системы разработки; рассчитывается по формулам, приведенным в
табл. 3.9;

- коэффициент, учитывающий изменение метанообильности выработок с глубиной: при ведении работ на глубинах до 300 м ниже верхней границы зоны метановых газов принимается равным 1 при разности глубин до 20 м, а при большей разности глубин определяется по
формуле (3.89); при ведении работ на глубинах более 300 м ниже верхней границы зоны метановых газов принимается равным 1 при разности глубин разработки до 50 м, а при большей определяется по
формуле (3.89);

- соответственно площадь обнажения пласта очистной выработкой и площадь подщитового пространства, для которой рассчитывается ожидаемое метановыделение, м2;

- соответственно площадь обнажения пласта очистной выработкой и площадь подщитового пространства, для которой определено фактическое метановыделение, м2;

- ожидаемое и фактическое метановыделение из пласта, м3/мин;

- расчетные коэффициенты, учитывающие дренирование угольного массива в зависимости от метаноносности (x, м3/т), мощности пласта (

, м) и времени (

, сут), для которых рассчитывается ожидаемое метановыделение; определяется в соответствии с
п. 3.1.1;

- аналогичные коэффициенты, соответствующие значениям

, при которых определено фактическое метановыделение.
При разработке тонких и средней мощности крутых пластов щитовыми агрегатами типа АЩ, АНЩ принимается, что

.
Таблица 3.9
Формулы для расчета

Система разработки | Формулы для расчета коэффициента  |
для которой определено фактическое метановыделение | для которой определяется ожидаемое метановыделение |
Сплошная | Столбовая, парные штреки (обратный ход) | |
То же | Парные штреки (прямой ход) | |
Столбовая, парные штреки (обратный ход) | Сплошная | |
Столбовая, парные штреки (обратный ход) | Парные штреки (прямой ход), сплошная коренная лава | |
Парные штреки (прямой ход), сплошная (коренная лава) | Сплошная | |
Парные штреки (прямой ход), сплошная (коренная лава) | Столбовая, парные штреки (обратный ход) | |
Примечание. В приведенных формулах

- ширина условного пояса дренирования пласта, м; определяется по
табл. 3.4.
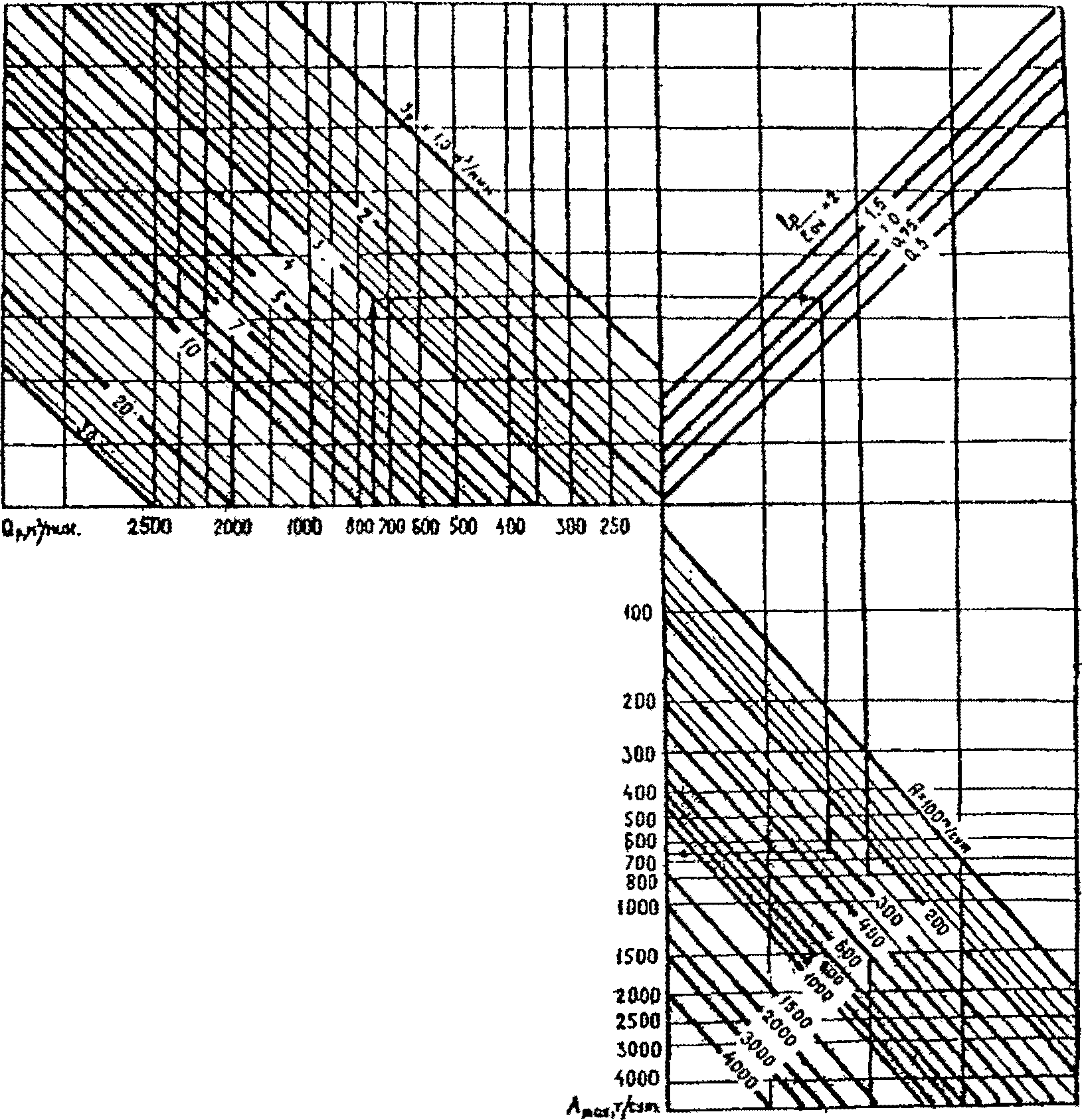
Значение произведения

может быть определено по номограмме
(рис. 3.2). При использовании номограммы предварительно следует вычислить величины

.
Рис. 3.2. Номограмма для определения
величины

Величина коэффициента

рассчитывается по формуле

, (3.89)
где

- природная метаноносность пласта на планируемой глубине разработки, м3/т с.б.м.;

- остаточная метаноносность угля, м3/т с.б.м.;

- природная метаноносность пласта на глубине, для которой определено фактическое метановыделение, м3/т с.б.м.
При определении ожидаемой метанообильности по природной метаноносности угольных пластов среднее абсолютное метановыделение из очистной выработки

, выемочного участка

рассчитывается по формуле

, (3.90)
где

- ожидаемая относительная метанообильность очистной выработки (

), выемочного участка (

), м3/т; значения

и

определяются по
формулам (6.3) -
(6.10) раздела 6. При щитовой и комбинированной системах разработки с гибким перекрытием - по формулам
раздела 3.
3.2.5. Определение метанообильности шахты
Средний расход газа в исходящих из шахты вентиляционных струях определяется по формуле

, (3.91)
где

- расход воздуха в исходящей из шахты вентиляционной струе в пункте измерения, м3/мин;

- средняя концентрация газа в исходящей из шахты вентиляционной струе за три месяца, %;

, (3.92)

- концентрация газа в исходящей струе по данным лабораторного анализа проб воздуха, %;

- число лабораторных определений концентрации газа за три месяца;

- число измерений расхода воздуха за три месяца.
4. ПРОГНОЗ УГЛЕКИСЛОТООБИЛЬНОСТИ ГОРНЫХ ВЫРАБОТОК
4.1. Прогноз углекислотообильности горных выработок
по степени метаморфизма углей
4.1.1. Углекислотообильность выемочного участка
Средняя углекислотообильность выемочного участка

(м3/мин) определяется как сумма газовыделений из разрабатываемого пласта

(м3/мин) и выработанного пространства

(м3/мин) с учетом газовыделения из подземных вод

, (4.1)
где

- коэффициент, учитывающий выделение углекислого газа из подземных вод; принимается равным 1,22 для шахт восточной части Донбасса, разрабатывающих высокометаморфизованные антрациты, и 1,0 - для шахт остальных районов Донбасса, других бассейнов и месторождений страны.
Для шахт, разрабатывающих каменные и бурые угли, среднее выделение углекислого газа из разрабатываемого пласта и из выработанного пространства в пределах выемочного участка при столбовой, сплошной и щитовой системах разработки определяется по формулам:

; (4.2)

, (4.3)
где

- константа, характеризующая химическую активность угля на данном горизонте по отношению к кислороду воздуха, см3/(г.ч.);

,

,

- коэффициенты, учитывающие влияние на выделение углекислого газа соответственно температуры массива угля на данной глубине, петрографического состава угля и интенсивности проветривания выработанного пространства;

- эксплуатационные потери угля в пределах выемочного участка, доли единицы; определяются в соответствии с
п. 3.1.1;

- ширина зоны в прилегающем к забою выработанном пространстве, из которой углекислый газ выносится в действующие выработки, м.
При выемке пласта на полную мощность в
формуле (4.2) значение

заменяется периметром призабойного пространства по углю.
Константа

принимается по каталогам пластов, склонных к самовозгоранию.
При стадиях метаморфизма углей от

до

при степени окисленности меньше 9% значение константы может быть определено по данным петрографического анализа угля

, (4.4)
а при большей степени окисленности

, (4.5)
где

- содержание в угле компонентов группы фюзинита, %.
Типичные значения константы

для некоторых месторождений:
Кузбасс

, см3/(г.ч.)
Прокопьевско-Киселевский район:
верхние горизонты .......................................... 0,040 - 0,050
нижние горизонты ........................................... 0,025
Кемеровский район (пласт Волковский) ....................... 0,070
Челябинский бассейн
Еманжелинский район ........................................ 0,110 - 0,090
Район Коркинского разреза .................................. 0,110 - 0,080
Копейский район ............................................ 0,140 - 0,100
Подмосковный бассейн
Люменцевское месторождение ................................. 0,180
Зубовское месторождение .................................... 0,155
Гранковское месторождение .................................. 0,085
Глубоковское месторождение ................................. 0,105
Средняя Азия
Таш-Кумырское и Кок-Янгакское месторождения ................ 0,060 - 0,110
Кзыл-Кийское, Сулюктинское и Ангренское месторождения ...... 0,100 - 0,150
Башкирия
Кумер-Тауское месторождение ................................ 0,024
Константа

может быть также определена из приведенной ниже
формулы (4.18) по значению

, полученному из результатов газовых съемок или плановых замеров в тупиковой выработке, проведенной по данному пласту в аналогичных условиях.
Коэффициенты

,

,

определяются по следующим формулам:

; (4.6)

; (4.7)

, (4.8)
где

- скорость воздуха в выработанном пространстве, м/мин.
Средняя скорость воздуха в пределах проветриваемой зоны для расчета коэффициента

при сплошной и столбовой системах разработки определяется по формуле

, (4.9)
где

- максимально допустимая ПБ скорость воздуха в очистной выработке, м/с;

- площадь поперечного сечения призабойного пространства очистной выработки в свету, м2;

- коэффициент, учитывающий утечки воздуха через выработанное пространство в пределах выемочного участка; принимается в соответствии с рекомендациями, приведенными в
п. 7.4.1.
При щитовой системе разработки средняя скорость воздуха через выработанное пространство разрабатываемого столба

, (4.10)
где

- депрессия выемочного участка, даПа; величина

принимается по ее пожаробезопасному пределу.
Ширина зоны

при сплошной системе разработки с обрушением кровли на любой стадии отработки выемочного поля практически равна размеру выработанного пространства по простиранию, но не более 500 - 700 м.
Для расчета газовыделения из отрабатываемого столба при щитовой системе разработки проветриваемая зона принимается равной расстоянию от вентиляционного штрека до щитового перекрытия.
При столбовой системе разработки с прямоточной схемой проветривания ширина

принимается равной половине размера выработанного пространства, а при возвратноточной схеме рассчитывается по формуле

, (4.11)
где

- аэродинамическое сопротивление призабойного пространства лавы,

; принимается в соответствии с
разделом 7.
При управлении кровлей полным обрушением, устойчивых вмещающих породах и при скорости подвигания очистного забоя до 4 м/сут ширина зоны равна

. (4.12)
Для шахт, разрабатывающих высокометаморфизованные антрацитовые пласты с показателем степени метаморфизма

, среднее выделение углекислого газа из разрабатываемого пласта

и выработанного пространства

определяется по формулам:

; (4.13)

, (4.14)
где

- удельное выделение углекислого газа с обнаженной поверхности в очистном забое, м3/(мин x м2);

; (4.15)

- коэффициент, учитывающий производительность забоя;

; (4.16)

- среднесуточная добыча из очистной выработки, т;

- коэффициент, учитывающий способ выемки угля; принимается при машинной выемке равным 1,0, при выемке с применением ВВ - 1,8;

- размер выработанного пространства, прилегающего к забою по простиранию (падению) пласта, м; принимается равным длине выемочного поля (участка);

- логарифм удельного электрического сопротивления угля; принимается по данным геолого-разведочных организаций, при их отсутствии ориентировочно может быть определен по формуле

, (4.17)
где

- объемный выход летучих, мл/г с.б.м.
4.1.2. Углекислотообильность тупиковых выработок
Абсолютная углекислотообильность тупиковых выработок определяется интенсивностью выделения углекислого газа с обнаженной поверхности пласта.
Для шахт, разрабатывающих каменные и бурые угли при выемке пласта на полную мощность, ожидаемое выделение углекислого газа в равномерно подвигающиеся и остановленные тупиковые выработки рассчитывается по формуле

, (4.18)

- время существования выработки, сут;

- время, прошедшее с момента остановки выработки (для проводимых выработок

), сут.
При обнажении пласта выработкой на неполную мощность в формулу (4.18) вместо

подставляется значение полупериметра выработки по углю.
Для шахт, разрабатывающих высокометаморфизованные антрацитовые пласты, ожидаемое выделение углекислого газа в тупиковые выработки определяется по формуле

, (4.19)
где

- длина тупиковой выработки, м;

- удельное выделение углекислого газа с обнаженной поверхности пласта в тупиковой выработке, м3/(мин x м2);

. (4.20)
Значение

принимается для выработок на откаточных горизонтах равным 1,45, а на вентиляционных горизонтах - 1,17.
4.1.3. Углекислотообильность шахтопласта и шахты
Средняя ожидаемая углекислотообильность выработок шахтопласта определяется по формуле

, (4.21)
где

- суммарное среднее выделение углекислого газа на выемочных участках шахтопласта, м3/мин;

- суммарное среднее выделение углекислого газа из тупиковых выработок, проветриваемых обособленно, м3/мин;

- среднее выделение углекислого газа за пределами выемочных участков, м3/мин;

; (4.22)

- коэффициент увеличения газовыделения за пределами выемочных участков, принимается по табл. 4.1.
Таблица 4.1
Значения коэффициента

для различных условий разработки
Месторождения по районам | |
Восточные районы страны | 0,6 |
Антрацитовые шахты Донбасса | 1,8 |
Подмосковный бассейн | 2,0 |
Ожидаемое выделение углекислого газа по шахте в целом определяется как сумма газовыделений в выработки шахтопластов.
Для предварительной оценки выделение углекислого газа по шахте в целом в условиях шахт восточной части Донбасса определяется по формуле

, (4.23)
где

- проектная производственная мощность шахты, т/сут;

- средняя потенциальная газоносность отрабатываемой свиты пластов, м3/т.
Потенциальная газоносность пластов определяется лабораторными исследованиями на газовых смесях или рассчитывается по формуле

, (4.24)
где

- парциальное давление углекислого газа на данной глубине, даПа.
Парциальное давление углекислого газа в угольном пласте замеряется при ведении геолого-разведочных работ или определяется по формулам:
для Гуково-Зверевского и Шахтинско-Несветаевского антрацитовых районов Донбасса:

; (4.25)
для остальных районов восточной части Донбасса:

, (4.26)
где

- среднее барометрическое давление для районов, даПа.
Нагрузка на выемочный участок (очистной забой) в условиях углекислотообильных шахт газовым фактором не ограничивается.
4.2. Определение ожидаемой углекислотообильности
выработок действующей шахты
Значения ожидаемой углекислотообильности, входящей в формулы для расчета расхода воздуха, должны определяться по фактической углекислотообильности выработок данного шахтопласта. В тех случаях, когда данные о фактической углекислотообильности отсутствуют или не могут быть использованы (при вскрытии новых пластов, при изменении системы разработки), допускается расчет ожидаемой углекислотообильности по степени метаморфизма углей. Расчеты выполняются по формулам, приведенным в
подразделе 4.1.
Фактическая углекислотообильность горных выработок определяется по методике, приведенной в
п. 3.2.3.
Для шахт Подмосковного и Приднепровского буроугольного бассейнов фактическая углекислотообильность определяется по данным наблюдений, выполненных при стабильном атмосферном давлении.
4.2.1. Определение углекислотообильности очистных выработок и выемочных участков
Ожидаемая углекислотообильность очистных выработок и выемочных участков для шахт Подмосковного и Приднепровского буроугольных бассейнов принимается равной фактической. Для шахт, разрабатывающих высокометаморфизованные антрациты, она определяется по формулам (4.27) и (4.28), а для прочих условий - по формулам (4.29) и
(4.30)

; (4.27)

; (4.28)

; (4.29)

. (4.30)
Для упрощения расчетов по формулам (4.29) и (4.30) значения

приведены в табл. 4.2.
Таблица 4.2
Значения отношения

| |
0,4 | 0,80 |
0,5 | 0,84 |
0,6 | 0,88 |
0,7 | 0,92 |
0,8 | 0,95 |
0,9 | 0,98 |
1,0 | 1,00 |
1,2 | 1,05 |
1,4 | 1,09 |
1,6 | 1,12 |
1,8 | 1,16 |
2,0 | 1,19 |
2,2 | 1,22 |
2,4 | 1,25 |
2,6 | 1,27 |
2,8 | 1,30 |
3,0 | 1,32 |
3,25 | 1,34 |
3,50 | 1,37 |
3,75 | 1,39 |
4,00 | 1,41 |
4,25 | 1,43 |
4,50 | 1,46 |
4,75 | 1,48 |
5,00 | 1,50 |
4.2.2. Определение углекислотообильности тупиковых выработок
Ожидаемое выделение углекислого газа в тупиковой выработке для шахт Подмосковного и Приднепровского буроугольных бассейнов определяется по формуле

, (4.31)
где

- среднее фактическое выделение углекислого газа в действующую тупиковую выработку, м3/мин;

; (4.32)

- проектная длина тупиковой выработки, для которой ведется расчет ожидаемого газовыделения, м;

- средняя длина действующей выработки за период, в течение которого измерялось газовыделение, м;

; (4.33)

- длина действующей выработки при отдельных замерах газовыделения, м.
Значение

определяется по формуле

, (4.34)
где

- расход воздуха в тупиковой части выработки в 10 - 15 м от ее устья, м3/мин;
С,

- концентрация газа соответственно в исходящей из выработки вентиляционной струе и в поступающей струе по данным лабораторных анализов, %; значение

принимается равным концентрации углекислого газа в атмосферном воздухе на поверхности шахты.
Для других бассейнов и месторождений ожидаемое выделение углекислого газа определяется по формуле

. (4.35)
4.2.3. Определение углекислотообильности шахты
Средний расход газа в исходящих из шахты вентиляционных струях определяется по формуле

, (4.36)
где

- расход воздуха в исходящей из шахты вентиляционной струе в пункте измерений, м3/мин;

- средняя концентрация углекислого газа в исходящей из шахты вентиляционной струе за три месяца, %;

; (4.37)
| | ИС МЕГАНОРМ: примечание. Обозначение дано в соответствии с официальным текстом документа. | |

- концентрация углекислого газа в исходящей струе по данным лабораторного анализа проб воздуха, %;

- число лабораторных определений концентрации за три месяца;

- содержание углекислого газа в атмосферном воздухе на поверхности шахты, %;

- число измерений расхода воздуха за три месяца.
5. СПОСОБЫ И СХЕМЫ ПРОВЕТРИВАНИЯ ШАХТ
5.1. Выбор схемы и способа проветривания шахты
Выбор способа проветривания шахты должен производиться на основе технико-экономического сравнения.
В качестве основного способа проветривания при проектировании вентиляции газовых шахт рекомендуется всасывающий.
Нагнетательный способ проветривания можно применять на негазовых шахтах и на газовых - при метанообильности шахты не более 10 м3/т, при отработке первого горизонта и на шахтах, имеющих аэродинамическую связь горных выработок и выработанных пространств с поверхностью при фланговых схемах проветривания.
Нагнетательно-всасывающий способ проветривания может предусматриваться при реконструкции угольных шахт с фланговыми схемами проветривания, разрабатывающих мощные крутые пласты угля, склонные к самовозгоранию.
При проектировании новых шахт следует, как правило, отказываться от установки вентиляторов главного проветривания у скиповых стволов.
В случае установки вентиляторов на скиповых стволах должны быть разработаны специальные мероприятия по герметизации надшахтных зданий, улавливанию пыли в них, механизации очистки каналов от пыли, автоматизации контроля заполнения бункеров углем.
При проектировании схемы проветривания шахты необходимо обеспечить:
устойчивый режим проветривания на весь период эксплуатации шахты;
минимальное число вентиляционных сооружений в целях снижения утечек воздуха и повышения надежности вентиляции;
обособленное проветривание главных наклонных транспортных выработок, оборудованных ленточными конвейерами, или использование их для отвода исходящих вентиляционных струй.
Примечание. К главным наклонным транспортным выработкам относятся выработки, предназначенные для транспортирования всех видов грузов между выемочными участками и околоствольным двором или поверхностью при наклонных стволах.
Направление движения воздуха в главных наклонных транспортных выработках, оборудованных ленточными конвейерами, при разности высотных отметок более 10 м должно быть восходящим.
Схема проветривания шахты может быть единой или секционной. При секционной схеме проветривания все шахтное поле разделяется на отдельные обособленно проветриваемые части-секции (блоки). Эта схема рекомендуется для глубоких газообильных шахт с большой производственной мощностью и значительными размерами шахтного поля. Экономическая целесообразность ее применения в каждом конкретном случае определяется технико-экономическим анализом.
В зависимости от направления движения воздуха схема проветривания может быть центральной, фланговой и комбинированной.
Наиболее рациональна фланговая схема проветривания. Ее применение позволяет уменьшить депрессию шахты, внешние и внутренние утечки воздуха. Она должна быть основной для абсолютного большинства угольных шахт, особенно при больших размерах шахтных полей по простиранию и при разработке газоносных, склонных к самовозгоранию угольных пластов.
Центральная схема проветривания может применяться лишь при небольшой длине шахтного поля (как правило, до 2 км), метанообильности до 15 м3/т и производственной мощности не более 2000 т/сутки.
Комбинированная схема рекомендуется при проектировании вентиляции реконструируемых шахт.
В каждом конкретном случае выбор способа и схемы проветривания шахты следует производить на основе технико-экономических расчетов одновременно с выбором схемы вскрытия, способа подготовки, системы разработки и порядка отработки пластов в свите.
5.2. Схемы проветривания выемочных участков
5.2.1. Требования к схемам проветривания выемочных участков
При выборе схем проветривания выемочных участков первостепенное значение имеют условия безопасности, а также обеспечение нормальных санитарно-гигиенических условий труда.
Схема проветривания выемочного участка должна обеспечивать:
устойчивое проветривание как при нормальных, так и аварийных режимах, благоприятные условия для спасения людей и ликвидации аварии;
возможность ведения работ по эффективной дегазации на выемочных участках;
на газообильных и глубоких шахтах, на которых естественная температура пород достигает 30 °C и выше, полное обособленное разбавление вредностей (газа, пыли, тепла), выделяющихся из всех источников;
максимальную нагрузку на очистной забой по газовому фактору;
сокращение объема проведения тупиковых выработок за счет повторного использования откаточных выработок в качестве вентиляционных;
подачу к очистному забою свежего воздуха по двум выработкам при разработке выбросоопасных пластов.
При отработке пластов угля, склонных к самовозгоранию, выбранная схема проветривания, кроме того, должна обеспечивать:
минимальную ширину проветриваемой призабойной зоны выработанного пространства с тем, чтобы время ее проветривания было меньше продолжительности инкубационного периода самовозгорания угля;
надежную изоляцию выработанных пространств по мере подвигания очистного забоя;
возможность исключения в случае возникновения пожара выемочного участка (поля) из общей сети горных выработок.
5.2.2. Классификация схем и область их применения
Классификация схем проветривания выемочных участков в зависимости от степени обособленности разбавления вредностей по источникам поступления в рудничную атмосферу, направления выдачи исходящей из лавы струи воздуха, взаимного влияния очистных выработок на их проветривание, направления движения воздуха по очистной выработке и взаимного направления свежей и исходящей струй приведена в табл. 5.1.
Таблица 5.1
Классификация схем проветривания выемочных участков
Основное классификационное деление | Классификационный признак | Варианты признака | Условные обозначения |
1 | 2 | 3 | 4 |
Тип | Степень обособленности разбавления вредностей по источникам поступления | Последовательное | 1 |
Частичное | 2 |
Полное | 3 |
Подтип | Направление выдачи исходящей из лавы струи воздуха | На выработанное пространство | В |
На массив угля | М |
Комбинированное | К |
Класс | Зависимое или независимое проветривание очистных выработок | Независимое | Н |
Зависимое | З |
Подкласс | Направление движения воздуха по очистному забою | Восходящее | в |
Нисходящее | н |
Горизонтальное | г |
Вид | Взаимное направление свежей и исходящей струй | Возвратноточное | вт |
Прямоточное | пт |
Для удобства пользования каждая схема обозначается сокращенно. Например, 3-В-Н-н-пт, где 3 - тип, полное обособленное разбавление вредностей по источникам выделения; В - подтип, направление выдачи исходящей струи из лавы на выработанное пространство; Н - класс, независимое проветривание (одиночная лава); З - зависимое проветривание (спаренные лавы); н - подкласс, нисходящее движение воздуха по лаве; пт - вид, прямоточное направление свежей и исходящей струй воздуха. На
рис. 5.1 и
П.1.3 Приложения 1 приведены схемы проветривания выемочных участков. При подготовке выемочных участков увязка схем проветривания их со схемами проветривания крыла, панели (вентиляционного участка) должна соответствовать схемам, приведенным на
рис. П.1.4 -
П.1.16 или в Технологических схемах разработки пластов на угольных шахтах на период 1990 - 1995 гг.
Рис. 5.1. Основные варианты схем проветривания
выемочных участков
Схемы проветривания выемочного участка 1-го типа в основном могут применяться при условии, когда нагрузка на лаву не ограничивается газовым фактором.
При разработке газоносных пластов, когда нагрузка на очистной забой при схемах 1-го типа ограничивается газовым фактором, а также негазоносных пластов на глубине, где естественная температура пород превышает 30 °C, следует применять схемы 3-го типа с полным обособленным разбавлением вредностей (СПОРВ) по источникам выделения. В качестве типовых, пригодных для большинства шахтопластов, вынимаемых на полную мощность, включая пласты со сложными горно-геологическими условиями (газоносные, опасные по взрывам угольной пыли, выбросоопасные), следует принимать варианты СПОРВ 3-В-Н-н-пт (
рис. 5.1 г, д, е).
На
рис. 5.1 представлены в основном варианты схем проветривания с нисходящим движением воздуха в очистных выработках, которые обеспечивают благоприятные санитарно-гигиенические условия. Однако это не исключает восходящего (подкласс в) и горизонтального (подкласс г) движения воздуха в очистных выработках.
Чтобы исключить поступление метана из выработанного пространства в призабойное при управлении кровлей полным обрушением и обеспечить рассредоточенный вынос его в вентиляционную выработку, последняя поддерживается кострами, бутокострами, бутовыми полосами шириной до 5 м. В схеме 3-В-Н-н-пт (
рис. 5.1 д) для выполнения данного требования необходимо поддерживать вентиляционную выработку на расстоянии не менее 20 - 40 м в зависимости от величины метановыделения из выработанного пространства. При этих условиях обеспечивается также высокая эффективность дегазации сближенных пластов скважинами, пробуренными из вентиляционного штрека.
В сложных горно-геологических условиях на пластах с весьма неустойчивыми боковыми породами, когда требуется полевая подготовка или возможна отработка только сплошной системой, рекомендуются варианты СПОРВ 3-В-Н-н-пт и 3-В-Н-н-вт (
рис. 5.1 ж, и). Для получения максимальной нагрузки в последней схеме выработку для выдачи исходящей струи при

следует располагать в нижней части лавы на расстоянии не более 20 - 30 м от выработки с подсвежающей струей, при

- посредине, а в остальных случаях - между этими положениями.
На газовых шахтах при отработке пластов спаренными лавами схема 3-В-З-г-пт (
рис. 5.1 з) с выдачей исходящей струи по средней выработке, поддерживаемой в выработанном пространстве, является лучшей по сравнению со схемой, в которой исходящая струя выдается по двум выработкам. Ее можно использовать на пластах, не склонных к самовозгоранию, не опасных по внезапным выбросам угля и газа, когда обеспечивается сохранность вентиляционной выработки в выработанном пространстве, и если в данных условиях она обеспечивает более высокие технико-экономические показатели, чем другие схемы с одиночными лавами. СПОРВ с выдачей исходящей струи по бортовым ходкам (вместо средней выработки) из-за трудности управления метановыделением и снижения безопасности работ допускается применять в аналогичных условиях только в исключительных случаях при метановыделении из выработанного пространства обеих лав до 4 м3/мин, а также при отработке первых лав в пределах крыла.
Схемы с частично обособленным разбавлением вредностей (тип 2,
Приложение 1) следует применять в тех случаях, когда по каким-либо причинам невозможно или затруднительно использовать схемы с полным обособленным разбавлением вредностей.
Схемы с частично обособленным разбавлением вредностей (тип 2-М,
Приложение 1) допускается применять только в негазовых шахтах <*>.
--------------------------------
<*> На действующих шахтах третьей категории по газу и выше схемы типа 2-М могут применяться при доработке выемочных участков.
При отработке незащищенных выбросоопасных пластов должны применяться схемы проветривания, обеспечивающие подачу воздуха к лаве по двум выработкам. В этих условиях наиболее эффективной является схема 3-В-Н-н-пт (
рис. 5.1 г).
При отработке пластов, склонных к самовозгоранию, необходимо применять схемы типа 1-М-Н-в-вт, 3-В-Н-н-пт (
рис. 5.1 а, д, ж), причем схема 1-М-Н-в-вт (
рис. 5.1 а) может применяться при газообильности выемочного участка до 3 м3/мин, а схемы 3-В-Н-н-пт (
рис. 5.1 д, ж) - при газообильности выше 3 м3/мин. Расстояние от сбойки до окна лавы в последних двух схемах принимается равным 20 - 40 м, исключив образование повышенных концентраций метана на сопряжении лавы с вентиляционной выработкой.
Прямоточные схемы проветривания типа 3-В-Н-н-пт (
рис. 5.1 г, е) могут применяться при отработке пластов, склонных к самовозгоранию, только при условии надежной изоляции выработанных пространств по рекомендациям научно-исследовательских институтов.
Схемы 3-В-Н-н-пт (
рис. 5.1 г, е) в условиях Донецкого бассейна могут применяться при отработке пологих и наклонных пластов при герметизации выработанного пространства со стороны выработки с исходящей струей на всем ее протяжении за исключением примыкающего к лаве участка длиной не более 40 м. При метановыделении из выработанного пространства в газовом балансе выемочного участка менее 40% длина участка не должна превышать 20 м. На участке длиной 20 - 40 м при ширине изолирующей полосы (бутовой полосы) более 4 м должны устраиваться специальные каналы шириной 1,5 - 2,0 м с интервалом 10 м. Одновременно в работе должно быть не менее двух каналов. При метановыделении из выработанного пространства более 4 м3/мин и сыпучих, легко обрушаемых породах кровли расстояние между окнами для конкретных горно-геологических условий могут уточняться в процессе эксплуатации.
Герметизация выработанного пространства осуществляется путем торкретирования и тампонирования бутовой полосы и должна быть выполнена до последнего незакрытого окна в бутовой полосе. Толщина слоя должна быть не менее 5 - 7 см.
Проведение горных выработок вприсечку к выработанному пространству или вкрест простирания следует осуществлять после полного слеживания пород в последнем. При этом у выработанного пространства должна создаваться изоляционная полоса.
В условиях восточных бассейнов страны выбор схем проветривания выемочных участков при отработке пластов угля, склонных к самовозгоранию, производится с учетом способности пород к обрушению и их слеживаемости. При метанообильности выемочного участка менее 3 м3/мин независимо от способности пород кровли к обрушению рекомендуется применять схему типа 1-М-Н-в-вт (
рис. 5.1 а).
При метанообильности выемочного участка более 3 м3/мин могут применяться следующие схемы проветривания:
при выемке угля на полную мощность и наличии легкообрушаемой непосредственной кровли, представленной слеживающимися породами мощностью в 2 - 3 раза больше вынимаемой мощности пласта, схемы типа 2-В-Н-в,н,г-пт, 3-В-Н-в,н,г-пт
(рис. П.1.3), 3-В-Н-г-пт (
рис. 5.1 к);
на пластах со среднеустойчивой кровлей с коэффициентом крепости 4 - 6 по шкале проф. Протодьяконова при возведении искусственных ограждающих полос вдоль воздухоподающих выработок (штреков, бремсбергов, уклонов) - 2-В-Н-в,н,г-пт
(рис. П.1.3), 3-В-Н-н-пт, 3-В-Н-г-пт (
рис. 5.1 г, к);
на пластах со среднеустойчивой и труднообрушаемой кровлями при подготовке выемочных участков (столбов) спаренными выработками для отвода исходящей струи на сбойку, отстающую от очистного забоя на расстояние 50 - 60 м - 3-В-Н-н-пт (
рис. 5.1 л).
При отработке мощных пластов с легкообрушаемой кровлей при коэффициенте крепости 2 - 3 по шкале проф. Протодьяконова и метанообильности менее 3 м3/мин проветривание выемочных столбов в слоях должно осуществляться по схеме 1-М-Н-в-вт (
рис. 5.1 а) с отставанием нижнего слоя относительно верхнего на 2 - 3 яруса. При метанообильности более 3 м3/мин проветривание выемочных участков должно осуществляться по схемам 2-В-Н-в,н,г-пт
(рис. П.1.3), 3-В-Н-н-пт, 3-В-Н-г-пт (
рис. 5.1 г, к).
При отработке мощных пластов со среднеустойчивой и труднообрушаемой кровлями по схеме "слой-пласт" проветривание верхнего слоя можно осуществлять по схемам 3-В-Н-н-пт (
рис. 5.1 е, л), а нижний "слой-пласт" - проветривать по схеме типа 1-М-Н-в-вт (
рис. 5.1 а).
При одновременной отработке слоев в столбе с отставанием нижнего слоя относительно верхнего не более 30 - 40 м (половина первичного шага обрушения основной кровли) проветривание столбов следует осуществлять по схеме типа 1-М-Н-в-вт (
рис. 5.1 а).
5.2.3. Проверка схем проветривания выемочных участков по опасности местных скоплений метана
Схемы проветривания выемочных участков должны проверяться по опасности местных скоплений метана на сопряжении лавы с вентиляционной выработкой (схемы 1-М) и в очистной выработке у выработанного пространства под вентиляционным штреком (схемы 1-В, 2-В и 3-В).
При схемах проветривания выемочных участков с выдачей исходящей струи на массив угля и погашении вентиляционных выработок (схемы 1-М) возможность образования местных скоплений метана с концентрацией выше нормы на сопряжении (в тупике погашения) исключается, если

, (5.1)
где

- коэффициент, учитывающий опасность местных скоплений метана на сопряжении лавы с вентиляционной выработкой;

- среднее фактическое (ожидаемое) метановыделение из выработанного пространства, м3/мин; определяется по
формуле (3.90) при расчете ожидаемой метанообильности по природной метаноносности, а для действующих шахт - по результатам газовой съемки, проводимой в соответствии с Руководством по производству депрессионных и газовых съемок в угольных шахтах;
S - проектная площадь поперечного сечения вентиляционной выработки в свету, м2;

- расчетный расход воздуха в очистной выработке, м3/мин;

- коэффициент, учитывающий утечки воздуха через выработанное пространство; определяется согласно указаниям
п. 7.4.1.
При изолированном отводе метана газоотсасывающими установками с эффективностью не менее 70% проверку

по
формуле (5.1) производить не следует.
Для слоевых систем разработки с одновременной отработкой слоев коэффициент

для лав нижнего слоя не определяется.
При схемах проветривания выемочных участков с выдачей исходящей струи на выработанное пространство (схемы типа 1-В, 1-К, 2-В, 3-В) возможность образования опасных скоплений метана в очистной выработке у выработанного пространства под вентиляционным штреком (при наличии здесь бутовой полосы, плит БЖБТ, чураковой стенки, бутокостров, костров - у нижней их кромки) исключается, если

. (5.2)
Коэффициенты

и

, входящие в (5.2), определяются согласно указаниям
п. 6.1.1.
Если проверка покажет, что у сопряжения лавы с вентиляционной выработкой возможно образование опасных скоплений метана, следует пересмотреть схему дегазации сближенных пластов и вмещающих пород скважинами с целью обеспечения более высокой эффективности дегазации, после чего вновь произвести проверку схемы по опасности скоплений метана. Если при этом не устраняется опасность, то нужно изменить, если это возможно, схему проветривания участка (например, схему с выдачей исходящей струи на массив угля заменить на схему типа 1-В или 3-В). Если же за счет изменения схемы проветривания нельзя устранить опасные скопления метана, то рекомендуется использовать следующие способы управления метановыделением средствами вентиляции:
изолированный отвод метана из выработанных пространств за пределы выемочных участков по трубопроводам или неподдерживаемым и дренажным выработкам с помощью газоотсасывающих установок или общешахтной депрессии;
отвод метана из выработанного пространства в вентиляционную выработку с помощью каналов, оставляемых в бутовой полосе;
отвод метана из выработанного пространства в исходящую струю выемочного участка с помощью установок УСМ.
5.2.4. Способы предупреждения образования местных скоплений метана
5.2.4.1. Изолированный отвод метана из выработанных пространств применяется, как правило, когда вентиляция и дегазация не могут обеспечить норму содержания метана.
Отвод метана осуществляется по неподдерживаемым выработкам и по трубопроводам за пределы выемочных участков. Метан, отводимый за пределы выемочных участков, выпускается в выработку с исходящей вентиляционной струей после предварительного разбавления его воздухом в смесительной камере до норм ПБ, а при отводе на поверхность - в атмосферу.
Изолированный отвод метана осуществляется по проекту, утвержденному техническим директором производственного объединения, согласованному с МакНИИ или ВостНИИ и управлением округа госгортехнадзора, а при отводе по неподдерживаемым выработкам на пластах, склонных к самовозгоранию, - дополнительно согласовывается с ВНИИГД.
В качестве источника тяги могут быть использованы депрессия, создаваемая главным вентилятором, пневматические эжекторы и газоотсасывающие вентиляторы, рабочие колеса и корпуса которых изготовлены из материалов, не опасных в отношении фрикционного искрения. Электрический привод вентилятора должен омываться свежим воздухом.
На
рис. 5.2 показаны схемы проветривания выемочных участков, при которых для изолированного отвода метана из выработанных пространств могут быть использованы неподдерживаемые горные выработки, а на
рис. П.2.1 -
П.2.3 - схемы проветривания выемочных участков при отводе метана по трубопроводам (
рис. П.2.1,
П.2.2) и неподдерживаемой выработке и трубопроводу
(рис. П.2.3) с использованием газоотсасывающих установок.
Рис. 5.2. Схемы проветривания выемочных участков с отводом
метана из выработанных пространств по неподдерживаемым
выработкам: а - с использованием участковой выработки;
б, в - с использованием выработок ранее отработанных лав;
ск - смесительная камера
Изолированный отвод метана по трубопроводам или неподдерживаемым выработкам с использованием газоотсасывающих установок допускается предусматривать в проектах новых и реконструируемых шахт, а также в паспортах подготовки выемочных участков на действующих шахтах. Снижение метанообильности выемочных участков, достигаемое при изолированном отводе метана по трубопроводам с использованием газоотсасывающих установок, следует учитывать при расчете необходимого расхода воздуха и максимально допустимой нагрузки на очистной забой.
Отвод метана из выработанного пространства при столбовой системе разработки
(рис. П.2.1) с помощью газоотсасывающей установки производится по жесткому трубопроводу диаметром 0,5 - 0,9 м. Погашаемый тупик, длина которого не должна превышать 6 м, отделяется от выработки дощатой перемычкой, обитой материалом для вентиляционных труб. Перемычка переносится через каждые 2 - 3 м подвигания очистного забоя. К всасывающему концу жесткого трубопровода подсоединяется гибкая гофрированная труба или гибкая труба, армированная металлическими кольцами, длиной 7 - 10 м и диаметром, равным диаметру жесткого трубопровода. Труба заканчивается патрубком, имеющим приспособление для подвески его в выработке. Выходное отверстие патрубка закрывается металлической решеткой с размером ячеек 20 x 20 мм. Всасывающий патрубок размещается в верхней части погашаемого штрека у стенки, противоположной выходу из лавы. Если крепь сопряжения или крепь выемочного комплекса не позволяет завести в погашаемую часть выработки трубопровод большего диаметра, газосборная часть его может быть выполнена из нескольких гибких труб диаметром 0,2 - 0,3 м с всасывающими патрубками. Общая площадь сечения этих труб должна быть не менее площади поперечного сечения газоотводящего трубопровода. Метан, отсасываемый из выработанного пространства, транспортируется по трубопроводу к смесительной камере, через которую выпускается в общую исходящую струю.
Трубопровод должен быть собран из жестких труб, изготовленных из материалов с поверхностным электрическим сопротивлением не более

. Стыки должны быть тщательно уплотнены. Повороты трубопровода выполняются плавно, радиусом не менее

.
На жесткой части трубопровода против окна лавы должно быть устроено окно площадью 0,2 x 0,15 м2, закрываемое задвижкой. Окно с задвижкой служит для регулирования концентрации метана в трубопроводе путем подачи в него дополнительного воздуха из выработки. Концентрация метана в трубопроводе не должна превышать 3,5%.
Перед окном на расстоянии 1,0 - 1,5 м в сторону тупика устанавливается заслонка, предназначенная для перекрытия трубопровода при остановках газоотсасывающего вентилятора. Проветривание трубопровода после его перекрытия обеспечивается за счет общешахтной депрессии.
Для контроля содержания метана в трубопроводе в 3 - 5 м от окна по ходу движения смеси и у вентилятора на нагнетательной части трубопровода устанавливаются штуцера.
Конец трубопровода, через который выпускается метановоздушная смесь (МВС), заводится в смесительную камеру и снабжается коленом, обеспечивающим выход метана из трубопровода под углом 45° к направлению основного вентиляционного потока. Смесительная камера представляет собой часть выработки, отшитую сплошной продольной перегородкой из негорючего материала. Длина смесительной камеры 5 - 6 м, ширина - не менее 1,5 м. Вход в камеру и выход из нее ограждается металлическими решетками. Выработка в месте сооружения камеры и на длине 5 м в обе стороны от нее должна быть закреплена негорючей крепью. При отводе метана на поверхность в проекте должны быть предусмотрены меры, обеспечивающие безопасность выпуска его в атмосферу.
Вентилятор газоотсасывающей установки должен размещаться в камере, проветриваемой свежей струей воздуха и удовлетворяющей требованиям ПБ, предъявляемым к электромашинным камерам.
При сплошной системе разработки
(рис. П.2.2) метан с помощью газоотсасывающей установки и отростков труб улавливается в просеке шириной 1,5 м, оставляемом в выработанном пространстве у бутовой полосы. Крепь должна предохранять просек от завала на протяжении 150 м от лавы. Для уменьшения подсосов воздуха в печах выкладываются две чураковые перемычки, пространство между ними заполняется глиной, вдоль бутовой полосы со стороны вентиляционной выработки выкладывается чураковая стенка или производится герметизация синтетическим материалом. Отростки трубопровода, закладываемые через каждые 50 м, включаются в работу на расстоянии 30 - 40 м от лавы и выключаются при отходе ее на 150 м. В работе постоянно находятся два-три отростка.
Отвод метана из выработанного пространства по неподдерживаемым выработкам с помощью газоотсасывающих установок производится по трубопроводу, проложенному через перемычку, изолирующую неподдерживаемую выработку от действующей
(рис. П.2.3). Наибольший эффект достигается, когда неподдерживаемая выработка примыкает к угольному массиву или охраняется целиками, крепь из нее не извлекается, а усиливается стойками или кострами. Если неподдерживаемая выработка охранялась со стороны действующей лавы целиками или бутовой полосой, то в них устраиваются каналы шириной 1,5 - 2,0 м с интервалом 10 м, обеспечивающие свободный выход метана из выработанного пространства в выработку. Со стороны очистного забоя погашаемая выработка ограждается, чтобы в нее не могли войти люди.
Параметры изолированного отвода метана из выработанного пространства с помощью газоотсасывающих установок при выпуске МВС в горные выработки определяются в соответствии с
Приложением 2, при отводе МВС на поверхность - по рекомендациям ВостНИИ или МакНИИ.
5.2.4.2. Изолированный отвод метана по неподдерживаемым выработкам за счет общешахтной депрессии обеспечивает высокий эффект, если неподдерживаемые выработки не погашают, а крепь усиливают, как это указано выше.
Неподдерживаемые выработки должны ограждаться, чтобы в них не могли пройти люди. Выпуск МВС из них в действующие выработки осуществляется через смесительную камеру. Концентрация метана на выходе из смесительной камеры не должна превышать 2,0%.
Депрессия

, обеспечивающая необходимый расход МВС по неподдерживаемым выработкам, определяется по
формуле (П.2.6). Величина

, входящая в эту формулу, должна быть не менее

. При выполнении этого условия эффективность отвода метана будет не менее 50%, что обеспечивает ликвидацию опасных скоплений метана на сопряжении лавы с погашаемой вентиляционной выработкой. Расход отводимой МВС не должен превышать 30% расхода воздуха, поступающего на участок.
Величина депрессии

должна быть меньше фактической

, измеренной в выработках, параллельных газоотводящему пути. Она определяется как сумма депрессий действующих выработок, соединяющих выработанное пространство с местом установки смесителя. Если

, то данный способ без дополнительного источника тяги не может быть применен.
Снижение метанообильности выемочных участков, достигнутое при изолированном отводе метана по неподдерживаемым выработкам за счет общешахтной депрессии, не должно учитываться при расчете максимально допустимой нагрузки, так как эффективность отвода метана изменяется во времени.
5.2.4.3. Изолированный отвод метана из выработанного пространства по дренажным выработкам за пределы выемочного участка может применяться для предотвращения образования опасных скоплений метана на сопряжении лавы с вентиляционной выработкой при отработке пластов средней мощности и мощных, в том числе склонных к самовозгоранию.
На
рис. 5.2 в показан вариант схемы проветривания с дренажной выработкой. Направление движения МВС по дренажной выработке может отличаться от показанного на
рис. 5.2 в, что зависит от расположения выработки с общей исходящей струей, в которую отводится газ.
Дренажная выработка проводится в 5 - 10 м от вентиляционной выработки в период подготовки выемочного поля и через определенные расстояния соединяется с ней сбойками, в которых до начала очистной выемки возводятся изолирующие перемычки. Сечение дренажной выработки в свету должно быть не менее 3,7 м2, а сбоек - не менее 3 м2. Для отвода газа может быть использована также выработка, которая сохраняется после отработки вышележащей лавы.
На наклонных и крутых пластах, когда этаж разделен на три-четыре подэтажа, дренажную выработку следует проводить выше вентиляционного штрека верхней лавы. При неустойчивых вмещающих породах в качестве дренажной выработки может служить штрек, пройденный по соседнему пласту (концентрационный штрек) или полевой штрек, а в качестве рабочих сбоек - промежуточные квершлаги или скважины.
При нисходящем проветривании в качестве дренажной выработки можно использовать вентиляционный штрек нижележащей подготавливаемой по этому же пласту лавы.
Расстояние между соседними сбойками не должно превышать 40 - 50 м, а при проведении дренажной выработки по разрабатываемому наклонному или крутому пласту оно должно быть не более 10 - 12 м.
По мере подвигания лавы та часть вентиляционного штрека, которая переходит в выработанное пространство, усиливается кострами или органной крепью, а в сбойке, расположенной за лавой, разбирается изолирующая перемычка. Она ликвидируется, когда сбойка находится в выработанном пространстве на расстоянии 10 - 15 м от лавы.
При неустойчивых боковых породах, если поддержание вентиляционного штрека в выработанном пространстве на участке 15 м за лавой невозможно, перемычки в сбойках следует разбирать сразу после перехода их в выработанное пространство. В этом случае выемка верхней ниши должна быть механизирована либо производиться с помощью беспламенных средств взрывания или отбойными молотками.
Работы по разборке перемычек и усилению крепления выработок производятся в присутствии ИТР участка ВТБ.
Расход воздуха в дренажных выработках должен определяться из условия обеспечения скорости воздуха не менее 0,5 м/с и концентрации метана не более 1%. Повышение уровня концентрации метана в дренажной выработке до 2% допускается только в том случае, если в очистную выработку подается максимальный расход воздуха по скорости его в призабойном пространстве

, а фактическая эффективность дегазации достигла 50 - 60%. Отработка лавы в этом случае производится по паспорту выемочного участка, утвержденному техническим директором производственного объединения и согласованному с МакНИИ или ВостНИИ и управлением округа госгортехнадзора.
Дренажные выработки должны использоваться только для отвода МВС. Прокладка электрокабелей, эксплуатация электрооборудования и транспортных средств в этих выработках запрещается.
При содержании метана в дренажной выработке более 1% вход в нее с обеих сторон ограждается металлическими решетками, а в месте ее сопряжения с участковыми выработками сооружают смесительную камеру. Порядок контроля за состоянием дренажной выработки и выполнением работ, связанных с ее обслуживанием, устанавливается паспортом.
Для повышения эффективности дренажных выработок (особенно при газообильности участков более 10 - 12 м3/мин) может применяться изолированный отвод МВС из дренажной выработки с помощью центробежного вентилятора через шурф или скважину большого диаметра (500 - 600 мм), пробуренную с поверхности впереди или, как показано на рис. 5.3, позади очистного забоя. Проектирование данного способа отвода газа осуществляется по рекомендациям ВостНИИ или МакНИИ.
Рис. 5.3. Схема изолированного отвода метановоздушной смеси
с дренажной выработки через скважину большого диаметра
на дневную поверхность с помощью центробежного вентилятора
5.2.4.4. Отвод метана из выработанного пространства в исходящую струю выемочных участков по трубопроводам с помощью специальных установок (типа УСМ-02 и УСМ-04) рекомендуется применять для борьбы с местными скоплениями метана на сопряжении очистной выработки с вентиляционной (в тупиках погашения) при газовыделении из выработанного пространства до 1,5 м3/мин.
Схема установки УСМ-02 приведена на рис. 5.4. В установке УСМ-04 вместо центробежного вентилятора используется пневматический эжектор. Характеристики установок УСМ-02 и УСМ-04 приведены в
Приложении 2.
Рис. 5.4. Схема отвода метана из погашаемого тупика
в вентиляционной выработке в исходящую струю выемочного
участка с помощью установки УСМ-02: 1 - центробежный
вентилятор; 2 - газоотсасывающий трубопровод; 3 - гибкая
гофрированная труба; 4 - смесительное устройство;
5 - регулируемое окно; 6 - клапан-заслонка; 7 - перемычка
На рис. 5.5 показана схема отвода метана из тупика погашения в исходящую струю выемочного участка с помощью пневматического эжектора типа ЭДД, который имеет более высокую производительность по сравнению с установкой типа УСМ. При этом опасные местные скопления метана в тупиках погашения ликвидируются, если обеспечивается эффективность отвода газа не ниже 70%.
Рис. 5.5. Схема отвода метана из погашаемого тупика
вентиляционной выработки в исходящую струю выемочного
участка с помощью эжектора: 1 - эжектор; 2 - газоотводящий
трубопровод; 3 - регулирующее окно; 4 - клапан-заслонка;
5 - перемычка; 6 - смесительная камера
Выбор эжектора, диаметра трубопровода, а также мер, обеспечивающих безопасность отвода метана, производится в соответствии с
Приложением 2.
5.2.4.5. Выпуск МВС из выработанного пространства через каналы в бутовой полосе, выкладываемой у вентиляционной выработки, может применяться для устранения скоплений метана у сопряжения лавы с вентиляционной выработкой при поддержании такой выработки в выработанном пространстве
(рис. 5.6). Необходимая ширина канала

определяется в зависимости от величины коэффициента

:
Рис. 5.6. Схема отвода МВС по каналам
в бутовой полосе под вентиляционным штреком
Расстояние между каналами принимается равным 10 м. В действии должны находиться два канала. После устройства нового канала старый закладывается чураковой перемычкой. Действующие каналы во избежание доступа в них людей должны перекрываться металлическими решетками со стороны штрека. Каналы не следует устраивать под устьями дегазационных скважин.
Если концентрация метана в газовоздушной смеси, отводимой через каналы, превышает 2%, то для разбавления метана необходимо применять один из способов, рекомендованных в Инструкции по разгазированию горных выработок, расследованию, учету и предупреждению загазирований к ПБ.
5.2.5. Оценка схем проветривания выемочных участков по фактору эндогенной пожароопасности
По фактору эндогенной пожароопасности должны оцениваться прямоточные схемы проветривания типа 3-В-Н-н-пт, 3-В-Н-г-пт (
рис. 5.1 г, к) только для шахт восточных бассейнов страны.
За критерий эндогенной пожароопасности принимается отношение времени формирования (

, сут) зоны выработанного пространства, прилегающей к призабойному (

, м), в которой происходят основные утечки воздуха, к продолжительности инкубационного периода самовозгорания угля (

, сут). Величина

зависит от степени метаморфизма угля и принимается в соответствии с Инструкцией по предупреждению и тушению подземных эндогенных пожаров к ПБ.
Время перемещения проветриваемой зоны выработанного пространства определяется по формуле

, (5.3)
где

- размер зоны выработанного пространства, через которую происходят основные утечки воздуха, для заданных условий отработки пласта, м; определяется по номограмме
(рис. 5.7) или по формуле

; (5.4)

- максимально возможный размер зоны, м; определяется:
для крепких пород (труднообрушаемой кровли)

; (5.5)
для среднеустойчивых пород

; (5.6)
для слабых пород (легкообрушаемой кровли)

; (5.7)

- скорость подвигания очистного забоя, м/сут;

- суммарная депрессия лавы и участка вентиляционной выработки на длине, где проявляются утечки воздуха через выработанное пространство, даПа;

; (5.8)

- аэродинамическое сопротивление вентиляционной выработки,

;

- расчетный расход воздуха по вентиляционной выработке, равный расходу воздуха, подаваемого в очистной забой и на подсвежение исходящей струи, м3/с.
Рис. 5.7. Номограмма для определения ширины участка
выработанного пространства

от забоя
до изолированной бутовой полосы
Значения

,

,

и

определяются по рекомендациям, изложенным в
разделе 7.
При отношении

рассматриваемая схема пожароопасна, при отношении от 1 до 0,5 - малоопасна и при 0,5 и менее - неопасна.
При отношении

необходимо подготовку столбов производить спаренными выработками с отводом исходящей струи на сбойку, отстающую от очистного забоя (схемы 3-В-Н-н-пт,
рис. 5.1 л, 3-В-Н-н-пт,
рис. П.1.10). Сечение вентиляционной выработки должно быть не менее 11,2 м2.
При отношении

от 1 до 0,5 необходимо увеличить сечение вентиляционной выработки, повысить скорость подвигания очистного забоя или перейти на подготовку спаренными выработками (схемы 3-В-Н-в-пт,
рис. 5.1 г, л, 3-В-Н-н-пт,
рис. П.1.10).
5.3. Схемы проветривания стволов и тупиковых выработок
5.3.1. В период проходки и крепления устья ствола, когда основная проходческая рама еще не уложена и ствол не перекрыт, допускается проветривание за счет диффузии до глубины 10 м. После возведения основной проходческой рамы и устройства нулевой площадки организуется искусственное проветривание ствола по схемам, приведенным на рис. 5.8. В качестве основного способа проветривания рекомендуется нагнетательный по схеме на рис. 5.8 а.
Рис. 5.8. Схемы проветривания вертикальных стволов:
а - при нагнетательном способе; б, в - при комбинированных
способах
Нагнетательно-всасывающий способ проветривания по схеме на рис. 5.8 б может применяться при больших диаметрах стволов (от 6 до 9 м), так как при этом способе необходимо пропускать через подвесной полок два трубопровода. При малых диаметрах стволов это выполнить в большинстве случаев невозможно.
Проветривание одиночных стволов можно осуществлять по схеме, приведенной на рис. 5.8 г. При этом основная часть ствола проветривается с помощью вентилятора, установленного на поверхности у устья скважины, пробуренной параллельно стволу и соединяемой со стволом сбойками, а тупиковая часть - с помощью ВМП, установленного на полке в стволе выше сбойки. При проведении новых сбоек выше них сооружаются полки для установки ВМП, а старые сбойки изолируются перемычками. Достоинством этой схемы является возможность проветривания стволов практически на любую глубину. Однако эти схемы сложны и требуют дополнительных затрат на бурение скважин.
5.3.2. При бурении стволов (скважин) проветривание участков, освобожденных от промывочной жидкости, должно осуществляться по схемам, приведенным на
рис. 5.8 или 5.9, в зависимости от возможности расположения вентиляционных труб или буровых труб малого диаметра.
Рис. 5.9. Схема проветривания ствола (скважины)
с помощью водокольцевой воздуходувки: 1 - водокольцевая
воздуходувка ГРМК (ВК-25); 2 - бак-водоотделитель;
3 - водопроводные трубы с вентилями для регулировки
водоснабжения воздуходувки; 4 - воздухопроводные трубы
с запорно-регулирующей аппаратурой; 5 - замерное устройство;
6 - став стальных труб диаметром 150 мм;
7 - ствол (скважина)
Расстояние от конца вентиляционных труб до забоя ствола (зеркала промывочной жидкости) не должно превышать 8 м в стволах с газовым режимом и 12 м - в стволах, не переведенных на газовый режим.
5.3.3. Проветривание стволов при их углубке осуществляется нагнетательным способом.
Углубка стволов полным сечением сверху вниз может осуществляться с поверхности рабочего или углубочного горизонтов. В соответствии с этим и принимается определенная схема проветривания (рис. 5.10). ВМП для проветривания стволов могут устанавливаться в ходке зумпфа, на рабочем или углубочном горизонтах. Исходящая струя из углубляемого ствола может отводиться через ходок к вентиляционному стволу или по трубопроводу, соединяющему углубляемый ствол с выработками с исходящей струей.
Рис. 5.10. Схемы проветривания стволов при углубке полным
сечением сверху вниз под предохранительным полком
или породным целиком: а - с поверхности;
б - с рабочего горизонта; в - с углубочного горизонта
При углубке ствола путем расширения гезенка, предварительно пройденного в сечении ствола, провешивание осуществляется по схеме рис. 5.11. На негазовых шахтах движение воздуха по углубляемому отводу может быть принято нисходящим.
Рис. 5.11. Схема проветривания ствола при углубке
путем расширения до начального сечения предварительно
пройденного гезенка
При углубке воздухоподающего ствола углубляемая часть перекрывается герметичным полком, к нему присоединяется трубопровод, по которому исходящая струя воздуха из углубляемой части ствола отводится в исходящую струю шахты или отсасывается вентилятором, установленным на поверхности у устья ствола.
5.3.4. При переоснащении стволов к армированию и второму периоду строительства, а также во время армирования должно осуществляться проветривание ствола на всю глубину, включая и зумпф.
С этой целью к началу выполнения указанных работ между сдвоенными стволами или стволами с параллельной скважиной должна быть завершена проходка сбойки. Проветривание стволов до сбойки осуществляется за счет общешахтной депрессии, а ниже ее (зумпфовая часть) - с помощью ВМП. При заполнении зумпфа водой часть ствола между сбойкой и зеркалом воды допускается проветривать за счет диффузии на глубину до 8 м.
При выполнении работ по армированию одиночного ствола его проветривание осуществляется с помощью вентиляционной установки, расположенной на поверхности и нагнетающей воздух по трубопроводу (по схеме на
рис. 5.8 а). Расстояние от конца вентиляционного трубопровода до забоя пройденного ствола (с зумпфовой частью) или до зеркала воды должно быть не более 8 м в стволах с газовым режимом и 12 м - в стволах, не переведенных на газовый режим.
5.3.5. Проветривание ствола или выработки, проходка которых производится в кессоне, осуществляется сжатым воздухом, поступающим от компрессорной установки для кессонных работ.
Отработанная струя из рабочей зоны кессона удаляется за счет избыточного давления через воздухоотводящий клапан, который периодически открывается непосредственно в выработку.
Для обеспечения полноты забора отработанного воздуха из кессонной камеры сифонные трубы, присоединенные к воздухоотводящему клапану, должны заканчиваться гибкой насадкой, обеспечивающей удаление загрязненного воздуха по всему контуру рабочей зоны.
Проветривание выработки вне кессона осуществляется с помощью ВМП нагнетательным способом. Исходящая струя удаляется непосредственно по выработке.
С целью очистки воздуха от загрязнений всасывающий трубопровод компрессора должен быть оборудован фильтром.
Компрессорная установка и конец всасывающего трубопровода должны располагаться на таком расстоянии от ствола, чтобы исключалось попадание в компрессор исходящей струи воздуха из ствола (не ближе 20 м от его устья).
В компрессорной установке должен быть предусмотрен влагомаслоотделитель, обеспечивающий очистку поступающего в кессонную камеру воздуха от паров масел, влаги и акролеина.
5.3.6. При организации ступенчатого водоотлива в глубоких стволах оборудуются промежуточные насосные камеры с одним выходом в ствол. В стволах, не переведенных на газовый режим, промежуточные насосные камеры длиной до 10 м могут проветриваться за счет диффузии. При большей длине камеры проветривание ее осуществляется вентилятором, установленным в камере у ее устья. К всасу и нагнетающей стороне вентилятора подсоединяются трубопроводы. Всасывающий трубопровод выводится в ствол на 0,30 - 0,35 м от его крепи, а нагнетающий - прокладывается к забою камеры.
В случаях большого выделения тепла, а также при выделении метана в камеру проветривание ее должно осуществляться с помощью ВМП, установленного на поверхности у ствола или в сбойке между стволами (между стволом и скважиной). Кровлю камеры следует выполнять с небольшим подъемом к стволу.
5.3.7. Для предотвращения скоплений метана в помещении башенного копра, где при проходке стволов сосредоточено проходческое оборудование, рекомендуется схема проветривания, представленная на рис. 5.12.
Рис. 5.12. Схема проветривания башенного копра при проходке
ствола: 1, 2 - вентилятор и трубопровод для проветривания
ствола; 3, 4 - и вентилятор и короб для образования
воздушной завесы; 5, 6 - трубопровод и вентилятор
отсасывающей установки; 7 - кожух для укрытия
проходческого оборудования; 8 - вентилятор
для обдува электроприводов
Сущность схемы состоит в отводе за пределы башенного копра исходящей струи воздуха из ствола и в обеспечении искусственного проветривания здания копра у проходческого оборудования.
Для предупреждения поступления в помещение башенного копра МВС устье ствола перекрывается воздушной завесой, создаваемой с помощью вентилятора (3) и коробов (4) со щелевыми окнами, направленными к оси ствола.
При выборе вентиляторов отсасывающей установки (6) необходимо учитывать, что его подача должна быть не менее суммарной подачи двух вентиляторов: нагнетающего воздух к забою ствола (1) и создающего в устье ствола воздушную завесу (3). При этом должна также учитываться величина подсосов воздуха через нулевую площадку, составляющая 10 - 15% суммарной подачи вентиляторов.
С целью предотвращения скоплений метана у электроприводов проходческого оборудования схемой предусматривается постоянный воздухообмен и в здании копра. Обеспечивается это с помощью ВМП (8), установленных в проемах наружных стен копра и нагнетающих воздух под кожухи (7), которыми закрываются электроприводы работающих машин и механизмов.
5.3.8. В зависимости от схемы вскрытия шахтного поля вентиляционные сбойки могут иметь различную длину, что и предопределяет схему их проветривания.
Сбойки, соединяющие центрально-сдвоенные стволы, и сбойки между центрально-отнесенными стволами проветриваются при помощи вентиляционных установок, ранее обеспечивающих вентиляцию стволов при их проходке (рис. 5.13 а).
Рис. 5.13. Схемы проветривания сбоек между стволами:
а - центрально-сдвоенными или центрально-отнесенными
стволами; б - основным горизонтом и фланговым стволом;
в - одиночным центральным и фланговым стволами
с использованием воздухозаборной камеры;
г и д - одиночным центральным и фланговым стволами
с использованием параллельно соединенных выработок
околоствольного двора
Проветривание сбоек большой длины, проводимых от основного горизонта, проветриваемого за счет общешахтной депрессии, до флангового ствола осуществляется с помощью ВМП по схеме, приведенной на рис. 5.13 б.
При проведении сбоек большой длины между одиночным центральным и фланговым стволами их проветривание производится по схемам, приведенным на рис. 5.13 в, г и д. При этом ВМП для проветривания сбойки устанавливается в специально пройденной воздухозаборной камере (рис. 5.13 в) или же в одной из выработок околоствольного двора, соединенной с другой выработкой параллельно и используемой вместо воздухозаборной камеры (рис. 5.13 г и д).
Воздухозаборная камера может быть оборудована в тупиковой части выработки околоствольного двора.
Воздух в воздухозаборную камеру подается по трубопроводу вентилятором, установленным на поверхности (
рис. 5.13 в). При использовании вместо воздухозаборной камеры одной из двух параллельно соединенных выработок воздух в выработку может нагнетаться вентилятором по трубопроводу (
рис. 5.13 г) или же отсасываться из нее (
рис. 5.13 д).
Воздухозаборная камера изолируется от других выработок перемычкой с вентиляционной дверью, имеющей регулировочное окно. В параллельной выработке со стороны подвода трубопровода с поверхности возводится глухая вентиляционная перемычка.
При применении схем с использованием воздухозаборных камер необходимо выполнять следующие требования: суммарная подача одновременно работающих ВМП, установленных в камере, не должна превышать 70% расхода воздуха в конце трубопровода, проложенного с поверхности; при применении электроэнергии в стволах, переведенных на газовый режим, должен осуществляться контроль расхода воздуха в конце трубопровода, проложенного с поверхности, с помощью аппаратуры автоматического контроля расхода воздуха и контроль концентрации метана у всаса ВМП с электрическими двигателями в соответствии с требованиями ПБ. Кроме того, в стволах, переведенных на газовый режим, тупиковые выработки, проветриваемые ВМП с электрическими двигателями, установленными в стволах, воздухозаборных камерах, должны оборудоваться резервными ВМП с пневматическими двигателями, в которых исключена возможность воспламенения метана при ударах вращающихся частей о корпус вентилятора. Эти вентиляторы используются как резервные и для разгазирования выработок.
Проведение выработок околоствольного двора начинается, как правило, после сбойки стволов. Для обеспечения проветривания выработок устье одного из стволов герметически перекрывается, к нему присоединяется с помощью трубопровода или вентиляционного канала всасывающий вентилятор главного проветривания, после чего обеспечивается движение воздуха между стволами за счет депрессии, создаваемой вентилятором.
Дальнейшая организация проветривания выработок околоствольного двора сводится к постоянному расширению проветривания за счет общешахтной депрессии. В выработках, проветриваемых за счет общешахтной депрессии, устанавливаются ВМП, которые обеспечивают подачу воздуха в тупиковые выработки.
На рис. 5.14 представлены схемы проветривания на различных этапах развития работ по проведению выработок околоствольного двора с указанием расположения вентиляционных сооружений и направлений движений свежей и исходящей струй.
Рис. 5.14. Схемы проветривания выработок околоствольного
двора: а, б, в - схемы проветривания на различных этапах
проведения выработок околоствольного двора
При организации проветривания выработок околоствольных дворов, когда сложно осуществить разделение свежей и исходящей струй, возможно применение воздухозаборных камер.
5.3.9. Проветривание зумпфов до глубины 6 м осуществляется за счет диффузии. При глубине зумпфов более 6 м проветривание их осуществляется с помощью ВМП или за счет общешахтной депрессии.
5.3.10. Основные схемы проветривания горизонтальных и наклонных выработок приведены на
рис. 5.15.
Рис. 5.15. Основные схемы проветривания тупиковых выработок:
а - нагнетательным способом; б - нагнетательно-всасывающим
способом с применением пылеотсасывающей установки;
в - комбинированным способом с использованием
параллельной выработки; г - всасывающим способом
Основным способом проветривания тупиковых выработок является нагнетательный (рис. 5.15 а).
При проведении выработок проходческими комбайнами рекомендуется применять нагнетательно-всасывающий способ с использованием пылеотсасывающих установок (рис. 5.15 б). В этом случае в нагнетательном трубопроводе на расстоянии 3 - 5 м от пылеотсасывающей установки в сторону забоя устанавливается воздуховыпускной клапан, через который основная часть воздуха (65 - 75%) выпускается в выработку и поступает к забою за счет работы вентилятора пылеотсасывающей установки. Пылеотсасывающая установка располагается на расстоянии 30 - 50 м от забоя выработки. Она включается только при работе комбайна.
Выработки, проводимые по мощным и средней мощности пластам, можно проветривать комбинированным способом (
рис. 5.15 в). В этом случае основная часть выработки проветривается за счет общешахтной депрессии с использованием для отвода исходящей струи специально проводимой параллельной выработки, сбиваемой с основной выработкой, а тупики небольшой длины - с помощью ВМП. Возможно также проветривание тупиков за счет общешахтной депрессии с помощью продольных перегородок или жестких вентиляционных труб.
При незначительной глубине залегания выработки для ее проветривания могут быть использованы скважины диаметром 200 - 1000 мм. Последние бурят с поверхности через определенное расстояние и используют для отвода исходящей струи за счет общешахтной депрессии при нагнетательном способе проветривания. Тупиковая часть выработки проветривается при помощи ВМП. Скважины можно бурить на вышележащий горизонт, если там имеется выработка, которая может служить для отвода исходящей струи.
Всасывающий способ проветривания, приведенный на
рис. 5.15 г, рекомендуется применять на негазовых шахтах. Этот способ может применяться в газовых шахтах при использовании ВМП, допущенных для отсоса метановоздушных смесей, а также эжекторов.
На газовых шахтах ВМП, работающие последовательно на один трубопровод, должны устанавливаться каскадом не более двух. Рассредоточенное расположение ВМП допускается на негазовых шахтах. При этом между вентиляторами должен быть проложен жесткий трубопровод, а все вентиляторы должны быть сблокированы, чтобы в случае выключения одного из них автоматически выключались все последующие. Места расположения ВМП при рассредоточенной работе их на один трубопровод определяются по рекомендациям бассейновых институтов.
Для повышения надежности проветривания выработок в газовых шахтах они должны быть оборудованы резервными ВМП в соответствии с требованиями Правил безопасности.
6. МАКСИМАЛЬНО ДОПУСТИМАЯ НАГРУЗКА
НА ОЧИСТНУЮ ВЫРАБОТКУ ПО ГАЗОВОМУ ФАКТОРУ
6.1. Расчет максимально допустимой нагрузки
на очистную выработку при проектировании новых шахт
6.1.1. Для очистных выработок типа лав по природной метаноносности угольных пластов
Расчет максимально допустимой по газовому фактору нагрузки на очистную выработку производится в следующем порядке. Вначале при принятых в проекте параметрах очистной выработки задаются скорости подвигания очистного забоя. Затем в соответствии с
разделом 3 рассчитывают метанообильность выемочного участка по источникам выделения (разрабатываемый пласт, подрабатываемые и надрабатываемые угольные пласты и пропластки, вмещающие породы и т.д.) и добычу A (т/сут) по формуле

, (6.1)
где

- длина очистной выработки, для которой рассчитывается максимально допустимая нагрузка, м; принимается по проекту;

- плотность угля, т/м3;

- скорость подвигания очистного забоя, принятая при расчете ожидаемой метанообильности, м/сут;

- коэффициент извлечения угля, доли единицы; принимается согласно проекту.
Максимально допустимая по газовому фактору нагрузка на очистную выработку

(т/сут) рассчитывается по формуле

, (6.2)
где

- относительная метанообильность очистной выработки

или выемочного участка

, м3/т; принимается по табл. 6.1;

- параметр, который зависит от схемы проветривания выемочного участка, пропускной способности очистной выработки по воздуху и других факторов; принимается по табл. 6.1.
Таблица 6.1
Значения параметров

и

Схема проветривания выемочного участка | Направление движения исходящей струи из лавы | Значения |
| |
С последовательным разбавлением метана по источникам выделения (типы 1-В и 1-М) | На массив | | |
На выработанное пространство: | | |
при  | | |
при  | | |
С обособленным разбавлением метана по источникам выделения (типы 2-В и 3-В) | На выработанное пространство | | |
Примечание. 1. При выемке угольных пластов с присечкой боковых пород или содержащих породные прослойки в
формулу (6.2) вводится коэффициент, равный отношению

, где

- плотность горной массы, т/м3.
2.
Формулами (6.2) и
(6.16) можно пользоваться при определении нагрузки на очистной забой при скорости подвигания до 6 м/сут.
При расчете нагрузки на лаву по газовому фактору для схем проветривания выемочных участков с последовательным разбавлением метана по источникам (схемы 1-го типа) при движении исходящей струи на выработанное пространство следует принимать меньшую нагрузку из полученных при значениях

,

и

,

.
При отработке тонких крутых пластов щитовыми агрегатами при расчете

в
формулу (6.2) вместо

подставляется относительное метановыделение вынимаемой полосы

. Значение

определяется по
формуле (6.3) или
(6.5) в зависимости от схемы проветривания выемочного участка, а

, входящий в формулы, принимается равным 0,8.
Если при расчетах по
формуле (6.2) 
получится меньше нагрузки, принятой при определении ожидаемой метанообильности очистной выработки, выемочного участка, то необходимо заново рассчитать ожидаемую метанообильность, приняв при этом скорость подвигания очистного забоя, исходя из

, а затем расчет

повторить. Расчет заканчивается, когда расхождение между двумя последовательно полученными результатами не превышает +/- 3%.
Относительная метанообильность очистной выработки и выемочного участка определяется:
при схемах проветривания с последовательным разбавлением метана по источникам выделения

; (6.3)

. (6.4)
При схемах проветривания выемочных участков с полным обособленным разбавлением метана по источникам выделения

; (6.5)

, (6.6)
где

- относительное метановыделение из разрабатываемого пласта в очистной выработке, м3/т;

- относительное метановыделение из выработанного пространства в пределах выемочного участка с учетом эффективности дегазации, м3/т;

- коэффициент, учитывающий условия выемки пласта и направление движения воздуха по лаве; принимается для условий Кузбасса по табл. 6.2, а для остальных бассейнов и месторождений - равным единице;

- коэффициент, учитывающий эффективность дегазации разрабатываемого пласта, доли единицы; принимается в соответствии с Руководством по дегазации угольных шахт.
Таблица 6.2
Значения коэффициента

Условия, в которых находится очистная выработка | Значения  |
при восходящем движении воздуха по лаве | при нисходящем движении воздуха по лаве |
Лава, выше и ниже которой находится массив угля | 1,0 | 1,0 |
Лава, отделенная от смежных по восстанию выработанных пространств сплошным целиком угля | 0,8 | 1,0 |
Лава, отделенная от смежных по восстанию выработанных пространств целиком угля с печами | 0,65 | 1,0 |
Лава, выше которой находится выработанное пространство | 0,55 | 1,0 |
Лава, выше которой массив угля, а ниже - выработанное пространство | 0,8 | 1,0 |
Лава, отделенная от смежных по восстанию выработанных пространств сплошным целиком угля, а ниже находится выработанное пространство | 1,0 | 0,8 |
Лава, отделенная от смежных по восстанию выработанных пространств целиком угля с печами, а ниже находится выработанное пространство | 1,0 | 0,65 |
Лава, ниже и выше которой находится выработанное пространство | 1,0 | 0,55 |
Для высокометаморфизованных антрацитов значение

принимается равным

, а

.
Значение коэффициента

для схем проветривания выемочных участков типа 1-М принимается равным 1, а для других схем проветривания

определяется по табл. 6.3 в зависимости от коэффициента

, учитывающего поступление (притечки) воздуха из выработанного пространства в призабойное, и от расстояния по нормали подрабатываемого угольного пласта от разрабатываемого.
Таблица 6.3
Значения коэффициента

в зависимости от

и

 , м | Значения  при  |
0,2 | 0,4 | 0,6 | 0,8 | 1,0 |
до 10  | 0,2 | 0,40 | 0,6 | 0,8 | 1,0 |
11 - 30  | 0,10 | 0,24 | 0,42 | 0,67 | 1,0 |
31 - 50  | 0,04 | 0,12 | 0,27 | 0,54 | 1,0 |
Более 50  | 0,02 | 0,07 | 0,19 | 0,45 | 1,0 |
Значения коэффициента

зависят от схемы проветривания выемочного участка и способа поддержания вентиляционной выработки.
Для возвратноточной схемы проветривания и прямоточной с подсвежением и без подсвежения при примыкании исходящей струи воздуха в пределах выемочного участка к выработанному пространству и поддержании вентиляционной выработки кострами, бутокострами, бутовой полосой с окнами (каналами) или сплошной бутовой полосой шириной до 5 м выделение метана из выработанного пространства в лаву не происходит, т.е.

.
Если для поддержания вентиляционной выработки выкладывается сплошная бутовая полоса шириной более 5 м, то

принимается в зависимости от ее ширины

:
 , м | 6 | 7 | 9 | 12 | 16 | более 16 |
| 0,3 | 0,4 | 0,5 | 0,7 | 0,9 | 1,0 |
Значение

при отработке пласта без разделения на слои и схемах проветривания выемочных участков с последовательным разбавлением метана по источникам выделения определяется по формуле (6.7), а

- по формуле (6.8)

; (6.7)

, (6.8)
где

,

- коэффициенты, учитывающие соответственно эффективность дегазации подрабатываемых и надрабатываемых сближенных угольных пластов и вмещающих пород, доли единицы; принимаются в соответствии с Руководством по дегазации угольных шахт.
Если пласт отрабатывается с разделением на слои, то:
при выемке первого своя

определяется по формуле (6.9), а

- по формуле (6.10)

; (6.9)

(6.10)
при выемке второго слоя

, а

по
формуле (6.8), в которой вместо x подставляется

.
Значения

,

,

,

,

,

и

определяются по формулам, приведенным в
разделе 3.
6.1.2. Для систем разработки с камерообразными очистными выработками
Максимально допустимая нагрузка на очистной забой определяется в этих условиях следующим образом.
При щитовой системе разработки в условиях Кузнецкого бассейна

определяется по формуле

, (6.11)
где

- число циклов;

- масса угля, отбиваемого за один цикл, т;

; (6.12)

- проветриваемый объем подщитового пространства, м3; определяется в соответствии с
п. 7.3.3;

- коэффициент турбулентной диффузии; зависит от мощности щита вкрест простирания и принимается равным 0,9; 0,8; 0,6; 0,6; 0,5 при мощности щита вкрест простирания соответственно 2, 3, 4, 5, 6 м.
Депрессия участка определяется по формуле

, (6.13)
где

- аэродинамическое сопротивление наиболее труднопроветриваемой вентиляционной ветви проектируемого участка; при отсутствии фактических или расчетных данных ориентировочно принимается равным

.
Расход воздуха, подаваемого на участок, ориентировочно принимается равным 10 м3/с.
При комбинированной системе разработки с гибким перекрытием и выемке нижнего слоя столбами по падению максимально допустимая нагрузка на очистной забой (фронт работ под перекрытием) определяется аналогично тому, как она рассчитывается при щитовой системе разработки. Отличие состоит лишь в том, что масса угля, отбиваемого за один цикл, определяется по формуле

, (6.14)
где

- коэффициент, учитывающий влияние мощности слоя на изменение аэродинамического сопротивления призабойного пространства; определяется в соответствии с
п. 7.3.2;

- коэффициент турбулентной диффузии вентиляционной струи в призабойном пространстве под перекрытием; принимается равным 0,8; 0,7; 0,6 и 0,4 при мощности слоя под перекрытием, отрабатываемого одним забоем, соответственно равной 4, 5, 6 и 7 м.
При комбинированной системе разработки с гибким перекрытием и выемке нижнего слоя подэтажами по простиранию максимально допустимая нагрузка на забой определяется по номограмме, приведенной на рис. 6.1.
Рис. 6.1. Номограмма для определения

при комбинированной
системе разработки с гибким перекрытием
Для определения по номограмме

предварительно по формуле (6.15), исходя из

, C и

, рассчитывают максимальное метановыделение из очистной выработки

, устанавливают метаноносность разрабатываемого пласта x и мощность рабочего слоя под перекрытием

. Затем по x,

и

, пользуясь ключом (см. рис. 6.1), определяют

(точка О) и высоту рабочего подэтажа

(точка С)

. (6.15)
Если нельзя обеспечить подачу в очистную выработку

, то определяется возможная нагрузка на забой, исходя из фактического распределения воздуха по шахте

. В этом случае для определения возможной нагрузки сначала рассчитывают предельное метановыделение

по формуле (6.15), в которую вместо

подставляют

; затем по номограмме по

, x и

определяют A и

.
6.2. Расчет максимально допустимой нагрузки
на очистную выработку для действующих шахт
Исходными данными для расчета максимально допустимой нагрузки являются: максимальный расход воздуха, который можно подать в очистную выработку

, м3/мин; среднее метановыделение в очистной выработке

и на выемочном участке

, м3/мин; добыча A, т/сут, при которой определены

и

; длина очистного забоя

, м, для которого известны

,

, A; длина очистного забоя

, м, для которого рассчитывается максимально допустимая нагрузка.
Значения

и

определяются согласно указаниям, приведенным в
подразделе 3.2. Если расчет выполняется по фактическому метановыделению в очистной выработке

и на участке

, то

,

, при этом

и A - фактические длина очистного забоя и нагрузка.
Для вновь вводимых очистных выработок в тех случаях, когда ожидаемое метановыделение определяется по природной метаноносности, следует задаться скоростью подвигания очистного забоя и рассчитать по формулам
раздела 3 ожидаемую метанообильность, а по
формуле (6.2) - нагрузку.
Максимально допустимая по газовому фактору нагрузка на очистную выработку рассчитывается по формуле

, (6.16)
где

- коэффициент возможного увеличения добычи; определяется по формуле (6.17) или при помощи номограмм
(рис. 6.2) по величинам

,

и

;

, (6.17)

- среднее метановыделение в очистной выработке или на выемочном участке, м3/мин; принимается по
табл. 6.4;

- расход воздуха, который может быть использован для разбавления выделяющегося в очистной выработке или на выемочном участке метана, м3/мин; принимается по
табл. 6.4;

- длина очистной выработки, для которой известны

,

и A, м.
Рис. 6.2. Номограмма для определения

для очистных выработок (выемочных участков)
Таблица 6.4
Значения параметров

и

Схема проветривания выемочного участка | Направление движения исходящей струи из лавы | Значения |
| |
С последовательным разбавлением метана по источникам выделения (типы 1-В и 1-М) | На массив | | |
На выработанное пространство: | | |
при  | | |
при  | | |
С обособленным разбавлением метана по источникам выделения (типы 2-В и 3-В) | На выработанное пространство | | |
Если на шахтах невозможно обеспечить подачу расхода воздуха, исходя из

, а на подсвежение - из условия

, то расчет возможной по условиям вентиляции нагрузки на очистную выработку производится по

,

. При этом для схем проветривания, предусматривающих подсвежение исходящей из выемочного участка вентиляционной струи, должна дополнительно рассчитываться по

и

, и из полученных результатов принимается меньшее значение

.
Для систем разработок с камерообразными очистными выработками для действующих шахт максимально допустимая нагрузка на очистной забой рассчитывается в соответствии с
п. 6.1.2.
Техническая возможность шахты (максимально возможный годовой, суточный объем добычи угля) по вентиляции определяется по методике, приведенной в
Приложении 3.
7. РАСЧЕТ РАСХОДА ВОЗДУХА ДЛЯ ПРОВЕТРИВАНИЯ УГОЛЬНЫХ ШАХТ
7.1. Расчет расхода воздуха для шахты в целом
Расход воздуха для шахты в целом определяется по формуле

, (7.1)
где 1,1 - коэффициент, учитывающий неравномерность распределения воздуха по сети горных выработок;

- расход воздуха для проветривания выемочных участков, м3/мин;

- расход воздуха, подаваемый к всасам ВМП для обособленного проветривания тупиковых выработок, м3/мин. На газовых шахтах расход воздуха для проветривания тупиковых выработок, проводимых за пределами выемочных участков, кроме выработок, проводимых по негазоносным породам, принимается с учетом обособленного их проветривания;

- расход воздуха для обособленного проветривания погашаемых выработок, м3/мин;

- расход воздуха для обособленного проветривания поддерживаемых выработок, м3/мин;

- расход воздуха для обособленного проветривания камер, м3/мин;

- утечки воздуха через вентиляционные сооружения, расположенные за пределами выемочных участков, м3/мин.
При нескольких вентиляционных установках по
формуле (7.1) определяется в соответствии со схемой проветривания расход воздуха по группам выработок (крылу, шахтопласту), проветриваемым отдельными вентиляторами, а общий расход воздуха для шахты рассчитывается как сумма полученных результатов.
Расход воздуха для проветривания шахты, определенный по
формуле (7.1), должен удовлетворять при проектировании условию (7.2), а для действующих шахт -
(7.3).

, (7.2)
где

- абсолютное среднее газовыделение на выемочных участках, м3/мин;

- абсолютное среднее газовыделение из обособленно проветриваемых тупиковых выработок, м3/мин;

- абсолютное среднее газовыделение из старых выработанных пространств ранее отработанных этажей и горизонтов, м3/мин;

- абсолютное среднее газовыделение из погашаемых и поддерживаемых выработок, м3/мин.

, (7.3)
где

- коэффициент неравномерности газовыделения в шахте; для условий шахт Подмосковного и Днепровского буроугольных бассейнов принимается равным 2,3, а для прочих условий - 1,1;
C - допустимая концентрация газа в исходящих из шахты вентиляционных струях, %; принимается согласно ПБ;

- концентрация газа в атмосферном воздухе на поверхности шахты, %; при расчете по метановыделению принимается равной 0, а при расчете по углекислому газу определяется по данным анализов;

- абсолютное среднее газовыделение <*> в исходящих из шахты вентиляционных струях, м3/мин; определяется в соответствии с
п. 3.2.5 или
п. 4.2.3.
--------------------------------
<*> Далее по тексту - газовыделение (метановыделение, выделение углекислого газа).
Расход воздуха для проветривания шахты на период строительства определяется по
формуле (7.1).
7.2. Расчет расхода воздуха для проветривания одиночных
тупиковых выработок и вертикальных стволов
7.2.1. Расход воздуха, необходимый для проветривания тупиковых выработок и стволов, рассчитывается по выделению метана или углекислого газа, по газам, образующимся при взрывных работах, числу людей, средней минимальной скорости воздуха в выработке и минимальной скорости воздуха в призабойном пространстве выработки с учетом температуры. Окончательно принимается наибольший результат.
На строящихся шахтах дополнительно рассчитывается расход воздуха по газам, образующимся при сварочных работах. Окончательно принимается наибольший результат.
Для тупиковых выработок протяженностью до 300 м и стволов расчет выполняется сразу для максимальной длины. Для тупиковых выработок большей протяженности допускается расчет на отдельные периоды для промежуточных значений длины 300, 600, 900 м и т.д., включая максимальную длину. При проведении тупиковых выработок по пластам средней мощности и мощным допускается выполнять расчет расхода воздуха первоначально для длины 75 - 100 м и далее с интервалом 100 м, включая проектную длину.
Расчет расхода воздуха производится для призабойного пространства

и в целом для выработки

.
7.2.2. Расчет расхода воздуха по выделению метана (углекислого газа) производится следующим образом.
При выемке угля в тупиковых выработках комбайнами, отбойными молотками или выбуриванием пласта, а также при проходке стволов

, (7.4)
где

- расход воздуха, который необходимо подавать в призабойное пространство тупиковой выработки, ствола, м3/мин;

- метановыделение на призабойном участке, м3/мин; определяется в соответствии с
п. 3.2.2;
C - допустимая согласно ПБ концентрация метана в исходящей из выработки вентиляционной струе, % (по объему) <*>;

- концентрация метана в струе воздуха, поступающего в тупиковую выработку, %; определяется для тупиковых выработок действующих шахт по результатам измерений, для проектируемых - принимается равной 0,05%, а для стволов

.
--------------------------------
<*> Далее по тексту вместо % (по объему) будет писаться %.
При взрывном способе выемки угля в тупиковых выработках, проводимых по угольным пластам (для шахт, опасных по газу)

, (7.5)
где S - площадь поперечного сечения выработки в свету, м2;

- расстояние от конца вентиляционного трубопровода до забоя выработки, м; принимается согласно требованиям ПБ;

- коэффициент турбулентной диффузии; принимается равным 1,0 при

и 0,8 - при большем сечении выработки в свету;

- максимальное метановыделение в призабойном пространстве после взрывания по углю, м3/мин; определяется согласно
п. 3.1.4;

- допустимая максимальная концентрация метана в призабойном пространстве после взрывания по углю, %; принимается равной 2%.
Для тупиковых выработок, вскрывающих тонкие крутые пласты, расчет

по
формуле (7.5) не производится.
При нагнетательно-всасывающем способе проветривания тупиковых выработок с использованием пылеулавливающих установок (см.
рис. 5.15 б) расход воздуха в нагнетательном трубопроводе перед воздуховыпускным клапаном

должен быть больше или равен

, где

- расход воздуха, определенный по
формуле (7.4).
Расход воздуха через воздуховыпускной клапан

принимается

, а подача пылеулавливающей установки

. При этом должно выполняться условие

, а

.
Расход воздуха для проветривания всей тупиковой выработки

(м3/мин) при любых способах ее проведения определяется по формуле

, (7.6)
где

- метановыделение (выделение углекислого газа) в тупиковой выработке, м3/мин; метановыделение определяется согласно
п. 3.1.4, а выделение углекислого газа -
разделу 4.
Значение

принимается, кроме Подмосковного и Днепровского буроугольных бассейнов, равным 1, а в условиях Подмосковного и Днепровского буроугольных бассейнов - 2,4 для выработок, проводимых в угольном массиве, и 3,3 для выработок, проводимых вприсечку к выработанному пространству.
При расчете

по углекислому газу значение

принимается равным концентрации углекислого газа в атмосферном воздухе на поверхности шахты.
7.2.3. Расчет расхода воздуха для проветривания тупиковой выработки, ствола по газам, образующимся при взрывных работах, осуществляется по формуле

, (7.7)
где

- объем вредных газов, образующихся после взрывания, л;

; (7.8)

,

- масса одновременно взрываемых ВВ по углю и породе соответственно, кг; если взрывание по углю и породе производится раздельно (в несколько приемов), то при расчете

принимается максимальное значение

;
T - время проветривания выработки после взрывания, мин; принимается согласно ПБ;

- средняя площадь поперечного сечения выработки в свету при переменном сечении, м2;

; (7.9)

,

, ...,

- площади поперечных сечений отдельных участков выработки (ствола), м2;

,

, ...,

- длина этих участков, м;

- длина тупиковой части выработки (ствола), м; для горизонтальных и наклонных тупиковых выработок длиной 500 м и более вместо

подставляется критическая длина

, равная 500 м. Для стволов

определяется по формуле

; (7.10)

- коэффициент, учитывающий обводненность тупиковой выработки (ствола); принимается по
табл. 7.1;

- коэффициент утечек воздуха в вентиляционных трубопроводах; определяется согласно
п. 7.8.3. При длине

значение

принимается для длины

, а при

- для длины, равной

. При определении

необходимо предварительно принять

;

- коэффициент турбулентной диффузии полной свободной струи; определяется по
табл. 7.2 в зависимости от величины

;

- приведенный диаметр трубопровода, м; при расположении трубопровода в углу тупиковой выработки равен

, а при расположении у стенки выработки или у стенки ствола посредине высоты или ширины выработки равен

. При использовании в стволах двух параллельных трубопроводов

;

- коэффициент, учитывающий совместное влияние обводненности и глубины ствола, а также температуры пород в стволе на процесс разбавления вредных газов; определяется по формуле

; (7.11)

- глубина ствола от поверхности до расчетного пункта, м;

- коэффициент, учитывающий влияние обводненности ствола; зависит от притока воды и равен:
приток воды, м3/ч | 2 | 4 | 6 | 8 | 10 | 12 | 14 | 16 | 18 |
| 18,4 | 13,0 | 10,6 | 9,2 | 8,2 | 7,5 | 6,9 | 6,5 | 6,1 |

- естественная температура пород на глубине

, °C; принимается по данным геологоразведки, а при их отсутствии рассчитывается по Единой методике прогнозирования температурных условий в угольных шахтах;

- среднемесячная температура атмосферного воздуха для июля, °C; принимается по данным, приведенным в Единой методике прогнозирования температурных условий в угольных шахтах.
Таблица 7.1
Значения коэффициента обводненности

Характеристика выработок | |
Стволы сухие (приток до 1 м3/ч) любой глубины и обводненные глубиной не более 200 м. Горизонтальные и наклонные тупиковые выработки проводятся по сухим породам | 0,8 |
Стволы обводненные (приток до 6 м3/ч) глубиной более 200 м. Капеж. Горизонтальные и наклонные тупиковые выработки частично проводятся по водоносным породам (влажные выработки) | 0,6 |
Стволы обводненные (приток от 6 до 15 м3/ч) глубиной более 200 м, капеж в виде дождя. Горизонтальные и наклонные тупиковые выработки на всю длину проводятся по водоносным породам или с применением водяных завес (обводненные выработки) | 0,3 |
Стволы обводненные (приток более 15 м3/ч) глубиной более 200 м, капеж в виде ливня | 0,15 |
Таблица 7.2
Значения коэффициента турбулентной диффузии свободной струи
| |
3,22 | 0,247 |
3,57 | 0,262 |
3,93 | 0,276 |
4,28 | 0,287 |
4,80 | 0,300 |
5,40 | 0,335 |
6,35 | 0,395 |
7,72 | 0,460 |
9,60 | 0,529 |
12,10 | 0,600 |
15,80 | 0,672 |
21,85 | 0,744 |
30,80 | 0,810 |
48,10 | 0,873 |
7.2.4. Расход воздуха по минимальной скорости в выработке рассчитывается по формуле

, (7.12)
где

- минимально допустимая согласно ПБ скорость воздуха в тупиковой выработке (стволе), м/с.
Расход воздуха по минимальной скорости в призабойном пространстве тупиковой выработки в зависимости от температуры определяется по формуле

, (7.13)
где

- минимально допустимая согласно ПБ скорость воздуха в призабойном пространстве выработки в зависимости от температуры, м/с.
7.2.5. При проведении параллельных выработок, основная часть которых проветривается за счет общешахтной депрессии, а тупиковая - вентиляторами местного проветривания (ВМП), расчет расхода воздуха для тупиковой части выработок производится согласно
пунктам 7.2.3 - 7.2.5, а расход воздуха в месте установки ВМП

должен удовлетворять
условиям (7.112) или
(7.113) и (7.14)

, (7.14)
где

- выделение метана в параллельной выработке от ее устья до места установки ВМП, м3/мин; определяется по
формуле (3.50), в которой

рассчитывается как разность между его значениями для всей выработки (от устья до забоя) и участка выработки от места установки ВМП до забоя.
Расход воздуха, который необходимо подавать в устье параллельных выработок, рассчитывается по формуле (7.15) и должен удовлетворять условию (7.16)

; (7.15)

, (7.16)
где

- расход воздуха в месте установки ВМП, м3/мин;

- число перемычек от устья параллельных выработок до места установки вентиляторов;

- метановыделение в параллельные выработки, м3/мин; определяется согласно
п. 3.1.4.
7.2.6. Расчет расхода воздуха для проветривания тупиковых выработок, проводимых широким ходом, определяется аналогично расчету его для выемочных участков. При этом, определяя относительное метановыделение из сближенных пластов, значение вынимаемой мощности пласта в
формуле (3.34) принимается равным

, (7.17)
где

- расстояние от забоя до закладочного массива, м; принимается согласно паспорту крепления и управления кровлей;

- коэффициент, учитывающий неполноту закладки; принимается для гидравлической закладки 0,05, а пневматической - 0,1;

- коэффициент усадки; определяется по фактическим данным, при отсутствии таких данных принимается для гидравлической закладки равным 0,2, а пневматической - 0,3.
7.2.7. При ведении сварочных работ в стволах расход воздуха по выделению вредных веществ рассчитывается по формуле

, (7.18)
где

- коэффициент, учитывающий неравномерность выполнения сварочных работ; принимается равным 1,1 - 1,2;

- масса сварочной пыли и газов, образующихся при расходе 1 кг электродов, в пересчете на условную окись марганца, г/кг; принимается по табл. 7.3 в зависимости от типа и марки электрода;

- число сварочных постов, действующих в выработке одновременно;

- расход электродов на сварку 1 метра шва, кг/м;

- норма времени на 10 метров сварочного шва, ч/м; принимается

;

- предельно допустимая концентрация пыли окислов марганца, мг/м3; принимается

.
Таблица 7.3
Вредные вещества, образующиеся при ведении сварочных работ,
в пересчете на условную окись марганца
Тип электрода | Марка электрода | Объем сварочной пыли и газов, образующихся при расходе 1 кг электродов, в пересчете на условную окись марганца, г/кг |
Э-42 | ЦМ-7 | 7,5 |
ОММ-5 | 2,9 |
УОНИ-13/45 | 3,0 |
УОНИ-13/55 | 3,0 |
ЭА-1 | Аустенит | 1,0 |
АНО-1 | 1,43 |
АНО-3 | 1,17 |
АНО-4 | 1,05 |
7.2.8. Расход воздуха для проветривания зумпфа определяется по
формуле (7.85), в которую вместо

подставляется объем зумпфа (

, м3).
7.3. Расчет расхода воздуха
для проветривания очистных выработок
7.3.1. Общие положения
Расход воздуха, необходимый для проветривания очистных выработок, должен рассчитываться по выделению метана, углекислого газа, газов, образующихся при взрывных работах, по числу людей и должен проверяться по допустимой скорости воздуха, а при последовательном проветривании тупиковых и очистных выработок - также по подаче ВМП. Окончательно принимается наибольший результат.
При выемке каменных углей с присечкой боковых пород, а также антрацитовых пластов и температуре воздуха 16 °C и выше расход воздуха должен быть дополнительно рассчитан из условия оптимальной по пылевому фактору скорости, если для разбавления вредных газов или по температурным условиям не требуется большая скорость воздуха.
Для схем проветривания с примыканием исходящей струи к целику и погашением вентиляционной выработки (схемы типа 1-М, 2-М,
рис. П.1.3) расчет расхода воздуха по выделению метана (углекислого газа) следует вести сразу для выемочного участка по
формуле (7.46).
7.3.2. Расчет воздуха по выделению метана (углекислого газа)
Расход воздуха для проветривания очистных выработок (лав) при максимально допустимой нагрузке на лаву по газовому фактору

, (7.19)
где

- максимальный расход воздуха, который можно подать в очистную выработку, м3/мин;

- коэффициент, учитывающий движение воздуха по части выработанного пространства, непосредственно прилегающей к призабойному; принимается по
табл. 7.4;

- минимальная площадь поперечного сечения призабойного пространства очистной выработки в свету, м2; при механизированных крепях принимается согласно
табл. 7.5, а при индивидуальной крепи рассчитывается по формуле

, (7.20)

- коэффициент, учитывающий загроможденность призабойного пространства; принимается равным 0,9;

- минимальная ширина призабойного пространства, м; принимается согласно паспорту крепления и управления кровлей.
Таблица 7.4
Значения коэффициента

Способ управления кровлей | Породы непосредственной кровли | |
Полное обрушение | Песчаники | 1,30 |
То же | Песчанистые сланцы | 1,25 |
" | Глинистые сланцы | 1,20 |
" | Сыпучие | 1,05 |
Плавное опускание | Глинистые сланцы | 1,15 |
Частичная закладка | То же | 1,10 |
Полная закладка | " | 1,05 |
Примечание. При отработке тонких и средней мощности крутых пластов щитовыми агрегатами типа АЩ, АНЩ значение

принимается равным 1,15.
Таблица 7.5
Площадь поперечного сечения призабойных пространств
в свету и удельное аэродинамическое сопротивление
очистных выработок с механизированными крепями
Тип крепи (комплекса, агрегата) | Вынимаемая мощность пласта, м | Сечение в свету, м2 |  ,  |
"Донбасс" М | 0,8 | 1,56 | 0,270 |
1,2 | 2,5 | 0,080 |
1КМ 103 | 0,7 | 1,4 | 0,357 |
0,95 | 1,9 | 0,166 |
КМ 87УМН, | 1,15 | 2,3 | 0,13 |
КМ 87УМП | 1,95 | 4,6 | 0,03 |
КМ 87УМА, | 1,15 | 2,3 | 0,15 |
КМ 87УМВ | 1,95 | 4,6 | 0,03 |
1КМ 88 | 1,0 | 2,3 | 0,113 |
1,3 | 2,7 | 0,074 |
КМ 81 | 2,0 | 3,5 | 0,045 |
3,2 | 6,3 | 0,008 |
КМ 137 | 0,8 | 1,58 | 0,30 |
1,1 | 3,44 | 0,039 |
КСМ (АМС) | 2,2 | 4,5 | |
3,0 | 6,7 | |
1 МКМ | 1,4 | 2,8 | 0,18 |
1,75 | 3,8 | 0,03 |
КМ 87 УМС | 1,15 | 2,3 | 0,15 |
1,95 | 4,6 | 0,03 |
2МКЭ | 1,6 | 2,7 | 0,08 |
2,2 | 4,4 | 0,02 |
1КМ 97 Д | 0,7 | 1,5 | 0,080 |
1,3 | 3,4 | 0,025 |
10КП, 20КП | 1,85 | 2,7 | 0,07 |
3,0 | 5,4 | 0,029 |
30КП | 2,5 | 3,1 | 0,052 |
3,3 | 5,8 | 0,01 |
ОКП 70 | 1,9 | 3,1 | 0,045 |
3,5 | 6,5 | 0,007 |
20КП-70 | 2,3 | 4,8 | 0,030 |
3,3 | 6,4 | 0,007 |
КМ130 | 2,35 | 4,7 | 0,045 |
3,2 | 8,2 | 0,009 |
КД80 | 0,85 | 1,7 | 0,300 |
1,2 | 2,4 | 0,070 |
1КМТ | 1,1 | 2,4 | 0,120 |
1,5 | 3,3 | 0,040 |
1УКП | 1,3 | 2,0 | 0,120 |
2,5 | 4,5 | 0,030 |
КМ138 | 1,4 | 2,93 | 0,06 |
2,2 | 5,15 | 0,014 |
2УКП | 2,4 | 4,0 | 0,017 |
4,0 | 8,0 | 0,003 |
МК75 | 1,6 | 2,8 | 0,067 |
2,2 | 3,9 | 0,023 |
АНЩ | 0,7 | 1,05 | 0,12 |
1,3 | 2,35 | 0,045 |
1АЩМ | 1,2 | 1,8 | 0,07 |
2,2 | 3,2 | 0,02 |
2АНЩ | 1,05 | 1,6 | 0,06 |
2,2 | 3,3 | 0,012 |
КГУ | 0,7 | 1,2 | 0,68 |
1,2 | 3,2 | 0,036 |
АКЗ | 1,6 | 3,6 | 0,060 |
2,5 | 5,6 | 0,02 |
Примечание. При мощности пласта и площади поперечного сечения, не указанных в таблице, сечение в свету и

определяются интерполяцией.
Если нагрузка на лаву принята по другим ограничивающим факторам, то расход воздуха определяется по формуле

, (7.21)
где

- среднее ожидаемое (фактическое) газовыделение в очистной выработке, м3/мин; определяется при прогнозе метановыделения по природной метаноности пласта по
формуле (3.90), а углекислотообильности - в соответствии с
разделом 4; при расчете ожидаемого газовыделения по фактическому - в соответствии с указаниями, приведенными в
подразделе 3.2;

- коэффициент неравномерности газовыделения.
Коэффициент неравномерности метановыделения определяется по формуле (7.22) или берется из табл. 7.6, выделения углекислого газа - по
табл. 7.7. Для шахт Донецкого и Львовско-Волынского бассейнов значение коэффициента неравномерности выделения углекислого газа принимается равным 1,6.

. (7.22)
Таблица 7.6
Значения коэффициента неравномерности метановыделения
Среднее метановыделение из очистной выработки, выемочного участка, м3/мин | 0,2 - 0,5 | 0,5 - 1,0 | 1,0 - 1,5 | 1,5 - 2,0 | 2,0 - 3,0 | 3,0 - 4,0 | 4,0 - 6,0 | 6,0 - 10,0 | 10,0 - 15,0 | 15,0 - 20,0 | более 20,0 |
Значения  | 2,43 - 2,14 | 2,14 - 1,94 | 1,94 - 1,83 | 1,83 - 1,76 | 1,76 - 1,66 | 1,66 - 1,60 | 1,60 - 1,51 | 1,51 - 1,40 | 1,40 - 1,33 | 1,33 - 1,28 | 1,28 |
Таблица 7.7
неравномерности выделения углекислого газа
Среднее выделение углекислого газа в очистной выработке, м3/мин | Значение коэффициента неравномерности выделения углекислого газа для условий Кузнецкого, Карагандинского, Печорского и других восточных бассейнов и месторождений |
0,3 | 2,10 |
0,6 | 1,53 |
0,9 | 1,32 |
1,2 | 1,20 |
1,5 | 1,14 |
1,8 | 1,10 |
2,1 и более | 1,07 |
Примечание. При отработке тонких крутых пластов щитовыми агрегатами полосами по падению в

, определенное по
формуле (7.21), входит расход воздуха для проветривания полосы, печей и монтажной ниши.
При выемке угля в очистных выработках буровзрывным способом значения

, полученные по
формуле (7.22) или взятые из
табл. 7.6, необходимо умножить на коэффициент, равный 1,20.
На действующих шахтах для спаренных лав с общей исходящей струей воздуха, когда расстояние между ними не превышает 15 м, то есть когда невозможно определить фактическое метановыделение из каждой лавы по результатам измерений, расход воздуха рассчитывается по
формуле (7.21), а метановыделение

- по формуле

, (7.23)
где

- среднее фактическое (ожидаемое) метановыделение из двух очистных выработок, м3/мин; определяется согласно
подразделу 3.2;

- фактическая добыча из i-той (1-ой, 2-ой) лавы, т/сут;

- коэффициент, учитывающий изменение метанообильности лавы за счет выделения метана из отбитого угля, транспортируемого по выработкам участка; принимается равным 1, когда отбитый уголь транспортируется по своим бортовым выработкам; 0,87 - при транспортировании угля по центральной выработке и для одной из лав, уголь из которой поступает в другую лаву, и 1,15 - для лавы, по которой уголь транспортируется из смежной.
При последовательном проветривании очистных выработок расчет расхода воздуха по выделению метана для второй лавы определяется по формуле (7.24) или (7.25), а для первой лавы - по
формуле (7.21)

при

; (7.24)

при

, (7.25)
где

- расход воздуха, который необходимо подавать во вторую лаву, м3/мин;

- допустимая концентрация метана в воздухе, поступающем во вторую лаву, %; принимается согласно ПБ;

,

- среднее фактическое (ожидаемое) выделение метана в 1, 2 лавах, считая от выработки с поступающей струей воздуха, м3/мин.
Значения коэффициента неравномерности метановыделения в формуле (7.25) принимаются по суммарному метановыделению в последовательно проветриваемых лавах.
Расчет расхода воздуха по выделению углекислого газа при последовательном проветривании производится для первой лавы по
формуле (7.21), а для второй - по
формуле (7.25), в которой

,

- ожидаемое среднее выделение углекислого газа в 1, 2 лавах, считая от выработки с поступающей струей воздуха, м3/мин.
Расход воздуха для очистных выработок при отработке мощных пластов щитовой системой разработки и комбинированной системой с гибким перекрытием (КГП) и выемкой нижнего слоя столбами по падению определяется по формуле

, (7.26)
где

- среднее фактическое (ожидаемое) метановыделение из обнаженной поверхности пласта, м3/мин; определяется согласно
подразделам 3.1,
3.2;

- коэффициент, учитывающий увеличение метанообильности очистной выработки в зависимости от применяемой технологии; определяется согласно
подразделу 3.1;

- коэффициент турбулентной диффузии вентиляционной струи в подщитовом пространстве; определяется согласно
п. 6.1.2;

- утечки воздуха через щитовое или гибкое перекрытие;

; (7.27)

- коэффициент, равный для щитовой системы разработки 0,04, а для комбинированной системы разработки с гибким перекрытием при выемке нижнего слоя столбами по падению - 0,08;

- площадь щитового или гибкого перекрытия по всей длине действующего забоя, м2; определяется как произведение мощности слоя, отрабатываемого одним забоем (при КГП), на ширину отрабатываемого столба;
Расход воздуха, определенный по
формуле (7.26), должен удовлетворять условиям:
для щитовой системы разработки

; (7.28)
для КГП с выемкой столбами по падению

, (7.29)
где

- проветриваемый объем подщитового пространства, м3; определяется в соответствии с
п. 7.3.3;

- коэффициент, учитывающий влияние мощности слоя на изменение сопротивления призабойного пространства; зависит от мощности слоя

и равен:
| 3,0 | 3,5 | 4,0 | 4,5 | 5,0 | 5,5 | 6,0 | 6,5 | 7,0 |
| 80,0 | 77,0 | 74,0 | 71,0 | 68,7 | 66,2 | 63,8 | 61,4 | 59,2 |
7.3.3. Расчет по газам, образующимся при взрывных работах
Для очистных забоев типа лав

, (7.30)
где T - время проветривания выработки, мин; принимается согласно ПБ;

- масса одновременно взрываемых (ВВ) по углю, кг;

- проветриваемый объем очистной выработки, м3;

; (7.31)

- максимальная ширина призабойного пространства, м; принимается согласно паспорту крепления и управления кровлей, а для лавообразных выработок с большим шагом обрушения (закладки) - равной ширине трех рабочих лент (дорожек).
Для камерообразных очистных выработок

. (7.32)
Проветриваемый объем очистной выработки при щитовой системе разработки с четырьмя секциями в щите длиной 6 м каждая и ширине щитового перекрытия 2 - 10 м принимается в соответствии с табл. 7.8.
Таблица 7.8
Значения

для щитовой системы разработки
с четырьмя секциями в щите
Ширина щита, м | Проветриваемый объем (м3) при угле падения пласта, градусы |
40 | 45 | 50 | 55 | 60 | 65 | 70 | 75 - 90 |
2,0 | 116 | 98 | 80 | 75 | 72 | 68 | 65 | 60 |
2,5 | 123 | 111 | 94 | 84 | 80 | 77 | 73 | 70 |
3,0 | 135 | 127 | 103 | 95 | 90 | 86 | 83 | 79 |
3,5 | 150 | 141 | 115 | 105 | 99 | 96 | 92 | 83 |
4,0 | 162 | 153 | 124 | 114 | 103 | 103 | 99 | 95 |
4,5 | 173 | 163 | 132 | 121 | 115 | 111 | 106 | 101 |
5,0 | 185 | 175 | 142 | 130 | 123 | 119 | 113 | 110 |
5,5 | 196 | 185 | 150 | 138 | 131 | 125 | 120 | 115 |
6,0 | 202 | 190 | 157 | 144 | 136 | 131 | 125 | 120 |
6,5 | 210 | 195 | 162 | 148 | 140 | 135 | 129 | 124 |
7,0 | 220 | 208 | 169 | 155 | 147 | 141 | 135 | 128 |
7,5 | 228 | 216 | 175 | 160 | 152 | 146 | 140 | 134 |
8,0 | 233 | 220 | 179 | 163 | 155 | 149 | 142 | 137 |
8,5 | 236 | 222 | 180 | 166 | 157 | 151 | 144 | 138 |
9,0 | 238 | 224 | 181 | 167 | 158 | 152 | 146 | 139 |
9,5 | 240 | 226 | 183 | 169 | 160 | 153 | 148 | 140 |
10,0 | 242 | 228 | 185 | 171 | 162 | 155 | 150 | 146 |
Примечание. Для сдвоенных щитов проветриваемый объем подщитового пространства равен сумме объемов двух одинарных.
Для других условий проветриваемый объем подщитового пространства

определяется по формуле

, (7.33)
где

- высота подщитового пространства, м; зависит от угла падения пласта и равна:
 , град | 45 | 50 | 55 | 60 | 65 | 70 | 75 | 80 | 85 |
 , м | 3,1 | 2,9 | 2,7 | 2,6 | 2,4 | 2,3 | 2,2 | 2,1 | 2,0 |

- число секций щитового перекрытия;

- длина секции по простиранию, м;

- коэффициент, характеризующий отношение вынимаемой мощности пласта к средней обнаженной ширине щита; зависит от вынимаемой мощности пласта

и равен:
 , м | 3,0 | 4,0 | 5,0 | 6,0 | 7,0 | 8,0 | 9,0 | 10,0 | 11,0 |
| 1,14 | 1,19 | 1,25 | 1,31 | 1,39 | 1,47 | 1,56 | 1,67 | 1,87 |
Проветриваемый объем очистной выработки при комбинированной системе разработки с гибким перекрытием для лав монтажного и нижнего слоев при отработке подэтажами по простиранию определяется по формуле

, (7.34)
где

- высота рабочего слоя под перекрытием, м;

- высота подэтажа нижнего слоя под перекрытием, м;

- скорость подвигания рабочего слоя под перекрытием, м/сут.
Проветриваемый объем для очистных выработок нижнего слоя при отработке столбами по падению

, (7.35)
где

- площадь поперечного сечения наклонно-поперечной канавы, м2;

- длина наклонно-поперечной канавы, м;

- число наклонно-поперечных канав;

- площадь поперечного сечения продольного прохода под гибким перекрытием, м2;

- длина продольного прохода, м.
7.3.4. Расчет расхода воздуха по числу людей

, (7.36)
где

- наибольшее число людей, одновременно работающих в очистной выработке.
При последовательном проветривании лав

. (7.37)
7.3.5. Расчет расхода воздуха из условия оптимальной скорости по пылевому фактору производится при отработке каменных углей с присечкой боковых пород, а также антрацитовых пластов и температуре воздуха 16° и выше

, (7.38)
где

- оптимальная скорость воздуха в призабойном пространстве лавы, м/с; принимается 1,6 м/с.
7.3.6. Проверка расхода воздуха по скорости производится по следующим формулам:
по минимальной скорости воздуха в очистной выработке

, (7.39)
где

- максимальная площадь поперечного сечения призабойного пространства очистной выработки в свету, м2; при механизированных крепях принимается согласно
табл. 7.5, а при индивидуальной крепи рассчитывается по формуле

; (7.40)

- максимальная ширина призабойного пространства, м; принимается согласно паспорту крепления и управления кровлей;

- минимально допустимая скорость воздуха в очистной выработке, м/с; принимается согласно ПБ;
по максимальной скорости воздуха в очистной выработке

, (7.41)
где

- максимально допустимая скорость воздуха в очистной выработке, м/с; принимается согласно ПБ;
по минимальной скорости воздуха в промежуточных штреках с подсвежающими струями при последовательном проветривании лав

, (7.42)
где

- площадь поперечных сечений промежуточных штреков, по которым подаются подсвежающие струи, м2;

- минимальная скорость воздуха в промежуточных штреках, м/с; принимается согласно ПБ.
7.3.7. Проверка по подаче ВМП при последовательном проветривании тупиковых и очистных выработок производится по соблюдению условия

, (7.43)
где

- расход воздуха, который необходимо подавать к всасу ВМП, м3/мин; определяется согласно
п. 7.8.6.
7.3.8. Расход воздуха для проветривания резервных лав определяется по тем же формулам, что и для действующих.
7.4. Расход воздуха для проветривания выемочных участков
Под выемочным участком понимается обособленно проветриваемый очистной забой и прилегающие к нему подготовительные выработки (при последовательном проветривании - все проветриваемые последовательно очистные забои с прилегающими к ним подготовительными выработками).
Примеры схем проветривания выемочных участков показаны на
рис. 5.1,
П.1.2,
П.1.3. Две спаренные лавы с общей исходящей струей воздуха (
рис. 5.1 з, схема 3-В-З-г-пт) представляют собой один выемочный участок. Две спаренные лавы в случае отвода исходящих струй из каждой лавы раздельно (
рис. П.1.2, схема III) следует рассматривать как два выемочных участка. При щитовой системе разработки выемочный участок включает действующий щитовой забой с прилегающими к нему выработками и выработки, проводимые для монтажа нового щита (
рис. П.1.2, схема VI).
Расчет для выемочного участка выполняется по расходу воздуха, необходимого для проветривания очистной выработки, или газовыделению на участке и проверяется по числу людей.
При применении на выемочных участках пневмозакладочных комплексов, выемочных машин фронтального действия (ВМФ), а также управления метановыделением средствами вентиляции (отвод МВС по неподдерживаемым выработкам, трубопроводу с помощью газоотсасывающих установок) расход воздуха рассчитывается с учетом их влияния.
При разработке тонких крутых пластов механизированными лавами по простиранию и восходящем проветривании расчет производится с учетом влияния падающего угля.
0. По постоянно выделяющимся газам
При схемах проветривания с последовательным разбавлением метана по источникам выделения (схемы типа 1-В,
рис. П.1.3) при выемке пласта на полную мощность, а также при выемке мощных пластов слоями с опережением верхнего (нижнего) слоя при условии

(7.44)
расход воздуха определяется по формуле

, (7.45)
где

- коэффициент, учитывающий утечки воздуха через выработанное пространство на вентиляционный штрек; определяется как частное от деления

на

. Значение

определяется по
формуле (7.51) или номограмме рис. 7.1.
Рис. 7.1. Номограмма для определения

для условий Донецкого и Львовско-Волынского бассейнов
для схем проветривания типа 3-В, 2-В, 2-М и 1-В
Если для схем типа 1-В
условие (7.44) не выполняется, а также для других схем проветривания (схемы типа 1-М, 2-М, 2-В, 3-В,
рис. П.1.3), то расход воздуха определяется по формуле

. (7.46)
Для шахт Подмосковного и Днепровского буроугольных бассейнов

принимается равным: для механизированных лав - 2,3, для лав с буровзрывным способом выемки угля - 2,6, а в формулу (7.46) вместо

подставляется концентрация углекислого газа в атмосферном воздухе на поверхности шахты. При этом расход воздуха, необходимый для проветривания выемочного участка, должен составлять не менее 200 м3/мин, если выемочные штреки проведены в угольном массиве, и не менее 250 м3/мин, если выемочные штреки проведены вприсечку к выработанному пространству или участок отрабатывает целики угля у штреков главных направлений.
Расход воздуха на подсвежение при схемах проветривания выемочных участков типа 2-М, 2-В и 3-В определяется по формуле

, (7.47)
где

- расход воздуха, необходимый для подсвежения исходящей из выемочного участка вентиляционной струи, м3/мин.
Расход воздуха, подсчитанный по
формуле (7.46), для схем проветривания типа 1-М и 1-В должен удовлетворять условию (7.48), а по формуле (7.47) - условию (7.49)

; (7.48)

, (7.49)
где S - площадь поперечного сечения выработки с подсвежающей струей в свету, м2.
При отработке тонких крутых пластов щитовыми агрегатами дополнительно производится проверка по максимальной скорости в углеспускной и вентиляционной печах

, (7.50)
где

- площадь поперечного сечения углеспускной (вентиляционной) печи в свету, м2; принимается согласно проекту;

- максимально допустимая скорость воздуха в углеспускной печи, м/с; принимается согласно ПБ.
Значения

для условий шахт Донецкого и Львовско-Волынского бассейнов определяются:
Рис. 7.2. Номограмма для определения

для схем проветривания типа 1-М

; (7.51)

, (7.52)
где

- средневзвешенный коэффициент крепости пород кровли на расстоянии от кровли вынимаемого пласта, равном 8 его мощностям;

; (7.53)

,

,

- крепость пород соответственно песчаников и известняков, песчанистых сланцев, глинистых сланцев по шкале проф. Протодьяконова; берется из геологических отчетов;

,

,

- суммарная мощность соответственно песчаников и известняков, песчанистых сланцев, глинистых сланцев, м.
Примечание. Номограммы, приведенные на
рис. 7.1 -
7.5, построены для весьма неустойчивой кровли при

; для неустойчивой кровли при

; для кровли малой устойчивости при

; для кровли средней устойчивости при

и устойчивой кровли при

.
Таблица 7.9
Значения коэффициента

при отработке тонких крутых пластов
Тип, подтип, класс, вид схемы проветривания выемочного участка | Значение  в зависимости от способа управления и пород непосредственной кровли |
Полное обрушение | Частичная закладка | Плавное опускание |
Глинистые сланцы | Песчанистые сланцы | Песчаник | Глинистые сланцы | Песчанистые сланцы | Песчаник | Глинистые сланцы | Известняки |
1 | 2 | 3 | 4 | 5 | 6 | 7 | 8 | 9 |
1-В-Н-вт 1-В-З-вт | 1,40 | 1,55 | 1,70 | 1,20 | 1,25 | 1,40 | 1,25 | 1,50 |
1-В-Н-пт 1-В-З-пт | 1,30 | 1,40 | 1,55 | 1,20 | 1,25 | 1,35 | 1,20 | 1,50 |
1-М-Н-вт 1-М-З-вт | 1,25 | 1,30 | 1,40 | 1,10 | 1,15 | 1,25 | 1,20 | 1,35 |
1-М-Н-пт 2-М-Н-пт | 1,30 | 1,35 | 1,45 | 1,20 | 1,25 | 1,30 | 1,20 | 1,50 |
2-В-Н-вт 2-В-З-вт | 1,55 | 1,70 | 1,80 | 1,20 | 1,25 | 1,40 | 1,25 | 1,50 |
3-В-Н-вт 3-В-З-вт | | | | | | | | |
2-М-Н-пт 2-М-З-пт | 1,50 | 1,55 | 1,65 | 1,20 | 1,25 | 1,35 | 1,25 | 1,50 |
2-М-Н-вт 2-М-З-вт | 1,50 | 1,65 | 1,80 | 1,20 | 1,25 | 1,35 | 1,25 | 1,50 |
3-В-Н-пт 3-В-З-пт | 1,50 | 1,60 | 1,70 | 1,20 | 1,25 | 1,35 | 1,25 | 1,50 |
2-В-Н-пт 2-В-З-пт | | | | | | | | |
Примечание. При отработке тонких крутых пластов щитовыми агрегатами типа АНЩ, АЩМ

принимается равным 1,75 при f <= 4 и 2,0 - при f > 4.
При отработке пологих и наклонных пластов и управлении кровлей частичной закладкой

рассчитывается из выражения

, а

определяется по номограммам (
рис. 7.1,
7.2) или
формулам (7.51) и
(7.52) как для управления кровлей полным обрушением.
Для условий шахт Кузнецкого, Карагандинского, Печорского бассейнов и других месторождений для схем типа 1-В, 2-В, 2-М и 3-В
(рис. П.1.3) 
определяется по формуле (7.54), а для схем 1-М
(рис. П.1.3) - по номограмме
(рис. 7.2) или
формуле (7.52)

, (7.54)
где

- коэффициент утечек воздуха через выработанное пространство для указанных выше схем проветривания; определяется по номограмме (рис. 7.3) или формуле

; (7.55)

- коэффициент, учитывающий утечки воздуха через выработанное пространство для схем типа 2-В, 3-В и 2-М
(рис. П.1.3) в зависимости от способа погашения штрека, принимается по
табл. 7.10.
Рис. 7.3. Номограмма для определения

для условий восточных бассейнов и месторождений
Таблица 7.10
Значения коэффициента

в зависимости от способа погашения штрека
Способ погашения штрека | Примыкание погашаемого штрека |
к массиву угля | к выработанному пространству |
Изолируется связывающим материалом | 0,03 | 0,03 |
Крепь извлекается полностью | 0,1 | 0,05 |
Крепь извлекается более 50% | | |
при креплении: | | |
деревянными рамами | 0,13 | 0,08 |
металлическими рамами | 0,17 | 0,11 |
анкерной крепью | 0,21 | 0,14 |
Крепь не извлекается при креплении: | | |
деревянными рамами | 0,25 | 0,18 |
металлическими рамами | 0,35 | 0,22 |
анкерной крепью | 0,45 | 0,27 |
Огражден органной крепью, кострами или специальными стенками, но за время отработки столба сечение штрека изменяется по отношению к первоначальному на: | | |
80% | 0,55 | 0,55 |
60% | 0,65 | 0,65 |
40% | 0,75 | 0,75 |
20% | 1,0 | 1,0 |
Для слоевых систем разработки расчет расхода воздуха определяется по формуле (7.56), а для щитовых и комбинированных с гибким перекрытием - по
формуле (7.45). Значения

для рассматриваемых систем разработки определяются по
табл. 7.11.

, (7.56)
где

- расход воздуха, необходимый для обособленного проветривания проводимых и поддерживаемых на участке выработок, м3/мин; рассчитывается согласно указаниям
подразделов 7.2 и
7.5;

- утечки воздуха через перемычки, изолирующие выемочный участок от старых выработанных пространств, м3/мин; определяются по нормам, приведенным в
подразделе 7.7.
Таблица 7.11
Значения коэффициента

при отработке пластов слоевыми,
щитовыми и комбинированной системами разработки
для условий восточных бассейнов страны
Система разработки | Порядок отработки выемочного поля, способ управления кровлей | |
Щитовая (жесткие и эластичные щиты) | При мощности пласта, м: | |
до 3,5 | 1,7 |
более 3,5 | 2,0 |
Парные штреки | Прямой, полное обрушение | 1,4 |
Обратный, полное обрушение | 1,2 |
Слоевые | Полное обрушение | 1,6 |
Наклонно-поперечные слои | Полная закладка | 1,3 |
Наклонные слои | Полная закладка | 1,2 |
Комбинированная с гибким перекрытием | Обратный, полное обрушение | |
монтажный слой | 1,6 |
| Нижний слой при отработке по простиранию: | |
с двумя лавами в слое | 3,8 |
с тремя лавами | 4,0 |
Нижний слой при отработке по падению: | |
с двумя лавами в слое | 4,5 |
с тремя лавами | 4,8 |
7.4.2. Расход воздуха, проверяемый по числу людей, должен удовлетворять условию

, (7.57)
где

- максимальное число людей, одновременно работающих на выемочном участке.
Примечание. При полной закладке выработанного пространства с применением закладочного комплекса расход воздуха для проветривания выемочного участка принимается

.
7.4.3. Расчет расхода воздуха при изолированном отводе МВС из выработанного пространства по трубопроводу с помощью газоотсасывающей установки осуществляется по формуле

, (7.58)
где

- расход воздуха в воздухоподающей выработке, м3/мин;

- расход воздуха в вентиляционной выработке, м3/мин;

; (7.59)

- расход воздуха на всасе газоотводящего трубопровода, м3/мин;

, (7.60)
где

- среднее ожидаемое (фактическое) метановыделение на выемочном участке, м3/мин; значение

для действующих шахт определяется в соответствии с
п. 3.2, а при расчете ожидаемой метанообильности по природной метаноносности пласта - по
формуле (3.90) подраздела 3.2;

- коэффициент, учитывающий долю метановыделения из выработанного пространства в газовом балансе выемочного участка; определяется для действующих шахт по результатам газовых съемок, проводимых в соответствии с Руководством по производству депрессионных и газовых съемок в угольных шахтах, а при расчете метанообильности по метаноносности пласта

; (7.61)

- относительное метановыделение из выработанного пространства на выемочном участке, м3/т; определяется по формулам
раздела 6, в которых коэффициенты эффективности дегазации принимаются равными нулю;

- относительная метанообильность выемочного участка, м3/т; определяется в соответствии с указаниями
раздела 3;

- коэффициент, учитывающий эффективность изолированного отвода метана; принимается равным 0,7; 0,3 - 0,4; 0,6 - 0,8 и

соответственно для схем 1-М
(рис. П.2.1), 1-В
(рис. П.2.2), 1-М
(рис. П.2.3) и 3-В;

- допустимая концентрация метана в трубопроводе, %; принимается равной 3,5%;

- коэффициент, учитывающий эффективность дегазации сближенных пластов и выработанного пространства; принимается в соответствии с Руководством по дегазации угольных шахт.

, (7.62)
где

- минимально допустимый расход воздуха на участке при изолированном отводе метана, м3/мин.
Расход воздуха в вентиляционной выработке (

, м3/мин) на выходе из участка должен составлять

, (7.63)
где

- коэффициент подсоса воздуха в трубопровод; определяется по
формуле (7.94).
Если в результате расчетов окажется, что

, то необходимо в качестве

принять значение

; если

, принимают

. По принятому расходу воздуха корректируется согласно
разделу 6 соответствующее ему значение нагрузки.
Расход воздуха в выработке, в которую выпускается отсасываемая МВС, рассчитывается в соответствии с
Приложением 2.
7.4.4. Расход воздуха при отводе МВС из выработанного пространства по дренажным (поддерживаемым или неподдерживаемым) выработкам в условиях восточных бассейнов страны определяется по формуле

, (7.64)
где

- расход воздуха в вентиляционной выработке, м3/мин;

; (7.65)

- расход воздуха в дренажной выработке, м3/мин;

; (7.66)

- расход воздуха на подсвежение вентиляционной струи, м3/мин; для схем 1-М

, а для схем 3-В

; полученное значение

должно удовлетворять
условию (7.49);

- коэффициент, учитывающий долю метана, поступающего из призабойного пространства в выработанное;

; (7.67)

- концентрация метана в дренажной поддерживаемой (неподдерживаемой) выработке, %; принимается в поддерживаемой дренажной выработке согласно
п. 5.2.4, а в неподдерживаемой выработке определяется по формуле

; (7.68)

- коэффициент, учитывающий утечки воздуха через выработанное пространство из призабойного пространства очистной выработки; определяется при отводе метана по дренажным поддерживаемым выработкам по формуле (7.69) или номограмме
(рис. 7.4), при отводе метана по неподдерживаемым выработкам в выработанном пространстве действующей лавы - по формуле (7.70) или номограмме
(рис. 7.5), а при отводе метана через выработанное пространство смежной лавы - по формуле (7.71)

; (7.69)

; (7.70)

, (7.71)
где

- число открытых сбоек на дренажный штрек;

- расстояние между сбойками, м;

- протяженность неподдерживаемых выработок, по которым отводится МВС, м.
Рис. 7.4. Номограмма для определения значений

при отводе метана по дренажным поддерживаемым выработкам
в условиях восточных бассейнов и месторождений
Рис. 7.5. Номограмма для определения

при отводе метана по неподдерживаемым выработкам
в условиях восточных бассейнов и месторождений
Схемы проветривания с отводом МВС по дренажным выработкам исключают образование местных скоплений на сопряжении лавы с вентиляционной выработкой и поступление газа из выработанного пространства в очистную и вентиляционную выработки, если выполняются условия:
для схем с поддерживаемыми дренажными выработками

, (7.72)
где

- депрессия выработки по направлению газоотвода от сопряжения очистного забоя с вентиляционным штреком до выхода МВС из дренажной (неподдерживаемой) выработки, даПа;

- не должно превышать 50 м; принимается в соответствии с указаниями
п. 5.2.4;
для схем с отводом газа по неподдерживаемым выработкам

. (7.73)
7.4.5. Расход воздуха для выемочного участка с учетом влияния падающего угля определяется по формуле

, (7.74)

- коэффициент, учитывающий уменьшение расхода воздуха под действием падающего угля; определяется по
табл. 7.12 в зависимости от депрессии, создаваемой потоком падающего угля,

и депрессии выемочного участка

;

; (7.75)

- коэффициент, учитывающий влияние сопротивления потока движущегося угля на уменьшение расхода воздуха, определяется в зависимости от

;

- относительная скорость движения угля, м/с;

; (7.76)

- скорость движения угля в лаве, м/с; определяется в зависимости от угла падения пласта по
табл. 7.13;
V - скорость воздуха в призабойном пространстве, м/с;

; (7.77)

- объемная концентрация угля;

; (7.78)
j - производительность комбайна, т/мин; принимается по паспорту или по фактическим данным.
Таблица 7.12
Значения коэффициента, учитывающего влияние
падающего угля на уменьшение расхода воздуха
 , даПа | Значение  при  , даПа |
15 | 20 | 25 | 30 | 35 | 40 | 45 | 50 | 55 | 60 |
5 | 1,10 | 1,08 | 1,07 | 1,06 | 1,05 | 1,04 | 1,04 | 1,03 | 1,03 | 1,03 |
10 | 1,31 | 1,23 | 1,18 | 1,15 | 1,13 | 1,11 | 1,10 | 1,09 | 1,08 | 1,08 |
15 | 1,50 | 1,37 | 1,30 | 1,25 | 1,21 | 1,19 | 1,17 | 1,15 | 1,14 | 1,12 |
20 | 1,69 | 1,53 | 1,42 | 1,35 | 1,30 | 1,26 | 1,23 | 1,20 | 1,19 | 1,17 |
25 | 1,89 | 1,67 | 1,53 | 1,44 | 1,38 | 1,36 | 1,30 | 1,27 | 1,24 | 1,22 |
30 | 2,08 | 1,81 | 1,65 | 1,54 | 1,45 | 1,39 | 1,33 | 1,30 | 1,27 | 1,25 |
Таблица 7.13
Значения скорости движения угля в лаве
Угол падения пласта, градус | 45 | 50 | 55 | 60 | 65 | 70 |
Скорость движения угля, м/с | 3,4 | 4,1 | 4,8 | 5,6 | 6,4 | 7,2 |
Коэффициент

зависит от объемной концентрации угля и равен:
| 0,1 - 0,5 | 0,51 - 1,0 | 1,01 - 1,50 | 1,51 - 3,0 | 3,01 - 5,0 |
| 0,065 | 0,06 | 0,055 | 0,050 | 0,045 |
Минимальная ширина рабочего пространства

принимается согласно паспорту управления кровлей и крепления, но не более 10 м, а значение

для лав с индивидуальной крепью при удержании кровли на кострах принимается равным 0,9 и при обрушении на посадочную крепь - 0,8; для лав, оборудованных механизированными крепями, - 0,7.
Если при определении депрессии выемочного участка по результатам депрессионной съемки фактический расход воздуха

отличается от

, то

рассчитывается по формуле

. (7.79)
Для действующих шахт при невозможности определения

допускается приближенный расчет

по формуле

, (7.80)
где

- поправка, учитывающая уменьшение расхода воздуха под действием падающего угля, м3/мин;

. (7.81)
Значения

, учитывающего влияние сопротивления падающего угля на уменьшение расхода воздуха, принимается согласно табл. 7.14.
Таблица 7.14
Значения

в зависимости от

Депрессия, создаваемая потоком падающего угля, даПа | |
5 | 13000 |
10 | 35600 |
15 | 58000 |
20 | 82000 |
25 | 97000 |
30 | 120000 |
Если на выемочном участке имеется регулятор расхода воздуха, то результат расчета по
формуле (7.81) следует уменьшить вдвое. При депрессии

менее 5 даПа

следует принимать равным нулю.
7.4.6. Расчет расхода воздуха при выемке пологих и наклонных пластов выемочными машинами фронтального действия производится по
формуле (7.74), а значение

определяется по номограмме рис. 7.6.
Рис. 7.6. Номограмма для определения

при выемке пологих и наклонных пластов
выемочными машинами фронтального действия
7.5. Расход воздуха для проветривания
погашаемых и поддерживаемых выработок
7.5.1. Расход воздуха, необходимый для проветривания погашаемых выемочных участков, определяется по формуле

, (7.82)
где

- расход воздуха для проветривания погашаемых выемочных участков, м3/мин;

- расход воздуха для проветривания i-того погашаемого участка, м3/мин; определяется по фактическому (ожидаемому) газовыделению в период погашения и должен удовлетворять условию (7.83). При отсутствии данных о газовыделении

принимается равным

в период эксплуатации;

; (7.83)

- число одновременно погашаемых участков; при проектировании принимается согласно календарному плану.
Примечание. Расход воздуха для проветривания погашаемого участка в условиях Подмосковного и Днепровского буроугольных бассейнов принимается равным расходу в период эксплуатации.
7.5.2. Расход воздуха для поддерживаемых выработок рассчитывается по фактической их газообильности, нормам утечек воздуха через перемычки с дверями, по минимальной скорости воздуха по формуле (7.84); окончательно принимается максимальное значение

, (7.84)
где

- расход воздуха, подаваемого в поддерживаемую выработку, м3/мин;
| | ИС МЕГАНОРМ: примечание. Единицы измерения даны в соответствии с официальным текстом документа. | |
S - площадь поперечного сечения выработки в свету, м3;

- минимальная скорость воздуха в поддерживаемых выработках, м/с; принимается равной 0,7 - 1,3 м/с для главных транспортных поддерживаемых выработок, оборудованных ленточными конвейерами, для остальных выработок - согласно требованиям ПБ. Для поддерживаемых выработок вновь проектируемых горизонтов шахт III категории по газу и выше, кроме главных транспортных конвейерных выработок,

принимается равной 0,25 м/с.
Для поддерживаемых выработок длиной не более 30 м, в которых установлены перемычки с дверями, вместо расчета по минимальной скорости расход воздуха должен определяться по нормам утечек.
Примечание. К поддерживаемым выработкам относятся выработки, которые не используются для подачи свежего воздуха на выемочные участки, к забоям очистных и тупиковых выработок, в камеры и для отвода из них исходящей вентиляционной струи.
7.6. Расход воздуха для проветривания камер
7.6.1. Расход воздуха для проветривания склада ВМ определяется по формуле

, (7.85)
где

- суммарный объем выработок склада ВМ, м3.
7.6.2. Расход воздуха для проветривания зарядных камер:
а) если в зарядной камере размещаются батареи аккумуляторов и преобразовательная подстанция или они проветриваются последовательно

(7.86)
где

- емкость аккумулятора, А x ч;

- число аккумуляторов в батарее;

- число одновременно заряжаемых аккумуляторных батарей.
При этом должно соблюдаться условие

, (7.87)
где

- коэффициент, учитывающий тип применяемых батарей на электровозе; принимается по табл. 7.15.
Емкость аккумуляторов, их число в батарее для применяемых в настоящее время типов электровозов приведены в табл. 7.15.
Таблица 7.15
Значения емкости аккумуляторов и их число в батарее
Тип батареи | Число аккумуляторов в батарее | Емкость аккумулятора | |
66 ТЖН-280 | 66 | 280 | 0,6 |
66 ТНЖШ-300 | 66 | 300 | 0,6 |
166 ТНЖШ-550 | 161 | 550 | 2,6 |
96 ТЖМ-350 | 96 | 350 | 1,0 |
96 ТЖН-500 | 96 | 500 | 1,4 |
112 ТЖН-350 | 112 | 350 | 1,2 |
112 ТЖМ-500 | 112 | 500 | 1,7 |
112 ТНЖШ-500 | 112 | 500 | 1,7 |
90 ТНЖШ-550 | 90 | 550 | 1,5 |
102 ТНЖШ-550 | 102 | 550 | 1,7 |
88 ТМК-400 | 88 | 400 | 2,1 |
161 ТНЖШ-650 | 161 | 650 | 3,1 |
126 ТНЖ-550 | 126 | 550 | 2,1 |
б) если в зарядной камере размещаются только батареи аккумуляторов, то расчет

производится по
формуле (7.87).
7.6.3. Расход воздуха для проветривания камер для машин и электрооборудования определяется по формуле

, (7.88)
где

- мощность электроустановки в камере, кВт; учитываются одновременно работающие установки;

- коэффициент полезного действия (к.п.д.) электроустановки; для насосных и подъемных установок принимается равным к.п.д. двигателя, а для подземных вакуум-насосных станций - произведению к.п.д. двигателя и вакуум-насоса;

- коэффициент, учитывающий продолжительность работы электроустановки в течение суток; для установки с продолжительностью непрерывной работы 1 ч и более

; для периодически работающей установки с продолжительностью непрерывной работы менее 1 ч

рассчитывается по формуле

; (7.89)

- суммарная продолжительность работы установки в течение суток, ч;

- мощность трансформатора, установленного в камере, кВт;

- число одновременно работающих электроустановок;

- числа одновременно работающих трансформаторов;

- температура воздуха в выработке перед камерой в наиболее теплый месяц года, °C; для действующих шахт определяется как средняя по результатам трех измерений в течение месяца; при проектировании новых (реконструкции действующих) принимается равной минимально допустимой температуре воздуха на входе в камеру

согласно Санитарным
правилам по устройству и содержанию предприятий угольной промышленности.
Если температура воздуха на входе в камеру превышает санитарные нормы, то должны приниматься меры по охлаждению воздуха на входе в камеру.
При разработке проектов глубоких шахт

расход воздуха для проветривания камеры уточняется на основании тепловых расчетов в соответствии с Единой методикой прогнозирования температурных условий в угольных шахтах.
7.7. Утечки воздуха через вентиляционные сооружения
7.7.1. Величина утечек воздуха через вентиляционные сооружения, установленные в выработках за пределами выемочных участков, рассчитывается по формуле

, (7.90)
где

- утечки воздуха в пределах шахты через глухие вентиляционные перемычки, м3/мин;

- утечки воздуха через шлюзы, м3/мин;

- утечки воздуха через кроссинги, м3/мин; норма утечек воздуха через кроссинг определяется как сумма утечек через шлюзы (перемычки), умноженная на коэффициент 1,25;

- утечки воздуха через загрузочные устройства, м3/мин.
Нормы утечек воздуха через глухие перемычки приведены в табл. 7.16, через перемычки с дверями - в
табл. 7.17, а через загрузочные устройства - в
табл. 7.18.
Таблица 7.16
Нормы утечек воздуха через глухие перемычки
и их аэродинамические сопротивления при

Площадь перемычки, м2 | Норма утечек воздуха | Аэродинамическое сопротивление глухих перемычек,  |
м3/с | м3/мин |
2 | 0,17 ------ 0,26 | 10 --- 15 | 1730 ----- 740 |
4 | 0,23 ----- 0,35 | 14 --- 21 | 945 ----- 408 |
7 | 0,30 ----- 0,47 | 18 ---- 28 | 556 ----- 226 |
10 | 0,37 ------ 0,55 | 22 ---- 33 | 305 ---- 165 |
15 | 0,45 ----- 0,70 | 27 --- 42 | 247 ---- 102 |
Примечание. 1. В числителе даны утечки для перемычек, изготовленных из бетона, бетонита, шлакоблоков и др., а в знаменателе - из чураков.
2. В случае применения герметизирующих покрытий нормы утечек воздуха следует уменьшить в 1,5 раза, а сопротивление увеличить в 2,25 раза.
Таблица 7.17
Нормы утечек воздуха через перемычки с дверями
и их аэродинамические сопротивления при h = 50 даПа
Тип перемычек и дверей | Нормы утечек воздуха  при площади дверей, м2 | Аэродинамическое сопротивление перемычек  с дверями при площади дверей, м2 |
до 2 | 2 - 3 | 3 - 4 | 4 - 5 | 5 - 6 | 6 - 7 | 7 - 8 | до 2 | 2 - 3 | 3 - 4 | 4 - 5 | 5 - 6 | 6 - 7 | 7 - 8 |
1 | 2 | 3 | 4 | 5 | 6 | 7 | 8 | 9 | 10 | 11 | 12 | 13 | 14 | 15 |
1. Автоматические вентиляционные двери в бетонных, каменных, кирпичных и бетонитовых перемычках: | | | | | | | | | | | | | | |
- двухстворчатые | - | - | - | 2,5 ---- 150 | 3,2 ---- 192 | 4,6 ---- 276 | - | - | - | - | 8,0 | 4,9 | 2,4 | - |
- раздвижные | - | - | - | 1,5 ---- 90 | 1,9 ---- 114 | 2,0 ---- 120 | 2,2 ---- 132 | - | - | - | 22,2 | 13,8 | 12,5 | 10,3 |
- поднимающиеся вверх, типа ляды | - | 1,1 ---- 66 | 1,4 ---- 84 | 1,8 ---- 108 | 2,0 ---- 120 | - | - | - | 41,3 | 25,5 | 15,4 | 12,5 | - | - |
2. Неавтоматические вентиляционные двери в бетонных, каменных, кирпичных, бетонитовых и брусчатых перемычках: | | | | | | | | | | | | | | |
- двухстворчатые | - | 1,6 ---- 96 | 1,9 ---- 114 | 2,1 ---- 130 | 2,7 ---- 162 | 3,0 ---- 180 | 3,3 ---- 198 | - | 19,5 | 13,9 | 10,3 | 6,9 | 5,5 | 4,6 |
- одностворчатые | 1,1 ---- 66 | 1,4 ---- 84 | 1,6 ---- 96 | 1,9 ---- 114 | 2,0 ---- 120 | - | - | 41,3 | 25,5 | 19,5 | 13,5 | 12,5 | - | - |
3. Вентиляционные двери в чураковых перемычках: | | | | | | | | | | | | | | |
- двухстворчатые | - | 1,7 ---- 102 | 2,1 ---- 126 | 2,6 ---- 156 | 2,8 ---- 168 | 3,1 ---- 186 | - | - | 17,3 | 11,3 | 7,4 | 6,4 | 5,2 | - |
- одностворчатые | 1,2 ---- 72 | 1,5 ---- 90 | 1,7 ---- 102 | 2,0 ---- 120 | - | - | - | 34,7 | 22,2 | 17,3 | 12,5 | - | - | - |
- дверь для прохода людей и окно для конвейера | 4,6 ---- 276 | 6,6 ---- 396 | - | - | - | - | - | 2,4 | 1,1 | - | - | - | - | - |
4. Ляды в шурфах | 3,0 ---- 180 | 3,6 ---- 218 | - | - | - | - | - | 5,5 | 3,8 | - | - | - | - | - |
5. Ляды в скатах и печах | 4,6 ---- 276 | 6,5 ---- 390 | - | - | - | - | - | 2,4 | 1,2 | - | - | - | - | - |
Примечание. В случае применения герметизирующих покрытий нормы утечек воздуха следует уменьшить в 1,5 раза, а сопротивление увеличить в 2,25 раза.
Таблица 7.18
Нормы утечек воздуха через загрузочные устройства
и их аэродинамические сопротивления при

Тип сооружения | Норма утечек воздуха | Аэродинамическое сопротивление загрузочных устройств,  |
м3/с | м3/мин |
Загрузочные устройства в околоствольном дворе: | | | |
- без бункера (течка) или бункер без слоя угля | 6,0 | 360 | 1,4 |
- с бункером | 2,5 | 150 | 8,0 |
Участковый бункер | 2,0 | 120 | 12,5 |
Гезенк-лаз | 0,75 | 45 | 88,9 |
Перекрытый (погашенный) гезенк | 0,15 | 9 | 2222,2 |
Примечание. В нормы утечек воздуха через загрузочные устройства в околоствольном дворе включены утечки через ходок к дозатору.
Указанные в
табл. 7.16 -
7.18 утечки воздуха соответствуют перепаду давления 50 даПа. При других перепадах давления нормы утечек пересчитываются по формуле

, (7.91)
где

- норма утечек через сооружение при фактическом перепаде давления, м3/мин;

- норма утечек через сооружение при перепаде давления 50 даПа, м3/мин;

- фактический перепад давления, даПа; определяется на основании замеров или по данным расчета депрессии шахты.
Норма утечек воздуха через шлюз рассчитывается по формуле

, (7.92)
где

- коэффициент, зависящий от числа перемычек в шлюзе; принимается равным 0,76 при двух перемычках, 0,66 - при трех перемычках и 0,57 - при четырех;

- норма утечек воздуха через одну перемычку при общем перепаде давления на шлюзе, м3/мин.
Аэродинамическое сопротивление шлюза больше аэродинамического сопротивления перемычки с дверями при двух дверях в шлюзе в 1,7 раза, при трех дверях - в 2,3 раза и при четырех дверях - в 3,1 раза.
Если перепады давлений на вентиляционных сооружениях неизвестны, то нормы утечек для сооружений в магистральных выработках шахта увеличиваются в 1,33 раза, а в околоствольных дворах - в 1,45 раза по сравнению со значениями, приведенными в
табл. 7.16 -
7.18, а аэродинамические сопротивления уменьшаются соответственно в 1,7 и 2 раза.
При расчетах воздухораспределения на ЭВМ утечки воздуха через вентиляционные сооружения определяются в процессе счета в зависимости от сопротивления сооружений и разности давлений.
7.8. Выбор средств проветривания тупиковых выработок
7.8.1. При проходке и углубке стволов для вентиляционного трубопровода должны применяться жесткие трубы. На участке от проходческого полка до забоя допускается применение гибких труб.
Основным типом вентиляционных труб, применяемых при проходках стволов, являются стальные диаметром 0,5 - 1,2 м и длиной звена от 3 до 4,2 м.
Выбирается диаметр трубопровода с учетом глубины и площади поперечного сечения ствола, расхода воздуха и расположения проходческого оборудования.
При глубине стволов до 800 м для уплотнения стыков допускается применение промасленного картона или пенькового каната. Если глубина стволов больше 800 м и при скоростных темпах проходки, независимо от глубины ствола для уплотнения стыков должны применяться резиновые прокладки.
При проходке стволов-скважин бурением следует применять для проветривания бурильные трубы. Они имеют внутренний диаметр 0,15 м, а длину 6 и 12 м. Резьбовое соединение обеспечивает максимальное уплотнение трубопровода, благодаря чему утечек воздуха почти нет.
7.8.2. При проведении горизонтальных и наклонных выработок для вентиляционных трубопроводов в зависимости от способа проветривания могут применяться как жесткие, так и гибкие вентиляционные трубы.
При нагнетательном способе проветривания, как правило, применяются гибкие вентиляционные трубы, а при всасывающем - жесткие.
Диаметр трубопровода выбирается в зависимости от его длины и расхода воздуха на выходе из трубопровода

равным, если воздух подается в призабойное пространство по одному трубопроводу, расчетному расходу воздуха для проветривания призабойного пространства, то есть

.
Ориентировочно диаметр гибких труб типов 1А и 1Б можно принимать согласно табл. 7.19.
Таблица 7.19
Значения коэффициента утечек воздуха
для гибких вентиляционных трубопроводов
из труб типа 1А и 1Б при длине звена 20 м
Расход воздуха в конце трубопровода, м3/с | Коэффициент утечек воздуха при длине трубопровода, м |
50 | 100 | 200 | 300 | 400 | 500 | 600 | 700 | 800 | 900 | 1000 | 1200 | 1400 | 1600 | 2000 |
1 | 2 | 3 | 4 | 5 | 6 | 7 | 8 | 9 | 10 | 11 | 12 | 13 | 14 | 15 | 16 |
Для труб диаметром 0,6 м |
0,5 | 1,01 | 1,02 | 1,07 | 1,14 | 1,22 | 1,31 | 1,43 | 1,56 | 1,72 | 1,90 | 2,10 | 2,60 | 3,23 | 4,06 | 6,47 |
1,0 | 1,01 | 1,03 | 1,08 | 1,15 | 1,24 | 1,36 | 1,50 | 1,67 | 1,87 | 2,11 | 2,40 | 3,12 | 4,14 | 5,57 | |
1,5 | 1,01 | 1,03 | 1,08 | 1,17 | 1,27 | 1,41 | 1,58 | 1,79 | 2,04 | 2,35 | 2,73 | 3,76 | 5,32 | | |
2,0 | 1,01 | 1,03 | 1,09 | 1,18 | 1,30 | 1,46 | 1,66 | 1,91 | 2,23 | 2,62 | 3,12 | 4,54 | | | |
2,5 | 1,01 | 1,03 | 1,10 | 1,20 | 1,33 | 1,51 | 1,74 | 2,04 | 2,43 | 2,93 | 3,57 | | | | |
3,0 | 1,01 | 1,03 | 1,10 | 1,21 | 1,36 | 1,57 | 1,83 | 2,19 | 2,65 | | | | | | |
3,5 | 1,01 | 1,03 | 1,11 | 1,23 | 1,39 | 1,62 | 1,93 | 2,34 | | | | | | | |
4,0 | 1,01 | 1,03 | 1,12 | 1,24 | 1,43 | 1,68 | 2,03 | | | | | | | | |
4,5 | 1,01 | 1,04 | 1,12 | 1,26 | 1,46 | 1,74 | | | | | | | | | |
5,0 | 1,01 | 1,04 | 1,13 | 1,28 | 1,49 | | | | | | | | | | |
5,5 | 1,01 | 1,04 | 1,14 | 1,29 | 1,53 | | | | | | | | | | |
6,0 | 1,01 | 1,04 | 1,14 | 1,31 | | | | | | | | | | | |
6,5 | 1,01 | 1,04 | 1,15 | 1,33 | | | | | | | | | | | |
7,0 | 1,01 | 1,04 | 1,16 | | | | | | | | | | | | |
7,5 | 1,01 | 1,05 | 1,16 | | | | | | | | | | | | |
8,0 | 1,01 | 1,05 | 1,17 | | | | | | | | | | | | |
Для труб диаметром 0,8 м |
0,5 | 1,01 | 1,02 | 1,04 | 1,08 | 1,13 | 1,18 | 1,24 | 1,31 | 1,39 | 1,47 | 1,57 | 1,79 | 2,04 | 2,35 | 3,13 |
1,0 | 1,01 | 1,02 | 1,04 | 1,08 | 1,13 | 1,19 | 1,26 | 1,34 | 1,43 | 1,52 | 1,63 | 1,89 | 2,21 | 2,60 | 3,63 |
1,5 | 1,01 | 1,02 | 1,05 | 1,09 | 1,14 | 1,21 | 1,28 | 1,37 | 1,46 | 1,58 | 1,70 | 2,01 | 2,39 | 2,87 | 4,23 |
2,0 | 1,01 | 1,02 | 1,05 | 1,09 | 1,15 | 1,22 | 1,30 | 1,39 | 1,50 | 1,63 | 1,77 | 2,13 | 2,58 | 3,17 | 4,90 |
2,5 | 1,01 | 1,02 | 1,05 | 1,10 | 1,16 | 1,23 | 1,32 | 1,42 | 1,54 | 1,69 | 1,85 | 2,25 | 2,79 | 3,50 | |
3,0 | 1,01 | 1,02 | 1,05 | 1,10 | 1,17 | 1,24 | 1,34 | 1,45 | 1,59 | 1,74 | 1,93 | 2,39 | 3,02 | 3,88 | |
3,5 | 1,01 | 1,02 | 1,05 | 1,11 | 1,17 | 1,26 | 1,36 | 1,48 | 1,63 | 1,80 | 2,01 | 2,53 | 3,26 | 4,29 | |
4,0 | 1,01 | 1,02 | 1,06 | 1,11 | 1,18 | 1,27 | 1,38 | 1,52 | 1,67 | 1,87 | 2,09 | 2,68 | 3,53 | 4,75 | |
4,5 | 1,01 | 1,02 | 1,06 | 1,11 | 1,19 | 1,29 | 1,40 | 1,55 | 1,72 | 1,93 | 2,18 | 2,85 | 3,82 | | |
5,0 | 1,01 | 1,02 | 1,06 | 1,12 | 1,20 | 1,30 | 1,43 | 1,58 | 1,77 | 2,00 | 2,27 | | | | |
5,5 | 1,01 | 1,02 | 1,06 | 1,12 | 1,21 | 1,31 | 1,45 | 1,61 | 1,82 | 2,06 | 2,37 | | | | |
6,0 | 1,01 | 1,02 | 1,06 | 1,13 | 1,22 | 1,33 | 1,47 | 1,65 | 1,86 | 2,13 | 2,47 | | | | |
6,5 | 1,01 | 1,02 | 1,07 | 1,13 | 1,22 | 1,34 | 1,49 | 1,68 | 1,92 | 2,21 | 2,57 | | | | |
7,0 | 1,01 | 1,02 | 1,07 | 1,14 | 1,23 | 1,36 | 1,52 | 1,72 | 1,97 | 2,28 | | | | | |
7,5 | 1,01 | 1,02 | 1,07 | 1,14 | 1,24 | 1,37 | 1,54 | 1,75 | 2,02 | 2,36 | | | | | |
8,0 | 1,01 | 1,02 | 1,07 | 1,15 | 1,25 | 1,39 | 1,56 | 1,79 | 2,08 | | | | | | |
8,5 | 1,01 | 1,02 | 1,07 | 1,15 | 1,26 | 1,40 | 1,59 | 1,83 | 2,13 | | | | | | |
9,0 | 1,01 | 1,02 | 1,07 | 1,16 | 1,27 | 1,42 | 1,61 | | | | | | | | |
9,5 | 1,01 | 1,02 | 1,08 | 1,16 | 1,28 | 1,43 | 1,64 | | | | | | | | |
10,0 | 1,01 | 1,02 | 1,08 | 1,16 | 1,29 | 1,45 | 1,66 | | | | | | | | |
Для труб диаметром 1,0 м |
0,5 | 1,00 | 1,01 | 1,03 | 1,06 | 1,09 | 1,12 | 1,16 | 1,21 | 1,26 | 1,32 | 1,38 | 1,51 | 1,67 | 1,84 | 2,27 |
1,0 | 1,00 | 1,01 | 1,03 | 1,06 | 1,09 | 1,13 | 1,17 | 1,22 | 1,27 | 1,33 | 1,40 | 1,55 | 1,72 | 1,92 | 2,42 |
1,5 | 1,00 | 1,01 | 1,03 | 1,06 | 1,09 | 1,13 | 1,18 | 1,23 | 1,29 | 1,35 | 1,42 | 1,59 | 1,78 | 2,00 | 2,58 |
2,0 | 1,00 | 1,01 | 1,03 | 1,06 | 1,10 | 1,14 | 1,19 | 1,24 | 1,30 | 1,37 | 1,45 | 1,62 | 1,84 | 2,09 | 2,75 |
2,5 | 1,00 | 1,01 | 1,03 | 1,06 | 1,10 | 1,14 | 1,19 | 1,25 | 1,32 | 1,39 | 1,47 | 1,66 | 1,90 | 2,18 | 2,93 |
3,0 | 1,00 | 1,01 | 1,03 | 1,06 | 1,10 | 1,15 | 1,20 | 1,26 | 1,33 | 1,41 | 1,50 | 1,71 | 1,96 | 2,27 | 3,13 |
3,5 | 1,00 | 1,01 | 1,03 | 1,07 | 1,11 | 1,15 | 1,21 | 1,27 | 1,35 | 1,43 | 1,53 | 1,75 | 2,03 | 2,37 | 3,34 |
4,0 | 1,00 | 1,01 | 1,04 | 1,07 | 1,11 | 1,16 | 1,22 | 1,29 | 1,36 | 1,45 | 1,55 | 1,79 | 2,09 | 2,48 | 3,56 |
4,5 | 1,00 | 1,01 | 1,04 | 1,07 | 1,11 | 1,16 | 1,23 | 1,30 | 1,38 | 1,47 | 1,58 | 1,84 | 2,16 | 2,58 | 3,80 |
5,0 | 1,00 | 1,01 | 1,04 | 1,07 | 1,12 | 1,17 | 1,23 | 1,31 | 1,39 | 1,49 | 1,61 | 1,88 | 2,24 | 2,69 | |
5,5 | 1,00 | 1,01 | 1,04 | 1,07 | 1,12 | 1,17 | 1,24 | 1,32 | 1,41 | 1,51 | 1,63 | 1,93 | 2,31 | 2,81 | |
6,0 | 1,00 | 1,01 | 1,04 | 1,08 | 1,12 | 1,18 | 1,25 | 1,33 | 1,43 | 1,54 | 1,66 | 1,98 | 2,39 | 2,93 | |
6,5 | 1,00 | 1,01 | 1,04 | 1,08 | 1,13 | 1,19 | 1,26 | 1,34 | 1,44 | 1,56 | 1,69 | 2,03 | 2,47 | | |
7,0 | 1,00 | 1,01 | 1,04 | 1,08 | 1,13 | 1,19 | 1,27 | 1,35 | 1,46 | 1,58 | 1,72 | 2,08 | 2,55 | | |
7,5 | 1,00 | 1,01 | 1,04 | 1,08 | 1,13 | 1,20 | 1,27 | 1,37 | 1,47 | 1,60 | 1,75 | 2,13 | | | |
8,0 | 1,00 | 1,01 | 1,04 | 1,08 | 1,14 | 1,20 | 1,28 | 1,38 | 1,49 | 1,63 | 1,78 | 2,18 | | | |
8,5 | 1,00 | 1,01 | 1,04 | 1,08 | 1,14 | 1,21 | 1,29 | 1,39 | 1,51 | 1,65 | 1,81 | 2,23 | | | |
9,0 | 1,00 | 1,01 | 1,04 | 1,09 | 1,14 | 1,21 | 1,30 | 1,40 | 1,53 | 1,67 | 1,84 | 2,29 | | | |
9,5 | 1,00 | 1,01 | 1,04 | 1,09 | 1,15 | 1,22 | 1,31 | 1,41 | 1,54 | 1,70 | 1,88 | 2,35 | | | |
10,0 | 1,00 | 1,01 | 1,04 | 1,09 | 1,15 | 1,22 | 1,31 | 1,43 | 1,56 | 1,72 | 1,91 | | | | |
Для уменьшения коэффициента утечек воздуха и аэродинамического сопротивления гибких трубопроводов следует применять комбинированный вентиляционный трубопровод из гибких труб типов 1А и 1Б, введенного внутрь их полиэтиленового рукава и конечного участка трубопровода без полиэтиленового рукава. Комбинированный трубопровод рекомендуется применять при диаметре труб 0,6 м и более и длине трубопровода более 400 м. Длина конечного участка без полиэтиленового рукава составляет 150 - 200 м. Комбинированный трубопровод допускается применять только со специальным пускорегулирующим устройством.
7.8.3. Коэффициент утечек воздуха для гибких вентиляционных трубопроводов из труб типа 1А и 1Б диаметром 0,6 - 1,0 м принимается согласно
табл. 7.19 в зависимости от длины трубопровода и расхода воздуха в конце его, а для трубопроводов диаметром 0,5 м и менее определяется по формуле

, (7.93)
где

- диаметр трубопровода, м;

- длина трубопровода, м.
Для новых типов труб, а также при длине звена более 20 м, значения коэффициента утечек воздуха принимаются по рекомендациям МакНИИ и ВостНИИ.
Коэффициент утечек воздуха для жестких вентиляционных труб определяется по формуле

, (7.94)
где

- коэффициент удельной стыковой воздухопроницаемости трубопровода диаметром 1 м, принимается по табл. 7.20;

- длина звена водопровода, м;

- аэродинамическое сопротивление жесткого трубопровода без утечек воздуха,

; определяется по
формуле (7.100).
Таблица 7.20
Значения коэффициента удельной стыковой воздухопроницаемости
для жестких трубопроводов
Способ уплотнения стыков | |
1 | 2 |
Уплотнение стыков резиновыми прокладками с обмазкой синтетической мастикой | 0,0002 |
Уплотнение стыков при помощи прокладок из пенькового каната и промасленного картона | 0,0003 |
Уплотнение стыков резиновыми прокладками с дополнительным уплотнением пеньковым жгутом, пропитанным кабельной мастикой | 0,0004 |
Уплотнение при помощи резиновых прокладок | 0,0006 |
При использовании комбинированного гибкого трубопровода коэффициент утечек воздуха определяется по формуле

, (7.95)
где

- коэффициент утечек воздуха для конечного участка трубопровода без полиэтиленового рукава; определяется по
табл. 7.19;

- коэффициент утечек воздуха для участка трубопровода с полиэтиленовым рукавом; определяется по табл. 7.21. При определении значения

по табл. 7.21 значение

следует определять по формуле

. (7.96)
Таблица 7.21
Значения коэффициентов утечек воздуха
для трубопроводов с полиэтиленовым рукавом
Длина трубопровода, м | Диаметр трубопровода, м | Значение коэффициента утечек воздуха при  (м3/мин) |
до 150 | 151 - 300 | 301 - 450 | 451 - 600 |
до 500 | 0,6 - 1,0 | 1,01 - 1,01 | 1,02 - 1,01 | 1,04 - 1,01 | 1,06 - 1,01 |
501 - 600 | 0,6 - 1,0 | 1,02 - 1,01 | 1,04 - 1,01 | 1,06 - 1,01 | 1,08 - 1,01 |
601 - 800 | 0,6 - 1,0 | 1,04 - 1,01 | 1,07 - 1,01 | 1,11 - 1,01 | 1,15 - 1,02 |
801 - 1000 | 0,6 - 1,0 | 1,04 - 1,01 | 1,10 - 1,02 | 1,15 - 1,02 | 1,19 - 1,03 |
1001 - 1500 | 0,6 | 1,11 | 1,23 | 1,25 | - |
| 0,8 - 1,0 | 1,03 - 1,02 | 1,06 - 1,03 | 1,11 - 1,05 | 1,14 - 1,06 |
1501 - 2000 | 0,6 | 1,19 | 1,45 | 1,71 | - |
| 0,8 - 1,0 | 1,06 - 1,03 | 1,14 - 1,06 | 1,19 - 1,09 | 1,28 - 1,12 |
2001 - 2500 | 0,6 | 1,38 | 1,56 | - | - |
| 0,8 - 1,0 | 1,12 - 1,04 | 1,23 - 1,10 | 1,35 - 1,14 | 1,40 - 1,19 |
Примечание: Для трубопроводов длиной до 1000 м и диаметром 0,8 м значение

определяется интерполяцией.
7.8.4. Аэродинамическое сопротивление гибкого вентиляционного трубопровода без утечек воздуха определяется по формуле

, (7.97)
где

- удельное аэродинамическое сопротивление гибкого вентиляционного трубопровода без утечек воздуха,

; для труб типа 1А, 1Б при длине звена 20 м значение

принимается для диаметров 0,5, 0,6, 0,8 и 1,0 м соответственно равным 0,177, 0,071, 0,0161 и 0,0053

;

и

- число поворотов трубопроводов на 90 и 45° соответственно.
Аэродинамическое сопротивление гибкого комбинированного вентиляционного трубопровода определяется по формуле

, (7.98)
где

- длина конечного участка трубопровода без полиэтиленового рукава, м;

- диаметр конечного участка трубопровода без полиэтиленового рукава, м;

- аэродинамическое сопротивление 1 м трубопровода с полиэтиленовым рукавом; принимается равным 0,0194; 0,0046 и 0,00153

при диаметре труб 0,6; 0,8 и 1,0 м соответственно;

- длина участка трубопровода с полиэтиленовым рукавом, м;

- диаметр участка трубопровода с полиэтиленовым рукавом, м.
Аэродинамическое сопротивление жесткого трубопровода и фасонных частей без утечек воздуха определяется по формуле

, (7.99)
где 1,2 - коэффициент, учитывающий нелинейности трубопровода и несоответствие стыков, доли един.;

- аэродинамическое сопротивление жесткого трубопровода без утечек воздуха,

; определяется по
табл. 7.22;

; (7.100)

- коэффициент аэродинамического сопротивления жесткого трубопровода; принимается в зависимости от состояния труб по
табл. 7.23;

- аэродинамическое сопротивление фасонных частей,

; принимается по
табл. 7.24.
Таблица 7.22
Аэродинамическое сопротивление жесткого трубопровода
из новых стальных труб на прямолинейных участках
без учета утечек
Длина трубопровода, м | Аэродинамическое сопротивление  при диаметре трубопровода, м |
0,4 | 0,5 | 0,6 | 0,7 | 0,8 | 0,9 | 1,0 | 1,2 |
1 | 2 | 3 | 4 | 5 | 6 | 7 | 8 | 9 |
100 | 22,9 | 7,28 | 2,93 | 1,16 | 0,57 | 0,31 | 0,163 | 0,055 |
200 | 45,7 | 14,56 | 5,85 | 2,32 | 1,15 | 0,62 | 0,33 | 0,11 |
300 | 68,6 | 21,84 | 8,78 | 3,48 | 1,72 | 0,92 | 0,49 | 0,165 |
400 | 91,4 | 29,1 | 11,7 | 4,64 | 2,29 | 1,23 | 0,65 | 0,219 |
500 | 114,3 | 36,4 | 14,63 | 5,8 | 2,86 | 1,54 | 0,82 | 0,274 |
600 | - | 43,68 | 17,55 | 6,96 | 3,44 | 1,85 | 0,98 | 0,329 |
700 | - | 51,0 | 20,48 | 8,12 | 4,0 | 2,16 | 1,14 | 0,384 |
800 | - | 58,24 | 23,4 | 9,28 | 4,58 | 2,47 | 1,3 | 0,439 |
900 | - | 65,5 | 26,33 | 10,44 | 5,15 | 2,77 | 1,46 | 0,494 |
1000 | - | 72,8 | 29,26 | 11,6 | 5,72 | 3,08 | 1,63 | 0,549 |
1200 | - | 87,36 | 35,1 | 13,92 | 6,87 | 3,7 | 1,95 | 0,658 |
1400 | - | 101,9 | 41,0 | 16,24 | 8,02 | 4,32 | 2,28 | 0,768 |
1600 | - | 116,48 | 46,8 | 18,56 | 9,16 | 4,93 | 2,6 | 0,878 |
1800 | - | 131,0 | 52,66 | 20,88 | 10,3 | 5,55 | 2,93 | 0,987 |
2000 | - | 145,6 | 58,5 | 23,2 | 11,45 | 6,16 | 3,25 | 1,097 |
Примечание. Для труб, бывших в употреблении, табличные значения аэродинамического сопротивления умножаются на коэффициент 1,25.
Таблица 7.23
Значения коэффициента

для стальных труб
в зависимости от их состояния
Диаметр труб, м | Значение коэффициента  для |
новых труб | труб, бывших в употреблении |
0,3 | 3,7 | 4,6 |
0,4 | 3,6 | 4,5 |
0,5 | 3,5 | 4,4 |
0,6 | 3,5 | 4,4 |
0,7 | 3,1 | 3,9 |
0,8 | 2,9 | 3,6 |
0,9 | 2,7 | 3,4 |
1,0 | 2,5 | 3,1 |
1,2 | 2,3 | 2,9 |
Таблица 7.24
Аэродинамические сопротивления фасонных частей
стальных труб
Фасонная часть | Значение  для труб диаметром, м |
0,5 | 0,6 | 0,7 | 0,8 | 0,9 | 1,0 | 1,2 |
Колено составное под углом | | | | | | | |
30° | 0,17 | 0,08 | 0,05 | 0,03 | 0,02 | - | - |
45° | 0,27 | 0,13 | 0,07 | 0,04 | 0,02 | 0,02 | 0,01 |
60° | 0,28 | 0,14 | 0,08 | 0,04 | 0,03 | 0,02 | 0,01 |
90° | 1,16 | 0,58 | 0,30 | 0,17 | 0,11 | 0,07 | 0,03 |
Отвод при повороте струи под углом 45° с одной стороны | - | 0,46 | 0,25 | 0,14 | 0,09 | 0,06 | 0,03 |
Тройник при разветвлении струи под углом 60° в обе стороны | - | 0,54 | 0,29 | 0,17 | 0,11 | 0,07 | 0,03 |
7.8.5. Для проветривания горизонтальных и наклонных тупиковых выработок и вертикальных стволов при их проходке следует принимать вентиляторы, аэродинамические характеристики которых приведены в
Приложении 4.
Подача вентилятора, работающего на гибкий или жесткий трубопровод, определяется по формуле

. (7.101)
При проветривании выработок с использованием воздухозаборных камер на строящихся шахтах (см.
рис. 5.13 в, г, д) подача вентилятора, установленного на поверхности, определяется по формуле

. (7.102)
Подача вентилятора, установленного на поверхности, на период проходки стволов при комбинированных схемах проветривания (см.
рис. 5.8 в) определяется по формуле

, (7.103)
где

- расход воздуха, который необходимо подавать к всасу ВМП, установленного в стволе в воздухозаборной камере, м3/мин; определяется по
формулам (7.112) или
(7.113);

- коэффициент, учитывающий подсосы воздуха через вентиляционный канал и перекрытие ствола; принимается равным 1,35 - 1,40.
Давление вентилятора, работающего на гибкий вентиляционный трубопровод или гибкий комбинированный трубопровод (депрессия трубопровода), определяется по формуле

. (7.104)
Давление вентилятора, работающего на жесткий вентиляционный трубопровод (депрессия трубопровода), определяется по формуле

. (7.105)
При проветривании стволов по схеме, приведенной на
рис. 5.8 в, давление вентилятора, установленного на поверхности (депрессия сети), определяется по формуле

, (7.106)
где

- аэродинамическое сопротивление сети (вентиляционной установки, участка ствола со свежей струей, вентиляционной сбойки, участка ствола с исходящей струей воздуха, нулевой рамы),

.
Выбор вентилятора производится путем нанесения расчетного режима его работы

и

(см.
рис. 7.7, точка А), определяемого по
формулам (7.101),
(7.102) или
(7.103) и
формулам (7.104),
(7.105) или (7.106) соответственно, на график аэродинамических характеристик вентиляторов. При этом для проветривания выработки следует принимать такой вентилятор (или несколько вентиляторов, установленных последовательно или параллельно), аэродинамическая характеристика которого проходит через точку с координатами расчетного режима

и

или выше нее.
Рис. 7.7. Определение режима работы вентилятора:
1 - аэродинамическая характеристика трубопровода (сети);
2 - аэродинамическая характеристика вентилятора
При использовании вентиляционных трубопроводов из гибких труб типов 1А и 1Б предварительно можно выбрать вентилятор по
табл. 7.25 в зависимости от диаметра и максимальной длины трубопровода и значения

, а затем уточнить тип вентилятора по аэродинамической характеристике трубопровода.
Рис. 7.8. Аэродинамические характеристики
водокольцевых воздуходувок:
1 - ВК-25; 2 - две параллельно включенные ВК-25;
3 - РРМК; 4 - ВК-50
Таблица 7.25
Максимальная длина тупиковой выработки в зависимости
от расхода воздуха у забоя, типа и количества вентиляторов,
диаметра труб типов 1А и 1Б
Тип ВМП | Число ВМП, схема соединения ВМП | Диаметр труб, м | Максимальная длина тупиковой выработки (м) при расходе воздуха, необходимом для проветривания призабойного пространства,  , м3/с |
1,5 | 2,0 | 2,5 | 3,0 | 3,5 | 4,0 | 4,5 | 5,0 | 5,5 | 6,0 | 7,0 | 8,0 | 9,0 |
1 | 2 | 3 | 4 | 5 | 6 | 7 | 8 | 9 | 10 | 11 | 12 | 13 | 14 | 15 | 16 |
ВМ-4 | один | 0,5 | 330 | 170 | 80 | | | | | | | | | | |
| | 0,6 | 500 | 300 | 150 | | | | | | | | | | |
ВМ-5 | один | 0,5 | 515 | 325 | 225 | 150 | | | | | | | | | |
| | 0,6 | 800 | 560 | 410 | 300 | 220 | | | | | | | | |
ВМ-5 | два, пс | 0,5 | 810 | 560 | 400 | 275 | 180 | | | | | | | | |
| | 0,6 | 1000 | 750 | 565 | 436 | 320 | 220 | 150 | 90 | | | | | |
СВМ-6 | один | 0,6 | 820 | 600 | 440 | 320 | 260 | 200 | 140 | 110 | | | | | |
| | 0,8 | 1550 | 1200 | 970 | 800 | 650 | 540 | 430 | 340 | 260 | 160 | | | |
СВМ-6 | два, пс | 0,6 | 1120 | 780 | 620 | 480 | 370 | 290 | 230 | 190 | 150 | 110 | | | |
| | 0,8 | 1770 | 1430 | 1160 | 980 | 820 | 680 | 580 | 470 | 380 | 290 | 140 | | |
СВМ-6 | два, пр | 0,6 | 830 | 620 | 450 | 340 | 270 | 210 | 170 | 140 | 110 | 90 | - | - | 150 |
| | 0,8 | 1650 | 1370 | 1130 | 950 | 800 | 670 | 580 | 490 | 420 | 360 | 270 | 210 | |
СВМ-6 | четыре, по | 0,6 | 1050 | 850 | 670 | 540 | 440 | 360 | 290 | 250 | 220 | 190 | 140 | 100 | - |
| два пс, соединенных пр | 0,8 | 1950 | 1600 | 1360 | 1180 | 1040 | 900 | 780 | 680 | 580 | 520 | 410 | 320 | 260 |
ВМ-6 | один | 0,6 | 920 | 680 | 510 | 400 | 320 | 250 | 200 | 160 | 140 | 100 | - | - | - |
| | 0,8 | 1700 | 1400 | 1160 | 960 | 800 | 680 | 570 | 470 | 380 | 300 | 200 | 100 | - |
ВМ-6 | два, пс | 0,6 | 1200 | 890 | 710 | 690 | 490 | 400 | 320 | 270 | 220 | 180 | 100 | - | - |
| | 0,8 | 1940 | 1570 | 1320 | 1120 | 950 | 810 | 700 | 600 | 520 | 430 | 290 | 150 | - |
ВМ-6 | | 0,6 | 930 | 700 | 520 | 410 | 330 | 260 | 210 | 170 | 150 | 130 | 90 | - | - |
| 0,8 | 1770 | 1450 | 1220 | 1050 | 910 | 780 | 670 | 580 | 520 | 450 | 340 | 270 | 210 |
ВМ-6 | четыре по два, пс, соединенных пр <**> | 0,6 | 1160 | 900 | 750 | 600 | 520 | 440 | 380 | 320 | 270 | 230 | 170 | 130 | 100 |
0,8 | 2170 | 1760 | 1480 | 1270 | 1140 | 1010 | 900 | 810 | 730 | 660 | 540 | 430 | 350 |
ВМЦ-6 | один | 0,6 | 1140 | 900 | 740 | 610 | 500 | 400 | 330 | 270 | 220 | 170 | 120 | | |
| | 0,8 | 2000 | 1630 | 1380 | 1180 | 1030 | 890 | 770 | 670 | 590 | 520 | 380 | 265 | 160 |
ВМЦ-6 | два, пр | 0,6 | 1200 | 920 | 770 | 620 | 540 | 460 | 400 | 340 | 290 | 240 | 180 | 140 | 110 |
| | 0,8 | 2170 | 1700 | 1480 | 1270 | 1140 | 1010 | 900 | 820 | 740 | 670 | 550 | 460 | 380 |
ВМЦ-8 | один | 0,8 | 2060 | 1710 | 1450 | 1240 | 1090 | 960 | 860 | 750 | 660 | 600 | 460 | 350 | 250 |
| | 1,0 | 2500 | 2500 | 2390 | 2140 | 1900 | 1700 | 1510 | 1350 | 1200 | 1090 | 880 | 690 | 520 |
ВМЦ-8 | два, пр | 0,8 | 2250 | 1850 | 1570 | 1400 | 1260 | 1130 | 1020 | 920 | 840 | 760 | 620 | 530 | 450 |
| | 1,0 | 2500 | 2500 | 2500 | 2500 | 2270 | 2070 | 1860 | 1720 | 1600 | 1490 | 1280 | 1120 | 970 |
ВМЦГ-7 | один | 0,8 | 2200 | 1830 | 1540 | 1340 | 1190 | 1060 | 950 | 840 | 750 | 680 | 550 | 440 | 390 |
| | 1,0 | 2500 | 2500 | 2500 | 2460 | 2150 | 1880 | 1650 | 1490 | 1360 | 1230 | 1030 | 840 | 680 |
Примечание. пс - последовательно; пр - параллельно.
<*>

.
<**>

.
Если аэродинамическая характеристика вентилятора (или нескольких вентиляторов, установленных последовательно или параллельно) проходит выше точки с координатами расчетного режима

и

, то для определения подачи

и

выбранного вентилятора (вентиляторов) необходимо нанести аэродинамическую характеристику трубопровода (сети) на график аэродинамической характеристики вентилятора. Точка пересечения характеристик (см.
рис. 7.7, точка Б) определяет значения

и

. В этом случае расход воздуха у забоя составит

. (7.107)
Построение аэродинамической характеристики жесткого трубопровода или сопротивления сети выработок для схемы, приведенной на
рис. 5.8 в, производится следующим образом. Задавая значения расхода воздуха 1, 2, 3 и т.д. в м3/с, определяют значения

(даПа) по
формулам (7.105),
(7.106). По парным значениям

и

следует нанести на графике точки и соединить их кривой (
рис. 7.7, кривая 1).
Аналогичным образом наносится аэродинамическая характеристика гибкого вентиляционного трубопровода и гибкого комбинированного трубопровода. При этом задаются произвольные значения

в м3/с и для каждого из них определяются:

, расход воздуха в начале трубопровода (подача ВМП)

и депрессия трубопровода (давление ВМП) по
формуле (7.104). По парным значениям

и

наносятся на графике точки, по которым проводится кривая.
Если нельзя обеспечить подачу требуемого расхода воздуха по одному трубопроводу, то проветривание выработки можно осуществлять по двум или трем трубопроводам.
После выбора ВМП и трубопровода производится проверка расхода воздуха в устье тупиковой выработки

из условия

, (7.108)
где

- коэффициент утечек воздуха в трубопроводе на участке от ВМП до устья тупиковой выработки.
Для жестких вентиляционных труб

определяется по
формуле (7.94), в которую вместо

и

подставляются длина и аэродинамическое сопротивление участка трубопровода от ВМП до устья тупиковой выработки.
Для гибких вентиляционных труб

рассчитывается по формуле

, (7.109)
где

- коэффициент утечек воздуха в трубопроводе на участке от устья выработки до забоя; принимается по
табл. 7.19.
При проходке стволов бурением подача воздуха к забою осуществляется с помощью водокольцевых воздуходувок. Выбор типа водокольцевых воздуходувок производится графоаналитическим путем на основе рассчитанных значений расхода воздуха

, депрессии става бурильных труб

и графика аэродинамических характеристик водокольцевых воздуходувок (см.
рис. 7.8).
Порядок выбора следующий. Расчетные значения

и

наносятся на график. К установке принимается воздуходувка, в рабочую область которой попадает расчетный режим.
Депрессия става бурильных труб определяется по формуле

, (7.110)
где

- абсолютное давление воздуха в конце трубопровода, даПа;

; (7.111)

- коэффициент сопротивления; принимается для труб с внутренним диаметром 0,15 м равным 0,025, а с внутренним диаметром 0,2 м - 0,020;

- длина става бурильных труб, м;

- внутренний диаметр бурильных труб, м;

- абсолютное давление воздуха у устья ствола (скважины), даПа;

- глубина ствола, м.
Схема вентиляционной установки для проветривания ствола (скважины) приведена на
рис. 5.9.
В случае если при помощи водокольцевых воздуходувок и обычных бурильных труб внутренним диаметром 0,15 м невозможно обеспечить расходы воздуха, подсчитанные по метановыделению или минимальной скорости, необходимо переходить на бурильные трубы следующих типоразмеров - 0,2; 0,25; 0,30 м.
7.8.6. Расход воздуха в месте установки ВМП должен удовлетворять следующим условиям:
для любого отдельно установленного ВМП

; (7.112)
для любой группы ВМП, работающих на разные трубопроводы и установленных в одном месте,

, (7.113)
где

- подача ВМП при длине тупиковой выработки на отдельные периоды, для которых выполняется расчет; определяется согласно
п. 7.8.5;

- коэффициент, принимаемый равным 1,0 для ВМП с нерегулируемой подачей и 1,1 - для ВМП с регулируемой.
Примечание. 1. ВМП, работающие на один трубопровод, следует рассматривать как один вентилятор.
2. ВМП считаются установленными в одном месте, если расстояние между ними не превышает 10 м; при расстоянии от ближайшего ВМП более 10 м вентилятор считается установленным отдельно.
7.9. Подача вентиляционной установки
Подача вентиляционной установки, если утечки воздуха определяются по нормам, рассчитывается по формуле

, (7.114)
где

- расход воздуха, поступающий из шахты к данному вентилятору (подаваемый в шахту данным вентилятором), м3/мин;

- утечки воздуха через надшахтные здания в вентиляционный канал, м3/мин.
Если утечки учитываются коэффициентом внешних утечек, то

. (7.115)
Подача вентиляционной установки с учетом резерва определяется по формуле

. (7.116)
Утечки воздуха через надшахтные здания вертикальных стволов, оборудованных подъемами, и через вентиляционные каналы приведены в табл. 7.26 и
7.27, а значения

- в
табл. 7.28.
Таблица 7.26
Нормы утечек воздуха через надшахтные здания
и их аэродинамические сопротивления при h = 200 даПа
Тип здания | Нормы утечек воздуха через здания (м3/мин) и аэродинамическое сопротивление (  ) при площади наружных стен и перекрытий надшахтного здания, включая копер, м2 |
до 100 | 100 - 300 | 300 - 500 | 500 - 1000 | 1000 - 1500 | 1500 - 2000 | 2000 - 3000 | 3000 - 4000 | 4000 - 5000 | 5000 - 6000 | 6000 - 7000 | 7000 и более |
Скипового ствола | - | - | 670 ---- 1,6 | 780 ---- 1,2 | 950 ---- 0,8 | 1080 ----- 0,6 | 1200 ----- 0,5 | 1400 ----- 0,37 | 1550 ----- 0,30 | 1700 ----- 0,25 | 1850 ----- 0,21 | 2000 ----- 0,18 |
Клетевого ствола | 90 --- 88,9 | 190 ----- 19,9 | 380 ----- 5,0 | 690 ----- 1,5 | 850 ----- 1,0 | 980 ----- 0,8 | 1100 ----- 0,6 | 1200 ----- 0,5 | | | | |
Примечание. В числителе даны утечки воздуха, а в знаменателе - аэродинамическое сопротивление.
Таблица 7.27
Нормы утечек воздуха через вентиляционные каналы
и их аэродинамические сопротивления при h = 200 даПа
Площадь поперечного сечения вентиляционного канала, м2 | Нормы утечек воздуха, м3/мин | Аэродинамическое сопротивление,  |
1 | 2 | 3 |
до 5 | 200 | 18,0 |
5 - 10 | 300 | 8,0 |
10 - 15 | 500 | 2,9 |
15 - 20 | 600 | 2,0 |
20 - 25 | 750 | 1,3 |
более 25 | 820 | 1,1 |
Таблица 7.28
Значения коэффициента внешних утечек воздуха
Место установки вентилятора | Значение коэффициента внешних утечек  при расходе воздуха, проходящего по стволу (шурфу), м3/мин |
до 1500 | 1500 - 4000 | 4000 - 6000 | более 6000 |
Вентиляционные стволы (шурфы), не используемые для подъема | 1,2 | 1,10 | 1,10 | 1,10 |
Шурфы, используемые для спуска людей или материалов | 1,25 | 1,20 | 1,15 | - |
Шурфы с передвижными вентиляционными установками | 1,30 | 1,20 | - | - |
Утечки воздуха (
табл. 7.26 и
7.27) соответствуют перепаду давления 200 даПа, а для других перепадов они должны быть пересчитаны по формуле

. (7.117)
При нагнетательном проветривании утечки следует увеличить на 13%.
Аэродинамическое сопротивление надшахтного здания (сооружения) рассчитывается по формуле

, (7.118)
где

- утечки воздуха через надшахтное здание (сооружение), м3/с;

. (7.119)
Утечки воздуха через устья наклонных стволов при наличии надшахтных зданий принимаются равными утечкам через надшахтные здания клетевых стволов, а при отсутствии надшахтных зданий рассчитываются как для шлюзов. Общие внешние утечки равны сумме утечек через надшахтные здания и вентиляционный канал.
При установке вентиляторов на вентиляционных стволах, не используемых для подъема, и на шурфах все внешние утечки воздуха учитываются коэффициентом внешних утечек

, значения которого приведены в
табл. 7.28.
При работе вентиляторов на нагнетание значения этого коэффициента должны быть увеличены на 0,15, а при наличии резервных вентиляторов на 0,17.
Для ориентировочного определения подачи вентиляционных установок коэффициент, учитывающий утечки воздуха через надшахтные сооружения и каналы вентиляторов, следует принимать равным: для случаев установки вентиляторов на скиповом стволе - 1,25; на клетьевом - 1,2; на стволах и шурфах, не используемых для подъема, - 1,1; на шурфах, используемых для подъема и спуска материалов, - 1,3.
Подача вентиляционных установок при строительстве шахт после сбойки стволов рассчитывается для отдельных периодов в зависимости от изменений схемы проветривания и расхода подаваемого в шахту воздуха.
Если отношение диаметров рабочих колес вентиляторов для проветривания в начальный и последующий периоды меньше 1,3 и продолжительность начального периода меньше четырех лет, следует принимать постоянный вентилятор на весь срок строительства. При невыполнении этого условия целесообразно предусматривать периодическую замену вентиляторов или только их двигателей.
7.10. Допустимые отклонения результатов измерений
расхода воздуха от расчетных значений
Для тупиковых выработок сопоставляется расчетный расход воздуха и результаты отдельных измерений.
Отклонения измеренных расходов воздуха от расчетных должны удовлетворять следующим условиям (в процентах):

; (7.120)

, (7.121)
где

- измеренный расход воздуха, поступающий в призабойное пространство тупиковой выработки, м3/мин;

- расход воздуха, который необходимо подавать в призабойное пространство тупиковой выработки согласно расчету, м3/мин;

- измеренный расход воздуха, поступающий в тупиковую выработку, м3/мин;

- расход воздуха, который необходимо подавать в тупиковую выработку согласно расчету, м3/мин.
Для очистных выработок и выемочных участков расчетный расход воздуха сопоставляется с результатами отдельных измерений и средними величинами, вычисленными по ряду измерений.
Отклонения измеренных расходов воздуха от расчетных должны удовлетворять следующим условиям (в процентах):

, (7.122)
где

- средний расход воздуха, поступающий в очистную выработку или на выемочный участок, м3/мин;

; (7.123)

- измеренный расход воздуха, поступающий в очистную выработку или на выемочный участок, м3/мин;
Q - расход воздуха, который необходимо подавать в очистную выработку или на выемочный участок согласно расчету, м3/мин;

- число измерений.
Разница между расчетным и измеренным расходами воздуха для камер не должна превышать +/- 10%.
Отклонение результатов измерений общего расхода воздуха, поступающего в шахту, от расчетной величины в меньшую сторону не должно выходить за предел 10%. В этом случае считается, что на момент измерений шахта обеспечена воздухом.
Пример расчета расхода воздуха, необходимого для проветривания горных выработок действующих шахт, приведен в
Приложении 5.
8.1. Общешахтная депрессия
Максимальная статическая депрессия сети, на которую работает вентилятор (депрессия шахты), как правило, ограничивается величиной 300 даПа; для шахт сверхкатегорных и опасных по внезапным выбросам, а также шахт производственной мощностью 4000 т в сутки и более допускается депрессия до 450 даПа при соответствующих обоснованиях.
На действующих шахтах при доработке запасов последних горизонтов сроком до 15 - 20 лет и глубине более 700 м для шахт, разрабатывающих пласты угля, не склонные к самовозгоранию, по согласованию с Госгортехнадзором СССР и разрешению Минуглепрома СССР допускается максимальная статическая депрессия до 800 даПа.
За депрессию шахты (статическое давление вентиляционной установки

) принимается максимальное значение из депрессий всех направлений

, проходящих через очистные выработки, то есть

.
Депрессия направления определяется по формуле

, (8.1)
где

- депрессия канала вентиляционной установки, даПа; принимается равной

или определяется в соответствии с
Приложением 6;

- депрессия подземных выработок направления, даПа; находится как сумма депрессий отдельных последовательно соединенных ветвей, входящих в направление, от устья воздухоподающего ствола до входа в канал вентиляционной установки;

, (8.2)
1,1 - коэффициент, учитывающий влияние местных сопротивлений;

- депрессия канала воздухонагревательной установки, даПа; определяется по формулам, приведенным в
Приложении 6.
Депрессия воздухонагревателей и канала воздухонагревательной установки учитывается при безвентиляторных воздухонагревательных установках.
Депрессия лавы подсчитывается по формуле

, (8.3)
где

- общее аэродинамическое сопротивление лавы,

.
Для лав с индивидуальной крепью общее аэродинамическое сопротивление определяется по формуле

, (8.4)
где

,

- коэффициенты местного сопротивления входа и выхода лавы; определяются по табл. 8.1.
Таблица 8.1
Коэффициенты местного сопротивления входа и выхода лавы
Характеристика местного сопротивления | | |
1 | 2 | 3 |
Вход в лаву | | |
Откаточный штрек проводится вслед за лавой, над штреком - бутовая полоса шириной 8 - 10 м | 0,3 - 0,8 | 27 |
Откаточный штрек опережает лаву на 100 - 200 м, над штреком - бутовая полоса 8 - 10 м, управление кровлей производится полным обрушением | 0,2 - 0,7 | 2 |
То же, при управлении кровлей частичной закладкой | 0,4 - 0,6 | 1 |
Обратный порядок отработки, штрек погашается вслед за лавой, управление кровлей полным обрушением | 0,6 - 1,1 | 10 |
Откаточный штрек опережает лаву, над штреком целик угля, воздух поступает по двум печам | - | 3 |
Откаточный штрек опережает лаву. Над штреком костры | - | 2 |
Выход из лавы | | |
Вентиляционный штрек проводится вслед за лавой, под штреком бутовая полоса шириной 8 - 10 м | 0,1 - 0,3 0,4 - 0,5 | 5,5 3,0 |
Управление кровлей полным обрушением или частичной закладкой | 0,9 - 1,0 | 1,5 |
Вентиляционный штрек опережает лаву, под штреком бутовая полоса | - | 3,0 |
Обратный порядок отработки, штрек погашается вслед за лавой | 0,5 - 1,5 | 14,0 |
Вентиляционный штрек опережает лаву, над штреком - целик угля, воздух выходит через одну печь шириной 1,5 м | - | 20,0 |
Примечание. Здесь

- сечение штрека у входа в лаву или на выходе из лавы.
Если в лаве установлен один ряд стоек, в
формулу (8.4) вместо коэффициента 0,0142 подставляется 0,009.
Для лав, оборудованных механизированными крепями,

, (8.5)
где

- удельное аэродинамическое сопротивление (при длине 100 м) лав с механизированными крепями,

; принимается по
табл. 7.5.
Для механизированных крепей, не приведенных в таблице, значения удельных сопротивлений принимаются по аналогии с наиболее близкими по конструкции сечений.
При расчете депрессии механизированных лав на крутых пластах (выемка угля комбайном) учитывается депрессия, создаваемая потоком падающего угля. Его влияние можно учитывать двумя способами.
В первом случае в
формулу (8.3) вместо

подставляется

, определенное по формуле

, (8.6)
где

- расход воздуха для выемочного участка с учетом влияния падающего угля при работе комбайна, м3/мин; значение

определяется по
формуле (7.80).
Во втором случае

в
формуле (8.3) принимается без учета влияния падающего угля, а аэродинамическое сопротивление лавы увеличивается на величину

, (8.7)
где

- поправка, учитывающая уменьшение расхода воздуха в лаве под действием падающего угля

. (8.8)
Депрессия капитальных и подготовительных выработок рассчитывается по формуле

(8.9)
или

, (8.10)
где

- коэффициент аэродинамического сопротивления, даПа x с2/м2; принимается по таблицам, приведенным в
Приложении 7;

- периметр выработки, м;

- коэффициент формы поперечного сечения выработки; принимается для выработок круглого сечения равным 3,54, сводчатого - 3,8, трапециевидного - 4,16;

- расчетный расход воздуха по выработкам рассматриваемого направления, м3/с.
Расчетный расход воздуха по выработкам рассматриваемого направления принимается:
в лавах

; (8.11)
в выработках выемочного участка при схемах проветривания с последовательным разбавлением метана

; (8.12)
в выработках выемочного участка при схемах проветривания с обособленным разбавлением метана:
в выработке с поступающей струей, направляемой в лаву,

; (8.13)
в выработке с подсвежающей струей

; (8.14)
в выработке с исходящей из участка струей

; (8.15)
во всех общешахтных выработках равным общему расходу воздуха, необходимому для проветривания объектов, для которых данная выработка является воздухоподающей или отводящей, умноженному на коэффициент 1,25, учитывающий неравномерность распределения воздуха по сети горных выработок, резерв вентиляционной сети и резерв вентиляционных установок.
При рассредоточенных утечках воздуха за

принимается среднее геометрическое из начального

и конечного

расходов (в начале и конце выработки):

. (8.16)
При сосредоточенных утечках воздуха расчет производится по участкам выработки.
При определении сечений выработок околоствольных дворов по максимальной скорости воздуха необходимо учитывать загромождение их подвижным составом. Для этого сечение выработок на участках возможного скопления транспортных средств должно увеличиваться на величину площади поперечного сечения этих средств.
Депрессия рассчитывается по годам или наиболее характерным периодам развития горных работ на весь срок службы шахты. Расчет производится для каждого пласта. Минимальная и максимальная величины депрессии рассчитываются на срок службы вентиляционной установки.
При выборе струи с максимальной депрессией следует учитывать, что последняя почти всегда соответствует отработке предпоследних ярусов, столбов и т.д. в панели, выемочном поле. В этот период расход воздуха для проветривания яруса, столба, панели наибольший.
Величина

по струе с максимальной депрессией не должна превышать указанные выше пределы депрессии шахты. Допустимая расчетная депрессия подземных выработок определяется по формуле

. (8.17)
Если расчетная депрессия подземных выработок превышает допустимую величину, то для ее снижения в первую очередь следует идти по пути уменьшения потерь на трение воздуха о стенки выработки и лобовых сопротивлений (применение специальных затяжек, обтекателей, рациональной армировки стволов и т.д.) или увеличения сечения выработок. При недостаточной эффективности этих мероприятий необходимо изменить схему проветривания.
Депрессия реконструируемых шахт и новых горизонтов действующих рассчитывается на базе материалов депрессионных съемок. Для тех выработок, которые отвечают требованиям ПБ и которые не требуется расширять, при расчете депрессии используются фактические аэродинамические сопротивления.
| | ИС МЕГАНОРМ: примечание. При публикации в издании Макеевка - Донбасс: МакНИИ, 1989 допущен типографский брак. Текст, не пропечатанный в официальном тексте документа, в электронной версии данного документа выделен треугольными скобками. | |
В обосновании величины депрессии более 450 даПа должны быть приведены расчеты экономической целесообразности работы шахты при выбираемой величине общешахтной депрессии с учетом дополнительных затрат на герметизацию вентиляционных сооружений и снижение утечек воздуха. Требования к герметизации элементов конструкций надшахтных зданий и вентиляционных устройств поверхностных комплексов изложены в Руководстве по проектированию и строительству герметических надшахтных зданий и сооружений, находящихся под высоким давлением (<...>, 1981).
Кроме того, при принятии величины общешахтной депрессии более <...> даПа должны быть предусмотрены подача воздуха на выемочные участки по двум выработкам (схемы проветривания выемочных участков с обособленным разбавлением вредностей) и применение в выработках, соединяющих свежую и исходящую струи, автоматизированных шлюзовых устройств. При каких-либо изменениях проекта или отступлении от него в процессе ведения горных работ необходимо повторное согласование принимаемой величины депрессии шахты с ДонУГИ и разрешение Минуглепрома СССР.
8.2. Размещение регуляторов расхода воздуха
в горных выработках
При размещении отрицательных регуляторов расхода воздуха (перемычек с окнами) в горных выработках следует учитывать устойчивость воздушных струй по направлению в диагоналях и экономичность регулирования, определяемую величиной утечек воздуха.
В схемах проветривания с диагоналями не следует удалять регулятор от объекта проветривания. В случае возможности опрокидывания струй в диагоналях регулятор необходимо устанавливать как можно ближе к объекту проветривания до слияния струй.
В схемах проветривания с параллельным соединением выработок регуляторы необходимо устанавливать на максимально возможном удалении от объектов проветривания, что позволяет уменьшить утечки воздуха и за счет этого повысить экономичность регулирования.
9. ПРОЕКТИРОВАНИЕ ГЛАВНЫХ ВЕНТИЛЯЦИОННЫХ УСТАНОВОК
9.1. Вентиляторы для одиночной работы
Исходными данными для выбора вентилятора и проектирования главной вентиляционной установки (ГВУ) являются требуемые аэродинамические рабочие режимы вентилятора, представляющие совокупность значений (

,

) - подачи и статического давления вентилятора для различных периодов эксплуатации.
Продолжительность и количество периодов эксплуатации j вентиляционной установки определяются изменением режима проветривания шахты по подаче и (или) давлению, обусловленным развитием горных работ (в том числе и в период строительства шахты), технологией угледобычи и расчетным сроком службы установки.
При выборе вентилятора предпочтение отдают тому, рабочая область режимов которого включает все расчетные режимы

,

. Сводные графики рабочих областей вентиляторов приведены на
рис. 9.1 и
9.2.
Пример. Выбрать вентилятор для главной вентиляционной установки, расчетный срок службы которой 14 лет. Определены следующие аэродинамические режимы: с 1 до 3 лет эксплуатации

,

; с 4 до 8 лет эксплуатации

,

; с 9 до 14 лет эксплуатации

,

. Все три режима (точки 1, 2 и 3 на
рис. 9.1) включает в себя рабочая область осевого вентилятора ВОД-21М при n = 750 об/мин. По регулировочным характеристикам (см. Руководящий технический материал по выбору вентиляторов главного проветривания РТМ 07.03.003-87) уточняем правильность выбора вентилятора и определяем углы установки лопаток рабочих колес. В первый период вентилятор будет работать с углами

, во второй -

, в третий -

. Потребляемая мощность в течение всего срока службы не более 300 кВт. Статический КПД установки обеспечивается в интервале значений 0,7 - 0,81.
Если не удается подобрать рабочую область, в которую вписываются все расчетные режимы, то рассматривают возможность изменения частоты вращения заменой приводного электродвигателя и проведение мероприятий, расширяющих область рабочих режимов вентиляторов. Технология проведения таких мероприятий приведена в РТМ 07.03.003-87 "Руководящий технический материал по выбору вентиляторов главного проветривания" и РТМ 07.03.006-86 "Руководящий технический материал по технологии ввода осевых вентиляторов главного проветривания в оптимальный режим работы на шахтную сеть".
Пример. Выбрать вентилятор для работы в следующих режимах:

,

(точка 1 на
рис. 9.1);

,

(точка 2);

,

(точка 4). Ни одна из областей не включает в себя все три режима. Чтобы исключить замену вентиляторов в течение срока службы установки, выбирают вентилятор ВОД-18, который во второй период будет работать с углом установки

и КПД

. В первый период

. В этом случае применяют один из вариантов работы вентилятора с неполным комплектом лопаток рабочих колес. Вентилятор ВОД-18 с числом лопаток первой ступени

и второй

в режиме 1 работает с

на углах

(см. рис. П.3.1 РТМ 07.03.003-87). Для обеспечения режима третьего периода (точка 4) устанавливают противосрывные устройства. Вентилятор ВОД-18 с противосрывным устройством работает в этом режиме при

с

(см. РТМ 07.03.003-87).
Рис. 9.1. Сводный график рабочих областей вентиляторов
с постоянной частотой вращения
Рис. 9.2. Сводный график рабочих областей вентиляторов,
регулируемых по частоте вращения
Пример. Выбрать вентилятор, обеспечивающий последовательно режимы

,

(точка 2);

,

(точка 3);

,

(точка 5). Ни одна из рабочих областей не включает в себя все три режима проветривания. Более того, режим третьего периода (точка 5) вообще не обеспечивается в пределах приведенных рабочих областей. Выбираем вентилятор ВЦ-25м, который в первый период эксплуатации будет работать с частотой вращения n = 600 об/мин (

), затем во второй период после смены двигателя - с частотой n = 750 об/мин. Для обеспечения расчетного режима третьего периода рассматривают техническую возможность проведения мероприятий по расширению рабочей области или уменьшают аэродинамическое сопротивление вентиляционной сети.
Если расчетные параметры проветривания обеспечивают несколько различных вентиляторов, выбирают наиболее экономичный вариант установки.
Расчет экономических параметров осуществляют для вентиляционной установки, состоящей из рабочего и резервуарного вентиляторов, комплекта средств для реверсирования воздушной струи и перехода с работающего вентилятора на резервный (КСРП), электропривода с пускорегулирующей аппаратурой, аппаратурой контроля, дистанционного и автоматизированного управления, защиты и сигнализации, а также зданий, фундаментов, каналов и сооружений, грузоподъемного и вентиляционного оборудования, высоковольтных ячеек, кабельной продукции и др. в соответствии с РТМ 07.03.003-87.
По результатам расчетов определяют вентиляторы, обеспечивающие последовательно все заданные режимы, вычисляют для отобранных вариантов экономические показатели на каждый период эксплуатации установки и выбирают вентиляторы, обеспечивающие минимальные затраты на весь срок службы. Окончательный выбор типа вентилятора осуществляют с учетом технических и социальных факторов.
К техническим и социальным факторам, определяющим окончательный выбор типа установки, относятся размеры установки, условия привязки к стройплощадке, наличие комплектующего оборудования, возможность поставки оборудования к началу монтажа, выполнение санитарных норм по шуму, а также типы вентиляторов других установок на шахте, технический уровень и традиции эксплуатации на данном предприятии.
Требуемое снижение уровней звуковой мощности определяют по ОСТ 12.44.293-86 "Установки шахтные главного проветривания. Общие технические требования к монтажу и приемке".
9.2. Вентиляторы для совместной работы
Предварительный выбор вентиляторов для совместной работы производится по той же методике, что и для одиночной работы. Однако после выбора вентиляторов, если их напорные характеристики имеют седлообразную форму (осевые вентиляторы), необходима проверка устойчивости их совместной работы.
Работа параллельно включенных в сеть вентиляторов будет устойчивой в том случае, если напорная характеристика каждого вентилятора и аэродинамическая характеристика сети в месте его включения пересекаются только в одной точке. Эта точка должна находиться на нисходящей ветви характеристики вентилятора.
Методика проверки устойчивости совместной работы вентиляторов сводится к расчету воздухораспределения в вентиляционной сети при заданных расходах воздуха на объектах проветривания и построению аэродинамических характеристик сети в местах включения вентиляторов. Если напорные характеристики вентиляторов пересекаются характеристиками сети в одной точке, лежащей в рабочей области, то режимы будут устойчивыми (однозначными). При пересечении характеристик в нескольких точках режимы работы вентиляторов будут неустойчивыми (многозначными).
Если выбор вентиляторов производится с помощью ЭВМ, определение режимов их совместной работы осуществляется с учетом устойчивости.
10. УСТОЙЧИВОСТЬ ПРОВЕТРИВАНИЯ ШАХТ
10.1. Основные понятия и определения
Под устойчивостью проветривания шахт понимается способность вентиляционной сети сохранять заданные расход и направление движения воздуха в горных выработках при изменении аэродинамических сопротивлений элементов сети.
Устойчивость по расходу воздуха характерна для всех ветвей сети, но опасность представляют только выработки, в которых имеются источники газовыделения (очистные и тупиковые выработки, выработки, примыкающие к выработанному пространству). Устойчивость по направлению характерна для диагональных ветвей.
Под диагональю понимается такая ветвь, направление движения воздуха в которой может изменяться на противоположное при изменении аэродинамического сопротивления других ветвей. На рис. 10.1 в качестве примера приведены простые диагональные соединения (рис. 10.1 а), сложные - (рис. 10.1 б) и весьма сложные - (рис. 10.1 в).
Рис. 10.1. Схемы диагональных соединений выработок:
а - простые; б, г - сложные; в - весьма сложные
Выявление диагоналей производится по следующему правилу: если при движении из начала сети в ее конец можно пройти по какой-то ветви в направлении, противоположном движению воздуха, не заходя дважды в один и тот же узел, то такая ветвь будет диагональю.
Для ускорения отыскания диагоналей можно пользоваться еще маршрутным методом, заключающимся в том, что на схеме вентиляционных соединений выбираются два маршрута по внешним (крайним) ветвям сети. Все группы ветвей, соединяющие эти маршруты, будут диагоналями. По приведенному выше правилу останется проверить только ветви, принадлежащие этим маршрутам.
В зависимости от того, какие струи соединяют диагонали, их разделяют на диагонали между свежей и исходящей струями, между двумя свежими, а также между двумя исходящими струями. Наиболее важными и опасными следует считать диагонали между свежими и исходящими струями. Они подразделяются на диагонали на основных струях (очистные выработки, камеры, проветриваемые обособленно) и диагонали на второстепенных струях (пути утечек воздуха).
Все ветви вентиляционных сетей по их влиянию на расход и направление движения воздуха в конкретной выработке (диагонали) разделяются на опасные при увеличении их сопротивления и опасные при уменьшении сопротивления.
К первой группе относятся ветви, по которым воздух подводится к началу выработки (диагонали), и ветви, по которым он отводится от конца этой выработки (диагонали). Например, 1-2, 6-7, 7-8, 8-5 для выработки (диагонали) 2-6,
рис. 10.1 б. Все остальные ветви, по которым воздух подводится к концу выработки (диагонали) или отводится от начала, являются опасными при уменьшении их сопротивления, например, 1-6, 2-3, 3-4, 4-5 для выработки (диагонали) 2-6,
рис. 10.1 б.
Ветви, изменение сопротивления которых в пределах, имеющих место на практике, может привести к резкому уменьшению расхода воздуха или опрокидыванию струи в выработке (диагонали), называются определяющими. Определить точно, какая ветвь является определяющей, можно только расчетом, поэтому на практике в качестве определяющих выбирают ветви, имеющие наибольшее влияние на расход воздуха в данной выработке (диагонали).
Определяющими, как правило, являются последовательно примыкающие к концам выработки (диагонали) две-три ветви, опасные при увеличении сопротивления (например, 1-6, 6-7, 3-4, 4-5 для диагонали 3-7,
рис. 10.1 б), и ветви с вентиляционными сооружениями, опасные при уменьшении сопротивления. Чем дальше от выработки (диагонали) расположена ветвь, тем меньше ее влияние на устойчивость струи в диагонали при прочих равных условиях.
Определяющей не может быть ветвь, опасная при увеличении сопротивления, если расход воздуха в ней меньше, чем в выработке (диагонали), или опасная при уменьшении сопротивления, если ее депрессия меньше депрессии выработки (диагонали).
Количественной оценкой устойчивости является величина снижения расхода воздуха и показатель устойчивости направления движения воздуха в диагонали, который определяется по формулам:
для ветвей, опасных при увеличении сопротивления

; (10.1)
для ветвей, опасных при уменьшении сопротивления

, (10.2)
где

- измененное аэродинамическое сопротивление определяющей ветви, опасной при увеличении сопротивления, при котором прекращается движение воздуха в диагонали,

;

- первоначальное значение аэродинамического сопротивления определяющей ветви,

;

- измененное аэродинамическое сопротивление определяющей ветви, опасной при уменьшении сопротивления, при котором прекращается движение воздуха в диагонали,

.
Определение устойчивости по расходу воздуха производится для очистных и тупиковых выработок и выработок с подсвежающими струями на выемочных участках. При определении устойчивости по направлению, кроме перечисленных выше выработок, анализу подлежат утечки через вентиляционные сооружения между выемочными участками.
Струя в очистной выработке или на выемочном участке считается неустойчивой по расходу воздуха, если при изменении сопротивления определяющих ветвей (открывание дверей шлюза) расход воздуха составляет менее 50% от расчетного.
Проветривание тупиковой выработки считается неустойчивым, если расход воздуха у всаса ВМП снижается по сравнению с расчетным на 30% и более.
Возможность опрокидывания струи в диагонали определяется сравнением величины

с возможным на практике изменением сопротивления определяющей ветви.
Определение устойчивости проветривания шахт производится:
- на заключительной стадии проектирования проектными организациями после принятия конкретной схемы проветривания, расчета ее параметров, установки регуляторов и расчета воздухораспределения;
- на основании детального расчета подразделениями ВГСЧ по производству депрессионных и газовых съемок совместно с участками ВТБ при разработке мероприятий по обеспечению нормального проветривания шахт; и на все характерные периоды развития, включая ввод каждой новой лавы, до следующей съемки;
- опытным путем участками ВТБ при вводе новых лав в работу и после внесения существенных изменений в схемы вентиляционных соединений по сравнению с положением, принятым при расчетах ВГСЧ. При этом производится оценка устойчивости в основном только той части схемы, в которой произошло изменение, а также ветвей, устойчивость которых из-за указанных изменений снижается (соседние лавы).
По степени устойчивости, расходу и направлению движения воздуха все схемы проветривания действующих угольных шахт делятся на три категории.
Первая. Схемы с высокой степенью устойчивости. Сюда относятся сети, в которых изменения расхода воздуха в очистных забоях, на выемочных участках не превышают 20%, а у всаса ВМП - 10% от расчетного, вентиляционные сети без диагоналей, а также сети с диагоналями, опрокидывание вентиляционных струй в которых практически маловероятно даже в аварийных режимах.
Вторая. Схемы со средней степенью устойчивости. К данной категории относятся вентиляционные сети, изменения расхода воздуха в которых находятся в пределах: для лав и выемочных участков 20 - 50%, у всаса ВМП - 10 - 30% от расчетного, сети с диагоналями, изменение направления движения воздуха в которых возможно только в аварийных режимах.
Третья. Схемы с низкой степенью устойчивости. Имеют место изменения расхода воздуха в лавах и выемочных участках более 50%, У всаса ВМП - более 30% от расчетного. Опрокидывание вентиляционных струй возможно при нормальной работе шахты.
Примечание. К аварийным режимам относятся режимы проветривания при взрывах газа, пожарах, внезапных выбросах, завалах выработок, разрушении вентиляционных сооружений и блокировки, исключающей одновременное открывание дверей в шлюзах.
Схемы проветривания шахт должны иметь степень устойчивости не ниже 2-й категории. В противном случае должны быть разработаны мероприятия по повышению степени устойчивости вентиляционных струй, обеспечивающие перевод схемы проветривания по крайней мере во 2-ю категорию.
Исходными данными для расчета устойчивости являются: схема вентиляционных соединений, аэродинамические сопротивления, расходы воздуха и их направления в ветвях, параметры источников тяги.
Базой для получения исходных данных, как правило, должна служить депрессионная съемка. В тех случаях, когда отсутствуют данные по отдельным выработкам, они могут быть получены расчетным путем по известным зависимостям в соответствии с настоящим Руководством.
Анализ устойчивости производится в следующем порядке: для выработок, подлежащих проверке на устойчивость, находятся определяющие ветви, производится оценка изменения расхода воздуха и направления движения его при имеющем место на практике максимальном изменении сопротивления этих определяющих ветвей; устанавливаются категории устойчивости схем проветривания и при необходимости разрабатываются мероприятия по ее повышению.
10.2. Определение устойчивости проветривания
10.2.1. Детальный расчет устойчивости
Анализ устойчивости достаточно, как правило, производить для одной определяющей ветви, оказывающей наибольшее влияние на устойчивость струи в выработке-диагонали и имеющей большой диапазон изменения аэродинамического сопротивления. Такими определяющими ветвями являются, как правило, утечки воздуха через шлюзы, а при отсутствии последних - ветвь, опасная при увеличении аэродинамического сопротивления и непосредственно примыкающая к выработке-диагонали на исходящей струе (за разветвлением).
Детальный расчет устойчивости осуществляется на ЭВМ по специальной (для расчета устойчивости струй в диагоналях) или любой обычной программе расчета распределения воздуха.
Специальная программа расчета устойчивости на ЭВМ предусматривает определение показателя устойчивости

путем расчета распределения воздуха в сети при нулевом расходе в рассматриваемой диагонали, достигаемом за счет автоматического изменения сопротивления определяющей ветви. Рассчитанное по этому сопротивлению значение

сравнивается со значением максимально возможного изменения аэродинамического сопротивления этой ветви (

).
Если значение показателя устойчивости (

) больше максимально возможного изменения сопротивления определяющей ветви (

), то опрокидывание струи в диагонали считается практически невозможным и наоборот.
Значения максимально возможных изменений сопротивлений определяющих ветвей получены опытным путем и для основных горных выработок приведены в табл. 10.1.
Таблица 10.1
Фактические значения максимально возможного изменения
аэродинамического сопротивления горных выработок
и вентиляционных сооружений
Выработки и сооружения | Максимально возможные изменения сопротивлений ветви  , число раз |
1 | 2 |
Основные горные выработки, закрепленные бетонной и железобетонной крепью | 3 |
Основные горные выработки, закрепленные другими видами крепи | 5 |
Участковые откаточные выработки | 7 |
Участковые вентиляционные выработки | 15 |
Очистные выработки | 15 |
Загрузочные устройства | 100 |
Вентиляционные сооружения, шлюзы | 100 |
Аэродинамическое сопротивление шлюзов при открытых дверях измеряется или рассчитывается как сопротивление выработки, в которой они установлены, плюс сопротивление дверных проемов.
Расчет устойчивости по программе распределения воздуха заключается в следующем. Для конкретной выработки (диагонали) задаются максимально возможным изменением сопротивления определяющей ветви (открыты двери шлюза) или, используя
табл. 10.1, рассчитывают распределение воздуха и определяют расход и направление струи исследуемой выработки (диагонали).
Если расход воздуха уменьшился ниже нормы или произошло опрокидывание струи, то выработка (диагональ) относится к неустойчивой и наоборот.
Для более полного анализа устойчивости может быть использована программа, комбинирующая предыдущие две и производящая расчет распределения воздуха при измененных сопротивлениях определяющих ветвей и дополнительно расчет показателей устойчивости для диагоналей, в которых происходит опрокидывание струи.
По результатам расчета устойчивости для всех подлежащих анализу выработок определяют категорию устойчивости схемы проветривания шахты.
10.2.2. Определение устойчивости опытным путем
Определение устойчивости опытным путем сводится к изменению сопротивлений только шлюзов и измерению расхода воздуха в анализируемых выработках. Все работы выполняются по плану, утвержденному главным инженером шахты, в нерабочие дни (смены), при выводе всех людей из шахты или выемочного поля. В плане указывается порядок проведения измерений, время начала и окончания работы, время отключения и включения электроэнергии, мероприятия по обеспечению безопасности ведения работ, лица, ответственные за их выполнение, способ информации руководителя работ и т.п. Работы по определению устойчивости производятся в следующем порядке.
В выработках, где необходимо осуществлять измерения расхода воздуха и концентрации метана, располагаются замерщики. При проверке устойчивости проветривания тупиковых выработок измерение расхода воздуха производится в 10 м перед ВМП. Назначается время начала опыта.
Два наблюдателя измеряют скорость воздуха и определяют направление его движения в анализируемой выработке (диагонали). Измеряют каждые 2 - 3 минуты с начала и до окончания опыта, причем каждый раз точно фиксируется время измерения.
Два других наблюдателя изменяют сопротивление определяющей ветви (открывают двери) и также фиксируют время каждого режима. Продолжительность одного режима должна быть 10 - 12 мин, чтобы за это время можно было сделать 3 - 5 измерений расхода воздуха в выработке (диагонали), а всего опыта - не более 30 мин.
Контролируется концентрация метана в исходящих струях очистных и тупиковых выработок с изменяющимся расходом, а также в опрокинутых струях непрерывно с помощью переносных автоматических приборов. При повышении концентрации газа выше норм, установленных Правилами безопасности, восстанавливается нормальное проветривание выработки. Продолжительность опыта при повторении сокращается до 5 - 6 мин. Пример определения устойчивости опытным путем и оформление результатов приведены в
Приложении 8. Результаты опытной проверки устойчивости оформляются актом, который прилагается к паспорту выемочного участка.
Контроль за устойчивостью утечек воздуха осуществляется при небольших (до 20 даПа) перепадах депрессии путем определения разности давления через вентиляционные сооружения. Достаточно просто и удобно это делать с помощью обыкновенного водяного U-образного стеклянного манометра и резиновой трубки.
Минимально допустимое значение перепада давления - 5 даПа. Периодичность контроля - один раз в десять дней.
10.3. Основные пути повышения устойчивости проветривания
Для повышения устойчивости проветривания рекомендуются следующие основные меры.
Применять схемы проветривания шахт с минимальным числом сооружений и диагоналей. Наименьшим числом сооружений и диагоналей характеризуются схемы проветривания выемочных участков, отрабатываемых столбами по восстанию (падению). При отработке выемочных участков по простиранию и панельной подготовке снижения числа сооружений и диагоналей можно достигнуть при применении прямоточных схем проветривания выемочных участков с выдачей исходящих струй по фланговым выработкам. Из схем проветривания, обеспечивающих обособленное разбавление вредностей по источникам выделения, наиболее полно отвечают требованию устойчивости прямоточная схема с нисходящим движением воздушной струи в лаве.
На шахтах крутого падения не следует допускать одновременно ведения эксплуатационных работ, когда выработки одного горизонта используются как для подачи свежей, так и выдачи исходящей струй, а последние разделяются только шлюзами или вентиляционными перемычками. Групповые штреки (откаточный и вентиляционный) следует проводить по одному и тому же пласту или пропластку.
Сокращать число дополнительных выработок между свежей и исходящей струями (сбоек, печей, просеков и т.д.) и вентиляционных сооружений, особенно кроссингов, шлюзов и дверей.
Не допускать соединения горными выработками смежных панелей.
Обеспечивать необходимую нагрузку на шахту при минимальном числе очистных забоев, так как с увеличением числа последних пропорционально растет количество сооружений и диагоналей в схеме.
Уменьшать сопротивления выработок с исходящей струей воздуха.
Устанавливать перемычки с вентиляционными окнами (отрицательные регуляторы) непосредственно на объектах регулирования до слияния исходящей из забоя струи с другими воздушными струями, включая сосредоточенные диагональные утечки воздуха, или на ветвях, опасных при уменьшении сопротивления.
Вместо кроссингов проводить обходные выработки. При необходимости сооружения кроссингов их удельное аэродинамическое сопротивление не должно существенно отличаться от удельного сопротивления выработки.
Сводить к минимуму соединения горизонтальных выработок с наклонными, по которым проходят свежая и исходящая струи, а при необходимости сооружать шлюзы, предусматривая расстояние между дверями, равное 1,5 - 2 длинам состава из максимального числа вагонеток, проходящих по каждой выработке.
Загрузочные устройства конвейерных выработок (бункеры) оборудовать блокировкой, не позволяющей выгружать уголь ниже уровня, необходимого для герметизации бункера.
В схемах проветривания, имеющих несколько выработок для исходящей струи, соединять их между собой специальными выработками (диагоналями), что обеспечивает при завале одной выработки выход для воздуха на другую и исключает опрокидывание струи.
Стремиться к тому, чтобы выработки, в которых располагаются шлюзы, проводились минимальным сечением, определяемым только требованиями ПБ.
Противопожарные двери, как правило, устанавливать в ветвях, опасных при уменьшении сопротивления, то есть в начале выработки.
На шахтах III категории устойчивости в первую очередь необходимо:
наметить мероприятия по переводу выемочного (вентиляционного) участка во 2-ю категорию устойчивости;
увеличить подачу воздуха на выемочный участок, проветривание которого оказалось неустойчивым;
шлюзы, служащие для изоляции свежей и исходящей струй и являющиеся причиной неустойчивого проветривания, оборудовать механической или электрической блокировкой, которая бы исключала одновременное открывание дверей (обычные шлюзы заменять на шлюзы с автоматизированными дверями АШУ) с выводом информации о положении дверей на пульт горного диспетчера (оператора АКМ) и отключением электроэнергии с токоприемников на участке при одновременно открытых дверях шлюза в соответствии с намеченными мероприятиями.
11. ВОЗДУХОНАГРЕВАТЕЛЬНЫЕ (КАЛОРИФЕРНЫЕ) УСТАНОВКИ
Воздухонагревательная установка представляет собой совокупность оборудования, устройств, регулирующей и контрольно-измерительной аппаратуры, предназначенных для нагрева поступающего в шахту воздуха, которые могут быть как безвентиляторные (
рис. 11.1,
11.2), так и в комплексе с вентиляторами
(рис. 11.3). Выбор безвентиляторной или вентиляторной воздухонагревательной установки производится с учетом возможности обеспечения общешахтной депрессии.
Рис. 11.1. Схема воздухонагревательной установки
при регулировании теплопроизводительности
путем изменения расхода теплоносителя:
1 - группа воздухонагревателей; 2 - жалюзийные решетки
(неподвижные); 3 - таль; 4 - ляда для перекрытия канала
при ремонте; 5 - канал
Рис. 11.2. Схема воздухонагревательной установки
при регулировании теплопроизводительности смешиванием
холодного и подогретого воздуха:
1 - канал холодного воздуха; 2 - камера подогретого
воздуха; 3 - канал; 4 - камера КИПа;
5 - группа воздухонагревателей;
6 - многостворчатый регулирующий клапан
Рис. 11.3. Схема вентиляторно-воздухонагревательной
установки:
1 - жалюзийные решетки; 2 - камера воздухосборная;
3 - заслонка с электроприводом; 4 - секция приемная;
5 - секция воздухонагревателя; 6 - секция смешивания
нагретого и холодного воздуха;
7 - заслонка с ручным приводом; 8 - вставка гибкая;
9 - вентилятор для проветривания ствола;
10 - вентиляционный трубопровод
11.1. Общие технические требования
к воздухонагревательным установкам
11.1.1. На период эксплуатации шахты
1. При стволах и штольнях с поступающей струей воздуха должны быть воздухонагревательные установки, обеспечивающие поддержание температуры воздуха не менее +2 °C в 5 м от сопряжения канала воздухонагревателя со стволом (штольней) по ходу поступающей струи воздуха. Для шахт, расположенных в зонах многолетней мерзлоты, температура воздуха в этих местах устанавливается техническим директором производственного объединения (главным инженером комбината, треста) по согласованию с управлением округа госгортехнадзора (госгортехнадзором союзной республики) и технической инспекцией труда.
2. Для новых шахт и при их техническом перевооружении проектирование воздухонагревательных установок должно исходить из следующих условий. Суммарная депрессия безвентиляторных воздухонагревателей и канала от места всаса воздуха до входа его в ствол должна приниматься из условия обеспечения герметизации и простоты строительных конструкций надшахтного здания и не должна превышать 20 - 35 даПа.
3. Параметры воздухонагревательной установки следует определять, исходя из необходимости подогрева до требуемой ПБ температуры максимального расхода воздуха, подаваемого по стволу, при температуре наружного воздуха наиболее холодных суток, установленной для района расположения шахты главой
СНиП 2.01.01-82 "Строительная климатология и геофизика".
Для шахт, расположенных в зонах вечной мерзлоты, в период положительных температур наружного воздуха должна обеспечиваться температура воздуха в стволе, исключающая его обмерзание. Соответствующие расчета следует производить на основе данных бассейновых НИИ.
4. Безвентиляторные воздухонагревательные установки следует размещать в блоке надшахтного здания. Воздухонагревательные установки в комплексе с вентиляторами при невозможности их размещения в блоке надшахтного здания допускается размещать в отдельно стоящем здании.
При размещении безвентиляторных воздухонагревательных установок в надшахтном здании в период наружных минусовых температур оно должно быть герметизировано для предотвращения поступления через здание в ствол (штольню) холодного воздуха и иметь тамбур-шлюз с блокировкой, исключающей одновременное открывание ворот. Для подогрева холодного воздуха, поступающего через неплотности ворот, следует предусматривать воздушно-тепловые завесы, устанавливаемые, как правило, у внутренних ворот. Часть подогретого воздуха (не более 5 - 10% общего расхода воздуха, подаваемого в шахту) из воздухонагревательной установки через дроссельный клапан по воздуховоду должна подаваться в копер для его обогрева.
В районах Севера для предотвращения забивания снегом жалюзийные решетки узлов воздухозабора должны располагаться в зоне, защищенной от снега, ограждаться ветроотбойными щитами, иметь живое сечение не менее 80% при расчетной скорости не выше 4 м/с и утепленный клапан непосредственно после жалюзийных решеток.
5. При реверсировании поступающей в ствол воздушной струи выход шахтного воздуха из ствола осуществляется через надшахтное здание при открытых воротах и перекрытом канале воздухонагревательной установки.
6. Для строящихся воздухонагревательных установок в качестве теплоносителя должна применяться высокотемпературная вода. На реконструированных воздухонагревательных установках допускается в качестве теплоносителя применять насыщенный пар, что должно быть обосновано технико-экономическим расчетом.
7. Конструкция воздухонагревательной установки должна обеспечить возможность производства сварочных работ во время ремонта (исключить возможность попадания огня и дыма в шахту). Для производства ремонтных и профилактических работ следует предусматривать подъемно-транспортные средства (блоки, тали, монорельсы), а также подачу сжатого воздуха или установку поливочных кранов для очистки наружных поверхностей воздухонагревателей от пыли. В летний период подачу воздуха в ствол допускается предусматривать через надшахтное здание при открытых воротах.
8. Для воздухонагревательных установок должны применяться только стандартные воздухонагреватели (ГОСТ 7201-80).
9. Воздухонагревательная установка должна быть оборудована противопожарными средствами для изоляции от ствола.
10. Каждая воздухонагревательная установка должна состоять не менее чем из двух секций, работающих совместно или самостоятельно. При использовании в качестве греющего теплоносителя высокотемпературной воды допускается применять одноходовые и многоходовые воздухонагреватели.
Одноходовые воздухонагреватели допускается устанавливать как вертикально, так и горизонтально. Многоходовые воздухонагреватели следует устанавливать так, чтобы трубки воздухонагревателей находились в горизонтальном положении.
Потери давления воды в воздухонагревателях не должны превышать 40% давления на вводе в воздухонагревательную установку. Если потери давления превышают эту величину, то воздухонагреватели следует разделять на группы. Группы должны быть соединены по теплоносителю параллельно, а воздухонагреватели, входящие в их состав, - последовательно. Если потери давления менее 40%, возможны любые варианты компоновки.
Скорость движения воды в трубках отдельных воздухонагревателей должна быть в пределах 0,3 - 0,8 м/с.
Давление воды в любой точке гидравлического тракта воздухонагревательной установки принимается согласно технической характеристике по условию механической прочности воздухонагревателей и не менее 0,3 - 0,5 МПа по условию невскипания теплоносителя.
Давление воды на выходе из гидравлического тракта должно быть не менее 0,1 МПа.
Расчетная величина массовой скорости воздуха во фронтальном сечении воздухонагревателя должна быть в пределах 3,6 - 5,0 кг/м2 x с, расчетная скорость воздушной струи в проемах на входе холодного воздуха в воздухонагревательную установку должна быть в пределах 3 - 4 м/с.
При теплоносителе (паре) следует применять только одноходовые воздухонагреватели. Устанавливаться воздухонагреватели должны как вертикально, так и горизонтально. Соединение воздухонагревателей в группах необходимо предусматривать параллельное. Следует, как правило, применять однорядное расположение воздухонагревателей по ходу воздушной струи.
11. Подачу теплоносителя в воздухонагревательную установку площадки флангового ствола следует предусматривать от отдельной группы водонагревателей, расположенной в котельной основной промплощадки. При этом все потребители тепла на площадке флангового ствола допускается присоединять к трубопроводам теплоснабжения воздухонагревательной установки. Подача тепла на воздухонагревательную установку, к зданиям и сооружениям основной промплощадки предусматривается от одной общей группы водонагревателей по отдельным теплопроводам. В процессе эксплуатации воздухонагревательной установки перерывы в подаче тепла не допускаются.
12. Для обеспечения технологической надежности должны быть предусмотрены резервные группы воздухонагревателей, снабженные соответствующей арматурой для оперативного подключения в схему гидравлического тракта. Площади поверхности теплообмена воздухонагревателей необходимо принимать с резервом 10 - 20%.
13. Воздухонагревательные установки должны иметь средства для защиты теплообменных аппаратов от замерзания в них воды в аварийных ситуациях.
14. Холодный воздух в здание воздухонагревательной установки должен поступать через проемы, расположенные в стенах здания на высоте не менее 2,0 м от уровня земли.
15. Конструкция воздушного тракта должна обеспечить одинаковые расходы воздуха через блоки воздухонагревателей и отдельные воздухонагреватели внутри блоков. Степень неравномерности нагрузки колонн воздухонагревателей воздухом должна быть не более 15%.
16. При регулировании температуры подаваемого в ствол воздуха путем смешивания наружного холодного воздуха и воздуха, проходящего через воздухонагреватели
(рис. 11.2), в воздухонагревательных установках для перекрытия проемов прохода воздуха должны предусматриваться соответствующие устройства с механическим приводом. На газовых шахтах пусковая аппаратура и приводы таких устройств должны быть во взрывобезопасном исполнении (РВ); на негазовых шахтах такая аппаратура и приводы могут быть в исполнении РН.
17. Воздухонагревательные установки независимо от вида теплоносителя должны иметь приборы контроля:
температуры наружного (холодного) воздуха с ее регистрацией;
температуры поступающего в шахту подогретого воздуха с ее регистрацией;
расхода воздуха, поступающего в шахту, с его регистрацией;
температуры воздуха после прохода каждой воздухонагревательной секции;
расхода теплоносителя на воздухонагревательную установку;
потерь давления на всасывающей стороне воздухонагревательной установки.
Кроме того, при теплоносителе - воде:
температуры воды на входе в воздухонагревательную установку и выходе из нее;
температуры воды на выходе из каждой воздухонагревательной группы; давления воды в подающей и обратной магистралях;
циркуляции воды в системе;
при теплоносителе - паре:
давления пара на входе в воздухонагревательную установку;
температуры конденсата на выходе из каждой воздухонагревательной секции с ее регистрацией.
18. Кроме указанной в
п. 17 аппаратуры контроля режима работы воздухонагревательных установок, у диспетчера шахты должна быть аппаратура, сигнализирующая:
снижение температуры воздуха в стволе шахты ниже +2 °C;
снижение давления пара или воды ниже допустимого предела;
понижение температуры воды или конденсата соответственно ниже 30 °C и 50 °C;
выключение движения воздуха в воздухонагревательных секциях;
нарушение циркуляции теплоносителя (воды) в системе.
На пульте в котельной должна быть световая и звуковая сигнализация о снижении температуры и давления теплоносителя ниже допустимого предела.
19. Для обогрева надшахтного здания подачу воздуха в ствол допускается предусматривать из воздухонагревательной непосредственно в надшахтное здание. Подогрев воздуха следует производить до температуры +10 °C. Подачу воздуха предусматривать горизонтальными струями на высоте 2,0 м от пола. При стволах, оборудованных одноканатными подъемными установками, следует предусматривать также воздухонагревательный канал для подачи воздуха в шахту при производстве ремонтных работ в надшахтном здании и закрытии устья ствола лядами (рис. 11.4).
Рис. 11.4. Схема расположения
воздухонагревательной установки при стволах,
оборудованных одноканатными подъемами:
1 - многостворчатый клапан; 2 - группы воздухонагревателей;
3 - жалюзийная решетка; 4 - воздухонагревательный канал;
5 - воздухозаборная шахта; 6 - ляда
20. В зданиях многоканатного подъема подачу воздуха в шахту следует предусматривать по воздухонагревательному каналу и частично (до 20%) в надшахтное здание (рис. 11.5).
Рис. 11.5. Схема расположения воздухонагревательной
установки при стволах, оборудованных многоканатными
подъемными установками:
1 - группа воздухонагревателей;
2 - многостворчатый клапан; 3 - жалюзийная решетка;
4 - воздухонагревательный канал; 5 - узел управления
воздухонагревательной установкой
11.1.2. На период строительства шахты
1. В период проходки стволов и других выработок при их сооружении от одиночного ствола применяется совмещенная вентиляторно-воздухонагревательная установка. В проекте должно быть технико-экономическое обоснование принятого типа установки.
2. Воздухонагревательная установка должна обеспечить подогрев воздуха, поступающего в ствол, на уровне нулевой отметки до температуры не ниже +2 °C. При проходке стволов в зоне многолетней мерзлоты температура подогрева воздуха в зимнее время устанавливается главным инженером шахты (шахтостроительного управления) по согласованию с РГТИ.
3. Для проектирования воздухонагревательной установки необходимо принимать расход воздуха равным подаче вентилятора, определенной для самого трудного периода проветривания, когда требуется максимальный расход воздуха.
Если в различные периоды проветривания используются вентиляторы, отличающиеся типоразмером и подачей, то воздухонагревательные установки должны проектироваться в привязке к этим вентиляторам. Рекомендуемая схема расположения воздухонагревателя и вентилятора в установке представлена на
рис. 11.3. Согласно этой схеме в воздухонагревательной секции подогревается только часть наружного воздуха, поступающего к вентилятору.
4. В качестве теплоносителя для подогрева воздуха в воздухонагревателях рекомендуется принимать насыщенный пар. На случай отключения системы воздухонагревателей от теплоносителя в конструкции воздухонагревательной установки должна быть предусмотрена возможность немедленного спуска конденсата.
5. Для воздухонагревательных установок должны применяться только стандартные воздухонагреватели (ГОСТ 7201-80).
6. Холодный воздух в здание вентиляторно-воздухонагревательной установки должен поступать через проемы, расположенные в стенах здания на высоте не менее 2 м от уровня земли.
7. В целях предупреждения охлаждения теплого воздуха, идущего по трубопроводу в ствол, трубопровод от здания до ствола должен покрываться теплоизолирующим материалом.
8. Проектом и инструкцией по эксплуатации воздухонагревательной установки должны быть предусмотрены устройства и аппаратура для регулирования температуры:
поступающего в ствол воздуха в пределах 2 - 5 °C;
конденсата в пределах 40 - 70 °C.
9. Каждая воздухонагревательная установка должна иметь аппаратуру контроля:
давления пара на входе в воздухонагревательную установку;
температуры конденсата на выходе из каждой воздухонагревательной секции с ее регистрацией;
температуры наружного (холодного) воздуха с ее регистрацией;
температуры воздуха после каждой воздухонагревательной секции;
температуры поступающего в ствол подогретого воздуха с ее регистрацией;
потерь давления на всасывающей и нагнетательной стороне вентиляторной установки;
давления пара на конденсатосборнике каждой воздухонагревательной секции.
11.2. Методика проектирования шахтных безвентиляторных
и вентиляторных воздухонагревательных установок
Проектом должно быть определено число воздухонагревателей и их наиболее целесообразное расположение в установке, обеспечивающее требуемую теплопроизводительность при любых температурах наружного воздуха.
Исходными данными для выполнения теплотехнических расчетов являются:
расход воздуха для шахты;
температура наружного воздуха;
температура поступающего в шахту подогретого воздуха;
вид теплоносителя и его параметры;
тип и номер воздухонагревателей, принимаемых для монтажа установки.
В зависимости от принятых типа и номера воздухонагревателей, вида теплоносителя и габаритов здания намечается схема группы воздухонагревателей: число воздухонагревателей в группе, расположение их по высоте, число рядов воздухонагревателей по ходу воздушной струи и схема подключения воздухонагревателей с теплоносителем.
Воздухонагревательная установка должна состоять из одинаковых групп воздухонагревателей, расположенных параллельно теплоносителю.
При такой схеме подключения температуры воздуха и теплоносителя на входе в воздухонагреватели всех групп и выходе из них будут одинаковыми.
Поэтому методика расчета безвентиляторной и вентиляторной воздухонагревательных установок сводится к теплотехническому расчету группы воздухонагревателей при теплоносителе-воде.
Расчет принятой группы воздухонагревателей производится в следующей последовательности.
1. Задаются значениями массовой скорости воздуха во фронтальном сечении

и скорости движения воды в трубках воздухонагревателя. Массовая скорость воздуха принимается в пределах 3,6 - 5,0 кг/(м2 x с), а скорость движения воды в трубках

.
2. В зависимости от принятых типа воздухонагревателя и значений

и

определяется значение

, где

- показатель, характеризующий тип воздухонагревателя;

- коэффициент теплопередачи для многорядных по ходу воздуха воздухонагревательных групп.
Показатель

может быть принят по
табл. 11.1 или определен по формуле

, (11.1)
где F - площадь поверхности теплообмена с воздушной стороны воздухонагревателя, м2;

- фронтальное сечение воздухонагревателя для прохода воздуха, м2.
Таблица 11.1
Технические данные воздухонагревателей
Обозначение воздухонагревателя | Показатели | Номер воздухонагревателя |
6 | 7 | 8 | 9 | 10 | 11 | 12 |
1 | 2 | 3 | 4 | 5 | 6 | 7 | 8 | 9 |
КСк3-02ХЛ3А | F, м2 | 13,26 | 16,34 | 19,42 | 22,50 | 28,66 | 83,12 | 125,27 |
| 0,267 | 0,329 | 0,392 | 0,455 | 0,581 | 1,66 | 2,488 |
| 0,000846 | 0,000846 | 0,000846 | 0,000846 | 0,000846 | 0,002576 | 0,03881 |
| 0,001006 | 0,001006 | 0,001006 | 0,001006 | 0,001006 | 0,002205 | 0,002205 |
| 0,025 | 0,025 | 0,025 | 0,025 | 0,025 | 0,025 | 0,025 |
| 780 | 960 | 1144 | 1328 | 1696 | 1592 | 1583 |
 ,  |
КСк4-02ХЛ3А | F, м2 | 17,42 | 21,47 | 25,52 | 29,57 | 37,68 | 110,05 | 166,25 |
| 0,267 | 0,329 | 0,392 | 0,455 | 0,581 | 1,660 | 2,488 |
| 0,001113 | 0,001113 | 0,001113 | 0,001113 | 0,001113 | 0,003412 | 0,005134 |
| 0,001006 | 0,001006 | 0,001006 | 0,00106 | 0,001006 | 0,002205 | 0,002205 |
| 0,033 | 0,033 | 0,033 | 0,033 | 0,033 | 0,033 | 0,033 |
| 592 | 730 | 870 | 1010 | 1289 | 1202 | 1197 |
 ,  |
КВСБ-ПУ3 | F, м2 | 12,92 | 15,92 | 18,96 | 22,02 | 28,11 | 80,3 | 120,36 |
| 0,267 | 0,329 | 0,392 | 0,455 | 0,581 | 1,660 | 2,488 |
| 0,00087 | 0,00087 | 0,00087 | 0,00087 | 0,00087 | 0,00261 | 0,00392 |
| 0,00101 | 0,00101 | 0,00101 | 0,00101 | 0,00101 | 0,00221 | 0,00221 |
| 0,024 | 0,024 | 0,024 | 0,024 | 0,024 | 0,024 | 0,024 |
| 758 | 934 | 1113 | 1292 | 1650 | 1570 | 1568 |
 ,  |
КВББ-ПУ3 | F, м2 | 17,22 | 21,22 | 25,29 | 29,34 | 37,48 | 107,08 | 160,49 |
| 0,267 | 0,329 | 0,392 | 0,455 | 0,581 | 1,660 | 2,488 |
| 0,00116 | 0,00116 | 0,00116 | 0,00116 | 0,00116 | 0,00348 | 0,00592 |
| 0,00101 | 0,00101 | 0,00101 | 0,00101 | 0,00101 | 0,00221 | 0,00358 |
| 0,032 | 0,032 | 0,032 | 0,032 | 0,032 | 0,032 | 0,032 |
| 568 | 700 | 835 | 969 | 1237 | 1178 | 1038 |
 ,  |
В таблице дополнительно введены следующие обозначения:

- площадь сечения прохода теплоносителя, м2;

- площадь сечения патрубка, м2;

- депрессия воздухонагревателя, Па.

.
Примечание. Технические данные новых модификаций воздухонагревателей берутся по таблицам, помещенным в соответствующих справочниках.
Коэффициент

может быть определен по соответствующим формулам
табл. 11.1.
3. Определяются значения параметров

и

для одного воздухонагревателя в группе по формулам:

, (11.2)
где

- показатель, характеризующий номер и тип воздухонагревателя; принимается по
табл. 11.1;

. (11.3)
При теплоносителе-паре для многорядных по ходу воздушной струи воздухонагревательных групп

. (11.4)
4. Определяются значения

и

для одного ряда воздухонагревателей

; (11.5)

, (11.6)
где

- число воздухонагревателей в одном ряду, последовательно подключенных по ходу теплоносителя.
При теплоносителе-паре:

;

.
5. Проверяется степень нагрева воздуха

в ряду и степень охлаждения теплоносителя

.
При однорядном расположении воздухонагревателей величина

должна быть больше указанной в табл. 11.2, а

должна находиться в пределах, указанных в табл. 11.2.
Таблица 11.2
Основные расчетные параметры
воздухонагревательных установок
Показатели | Расчетные показатели для бассейнов |
Донецкого | Карагандинского | Кузнецкого |
1 | 2 | 3 | 4 |
Расчетная температура наружного воздуха  , °C | -36 | -49 | -50 |
Плотность воздуха  , кг/м3 | 1,48 | 1,54 | 1,58 |
Плотность воздуха  , кг/м3 на выходе из воздухонагревателей при  | 1,15 | 1,15 | 1,15 |
Минимальные значения степени нагрева воздуха  : | | | |
при параметрах теплоносителя: | | | |
150 - 70 °C | 0,22 | 0,26 | 0,28 |
130 - 70 °C | 0,25 | 0,29 | 0,31 |
при теплоносителе-паре с  | 0,23 | 0,27 | 0,29 |
Пределы значений степени охлаждения воды  при параметрах: | | | |
150 - 70 °C | 0,43 - 0,48 | 0,41 - 0,46 | 0,40 - 0,45 |
130 - 70 °C | 0,38 - 0,42 | 0,34 - 0,40 | 0,33 - 0,39 |
Удельный расход тепла на нагрев воздуха, поступающего в шахту,  , Вт x с/м3 | 49000 | 61000 | 67000 |
Если значение

будет меньше указанного в
табл. 11.2, то это означает, что массовая скорость воздуха

принята слишком высокой.
В случае, когда

не входит в пределы, указанные в
табл. 11.2, следует изменять скорость воды в трубках воздухонагревателя

.
6. При двухрядном расположении воздухонагревателей определяются значения

и

для всей группы по соответствующим формулам, приведенным в табл. 11.3. Значение

должно быть больше указанного в
табл. 11.2,

должно находиться в пределах указанных в
табл. 11.2.
Таблица 11.3
Формулы для расчета многорядных
воздухонагревательных установок
Теплоноситель | Схема соединения рядов воздухонагревателей по теплоносителю | Параметры всей установки, если известны параметры ряда | Параметры ряда, если известны параметры установки |
Горячая вода | Последовательно-прямоточная | | | | |
Последовательно-противоточная при  | | | | |
Последовательно-противоточная при  | | | | |
Параллельная | | | | |
Пар | Параллельная | - | | - | |
Здесь

- число рядов воздухонагревателей.
Производится проверка, аналогичная указанной в
п. 5.
7. Определяются конечные температуры воздуха

и теплоносителя

по формулам:

; (11.7)

, (11.8)

,

- соответственно начальная температура теплоносителя и воздуха, °C.
При однорядной группе воздухонагревателей

,

; при многорядной группе

,

.
8. Определяется массовый расход воздуха

(кг/с) в воздухонагревателях по формуле

, (11.9)
где

- фронтальное сечение для прохода воздуха, м2; принимается по
табл. 11.1;

- число воздухонагревателей в одном ряду.
9. Определяется расход тепла G (Вт), переданного воздуху в группе воздухонагревателей

. (11.10)
10. Рассчитывается расход теплоносителя

(м3/ч), проходящий через каждый воздухонагреватель

, (11.11)
где

- число рядов воздухонагревателей.
11. Определяется скорость теплоносителя-воды в трубках воздухонагревателей

(м/с)

, (11.12)
12. Рассчитывается требуемая площадь поверхности теплообмена воздухонагревательной установки

(м2)

, (11.13)
где

. (11.14)
13. Отклонение фактической поверхности теплообмена от требуемой воздухонагревательной установки должно удовлетворять условию (в процентах)

, (11.15)
где

- фактическая поверхность теплообмена с воздушной стороны, равная сумме поверхностей теплообмена F установленных воздухонагревателей;
Если условие (11.15) не выполняется, необходимо заменить номер воздухонагревателя или его тип, и расчет повторяют, начиная с
п. 2.
14. Определяется депрессия

(даПа) воздухонагревателей

, (11.16)
где 1,2 - коэффициент резерва;

- потеря депрессии в одном воздухонагревателе, даПа; вычисляется по формуле, приведенной в
табл. 11.1.
Потеря давления теплоносителя

, (11.17)
где 1,1 - коэффициент резерва;

- коэффициент, учитывающий влияние числа ходов в многоходовых воздухонагревателях; принимается по табл. 11.4;

- сопротивление одного воздухонагревателя проходу теплоносителя; определяется по номограмме
(рис. 11.6).
Таблица 11.4
Коэффициент учета влияния числа ходов в многоходовых
воздухонагревателях на величину их гидравлического
сопротивления
Число ходов в воздухонагревателе | |
1 | 1,0 |
2 | 1,5 |
3 | 2,0 |
4 | 2,7 |
5 | 3,4 |
6 | 4,1 |
7 | 4,7 |
8 | 5,4 |
9 | 6,1 |
10 | 6,8 |
11 | 7,5 |
12 | 8,2 |
Рис. 11.6. Номограмма для определения
сопротивления проходу воды одноходовых воздухонагревателей
в зависимости от диаметра патрубка и расхода воды
15. Определяется площадь сечения проемов

(м2) для прохода холодного воздуха

, (11.8)
где

- плотность воздуха при расчетной температуре холодного воздуха, кг/м3; принимается по
табл. 11.2;

- допустимая максимальная скорость поступающего холодного воздуха в проемах воздухонагревательной установки, м/с;

.
16. Рассчитывается площадь сечения проемов

(м2) для прохода нагретого воздуха

, (11.19)
где

- плотность нагретого воздуха, кг/м3, принимается по
табл. 11.2;

- допустимая максимальная скорость в проемах для прохода нагретого воздуха в камеру смешения, м/с;

.
17. Определяется удельный

(Вт x с/м3) расход тепла на нагрев 1 м3/с поступающего в шахту воздуха

, (11.20)
где

и +2 °C - температура смеси холодного и подогретого в воздухонагревателе воздуха.
18. Определяется расход воздуха Q' (м3/с), нагреваемого одной группой воздухонагревателей

. (11.21)
19. Производится расчет всей воздухонагревательной установки, при этом определяется:
число групп

в воздухонагревательной установке

, (11.22)
где 1,1 - коэффициент запаса по теплопроизводительности установки;
количество теплоносителя для всей установки

(кг/ч)

; (11.23)
общая площадь сечения проемов

(м2) для прохода холодного воздуха

; (11.24)
площадь сечения

(м2) для прохода подогретого воздуха в камеру смешения

. (11.25)
Теплотехнический расчет однорядных (по воздуху) воздухонагревательных групп безвентиляторных и вентиляторных воздухонагревательных установок при теплоносителе - насыщенном паре производится по следующей методике.
Поверхность теплообмена воздухонагревательной установки

(м2) определяется по формуле

(11.26)
где

- расход воздуха для проветривания шахты, м3/ч;

- разность между средними температурами теплоносителя и воздуха, °C;

, (11.27)
где

- температура насыщенного пара, °C;
при давлении пара 0,03 МПа

можно принять 100 °C.
Коэффициент теплопередачи

определяется по формуле

. (11.28)
С учетом срока службы воздухонагревателей в установке коэффициент теплопередачи определяется из выражения

, (11.29)
где

- величина, учитывающая изменение коэффициента теплопередачи от срока службы воздухонагревателей в установке

, и равная
 , лет | 1 | 2 | 3 | 4 | 5 | 6 | 7 | 8 | 9 | 10 |
| 82,5 | 79,4 | 76,4 | 73,0 | 70,5 | 67,5 | 64,3 | 61,3 | 58,1 | 55,4 |
Поверхность теплообмена воздухонагревательной установки определяется суммой теплопередающих поверхностей

(м2)

, (11.30)
где

,

- теплопередающая поверхность ступени теплообмена соответственно "пар-воздух", "конденсат-воздух", м2; величина

составляет 10% от

.
Массовая скорость воздуха

(кг/м2 x с) во фронтальном сечении воздухонагревателей определяется по формуле

. (11.31)
Для ориентировочного расчета однорядной (по воздуху) воздухонагревательной установки в условиях шахт Кузбасса при теплоносителе-паре на рис. 11.7 приведен график, по которому определяется поверхность теплообмена с воздушной стороны воздухонагревательной установки в зависимости от расхода воздуха и давления пара

перед входом в воздухонагревательную установку.
Рис. 11.7. Зависимость величины поверхности нагрева
воздухонагревательной установки от расхода нагреваемого
воздуха и давления пара в воздухонагревателе
12. СОВЕРШЕНСТВОВАНИЕ ВЕНТИЛЯЦИИ ДЕЙСТВУЮЩИХ ШАХТ
С целью совершенствования вентиляции действующих шахт производится оценка состояния проветривания, выявляются его недостатки и их причины, разрабатываются мероприятия по обеспечению проветривания шахты на год и на пятилетие.
Для оценки состояния проветривания шахты используются показатели, приведенные в табл. 12.1.
Таблица 12.1
Показатели состояния проветривания шахт
Показатели | Значения показателей |
1 | 2 |
1. Обеспеченность расходом воздуха: | |
1.1. Шахты | Не менее расчетного |
1.2. Выемочных участков | То же |
1.3. Тупиковых выработок (по расходу у всаса ВМП) | " |
1.4. Камер | " |
1.5. Прочих выработок | " |
2. Максимальная скорость воздуха в выработках | Согласно ПБ |
3. Утечки воздуха (внутренние, внешние) | Не более расчетных |
4. Давление главных вентиляторов | Не более регламентированного ПТЭ |
5. КПД главных вентиляторов | Не менее 0,6 |
6. Резерв подачи воздуха в шахту главными вентиляторами | Не менее 14% |
7. Температура воздуха в призабойных пространствах очистных и тупиковых выработок | Согласно ПБ |
8. Температура воздуха на сопряжении канала воздухонагревательной установки со стволом в зимний период | Согласно ПБ |
Примечание. При естественной температуре пород 30 °C и более температура воздуха в призабойных пространствах очистных и тупиковых выработок при оценке состояния проветривания шахты не учитывается. |
Для каждого из приведенных в
табл. 12.1 показателей определяется наличие или отсутствие его отклонений от требуемых значений.
По результатам оценки состояния проветривания шахты разделяются на три группы.
К 1 группе относятся шахты, на которых все показатели, характеризующие состояние проветривания, соответствуют требуемым значениям; не применяется последовательное проветривание объектов (очистных и тупиковых выработок, камер), кроме негазовых шахт, тупиковых выработок, примыкающих к очистным забоям или проводимых по негазоносным породам; схема проветривания по устойчивости относится к 1 категории.
Ко 2 группе относятся шахты, на которых все объекты и шахта в целом обеспечены расчетным расходом воздуха; не применяется последовательное проветривание объектов (кроме негазовых шахт, тупиковых выработок и примыкающих к очистным забоям или проводимых по негазоносным породам); схема проветривания по устойчивости относится к 1 и 2 категориям, а один или несколько из остальных показателей
табл. 12.1 отличается от требуемых значений.
К 3 группе относятся газовые шахты, не обеспеченные расчетным расходом воздуха, на которых обеспеченность необходимым расходом воздуха достигается за счет последовательного проветривания объектов, кроме тупиковых выработок, проводимых по негазоносным породам или примыкающих к очистным забоям; схема проветривания по устойчивости относится к 1 и 2 категориям.
При разработке мероприятий по совершенствованию проветривания предусматривается обеспечение шахты и отдельных объектов проветривания необходимым расходом воздуха с учетом перспективы развития горных работ и устранение имеющихся отклонений показателей, характеризующих состояние проветривания, от требуемых значений. Для выбора их, прежде всего, определяются причины отклонений отдельных показателей от требуемых значений. При этом используются данные "Вентиляционного журнала", материалы депрессионных съемок.
По этим данным производится сравнение расчетных и фактических внешних и внутренних утечек воздуха, определяются соответствие основных шахтных показателей проекту и отступления от него, протяженность выработок с неудовлетворительным сечением, коэффициент использования воздуха и др.
Анализируются параметры и определяется соответствие источников тяги характеристикам сети, наличие резерва вентиляционных установок по подаче. Рассматривается газовый баланс выемочных участков, а также характеристика пластов и спутников и определяется соответствие схем проветривания выемочных участков и их параметров горно-геологическим условиям. Оцениваются эффективность дегазации, способов борьбы с высокими температурами, параметры воздухонагревательных установок.
Для шахт 1 и 2 групп разрабатываются текущие мероприятия по обеспечению проветривания на год (герметизация вентиляционных сооружений, перекрепление выработок и др.) и рассматривается обеспечение их проветривания в перспективе.
Для шахт третьей группы должны разрабатываться графики работы очистных и подготовительных забоев с учетом возможности по вентиляции и мероприятия по улучшению проветривания и переводу их в другую группу.
Мероприятия по обеспечению проветривания, разрабатываемые шахтой на год, включают: обособленное проветривание отдельных объектов в соответствии с требованиями ПБ; сокращение внешних и внутренних утечек воздуха; уменьшение аэродинамического сопротивления вентиляционной сети; изменение режимов работы вентиляторов; повышение устойчивости проветривания; выбор схем проветривания и их параметров, более эффективных способов управления газовыделением, ликвидации местных и слоевых скоплений метана, дегазации и кондиционирования рудничного воздуха или повышение их эффективности: повышение эффективности работы воздухонагревательных установок. Если этих мероприятий недостаточно для обеспечения проветривания выработок в соответствии с требованиями ПБ с учетом перспективы развития горных работ, шахты производят предварительную оценку и отбор мероприятий по реконструкции вентиляции: проведение стволов, скважин или других капитальных выработок для целей вентиляции, замену существующих или строительство новых главных вентиляционных, воздухоохладительных и воздухонагревательных установок.
Производственное объединение по предложению шахт намечает технические решения по совершенствованию (обеспечению) проветривания и совместно с проектными организациями разрабатывает варианты реконструкции вентиляции как составную часть вариантов развития предприятий.
13. ИСПОЛЬЗОВАНИЕ ЭВМ ДЛЯ РАСЧЕТА ВЕНТИЛЯЦИИ
УГОЛЬНЫХ ШАХТ
При проектировании вентиляции новых, реконструкции и совершенствовании вентиляционных систем действующих шахт применяются ЭВМ. Расчеты на ЭВМ проводятся в вычислительных центрах проектных институтов и производственных объединений по специальным стандартным программам, входящим в подсистему "Вентиляция, дегазация, кондиционирование" (ВДК) САПР-уголь и хранящимся в отраслевом фонде алгоритмов и программ Минуглепрома СССР (ОФАП Минуглепрома СССР).
Исходная информация подготавливается по формам в соответствии с технической документацией к программе.
Расчеты в вычислительных центрах производятся по заданиям с названием обязательной программы, необходимой для расчетов исходной информацией.
Перечень программ, их назначение и рекомендуемая область применения, организация-разработчик, ее адрес и номер регистрации в фонде Минуглепрома СССР приведены в табл. 13.1.
Таблица 13.1
Программы расчета вентиляции для шахт Минуглепрома СССР
Название программы и рекомендуемая область применения | Назначение программы и режим работы | Тип ЭВМ | Организация-разработчик, ее адрес | Номер регистрации в фонде Минуглепрома СССР |
1 | 2 | 3 | 4 | 5 |
1. Пакет прикладных программ по расчету естественного воздухораспределения в шахтных вентиляционных сетях (ППП CAPBCI) Разработка мероприятий по совершенствованию вентиляции на действующих шахтах. Экспертиза проектов вентиляции | Расчет воздухораспределения при заданных характеристиках источников тяги, расходах воздуха по потребителям и утечках. Режим работы - пакетный | ЕС ЭВМ | ДонУГИ 340048, г. Донецк, ул. Артема, 114 | ОФП 158 П004033 |
2. Пакет прикладных программ оптимального потокораспределения в вентиляционных сетях угольных шахт Регулирование воздухораспределения на действующих шахтах | Расчет оптимальных режимов работы вентиляторов главного проветривания и аэродинамических сопротивлений вентиляционных сооружений, обеспечивающих требуемый режим проветривания. Режим работы - пакетный | ЕС ЭВМ | ДонУГИ | ОФП-222 |
3. Комплекс задач по выбору рациональных режимов проветривания шахт при нормальной работе и в аварийных ситуациях Анализ и регулирование воздухораспределения на действующих шахтах | Обработка результатов депрессионных съемок, анализ распределения воздуха по группам объектов, расчет естественного воздухораспределения. Режим работы - пакетный | ЕС ЭВМ | ВНИИУуголь 140120 п. Ильинское Раменского района Московской обл., ул. Пролетарская, 49 | ОФП-255 |
4. Пакет прикладных программ проектирования вентиляции угольных шахт Проектирование и реконструкция вентиляции угольных шахт | Определение рациональных параметров вентиляционных сетей, расчет, анализ и повышение устойчивости проветривания, выбор типоразмеров вентиляторов главного проветривания | ЕС ЭВМ | ИГТМ АН УССР 320600, Днепропетровск-95, ул. Симферопольская, 2а | ОФП-425 |
5. Диалоговая программа расчета вентиляции шахт | Расчет естественного воздухораспределения | ЕС ЭВМ | ИГМ АН УССР | ОФП-426 |
6. Пакет прикладных программ расчета технических возможностей шахты по вентиляции Реконструкция вентиляции угольных шахт | Расчет потокораспределения с учетом максимальной нагрузки на очистной забой по газовому фактору. Режим работы - пакетный | ЕС ЭВМ | ИГТМ АН УССР | ОФАП-391 |
7. Диалоговая программа расчета вариантов вентиляции шахт Выбор схем проветривания при проектировании и реконструкции шахт Выбор рациональных мероприятий по совершенствованию вентиляции на действующих шахтах | Расчет естественного потокораспределения, оптимальное регулирование, анализ распределения воздуха по объектам проветривания. Режим работы - интерактивный | ЕС ЭВМ | ИГТМ АН УССР | |
Примечание. Программы, не прошедшие регистрацию в ОФАЦ Минуглепрома СССР, поставляются разработчиком этих программ по запросу. |
Тексты программ и техническая документация могут быть получены по заявке из фонда алгоритмов и программ Минуглепрома СССР (140120, Московская обл., Раменский район, пос. Ильинское, ул. Пролетарская, 49, ГВЦ Минуглепрома СССР, ОФАП).
СХЕМ ПРОВЕТРИВАНИЯ ВЕНТИЛЯЦИОННЫХ И ВЫЕМОЧНЫХ УЧАСТКОВ
Вентиляционный участок является основным звеном, определяющим важнейшие параметры и показатели (величину утечек воздуха, степень устойчивости и т.д.), характеризующие схему проветривания шахт в целом.
Шахтное поле в зависимости от способа подготовки и системы разработки разбивается на отдельные выемочные поля (например, панели) различных размеров. На крупной шахте, как правило, одновременно отрабатывается несколько выемочных полей, связанных между собой главными выработками. Схема вентиляционных соединений такой шахты состоит из нескольких областей (по числу выемочных полей), соединенных между собой общешахтными связями (струями). Эти области называются вентиляционными участками.
Каждый вентиляционный участок может включать один или несколько выемочных участков (очистных забоев с примыкающими к ним откаточными и вентиляционными штреками). Например, схема вентиляционных соединений шахты, на которой одновременно отрабатываются четыре панели (выемочных поля) - две бремсберговые и две уклонные (рис. П.1.1), состоит из четырех вентиляционных участков. Каждый из них (например, 7-15-17-19-12-14) включает в себя вентиляционные струи, омывающие очистные и подготовительные забои, а также утечки воздуха.
Рис. П.1.1. Схема проветривания шахты:
а - схема вентиляции; б - схема вентиляционных соединений
Схема проветривания вентиляционных участков (панелей, выемочных полей) в зависимости от схемы подготовки шахтного поля, системы разработки, направления движения свежей и исходящей струй воздуха по выработкам вентиляционного и выемочного участков разделяются на следующие основные группы:
I. Схемы проветривания панелей с согласным движением воздушных струй по наклонным выработкам. Такие схемы характерны для панелей, подготовленных бремсбергами с выдачей струи на верхний горизонт, т.е. при восходящем движении исходящей струи на всем пути от забоя до вентилятора. В дальнейшем схемы 1 группы называются бремсберговыми. К ним относятся схемы проветривания участков бремсбергового поля при этажной подготовке (без разделения этажа на подэтажи).
II. Схемы проветривания панели со встречным движением струй по наклонным выработкам. Эти схемы характерны для панелей, подготовленных уклонами. В дальнейшем они называются уклонными.
Ко второй группе относятся также схемы проветривания уклонных полей при этажной подготовке и системе разработки лава-этаж, а также схемы проветривания одиночных пластов, вскрытых наклонными стволами, при тех же условиях.
III. Схемы проветривания выемочных полей, подготовленных столбами и отрабатываемых лавами, движущимися по восстанию или падению.
IV. Схемы проветривания выемочных полей при этажной подготовке с разделением этажа на подэтажи и отработкой на промежуточные бремсберги (скаты).
V. Схемы проветривания выемочных полей на пластах, вскрытых этажными квершлагами и отрабатываемых системой лава-этаж.
VI. Схемы проветривания щитовых участков.
VII. Схемы проветривания участков при слоевых системах разработки мощных пластов.
VIII. Схемы проветривания участков при системе разработки наклонными слоями с выемкой их короткими полосами по простиранию.
По одному характерному варианту каждой из восьми групп схем проветривания вентиляционных участков представлено на рис. П.1.2.
Рис. П.1.2. Характерные варианты схем I - VIII
проветривания вентиляционных участков. На схемах
I, II, V, VIII вентиляционные участки включают по четыре
выемочных участка, на схемах III и IV - два,
на схемах V' и VII - три, на схеме VI - один
На
рис. П.1.3 приведены варианты схем проветривания выемочных участков и их классификация.
Рис. П.1.3. Варианты схем проветривания
выемочных участков (1 тип)
Рис. П.1.3. Варианты схем проветривания
выемочных участков (2 и 3 тип)
Схемы проветривания вентиляционных участков определяются главным образом схемами проветривания выемочных участков.
На рис. П.1.4 -
П.1.12 приведена увязка основных схем проветривания выемочных участков при отработке пластов пологого и наклонного падения со схемами проветривания крыла, панели (вентиляционного участка).
Рис. П.1.4. Схемы проветривания вентиляционных участков:
а - проветривание выемочных участков по схеме 3-В-Н-пт
с выдачей исходящей струи на фланговую выработку;
б - то же с выдачей исходящей струи на центральные
выработки по опережающему штреку
Рис. П.1.5. Схемы проветривания вентиляционных участков:
а - проветривание выемочных участков по схеме 1-В-Н-в-вт;
б - проветривание выемочных участков по схеме 1-М-Н-в-вт
Рис. П.1.6. Схемы проветривания вентиляционных участков:
а - проветривание выемочных участков по схеме 3-В-Н-н-пт
при полевой подготовке; б - проветривание выемочных
участков по схеме 3-В-Н-н-пт при подготовке
выработок широким ходом
а)
б)
Рис. П.1.7. Схемы вентиляционных участков при полевой
подготовке: а - проветривание выемочных участков по схеме
3-В-Н-г-пт при отработке пласта столбами по падению;
б - то же по схеме 3-В-Н-г-пт при отработке столбами
по восстанию
Рис. П.1.8. Схемы вентиляционных участков:
а - проветривание выемочных участков по схеме 3-В-З-г-пт;
б - проветривание выемочных участков по схеме 3-В-Н-г-вт
Рис. П.1.9. Схема проветривания вентиляционного участка
для прямоточной схемы проветривания выемочного участка
(схема 3-В-Н-н-пт) при управлении газовыделением
стационарным дренажным штреком
Рис. П.1.10. Схема проветривания вентиляционного участка
при бесцеликовой технологии выемки и подготовке
выемочного участка спаренными штреками
(схема 3-В-Н-н-пт)
Рис. П.1.11. Схема вентиляционного участка
для комбинированной схемы проветривания выемочного участка
(схема 1-К-Н-вт, пт) с изолированным отводом метана
из выработанного пространства с помощью
газоотсасывающего вентилятора
Рис. П.1.12. Схема вентиляционного участка
для комбинированной схемы проветривания выемочного участка
(схема 1-К-Н-вт, пт) с изолированным отводом метана
по вентиляционной скважине, пробуренной с поверхности
на фланговую газоотводящую выработку и оборудованную
газоотсасывающим вентилятором
На
рис. П.1.13 -
П.1.16 показаны схемы проветривания выемочных участков с обособленным разбавлением вредностей на крутых пластах.
Рис. П.1.13. Схема проветривания выемочных участков
на крутом пласте при групповой подготовке с обособленным
разбавлением и удалением вредностей и выпуском исходящей
струи на вентиляционный горизонт по гезенку
Рис. П.1.14. Схема проветривания выемочных участков
на крутом пласте при групповой разработке с обособленным
разбавлением и удалением вредностей и пуском
исходящей струи по нижнему
вентиляционному штреку
Рис. П.1.15. Схема проветривания выемочных участков
с обособленным разбавлением и удалением вредностей
при групповой разработке крутых пластов
и расположением забоев на двух этажах
Рис. П.1.16. Схема нисходящего проветривания группы
очистных выработок на нижнем этаже при восходящем
проветривании другой группы очистных выработок
на вышележащем этаже
Подготовка выемочного поля (блока панели) может осуществляться как пластовыми, так и полевыми выработками.
ОПРЕДЕЛЕНИЕ ПАРАМЕТРОВ ИЗОЛИРОВАННОГО ОТВОДА МЕТАНА
ИЗ ВЫРАБОТАННОГО ПРОСТРАНСТВА И ХАРАКТЕРИСТИКА УСМ
П.2.1. Проект изолированного отвода метана из выработанного пространства включает пояснительную записку и графическую часть.
Пояснительная записка содержит:
обоснование необходимости изолированного отвода метана из выработанного пространства;
расчет режима работы газоотсасывающей установки и выбор источника тяги;
расчет расхода воздуха, необходимого для разбавления метана в камере смешения;
результаты расчета расхода воздуха, необходимого для проветривания выемочного участка, при работающей и неработающей газоотсасывающей установке;
меры безопасности при эксплуатации газоотсасывающей установки.
В графической части проекта должны содержаться:
выкопировка из плана горных выработок с расположением вентиляционных устройств и направлением движения воздуха и отводимой МВС от входа в выработки выемочного участка до места установки смесительной камеры;
схема проветривания участка и камеры, в которой установлена газоотсасывающая установка;
схема электроснабжения участка и газоотсасывающей установки;
схема камеры смешения и ее размеры.
П.2.2. Расчет параметров газоотсасывающей установки и выбор источников тяги при изолированном отводе метана из тупика погашаемой выработки и из выработанного пространства (рис. П.2.1 и
П.2.2) производится в следующем порядке.
Рис. П.2.1. Схема изолированного отвода метана
из погашаемого тупика вентиляционной выработки:
1 - вентилятор; 2 - трубопровод; 3 - смесительная камера;
4 - всасывающий патрубок; 5 - перемычка;
6 - регулирующее окно
Рис. П.2.2. Схема изолированного отвода метана
при сплошной системе разработки:
1 - вентилятор; 2 - трубопровод; 3 - смесительная камера
Рассчитывается по
формуле (7.60) необходимый расход МВС на всасе трубопровода

.
Принимается ориентировочно диаметр газоотсасывающего трубопровода в диапазоне 0,5 - 0,9 м, учитывая при этом возможность размещения его в выработке. Для принятого диаметра трубопровода рассчитывается аэродинамическое сопротивление по формуле

, (П.2.1)
где

- общее аэродинамическое сопротивление трубопровода,

;

- коэффициент, учитывающий подсосы воздуха во всасывающем участке трубопровода, определяется по
формуле (7.94), в которую вместо

подставляется

;

,

- аэродинамическое сопротивление фасонных частей соответственно на всасывающем и нагнетательном участках трубопровода,

; определяется по
табл. 7.24;

- аэродинамическое сопротивление нагнетательного участка трубопровода,

; определяется по тем же формулам и таблицам;

- коэффициент, учитывающий утечки воздуха из нагнетательного участка трубопровода; определяется по
формуле (7.94).
Необходимая производительность газоотсасывающей установки

определяется по формуле

. (П.2.2)
Выбираем источник тяги, обеспечивающий заданную эффективность при работе на данную сеть. Для этого определяется депрессия

, которую он должен развивать

. (П.2.3)
Выбирается источник тяги аналогично выбору ВМП (см.
п. 7.8.5). Принимается тот вентилятор (эжектор), который обеспечивает при производительности

депрессию, равную или превосходящую значение, рассчитанное по формуле (П.2.3).
П.2.3. Рассчитывается режим работы газоотсасывающей установки при изолированном отводе метана по неподдерживаемой выработке (рис. П.2.3) следующим образом.
Рис. П.2.3. Схема изолированного отвода метана
по неподдерживаемой вентиляционной выработке:
1 - вентилятор (или эжектор); 2 - трубопровод;
3 - смесительная камера; 4 - перемычка;
5 - ограждающая перемычка
С учетом заданной эффективности определяется расход МВС, который необходимо отвести по неподдерживаемой выработке за пределы выемочного участка.
Для ликвидации опасных скоплений метана на сопряжении лавы с вентиляционной выработкой коэффициент эффективности отвода метана должен быть не менее 0,5. Для обеспечения такой эффективности расход МВС должен составлять

, где

- утечки воздуха через выработанное пространство, м3/мин.
Величина

определяется по формуле

. (П.2.4)
Аэродинамическое сопротивление сети, по которой будет отводиться МВС, складывается из сопротивления неподдерживаемой выработки

и трубопровода.
Аэродинамическое сопротивление трубопровода определяется по
формуле (П.2.1), а неподдерживаемой выработки - по формуле

, (П.2.5)
где

- коэффициент, зависящий от способа поддержания выработки, по которой отводится МВС; принимается равным 40 при отводе МВС по выработке с извлеченной крепью и 8,4 при отводе МВС по выработке с предварительным усилением крепи стойками или кострами;

- время отработки лавы, мес;

- максимальная длина неподдерживаемой части выработки, используемой для отвода МВС, м.
В случае использования для отвода метана просека
(рис. П.2.2), закрепленного деревянными кострами,

.
Потери давления при движении МВС по неподдерживаемой выработке

определяются по формуле

, (П.2.6)
где

- расход МВС, отсасываемой по неподдерживаемой выработке, м3/мин; принимается равным

.
Расход МВС

на всасе трубопровода определяется по формуле

, (П.2.7)
где

- среднее фактическое (ожидаемое) метановыделение из выработанного пространства выемочного участка, м3/мин; определяется для действующих выемочных участков по результатам газовой съемки в соответствии с Руководством по производству депрессионных и газовых съемок в угольных шахтах или по разности расходов метана в вентиляционной выработке (20 - 30 м от лавы) и в лаве (10 - 15 м от вентиляционной выработки). Ожидаемое метановыделение определяется по фактическому в соответствии с
подразделом 3.2;

- коэффициент неравномерности метановыделения; принимается по
табл. 7.6;

- допустимая концентрация метана в трубопроводе, %; принимается равной 3,5%.

; (П.2.8)

- коэффициент утечек воздуха через перемычку; принимается равным 1,3.
Если условие (П.2.8) не выполняется, то

принимается равным

. При

необходимо увеличить утечки воздуха через перемычку.
Депрессия газоотсасывающей установки (вентилятора, эжектора) с учетом подсосов через перемычку

определяется по формуле

. (П.2.9)
Выбор источника тяги осуществляется аналогично выбору ВМП (см.
п. 7.8.5). Принимают тот вентилятор (эжектор), депрессия которого превосходит значение, рассчитанное по формуле (П.2.9), или равна расчетной величине. Если требуемые значения расхода и депрессии не могут быть обеспечены, то принимают трубопровод большего диаметра и расчет повторяют.
П.2.4. Определение расхода воздуха в выработке, в которую выпускается отсасываемый метан
Если по выработке проходит исходящая струя выемочного участка, из которого отводится метан, то расход воздуха в месте сооружения смесительной камеры должен быть не менее

, (П.2.10)
где

- средняя фактическая метанообильность выемочного участка с учетом отводимого газа, м3/мин; определяется согласно
подразделу 3.2;
C - допустимая ПБ концентрация метана в выработке, в которой установлена смесительная камера, %;

- концентрация метана в поступающей на выемочный участок вентиляционной струе, %; определяется по результатам измерений.
Если отсасываемая МВС отводится в выработку, по которой не проходит исходящая струя выемочного участка, из которого осуществляется отвод, то расход воздуха в месте сооружения смесительной камеры должен быть не менее

, (П.2.11)
где

- коэффициент, учитывающий эффективность изолированного отвода метана; принимается согласно указаниям
п. 7.4.3;

- расход метана в выработке перед смесительной камерой, м3/мин.
П.2.5. Меры безопасности при эксплуатации газоотсасывающих установок
П.2.5.1. Газоотсасывающая установка должна работать непрерывно. Выключение ее допускается только на время профилактических осмотров и ремонтов.
П.2.5.2. Профилактические осмотры и ремонты газоотсасывающей установки должны производиться по графикам не реже двух раз в месяц в выходные дни или нерабочие смены под руководством механика участка. График плановых осмотров и ремонтов утверждается главным инженером шахты.
П.2.5.3. Электроснабжение газоотсасывающей установки должно быть независимым от электроснабжения обслуживаемого участка.
П.2.5.4. При любой остановке газоотсасывающего вентилятора электроэнергия на обслуживаемом установкой участке должна быть автоматически отключена. Газоотводящий трубопровод должен быть перекрыт заслонкой и в ней же открыто окно для проветривания.
П.2.5.5. Камера газоотсасывающего вентилятора должна проветриваться свежей струей воздуха, концентрация метана в ней должна контролироваться стационарным автоматическим прибором, снимающим напряжение с электрооборудования в камере при концентрации метана 1%.
П.2.5.6. Газоотсасывающая установка должна обслуживаться дежурным машинистом, прошедшим инструктаж и отвечающим за работу установки в данной смене.
В камере газоотсасывающего вентилятора и в вентиляционной выработке вблизи лавы должны быть установлены телефоны. В камере должна находиться "Книга учета работы газоотсасывающей установки", контроль за ведением которой возлагается на механика участка.
Машинист газоотсасывающей установки обязан:
осуществлять ежесменный осмотр вентилятора (без его остановки), трубопровода и смесительной камеры и обо всех замеченных недостатках (нарушениях целостности трубопровода, всасывающего патрубка или смесительной камеры, заземления и т.д.) сообщать начальнику выемочного участка;
измерять не реже одного раза в час содержание метана в трубопроводе у вентилятора и не реже трех раз в смену в трубопроводе у лавы. Измерения содержания метана осуществляются переносными приборами эпизодического действия;
обеспечивать подачу воздуха из штрека в трубопровод при помощи регулирующего окна так, чтобы концентрация метана в трубопроводе у вентилятора не превышала 3%, а в трубопроводе у лавы - 3,5%;
выключать газоотсасывающий вентилятор при остановке главного вентилятора или при пожаре на участке; перекрывать трубопровод у лавы при неработающем вентиляторе и открывать регулирующее окно для его проветривания. Повторное включение вентилятора допускается только после снижения концентрации метана в камере ниже 1% и в трубопроводе у вентилятора до 3%.
П.2.5.7. Работа газоотсасывающих вентиляторов без машиниста допускается при условии оснащения их автоматическими средствами управления и контроля температуры подшипников и концентрации метана в трубопроводе, обеспечивающими отключение газоотсасывающего вентилятора при превышении норм контролируемых параметров. Остальные функции машиниста, осуществляемые не чаще одного раза в смену, по распоряжению главного инженера должны быть переданы другим лицам.
В случаях применения в качестве источника тяги эжектора допускается работа газоотсасывающих установок без машиниста; контроль за состоянием и работой установки осуществляется лицами надзора (горным мастером участка, горным мастером ВТБ либо дежурным электрослесарем).
П.2.5.8. Сменные инженерно-технические работники участка обязаны не реже одного раза в смену, а вентиляционный надзор - не реже одного раза в сутки осуществлять контроль концентрации метана на выходе из смесительной камеры, в трубопроводе у вентилятора и у лавы.
Если концентрация метана на выходе из смесительной камеры достигает 2%, а в трубопроводе у лавы превышает 3,5 и у вентилятора - 3,0%, то должны быть приняты меры для увеличения расхода воздуха в камере и в трубопроводе.
П.2.5.9. В выработке, где устроена смесительная камера, в 15 - 20 м от нее по ходу вентиляционной струи, должен осуществляться контроль содержания метана стационарными автоматическими приборами. Датчик метана устанавливается у стенки на стороне расположения смесительной камеры и должен обеспечивать телеизмерение с регистрацией на самопишущем приборе.
П.2.6. Характеристики установок УСМ
Установки УСМ-02 и УСМ-04 имеют следующие характеристики: номинальная подача вентилятора (эжектора) - 0,5 м3/с; номинальное давление - 120 даПа; рабочее давление сжатого воздуха и расход сжатого воздуха (для установок УСМ-04) - соответственно 0,3 МПа и 3 м3/мин; коэффициент эжекции смесителя около трех; масса установки - 330 кг; длина газоотводящего трубопровода - 20 м; внутренний диаметр газоотводящего трубопровода - 180 мм.
РАСЧЕТА ТЕХНИЧЕСКИХ ВОЗМОЖНОСТЕЙ ШАХТЫ ПО ВЕНТИЛЯЦИИ
П.3.1. Основные положения
Под техническими возможностями шахты по вентиляции (

, т/сут) понимается максимально возможный годовой (суточный) объем добычи угля, который может быть обеспечен необходимым расходом воздуха в горных выработках, с учетом осуществления в планируемом периоде мероприятий по совершенствованию вентиляции и выполнения требований ПБ и Правил технической эксплуатации (ПТЭ), регламентирующих проветривание шахты.
Технические возможности шахты по вентиляции на планируемую пятилетку (год) рассчитываются на основании календарного плана развития горных работ для группы одновременно действующих очистных и тупиковых выработок с наиболее сложными условиями проветривания, которые в общем случае характеризуются следующими факторами:
максимальным удалением горных работ от вскрывающих вентиляционных выработок;
максимальным числом одновременно действующих очистных забоев, обособленно проветриваемых тупиковых выработок, камер, поддерживаемых и погашаемых выработок;
максимальным ожидаемым газовыделением в очистных и тупиковых выработках и выемочных участках.
Расчет технических возможностей шахты по вентиляции на планируемый год выполняется для каждой группы одновременно действующих в соответствии с графиком ввода-выбытия очистных выработок.
Основой для расчетов

служат годовые и пятилетние календарные планы развития горных работ, схема вентиляции шахты на момент проведения расчетов, материалы последней депрессионной съемки, характеристики фактических режимов работы главных вентиляционных установок, а также параметры, характеризующие метанообильность выемочных участков и тупиковых выработок.
П.3.2. Расчет технических возможностей шахты
Расчет технических возможностей шахты по вентиляции на планируемую пятилетку выполняется для очистных забоев, действующих в году, с наиболее сложными условиями проветривания по формуле

, (П.3.1)
где

- число дней работы в данном году, сут;

- число очистных забоев в j-ой группе;

- технически возможная по вентиляции нагрузка на i-й очистной забой j-ой группы одновременно действующих очистных забоев в данном году, т/сут;

- добыча из тупиковых выработок в планируемом году, т/год.
Расчет технической возможности шахты по вентиляции на планируемый год выполняется для каждой группы одновременно действующих очистных забоев по формуле

, (П.3.2)
где

- число групп одновременно действующих в течение года очистных забоев;

- длительность работы в течение года j-ой группы очистных забоев, сут.
Технически возможная по вентиляции нагрузка на очистную выработку в планируемом году

определяется следующим образом.
Определяется расчетная нагрузка для каждой очистной выработки

как минимальная из максимально полученных по условиям механизации

или по газовому фактору

. Максимально возможная по условиям механизации нагрузка на очистную выработку (

, т/сут) определяется в соответствии с технологическими схемами разработки угольных пластов, утвержденными Минуглепромом СССР. Максимально допустимая по газовому фактору нагрузка на очистную выработку

определяется по методике, приведенной в
6-ом разделе настоящего Руководства.
Исходя из обеспеченности очистных выработок расчетным расходом воздуха, технически возможная по вентиляции нагрузка на очистную выработку в планируемом году принимается равной:
если

, то

; (П.3.3)
если

, то

; (П.3.4)
если

, то

не рассчитывается, (П.3.5)
где

- ожидаемый расход воздуха в очистной выработке (на участке) в планируемом периоде, м3/мин; определяется путем расчета воздухораспределения в вентиляционной сети на ЭВМ;

- расход воздуха, необходимый для проветривания очистной выработки (участка) при нагрузке

;

- минимально допустимый расход воздуха в очистной выработке (на участке), м3/мин. В качестве

принимается наибольший расход воздуха, рассчитанный по всем факторам
раздела 7, кроме метановыделения.
В зависимости от схемы проветривания участка, значений ожидаемых метановыделений очистной выработки

и выемочного участка

, а также коэффициента утечек воздуха через выработанное пространство

при определении

,

и

необходимо брать данные по очистной выработке или выемочному участку в соответствии с рекомендациями, изложенными в
п. 6.2 раздела 6 и
разделе 7.
Длительность работы в течение года j-й группы одновременно действующих очистных забоев

определяется по графику ввода-выбытия очистных выработок. В случае его изменения из-за уменьшения нагрузок на очистные забои по условиям вентиляции производится корректировка величин

в зависимости от запасов угля, нагрузок на очистные забои и мероприятий по их повышению.
Добыча из тупиковых выработок на планируемый период определяется в соответствии с фактическим соотношением добычи шахты из очистных и тупиковых выработок.
При расчете технической возможности шахты по вентиляции на пятилетку добыча из тупиковых выработок определяется по формуле

; (П.3.6)
при расчете на год по формуле

, (П.3.7)
где

,

- фактические значения добычи шахты соответственно из тупиковых и очистных выработок в году, предшествующем отчетному, т/год.
Для определения резерва технической возможности шахты по вентиляции рассчитываются технические возможности вентиляционной системы шахты

.
Под техническими возможностями вентиляционной системы понимается потенциально возможный годовой (суточный) объем добычи угля, соответствующий максимальному уровню вентиляционного обеспечения шахты, рассчитанный с учетом осуществления в планируемом периоде мероприятий по совершенствованию вентиляции, являющихся составной частью комплекса мероприятий по техническому перевооружению шахты.
Технические возможности вентиляционной системы шахты рассчитываются по
формулам (П.3.1),
(П.3.2), при этом в качестве расчетной нагрузки

принимается потенциально возможная по вентиляции нагрузка на очистную выработку, определяемая по
формулам (П.3.3),
(П.3.4), где в качестве расчетной принимается максимально допустимая по газовому фактору нагрузка

.
Величина резерва технической возможности шахты по вентиляции определяется по формуле

. (П.3.8)
АЭРОДИНАМИЧЕСКИЕ ХАРАКТЕРИСТИКИ ВЕНТИЛЯТОРОВ
Рис. П.4.1. Аэродинамические характеристики вентиляторов:
1-ВКМ-200А при давлении сжатого воздуха 0,35 МПа; 2-ВМП-5
при давлении сжатого воздуха 0,5 МПа
Рис. П.4.2. Аэродинамическая характеристика вентилятора
ВМП-4 при давлении сжатого воздуха 0,5 МПа
Рис. П.4.3. Аэродинамическая характеристика вентилятора
ВМП-6 при давлении сжатого воздуха: 1 - 0,5 МПа;
2 - 0,4 МПа и 3 - 0,3 МПа
Рис. П.4.4. Аэродинамические характеристики источников
тяги: 1 и 1' - эжектор ЭДД-5м (диаметр сопла 38 мм, давление
сжатого воздуха 0,3 МПа и 0,4 МПа); 2 - вентилятор ВМЦ-6;
3 - вентилятор ВЦО-0,6; 4 и 4' - вентилятор ВГЭ-8 при

и

; 5 - вентилятор ВМЦГ-7М
Рис. П.4.5. Аэродинамическая характеристика
вентилятора ВМ-4
Рис. П.4.6. Аэродинамическая характеристика
вентилятора СВМ-6
Рис. П.4.7. Аэродинамическая характеристика
вентилятора ВМ-5
Рис. П.4.8. Аэродинамическая характеристика
вентилятора ВМ-6
Рис. П.4.9. Аэродинамическая характеристика
вентилятора ВМЭ-12
Рис. П.4.10. Аэродинамическая характеристика
вентилятора ВМЦ-6
Рис. П.4.11. Аэродинамическая характеристика
вентилятора ВМЦ-8
Рис. П.4.12. Аэродинамическая характеристика
вентилятора ВЦ-9
Рис. П.4.13. Аэродинамическая характеристика
вентилятора ВМЦГ-7
Рис. П.4.14. Аэродинамическая характеристика
вентилятора ВЦ-11м при n = 980 об/мин
Рис. П.4.15. Аэродинамическая характеристика
вентилятора ВЦ-11 при n = 1460 об/мин
Рис. П.4.16. Аэродинамическая характеристика
вентилятора ВШЦ-16 при n = 980 об/мин
Рис. П.4.17. Аэродинамическая характеристика
центробежного вентилятора ВЦП-16
Рис. П.4.18. Аэродинамическая характеристика
вентилятора ВЦ-25М
ПРИМЕРЫ РАСЧЕТА РАСХОДА ВОЗДУХА ДЛЯ ПРОВЕТРИВАНИЯ ШАХТЫ
И НАГРУЗКИ НА ОЧИСТНОЙ ЗАБОЙ
П.5.1. Характеристика шахты
Разрабатывается газоносный пласт мощностью 1,5 м с углом падения 6 - 8°. Кровля пласта средней устойчивости - прочный глинистый сланец, почва - песчанистый сланец. В кровле и почве пласта имеются сближенные пласты.
Шахтное поле вскрыто тремя вертикальными стволами. Схема подготовки - панельная, системы разработки - сплошная и столбовая. При выемке угля используются узкозахватные комбайны с индивидуальной крепью и комплексы КМ 87УМП. Способ управления кровлей - полное обрушение. Тупиковые выработки проводятся буровзрывным способом.
Схема вентиляции шахты представлена на рис. П.5.1. Шахта отнесена к сверхкатегорным по газу, пласт опасен по пыли.
Рис. П.5.1. Схема вентиляции шахты
Действующие выемочные участки лав N 1, 2, 3, 4, 5.
Проводимые тупиковые выработки: западный откаточный и восточный вентиляционный полевые штреки гор. I, восточный бремсберг, конвейерный штрек лавы N 2, конвейерный штрек N 12.
Камеры: склад ВМ, насосная, два электровозных гаража с оборудованием для зарядки аккумуляторных батарей, четыре камеры электроподстанций.
Поддерживаемые выработки: подготовленные выемочные участки лав N 6, 7, 10, конвейерный штрек N 11, главный откаточный штрек, ходок для чистки зумпфа.
Погашаемые выработки: лавы N 8 и 9.
П.5.2. Определение газообильности очистных выработок и выемочных участков
Ожидаемое метановыделение определяем на примере лавы N 3. Схема проветривания выемочного участка - прямоточная, с примыканием свежей и подсвежающей вентиляционных струй к целику, а исходящей - к выработанному пространству. Длина лавы 190 м. Ожидаемое метановыделение рассчитываем по фактическому. Фактическое метановыделение определяем по результатам измерений, выполненных в течение квартала. При расчете фактического метановыделения в очистной выработке используем данные лабораторных анализов проб воздуха и результаты измерений концентрации метана переносными приборами; расчет фактического метановыделения на выемочном участке выполняем на основании данных лабораторных анализов и телеинформации, выдаваемой аппаратурой АКМ. Средняя добыча за прошедший квартал составила 1108 т/сут, планируемая добыча - 1150 т/сут.
Определяем фактическое метановыделение в очистной выработке.
Средний расход метана в вентиляционном ходке в 15 м от забоя лавы в течение месяца рассчитываем по
формуле (3.83):

.
Аналогичным образом по данным остальных измерений расхода воздуха рассчитаны следующие значения расхода метана: 5,8; 8,5 м3/мин.
Средний за квартал расход газа в вентиляционном ходке в 15 м от забоя лавы определяем по
формуле (3.81):

.
Среднее фактическое метановыделение в очистной выработке определяем по
формуле (3.75)

.
Ожидаемое среднее метановыделение в очистной выработке, рассчитанное по
формуле (3.85), при

,

и неизменяющейся длине лавы составляет:

.
Определяем фактическое метановыделение на выемочном участке.
Расход метана в исходящей из выемочного участка вентиляционной струе в течение месяца рассчитываем по
формуле (3.84)

.
По данным остальных измерений расхода воздуха за два последующих месяца рассчитаны следующие значения расхода газа: 10,2; 14,4 м3/мин.
Средний за квартал расход газа в исходящей из выемочного участка вентиляционной струе определяем по
формуле (3.81)

.
Среднее фактическое метановыделение на выемочном участке согласно
формуле (3.78)

.
Ожидаемое метановыделение на выемочном участке рассчитываем по
формуле (3.86)

.
По остальным выемочным участкам приведены конечные результаты расчетов (табл. П.5.1).
Таблица П.5.1
Результаты расчетов ожидаемого метановыделения
Номер лавы (выемочного участка) | Планируемая добыча, т/сут | Ожидаемое метановыделение, м3/мин |
в очистной выработке | на выемочном участке |
1 | 590 | 3,0 | 4,3 |
2 | 570 | 5,9 | 9,1 |
3 | 1150 | 7,2 | 12,1 |
4 | 1100 | 2,8 | 11,0 |
5 | 620 | 5,0 | 6,7 |
П.5.3. Расчет расхода воздуха для проветривания очистных выработок и выемочных участков
Произведем расчет расхода воздуха для лавы N 2.
Расход воздуха для очистной выработки (лавы N 2) по выделению метана рассчитываем по
формуле (7.21); при


.

.
Для проверки по минимально допустимой скорости воздуха предварительно по
формуле (7.40) определяем

; при m = 1,5,

(в лаве применяется индивидуальная крепь)

.
Температура воздуха в очистной выработке +24 °C, относительная влажность 85%,

,

. По
формуле (7.39)

.
Для определения максимального расхода воздуха в очистной выработке по
формуле (7.20) определяем

при

:

.

.
Так как последовательно с очистной выработкой проветривается тупиковая часть конвейерного штрека, проверяем подачу ВМП по
условию (7.43);

меньше

, то есть
условие (7.43) выполнено.
Рассчитываем расход воздуха для проветривания выемочного участка.
Для кровли средней устойчивости по номограмме
(рис. 7.1) находим

.

,

.
1292 < 60 x 4 x 3,6 x 1,58 = 1365 м3/мин.
1292 > 6 x 35 = 210 м3/мин.
Окончательно принимаем

.
Произведем расчет расхода воздуха для выемочного участка лавы N 3.
В связи с высоким метановыделением определяем максимально допустимую по газовому фактору нагрузку на очистной забой по фактическим метановыделению и добыче.
По
формуле (7.41) определяем

(лава оборудована комплексом КМ 87УМП, S = 3,7 м2).

.
При данной схеме проветривания выемочного участка по формуле, приведенной в
табл. 6.4,

,

.

.
Так как планируемая добыча равна максимально допустимой, принимаем

.
Расход воздуха для проветривания выемочного участка определяем по
формуле (7.46), так как

:

.
Расход воздуха на подсвежение исходящей струи определяем по
формуле (7.47)

.
Производим проверку по
формуле (7.49), принимая площадь поперечного сечения выработки

,

.
Принимаем расход воздуха в выработке с подсвежающей струей

.
Окончательно принимаем

,

,

. С основной струей следует подавать 1899 - 300 = 1599 м3/мин воздуха, из них 1066 м3/мин будет проходить по лаве, а остальную часть составят утечки через выработанное пространство.
По остальным выемочным участкам приведены конечные результаты расчетов (табл. П.5.2).
Таблица П.5.2
Результаты расчетов расхода воздуха
для проветривания выемочных участков
Номер лавы (выемочного участка) | Расход воздуха для проветривания, м3/мин |
очистной выработки | выемочного участка |
1 | 385 | 547 |
2 | 1034 | 1292 |
3 | 1066 | 1899 |
4 | 281 | 1090 |
5 | 608 | 851 |
П.5.4. Расчет расхода воздуха для проветривания тупиковых выработок
Определяем ожидаемое метановыделение тупиковой выработки по фактическому, полученному на основании специально выполненных измерений.
Фактическое метановыделение с неподвижных обнаженных поверхностей пласта в действующей выработке, проводимой по тому же пласту, вычисляем по
формуле (3.71)

.
Затем по фактическому метановыделению находим значение

, входящее в расчетные формулы, по
формуле (3.69) при

и

(при

)

.
Определяем абсолютную метанообильность тупиковой выработки по
формуле (3.49).
Метановыделение с неподвижных обнаженных поверхностей пласта рассчитываем по
формуле (3.50) при

;

;

:

.
Метановыделение из отбитого угля и движущегося забоя получим по
формуле (3.56).

.

.
Максимальное метановыделение в призабойное пространство после взрывания по углю будет равно по
формуле (3.57)

.
Произведем расчет расхода воздуха.
Расход воздуха, который необходимо подавать в призабойное пространство тупиковой выработки по выделению метана, определяем по
формуле (7.5).
При S = 11 м2,

;

:

.
Расход воздуха для проветривания всей тупиковой выработки по
формуле (7.6) равен

.
Расчет расхода воздуха для проветривания тупиковой выработки по газам, образующимся при взрывных работах, осуществляем по
формуле (7.7) для следующих условий: T = 30 мин;

; наибольший объем ядовитых газов выделяется при взрывании по породе,

,

,

, трубопровод собран из гибких вентиляционных труб диаметром 800 мм, по
табл. 7.19 при

. Тогда

.
Расход воздуха по минимальной скорости воздуха в выработке рассчитываем по
формуле (7.12)

.
Расход воздуха по минимальной скорости в призабойном пространстве тупиковой выработки в зависимости от температуры определяем по
формуле (7.13). При температуре воздуха в призабойном пространстве +24 °C, относительной влажности 80%

. Тогда

.
Окончательно принимаем

.
По
табл. 7.19 при длине трубопровода 200 м и расходе воздуха в конце трубопровода 3,0 м3/с находим

. Тогда

.
Производим проверку расхода воздуха в устье тупиковой выработки по
формуле (7.108).

.
Тогда

.
Принимаем

.

.
Для остальных тупиковых выработок приведены окончательные результаты расчетов (табл. П.5.3).
Таблица П.5.3
Результаты расчетов расхода воздуха
для проветривания тупиковых выработок
Выработка | Расход воздуха, который необходимо подавать в призабойное пространство, м3/мин | Подача ВМП, м3/мин | Минимальный расход воздуха в месте установки ВМП, м3/мин |
Конвейерный штрек лавы N 2 | 165 | 182 | 260 |
Западный полевой откаточный штрек, гор. I | 284 | 380 | 544 |
Восточный полевой вентиляционный штрек, гор. I | 232 | 280 | 400 |
Восточный бремсберг | 212 | 330 | 472 |
Конвейерный штрек N 12 | 199 | 308 | 440 |
Из выработок, перечисленных в
табл. П.5.3, последовательно проветривается только конвейерный штрек лавы N 2. Поэтому при определении суммарного расхода воздуха для обособленного проветривания тупиковых выработок учитываем четыре выработки. В соответствии со схемой вентиляции (см.
рис. П.5.1) расход воздуха для проветривания западного откаточного и восточного вентиляционного полевых штреков гор. I, а также восточного бремсберга определяется минимальным расходом воздуха, который необходимо подавать к месту установки ВМП. Поэтому суммарный расход воздуха для обособленного проветривания тупиковых выработок, проводимых за пределами выемочных участков, равен

.
П.5.5. Расчет расхода воздуха для погашаемых и поддерживаемых выработок
П.5.5.1. Расчет расхода воздуха для погашаемых выработок
Погашаемыми выработками являются лавы N 8 и N 9. Расход воздуха для проветривания погашаемых участков определяем по фактическому газовыделению.
Для погашаемого участка лавы N 8 при

,


.
При

,

(для штрека),
60 x 10 x 0,15 = 90 м3/мин < 275 м3/мин < 60 x 4,7 x 1,0 x 1,5 = 423 м3/мин.
Окончательно принимаем для погашаемого участка лавы N 8

.
Аналогичным образом для лавы N 9 получаем

.
П.5.5.2. Расчет расхода воздуха для поддерживаемых выработок
К поддерживаемым выработкам относятся конвейерный штрек N 11, конвейерный бремсберг, главный откаточный штрек и ходок для чистки зумпфа. К этой группе выработок относим также выемочные участки лав N 6, 7, 10 - это подготовленные, но не эксплуатируемые выемочные участки. Рассчитаем расход воздуха для конвейерного бремсберга. При газообильности выработки 0,4 м3/мин

.
60 x 10 x 0,7 = 420 м3/мин > 40 м3/мин.
Принимаем для конвейерного бремсберга

.
По остальным выработкам приведены конечные результаты расчетов (табл. П.5.4).
Таблица П.5.4
Результаты расчетов расхода воздуха
для поддерживаемых выработок
Выработка | Площадь поперечного сечения в свету, м2 | Необходимый расход воздуха, м3/мин |
Конвейерный штрек N 11 | 10,0 | 420 |
Конвейерный бремсберг | 10,0 | 420 |
Главный откаточный штрек | 6,0 | 54 |
Ходок для чистки зумпфа | 7,0 | 63 |
Лава N 6 | 4,7 | 70 |
Лава N 7 | 4,7 | 70 |
Лава N 10 | 4,7 | 70 |
П.5.6. Расчет расхода воздуха для проветривания камер
Пример расчета выполним для электровозного гаража гор. N I и электроподстанции гор. I. В гараже одновременно заряжаются одна аккумуляторная батарея 66ТНЖШ-300 и пять батарей 96ТЖМ-350, преобразовательная подстанция находится в зарядной камере. Температура воздуха, поступающего в камеру, составляет +23 °C.

.

.
Принимаем

.
В электроподстанции установлен трансформатор типа ТСВП 400/6, мощность которого 400 кВт. КПД трансформатора 0,9. Расход воздуха определяем по
формуле (7.88)

.
По остальным камерам приведены окончательные результаты расчетов (табл. П.5.5).
Таблица П.5.5
Результаты расчетов расхода воздуха
для проветривания камер
Камера | Необходимый расход воздуха, м3/мин |
Склад ВМ | 72 |
Электровозные гаражи: | |
1, гор. I | 194 |
2, гор. II | 395 |
Насосная | 293 |
Электроподстанции: | |
1, гор. I | 213 |
2, гор. I | 348 |
3, гор. II | 355 |
4, гор. II | 355 |
П.5.7. Расчет утечек воздуха через вентиляционные сооружения
При определении норм утечек значение фактических перепадов давления через вентиляционные сооружения принимаем по данным депрессионной съемки. Рассчитываем норму утечек через шлюз в сбойке 1 восточного крыла гор. I. Шлюз состоит из двух бетонитовых перемычек с одностворчатыми деревянными дверями площадью 3,8 м2. Фактический перепад давления через шлюз равен 10 даПа. Согласно
табл. 7.17 и
формуле (7.91) норма утечек через одну перемычку с дверями

.

.
Рассчитываем норму утечек через две глухие чураковые перемычки площадью 2 м2 каждая, установленные в сбойке 2 восточного крыла гор. I. Фактический перепад давления через обе перемычки равен 8 даПа. Принимаем, что перепад давления через одну перемычку равен половине общего перепада, то есть 4 даПа. Согласно
табл. 7.16 и
формуле (7.91) норма утечек через перемычки составит

.
Расчет утечек рекомендуется выполнять по форме табл. П.5.6.
Таблица П.5.6
Название вентиляционного сооружения, место установки | Число перемычек или дверей | Площадь перемычек или дверей, м2 | Фактический перепад давления, даПа | Норма утечек воздуха, м3/мин |
1 | 2 | 3 | 4 | 5 |
Восточное крыло гор. I | | | | |
Шлюз о одностворчатыми дверями, сбойка 1 | 2 | 3,8 | 10 | 33 |
Глухие чураковые перемычки, сбойка 2 | 2 | 2 | 8 | 6 |
........................................................ |
| | | | 276 |
Западное крыло гор. I | | | | |
Глухие чураковые перемычки, сбойка 1 | 2 | 7 | 35 | 23 |
........................................................ |
| | | | 218 |
Восточное крыло гор. II | | | | |
Глухие бетонитовые перемычки, сбойка 1 | 2 | 7,5 | 47 | 18 |
........................................................ |
| | | | 385 |
Западное крыло гор. II Глухие чураковые перемычки, сбойка 1 | 2 | 7 | 44 | 26 |
........................................................ |
| | | | 292 |
Околоствольный двор | | | | |
Загрузочное устройство скипового ствола с бункером | - | - | 195 | 296 |
........................................................ |
| | | | 956 |
В
табл. П.5.6 иллюстрируется лишь порядок расчетов. В ней приведены результаты для отдельных вентиляционных сооружений и суммы норм утечек воздуха по крыльям каждого из горизонтов.
Согласно
табл. П.5.6 утечки воздуха на гор. I составляют 494 м3/мин, на гор. II (с околоствольным двором) - 1633 м3/мин,

.
Определим внешние утечки воздуха для вентиляционной установки скипового ствола. Общая площадь наружных стен и перекрытий надшахтного здания, включая копер, равна 3950 м2. Площадь поперечного сечения вентиляционного канала 17 м2, фактические перепады давлений соответственно составляют 265 и 292 даПа. Согласно
табл. 7.26 и
формуле (7.117) норма утечек через надшахтное здание

.

.
Общая норма внешних утечек для вентиляционной установки скипового ствола
1612 + 725 = 2337 м3/мин.
В результате аналогичных расчетов для вентиляционного ствола получаем общую норму внешних утечек 1120 м3/мин.
П.5.8. Расчет расхода воздуха для проветривания шахты
Предварительно по данным лабораторных анализов и измерений расхода воздуха определяем средний расход газа в исходящих из шахты вентиляционных струях.
Среднюю концентрацию метана в исходящей вентиляционной струе гор. I рассчитываем по
формуле (3.92)

.
Средний расход газа в исходящей вентиляционной струе гор. I определяем по
формуле (3.91)
Аналогичным путем определяем средний расход газа в исходящей вентиляционной струе гор. II:

.
По
формуле (7.1) определяем расход воздуха для проветривания шахты

.
В околоствольный двор гор. II должен поступать полученный расход воздуха за вычетом расхода воздуха на проветривание насосной камеры, то есть 15299 - 293 = 15006 м3/мин.
В соответствии со схемой вентиляции в выработки гор. I необходим расход воздуха:

.
Для проверки по
формуле (7.2) определяем расходы воздуха по отдельным вентиляционным установкам. Расход воздуха в вентиляционном стволе

.
Расход воздуха в скиповом отводе

.

,

.
П.5.9. Расчет подачи вентиляционных установок
Подачу вентиляторов рассчитываем по
формуле (7.114). Для вентилятора, установленного на вентиляционном стволе, получаем

.
Для вентилятора, установленного на скиповом стволе,

.
Подачу вентиляционной установки с учетом резерва определяем по
формуле (7.116).
Для вентиляционной установки на вентиляционном стволе

.
Для вентиляционной установки на скиповом стволе

.
П.5.10. Расчет нагрузки на очистной забой по газовому фактору
Пример 1. Определить максимально допустимую по газовому фактору нагрузку на очистную выработку длиной 180 м, оборудованную механизированным комплексом 1КМ97Д, для следующих условий: система разработки - столбовая; схема проветривания выемочного участка - прямоточная с подсвежением со стороны целика; способ управления кровлей - полное обрушение; кровля средней устойчивости (крепкие глинистые сланцы); вынимаемая мощность пласта 1,3 м; среднее фактическое метановыделение из очистной выработки составляет 4,4 м3/мин, а фактическая добыча - 500 т/сут; воздух поступает на участок с концентрацией 0,1%.
Решение.
Параметр

определяем по формуле (см.
табл. 6.4):
Значение

для комплекса 1КМ97Д принимается по
табл. 7.5, равно 3,4 м2, а

- по
табл. 7.4 и равен 1,2.

.
Пример 2.
Определить предельно возможную нагрузку по газовому фактору, если расход воздуха в очистной выработке снизился до 600 м3/мин. Остальные параметры выемочного участка соответствуют примеру 1.
Решение.
Определяем метановыделение в очистной выработке, соответствующее

, по
формуле (3.85).

.
Предельно допустимая нагрузка на очистной забой рассчитывается по формуле

.
РАСЧЕТ ДЕПРЕССИИ КАНАЛА ВЕНТИЛЯЦИОННОЙ
И ВОЗДУХОНАГРЕВАТЕЛЬНОЙ УСТАНОВКИ
Депрессия канала вентиляционной установки

равна сумме депрессий, обусловленных сопротивлением трения воздуха о стенки какала и сопротивлением сопряжения ствола шахты с каналом. Если в канале имеется поворот или несколько поворотов, то следует учитывать их сопротивление.
Сопряжение ствола шахты с каналом вентилятора представляет собой поворот с одновременным сужением струи при всасывающем проветривании и поворот с одновременным расширением струи при нагнетательном проветривании.
Таким образом, в общем случае

; (П.6.1)
при всасывающем проветривании

; (П.6.2)
при нагнетательном проветривании

, (П.6.3)
где

,

,

,

,

- аэродинамические сопротивления соответственно канала в целом, трения, поворотов, поворота с одновременным сужением, поворота с одновременным расширением,

;

- подача вентиляционной установки, м3/с.
Депрессия канала воздухонагревательной установки при всасывающем проветривании

; (П.6.4)
при нагнетательном проветривании

, (П.6.5)
где

- аэродинамическое сопротивление воздухораспределяющего устройства на входе в канал,

;

- расход воздуха, проходящего через воздухонагреватели, м3/с.
Аэродинамическое сопротивление трения определяется по
формуле (8.9).
Аэродинамическое сопротивление поворота по формуле

, (П.6.6)
где

- коэффициент местного сопротивления поворота;

- плотность воздуха, кг/м3;
g - ускорение силы тяжести, м/с2;

- площадь поперечного сечения прямолинейного участка канала за поворотом, м2.
Коэффициент местного сопротивления

при любом угле поворота канала с острыми кромками при отношении высоты выработки

к ее ширине b, равном 0,2 - 1,0

, (П.6.7)
при


, (П.6.8)
где

- коэффициент местного сопротивления поворота гладкого трубопровода;

; (П.6.9)

- угол поворота, рад;

- коэффициент аэродинамического сопротивления канала;

- коэффициент, учитывающий угол поворота струи.
Значения коэффициента

Угол поворота, градус | 10 | 30 | 45 | 60 | 90 | 110 | 120 | 140 |
| 0,05 | 0,19 | 0,33 | 0,51 | 1,0 | 1,63 | 1,93 | 2,43 |
Формулы для определения аэродинамического сопротивления сложного местного сопротивления имеют следующий вид:
при повороте с одновременным сужением струи в шероховатой выработке

; (П.6.10)
при повороте с одновременным расширением струи в шероховатой выработке

, (П.6.11)
где

,

- коэффициенты местного сопротивления соответственно поворота с одновременным сужением и поворота с одновременным расширением струи.
Коэффициенты местного сопротивления

и

рассчитываются по
формулам (П.6.7) и
(П.6.8), как и для обычных поворотов с постоянным сечением выработки. Коэффициенты местных сопротивлений трубопроводов с гладкими стенками

и

для подстановки в
формулы (П.6.7) и
(П.6.8) берутся по табл. П.6.1 и
П.6.2.
Таблица П.6.1
Значения коэффициента местного сопротивления

при повороте струи с одновременным сужением
Характеристика местного сопротивления | Значения  при отношении  , равном |
0,2 | 0,4 | 0,6 | 0,8 | 1,0 |
1 | 2 | 3 | 4 | 5 | 6 |
Поворот без кутка: | | | | | |
с обеими острыми кромками | 0,46 | 0,51 | 0,64 | 0,81 | 1,04 |
с внутренней кромкой, скошенной под углом 14° | 0,19 | 0,21 | 0,26 | 0,33 | 0,42 |
с внутренней кромкой, скошенной под углом 27° | 0,10 | 0,11 | 0,13 | 0,17 | 0,21 |
Поворот с кутком: | | | | | |
с острыми кромками | 0,67 | 0,72 | 0,83 | 0,98 | 1,16 |
с внутренней кромкой, скошенной под углом 27° | 0,18 | 0,19 | 0,22 | 0,26 | 0,30 |
с внутренней кромкой, скошенной под углом 45° | 0,24 | 0,26 | 0,29 | 0,34 | 0,41 |
со скругленным внутренним углом | 0,24 | 0,26 | 0,28 | 0,33 | 0,41 |
Таблица П.6.2
Значения коэффициента местного сопротивления

при повороте струи с одновременным расширением
Характеристика местного сопротивления | Значения  при отношении  , равном |
1,0 | 1,4 | 1,8 | 2,2 | 2,6 | 3,0 | 3,4 | 4,0 |
Прямые внутренний и внешний углы: | | | | | | | | |
с острыми кромками | 1,03 | 1,62 | 2,80 | 4,06 | 5,85 | 8,10 | 11,40 | 16,70 |
со скругленным радиусом, равным, м: | | | | | | | | |
0,125 | 0,81 | 1,42 | 2,45 | 3,50 | 5,15 | 7,06 | 9,10 | 12,80 |
0,25 | 0,61 | 1,18 | 2,05 | 3,05 | 4,43 | 6,10 | 7,85 | 10,90 |
0,50 | 0,45 | 0,93 | 1,63 | 2,60 | 3,80 | 5,30 | 7,00 | 9,90 |
0,75 | 0,37 | 0,61 | 1,35 | 2,35 | 3,50 | 4,85 | 6,30 | 9,60 |
Аэродинамическое сопротивление воздухораспределяющего устройства на входе в канал воздухонагревательной установки определяется по формуле

, (П.6.12)
где

- коэффициент местного сопротивления воздухораспределяющего устройства. Для жалюзийного воздухораспределяющего устройства

, а для воздухораспределяющих устройств других конструкций - принимается соответственно типу местного сопротивления;

- площадь проходного сечения воздухораспределяющего устройства, м2.
КАТАЛОГ ЗНАЧЕНИЙ КОЭФФИЦИЕНТОВ АЭРОДИНАМИЧЕСКОГО
СОПРОТИВЛЕНИЯ ГОРНЫХ ВЫРАБОТОК
П.7.1. Коэффициенты аэродинамического сопротивления вертикальных стволов
Таблица П.7.1
Стволы, закрепленные железобетонными тюбингами
(без армировки)
Вид крепи | Диаметр ствола | |
Тюбинги ВНИИОМШС | 4,5 - 6,0 | 10,0 |
для стволов | 6,0 - 8,0 | 9,0 |
Тюбинги СТК | 4,5 - 6,0 | 14,0 |
| 6,0 - 8,0 | 13,0 |
Металлические тюбинги | 4,0 | 11,0 |
| 5,0 | 10,0 |
| 7,0 | 9,0 |
| 8,0 | 8,0 |
Таблица П.7.2
Стволы с новыми видами армировки
| Характеристики схемы | Диаметр ствола, м | Характеристика лестничного отделения | |
1 | 2 | 3 | 4 | 5 |
а | Однорасстрельная схема армировки клетевого ствола. Расстояние между расстрелами и полками 4,168 м, а между опорами 3,0 м | 6,5 | Отшито сеткой | 17,3 |
Отшито всплошную,  | 12,1 |
б | Безрасстрельная схема армировки клетевого ствола с лобовым расположением проводников. Расстояние между полками лестничного отделения 4,168 м, а между опорами 3,0 м | 6,0 | Отшито сеткой | 8,6 |
Отшито всплошную,  | 7,9 |
в | Однорасстрельная схема армировки скипового ствола. Расстояние между расстрелами 4,168 м, а между опорами 3,0 м | 8,0 | Лестничное отделение отсутствует | 11,9 |
г | Безрасстрельная схема армировки скипового ствола. Расстояние между опорными скобами 2,0 м | 8,0 | То же | 4,1 |
Ствол без армировки | - | 6,0 | " | 2,8 |
Таблица П.7.3
Значения коэффициента

для наклонных стволов, закрепленных
сборными железобетонными ребристыми плитами
со средней стойкой
Характеристика крепи | Ширина плит, м | Высота выступов шероховатости, м | Площадь сечения ствола, м2 | Продольный калибр крепи | |
Сплошная замкнутая крепь прямоугольного очертания: | | | | | |
- для главного ствола с углом падения 30° | 0,32 | 0,08 | 6,14 | 4,0 | 47,7 |
- для главного ствола с углом наклона 60° | 0,32 | 0,09 | 6,6 | 3,6 | 45,0 |
- для вспомогательного ствола с углом наклона 30° | 0,32 | 0,09 | 6,6 | 3,6 | 46,3 |
- для вспомогательного ствола с углом наклона 60° | 0,32 | 0,09 | 6,6 | 3,6 | 48,8 |
Таблица П.7.4
Стволы, закрепленные деревом, восстающие гезенки, скаты
Характеристика выработки | Сечение, м2 | |
1 | 2 | 3 |
Ствол с тремя отделениями - два подъемных и одно лестничное, крепь сплошная венцовая: | | |
воздух движется по всем отделениям | 4,24 | 33 |
воздух движется по двум отделениям | 2,38 | 20 |
Ствол с тремя отделениями - два подъемных и одно лестничное, крепь - подвесная | 4,78 | 32 |
Ствол с четырьмя отделениями, из которых одно лестничное, крепь - подвесная. Воздух движется по трем отделениям | 6,4 | 41 |
Полевой, восстающий, закреплен сплошной венцовой крепью, три отделения: | | |
воздух движется по двум отделениям | 3,46 | 53 |
воздух движется по одному отделению | 3,77 | 66 |
Восстающий, закреплен сплошной венцовой крепью, три отделения, воздух движется по всем отделениям | 3,66 | 55 |
Восстающий, закреплен сплошной венцовой крепью, три отделения | 3,29 | 53 |
Гезенк с площадками в ходовых отделениях | - | 47 |
Скат: | | |
с ходовым отделением | 1,95 | 20 |
с рудоспускным отделением | 1,80 | 16 |
Примечание. 1. При подсчете депрессии восстающего гезенка (ската) за его сечение следует принимать сумму сечений всех отделений в свету, не вычитая площади, занимаемой лестничными полками. За периметр следует принимать сумму периметров всех отделений.
2. При подсчете депрессии шахтных стволов за площадь следует принимать всю площадь сечения ствола за вычетом площади лестничного отделения. Периметр следует подсчитывать, также не учитывая периметра лестничного отделения.
П.7.2. Коэффициенты аэродинамического сопротивления вентиляционных скважин приведены в табл. П.7.5.
Таблица П.7.5
Скважины большого диаметра при бурении
их реактивно-турбинным способом
Срок службы скважин, лет |  скважин при диаметре d, м |
до 0,4 | 0,5 | 0,6 | 0,7 | 0,8 | 1,0 | 1,2 | 1,4 | 1,6 | 1,8 | 2,1 | 2,3 | 2,4 | 2,6 | 2,8 | 3,0 | 3,2 | 3,4 | 3,6 | 3,8 | 4,0 |
1 | 2,8 | 2,7 | 2,6 | 2,5 | 2,4 | 2,3 | 2,2 | 2,1 | 2,1 | 2,0 | 2,0 | 1,9 | 1,9 | 1,9 | 1,8 | 1,8 | 1,8 | 1,7 | 1,7 | 1,7 | 1,7 |
2 | 3,3 | 3,1 | 3,0 | 2,9 | 2,8 | 2,7 | 2,6 | 2,5 | 2,4 | 2,3 | 2,3 | 2,2 | 2,2 | 2,1 | 2,1 | 2,0 | 2,0 | 2,0 | 2,0 | 1,9 | 1,9 |
3 | 3,8 | 3,6 | 3,4 | 3,3 | 3,2 | 3,0 | 2,9 | 2,8 | 2,7 | 2,6 | 2,5 | 2,5 | 2,4 | 2,4 | 2,3 | 2,3 | 2,3 | 2,2 | 2,2 | 2,2 | 2,1 |
4 | 4,3 | 4,1 | 3,9 | 3,7 | 3,6 | 3,4 | 3,2 | 3,1 | 3,0 | 2,9 | 2,8 | 2,8 | 2,7 | 2,6 | 2,6 | 2,5 | 2,5 | 2,5 | 2,4 | 2,4 | 2,4 |
5 | 4,9 | 4,6 | 4,3 | 4,1 | 4,0 | 3,7 | 3,6 | 3,4 | 3,3 | 3,2 | 3,2 | 3,0 | 2,9 | 2,9 | 2,8 | 2,8 | 2,7 | 2,7 | 2,6 | 2,6 | 2,6 |
6 | 5,4 | 5,1 | 4,8 | 4,6 | 4,4 | 4,1 | 3,9 | 3,7 | 3,6 | 3,5 | 3,4 | 3,3 | 3,2 | 3,1 | 3,1 | 3,0 | 2,9 | 2,9 | 2,9 | 2,8 | 2,8 |
7 | 6,0 | 5,6 | 5,3 | 5,0 | 4,8 | 4,5 | 4,3 | 4,1 | 3,9 | 3,8 | 3,7 | 3,6 | 3,4 | 3,4 | 3,3 | 3,2 | 3,2 | 3,1 | 3,1 | 3,0 | 3,0 |
8 - 10 | 6,5 | 6,0 | 5,6 | 5,3 | 5,1 | 4,8 | 4,5 | 4,3 | 4,2 | 4,0 | 3,9 | 3,8 | 3,7 | 3,6 | 3,5 | 3,4 | 3,4 | 3,3 | 3,2 | 3,2 | 3,1 |
П.7.3. Коэффициенты аэродинамического сопротивления горизонтальных и наклонных выработок
Таблица П.7.6
Незакрепленные горные выработки
Характеристика выработки | |
1 | 2 |
Выработка, проведенная по породе: | |
вкрест простирания | 10 |
по простиранию | 8 |
Выработка, проведенная по углю: | |
без подрывки | 5 - 6 |
с подрывкой | 7 - 8 |
Выработка, у которой: | |
шероховатость стен и почвы одинаковая | 6 - 8 |
шероховатость такая же, как у почвы при сильном засорении | 10 - 15 |
Печи и просеки | 8 |
Таблица П.7.7
Выработки, закрепленные неполными деревянными рамами
прямоугольного или квадратного сечения
Сечение выработки, м2 | Характеристика крепи | Значение  , при расстоянии между центрами рам (ребер), м |
высота рамы (ребра), м | ширина рамы (ребра), м | 0,5 | 0,75 | 1,0 | 1,5 |
5,0 | 0,25 | 0,25 | 7 | 12 | 16 | 25 |
5,0 | 0,25 | 0,15 | 12 | 18 | 22 | 26 |
5,0 | 0,25 | 0,10 | 15 | 21 | 26 | 29 |
6,0 | 0,10 | 0,25 | 10 | 15 | 17 | 17 |
6,0 | 0,10 | 0,15 | 16 | 20 | 20 | 18 |
6,0 | 0,10 | 0,10 | 21 | 25 | 24 | 22 |
Примечание. Уменьшение продольного калибра, применение сплошной затяжки с заменой деревянных верхняков на двутавровые балки или рельсы снижает

на 20%.
Таблица П.7.8
Выработки, закрепленные арочной крепью или неполными
крепежными рамами из металлических двутавровых балок
Сечение выработки, м2 | Номера двутавровых балок | Значение  , при продольном калибре крепи, равном |
3 | 4 | 5 | 6 |
1 | 2 | 3 | 4 | 5 | 6 |
5,0 - 6,7 | 12 | 18 | 21 | 26 | 31 |
| 14 | 20 | 25 | 30 | 34 |
| 16 | 22 | 28 | 33 | 32 |
| 18 | 24 | 31 | 37 | 45 |
| 20 | 26 | 33 | 39 | 49 |
8,0 - 10,2 | 12 | 16 | 20 | 23 | 26 |
| 14 | 18 | 22 | 26 | 30 |
| 16 | 20 | 24 | 29 | 33 |
| 18 | 22 | 27 | 31 | 37 |
| 20 | 23 | 29 | 34 | 41 |
Таблица П.7.9
Выработки, закрепленные деревом и арочной
металлической крепью
Значение  , для выработок, закрепленных |
неполными крепежными рамами из круглого леса | арочной металлической крепью из специального взаимозаменяемого профиля прямого выгиба при расстоянии между рамами, м |
0,5 | 0,75 - 1,2 |
19 | 22 | 20 |
Примечание. Для сечений менее 4,6 м2

следует увеличивать на 10 - 20%.
Таблица П.7.10
Выработки, закрепленные крепежными рамами из
железобетонных круглых стоек с верхняками из
металлических двутавровых балок
Сечение выработки, м2 | Диаметр крепи, см | Значения  , при продольном калибре, равном |
2 | 3 | 4 | 5 | 6 |
1 | 2 | 3 | 4 | 5 | 6 | 7 |
3 | 15 | 18 | 20 | 23 | 27 | 29 |
3 | 20 | 20 | 23 | 28 | 30 | 33 |
4 | 15 | 16 | 19 | 22 | 24 | 27 |
4 | 20 | 19 | 22 | 25 | 28 | 30 |
6 | 15 | 15 | 18 | 20 | 22 | 24 |
6 | 20 | 18 | 19 | 23 | 25 | 28 |
8 | 15 | 14 | 16 | 19 | 22 | 23 |
8 | 20 | 16 | 19 | 23 | 24 | 27 |
10 | 15 | 14 | 16 | 18 | 20 | 23 |
10 | 20 | 16 | 18 | 22 | 23 | 25 |
12 | 15 | 14 | 16 | 18 | 19 | 23 |
12 | 20 | 16 | 18 | 19 | 22 | 25 |
14 | 15 | 14 | 15 | 16 | 18 | 22 |
14 | 20 | 16 | 17 | 18 | 22 | 24 |
Таблица П.7.11
Выработки, закрепленные неполными крепежными рамами
из круглого леса с одним рядом стоек посередине сечения
Диаметр стоек, см | Значения  , при продольном калибре крепежных рам и стоек, равном |
4 | 6 | 8 |
18 | 54 | 50 | 47 |
20 | 55 | 52 | 49 |
24 | 57 | 54 | 51 |
Примечание. Таблица составлена для сечения S = 4 м2; для S = 6 м2 значения коэффициентов следует уменьшить на 3.
П.7.4. Коэффициенты аэродинамического сопротивления горизонтальных и наклонных выработок, оборудованных конвейерами
Значения

в этих условиях определяются по формуле

,
где

- коэффициент аэродинамического сопротивления выработки, оборудованной конвейером;

- коэффициент аэродинамического сопротивления этой же выработки, но без конвейера; принимается в зависимости от типа крепи по таблицам данного каталога;

- сечение выработки в свету (без сечения конвейера), м2.
Таблица П.7.12
Выработки без крепи или закрепленные бетоном, кирпичом,
тюбингами или блоками
Выработки | Коэффициент  |
Без крепи: | |
пройденные вкрест простирания пород | 10 |
то же по простиранию | 8 |
штреки по углю правильной формы без подрывки | 5 - 6 |
то же с подрывкой | 7 - 8 |
печи, просеки | 8 |
Закрепленные сплошным бетоном, металлобетоном или железобетоном: | |
гладким (оштукатуренным) | 3 - 4 |
негладким | 5 - 7 |
Закрепленные кирпичом: | |
неоштукатуренным | 3 - 4 |
оштукатуренным | 2,5 - 3 |
Закрепленные крепью: | |
тюбинговой, гладкой КТАГ (ВНИИОМШС) и ГТК (КузНИИшахтострой) | 5 - 6 |
блочной | 5 - 6 |
Бутовая кладка | 80 - 200 |
Таблица П.7.13
Выработки, закрепленные железобетонной рамной крепью
Крепь | Сечение выработки, м2 | Расстояние между осями рам или ширина плиты, м | Продольный калибр крепи | Коэффициент  |
Железобетонная трапециевидная рамная из стоек и верхняков прямоугольного сечения с разгружающими консолями с железобетонными затяжками (выработка загромождена) | 5,1 | 0,55 | 3,66 | 10,4 |
5,1 | 0,75 | 5,00 | 12,9 |
5,1 | 1,00 | 6,70 | 20,6 |
5,1 | 1,14 | 7,70 | 18,6 |
5,1 | 1,50 | 10,00 | 18,0 |
4,8 | 1,00 | 6,67 | 20,8 |
Таблица П.7.14
Выработки с новыми видами крепи
Вид крепи | Характеристика выработки | Сечение выработки, м2 | |
1 | 2 | 3 | 4 |
Монолитный бетон | Имеются поперечные и продольные швы от опалубки, в выработке расположены кабельные кронштейны и две трубы диаметром 100 и 200 мм | 13,5 | 5,4 |
Торкрет-бетон | Породы крепкие, трещиноватые, стенки весьма шероховатые; в выработке расположены четыре трубопровода, кабель со светильниками (через 10 м) | 15,4 | 20,5 |
| Породы крепостью f = 8 - 12, трещиноватые с углом падения  , шероховатость стенок мелкая, сглажена торкрет-бетоном, почва ровная | 10,2 | 18,2 |
| Породы крепостью f = 8 - 12,  , стенки очень шероховатые, мелкие выступы расположены против потока воздуха; в выработке расположены 2 трубопровода | 7,6 | 18,8 |
Торкрет-бетон, два слоя | Породы крепостью f = 14 - 16,  , сильно развита трещиноватость, мелкие выступы сглажены двумя слоями торкрет-бетона, в выработке расположены два трубопровода и три кабеля на крючьях | 8,9 | 10,3 |
| Породы крепостью f =16,  , мелкозернистые, плотные, массивные, наблюдается зона рассланцевания, в выработке расположены пять кабелей на крючьях, через 10 м светильники, два трубопровода | 15,8 | 14,6 |
Анкерная и торкрет-бетон | Кровля закреплена анкерами в пять рядов, бока и кровля покрыты торкрет-бетоном | 16,3 | 15,7 |
Анкерная с проволочной сеткой и торкрет-бетоном | Породы крепостью f = 10 - 12,  , трещиноватые, легко отслаиваются, стенки сильно шероховатые, почва ровная | 9,9 | 11,8 |
Анкерная с проволочной сеткой | Породы крепостью f = 8 - 10, трещиноватые,  , почва ровная. В выработке расположены два трубопровода, девять кабелей и светильники через 5 м. Висячий бок и кровля затянуты сеткой и закреплены шестью - восемью рядами анкеров | 9,4 | 9,4 |
Анкерная | Породы крепостью f = 8 - 10,  , выступы мелкие. Кровля закреплена пятью рядами анкеров | 10,0 | 8,2 |
Примечание. 1. Для схем армировки стволов, не вошедших в Руководство, значение

следует принимать по справочнику "Рудничная вентиляция".
2. Значения коэффициентов аэродинамического сопротивления для отдельных типов крепи, применяемых в бассейнах и не нашедших отражения в Руководстве, следует принимать по справочнику "Рудничная вентиляция".
ОПРЕДЕЛЕНИЕ УСТОЙЧИВОСТИ ПРОВЕТРИВАНИЯ ВЫЕМОЧНОГО УЧАСТКА
И ОФОРМЛЕНИЕ РЕЗУЛЬТАТОВ ПРОВЕРКИ УСТОЙЧИВОСТИ
П.8.1. Пример определения устойчивости проветривания опытным путем
Порядок проведения измерений по определению устойчивости рассмотрим на примере 15 восточной лавы (сложная диагональ 9-34-35-36) для условий шахты N 7-бис (рис. П.8.1).
Рис. П.8.1. Схема проветривания шахты N 7-бис:
а - схема вентиляции шахты;
б - схема вентиляционных соединений
Определяющими ветвями для сложной диагонали 9-34-35-36 являются шлюзы 34-35, 7-36 и двери в ходке водосборника 7-36. Два наблюдателя производят замеры скорости воздуха и определяют его направление в ветви 34-35.
Два других наблюдателя производят открывание сначала одних дверей, например, шлюза на штреке (7-36), затем других дверей в ходке водосборника (7-36) между стволами и т.д. Все замеры обрабатываются и сводятся в таблицу (см. "
Акт проверки устойчивости проветривания").
На основании анализа результатов измерения устанавливаем, что расход воздуха не только уменьшился более чем в два раза, но и имеет место опрокидывание струи в диагонали 9-34-35-36 при открывании дверей шлюза на штреке 7-36. Так как последние открываются довольно часто в связи с небольшим расстоянием между наклонными стволами при пропуске грузов, то воздух в лаве периодически изменяет направление движения.
Из-за трудности наблюдения за дверями в ходке водосборника последние также иногда бывают открыты, что приводит к прекращению движения воздуха в лаве. При открытых дверях шлюза 34-35 в лаве идет 62% воздуха от расчетного.
Рассмотренные опрокидывания вентиляционной струи в 15-й восточной лаве могут иметь место при нормальном ведении эксплуатационных работ, то есть струя является неустойчивой по расходу и направлению (III категория).
Для обеспечения необходимой устойчивости струи в диагонали, то есть предотвращения ее опрокидывания при нормальном режиме проветривания, следует регулировочное окно с определяющей ветви 36-20 перенести на диагональ, установить его на ветви 35-36 (вентиляционный штрек); обеспечить механическую блокировку дверей шлюза на штреке между наклонными стволами (7-36), которая бы исключала одновременное открывание их, вывод информации о положении дверей на пульт диспетчера (оператора АКМ) и отключение электроэнергии с токоприемников на участке при одновременно открытых дверях шлюза; оборудовать дверь в ходке водосборника затвором, исключающим самопроизвольное ее открывание, и механической блокировкой.
Главный инженер шахты
_____________________
"___" _______ 19__ г.
проверки устойчивости проветривания
__________ лавы пласта ____________
Комиссия в составе:
1. _________________________________________ председатель, нач. участка ВТБ
2. _________________________________________ представитель ВГСЧ
3. _________________________________________ горный мастер
в результате шахтного эксперимента (см. табл.) установила
N п/п | Режим проветривания | Расход воздуха (м3/с) и его направление (+, -) | В % от Q, рассчитанного по газу | Примечание |
1. Нормальный
2. Открыты двери шлюза ____________________________
3. Открыты двери шлюза ____________________________
что проветривание __________________________ лавы пласта __________________
___________________________________________________________________________
(устойчиво по расходу и направлению, неустойчиво по расходу,
___________________________________________________________________________
неустойчиво по расходу и направлению)
Для повышения устойчивости выполнить следующие мероприятия:
1.
2.
3.
Подписи