Главная // Актуальные документы // Акт (форма)СПРАВКА
Источник публикации
Документ опубликован не был
Примечание к документу
Название документа
"Руководство по безопасности "Инструкция по техническому диагностированию подземных стальных газопроводов"
(утв. Приказом Ростехнадзора от 06.02.2017 N 47)
"Руководство по безопасности "Инструкция по техническому диагностированию подземных стальных газопроводов"
(утв. Приказом Ростехнадзора от 06.02.2017 N 47)
по экологическому, технологическому
и атомному надзору
от 6 февраля 2017 г. N 47
РУКОВОДСТВО ПО БЕЗОПАСНОСТИ
"ИНСТРУКЦИЯ ПО ТЕХНИЧЕСКОМУ ДИАГНОСТИРОВАНИЮ
ПОДЗЕМНЫХ СТАЛЬНЫХ ГАЗОПРОВОДОВ"
1. Руководство по безопасности "Инструкция по техническому диагностированию подземных стальных газопроводов" (далее - Руководство по безопасности) утверждено в целях содействия соблюдению требований Федеральных
норм и правил в области промышленной безопасности "Правила проведения экспертизы промышленной безопасности", утвержденных приказом Ростехнадзора от 14 ноября 2013 г. N 538 (зарегистрирован Минюстом России 26 декабря 2013 г., регистрационный N 30855) (далее - Правила проведения экспертизы промышленной безопасности), Федеральных
норм и правил в области промышленной безопасности "Правила безопасности сетей газораспределения и газопотребления", утвержденных приказом Ростехнадзора от 15 ноября 2013 г. N 542 (зарегистрирован Минюстом России 31 декабря 2013 г., регистрационный N 30929), Технического
регламента о безопасности сетей газораспределения и газопотребления, утвержденного постановлением Правительства Российской Федерации от 29 октября 2010 г. N 870 (далее - Технический регламент).
2. Руководство по безопасности содержит рекомендации по проведению технического диагностирования подземных стальных газопроводов (далее - газопроводы).
3. Для выполнения требований, указанных в
Правилах проведения экспертизы промышленной безопасности, организации, выполняющие техническое диагностирование газопроводов, помимо способов (методов), рекомендованных в Руководстве по безопасности, могут использовать иные способы (методы) при их соответствующем обосновании.
4. В Руководстве по безопасности применяются термины и определения, а также список используемых сокращений, приведенные в
приложениях N 1 и
2 к настоящему Руководству по безопасности.
5. Действие Руководства по безопасности распространяется на газопроводы, по которым транспортируются:
а) природный газ по
ГОСТ 5542-2014 "Газы горючие природные для промышленного и коммунально-бытового назначения. Технические условия" с избыточным давлением, определенным в Техническом регламенте;
б) сжиженные углеводородные газы по
ГОСТ 20448-90 "Газы углеводородные сжиженные топливные для коммунально-бытового потребления. Технические условия" с избыточным давлением, не превышающим 1,6 мегапаскаля.
6. Техническое диагностирование газопроводов проводится с целью:
оценки фактического технического состояния газопровода;
установления остаточного срока службы (предельного срока эксплуатации) газопровода;
разработки рекомендаций по обеспечению безопасной эксплуатации газопровода, до прогнозируемого перехода его в предельное состояние.
7. В зависимости от условий, продолжительности эксплуатации и технического состояния газопровода проводятся плановое и внеплановое техническое диагностирование.
Периодичность проведения планового технического диагностирования газопровода устанавливается:
по результатам проведения оценки технического состояния газопровода;
по достижении срока эксплуатации, установленного в проектной документации.
Для газопроводов, на которых ранее проводилось техническое диагностирование, срок его планового проведения, определяемый по результатам оценки технического состояния, принимается не более установленного в заключении экспертизы промышленной безопасности.
Внеплановое техническое диагностирование газопровода проводится:
при изменении категории газопровода по давлению газа;
после аварии, не связанной с механическим разрушением газопровода;
после воздействия на газопровод грунта в результате его деформации (например: просадки, оползневых явлений, размывов, пучений);
после землетрясения силой свыше 6 баллов;
по решению владельца газопровода;
по предписанию Федеральной службы по экологическому, технологическому и атомному надзору.
8. Объектом технического диагностирования является газопровод, построенный по одному проекту, имеющий одну исполнительную документацию и один строительный паспорт, транспортирующий газ одного давления согласно проектной документации.
Допускается включать в состав диагностируемого объекта (независимо от даты ввода в эксплуатацию) распределительные газопроводы и газопроводы-вводы, технологически присоединенные к действующей сети газораспределения или другому источнику газа.
9. Организация работ по техническому диагностированию газопроводов осуществляется организацией, выполняющей техническую эксплуатацию газопроводов (далее - эксплуатационная организация).
10. Проведение работ по техническому диагностированию газопроводов осуществляется организациями, имеющими в своем составе квалифицированный персонал и аттестованную лабораторию неразрушающего контроля, владеющими необходимым оборудованием для проведения указанных работ.
11. При проведении технического диагностирования газопровода допускается использовать данные технического обследования газопровода, проведенного не позднее, чем за год до даты проведения технического диагностирования газопровода, а также использовать результаты оценки технического состояния газопровода.
12. Техническое диагностирование газопровода выполняется в присутствии (при необходимости - с участием) работника(ов) эксплуатационной организации, назначаемого(ых) техническим руководителем эксплуатационной организации для выполнения данного вида работ.
13. Источниками исходных данных для оценки технического состояния газопроводов являются проектная, исполнительная документация и эксплуатационный паспорт газопровода (далее - паспорт газопровода).
14. Оценка технического состояния газопроводов осуществляется в соответствии с положениями настоящего Руководства по безопасности, документов на применяемые методы неразрушающего контроля, эксплуатационных документов на газопроводы и технические устройства, входящие в состав газопроводов.
15. Результаты технического диагностирования газопроводов используются для оценки их фактического состояния при проведении экспертизы промышленной безопасности газопроводов.
16. При проведении технического диагностирования газопровода выявляются имеющиеся дефекты и повреждения:
металла труб, в том числе сварных соединений;
защитного покрытия газопровода;
технических устройств, установленных на газопроводе.
17. К дефектам и повреждениям металла трубы газопровода относятся: коррозионные повреждения: сквозные, локальные (язвенные или точечные) и общие (сплошные);
механические и прочие повреждения (например: вмятины, задиры, трещины);
заводские повреждения, включая дефекты заводских продольных и спиральных швов сварных соединений;
дефекты монтажных сварных соединений (например: трещины всех видов и направлений, прожоги, незаваренные кратеры, выходящие на поверхность поры, подрезы глубиной более 5 процентов толщины стенки труб или более 0,5 миллиметров и длиной более 1/3 периметра стыка или более 150 миллиметров).
18. К дефектам и повреждениям защитного покрытия газопровода относятся:
повреждение или отсутствие покрытия;
отсутствие грунтовочного подслоя (праймера);
неравномерность, вздутие;
наличие пазух;
отсутствие армирующего слоя;
деструкция (потеря механической прочности клеящего подслоя);
отсутствие адгезии защитного покрытия к металлу трубы газопровода;
несоответствие типа покрытия документации, действующей на момент ввода объекта в эксплуатацию.
19. Документация, оформленная по результатам проведения технического диагностирования газопровода, прикладывается к комплекту эксплуатационной документации на газопровод.
II. ОСНОВАНИЯ И СРОКИ ПРОВЕДЕНИЯ ТЕХНИЧЕСКОГО
ДИАГНОСТИРОВАНИЯ ГАЗОПРОВОДОВ
20. Основанием проведения технического диагностирования газопроводов являются положения нормативных правовых актов Российской Федерации в области технического регулирования и промышленной безопасности, устанавливающих требования по проведению технического диагностирования и к объекту технического диагностирования.
21. Техническое диагностирование газопроводов проводится в случаях:
истечения срока службы (продолжительности эксплуатации) газопроводов, установленного в проектной документации;
отсутствия проектной документации, либо отсутствии в проектной документации данных о сроке эксплуатации газопроводов;
после аварии, в результате которой был поврежден газопровод;
по истечении сроков безопасной эксплуатации, установленных заключениями экспертизы промышленной безопасности;
по решению эксплуатационной организации.
III. ЭТАПЫ ТЕХНИЧЕСКОГО ДИАГНОСТИРОВАНИЯ
22. Техническое диагностирование газопровода состоит из следующих основных этапов:
анализ технической документации;
разработка и утверждение программы технического диагностирования газопровода;
техническое диагностирование газопровода без вскрытия грунта (бесшурфовое);
шурфовое техническое диагностирование газопровода;
оценка фактического технического состояния газопровода;
определение остаточного ресурса газопровода;
оформление результатов технического диагностирования газопровода.
23. Перечень и объем работ по техническому диагностированию газопровода определяется индивидуально для каждого конкретного объекта. Оценка фактического технического состояния газопровода осуществляется на основании одного или нескольких методов, с учетом конкретных условий, ответственности диагностируемого объекта и требуемой надежности контроля.
IV. АНАЛИЗ ТЕХНИЧЕСКОЙ ДОКУМЕНТАЦИИ
24. При техническом диагностировании газопроводов анализируется техническая документация на газопроводы, в том числе эксплуатационная документация на технические устройства, входящие в состав газопроводов.
25. Целью анализа технической документации является сбор, обобщение и анализ данных, характеризующих динамику изменений технического состояния газопровода при его эксплуатации.
При рассмотрении технической документации анализируются выявленные при эксплуатации (в результате проведения технических обследований, оценок технического состояния газопровода, ремонтов):
динамика изменения свойств защитного покрытия;
динамика изменения режимов работы средств ЭХЗ;
характер выявленных дефектов и повреждений газопровода.
26. При проведении технического диагностирования газопровода анализируется документация, относящаяся ко всем этапам жизненного цикла газопровода:
проектная документация на газопровод, в том числе материалы изысканий, исследования грунтов, сертификаты на материалы и оборудование;
исполнительная документация;
результаты приемо-сдаточных испытаний;
эксплуатационный паспорт газопровода;
документация с результатами проведения регламентных работ по мониторингу технического состояния газопровода в процессе его эксплуатации;
акты о проведении ремонтов и аварийно-восстановительных работ, включая ремонт сварных соединений;
документация, содержащая информацию о проведении работ по капитальному ремонту и реконструкции газопровода (или его участков);
рабочий проект и эксплуатационный паспорт системы ЭХЗ.
27. В случае отсутствия или неполной комплектности технической документации, допускается проведение технического диагностирования с последующим занесением в эксплуатационный паспорт характеристик газопровода, установленных по результатам технического диагностирования.
28. По результатам анализа технической документации устанавливаются следующие характеристики:
а) газопровода:
назначение газопровода;
год(ы) постройки газопровода (его участков);
год ввода газопровода в эксплуатацию;
давление по проекту (расчетное);
давление рабочее;
протяженность газопровода с указанием участков, имеющих различный диаметр;
б) трассы:
места параллельной прокладки и пересечения газопровода с естественными (например: реки, овраги, ручьи) и искусственными (мосты, тоннели, железнодорожные и трамвайные пути, автомобильные дороги) преградами;
места пересечения газопровода с сетями инженерно-технического обеспечения (например: тепловыми сетями, электрическими кабелями);
участки приближения сетей инженерно-технического обеспечения с указанием протяженности участков, проложенных смежно с газопроводом;
врезки в газопровод с указанием диаметра и даты врезки;
глубина заложения газопровода проектная и фактическая, полученная во время последних замеров (если глубина заложения не является постоянной, указывается ее минимальное и максимальное значение с привязкой к конкретным участкам трассы);
наличие колодцев, футляров, конденсатосборников, контрольно-измерительных пунктов, электроизолирующих соединений и других сооружений и технических устройств на газопроводе;
в) труб:
наружный диаметр и толщина стенки труб;
нормативные документы на трубы (стандарт, технические условия);
сертификационные данные на трубы;
г) грунта:
тип грунта по трассе газопровода;
наличие подстилающего слоя, отличного от основного грунта в траншее газопровода;
наличие грунта засыпки (присыпки) газопровода, отличного от основного грунта;
удельное электрическое сопротивление грунта по трассе газопровода;
удельное электрическое сопротивление грунта засыпки газопровода;
наличие участков с особыми грунтовыми условиями (пучинистыми, просадочными, набухающими и другими грунтами) и участков, проходящих по карстовым и подрабатываемым территориям с указанием протяженности;
наличие участков с высоким уровнем грунтовых вод с указанием максимального и минимального уровней;
д) защитного покрытия:
тип защитного покрытия;
материал защитного покрытия (при строительстве и ремонте);
переходное электрическое сопротивление покрытия (на момент строительства и данные последующих замеров, произведенных в случае ремонта);
механические свойства покрытия (например: величина адгезии, сопротивление сдвигу);
е) системы ЭХЗ:
тип ЭХЗ (катодная станция, дренажная установка, протекторная установка) с указанием проектных отметок мест установки;
дата ввода в эксплуатацию;
сведения о внесении изменений в систему ЭХЗ в течение всего срока эксплуатации газопровода;
значения защитных потенциалов, измеренные в опорных точках, между участками газопровода в земле относительно насыщенного МЭС;
режим работы установок ЭХЗ;
расположение и исправность действующих электроизолирующих соединений и шунтирующих токовых перемычек.
29. При проведении анализа технической документации учитываются сведения:
об имевших место повреждениях защитного покрытия, их количестве, динамике выявления, характере и методах ремонта с указанием расположения на схеме газопровода;
об имевших место коррозионных повреждениях газопровода, их количестве, динамике выявления, характере и методах ремонта с указанием расположения на схеме газопровода;
о ремонтах системы ЭХЗ, в том числе о перерывах в работе за последние 10 лет.
30. В результате выполнения анализа технической документации составляются:
схема диагностируемого газопровода с указанием потенциально опасных участков;
акт анализа технической документации газопровода, рекомендуемый образец которого приведен в
приложении N 3 к настоящему Руководству по безопасности.
31. Схема диагностируемого газопровода выполняется с привязками к зданиям и сооружениям на основе плана газопровода, предоставляемого эксплуатационной организацией в составе исполнительной документации.
На схеме диагностируемого газопровода указываются:
трасса газопровода со сквозным делением протяженности в метрах, начиная от начала газопровода до его конца, с привязкой всех существующих пикетов к расстоянию от начала трассы;
технические устройства и сооружения, установленные на газопроводе (например: колодцы, запорная арматура, конденсатосборники, контрольно-измерительные пункты, электроизолирующие соединения), места входов и выходов газопровода из земли, врезки в газопровод с указанием расстояния до ближайшего пикета;
места параллельной прокладки и пересечения со всеми сетями инженерно-технического обеспечения, а также с естественными и искусственными преградами в пределах охранной зоны газопровода;
места проведения ремонтов;
значения потенциалов в опорных точках газопровода, полученные во время последних замеров.
V. РАЗРАБОТКА И УТВЕРЖДЕНИЕ ПРОГРАММЫ
ТЕХНИЧЕСКОГО ДИАГНОСТИРОВАНИЯ ГАЗОПРОВОДА
32. Выполнение работ по техническому диагностированию газопровода проводится по программе технического диагностирования газопровода, разработанной в соответствии с требованиями документов в области промышленной безопасности, технического регулирования и стандартизации в части порядка выполнения отдельных видов работ (выполняемых при техническом диагностировании газопровода).
33. Программа технического диагностирования газопровода разрабатывается организацией, выполняющей техническое диагностирование газопровода, утверждается эксплуатационной организацией и собственником газопровода.
34. Типовая
программа проведения технического диагностирования газопровода приведена в приложении N 4 к настоящему Руководству по безопасности.
VI. ТЕХНИЧЕСКОЕ ДИАГНОСТИРОВАНИЕ ГАЗОПРОВОДА
БЕЗ ВСКРЫТИЯ ГРУНТА (БЕСШУРФОВОЕ)
35. Проведение работ по техническому диагностированию газопровода без вскрытия грунта (бесшурфовому) осуществляется с целью:
сбора и анализа данных о техническом состоянии газопровода;
поиска мест дефектов и повреждений защитного покрытия и металла трубы;
определения необходимости шурфового диагностирования и мест производства шурфов.
36. При техническом диагностировании газопровода без вскрытия грунта (бесшурфовом) выполняются:
проверка соответствия трассы газопровода исполнительной документации;
проверка газопровода на герметичность;
оценка защитного покрытия на наличие дефектов и повреждений;
оценка коррозионной агрессивности грунта;
определение опасного влияния блуждающего постоянного и переменного токов;
проверка эффективности работы ЭХЗ;
проверка состояния технических устройств, установленных на газопроводе;
выявление участков газопровода с аномалиями металла труб.
37. При проверке соответствия фактического местоположения газопровода и данных, содержащихся в исполнительной документации, выявляются:
места застройки и приближения к зданиям (сооружениям) на расстояния меньше нормативных;
наличие деревьев и кустарников в пределах охранной зоны газопровода;
смежные сети инженерно-технического обеспечения, построенные с нарушениями требований действующей нормативно-технической документации.
Случаи смещения газопровода от своей оси вследствие воздействия на него механических нагрузок различной природы выявляются:
приборным методом с использованием трассоискателей;
визуальным методом (при наличии смещения грунта в зоне укладки газопровода).
38. Проверка газопровода на герметичность производится с целью обнаружения и установления мест утечек газа по трассе газопровода. Герметичность газопровода проверяется газоиндикаторами с принудительным пробоотбором с порогом чувствительности не менее 0,001 процента (по объемной доле CH4).
39. Оценка защитного покрытия газопровода без вскрытия грунта проводится для определения мест расположения дефектов и повреждений защитного покрытия газопровода.
Дефекты и повреждения защитного слоя выявляются электрометрическим методом по наличию контакта металла трубопровода с грунтом. В зонах с наличием индустриальных помех применяются приборы, исключающие их влияние.
40. Оценка коррозионной агрессивности грунта по отношению к металлу (включая биокоррозионную агрессивность грунтов) при техническом диагностировании газопровода без вскрытия грунта (бесшурфовом) проводится в соответствии с
ГОСТ 9.602-2005 "Единая система защиты от коррозии и старения. Сооружения подземные. Общие требования к защите от коррозии" (далее -
ГОСТ 9.602).
Коррозионная агрессивность грунта по отношению к углеродистой и низколегированной стали оценивается качественно (низкая, средняя, высокая) по величинам:
удельного электрического сопротивления грунта, измеренного в полевых и лабораторных условиях;
средней плотности катодного тока, необходимого для смещения потенциала стали в грунте на 100 милливольт отрицательнее стационарного потенциала (потенциала коррозии).
41. Определение опасного влияния блуждающего постоянного и переменного токов и оформление результатов при техническом диагностировании газопровода без вскрытия грунта (бесшурфовом) проводится в соответствии с
ГОСТ 9.602.
42. Оценка эффективности работы ЭХЗ газопровода проводится с целью оценки обеспеченности последнего катодной поляризацией в соответствии с
ГОСТ Р 54983-2012 "Системы газораспределительные. Сети газораспределения природного газа. Общие требования к эксплуатации. Эксплуатационная документация".
Оценка эффективности катодной поляризации газопровода проводится в соответствии с нормативными требованиями путем:
сопоставления значений измеренных поляризационных (или суммарных) потенциалов с их допустимыми защитными значениями;
контроля параметров установок ЭХЗ.
Для оценки технического состояния установок ЭХЗ определяются:
период неработоспособности установки за последние 10 лет;
запас номинальных параметров по току и мощности.
Результаты проверки эффективности ЭХЗ газопровода оформляются протоколом, рекомендуемый образец которого приведен в
приложении N 5 к настоящему Руководству по безопасности.
43. При проведении работ по техническому диагностированию газопровода без вскрытия грунта проверяется состояние установленных на газопроводе технических устройств:
запорной и регулирующей и запорно-регулирующей арматуры на подземных (установленной в колодцах, в грунте под ковер) и надземных участках газопровода;
гидрозатворов.
При проверке технического состояния трубопроводной арматуры проводятся:
внешний осмотр арматуры для выявления перекосов, раковин, трещин, коррозии, загрязнений и других дефектов;
проверка герметичности сварных, резьбовых, фланцевых соединений и сальниковых уплотнений прибором или пенообразующим раствором;
проверка работоспособности затвора частичным перемещением запирающего элемента;
проверка состояния крепежных элементов фланцевых соединений;
проверка работоспособности привода в соответствии с документацией изготовителя;
проверка состояния окраски.
Для арматуры, установленной в газовых колодцах, дополнительно проверяются:
состояние крышки газового колодца;
загазованность газового колодца;
наличие воды и мусора в газовом колодце;
наличие и исправность шунтирующих электроперемычек;
состояния уплотнения футляров газопроводов, состояния конструкции колодцев, стен, скоб, лестниц, гидроизоляции колодцев;
состояния компенсаторов (герметичность, наличие коррозии и дефектов).
Для шаровых кранов, установленных в грунте под ковер, проверяются:
состояние и исправность крышки ковера и отмостки ковера;
наличие воды в ковере;
отсутствие утечки газа под крышку штока крана путем ослабления болта (сапуна);
работа крана в положениях "открыто-закрыто", не допуская при этом полного закрытия крана;
исправность приводного устройства.
Для гидрозатворов выполняется проверка:
герметичности резьбовых соединений гидрозатворов;
оголовков стояков гидрозатворов, резьбы пробок кранов на отсутствие повреждений;
состояния выводов (излишне занижены или выходят за пределы крышек ковера);
состояния стояков гидрозатворов на предмет возможного затопления их талыми водами;
состояния кранов и других деталей гидрозатворов.
Результаты проверки состояния технических устройств, установленных на газопроводе, оформляются протоколом, рекомендуемый образец которого приведен в
приложении N 6 к настоящему Руководству по безопасности.
44. Выявление участков газопровода с аномалиями металла труб проводится с целью определения дефектных участков и мест повышенных напряжений газопроводов.
Определение и уточнение мест расположения прогнозируемых дефектов без вскрытия грунта (бесшурфовое) производится разрешенными к применению методами, позволяющими дистанционно выявлять места коррозионных или иных повреждений, в том числе, в результате внутритрубного, бесконтактного магнитометрического обследований и других.
Результаты обследования без вскрытия грунта (бесшурфового) указываются в акте обследования газопровода без вскрытия грунта, рекомендуемый образец которого приведен в
приложении N 7 к настоящему Руководству по безопасности.
В случае проведения внутритрубного обследования допускается не проводить шурфовое диагностирование в соответствии с
разделом V.
45. Результаты обследования без вскрытия грунта (бесшурфового) оформляются заключением по форме в соответствии с нормативными документами, устанавливающими требования к проведению и оформлению применяемого метода обследования.
VII. ШУРФОВОЕ ТЕХНИЧЕСКОЕ ДИАГНОСТИРОВАНИЕ ГАЗОПРОВОДА
46. Работы по шурфовому техническому диагностированию газопровода проводятся с целью:
анализа дефектов и повреждений металла труб и защитного покрытия газопровода, выявленных при диагностировании без вскрытия грунта (бесшурфовом);
определения фактических свойств защитного покрытия и металла труб газопровода в шурфах.
47. Шурфы рекомендуется предусматривать в местах, где в результате проведения работ по техническому диагностированию газопровода без вскрытия грунта выявлены:
негерметичность газопровода;
дефекты и повреждения защитного покрытия.
При отсутствии утечек газа и повреждений защитного покрытия шурфы рекомендуется предусматривать на потенциально опасных участках газопровода, где имеется воздействие (или присутствие) следующих факторов (или их сочетание):
высокая коррозионная агрессивность грунта;
область действия блуждающих токов;
нарушения в работе ЭХЗ;
аномалия металла трубы;
использование приборов затруднено индустриальными помехами,
а также для участков газопроводов:
проложенных в грунтах II типа просадочности;
проложенных в чрезмерно пучинистых и сильнопучинистых грунтах в зоне сезонного промерзания без отсыпки песчаным грунтом;
проложенных в многолетнемерзлых грунтах на участках их оттаивания;
при наличии действующих оползней;
на территориях, где за время эксплуатации газопровода зафиксированы землетрясения или производились горные разработки;
в местах проявления аномалий в процессе эксплуатации (например: деформации грунта, неоднократные продольные и поперечные перемещения, изменения глубины заложения ниже нормативной);
в местах возможной деформации газопровода при выявлении изменений его местоположения.
48. Количество шурфов, достаточное для оценки технического состояния диагностируемого газопровода, определяется организацией, проводящей техническое диагностирование газопровода.
49. В состав работ по оценке технического состояния газопровода во вскрытых шурфах включаются:
проверка герметичности газопровода;
определение состояния защитного покрытия;
определение состояния поверхности металла и контроль геометрических размеров трубы;
определение физико-механических свойств металла трубы;
визуальный и измерительный контроль монтажных сварных соединений, попавших в пределы шурфа;
неразрушающий контроль монтажных сварных соединений по результатам визуального и измерительного контроля;
определение состояния сварных соединений;
определение коррозионной агрессивности грунта;
определение биокоррозионной агрессивности грунта;
определение опасного влияния блуждающего постоянного и переменного токов.
50. Проверка герметичности газопровода во вскрытом шурфе проводится в два этапа.
На первом этапе (перед началом работ для обеспечения безопасных условий их проведения) во вскрытом шурфе определяется загазованность с применением газоиндикаторов.
На втором этапе с помощью газоиндикаторов или пузырьковым методом (обмыливанием) проводится контроль герметичности по поверхности газопровода в локальных зонах с дефектами защитного покрытия, металла трубы и сварных стыков (например: сквозных повреждений, вмятин, задиров, трещин) газопровода.
Результаты проверки герметичности газопровода в шурфе указываются в протоколе, рекомендуемый образец которого приведен в
приложении N 8 к настоящему Руководству по безопасности.
51. Определение состояния защитного покрытия во вскрытом шурфе проводится визуальным осмотром и инструментальными методами.
При визуальном осмотре защитного покрытия используются данные паспорта газопровода и устанавливаются:
тип и материал защитного покрытия;
внешний вид защитного покрытия;
наличие на покрытии морщин, вспучиваний и продавливаний;
расположение и площадь дефектов и повреждений.
Инструментальными методами определяются фактические характеристики защитного покрытия:
толщина покрытия по периметру;
адгезия защитного покрытия к металлу;
величина переходного электрического сопротивления;
сплошность покрытия;
размеры и места расположения выявленных дефектов и повреждений.
При визуальном осмотре защитное покрытие оценивается:
сплошно;
с нарушенной сплошностью (с указанием суммарной поверхности повреждения защитного покрытия).
Допускается определять сплошность покрытия с помощью искровых дефектоскопов при соблюдении мер безопасности.
Адгезия различных типов защитных покрытий к металлу трубы и величина переходного электрического сопротивления защитного покрытия определяются в соответствии с
ГОСТ 9.602.
Результаты определения состояния защитного покрытия в шурфе оформляются протоколом, рекомендуемый образец которого приведен в
приложении N 9 к настоящему Руководству по безопасности.
52. Определение состояния поверхности металла и контроль геометрических размеров трубы (освобожденной от защитного покрытия) во вскрытом шурфе производятся неразрушающими методами (например: визуальным, измерительным, ультразвуковым).
Визуально определяются:
состояние поверхности металла трубы (при длине обследуемого участка не менее 0,5 метра);
наличие и вид коррозии (общая или локальная).
Измерения проводятся при контроле:
формы и размеров поперечного сечения трубы;
фактической толщины стенки трубы;
глубины и площади обнаруженных повреждений.
При обнаружении коррозионных повреждений трубы в зону обследования включается весь поврежденный участок.
В случае выявления коррозии на газопроводе, расположенном на расстоянии не более 50 метров от мест его пересечений или приближений к инженерным коммуникациям, которые являются возможным источником коррозионной опасности, проводится дополнительное обследование металла трубы в шурфах, вскрытых в местах наибольшего приближения к указанным коммуникациям.
Для измерения толщины стенки трубы применяются толщиномеры, позволяющие производить измерения при одностороннем доступе и обеспечивающие точность измерений 0,1 миллиметр.
Для замера глубины дефекта используются универсальные шаблоны сварщика или другие инструменты (приборы), обеспечивающие необходимую точность измерений.
53. Определение физико-механических свойств металла трубы проводится с целью оценки его деградационных изменений, происходящих при эксплуатации газопровода, в случаях:
выявления изменения места положения газопровода при деформации грунта, выводящей газопровод за пределы допустимого радиуса упругого изгиба (при R < 1500·Dнар, где Dнар - наружный диаметр газопровода);
установления при шурфовом обследовании факта изменения размеров и формы поперечного сечения газопровода, если обследуемый участок не будет назначен на перекладку.
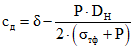
54. Приборным методом определяются фактические значения временного сопротивления

и предела текучести

. Допустимые значения находятся в пределах

.
55. Фактические значения физико-механических свойств металла (

и

) определяются в соответствии с
ГОСТ 10006-80 "Трубы металлические. Метод испытания на растяжение" или путем пересчета значений твердости, полученных с помощью переносного твердомера или коэрцитиметра по методикам, предусмотренным эксплуатационной документацией соответствующего прибора.
56. Факт потери прочности подтверждается лабораторными испытаниями вырезанных образцов в соответствии с
ГОСТ 22761-77 "Металлы и сплавы. Метод измерения твердости по Бринеллю переносными твердомерами статического действия", ГОСТ 22762-77 "Металлы и сплавы. Метод измерения твердости на пределе текучести вдавливанием шара" или другими аттестованными методами.
57. При достижении соотношения

, то есть при потере прочности металла трубы, подтвержденной лабораторными испытаниями, участок газопровода, для которого выполняется это соотношение, признается непригодным к эксплуатации.
58. Результаты замеров и расчетов при определении физико-механических свойств металла трубы фиксируются в протоколе, рекомендуемый образец которого приведен в
приложении N 10 к настоящему Руководству по безопасности.
59. Контроль наличия ЗКН, а также дефектов неоднородности структуры металла и сварных соединений газопровода проводятся аттестованными методами неразрушающего контроля (например: ультразвуковым, радиографическим, магнитометрическим), определяемыми организацией, проводящей техническое диагностирование.
Средства контроля, методика проведения измерений, порядок обработки и оформления результатов выбираются и выполняются в соответствии с нормативной документацией, устанавливающей требования к выбранному методу контроля.
60. Состояние монтажных сварных соединений определяется в зоне вскрытых шурфов визуальным и измерительным контролем. При необходимости проводится визуальный и измерительный контроль заводских продольных или спиральных швов. По результатам визуального и измерительного контроля проводится контроль неразрушающими методами.
Результаты проверки состояния сварных соединений указываются в протоколе, рекомендуемый образец которого приведен в
приложении N 10 к настоящему Руководству по безопасности.
61. Оценка коррозионной агрессивности грунта по отношению к металлу (включая биокоррозионную агрессивность грунтов) по отобранным в шурфе пробам грунта в лабораторных условиях проводится в соответствии с
ГОСТ 9.602.
62. Определение биокоррозионной агрессивности грунта на глубине укладки подземного стального газопровода проводится в соответствии с
ГОСТ 9.602 по качественным признакам:
окраске грунта;
наличию в грунте восстановленных соединений серы, являющихся продуктами жизнедеятельности сульфатвосстанавливающих бактерий.
Результаты определения биокоррозионной агрессивности грунта указываются в протоколе, рекомендуемый образец которого приведен в
приложении N 11 к настоящему Руководству по безопасности.
63. Определение опасного влияния блуждающего постоянного и переменного токов при шурфовом диагностировании проводится в соответствии с
ГОСТ 9.602.
64. Результаты шурфового обследования указываются в акте шурфового обследования газопровода, рекомендуемый образец которого приведен в
приложении N 12 к настоящему Руководству по безопасности.
VIII. ОПРЕДЕЛЕНИЕ ФАКТИЧЕСКОГО ТЕХНИЧЕСКОГО СОСТОЯНИЯ
ГАЗОПРОВОДА И ОПРЕДЕЛЕНИЕ ОСТАТОЧНОГО РЕСУРСА ГАЗОПРОВОДА
65. Фактическое техническое состояние газопровода определяется на основании результатов проведения его технического диагностирования.
66. В качестве критерия фактического технического состояния газопровода принята вероятность возникновения отказов, обусловленных техническим состоянием газопровода PТС.
Данный критерий комплексно учитывает условия эксплуатации газопровода и выявленные при проведении его технического диагностирования дефекты, повреждения и их динамику.
67. Определение фактического технического состояния и остаточного ресурса газопровода выполняется в следующей последовательности:
анализ условий эксплуатации газопровода и выявленных при проведении его технического диагностирования дефектов, повреждений и их динамики;
оценка вероятности возникновения отказов, обусловленных техническим состоянием газопровода;
определение допустимости дальнейшей безопасной эксплуатации газопровода;
установление остаточного ресурса газопровода;
разработка рекомендаций по обеспечению безопасной эксплуатации газопровода.
Схема алгоритма определения фактического технического состояния, допустимости эксплуатации и остаточного ресурса газопровода приведена в приложении N 13 к настоящему Руководству по безопасности.
68. Анализ условий эксплуатации газопровода и выявленных при проведении его технического диагностирования дефектов, повреждений и их динамики производится в соответствии с
методикой, приведенной в приложении N 14 к настоящему Руководству по безопасности.
Анализу рекомендуется подвергать участки газопровода, характеризующиеся различными параметрами технического состояния газопровода, особыми условиями эксплуатации, наличием источников опасностей и объектов, которые могут быть подвержены опасности в случае отказа газопровода.
69. Оценка вероятности возникновения отказов, обусловленных техническим состоянием газопровода P
ТС, производится в соответствии с
приложением N 14 к настоящему Руководству по безопасности и выполняется для двух вариантов:
при условии наличия дефектов и повреждений, выявленных при проведении технического диагностирования газопровода PТС1 (соответствует фактическому техническому состоянию газопровода);
при условии устранения выявленных дефектов и повреждений PТС2 (соответствует периоду дальнейшей безопасной эксплуатации до истечения остаточного ресурса).
70. Допустимость дальнейшей безопасной эксплуатации после проведения технического диагностирования газопровода до истечения остаточного ресурса определяется путем сравнения значений двух вероятностей возникновения отказов:
обусловленной техническим состоянием газопровода PТС;
установленной в качестве допустимой PД.
Для газопроводов, возникновение отказов на которых может сопровождаться нанесением ущерба третьим лицам и окружающей среде, рекомендуется устанавливать PД <= 0,05.
При соблюдении условия PТС < PД допускается продолжение эксплуатации газопровода до истечения остаточного ресурса.
71. Результаты определения фактического технического состояния и допустимости дальнейшей эксплуатации газопровода указываются в протоколе, рекомендуемый образец которого приведен в
приложении N 15 к настоящему Руководству по безопасности.
72. В зависимости от наличия дефектов, повреждений и их динамики, выявленных при проведении технического диагностирования газопровода, остаточный ресурс устанавливается по одному или нескольким из следующих критериев (методов):
вероятности возникновения отказов газопровода;
коррозионному утонению стенок и изменению механических характеристик металла труб газопровода;
усталостному повреждению металла;
другим методам и критериям.
В случае одновременного использования нескольких критериев (методов) остаточный ресурс газопровода определяется по его наименьшему значению из рассчитанных по каждому критерию (методу).
Методика определения остаточного ресурса на основании вероятности возникновения отказов газопровода приведена в приложении N 16 к настоящему Руководству по безопасности. Результаты расчета указываются в протоколе, рекомендуемый образец которого приведен в
приложении N 17 к настоящему Руководству по безопасности. Пример расчета приведен в
приложении N 18 к настоящему Руководству по безопасности.
Для участков газопровода, на которых обнаружено обширное коррозионное утонение стенок труб, остаточный ресурс определяется на основе информации о фактических параметрах коррозионных дефектов и физико-механических характеристиках труб, полученной при проведении технического диагностирования газопровода.
Рекомендуемая
методика определения остаточного ресурса газопровода по коррозионному утонению стенок и изменению механических характеристик металла труб газопровода приведена в приложении N 19 к настоящему Руководству по безопасности,
форма протокола - в приложении N 20 к настоящему Руководству по безопасности, пример расчета - в
приложении N 21 к настоящему Руководству по безопасности.
При обнаружении на диагностируемом газопроводе ЗКН, в которых процессы коррозии, усталости и ползучести металла развиваются наиболее интенсивно, остаточный ресурс газопровода рекомендуется рассчитывать в соответствии с рекомендациями к конкретному методу, используемому при проведении технического диагностирования.
Выбор методов и критериев для установления остаточного ресурса газопровода определяется организацией, проводящей техническое диагностирование.
73. С целью обеспечения безопасности эксплуатации газопровода на период времени от проведенного технического диагностирования до прогнозируемого перехода в предельное состояние, в дополнение к регламентным работам по мониторингу, техническому обслуживанию и текущему ремонту разрабатываются рекомендации, учитывающие фактическое, техническое состояние газопровода и предусматривающие:
установление сроков проведения проверок состояния охранных зон, технических осмотров и текущих ремонтов газопровода;
устранение конкретных нарушений условий безопасной эксплуатации газопровода, выявленных при его техническом диагностировании;
выполнение работ по текущему ремонту газопровода, исходя из характера обнаруженных неисправностей.
74. Результаты установления остаточного ресурса газопровода указываются в протоколе, рекомендуемый образец которого приведен в
приложении N 22 к настоящему Руководству по безопасности.
IX. ОФОРМЛЕНИЕ РЕЗУЛЬТАТОВ
ТЕХНИЧЕСКОГО ДИАГНОСТИРОВАНИЯ ГАЗОПРОВОДА
75. Результаты, полученные при выполнении отдельных видов работ, предусмотренных программой проведения технического диагностирования газопровода, оформляются в виде перечисленных ниже актов, протоколов, заключений, формы которых установлены документами в области стандартизации и другими нормативными документами:
акт анализа технической документации подземного стального газопровода;
результаты диагностирования подземного стального газопровода без вскрытия грунта:
акт технического обследования подземного стального газопровода;
протокол определения коррозионной агрессивности грунта;
протокол определения опасного влияния блуждающего постоянного тока;
протокол определения опасного влияния переменного тока;
протокол проверки эффективности работы ЭХЗ подземного стального газопровода;
протокол проверки состояния технических устройств, установленных на газопроводе;
результаты шурфового диагностирования:
акт шурфового обследования газопровода;
протокол проверки герметичности газопровода в шурфе;
протокол определения состояния защитного покрытия в шурфе;
протокол определения состояния металла трубы и сварных соединений подземного стального газопровода;
протокол результатов контроля ЗКН, дефектов неоднородности структуры металла и сварных соединений на локальном участке газопровода;
протокол определения коррозионной агрессивности грунта;
протокол определения биокоррозионной агрессивности грунта;
результаты определения фактического технического состояния газопровода и установления предельного срока его дальнейшей эксплуатации:
протокол определения фактического технического состояния и допустимости дальнейшей эксплуатации подземного стального газопровода;
протоколы определения по различным критериям остаточного ресурса газопровода;
протокол установления остаточного ресурса газопровода.
76. Результаты, полученные при выполнении технического диагностирования газопровода:
являются основанием для определения фактического технического состояния газопровода;
используются при проведении экспертизы промышленной безопасности газопровода;
оформляются в виде приложений к заключению экспертизы.
Результаты технического диагностирования газопровода оформляются в виде отчета о проведенном техническом диагностировании в случае, если по результатам проведения технического диагностирования не проводится экспертиза промышленной безопасности газопровода.
77. На основании результатов работ, выполненных при техническом диагностировании газопровода, оформляется заключение экспертизы промышленной безопасности в соответствии с требованиями
Правил проведения экспертизы промышленной безопасности.
78. Решение о дальнейшей безопасной эксплуатации газопровода принимается руководителем эксплуатационной организации.
79. Для объектов газораспределения и газопотребления, которые не относятся к категории опасных производственных объектов, результаты технического диагностирования газопроводов являются основанием для продления срока службы данного объекта.
к Руководству по безопасности
"Инструкция по техническому
диагностированию подземных
стальных газопроводов",
утвержденному приказом
Федеральной службы
по экологическому, технологическому
и атомному надзору
от 6 февраля 2017 г. N 47
В целях настоящего Руководства по безопасности используются следующие основные термины и определения:
Вероятность | - мера возможности появления события, выражаемая действительным числом из интервала от 0 до 1, где 0 соответствует невозможному, а 1 - достоверному событию. |
Вероятность безотказной работы | - вероятность того, что в пределах заданной наработки отказ объекта не возникнет. |
Вероятность отказа | - вероятность возникновения отказа изделия в пределах заданной наработки. Примечание 1 - Вероятность отказа является дополнением до единицы вероятности безотказной работы. Примечание 2 - Значение вероятности отказа равно отношению числа отказов испытанных изделий к числу их испытаний. |
Газопровод | - конструкция (сооружение), состоящая из соединенных между собой труб, предназначенная для транспортирования газа. |
Дефект | - каждое отдельное несоответствие продукции установленным требованиям. |
Исправное состояние (исправность) | - состояние объекта, при котором он соответствует всем требованиям нормативно-технической и (или) конструкторской (проектной) документации. |
Контроль технического состояния | - проверка соответствия значений параметров объекта требованиям технической документации и определение на этой основе одного из заданных видов технического состояния в данный момент времени. Примечание: Видами технического состояния являются, например, исправное, работоспособное, неисправное, неработоспособное и т.п. в зависимости от значений параметров в данный момент времени. |
Мониторинг технического состояния | - системный (непрерывный или периодический) контроль параметров, характеризующий техническое состояние оборудования. [п. 3.1.10 СТО Газпром 2-2.3-095-2007] |
Наработка | - продолжительность или объем работы объекта. Примечание: Наработка может быть как непрерывной величиной (продолжительность работы в часах, километрах пробега и т.п.), так и целочисленной величиной (число рабочих циклов, запусков и т.п.). |
Неисправное состояние (неисправность) | - состояние объекта, при котором он не соответствует хотя бы одному из требований нормативно-технической и (или) конструкторской (проектной) документации. |
Неработоспособное состояние (неработоспособность) | - состояние объекта, при котором значение хотя бы одного параметра, характеризующего способность выполнять заданные функции, не соответствует требованиям нормативно-технической и (или) конструкторской (проектной) документации. Примечание: Для сложных объектов возможно деление их неработоспособных состояний. При этом из множества неработоспособных состояний выделяют частично неработоспособные состояния, при которых объект способен частично выполнять требуемые функции. |
Несоответствие | - невыполнение требования. |
Отказ | - событие, заключающееся в нарушении работоспособного состояния объекта. |
Оценка технического состояния | - регламентная работа по мониторингу, выполняемая в процессе эксплуатации газопровода с расчетом величины риска и принятием решения о его допустимости. |
Повреждение | - событие, заключающееся в нарушении исправного состояния объекта при сохранении работоспособного состояния. |
Предельное состояние | - состояние объекта, при котором его дальнейшая эксплуатация недопустима или нецелесообразна, либо восстановление его работоспособного состояния невозможно или нецелесообразно. |
Предельный срок эксплуатации | - срок перехода объекта в предельное состояние, при котором его дальнейшая эксплуатация недопустима или нецелесообразна по причинам экономической или экологической опасности. |
Прогнозирование технического состояния | - определение технического состояния объекта с заданной вероятностью на предстоящий интервал времени. Примечание: целью прогнозирования технического состояния может быть определение с заданной вероятностью интервала времени (ресурса), в течение которого сохранится работоспособное (исправное) состояние объекта или вероятности сохранения работоспособного (исправного) состояния объекта на заданный интервал времени. |
Работоспособное состояние (работоспособность) | - состояние объекта, при котором значения всех параметров, характеризующих способность выполнять заданные функции, соответствуют требованиям нормативно-технической и (или) конструкторской (проектной) документации. |
Событие | - возникновение или изменение специфического набора условий. |
Техническое состояние объекта | - состояние, которое характеризуется в определенный момент времени, при определенных условиях внешней среды, значениями параметров, установленных технической документацией на объект. |
Требование | - потребность или ожидание, которое установлено, обычно предполагается или является обязательным. Примечание - Слова "обычно предполагается" означают, что это общепринятая практика организации, потребителей и других заинтересованных сторон, когда предполагаются рассматриваемые потребности или ожидания. |
Экспертная организация | - организация, имеющая лицензию на проведение экспертизы промышленной безопасности опасных производственных объектов. |
Эксплуатационная организация | - юридическое лицо, осуществляющее эксплуатацию сети газораспределения и сети газопотребления и (или) оказывающее услуги по их техническому обслуживанию и ремонту на законных основаниях. [ п. 7 Технический регламент о безопасности сетей газораспределения и газопотребления] |
к Руководству по безопасности
"Инструкция по техническому
диагностированию подземных
стальных газопроводов",
утвержденному приказом
Федеральной службы
по экологическому, технологическому
и атомному надзору
от 6 февраля 2017 г. N 47
СПИСОК ИСПОЛЬЗУЕМЫХ СОКРАЩЕНИЙ
В настоящем Руководстве по безопасности применены следующие сокращения:
ЗКН - зона концентрации напряжений;
МЭС - медно-сульфатный электрод сравнения;
СКЗ - станция катодной защиты;
УЗ - установка электрохимической защиты;
ЭХЗ - электрохимическая защита.
к Руководству по безопасности
"Инструкция по техническому
диагностированию подземных
стальных газопроводов",
утвержденному приказом
Федеральной службы
по экологическому, технологическому
и атомному надзору
от 6 февраля 2017 г. N 47
(Рекомендуемый образец)
АНАЛИЗА ТЕХНИЧЕСКОЙ ДОКУМЕНТАЦИИ ГАЗОПРОВОДА
Дата составления: "__" _______ 20__ г.
Имущественная принадлежность газопровода __________________________________
Адрес газопровода и N исполнительного чертежа _____________________________
Назначение газопровода ____________________________________________________
1. Основные характеристики газопровода
N проекта | |
Год(ы) постройки | |
Год ввода в эксплуатацию | |
Протяженность общая, метр | |
Диаметр, миллиметры | |
Давление проектное, мегапаскаль | |
Давление рабочее, мегапаскаль | |
Тип(ы) защитного покрытия (нормальное, усиленное, весьма усиленное) | |
Материал и конструкция защитного покрытия | |
Тип ЭХЗ и дата ввода | |
Эксплуатационная организация | |
2. Перечень рассмотренной документации:
_________________________________________________________________________
_________________________________________________________________________
3. Характеристики газопровода и технических устройств на нем
Расположение участка на исполнительной документации | Технические устройства | Диаметр, миллиметр | Толщина стенки трубы, миллиметр | Стандарт на трубы |
ПК | протяженность, метр |
| | | | | |
| | | | | |
4. Пересечение с искусственными и естественными преградами
Расположение участка на исполнительной документации | Наименование и характеристика пересекающей преграды | Наличие футляра |
ПК | протяженность, метр |
| | | |
| | | |
5. Особенности прокладки газопровода
Расположение участка на исполнительной документации | Прокладка в пучинистых и слабонесущих грунтах, на подрабатываемых территориях; в зонах с проявлением карстовых явлений; недопустимое приближение к инженерным коммуникациям (указать) | Примечание |
ПК | протяженность, метр |
| | | |
| | | |
6. Характеристика грунта
Расположение участка на исполнительной документации | Тип грунта (указать) | Коррозионная агрессивность |
ПК | протяженность, метр |
| | | |
| | | |
7. Система электрохимической защиты
Зона действия УЗ | Тип УЗ | Опорная точка | Потенциал относительно МЭС, вольт | Продолжительность отключения за 10 лет, сутки | Примечания |
от ПК | до ПК | суммарный | поляризационный |
| | | | | | | |
| | | | | | | |
8. Электроизолирующие соединения на газопроводе
N | Адрес (постоянные ориентиры) | Место установки | Дата проверки | Диаметр, миллиметр | Тип | Работоспособность |
| | | | | | |
| | | | | | |
9. Шунтирующие токовые перемычки
N | Адрес (постоянные ориентиры) | Тип установки (подземная/надземная) | Место установки |
сооружение 1 | сооружение 2 |
Диаметр, миллиметр | Давление, мегапаскаль | Диаметр, миллиметр | Давление, мегапаскаль |
| | | | | | |
| | | | | | |
10. Сведения о ремонтных и профилактических работах
N | Дата | Место расположения по схеме, ПК | Вид повреждения и его причины | Вид выполненного ремонта |
| | | | |
| | | | |
Приложение: Схема диагностируемого газопровода
Акт составлен:
___________________________________ ______________ ____________________
должность, наименование организации личная подпись инициалы, фамилия
к Руководству по безопасности
"Инструкция по техническому
диагностированию подземных
стальных газопроводов",
утвержденному приказом
Федеральной службы
по экологическому, технологическому
и атомному надзору
от 6 февраля 2017 г. N 47
ПРОВЕДЕНИЯ ТЕХНИЧЕСКОГО ДИАГНОСТИРОВАНИЯ ГАЗОПРОВОДА
Вид работ |
1. Анализ технической документации |
2. Диагностирование газопровода без вскрытия грунта: |
2.1. Проверка соответствия трассы газопровода исполнительной документации |
2.2. Проверка газопровода на герметичность |
2.3. Оценка состояния защитного покрытия |
2.4. Оценка коррозионной агрессивности грунта |
2.5. Определение опасного влияния блуждающего постоянного и переменного токов |
2.6. Проверка эффективности работы ЭХЗ |
2.7. Проверка состояния технических устройств, установленных на газопроводе |
2.8. Выявление участков газопровода с аномалиями металла труб |
3. Шурфовое диагностирование газопровода: |
3.1. Выбор мест закладки шурфов |
3.2. Проверка герметичности газопровода |
3.3. Определение состояния защитного покрытия |
3.4. Определение состояния поверхности металла и контроль геометрических размеров трубы |
3.5. Определение физико-механических свойств металла трубы |
3.6. Контроль ЗКН, дефектов, неоднородности структуры металла и сварных соединений |
3.7. Определение состояния сварных соединений |
3.8. Определение коррозионной агрессивности грунта |
3.9. Определение биокоррозионной агрессивности грунта |
4. Определение фактического технического состояния газопровода и установление предельного срока его дальнейшей эксплуатации |
4.1. Анализ условий эксплуатации газопровода и выявленных при проведении его технического диагностирования дефектов, повреждений и их динамики |
4.2. Оценка вероятности возникновения отказов, обусловленных техническим состоянием газопровода |
4.3. Принятие решения о допустимости дальнейшей безопасной эксплуатации газопровода до прогнозируемого его перехода в предельное состояние |
4.4. Установление остаточного ресурса газопровода |
4.5. Разработка рекомендаций по обеспечению безопасной эксплуатации газопровода до прогнозируемого его перехода в предельное состояние |
5. Оформление результатов технического диагностирования газопровода |
к Руководству по безопасности
"Инструкция по техническому
диагностированию подземных
стальных газопроводов",
утвержденному приказом
Федеральной службы
по экологическому, технологическому
и атомному надзору
от 6 февраля 2016 г. N 47
(Рекомендуемый образец)
ПРОВЕРКИ ЭФФЕКТИВНОСТИ РАБОТЫ
ЭЛЕКТРОХИМИЧЕСКОЙ ЗАЩИТЫ ГАЗОПРОВОДА
Дата обследования: "__" _______ 20__ г.
Организация-владелец (балансодержатель) ___________________________________
Эксплуатационная организация ______________________________________________
Название газопровода и N исполнительного чертежа
___________________________________________________________________________
Назначение газопровода ____________________________________________________
Общая протяженность ______ метров, диаметр _____ миллиметров,
рабочее давление ______ мегапаскаля.
1. Средства измерений
Наименование прибора | N прибора | Назначение прибора | Свидетельство и дата следующей поверки (калибровки) |
| | | |
| | | |
| | | |
2. Результаты контроля:
2.1. Результаты контроля защитных потенциалов
Расположение участка на исполнительной документации | Величина стационарного потенциала, вольт | Величина суммарного потенциала, вольт | Величина поляризационного потенциала, вольт |
ПК | Протяженность, метр |
| | | | |
| | | | |
| | | | |
2.2. Результаты контроля параметров УЗ
Наименование контролируемых параметров | Единица измерения | Значение параметра |
УЗ-1 | УЗ-2 | УЗ-3 | УЗ-... | УЗ-N |
Рабочий выходной ток | ампер | | | | | |
Выходное напряжение | вольт | | | | | |
Максимальное значение тока | ампер | | | | | |
Максимальное значение напряжения | вольт | | | | | |
Запас по току | процент | | | | | |
Запас по напряжению | " | | | | | |
Соотношение величин выходного и максимального напряжения | " | | | | | |
Период неработоспособности за последние 10 лет | месяц | | | | | |
3. Выводы:
___________________________________________________________________________
Обследование провели:
___________________________________ ______________ ____________________
должность, наименование организации личная подпись инициалы, фамилия
к Руководству по безопасности
"Инструкция по техническому
диагностированию подземных
стальных газопроводов",
утвержденному приказом
Федеральной службы
по экологическому, технологическому
и атомному надзору
от 6 февраля 2017 г. N 47
(Рекомендуемый образец)
ПРОВЕРКИ СОСТОЯНИЯ ТЕХНИЧЕСКИХ УСТРОЙСТВ,
УСТАНОВЛЕННЫХ НА ГАЗОПРОВОДЕ
Дата обследования: "__" _______ 20__ г.
Организация-владелец (балансодержатель) ___________________________________
Эксплуатационная организация ______________________________________________
Название газопровода и N исполнительного чертежа
___________________________________________________________________________
Назначение газопровода ____________________________________________________
Общая протяженность ____ метров, диаметр ____ миллиметров,
рабочее давление _____ мегапаскаля.
1. Средства измерений
Наименование средства измерения | N средства измерения | Назначение средства измерения | Свидетельство и дата следующей поверки (калибровки) |
| | | |
| | | |
| | | |
2. Результаты обследования технических устройств
Место расположения (ПК) | Тип технического устройства | Вид установки | Выявленные дефекты и повреждения | Рекомендации по обеспечению безопасной эксплуатации | Выводы |
| | | | | |
| | | | | |
| | | | | |
Обследование провели:
___________________________________ ______________ ____________________
должность, наименование организации личная подпись инициалы, фамилия
к Руководству по безопасности
"Инструкция по техническому
диагностированию подземных
стальных газопроводов",
утвержденному приказом
Федеральной службы
по экологическому, технологическому
и атомному надзору
от 6 февраля 2017 г. N 47
(Рекомендуемый образец)
АКТ ДИАГНОСТИРОВАНИЯ ГАЗОПРОВОДА
БЕЗ ВСКРЫТИЯ ГРУНТА
Дата "__" ______ 20__ г.
Имущественная принадлежность газопровода __________________________________
Эксплуатационная организация ______________________________________________
1. Наименование газопровода _______________________________________________
2. Давление газа в газопроводе, мегапаскаль
_________________________________________________
3. Длина газопровода, метр ________________________________________________
4. Состояние защитного покрытия проверялось _______________________________
Обнаружено мест "индикаций" прибора с приложением эскизов _________________
5. Герметичность газопровода проверялась __________________________________
Обнаружено мест "индикаций" прибора с приложением эскизов _________________
Акт составлен:
_____________________________________ __________ _________ __________
(должность, наименование организации) (Ф.И.О.) (подпись) (дата)
_____________________________________ __________ _________ __________
(должность, наименование организации) (Ф.И.О.) (подпись) (дата)
к Руководству по безопасности
"Инструкция по техническому
диагностированию подземных
стальных газопроводов",
утвержденному приказом
Федеральной службы
по экологическому, технологическому
и атомному надзору
от 6 февраля 2017 г. N 47
(Рекомендуемый образец)
ПРОВЕРКИ ГЕРМЕТИЧНОСТИ ГАЗОПРОВОДА В ШУРФЕ
Дата обследования "__" _______ 20__ г.
Имущественная принадлежность газопровода __________________________________
Адрес газопровода и N исполнительного чертежа _____________________________
___________________________________________________________________________
Назначение газопровода ____________________________________________________
Общая протяженность ____ метров, диаметр ____ миллиметров,
рабочее давление ____ мегапаскаля.
1. Параметры шурфа
N шурфа | Привязка шурфа по схеме (ПК) | Протяженность шурфа, метр | Примечания |
| | | |
| | | |
| | | |
2. Средства измерений
Наименование прибора | N прибора | Назначение прибора | Свидетельство и дата следующей поверки (калибровки) |
| | | |
| | | |
| | | |
3. Результаты измерений
Параметр контроля | Результат контроля | Место расположения (координаты) | Размеры, вид утечки |
Загазованность шурфа (наличие негерметичности) | | | |
Измерения провели:
___________________________________ ______________ ____________________
должность, наименование организации личная подпись инициалы, фамилия
к Руководству по безопасности
"Инструкция по техническому
диагностированию подземных
стальных газопроводов",
утвержденному приказом
Федеральной службы
по экологическому, технологическому
и атомному надзору
от 6 февраля 2017 г. N 47
(Рекомендуемый образец)
ОПРЕДЕЛЕНИЯ СОСТОЯНИЯ ЗАЩИТНОГО ПОКРЫТИЯ В ШУРФЕ
Дата обследования "__" ______ 20__ г.
Имущественная принадлежность газопровода __________________________________
Адрес газопровода и N исполнительного чертежа _____________________________
Назначение газопровода ____________________________________________________
Общая протяженность ____ метров, диаметр ____ миллиметров,
рабочее давление ____ мегапаскаля.
1. Параметры шурфа
N шурфа | Привязка шурфа по схеме (ПК) | Протяженность шурфа, метр | Примечания |
| | | |
| | | |
| | | |
2. Средства измерения
Наименование прибора | N прибора | Назначение прибора | Свидетельство и дата следующей поверки (калибровки) |
| | | |
| | | |
3. Результаты измерений
3.1. Характеристики защитного покрытия
N шурфа | Основа покрытия | Тип покрытия | Армирующий материал | Наличие праймера | Адгезия |
| | | | | |
| | | | | |
| | | | | |
3.2. Толщина защитного покрытия
N шурфа | Толщина покрытия, миллиметр | Среднее значение, миллиметр |
0 градусов | 90 градусов | 180 градусов | 270 градусов |
| | | | | |
| | | | | |
| | | | | |
3.3. Переходное сопротивление защитного покрытия
N шурфа | Диаметр газопровода, миллиметр | Площадь электрода-бандажа, квадратный метр | Напряжение, вольт | Сила тока, ампер | Rпер, ом на квадратный метр | Rпер ср., ом на квадратный метр |
| | | | | | |
| | |
| | |
3.4. Повреждения защитного покрытия
N шурфа | Внешний вид покрытия | Тип повреждения | Размеры повреждения | Причины повреждения |
| | | | |
| | | | |
| | | | |
4. Выводы: Выявлено мест с дефектами защитного покрытия, из них:
Дефекты | Количество, штук |
Сквозные повреждения | |
Неудовлетворительная адгезия | |
Отсутствие адгезии | |
Переходное сопротивление ниже предельно допустимого значения | |
Полная деструкция | |
Измерения провели:
___________________________________ ______________ ____________________
должность, наименование организации личная подпись инициалы, фамилия
к Руководству по безопасности
"Инструкция по техническому
диагностированию подземных
стальных газопроводов",
утвержденному приказом
Федеральной службы
по экологическому, технологическому
и атомному надзору
от 6 февраля 2017 г. N 47
(Рекомендуемый образец)
ОПРЕДЕЛЕНИЯ СОСТОЯНИЯ МЕТАЛЛА ТРУБЫ
И СВАРНЫХ СОЕДИНЕНИЙ ГАЗОПРОВОДА
Дата обследования "__" ______ 20__ г.
Имущественная принадлежность газопровода __________________________________
Адрес газопровода и N исполнительного чертежа _____________________________
Назначение газопровода ____________________________________________________
Общая протяженность ____ метров, диаметр ____ миллиметров,
рабочее давление ____ мегапаскаля.
1. Параметры шурфа
N шурфа | Привязка шурфа по схеме (ПК) | Протяженность шурфа, метр | Примечания |
| | | |
| | | |
| | | |
2. Средства измерений
Наименование прибора | N прибора | Назначение прибора | Свидетельство и дата следующей поверки (калибровки) |
| | | |
| | | |
| | | |
3. Результаты измерений
3.1. Геометрические параметры
N шурфа | Наружный диаметр, миллиметр | Толщина стенки трубы, миллиметр |
0 градусов | 90 градусов | 0 градусов | 90 градусов | 180 градусов | 270 градусов |
| | | | | | |
| | | | | | |
| | | | | | |
3.2. Механические и коррозионные повреждения металла трубы
N шурфа | Вид повреждения | Расположение, градус | Площадь, квадратный миллиметр (диаметр, миллиметр) | Глубина, миллиметр | Толщина стенки на неповрежденном участке, миллиметр |
| | | | | |
| | | | | |
| | | | | |
3.3. Механические характеристики металла трубы
N шурфа | Показания прибора | Среднее значение | Твердость | Временное сопротивление, мегапаскаль | Предел текучести, мегапаскаль |
| | | | | |
|
|
3.4. Состояние сварных соединений
Случаи разгерметизации сварных соединений _________________________________
Наличие поперечных сварных соединений газопровода в шурфе: ________________
Необходимость проверки сварных соединений _________________________________
Состояние сварных соединений _________________, протоколы N _______________
4. Выводы
Выявлено дефектов металла трубы и сварных соединений, из них:
Дефекты | Количество, штук |
Сквозные коррозионные повреждения более 1 миллиметра в диаметре | |
Сквозные коррозионные повреждения менее 1 миллиметра в диаметре | |
Язвенная (точечная) коррозия | |
Общая коррозия с остаточной толщиной стенки трубы менее 70 процентов от номинальной | |
Общая коррозия с остаточной толщиной стенки трубы более 70 процентов от номинальной | |
Механические повреждения | |
Негерметичность сварных соединений | |
Разрыв сварных соединений | |
Потеря прочности | |
Измерения провели:
___________________________________ ______________ ____________________
должность, наименование организации личная подпись инициалы, фамилия
к Руководству по безопасности
"Инструкция по техническому
диагностированию подземных
стальных газопроводов",
утвержденному приказом
Федеральной службы
по экологическому, технологическому
и атомному надзору
от 6 февраля 2017 г. N 47
(Рекомендуемый образец)
ОПРЕДЕЛЕНИЯ БИОКОРРОЗИОННОЙ АГРЕССИВНОСТИ ГРУНТА
Дата обследования "__" ______ 20__ г.
Имущественная принадлежность газопровода __________________________________
Адрес газопровода и N исполнительного чертежа _____________________________
Назначение газопровода ____________________________________________________
Общая протяженность ____ метров, диаметр ____ миллиметров,
рабочее давление ____ мегапаскаля.
1. Параметры шурфа
N шурфа | Привязка шурфа по схеме (ПК) | Протяженность шурфа, метр | Примечания |
| | | |
| | | |
| | | |
2. Результаты измерений
N шурфа | Окраска грунта | Наличие восстановительных соединений серы | Биокоррозионная агрессивность грунта |
| | | |
| | | |
| | | |
Измерения провели:
___________________________________ ______________ ____________________
должность, наименование организации личная подпись инициалы, фамилия
к Руководству по безопасности
"Инструкция по техническому
диагностированию подземных
стальных газопроводов",
утвержденному приказом
Федеральной службы
по экологическому, технологическому
и атомному надзору
от 6 февраля 2017 г. N 47
(Рекомендуемый образец)
ШУРФОВОГО ОБСЛЕДОВАНИЯ ГАЗОПРОВОДА
Дата "__" ______ 20__ г.
Имущественная принадлежность газопровода __________________________________
Эксплуатационная организация ______________________________________________
1. Наименование газопровода _______________________________________________
2. Адрес расположения шурфа _______________________________________________
3. Длина шурфа, метр ______________________________________________________
4. Координаты шурфа по GPS/Глонасс (WGS 84) _______________________________
5. Основание для проведения обследования __________________________________
(дефект изоляции, утечка и другое)
6. Характеристика трубопровода:
давление газа _________________________________________________________
(высокое, среднее, низкое)
материал ______________________________________________________________
наружный диаметр, миллиметр ___________________________________________
толщина стенки, миллиметр _____________________________________________
глубина заложения трубопровода (от верхней образующей трубопровода
до поверхности земли), метр _______________________________________________
год(ы) строительства __________________________________________________
7. Состояние защитного покрытия:
конструкция ___________________________________________________________
(усиленного типа, весьма усиленного типа)
материал ______________________________________________________________
(полимерное, ленточное полимерно-битумное, мастичное и другое)
толщина (из паспорта газопровода), миллиметр __________________________
толщина (фактическая), миллиметр ______________________________________
адгезия (из паспорта газопровода), ньютон на квадратный сантиметр,
мегапаскаль _______________________________________________________________
адгезия (фактическая), ньютон на квадратный сантиметр, мегапаскаль ____
наличие повреждений ___________________________________________________
(гофры, складки, пустоты, механические и другое)
сквозные повреждения __________________________________________________
(нет/ориентир по часовой шкале от 12:00 до 24:00)
площадь сквозных повреждений, квадратный сантиметр ____________________
переходное электрическое сопротивление, ом на квадратный метр _________
наружная обертка и ее состояние _______________________________________
(нет/материал, удовлетворительное,
неудовлетворительное)
наличие влаги под защитным покрытием __________________________________
8. Состояние наружной поверхности трубы:
наличие ржавчины на трубе под изоляцией, в местах отсутствия или
повреждения защитного покрытия ____________________________________________
___________________________________________________________________________
характер ржавчины _____________________________________________________
(цвет, бугристая, сплошная, легко-
или трудноотделяемая от трубы)
наличие сквозных или несквозных язв ___________________________________
(ориентир по часовой шкале
от 12:00 до 24:00, примерное число
на 1 квадратный дециметр)
размеры язв, миллиметр ________________________________________________
(диаметр, глубина)
9. Характеристика грунта:
тип ___________________________________________________________________
(глина, песок, суглинок, торф, известняк,
чернозем, гравий-щебень и другое)
состояние грунта ______________________________________________________
(сухой, влажный, мокрый)
наличие грунтовой воды ________________________________________________
наличие загрязнений ___________________________________________________
10. Результаты коррозионных исследований:
коррозионная агрессивность грунта _____________________________________
удельное электрическое сопротивление грунта, ом на метр _______________
средняя плотность катодного тока, ампер на квадратный метр ____________
биокоррозионная агрессивность грунта __________________________________
наличие опасного действия блуждающего постоянного и переменного токов
___________________________________________________________________________
11. Источники блуждающих токов в районе обследуемого газопровода __________
___________________________________________________________________________
12. Тип УЗ ________________________________ порядковый N __________________
(катодная, дренаж, протекторы)
13. Дата ввода в эксплуатацию _____________________________________________
14. Суммарное время простоя до обнаружения повреждения ____________________
15. Потенциал газопровода относительно насыщенного МЭС ____________________
при включенной ЭХЗ, вольт _____________________________________________
при отключенной ЭХЗ, вольт ____________________________________________
16. Заключение о предполагаемых причинах коррозии _________________________
___________________________________________________________________________
___________________________________________________________________________
17. Предлагаемые противокоррозионные мероприятия __________________________
___________________________________________________________________________
___________________________________________________________________________
Акт составлен:
_______________________________________ __________ _________ ___________
(должность, наименование организации) (Ф.И.О.) (подпись) (дата)
_______________________________________ __________ _________ ___________
(должность, наименование организации) (Ф.И.О.) (подпись) (дата)
к Руководству по безопасности
"Инструкция по техническому
диагностированию подземных
стальных газопроводов",
утвержденному приказом
Федеральной службы
по экологическому, технологическому
и атомному надзору
от 6 февраля 2017 г. N 47
СХЕМА АЛГОРИТМА ОПРЕДЕЛЕНИЯ ФАКТИЧЕСКОГО ТЕХНИЧЕСКОГО
СОСТОЯНИЯ, ДОПУСТИМОСТИ ЭКСПЛУАТАЦИИ И ОСТАТОЧНОГО
РЕСУРСА ГАЗОПРОВОДА
к Руководству по безопасности
"Инструкция по техническому
диагностированию подземных
стальных газопроводов",
утвержденному приказом
Федеральной службы
по экологическому, технологическому
и атомному надзору
от 6 февраля 2017 г. N 47
МЕТОДИКА ОЦЕНКИ ВЕРОЯТНОСТИ ВОЗНИКНОВЕНИЯ ОТКАЗОВ,
ОБУСЛОВЛЕННЫХ ТЕХНИЧЕСКИМ СОСТОЯНИЕМ ГАЗОПРОВОДА
1. Вероятность возникновения отказа, обусловленного техническим состоянием газопровода, определяется для участка газопровода протяженностью не более 1 километра по следующим формулам:
при наличии дефектов и повреждений, выявленных при проведении технического диагностирования:

, (1)
при условии устранения выявленных дефектов и повреждений (с учетом дефектов и повреждений, необнаруженных по объективным и субъективным причинам):

, (2)
где:
S - количество типов дефектов и повреждений, шт.;

- корректирующий коэффициент опасности дефектов и повреждений, учитывающий влияние условий эксплуатации и динамики возникновения дефектов и повреждений, определяется как произведение индивидуальных коэффициентов K
i по формуле:

, (3)
где:
n - количество корректирующих коэффициентов, шт.;
P(Asi) - потенциальная вероятность возникновения отказа из-за Si-того дефекта или повреждения;
ms - количество дефектов или повреждений одного типа, выявленных при проведении технического диагностирования на обследуемом участке газопровода, шт.;
ls - количество необнаруженных дефектов и/или повреждений, шт., определяется по формуле:
ls = ms·[(1 - Pд-оп(Bsi))/Pд-оп(Bsi)], (4)
где:
Pд-оп(Bsi) - вероятность обнаружения дефекта или повреждения (системой дефектоскоп-оператор).
2. Значения вероятности отказа, обусловленного возникновением на газопроводе различных типов дефектов и повреждений, и корректирующих коэффициентов опасности дефектов и повреждений определяются по статистическим данным об отказах на газопроводах по формулам:

, (5)

, (6)
где:
Nsi - средняя частота возникновения данного типа дефектов на газопроводе, приходящихся на один отказ 1/(километр·год);
Kв - весовой коэффициент условий эксплуатации, учитывает разную степень влияния различных групп условий эксплуатации (Kв = 1... 1,2);
Ni, Nmin - частота возникновения дефектов в одной из групп условий эксплуатации.
Корректирующий коэффициент опасности дефектов и повреждений Ki позволяет учитывать влияние характеристик газопровода и условий его эксплуатации на степень опасности дефектов и повреждений (возникновение отказа).
Рекомендуемые значения P(A
si) и K
i полученные из статистических данных, приведены соответственно в таблицах N 1 и
N 2.
Таблица N 1
Степень опасности дефектов и повреждений
Характеристики дефектов и повреждений | P(Asi) |
|
Дефекты и повреждения защитного покрытия |
Механические и структурные | Повреждения | 0,002 |
Неудовлетворительная адгезия в шурфе | 0,003 |
Отсутствие адгезии на всем участке | 0,030 |
Переходное сопротивление в шурфе меньше предельно допустимого значения | 0,001 |
Деструкция защитного покрытия на всем участке | 0,005 |
Дефекты и повреждения металла трубы |
Коррозионные | Сквозные более 1 миллиметра в диаметре | 0,200 |
Сквозные менее 1 миллиметра в диаметре | 0,100 |
Локальные (язвенные, точечные) | 0,015 |
Общие при остаточной толщине стенки менее 70 процентов от номинальной | 0,010 |
Характеристики дефектов и повреждений | P(Asi) |
| Общие при остаточной толщине стенки от 99 до 70 процентов номинальной | 0,005 |
Структурные | Потеря прочности тела трубы  | 0,700 |
Разрыв сварного соединения | 0,200 |
Негерметичность сварного соединения | 0,100 |
Таблица N 2
Значения корректирующих коэффициентов опасности
дефектов и повреждений на газопроводе
Характеристики подземного газопровода | Ki возможное |
Условия эксплуатации |
Вид газопровода | межпоселковый | 1,00 |
распределительный | 1,05 |
ввод | 1,10 |
Давление газа | низкое | 1,00 |
среднее | 1,05 |
высокое | 1,10 |
Наличие перехода газопровода через естественные и искусственные преграды | отсутствует | 1,00 |
водная преграда | 1,05 |
автомобильная или железная дорога | 1,10 |
автомобильная и железная дорога | 1,15 |
Нормативные расстояния от сети газораспределения | соблюдены | 1,00 |
не соблюдены | 1,05 |
Защитный потенциал обеспечен: | - | - |
по всей протяженности газопровода или ЭХЗ не требуется | - | 1,00 |
не по всей протяженности в грунтах с высокой коррозионной (включая биокоррозионную) агрессивностью или при наличии опасного влияния блуждающих токов (постоянного, переменного) | - | 1,10 |
не по всей протяженности в грунтах с высокой коррозионной (включая биокоррозионную) агрессивностью и при наличии опасного влияния блуждающих токов (постоянного, переменного) | - | 1,20 |
Перерывы в работе УЗ свыше допустимых нормативной документацией сроков | - | 1,05 |
Учет динамики возникновения дефектов и повреждений |
Ранее не было выявлено повреждений защитного покрытия | - | 1,00 |
Ранее были выявлены повреждения защитного покрытия при отсутствии динамики роста их количества | - | 1,05 |
Наблюдается рост количества мест повреждений защитного покрытия по сравнению с последним обследованием | - | 1,10 |
Наблюдается рост количества мест сквозных коррозионных повреждений за последние пять лет по сравнению с предыдущими пятью годами | - | 2,00 |
Наблюдается рост количества мест разгерметизации сварных стыков за последние пять лет по сравнению с предыдущими пятью годами | - | 2,00 |
3. Вероятность обнаружения дефектов и повреждений Pд-оп обусловлена проявлением различных факторов:
характеристиками используемых приборов и оборудования;
параметрами газопровода;
внешними причинами (наличие помех, качество дорожного покрытия, влажность грунта в зоне укладки газопровода и другое);
субъективными причинами (человеческий фактор).
Конкретные значения Pд-оп назначаются с учетом различных факторов, но не могут превышать максимальные значения из таблицы N 3.
Таблица N 3
Максимальные вероятности обнаружения дефектов и повреждений
Характеристика дефектного участка | Максимальная вероятность обнаружения дефекта Pд-оп макс |
Сквозные дефекты и повреждения металла труб |
На газопроводах: | - |
высокого давления | 0,98 |
среднего давления | 0,95 |
низкого давления | 0,90 |
низкого давления при размере повреждения менее 1 миллиметра | 0,85 |
Дефекты и повреждения защитного покрытия |
При прокладке газопровода: | - |
в поселении при наличии смежных коммуникаций | 0,70 |
в поселении при отсутствии смежных коммуникаций | 0,75 |
вне поселений | 0,80 |
Отсутствие адгезии по всей протяженности газопровода | 0,98 |
Деструкция защитного покрытия на всем участке (переходное сопротивление ниже предельно допустимого значения), подтвержденная неоднократными шурфовыми обследованиями | 0,99 |
4. При установлении количества дефектов и повреждений, обусловленных коррозией металла труб и выявленных в одном шурфе, длина которого не более 1,5 метров, следует использовать принцип поглощения менее значительных повреждений более значительными. Так, например, если в шурфе выявлены и сквозные, и язвенные повреждения, то учитываются только сквозные повреждения.
Количество дефектов одного типа для одного шурфа стандартного размера (1,5 метра) принимается за единицу.
к Руководству по безопасности
"Инструкция по техническому
диагностированию подземных
стальных газопроводов",
утвержденному приказом
Федеральной службы
по экологическому, технологическому
и атомному надзору
от 6 февраля 2017 г. N 47
(Рекомендуемый образец)
ОПРЕДЕЛЕНИЯ ФАКТИЧЕСКОГО ТЕХНИЧЕСКОГО СОСТОЯНИЯ
И ДОПУСТИМОСТИ ДАЛЬНЕЙШЕЙ ЭКСПЛУАТАЦИИ ГАЗОПРОВОДА
Дата обследования "__" _______ 20__ г.
Имущественная принадлежность газопровода __________________________________
Адрес газопровода и N исполнительного чертежа _____________________________
Назначение газопровода ____________________________________________________
Общая протяженность ____ метров, диаметр ____ миллиметров,
рабочее давление ____ мегапаскаля.
Таблица N 4
Расчет параметров технического состояния
Показатели подземного газопровода | Ki | P(Asi) | Результаты |
Ki | Количество |
Условия эксплуатации газопровода |
Вид газопровода | межпоселковый | 1,00 | - | | |
распределительный | 1,05 | - | | |
ввод | 1,10 | - | | |
Давление газа | низкое | 1,00 | - | | |
среднее | 1,05 | - | | |
высокое | 1,10 | - | | |
Наличие перехода через естественные и искусственные преграды | отсутствует | 1,00 | - | | |
водная преграда | 1,05 | - | | |
железная или автомобильная дорога | 1,10 | - | | |
железная и автомобильная дорога | 1,15 | - | | |
Нормативные расстояния | соблюдены | 1,00 | - | | |
не соблюдены | 1,05 | - | | |
Защитный потенциал | ЭХЗ не требуется | 1,00 | - | | |
обеспечен по всей протяженности | 1,00 | - | | |
обеспечен не по всей протяженности: | | | | |
в грунтах с высокой коррозионной (включая биокоррозионную) агрессивностью или при наличии опасного влияния блуждающих токов | 1,10 | - | | |
в грунтах с высокой коррозионной (включая биокоррозионную) агрессивностью и при наличии опасного влияния блуждающих токов | 1,20 | - | | |
Перерывы в работе УЗ | отсутствуют | 1,00 | - | | |
свыше сроков, установленных нормативной документацией | 1,05 | - | | |
Показатели подземного газопровода | Ki | P(Asi) | Результаты |
Ki | Количество |
Дефекты и повреждения |
Защитное покрытие | повреждения | - | 0,002 | | |
неудовлетворительная адгезия | - | 0,003 | | |
отсутствие адгезии | - | 0,030 | | |
переходное сопротивление меньше предельно допустимого значения | - | 0,001 | | |
полная деструкция | - | 0,005 | | |
Коррозия металла | сквозная с диаметром отверстия более 1 миллиметра | - | 0,200 | | |
сквозная с диаметром отверстия менее 1 миллиметра | - | 0,100 | | |
локальная (язвенная, точечная) | - | 0,015 | | |
общая с остаточной толщиной стенки трубы менее 70 процентов от номинальной | - | 0,010 | | |
общая с остаточной толщиной стенки трубы более 70 процентов от номинальной | - | 0,005 | | |
Сварные соединения | разрыв | - | 0,200 | | |
негерметичность | - | 0,100 | | |
потеря прочности  | - | 0,700 | | |
Динамика дефектов и повреждений |
Повреждения защитного покрытия | ранее не было выявлено | 1,00 | - | | |
ранее были выявлены | 1,05 | - | | |
наблюдается рост количества мест повреждений по сравнению с последним обследованием | 1,10 | - | | |
Сквозные коррозионные повреждения и разрывы сварных соединений | ранее не было выявлено | 1,00 | - | | |
ранее были выявлены | 1,05 | - | | |
наблюдается рост количества мест повреждений по сравнению с последним обследованием | 2,00 | - | | |
Допустимость дальнейшей безопасной эксплуатации газопровода при его фактическом техническом состоянии, выявленном в процессе диагностирования |
Корректирующий коэффициент опасности дефектов и повреждений  | |
Вероятность возникновения отказа газопровода: | |
при наличии дефектов и повреждений, выявленных при проведении технического диагностирования PТС1 | |
при условии устранения выявленных дефектов и повреждений PТС2 | |
установленная в качестве допустимой PД | 0,05 |
Решение о допустимости дальнейшей безопасной эксплуатации газопровода (допустима/недопустима) | |
Рекомендации по обеспечению безопасной эксплуатации газопровода:
___________________________________________________________________________
___________________________________________________________________________
___________________________________________________________________________
Расчет произвел:
___________________________________ ______________ ____________________
должность, наименование организации личная подпись инициалы, фамилия
к Руководству по безопасности
"Инструкция по техническому
диагностированию подземных
стальных газопроводов",
утвержденному приказом
Федеральной службы
по экологическому, технологическому
и атомному надзору
от 6 февраля 2017 г. N 47
ОПРЕДЕЛЕНИЯ ОСТАТОЧНОГО РЕСУРСА ГАЗОПРОВОДА
ПО ВЕРОЯТНОСТИ ВОЗНИКНОВЕНИЯ ОТКАЗОВ
1. Определение остаточного ресурса газопровода по критерию вероятности возникновения отказа производится на основании заданной величины вероятности безотказной работы (1 - PД) и значений частоты отказов, обусловленных различными причинами (техническое состояние, механические повреждения, заводской брак, другие причины) и оцениваемых по результатам технического диагностирования и статистическим данным.
2. Расчетная формула для определения вероятности возникновения одного или более отказов P(n >= 1) на протяжении конкретного периода времени для обследуемого участка газопровода имеет вид:
P(n >= 1) = 1 - P
Д = 1 - exp(-n
от·t·L), (1)
где:
t - продолжительность периода времени, для которого оценивается вероятность возникновения отказа, год;
L - протяженность обследуемого участка газопровода, километров;
PД - вероятность возникновения отказа, установленная в качестве допустимой (рекомендуется PД <= 0,05);
nот - частота возникновения на газопроводе отказов, обусловленных различными причинами, 1/(километр·год):
nот = nтс + nмп + nзб + nдр, (2)
где:
nтс - частота возникновения на газопроводе отказа, обусловленного техническим состоянием, оценивается по вероятности возникновения отказа Pтс, определенной на основе результатов технического диагностирования:
nтс = Pтс/L, (3)
nмп, nзб, nдр - частоты возникновения на газопроводе отказов, обусловленных механическими повреждениями, заводским браком и другими причинами, оцениваются по статистическим данным, обобщенным в таблице N 5.
Таблица N 5
Обобщенные статистические данные по частоте возникновения
на газопроводах отказов, обусловленных различными причинами
Причина отказа | Обозначение | Значение, 1/(километр·год) |
Механические повреждения | nмп | 0,0020 |
Заводской брак | nзб | 0,0001 |
Другие причины | nдр | 0,0003 |
3. На основании
формулы (1) может быть рассчитана продолжительность периода времени t, на протяжении которого при значениях частоты отказов n
от, определенных в соответствии с рекомендациями
пункта 2 настоящего приложения, вероятность возникновения отказа на обследуемом участке газопровода не превысит заданной величины P
Д:
t = -ln(1 - PД)/(nот·L). (4)
4. Остаточный ресурс T
пр для участка обследуемого газопровода протяженностью не более 1 километра при принятой вероятности возникновения отказа P
Д и определенных по
пункту 2 настоящего приложения значениях частоты отказов n
от следует рассчитывать по формуле:
T
пр = -ln(1 - P
Д)/(n
тс + n
мп + n
зб + n
др). (5)
5. В таблице N 6 в качестве иллюстрации приведены результаты расчета по
формуле (5) остаточного ресурса газопровода при различных значениях вероятности возникновения отказа, обусловленного техническим состоянием газопровода (P
Д = 0,05, n
мп = 0,002 1/(километр·год), n
зб = 0,0001 1/(километр·год), n
др = 0,0003 1/(километр·год), n
тс = P
тс при L <= 1 километра).
Таблица N 6
Остаточный ресурс Tпр при различных значениях вероятности
возникновения отказа, обусловленного техническим состоянием
участка обследуемого газопровода
PТС | <= 0,001 | 0,002 | 0,003 | 0,004 | 0,005 | 0,006 | 0,007 | 0,008 | 0,009 | 0,01 | 0,02 | 0,03 | 0,04 | 0,05 |
Tпр, лет | 15,1 | 11,7 | 9,5 | 8,0 | 6,9 | 6,1 | 5,5 | 4,9 | 4,5 | 4,1 | 2,3 | 1,6 | 1,2 | 1,0 |
6. По результатам расчетов, выполненных для отдельных участков газопровода, строится график изменения остаточного ресурса Tпр = f(L) по всей протяженности газопровода.
к Руководству по безопасности
"Инструкция по техническому
диагностированию подземных
стальных газопроводов",
утвержденному приказом
Федеральной службы
по экологическому, технологическому
и атомному надзору
от 6 февраля 2017 г. N 47
(Рекомендуемый образец)
ОПРЕДЕЛЕНИЯ ОСТАТОЧНОГО РЕСУРСА ГАЗОПРОВОДА
ПО ВЕРОЯТНОСТИ ВОЗНИКНОВЕНИЯ ОТКАЗОВ
Дата обследования "__" ______ 20__ г.
Имущественная принадлежность газопровода __________________________________
Адрес газопровода и N исполнительного чертежа _____________________________
Назначение газопровода ____________________________________________________
Общая протяженность ____ метров, диаметр ____ миллиметров,
рабочее давление ____ мегапаскаля.
1. Исходные данные
Наименование параметра | Единица измерения | Обозначение | Значение |
Вероятность возникновения отказа, установленная в качестве допустимой | - | PД | |
Частота возникновения отказов, обусловленных различными причинами: | - | - | - |
механическими повреждениями | 1/(километр·год) | nМП | |
заводским браком | то же | nЗБ | |
другими причинами | " | nДР | |
2. Результаты расчетов
Наименование параметра | Значение по участкам газопровода |
1 | 2 | ... | n |
При наличии дефектов и повреждений, выявленных при проведении технического диагностирования: | - | - | - | - |
вероятность возникновения отказа PТС1 | | | | |
остаточный ресурс газопровода TПР1, лет | | | | |
При условии устранения выявленных дефектов и повреждений: | - | - | - | - |
вероятность возникновения отказа PТС2 | | | | |
остаточный ресурс газопровода TПР1, лет | | | | |
Расчет провел:
___________________________________ ______________ ____________________
должность, наименование организации личная подпись инициалы, фамилия
к Руководству по безопасности
"Инструкция по техническому
диагностированию подземных
стальных газопроводов",
утвержденному приказом
Федеральной службы
по экологическому, технологическому
и атомному надзору
от 6 февраля 2017 г. N 47
ПРИМЕР РАСЧЕТА ОСТАТОЧНОГО РЕСУРСА ГАЗОПРОВОДА
ПО ВЕРОЯТНОСТИ ВОЗНИКНОВЕНИЯ ОТКАЗА
1. Данные об объекте обследования:
Дата обследования: 23.07.2013 г.
Имущественная принадлежность газопровода: ОАО "Газпром газораспределение Владимир".
Адрес газопровода: г. Костерево, Владимирская область.
Назначение газопровода: распределительный.
Общая протяженность 0,5 километров, диаметр 219 миллиметров, рабочее давление 0,6 мегапаскаля.
2. На основании результатов анализа технической документации и технического диагностирования определены фактическое техническое состояние и допустимость дальнейшей эксплуатации газопровода.
Таблица N 7
Расчет параметров технического состояния
Показатели подземного газопровода | Ki | P(Asi) | Результаты |
Ki | Количество |
Условия эксплуатации |
Вид газопровода | межпоселковый | 1,00 | - | - | - |
распределительный | 1,05 | - | 1,05 | - |
ввод | 1,10 | - | - | - |
Давление газа | низкое | 1,00 | - | - | - |
среднее | 1,05 | - | - | - |
высокое | 1,10 | - | 1,10 | - |
Наличие перехода через естественные и искусственные преграды | отсутствует | 1,00 | - | - | - |
водная преграда | 1,05 | - | - | - |
железная или автомобильная дорога | 1,10 | - | 1,10 | - |
железная и автомобильная дорога | 1,15 | - | - | - |
Нормативные расстояния | соблюдены | 1,00 | - | 1,00 | - |
не соблюдены | 1,05 | - | - | - |
Защитный потенциал | ЭХЗ не требуется | 1,00 | - | - | - |
обеспечен по всей протяженности | 1,00 | - | 1,00 | - |
обеспечен не по всей протяженности: | - | - | - | - |
в грунтах с высокой коррозионной (включая биокоррозионную) агрессивностью или при наличии опасного влияния блуждающих токов | 1,10 | - | - | - |
в грунтах с высокой коррозионной (включая биокоррозионную) агрессивностью и при наличии опасного влияния блуждающих токов | 1,20 | - | - | - |
Перерывы в работе ЭЗУ | отсутствуют | 1,00 | - | 1,00 | - |
свыше допустимых сроков | 1,05 | - | - | - |
Показатели подземного газопровода | Ki | P(Asi) | Результаты |
Ki | Количество |
Дефекты и повреждения |
Защитное покрытие | повреждения | - | 0,002 | - | 3 |
неудовлетворительная адгезия | - | 0,003 | - | 2 |
отсутствие адгезии | - | 0,030 | - | - |
переходное сопротивление меньше предельно допустимого значения | - | 0,001 | - | 2 |
полная деструкция | - | 0,005 | - | - |
Коррозия металла | сквозная с диаметром отверстия более 1 миллиметра | - | 0,200 | - | - |
сквозная с диаметром отверстия менее 1 миллиметра | - | 0,100 | - | - |
локальная (язвенная, точечная) | - | 0,015 | - | - |
общая с остаточной толщиной стенки трубы менее 70 процентов от номинальной | - | 0,010 | - | - |
общая с остаточной толщиной стенки трубы более 70 процентов от номинальной | - | 0,005 | - | 2 |
Сварные соединения | разрыв | - | 0,200 | - | - |
негерметичность | - | 0,100 | - | - |
потеря прочности  | - | 0,700 | - | - |
Динамика дефектов и повреждений |
Повреждения защитного покрытия | ранее не было выявлено | 1,00 | - | - | - |
ранее были выявлены | 1,05 | - | 1,05 | - |
наблюдается рост количества мест повреждений по сравнению с последним обследованием | 1,10 | - | - | - |
Сквозные коррозионные повреждения и разрывы сварных соединений | ранее не было выявлено | 1,00 | - | - | - |
ранее были выявлены | 1,05 | - | - | - |
наблюдается рост количества мест повреждений по сравнению с последним обследованием | 2,00 | - | - | - |
Допустимость дальнейшей безопасной эксплуатации газопровода при его фактическом техническом состоянии, выявленном в процессе диагностирования |
Корректирующий коэффициент опасности дефектов и повреждений  | 1,2705 |
Вероятность возникновения отказа газопровода: | - |
при наличии дефектов и повреждений, выявленных при проведении технического диагностирования PТС1 | 0,030 |
при условии устранения выявленных дефектов и повреждений PТС2 | 0,013 |
установленная в качестве допустимой PД | 0,05 |
Решение о допустимости дальнейшей безопасной эксплуатации газопровода (допустима/недопустима) | допустима |
3. Расчет параметров технического состояния.
3.1. Корректирующий коэффициент опасности дефектов:

.
3.2. Вероятность возникновения отказа газопровода при наличии дефектов и повреждений, выявленных при проведении технического диагностирования PТС1.
В рассматриваемом случае количество типов дефектов si = 4, тогда
Таким образом, PТС1 = 0,030 < PД = 0,05, следовательно, дальнейшая безопасная эксплуатация газопровода при рассчитанном значении вероятности возникновения отказа на нем допустима.
3.3. Количество дефектов и повреждений, необнаруженных по объективным и субъективным причинам:
lsi = msi·[(1 - Pд-оп(Bsi))/Pд-оп(Bsi)].
Принимаем вероятность обнаружения дефектов Pд-оп = 0,7.
3.3.1. Количество необнаруженных повреждений изоляции:
ls1 = m1·[(1 - Pд-оп)/Pд-оп] = 3·((1 - 0,7)/0,7) = 1,286.
3.3.2. Количество необнаруженных фактов неудовлетворительной адгезии:
ls2 = m2·[(1 - Pд-оп)/Pд-оп] = 2·((1 - 0,7)/0,7) = 0,857.
3.3.3. Количество необнаруженных фактов, что переходное сопротивление изоляции меньше критического:
ls3 = m3·[(1 - Pд-оп)/Pд-оп] = 2·((1 - 0,7)/0,7) = 0,857.
3.3.4. Количество необнаруженных коррозионных повреждений:
ls4 = m4·[(1 - Pд-оп)/Pд-оп] = 2·((1 - 0,7)/0,7) = 0,857.
3.4. Вероятность возникновения отказа газопровода при условии устранения
выявленных дефектов и повреждений PТС2:
Таким образом, PТС2 = 0,013 < PД = 0,05, следовательно, дальнейшая безопасная эксплуатация газопровода при рассчитанном значении вероятности возникновения отказа на нем допустима.
4. Расчет остаточного ресурса газопровода по критерию вероятности отказов на нем.
4.1. Исходные данные, необходимые для расчета, представлены в таблице N 8.
Таблица N 8
Исходные данные для расчета остаточного
ресурса газопровода по вероятности отказа
Наименование параметра | Единица измерения | Обозначение | Значение |
Вероятность возникновения отказа, установленная в качестве допустимой | - | PД | 0,05 |
Частота возникновения отказов, обусловленных различными причинами: | - | - | - |
механическими повреждениями | 1/(километр·год) | nМП | 0,0020 |
заводским браком | то же | nЗБ | 0,0001 |
другими причинами | " | nДР | 0,0003 |
4.2. Расчет остаточного ресурса газопровода при значениях вероятности отказов PТС1 и PТС2 (частотах возникновения отказов nтс1 и nтс2, обусловленных техническим состоянием газопровода):
Tпр1 = -ln(1 - PД)/(nтс1 + nмп + nзб + nпр) = -ln(1 - 0,05)/(0,030 + 0,002 + 0,0001 + 0,0003) = 1,6 года.
Tпр2 = -ln(1 - PД)/(nтс2 + nмп + nзб + nпр) = -ln(1 - 0,05)/(0,013 + 0,002 + 0,0001 + 0,0003) = 3,3 года.
4.3. Результаты расчетов представлены в таблице N 9.
Таблица N 9
Результаты расчетов остаточного
ресурса газопровода по вероятности отказа
Наименование параметра | Единица измерения | Обозначение | Значение |
При наличии дефектов и повреждений, выявленных при проведении технического диагностирования: | - | - | - |
вероятность возникновения отказа | - | PТС1 | 0,030 |
остаточный ресурс газопровода | год | TПР1 | 1,6 |
При условии устранения выявленных дефектов и повреждений: | - | - | - |
вероятность возникновения отказа | - | PТС2 | 0,013 |
остаточный ресурс газопровода | год | TПР2 | 3,3 |
5. Выводы по результатам расчетов:
1) Дальнейшая эксплуатация газопровода до прогнозируемого его перехода в предельное состояние допустима, т.к. PТСj < PД.
2) Остаточный ресурс газопровода составляет:
- при наличии дефектов и повреждений, выявленных при проведении технического диагностирования,
Tпр1 = 1,6 года;
- при условии устранения выявленных дефектов и повреждений,
Tпр2 = 3,3 года.
Расчет произвел:
___________________________________ ______________ ____________________
должность, наименование организации личная подпись инициалы, фамилия
к Руководству по безопасности
"Инструкция по техническому
диагностированию подземных
стальных газопроводов",
утвержденному приказом
Федеральной службы
по экологическому, технологическому
и атомному надзору
от 6 февраля 2017 г. N 47
МЕТОДИКА ОПРЕДЕЛЕНИЯ ОСТАТОЧНОГО РЕСУРСА ГАЗОПРОВОДА
ПО КОРРОЗИОННОМУ УТОНЕНИЮ СТЕНОК И ИЗМЕНЕНИЮ МЕХАНИЧЕСКИХ
ХАРАКТЕРИСТИК МЕТАЛЛА ТРУБ ГАЗОПРОВОДА
1. Определение остаточного ресурса газопровода по критерию коррозионного утонения стенок и изменению механических характеристик металла труб производится на основании полученной при проведении технического диагностирования информации о фактических параметрах коррозионных дефектов и физико-механических характеристиках труб.
2. Для участков газопровода, на которых при проведении диагностирования обнаружены обширные коррозионные утонения стенок и изменения механических характеристик металла труб, остаточный ресурс Tпр следует определять по формуле:
Tпр = (cф - cд)/wср, (1)
где:
c
ф - фактическая глубина коррозионного повреждения, мм, измеренная при проведении технического диагностирования газопровода (см.
приложение N 9);
c
д - допустимая глубина коррозионного повреждения, миллиметры, значение которой рассчитывается по
формуле (2);
w
ср - средняя скорость коррозии, миллиметры в год, оцениваемая либо по
формуле (3), либо по экспериментальным или справочным данным.
3. Значение допустимой глубины коррозионного повреждения cд, миллиметры, зависит как от геометрических размеров трубы, так и от изменения механических характеристик металла трубы и рассчитывается по формуле:

, (2)
где:

- номинальная толщина стенки трубы, миллиметров;
P - проектное давление на участке газопровода, мегапаскаль;
DН - наружный диаметр трубы, миллиметров;

- фактический предел текучести металла трубы, мегапаскаль.
4. При наличии данных о глубине коррозионных повреждений, измеренных на участке газопровода в различные годы, среднюю скорость коррозии wср, миллиметры в год, следует оценивать по формуле:
w
ср = (c
t2 - c
t1)/(t
2 - t
1), (3)
где:
ct1, ct2 - глубина коррозионного повреждения, зафиксированная при первом и втором измерениях, миллиметр;
t1, t2 - продолжительность эксплуатации газопровода до проведения первого и второго измерений, год.
5. В случае отсутствия данных о произведенных в предыдущие годы измерениях глубины коррозионных повреждений на диагностируемом участке газопровода допустимо оценивать значение средней скорости коррозии w
ср, миллиметры в год, по экспериментальным (см. таблицу N 10) или справочным (см.
таблицу N 11) данным.
Таблица N 10
Данные о среднем значении скорости коррозии
по результатам полевых испытаний
Вид грунта | Результаты исследований |
в течение 6 лет | в течение 12 лет |
скорость коррозии wmax, миллиметры в год | скорость коррозии wmax, миллиметры в год | диапазон разброса |
Песок | 0,133 | 0,030 | 0,015 - 0,120 |
Смесь глины и песка (в соотношении 1:1) | 0,250 | 0,080 | 0,020 - 0,140 |
Глина | 0,300 | 0,180 | 0,080 - 0,400 |
Таблица N 11
Средняя скорость коррозии стали в различных грунтах
Грунт | Значение pH | Удельное сопротивление грунта, ом на метр | Скорость коррозии, миллиметры в год |
Суглинок | 7,6 | 17,7 | 0,062 |
7,3 | 298 | 0,082 |
Супесь | 4,5 | 114 | 0,066 |
5,9 | 450 | 0,085 |
Песок мелкий | 4,7 | 205 | 0,087 |
Известковый суглинок | 6,8 | 4,8 | 0,314 |
Торфяные полосы | 4,2 | 12,7 | 0,308 |
Глина | 7,6 | 3,5 | 0,251 |
Щелочной грунт | 7,4 | 2,63 | 0,290 |
к Руководству по безопасности
"Инструкция по техническому
диагностированию подземных
стальных газопроводов",
утвержденному приказом
Федеральной службы
по экологическому, технологическому
и атомному надзору
от 6 февраля 2017 г. N 47
(Рекомендуемый образец)
ОПРЕДЕЛЕНИЯ ОСТАТОЧНОГО РЕСУРСА ГАЗОПРОВОДА
ПО КОРРОЗИОННОМУ УТОНЕНИЮ СТЕНОК И ИЗМЕНЕНИЮ
МЕХАНИЧЕСКИХ ХАРАКТЕРИСТИК МЕТАЛЛА ТРУБ ГАЗОПРОВОДА
Дата обследования "__" ______ 20__ г.
Имущественная принадлежность газопровода __________________________________
Адрес газопровода и N исполнительного чертежа _____________________________
Назначение газопровода ____________________________________________________
Общая протяженность ____ метров, диаметр ____ миллиметров,
рабочее давление ____ мегапаскаля.
1. Исходные данные
Параметр | Единица измерения | Обозначение | Значение в шурфе |
1 | 2 | ... | n |
Проектное давление газа в газопроводе | мегапаскаль | P | | | | |
Наружный диаметр трубы | миллиметр | Dн | | | | |
Номинальная толщина стенки трубы | " | | | | | |
Фактический предел текучести металла | мегапаскаль | | | | | |
Глубина коррозионного повреждения: | миллиметр | ct1 | | | | |
при первом измерении |
при втором измерении | " | ct2 | | | | |
Продолжительность эксплуатации газопровода: | год | t1 | | | | |
до проведения первого измерения |
до проведения второго измерения | " | t2 | | | | |
2. Результаты расчетов
Параметр | Единица измерения | Обозначение | Значение в шурфе |
1 | 2 | ... | n |
Средняя скорость коррозии | миллиметр в год | wСР | | | | |
Допустимая глубина коррозионного повреждения | миллиметр | cД | | | | |
Остаточный ресурс газопровода | год | TПР | | | | |
Измерения и расчет произвели:
___________________________________ ______________ ____________________
должность, наименование организации личная подпись инициалы, фамилия
к Руководству по безопасности
"Инструкция по техническому
диагностированию подземных
стальных газопроводов",
утвержденному приказом
Федеральной службы
по экологическому, технологическому
и атомному надзору
от 6 февраля 2017 г. N 47
ПРИМЕР РАСЧЕТА ОСТАТОЧНОГО РЕСУРСА ГАЗОПРОВОДА
ПО КОРРОЗИОННОМУ УТОНЕНИЮ СТЕНОК И ИЗМЕНЕНИЮ
МЕХАНИЧЕСКИХ ХАРАКТЕРИСТИК МЕТАЛЛА ТРУБ ГАЗОПРОВОДА
Дата обследования: 23.07.2013 г.
Имущественная принадлежность газопровода: ОАО "Газпром газораспределение Владимир".
Адрес газопровода: г. Костерево, Владимирская область.
Назначение газопровода: распределительный.
Общая протяженность 0,5 километров, диаметр 219 миллиметров, рабочее давление 0,6 мегапаскаля.
1. Исходные данные
Параметр | Единица измерения | Обозначение | Значение в шурфе |
1 | 2 | ... | n |
Проектное давление газа в газопроводе | мегапаскаль | P | 0,6 | 0,6 | | |
Наружный диаметр трубы | миллиметр | Dн | 219 | 219 | | |
Номинальная толщина стенки трубы | " | | 5,0 | 5,0 | | |
Фактический предел текучести металла | мегапаскаль | | 240 | 240 | | |
Глубина коррозионного повреждения: | миллиметр | ct1 | 0,0 | 0,1 | | |
при первом измерении |
при втором измерении | " | ct2 | 0,3 | 0,6 | | |
Продолжительность эксплуатации газопровода: | год | t1 | 0 | 20 | | |
до проведения первого измерения |
до проведения второго измерения | " | t2 | 40 | 40 | | |
2. Результаты расчетов
Параметр | Единица измерения | Обозначение | Значение в шурфе |
1 | 2 | ... | n |
Средняя скорость коррозии | миллиметр в год | wСР | 0,0075 | 0,025 | | |
Допустимая глубина коррозионного повреждения | миллиметр | cД | 4,73 | 4,73 | | |
Остаточный ресурс газопровода | год | TПР | 590,7 | 165,2 | | |
Измерения и расчет произвели:
___________________________________ ______________ ____________________
должность, наименование организации личная подпись инициалы, фамилия
к Руководству по безопасности
"Инструкция по техническому
диагностированию подземных
стальных газопроводов",
утвержденному приказом
Федеральной службы
по экологическому, технологическому
и атомному надзору
от 6 февраля 2017 г. N 47
(Рекомендуемый образец)
УСТАНОВЛЕНИЯ ОСТАТОЧНОГО РЕСУРСА ГАЗОПРОВОДА
Дата "__" ______ 20__ г.
Имущественная принадлежность газопровода __________________________________
Адрес газопровода и N исполнительного чертежа _____________________________
Назначение газопровода ____________________________________________________
Общая протяженность ____ метров, диаметр ____ миллиметров,
рабочее давление ____ мегапаскаля.
1. Исходные данные:
___________________________________________________________________________
___________________________________________________________________________
2. Результаты расчетов остаточного ресурса газопровода по различным
критериям:
Критерии (методы) расчета остаточного ресурса газопровода | Рассчитанное значение остаточного ресурса газопровода, год |
1. По вероятности возникновения отказов газопровода | |
2. По коррозионному утонению стенок и изменению механических характеристик металла труб газопровода | |
3. По другим методам и критериям | |
3. Установленное значение остаточного ресурса газопровода:
___________________________________________________________________________
___________________________________________________________________________
Эксперт:
___________________________________ ______________ ____________________
должность, наименование организации личная подпись инициалы, фамилия