Главная // Пожарная безопасность // ПравилаСПРАВКА
Источник публикации
"Информационный бюллетень о нормативной, методической и типовой проектной документации", N 8, 2015 (Приказ)
Примечание к документу
Начало действия документа - 13.07.2015.
Название документа
Приказ МЧС России от 03.07.2015 N 341
"Об утверждении свода правил "Пожарная охрана предприятий. Общие требования"
(вместе с "СП 232.1311500.2015. Свод правил...")
Приказ МЧС России от 03.07.2015 N 341
"Об утверждении свода правил "Пожарная охрана предприятий. Общие требования"
(вместе с "СП 232.1311500.2015. Свод правил...")
МИНИСТЕРСТВО РОССИЙСКОЙ ФЕДЕРАЦИИ ПО ДЕЛАМ ГРАЖДАНСКОЙ
ОБОРОНЫ, ЧРЕЗВЫЧАЙНЫМ СИТУАЦИЯМ И ЛИКВИДАЦИИ
ПОСЛЕДСТВИЙ СТИХИЙНЫХ БЕДСТВИЙ
ПРИКАЗ
от 3 июля 2015 г. N 341
ОБ УТВЕРЖДЕНИИ СВОДА ПРАВИЛ
"ПОЖАРНАЯ ОХРАНА ПРЕДПРИЯТИЙ. ОБЩИЕ ТРЕБОВАНИЯ"
В соответствии с Федеральным
законом от 22 июля 2008 г. N 123-ФЗ "Технический регламент о требованиях пожарной безопасности" <1>,
Указом Президента Российской Федерации от 11 июля 2004 г. N 868 "Вопросы Министерства Российской Федерации по делам гражданской обороны, чрезвычайным ситуациям и ликвидации последствий стихийных бедствий" <2>,
постановлением Правительства Российской Федерации от 19 ноября 2008 г. N 858 "О порядке разработки и утверждения сводов правил" <3> приказываю:
--------------------------------
<1> Собрание законодательства Российской Федерации, 2008, N 30 (ч. I), ст. 3579; 2012, N 29, ст. 3997; 2013, N 27, ст. 3477; 2014, N 26 (ч. I), ст. 3366.
<2> Собрание законодательства Российской Федерации, 2004, N 28, ст. 2882; 2005, N 43, ст. 4376; 2008, N 17, ст. 1814, N 43, ст. 4921, N 47, ст. 5431; 2009, N 22, ст. 2697, N 51, ст. 6285; 2010, N 19, ст. 2301, N 51 (ч. III), ст. 6903; 2011, N 1, ст. 193, ст. 194, N 2, ст. 267, N 40, ст. 5532; 2012, N 2, ст. 243, N 6, ст. 643, N 19, ст. 2329, N 47, ст. 6455; 2013, N 26, ст. 3314, N 52 (ч. II), ст. 7137; 2014, N 11, ст. 1131, N 27, ст. 3754; 2015, N 4, ст. 641, N 11, ст. 1588.
<3> Собрание законодательства Российской Федерации, 2008, N 48, ст. 5608.
Утвердить и ввести в действие с 13 июля 2015 г. прилагаемый
свод правил "Пожарная охрана предприятий. Общие требования".
Министр
В.А.ПУЧКОВ
приказом МЧС России
от 03.07.2015 N 341
СП 232.1311500.2015
ПОЖАРНАЯ ОХРАНА ПРЕДПРИЯТИЙ
ОБЩИЕ ТРЕБОВАНИЯ
Fire service companies. General requirements
Дата введения - 13.07.2015
Цели и принципы стандартизации в Российской Федерации установлены Федеральным
законом от 27 декабря 2002 г. N 184-ФЗ "О техническом регулировании", а правила разработки сводов правил -
постановлением Правительства Российской Федерации от 19 ноября 2008 г. N 858 "О порядке разработки и утверждения сводов правил".
Применение настоящего свода правил обеспечивает соблюдение требований пожарной безопасности к составу сил и средств подразделений пожарной охраны, установленных Федеральным
законом от 22 июля 2008 г. N 123-ФЗ "Технический регламент о требованиях пожарной безопасности".
1. РАЗРАБОТАН И ВНЕСЕН федеральным государственным бюджетным учреждением "Всероссийский ордена "Знак Почета" научно-исследовательский институт противопожарной обороны МЧС России" (ФГБУ ВНИИПО МЧС России)
2. УТВЕРЖДЕН И ВВЕДЕН В ДЕЙСТВИЕ приказом Министерства Российской Федерации по делам гражданской обороны, чрезвычайным ситуациям и ликвидации последствий стихийных бедствий (МЧС России) от 03.07.2015 N 341
3. ЗАРЕГИСТРИРОВАН Федеральным агентством по техническому регулированию и метрологии 14.07.2015.
4. ВВЕДЕН ВПЕРВЫЕ
Информация об изменениях к настоящему своду правил публикуется разработчиком в его официальных печатных изданиях и размещается в информационной системе общего пользования в электронно-цифровой форме. В случае пересмотра (замены) или отмены настоящего свода правил соответствующее уведомление будет опубликовано в ежемесячно издаваемом информационном указателе "Национальные стандарты". Соответствующая информация и уведомление размещаются также в информационной системе общего пользования - на официальном сайте национального органа Российской Федерации по стандартизации в сети Интернет.
Настоящий свод правил не может быть полностью или частично воспроизведен, тиражирован и распространен в качестве официального издания без разрешения МЧС России.
1.1. Настоящий свод правил устанавливает требования к определению численности и технической оснащенности пожарной охраны предприятия, созданной в целях организации и осуществления профилактики пожаров и (или) их тушения.
1.2. Настоящий свод правил применяется при определении численности и технической оснащенности пожарной охраны предприятия независимо от вида пожарной охраны.
1.3. Настоящий свод правил распространяется на производственные объекты, на которых размещаются подразделения пожарной охраны в соответствии со
статьей 97 Федерального закона
[1].
1.4. Настоящий свод правил не распространяется на объекты специального назначения, в том числе объекты военного назначения, организации по производству, переработке, хранению радиоактивных и взрывчатых веществ и материалов, объекты уничтожения и хранения химического оружия и средств взрывания, наземные космические объекты и стартовые комплексы, горные выработки.
В настоящем своде правил использованы нормативные ссылки на следующие стандарты и своды правил:
ГОСТ Р 53247-2009 Техника пожарная. Пожарные автомобили. Классификация, типы и обозначения.
СП 11.13130.2009 Места дислокации подразделений пожарной охраны. Порядок и методика определения.
Примечание - При пользовании настоящим сводом правил целесообразно проверить действие ссылочных стандартов в информационной системе общего пользования - на официальном сайте Федерального агентства по техническому регулированию и метрологии в сети Интернет или по ежегодно издаваемому информационному указателю "Национальные стандарты", который опубликован по состоянию на 1 января текущего года, и по соответствующим ежемесячно издаваемым информационным указателям, опубликованным в текущем году. Если ссылочный стандарт заменен (изменен), то при пользовании настоящим сводом правил следует руководствоваться замененным (измененным) стандартом. Если ссылочный стандарт отменен без замены, то положение, в котором дана ссылка на него, применяется в части, не затрагивающей эту ссылку.
В настоящем своде правил применены следующие термины с соответствующими определениями:
3.1. подразделения пожарной охраны: Подразделения различных видов пожарной охраны, принимающие непосредственное участие в профилактике пожаров и (или) их тушении на предприятии, а также проведении аварийно-спасательных работ (далее - тушение пожаров);
3.2. личный состав пожарной охраны: Сотрудники и (или) работники, выполняющие задачи пожарной охраны;
3.3. профилактический состав: Личный состав пожарной охраны, деятельность которого направлена на предупреждение пожаров и создание условий для их успешного тушения;
3.4. пожарно-профилактическая работа: Функция подразделения пожарной охраны, состоящая в деятельности личного состава, направленной на предупреждение пожаров и создание условий для их успешного тушения;
3.5. оперативный состав: Личный состав подразделения пожарной охраны, деятельность которого направлена на спасение людей и имущества от опасных факторов пожара, ликвидацию пожаров и проведение аварийно-спасательных работ;
3.6. профилактика пожаров: Совокупность превентивных мер, направленных на исключение возможности возникновения пожаров и ограничение их последствий;
3.7. группа обеспечения деятельности: Личный состав пожарной охраны, обеспечивающий работоспособность технических средств, техники и средств связи;
3.8. группа профилактики: Личный состав пожарной охраны, производящий пожарно-профилактическую работу.
3.9. группа пожаротушения: Личный состав пожарной охраны, необходимый для тушения пожаров на объектах предприятия.
4.1. Пожарная охрана в обязательном порядке создается на предприятиях в соответствии со
статьей 97 Федерального закона
[1].
4.2. Тип и количество пожарных автомобилей подразделений пожарной охраны на предприятиях определяются с учетом привлекаемых для тушения пожара сил и средств гарнизона пожарной охраны поселения или городского округа.
4.3. Допускается создание одного подразделения пожарной охраны по защите от пожаров объектов нескольких предприятий. При этом численность профилактического состава определяется с учетом пожарной опасности объектов каждого предприятия, а численность дежурных смен группы пожаротушения по наиболее пожароопасному объекту и при условии возникновения единовременно только одного пожара на защищаемых предприятиях.
4.4. Места дислокации подразделений пожарной охраны производственных объектов определяются в соответствии с требованиями
СП 11.13130.
4.5. Подразделения пожарной охраны оснащаются пожарными автомобилями по
ГОСТ Р 53247, исходя из специфики производственных объектов, требуемого расхода воды на наружное пожаротушение, однородности средств пожаротушения, а также с учетом показателей пожарной опасности, токсичности, химической активности хранящихся и обращающихся на производственных объектах веществ и материалов.
5. Методика определения численности пожарной охраны предприятия для организации и осуществления профилактики пожаров
5.1. Рассчитывают площадь помещений предприятия, обслуживаемых при осуществлении пожарно-профилактической работы (

), м2, по формуле:

, (1)
где:

- площадь застройки предприятия в плане, с учетом площади открытых технологических установок в пределах защитных стенок, отбортовок и обвалований, м2;

- количество всех зданий предприятия;

- количество этажей j-го здания (включая подвальные этажи), за исключением первого этажа;

- площадь помещений i-го этажа j-го здания, м2;

- площадь помещений, не обслуживаемая при осуществлении пожарно-профилактической работы, м2.
5.2. Рассчитывают площадь территории предприятия, свободной от застройки (

), м2, по формуле:

, (2)
где:

- площадь территории предприятия, м2;

- площадь застройки предприятия в плане с учетом площади открытых технологических установок, м2;

- площадь территории предприятия, не обслуживаемая при осуществлении пожарно-профилактической работы, м2.
5.3. Рассчитывают время, затрачиваемое профилактическим составом на осмотр помещений и территории предприятия, по формулам:
а) время, затрачиваемое на осмотр помещений предприятия

, мин.:

, (3)
б) время, затрачиваемое на осмотр территории предприятия

, мин.:

, (4)
где:

- среднее время, за которое человек проходит расстояние 1 м (рекомендуется принимать

= 0,015 мин.);

- площадь сектора визуального осмотра пространства человеком внутри помещения (рекомендуется принимать

= 10 м2);

- площадь сектора визуального осмотра пространства человеком на открытом пространстве (рекомендуется принимать

= 100 м2).
5.4. Рассчитывают общую площадь контролируемых зданий, помещений, складов, технологических установок по их типам (

), м2, по формуле:

, (5)
где

- площадь i-го этажа, антресоли, технологических площадок наружных установок и т.д., контролируемого здания, помещения, склада, установки k-го типа, м2.
5.5. Рассчитывают фактический объем информации, которую необходимо собрать для контроля за соблюдением требований пожарной безопасности в зданиях, помещениях, складах, установках (

), по формуле:

, (6)
где:

- число контролируемых признаков для зданий, помещений, складов, установок k-го типа (определяется согласно
таблице А.1 приложения А к настоящему своду правил; если данные в таблице отсутствуют, то число контролируемых признаков определяют самостоятельно в соответствии с нормативными документами по пожарной безопасности);

- частота проверки выполнения требований пожарной безопасности в зданиях, помещениях, складах, установках k-го типа, единица в смену (

рекомендуется принимать равным не менее 1 единицы в смену);

- количество помещений k-го типа (суммирование осуществляется по всем типам помещений).
Допускается уменьшать на 50% частоту проверки на объектах организации, оборудованных системами противопожарной защиты в соответствии с нормативными документами по пожарной безопасности.
5.6. Рассчитывают фактический объем информации, которую необходимо собрать для контроля за огневыми и другими пожароопасными работами (

), по формуле:

, (7)
где:

- количество огневых и других пожароопасных работ k-го типа, проводимых на предприятии в смену (суммирование ведется по всем типам работ);

- число контролируемых признаков (требований пожарной безопасности) для огневых и других пожароопасных работ k-го вида (определяется согласно
таблице А.2 приложения А к настоящему своду правил);

- частота контроля для огневых и других пожароопасных работ k-го вида (принимается равным 2 единицы на одну работу - контроль проводится в начале и конце работы).
5.7. Рассчитывают фактический объем информации, которую необходимо собрать для контроля за помещениями, в которых размещаются приборы контроля состояния и управления средствами пожарной автоматики (

), по формуле:

, (8)
где

- количество помещений, в которых размещаются приборы контроля состояния и управления средствами пожарной автоматики k-го типа;

- число контролируемых признаков (требований пожарной безопасности) для помещений, где размещаются приборы контроля состояния и управления средствами пожарной автоматики k-го вида (определяется согласно
таблице А.3 приложения А к настоящему своду правил);

- частота контроля признаков для помещений, в которых размещаются приборы контроля состояния и управления средствами пожарной автоматики k-го вида (

рекомендуется принимать равным 1 единицы в смену).
5.8. Рассчитывают фактический объем информации, которую необходимо собрать для контроля за территорией предприятия (

), по формуле:

, (9)
где:

- число контролируемых признаков (требований пожарной безопасности) для территории предприятия (определяется согласно
таблице А.4 приложения А к настоящему своду правил); если данные в таблице отсутствуют, то число контролируемых признаков определяют самостоятельно в соответствии с нормативными документами по пожарной безопасности);

- частота контроля соответствующих признаков на территории предприятия, единица в смену (

рекомендуется принимать равным не менее 1 единицы в смену). Допускается уменьшать частоту контроля на 50% на объектах организации, оборудованных автоматическими установками пожаротушения, пожарной сигнализации и системами удаленного наблюдения и диагностики (видеонаблюдение, вибро-термомониторинг, контроль иных параметров технологических процессов).
5.9. Рассчитывают общее количество зданий, помещений, складов, установок, для которых осуществляется контроль за соблюдением требований пожарной безопасности при проведении пожарно-профилактической работы (

), по формуле:

, (10)
где

- количество помещений k-го типа (суммирование осуществляется по всем типам помещений).
5.10. Рассчитывают минимальный объем информации, которую необходимо собрать для контроля за соблюдением требований пожарной безопасности на этих объектах (

), по формуле:

, (11)
5.11. Рассчитывают общее количество огневых и других пожароопасных работ, проводимых на предприятии в смену (

), по формуле:

, (12)
где

- количество огневых и других пожароопасных работ k-го типа, проводимых на предприятии в смену, суммирование ведется по всем типам работ.
5.12. Рассчитывают минимальный объем информации, которую необходимо собрать для контроля за огневыми и другими пожароопасными работами (

), по формуле:

, (13)
5.13. Рассчитывают общее количество помещений, в которых размещаются приборы контроля состояния и управления средствами пожарной автоматики (

), по формуле:

, (14)
где

- количество помещений, в которых размещаются приборы контроля состояния и управления средствами пожарной автоматики k-го типа (суммирование ведется по всем типам помещений).
5.14. Рассчитывают минимальный объем информации, которую необходимо собрать для контроля за помещениями, в которых размещаются приборы контроля состояния и управления средствами пожарной автоматики (

), по формуле:

, (15)
5.15. Рассчитывают коэффициент сложности выполнения пожарно-профилактической работы по формулам:
а) для зданий, помещений, складов, установок предприятия, огневых и других пожароопасных работ, помещений, в которых размещаются приборы контроля состояния и управления средствами пожарной автоматики (

), по формуле:

; (16)
б) для территории предприятия (

), по формуле:

, (17)
где

- минимальный объем информации, которую необходимо собрать для контроля за территорией предприятия (допускается принимать равным 34).
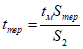
5.16. Рассчитывают нормативные затраты времени на выполнение пожарно-профилактической работы (

), мин., по формуле:

, (18)
где

- коэффициент, учитывающий затраты рабочего времени на работу с документацией, проведение инструктажа смены, непроизводительные затраты времени (рекомендуется принимать

= 1,15).
5.17. Рассчитывают необходимую численность личного состава пожарной охраны для выполнения пожарно-профилактической работы для k-ой смены:

, (19)
где: значение в скобках [] округляется до ближайшего целого числа в большую сторону;

- доля мощностей предприятия, задействованная в k-ю смену;

- коэффициент сменности, зависящий от графика работы предприятия.
5.18. В случае, если смены работы личного состава пожарной охраны, выполняющего пожарно-профилактическую работу, совпадают с временем работы предприятия, то коэффициент сменности (

) определяется по формуле:

, (20)
где:

- время работы предприятия в k-ю смену (часов в неделю);

- время работы личного состава пожарной охраны, выполняющего пожарно-профилактическую работу в k-ю смену (часов в неделю).
5.19. При суточном графике работы личного состава пожарной охраны, выполняющего пожарно-профилактическую работу, принимается

= 1,

= 1, а количество смен (

) определяется по формуле:

, (21)
где:

- время работы личного состава пожарной охраны, выполняющего пожарно-профилактическую работу (часов);

- время отдыха между сменами (часов).
5.20. Рассчитывают общую численность личного состава пожарной охраны, необходимого для выполнения пожарно-профилактической работы (

), по формуле:

, (22)
где: значение в скобках [] округляется до ближайшего целого числа в большую сторону;

- коэффициент резерва численности, учитывающий необходимость подмены сотрудников пожарной охраны на период отпусков, командировок и болезней (рекомендуется принимать

= 1,1,

= 1,3 для районов Крайнего Севера и приравненных к ним местностей).
6. Методика определения численности и технической оснащенности пожарной охраны предприятия для организации и осуществления тушения пожаров
6.1. Выбирают наиболее пожароопасный объект на территории предприятия, характеризующийся наибольшей возможной площадью пожара и наиболее высокой скоростью распространения пламени, и схему развития пожара в соответствии с пожарной нагрузкой, характерной для выбранного объекта.
6.2. Выбирают скорость следования пожарных автомобилей к месту предполагаемого пожара (

), км/ч, в зависимости от типа дорожного покрытия. В качестве скорости следования рекомендуется использовать следующие значения:
для твердого покрытия 50 км/ч;
для щебеночно-гравийного покрытия 40 км/ч;
для грунтового покрытия 30 км/ч.
При наличии на маршруте следования нескольких типов покрытия дороги скорость следования рекомендуется принимать 40 км/ч.
6.3. Рассчитывают время следования подразделения пожарной охраны от места получения сообщения о пожаре (от пожарного депо) до места пожара (

), мин., по формуле:

, (23)
где l - расстояние по дорожной сети от места дислокации подразделения пожарной охраны (пожарного депо) до объекта предполагаемого пожара, км.
Значение времени следования (

) может быть определено с использованием номограммы, приведенной на
рисунке Б.1 приложения Б к настоящему своду правил.
6.4. Рассчитывают время начала эффективных действий по тушению пожара (интервал времени от момента возникновения пожара до момента подачи огнетушащего вещества в очаг пожара,

), мин., по формуле:

, (24)
где:

- время с момента возникновения пожара до момента его обнаружения, мин.;

- время с момента обнаружения пожара до момента сообщения о нем в пожарную охрану, мин.;

- время сбора личного состава по тревоге, мин.;

- время с момента прибытия на пожар до момента подачи первого ствола в очаг пожара (время развертывания сил и средств), мин.
6.5. К моменту начала эффективных действий по тушению пожара рассчитывают площадь пожара (

), м2, в соответствии с выбранной схемой развития пожара по следующим формулам:
а) при круговом распространении пламени по поверхности твердых веществ и материалов (

), м2:

, (25)
где

- линейная скорость распространения пламени, м/мин.
Площадь пожара может быть определена с использованием номограмм, приведенных на
рисунках Б.2,
Б.3 приложения Б к настоящему своду правил;
б) при горении твердых веществ и материалов на площади в виде полосы с постоянной шириной (

), м2:

, (26)
где: a - ширина горящей полосы материала, м;
n - число направлений распространения пламени.
Площадь пожара может быть определена с использованием номограммы, приведенной на
рисунке Б.4 приложения Б к настоящему своду правил;
в) при горении свободно растекающихся легковоспламеняющихся жидкостей (ЛВЖ) и горючих жидкостей (ГЖ), а также расплавов твердых горючих материалов (

), м2:

, (27)
где: значение в скобках [ ] округляется до ближайшего целого числа в большую сторону;

- плотность жидкости, кг/м3;
g - расход жидкости, вытекающей из поврежденного аппарата, м3/мин.;

- массовая скорость выгорания горючего вещества, кг/(м2·мин.);
h - толщина слоя растекающейся жидкости на полу, м.
Площадь пожара может быть определена с использованием номограмм, приведенных на
рисунках Б.5,
Б.6 приложения Б к настоящему своду правил;
г) при горении растекающихся ЛВЖ и ГЖ из магистральной линии насоса на неограниченную поверхность (

), м2:

, (28)
где:

- коэффициент разлития (при отсутствии данных допускается принимать равным 20

при проливе на грунтовое покрытие, 150

при проливе на бетонное или асфальтовое покрытие),

;
V - объем жидкости, поступившей в окружающее пространство из магистральной линии насоса, м3:

, (29)
где:

- производительность насоса, м3/ч;

- расчетное время отключения трубопровода, сек.
Площадь пожара может быть определена с использованием номограммы, приведенной на
рисунке Б.7 приложения Б к настоящему своду правил;
д) при схеме развития пожара, при которой горение охватывает всю возможную площадь помещения, секции, поверхности резервуара и т.д. до прибытия подразделений пожарной охраны и дальнейшее увеличение площади пожара невозможно из-за ограждающих конструкций или обвалования, площадь пожара принимается равной площади, где происходит горение.
6.6. Рассчитывают требуемый расход огнетушащего вещества для тушения пожара при использовании в качестве огнетушащего вещества воды или раствора пенообразователя (

), л/с, по формуле:

, (30)
где

- требуемая интенсивность подачи огнетушащего вещества, л/м2·с.
Требуемый расход огнетушащего вещества может быть определен с использованием номограмм, приведенных на
рисунках Б.8,
Б.9 приложения Б к настоящему своду правил.
6.7. Рассчитывают количество стволов, необходимых для тушения пожара и защиты от возгорания смежных или соседних помещений или строений (

), по формуле:

, (31)
где:

- требуемый расход огнетушащего вещества для защиты смежных помещений, строений, технологических установок и т.д., л/с;

- расход воды или раствора пенообразователя через ствол, л/с.
Если для тушения пожара и защиты смежных помещений, строений и т.д. используется вода, а также раствор пенообразователя и (или) стволы с разным расходом, то определение требуемого количества стволов производится последовательно.
6.8. Рассчитывают численность личного состава пожарной охраны, занятого на проведении различных видов боевых действий (

), по формуле:

, (32)
где: k - количество пожарных, занятых на работе со стволами, чел.;

- количество стволов, необходимых для тушения пожара и защиты смежных помещений или строений.
Количество пожарных (чел.), занятых на работе со стволами, определяется по выражению:

(33)
Если тушение пожара и защиту смежных помещений, строений и т.д. проводят совместно звеньями газодымозащитной службы (далее - ГДЗС) и отделениями без использования СИЗОД, то определение численности личного состава производится последовательно.
6.9. Рассчитывают количество пожарных автомобилей, необходимых для тушения пожаров на предприятии, при использовании в качестве огнетушащего вещества воды или раствора пенообразователя по сумме расходов огнетушащего вещества на тушение пожара и защиту от возгорания смежных или соседних помещений или строений (

), по формуле:

, (34)
где: значение в скобках [ ] округляется до ближайшего целого числа в большую сторону;

- производительность пожарного насоса, установленного на пожарный автомобиль, л/с.
6.10. Если для тушения пожара не допускается использовать в качестве огнетушащего вещества воду или раствор пенообразователя, а также необходимо использовать дополнительно пожарные автомобили порошкового тушения, то необходимо производить расчеты по формулам, указанным в
пунктах 6.11 -
6.13 к настоящему своду правил.
6.11. Рассчитывают тепловую мощность очага пожара (W), кВт, по формулам:
а) для очагов пожаров классов A и B:

; (35)
б) для очагов пожаров класса C:

, (36)
где:

- низшая рабочая теплота сгорания горючего материала, кДж/кг;

- коэффициент полноты сгорания (допускается принимать 0,85 для твердых веществ и 0,9 для жидкостей и газов);

- объемный расход газа (для пожара класса C), м3/с;

- плотность газа (для пожара класса C), кг/м3.
6.12. Рассчитывают нормативный расход огнетушащего порошкового состава на тушение пожара (

), кг/с, по формуле:

, (37)
где:

- огнетушащая эффективность порошка при тушении пожаров классов A, B, C, кг/(с·кВт);
k - коэффициент, учитывающий увеличение расхода порошка при турбулентном режиме горения (допускается принимать k = 1,25).
6.13. Рассчитывают количество пожарных автомобилей, необходимых для тушения пожаров на объектах предприятия при использовании автомобилей порошкового пожаротушения (

), по формуле:

, (38)
где: значение в скобках [ ] округляется до ближайшего целого числа в большую сторону;

- максимальный расход огнетушащего порошкового состава, который может подать в очаг пожара один пожарный автомобиль (берется из тактико-технических характеристик выбранного пожарного автомобиля порошкового тушения), кг/с.
6.14. Рассчитывают общую численность личного состава пожарной охраны, необходимого для тушения пожаров на объектах предприятия (

), по формуле:

, (39)
где: значение в скобках [] округляется до ближайшего целого числа в большую сторону;

- в соответствии с
формулой 22 пункта 5.20 настоящего свода правил;

- количество смен для личного состава пожарной охраны предприятия;

- количество водителей основных пожарных автомобилей целевого применения, специальных пожарных автомобилей и вспомогательных пожарных автомобилей, а также личный состав пожарной охраны предприятия, работающий на этой технике.
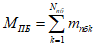
7. Методика определения общей численности пожарной охраны предприятия и ее структура
7.1. Рассчитывают общую (итоговую) численность личного состава пожарной охраны предприятия (

), по формуле:

, (40)
где:

- численность личного состава пожарной охраны, необходимая для выполнения пожарно-профилактической работы на предприятии;

- численность личного состава пожарной охраны, необходимая для тушения пожаров на объектах предприятия;

- численность группы обеспечения деятельности, определяемая по решению собственников или лиц, уполномоченных на управление предприятием.
Рекомендуемая организационная структура пожарной охраны предприятия приведена на рисунке 1.
Рисунок 1 - Рекомендуемая организационная структура пожарной охраны предприятия
┌──────────────────────────────┐
│ Руководитель пожарной охраны │
└───┬──────────┬────────┬──────┘
┌─────────────┘ │ └──────────────────┐
\/ \/ \/
┌─────────────────────┐ ┌─────────────────────────┐ ┌──────────────────┐
│ Заместитель │ │ Заместитель │ │ Заместитель │
│ руководителя │ │ руководителя │ │ руководителя │
│ пожарной охраны │ │ пожарной охраны │ │ пожарной охраны │
│ предприятия по │ │ предприятия по │ │ предприятия по │
│ предупреждению │ │ тушению пожаров │ │ обеспечению │
│ пожаров │ │ │ │ деятельности │
└───────┬─────────────┘ └──────┬─────────────┬────┘ └────────────┬─────┘
│ │ │ │
\/ \/ \/ \/
┌─────────────────┐ ┌────────────────┐ ┌──────────────┐ ┌──────────────┐
│ Группа по │ │ Пункт │ │ Группа по │ │ Группа по │
│ предупреждению │ │ пожарной │ │ тушению │ │ обеспечению │
│ пожаров │ │ связи │ │ пожаров │ │ деятельности │
└─────────────────┘ └────────────────┘ └──────────────┘ └──────────────┘
7.2. При численности личного состава пожарной охраны предприятия, необходимой для организации и осуществления профилактики пожаров, 8 и более человек вводится должность заместителя начальника (руководителя) пожарной охраны по предупреждению пожаров.
7.3. Для наблюдения за противопожарным состоянием объектов предприятий в ночное время допускается использование не более 30% численности личного состава пожарной охраны, осуществляющего дежурство на пожарных автомобилях.
7.4. При численности личного состава пожарной охраны предприятия, необходимой для тушения пожаров, 8 и более человек вводится должность заместителя начальника (руководителя) пожарной охраны по тушению пожаров.
7.5. При численности обслуживающего персонала пожарной охраны предприятия 8 и более человек вводится должность заместителя начальника (руководителя) пожарной охраны по обеспечению деятельности.
7.6. В состав численности личного состава пожарной охраны предприятия для координации действий по тушению пожара необходимо включать диспетчеров в количестве 1 человек в смену, а также сотрудника, взаимодействующего со службами жизнеобеспечения предприятия.
7.7. При численности личного состава подразделения пожарной охраны, необходимой для тушения пожаров, 2 и более человек, один из них является старшим смены (не считая водителя). При наличии 2 отделений и более в подразделении пожарной охраны вводят должность начальника караула.
7.8. В состав численности личного состава пожарной охраны, необходимой для тушения пожаров на предприятии, по решению собственника объекта может вводиться должность подменных водителей из расчета 1 водитель на 4 штатных водителей.
(рекомендуемое)
ИНФОРМАЦИОННЫЕ И СПРАВОЧНЫЕ ДАННЫЕ
ДЛЯ ПРОВЕДЕНИЯ РАСЧЕТОВ ЧИСЛЕННОСТИ И ТЕХНИЧЕСКОЙ
ОСНАЩЕННОСТИ ПОЖАРНОЙ ОХРАНЫ ПРЕДПРИЯТИЯ
Таблица А.1 - Число признаков контроля для зданий, помещений, складов, установок
Наименование групп объектов | Число контролируемых признаков,  |
Коридоры | 10 |
Лестницы | 10 |
Подвальные помещения | 9 |
Помещения, связанные с применением ЛВЖ, ГЖ и горючих газов | 10 |
Кладовые ЛВЖ и ГЖ | 10 |
Склады красок, лаков и растворителей | 11 |
Производственно-технологические помещения | 16 |
Открытые технологические установки | 15 |
Электротехнические помещения | 13 |
Кабельные помещения | 10 |
Материальные склады, кладовые | 13 |
Вент камеры | 10 |
Цехи, участки и установки окраски, обезжиривания и мойки | 13 |
Лаборатории | 14 |
Вычислительные центры | 14 |
Архивы | 11 |
Зоны стоянки автотранспорта | 14 |
Зоны обслуживания и ремонта автотранспорта | 11 |
Деревообрабатывающие цехи, участки | 12 |
Склады ЛВЖ и ГЖ (резервуарный парк) | 16 |
Склады химических веществ | 15 |
Склады горючих газов | 15 |
Служебные помещения | 9 |
Сварочные посты | 11 |
Таблица А.2 - Значения контролируемых признаков для огневых и других пожароопасных работ
Наименование групп помещений | Число контролируемых признаков,  |
Газосварочные работы | 32 |
Электросварочные | 46 |
Резка металла бензинокеросиновыми агрегатами | 30 |
Паяльные | 32 |
Варка битума и смол | 30 |
Окрсочные работы | 35 |
Механическая обработка металла с выделением искр | 30 |
Таблица А.3 - Значения контролируемых признаков за помещениями, в которых размещаются приборы контроля состояния и управления средствами пожарной автоматики
Наименование групп помещений | Число контролируемых признаков,  |
Диспетчерский пункт систем автоматической пожарной сигнализации | 6 |
Диспетчерский пункт систем водяного, пенного и порошкового тушения | 6 |
Помещения узлов управления систем водяного, пенного и порошкового тушения | 4 |
Помещения насосных станций пожаротушения | 12 |
Станции систем газового и аэрозольного пожаротушения | 12 |
Таблица А.4 - Значения контролируемых признаков для территории защищаемых объектов
Тип объекта (отрасль производства) | Число контролируемых признаков,  |
Машиностроение | 27 |
Металлургия | 35 |
Химическая промышленность | 38 |
Нефтеперерабатывающая, газоперерабатывающая промышленность | 46 |
Добыча и транспортировка нефти и газа | 42 |
Горнодобывающая промышленность | 34 |
Целлюлозно-бумажная и деревообрабатывающая промышленность | 25 |
Электроэнергетика | 33 |
Административно-офисные здания | 22 |
(рекомендуемое)
НОМОГРАММЫ
ОПРЕДЕЛЕНИЯ ХАРАКТЕРИСТИК И ПАРАМЕТРОВ ПО РАСЧЕТАМ
ЧИСЛЕННОСТИ И ТЕХНИЧЕСКОЙ ОСНАЩЕННОСТИ ПОЖАРНОЙ
ОХРАНЫ ПРЕДПРИЯТИЯ
Рисунок Б.1 - Номограмма для определения времени следования подразделения пожарной охраны к месту вызова
Порядок определения

показан стрелками. Сначала на горизонтальной оси определяется точка, соответствующая расстоянию l. Из этой точки проводится вертикально вверх отрезок до пересечения с прямой, соответствующей значению

. Если значение

лежит между величинами, представленными на номограмме, используется линейная интерполяция. Затем из точки пересечения проводится отрезок в горизонтальном направлении. Координата точки пересечения данного отрезка и вертикальной оси является искомым значением времени

.
Рисунок Б.2 - Номограмма для определения площади пожара в случае кругового распространения пламени по поверхности твердых веществ и материалов
Порядок определения

при заданных значениях

и

показан стрелками.
Рисунок Б.3 - Номограмма для определения площади пожара в случае кругового распространения пламени по поверхности твердых веществ и материалов
Порядок определения

при заданных значениях

и

показан стрелками.
Рисунок Б.4 - Номограмма для определения площади пожара в случае горения твердых веществ и материалов на площади в виде полосы с постоянной шириной
На номограмме рассмотрен случай, когда число направлений распространения пламени (n) = 1. Для других случаев полученный результат следует умножить на n.
Порядок определения

показан стрелками. Сначала на горизонтальной оси определяется точка, соответствующая времени

. Из этой точки проводится отрезок вверх до пересечения с прямой, соответствующей значению скорости

. Если значение

лежит между величинами, отображенными на номограмме, используется линейная интерполяция. Затем из точки пересечения проводится отрезок влево до пересечения с прямой, соответствующей значению ширины a. Из точки пересечения проводится отрезок вниз. Координата точки пересечения данного отрезка и горизонтальной оси является искомым значением площади пожара

.
Рисунок Б.5 - Номограмма для определения площади пожара в случае горения свободно растекающихся ЛВЖ и ГЖ, а также расплавов твердых горючих материалов
По номограмме определяется значение функции f(x) = 1 - exp(- x). На горизонтальной оси определяется точка, соответствующая времени

. Из этой точки проводится отрезок вниз до пересечения с прямой, соответствующей значению массовой скорости выгорания

. Затем из точки пересечения проводится отрезок влево до пересечения с прямой, соответствующей значению толщины слоя жидкости h. Затем проводится отрезок вниз до пересечения с прямой, соответствующей значению толщины плотности

. Из точки пересечения проводится отрезок вправо до пересечения с графиком функции f(x). Проекция точки пересечения на горизонтальную ось будет искомым значением функции f(x).
Рисунок Б.6 - Номограмма для определения площади пожара в случае горения свободно растекающихся ЛВЖ и ГЖ, а также расплавов твердых горючих материалов
По номограмме определяется величина площади пожара. На горизонтальной оси определяется точка, соответствующая значению функции f(x). Из этой точки проводится отрезок вниз до пересечения с прямой, соответствующей значению расхода жидкости g. Затем из точки пересечения проводится отрезок влево до пересечения с прямой, соответствующей значению плотности жидкости

. Затем проводится отрезок вниз до пересечения с прямой, соответствующей значению массовой скорости выгорания

. Проекция точки пересечения на вертикальную ось, расположенную справа, будет искомым значением площади пожара

.
Рисунок Б.7 - Номограмма для определения площади пожара в случае горения растекающегося ЛВЖ и ГЖ из магистральной линии насоса на неограниченную поверхность
Порядок определения

показан стрелками. Сначала на горизонтальной оси определяется точка, соответствующая времени отключения трубопровода t. Из этой точки проводится отрезок вверх до пересечения с прямой, соответствующей значению производительности насоса G. Если значение G лежит между величинами, отображенными на номограмме, используется линейная интерполяция. Затем из точки пересечения проводится отрезок влево до пересечения с прямой, соответствующей значению коэффициента разлития

. Из точки пересечения проводится отрезок вниз. Координата точки пересечения данного отрезка и горизонтальной оси является искомым значением площади пожара

.
Рисунок Б.8 - Номограмма для определения расхода огнетушащего вещества
Порядок определения

показан стрелками.
Рисунок Б.9 - Номограмма для определения расхода огнетушащего вещества
Порядок определения

показан стрелками.
[1] Федеральный
закон от 22 июля 2008 г. N 123-ФЗ "Технический регламент о требованиях пожарной безопасности"
УДК 614.841.33:006.354 | |
Ключевые слова: пожарная опасность, оперативные подразделения пожарной охраны, пожарная охрана предприятий, пожарно-профилактический состав, объектовое подразделение пожарной охраны. |