Главная // Пожарная безопасность // ПособиеСПРАВКА
Источник публикации
Документ опубликован не был
Примечание к документу
Название документа
"Пособие по применению "Методики определения расчетных величин пожарного риска в зданиях, сооружениях и строениях различных классов функциональной пожарной опасности"
(утв. ФГБУ ВНИИПО МЧС России)
"Пособие по применению "Методики определения расчетных величин пожарного риска в зданиях, сооружениях и строениях различных классов функциональной пожарной опасности"
(утв. ФГБУ ВНИИПО МЧС России)
МИНИСТЕРСТВО РОССИЙСКОЙ ФЕДЕРАЦИИ ПО ДЕЛАМ ГРАЖДАНСКОЙ
ОБОРОНЫ, ЧРЕЗВЫЧАЙНЫМ СИТУАЦИЯМ И ЛИКВИДАЦИИ
ПОСЛЕДСТВИЙ СТИХИЙНЫХ БЕДСТВИЙ
ФЕДЕРАЛЬНОЕ ГОСУДАРСТВЕННОЕ БЮДЖЕТНОЕ УЧРЕЖДЕНИЕ
"ВСЕРОССИЙСКИЙ ОРДЕНА "ЗНАК ПОЧЕТА"
НАУЧНО-ИССЛЕДОВАТЕЛЬСКИЙ ИНСТИТУТ
ПРОТИВОПОЖАРНОЙ ОБОРОНЫ"
ПОСОБИЕ
ПО ПРИМЕНЕНИЮ "МЕТОДИКИ ОПРЕДЕЛЕНИЯ РАСЧЕТНЫХ ВЕЛИЧИН
ПОЖАРНОГО РИСКА В ЗДАНИЯХ, СООРУЖЕНИЯХ И СТРОЕНИЯХ
РАЗЛИЧНЫХ КЛАССОВ ФУНКЦИОНАЛЬНОЙ ПОЖАРНОЙ ОПАСНОСТИ"
Авторский коллектив: А.А. Абашкин, канд. техн. наук А.В. Карпов, Д.В. Ушаков, М.В. Фомин (ФГБУ ВНИИПО МЧС России); доктор техн. наук А.Н. Гилетич, П.М. Комков (ДНД МЧС России), канд. техн. наук Д.А. Самошин (АГПС МЧС России).
Пособие по применению "Методики определения расчетных величин пожарного риска в зданиях, сооружениях и строениях различных классов функциональной пожарной опасности". 2-е изд., испр. и доп. М.: ВНИИПО, 2014. 226 с.
Пособие, разработанное в развитие "
Методики определения расчетных величин пожарного риска в зданиях, сооружениях и строениях различных классов функциональной пожарной опасности", утвержденной приказом МЧС от 30 июня 2009 г. N 382, с изменениями, утвержденными приказом МЧС от 12 декабря 2011 г. N 749, доработано с учетом опыта применения методики и 1-го издания пособия.
Предназначено для практического использования при определении расчетных величин пожарного риска на объектах общественного назначения. Представлены разъяснения но ряду вопросов, не нашедших отражения в 1-м издании. Приведены примеры расчета пожарного риска для многофункционального здания, здания гостиницы и пример расчета эвакуации с использованием имитационно-стохастической модели.
Предназначено для сотрудников Государственной противопожарной службы, преподавателей и слушателей пожарно-технических и других образовательных организаций, специалистов ведомств, научно-исследовательских, экспертных и проектных организаций, занимающихся проведением и экспертизой расчетов по оценке пожарного риска.
1.1. Настоящее пособие по применению "
Методики определения расчетных величин пожарного риска в зданиях, сооружениях и строениях различных классов функциональной пожарной опасности" (далее - Пособие) предназначено для практического использования при определении расчетных величин пожарного риска в зданиях, сооружениях и строениях различных классов функциональной пожарной опасности (далее - объектов) в соответствии с методикой
[1] (далее - Методика), утвержденной приказом МЧС России от 30 июня 2009 г. N 382, с изменениями (утверждены приказом МЧС России от 12 декабря 2011 г. N 749).
Методика принята в соответствии с
Постановлением Правительства Российской Федерации N 272
[2], которое устанавливает порядок проведения расчетов по оценке пожарного риска в случаях, предусмотренных Федеральным
законом N 123-ФЗ
[3].
1.2. Расчетные величины пожарного риска являются количественной мерой возможности реализации пожарной опасности объекта и ее последствий для людей. Расчеты по оценке пожарного риска проводятся путем сопоставления расчетных величин пожарного риска с соответствующими нормативными значениями пожарных рисков, установленными Федеральным
законом N 123-ФЗ
[3].
1.3. В
Методике [1] пожарный риск в здании характеризуется значением индивидуального пожарного риска.
1.4. В соответствии со
ст. 79 ФЗ N 123-ФЗ
[3] величина индивидуального пожарного риска в зданиях и сооружениях не должна превышать значение одной миллионной в год (т.е. 10
-6 год
-1) при размещении отдельного человека в наиболее удаленной от выхода из здания, сооружения точке.
1.5. Результаты оценки пожарного риска используются для обоснования обеспечения допустимых значений пожарного риска, установленных федеральным законодательством, в следующих случаях:
объекты, для которых федеральными законами о технических регламентах и/или нормативными документами по пожарной безопасности не установлены требования пожарной безопасности;
объекты, для которых не в полном объеме выполнены требования нормативных документов по пожарной безопасности;
для принятия решений по разработке дополнительных мер по обеспечению пожарной безопасности объекта в случае превышения одним или несколькими расчетными значениями пожарных рисков нормативных значений, установленных федеральным законодательством.
Необходимость включения в проектную документацию расчетов по оценке пожарного риска регламентируется
Постановлением Правительства Российской Федерации N 87
[4].
1.6. В соответствии с
п. 1 Методики она распространяется на здания классов функциональной пожарной опасности:
Ф1.2 - гостиницы, общежития, спальные корпуса санаториев и домов отдыха общего типа, кемпингов, мотелей и пансионатов;
Ф2 - здания зрелищных и культурно-просветительных учреждений, в том числе:
а) Ф2.1 - театры, кинотеатры, концертные залы, клубы, цирки, спортивные сооружения с трибунами, библиотеки и другие учреждения с расчетным числом посадочных мест для посетителей в закрытых помещениях;
б) Ф2.2 - музеи, выставки, танцевальные залы и другие подобные учреждения в закрытых помещениях;
в) Ф2.3 - театры, кинотеатры, концертные залы, клубы, цирки, спортивные сооружения с трибунами, библиотеки и другие учреждения с расчетным числом посадочных мест для посетителей на открытом воздухе;
г) Ф2.4 - музеи, выставки, танцевальные залы и другие подобные учреждения на открытом воздухе;
Ф3 - здания организаций по обслуживанию населения, в том числе:
а) Ф3.1 - здания организаций торговли;
б) Ф3.2 - здания организаций общественного питания;
в) Ф3.3 - вокзалы;
г) Ф3.4 - поликлиники и амбулатории;
д) Ф3.5 - помещения для посетителей организаций бытового и коммунального обслуживания с нерасчетным числом посадочных мест для посетителей;
е) Ф3.6 - физкультурно-оздоровительные комплексы и спортивно-тренировочные учреждения с помещениями без трибун для зрителей, бытовые помещения, бани;
Ф4 - здания научных и образовательных учреждений, научных и проектных организаций, органов управления учреждений, в том числе:
а) Ф4.1 - здания общеобразовательных учреждений, образовательных учреждений дополнительного образования детей, образовательных учреждений начального профессионального и среднего профессионального образования:
б) Ф4.2 - здания образовательных учреждений высшего профессионального образования и дополнительного профессионального образования (повышения квалификации) специалистов;
в) Ф4.3 - здания органов управления учреждений, проектно-конструкторских организаций, информационных и редакционно-издательских организаций, научных организаций, банков, контор, офисов;
г) Ф4.4 - здания пожарных депо;
Ф5 - пожарные отсеки производственного или складского назначения с категорией помещений по взрывопожарной и пожарной опасности В1 - В4, Г, Д, входящие в состав зданий с функциональной пожарной опасностью Ф1, Ф2, Ф3, Ф4, в том числе Ф5.2 - стоянки для автомобилей без технического обслуживания и ремонта.
1.7. В соответствии с
Методикой определение расчетных величин пожарного риска осуществляется на основании:
а) анализа пожарной опасности зданий;
б) определения частоты реализации пожароопасных ситуаций;
в) построения полей опасных факторов пожара для различных сценариев его развития;
г) оценки последствий воздействия опасных факторов пожара на людей для различных сценариев его развития;
д) наличия систем обеспечения пожарной безопасности зданий.
1.8. В соответствии с
п. 4 Методики результаты и выводы, полученные при определении пожарного риска, используются для обоснования параметров и характеристик зданий, сооружений и строений, которые учитываются в настоящей
Методике.
1.9. При необходимости проведения расчета его результаты оформляются в виде отчета, соответствующего требованиям
Постановления [2], в который включаются:
а) наименование использованной методики, предусмотренной
п. 5 Постановления;
б) описание объекта защиты, в отношении которого проведен расчет по оценке пожарного риска, при этом в данном разделе указывается основание для проведения расчета риска. В случае если основанием является несоблюдение требований нормативных документов, приводятся формулировки данных требований. При отсутствии нормативных требований указывается, что нормативные требования для объекта отсутствуют;
в) результаты проведения расчетов по оценке пожарного риска;
г) перечень исходных данных и используемых справочных источников информации;
д) вывод об условиях соответствия (несоответствия) объекта защиты требованиям пожарной безопасности.
Ниже на основе положений
Методики описываются процедура и основные этапы проведения расчетов по оценке пожарного риска.
2. ПОРЯДОК ОПРЕДЕЛЕНИЯ РАСЧЕТНЫХ ВЕЛИЧИН ПОЖАРНОГО РИСКА
В ЗДАНИЯХ, СООРУЖЕНИЯХ И СТРОЕНИЯХ РАЗЛИЧНЫХ КЛАССОВ
ФУНКЦИОНАЛЬНОЙ ПОЖАРНОЙ ОПАСНОСТИ
2.1. Анализ пожарной опасности объекта
2.1.1. В соответствии с
Методикой для проведения анализа пожарной опасности осуществляется сбор данных о здании, которые включают в себя:
объемно-планировочные, архитектурно-строительные и технологические решения;
теплофизические (теплоемкость, теплопроводность, плотность) и пожарно-технические (пределы огнестойкости, классы конструктивной опасности) характеристики ограждающих конструкций и размещенного оборудования;
вид, количество и размещение горючих веществ и материалов;
количество и места вероятного размещения людей;
системы пожарной сигнализации и пожаротушения, противодымной защиты, оповещения людей о пожаре и управления эвакуацией людей.
2.1.2. Определяется вид, количество и размещение горючих материалов исходя из данных о функциональном назначении рассматриваемой части здания, сооружения или строения.
Свойства горючей нагрузки в помещении очага пожара следует принимать по данным экспериментальных исследований или справочной литературе. В последнем случае значения свойств (за исключением потребления кислорода) должны быть не менее приведенных к
табл. 1. При отсутствии данных значения свойств допускается принимать по
табл. 1.
При этом для всех помещений, кроме стоянок легковых автомобилей, рекомендуется принимать круговое распространение пожара в соответствии с
формулой (П6.1) прил. 6 Методики (за исключением узких длинных помещений и помещений с расположением горючей нагрузки в виде узкой полосы). Для стоянок легковых автомобилей принимается линейное распространение пожара, а в качестве ширины горючей нагрузки принимается ширина автомобиля.
Максимальную площадь горения для помещений классов функциональной пожарной опасности Ф1 - Ф4 следует принимать равной двум площадям помещения очага, для помещений класса Ф5.2 с высотой хранения менее 5,5 м - равной четырем площадям помещения очага, для помещений класса Ф5.2 с высотой хранения более 5,5 м - равной фактической поверхности горючих материалов (но не менее 10 площадей помещения).
2.1.3. Количество и места вероятного размещения людей следует принимать исходя из задания на проектирование, данных заказчика, иной документации на объект, но не менее, чем по предусмотрено нормативными документами по пожарной безопасности.
2.1.4. На основании полученных в результате сбора информации данных об объекте производится анализ его пожарной опасности. Проверяется соответствие объекта нормативным требованиям по пожарной безопасности.
2.1.5. На основании проведенного анализа делается вывод о необходимости или отсутствии необходимости проведения расчета риска.
Значения показателей пожарной опасности типовой горючей
нагрузки в помещениях
Вид помещения | Низшая теплота сгорания, МДж/кг | Дымообразующая способность, Нп · м2/кг | Удельная массовая скорость выгорания, кг/(м2 · с) | Линейная скорость распространения пламени, м/с | Удельный расход кислорода, кг/кг | Выделение токсических продуктов горения, кг/кг |
CO2 | CO | HCl |
Жилые помещения гостиниц, общежитий и т.д. | 13,800 | 270 | 0,0145 | 0,0045 | 1,0300 | 0,20300 | 0,0022 | 0,01400 |
Столовая, зал ресторана и т.д. | 13,800 | 82 | 0,0145 | 0,0045 | 1,4370 | 1,28500 | 0,0022 | 0,00600 |
Зал театра, кинотеатра, клуба, цирка и т.д. | 13,800 | 270 | 0,0145 | 0,0055 | 1,0300 | 0,20300 | 0,0022 | 0,01400 |
Гардеробы | 16,700 | 61 | 0,025 | 0,007 | 2,56 | 0,88 | 0,063 | - |
Хранилища библиотек, архивы | 14,500 | 49,50 | 0,01100 | 0,008 | 1,1540 | 1,10870 | 0,09740 | 0 |
Музеи, выставки | 13,800 | 270 | 0,0145 | 0,0055 | 1,0300 | 0,20300 | 0,0022 | 0,01400 |
Подсобные и бытовые помещения | 14,000 | 53,00 | 0,01290 | 0,0420 | 1,1610 | 0,64200 | 0,03170 | 0 |
Административные помещения, учебные классы школ. ВУЗов; кабинеты поликлиник | 14,000 | 47,70 | 0,01370 | 0,0045 | 1,3690 | 1,47800 | 0,03000 | 0,00580 |
Магазины | 15,8 | 270 | 0,015 | 0,0055 | 1,25 | 0,85 | 0,043 | 0,023 |
Зал вокзала | 13,800 | 270 | 0,0145 | 0,0055 | 1,0300 | 0,20300 | 0,0022 | 0,01400 |
Стоянки легковых автомобилей | 31,700 | 487 | 0,023 | 0,0068 | 2,64 | 1,3 | 0,097 | 0,011 |
Стоянки легковых автомобилей с двухуровневым хранением | 31,700 | 487 | 0,023 | 0,0136 | 2,64 | 1,3 | 0,097 | 0,011 |
Стадионы | 26,4 | 78 | 0,004 | 0,004 | 2,09 | 1,8 | 0,127 | - |
Спортзалы | 16,7 | 61 | 0,024 | 0,0045 | 2,56 | 0,88 | 0,063 | - |
2.2. Определение частоты реализации пожароопасных ситуаций
Частота реализации пожароопасных ситуаций определяется частотой возникновения пожара в здании в течение года. Порядок определения частоты возникновения пожара в здании приведен в
разд. II Методики.
2.3. Построение полей опасных факторов пожара для различных
сценариев его развития
2.3.1. В соответствии с
прил. N 6 к
п. 12 Методики при построении полей опасных факторов пожара для различных сценариев его развития учитываются предельно допустимые значения по каждому из опасных факторов пожара, которые составляют:
по повышенной температуре - 70 °C;
по тепловому потоку - 1400 Вт/м2;
по потере видимости - 20 м (для случая, когда оба горизонтальных линейных размера помещения меньше 20 м, предельно допустимое расстояние по потере видимости следует принимать равным наибольшему горизонтальному линейному размеру);
по пониженному содержанию кислорода - 0,226 кг/м3;
по каждому из токсичных газообразных продуктов горения: CO2 - 0,11 кг/м3; CO - 1,16 · 10-3 кг/м3; HCl - 23 · 10-6 кг/м3.
Критическое время по каждому из опасных факторов пожара определяется как время достижения этим фактором предельно допустимого значения на путях эвакуации на высоте 1,7 м от пола помещения.
2.3.2. Ввиду того что проведение расчетов по распространению опасных факторов пожара для всех возможных сценариев развития пожара является практически невыполнимой задачей, в рамках
Методики расчет пожарного риска производится по одному или нескольким сценариям, при которых ожидаются наихудшие последствия для находящихся в здании людей. Выбор данных сценариев осуществляется экспертным путем.
Сценарий пожара представляет собой вариант развития пожара с учетом принятого места возникновения и характера его развития. Сценарий пожара определяется на основе данных об объемно-планировочных решениях, размещении горючей нагрузки и людей на объекте. При расчете рассматриваются сценарии пожара, при которых реализуются наихудшие условия для обеспечения безопасности людей. В качестве сценариев с наихудшими условиями пожара следует рассматривать сценарии, характеризуемые наиболее затрудненными условиями эвакуации людей и (или) наиболее высокой динамикой нарастания ОФП, а именно пожары:
- в помещениях, рассчитанных на единовременное присутствие 50 и более чел.;
- в системах помещений, в которых из-за распространения ОФП возможно быстрое блокирование путей эвакуации (коридоров, эвакуационных выходов и т.д.). При этом очаг пожара выбирается в помещении малого объема вблизи от одного из эвакуационных выходов, либо в помещении с большим количеством горючей нагрузки, характеризующейся высокой скоростью распространения пламени;
- в помещениях и системах помещений атриумного типа;
- в системах помещений, в которых из-за недостаточной пропускной способности путей эвакуации возможно возникновение продолжительных скоплений людских потоков.
В случаях, когда перечисленные типы сценариев не отражают всех особенностей объекта, возможно рассмотрение иных сценариев пожара.
Сценарии пожара, не реализуемые при нормальном режиме эксплуатации объекта (теракты, поджоги, хранение горючей нагрузки, не предусмотренной назначением объекта и т.д.), не рассматриваются.
2.3.3. В помещении, имеющем два и более эвакуационных выхода, очаг пожара следует размещать вблизи выхода, имеющего наибольшую пропускную способность. При этом данный выход считается блокированным с первых секунд пожара и при определении расчетного времени эвакуации не учитывается. Данное положение распространяется также на помещения, в которых в соответствии с нормативными требованиями должно быть не менее двух эвакуационных выходов. Следовательно, расчетом пожарного риска не может быть обосновано устройство одного эвакуационного выхода из помещения, в котором в соответствии с нормативными требованиями должно быть не менее двух эвакуационных выходов. Так как в этом случае мы должны заблокировать единственный эвакуационный выход.
В помещении с одним эвакуационным выходом (за исключением помещений, в которых в соответствии с нормативными требованиями должно быть не менее двух эвакуационных выходов) время блокирования выхода определяется расчетом.
2.3.4. Для каждого сценария в соответствии с
разд. II прил. N 6 к
п. 12 Методики формулируется математическая модель и моделируется динамика развития пожара. При этом результатами моделирования будут являться:
- при использовании аналитических соотношений для определения критической продолжительности пожара - значение времени блокирования путей эвакуации;
- при использовании интегральных и зонных моделей - графики зависимости опасных факторов пожара от времени;
- при использовании полевых моделей - поля опасных факторов пожара.
Во всех случаях, за исключением расчета по аналитическим соотношениям для определения критической продолжительности пожара, результаты должны быть представлены в графической форме.
2.3.5. На основе проведенных расчетов определяются времена блокирования путей эвакуации вблизи эвакуационных выходов, а при необходимости и в других контрольных точках.
2.4. Оценка последствий воздействия опасных факторов
пожара на людей для различных сценариев его развития
2.4.1. Для каждого сценария строится расчетная схема эвакуации, формулируется математическая модель и моделируется эвакуация людей из здания при пожаре.
2.4.2. В соответствии с
прил. N 2 -
5 Методики определяется расчетное время эвакуации людей t
р. При этом фиксируются также времена движения людей от мест первоначального размещения до эвакуационных выходов и других контрольных точек, а также наличие и длительность скоплений людей на путях эвакуации. Предпочтительно, с точки зрения возможности контроля правильности расчетов, динамику движения людей отобразить на графиках.
2.4.3. На основе информации, полученной при моделировании развития пожара и эвакуации людей, определяется вероятность эвакуации людей при пожаре.
2.4.4. В соответствии с
разд. II Методики определяется расчетная величина индивидуального пожарного риска.
2.5. Порядок разработки дополнительных противопожарных
мероприятий при определении счетной величины
индивидуального пожарного риска
| | ИС МЕГАНОРМ: примечание. В официальном тексте документа, видимо, допущена опечатка: имеется в виду п. 21 Методики, а не п. 2.1. | |
В соответствии с
п. 2.1 Методики, в случае если расчетная величина индивидуального пожарного риска превышает нормативное значение, в здании следует предусмотреть дополнительные противопожарные мероприятия, направленные на снижение величины пожарного риска.
2.6. Определение расчетных величин индивидуального
пожарного риска
Согласно
Методике индивидуальный пожарный риск отвечает требуемому, если

, (1)
где

- нормативное значение индивидуального пожарного риска,

год
-1; Q
в - расчетная величина индивидуального пожарного риска.
Расчетная величина индивидуального пожарного риска Qвi для i-го сценария пожара рассчитывается по формуле
Q
вi = Q
пi(1 - K
апi)P
прi(1 - P
эi)(1 - K
п.зi), (2)
где Q
пi - частота возникновения пожара в здании в течение года, определяется на основании статистических данных, приведенных в
прил. N 1 Методики. При отсутствии статистической информации допускается принимать Q
п = 4 · 10
-2 для каждого здания; K
апi - коэффициент, учитывающий соответствие установок автоматического пожаротушения (далее - АУП) - требованиям нормативных документов по пожарной безопасности. Значение параметра K
апi принимается равным K
апi = 0,9, если выполняется хотя бы одно из следующих условий:
- здание оборудовано системой АУП, соответствующей требованиям нормативных документов по пожарной безопасности;
- оборудование здания системой АУП не требуется в соответствии с требованиями нормативных документов по пожарной безопасности.
В остальных случаях Kапi принимается равной нулю; Pпрi - вероятность присутствия людей в здании, определяемая из соотношения Pпрi = tфункцi / 24, где tфункцi - время нахождения людей в здании (время функционирования объекта) в часах; Pэi - вероятность эвакуации людей; Kп.зi - коэффициент, учитывающий соответствие системы противопожарной защиты, направленной на обеспечение безопасной эвакуации людей при пожаре, требованиям нормативных документов по пожарной безопасности.
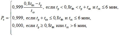
Вероятность эвакуации Pэ рассчитывают по формуле

(3)
где tр - расчетное время эвакуации людей, мин; tиэ - время начала эвакуации (интервал времени от возникновения пожара до начала эвакуации людей), мин; tбл - время от начала пожара до блокирования эвакуационных путей в результате распространения на них ОФП, имеющих предельно допустимые для людей значения (время блокирования путей эвакуации), мин; tск - время существования скоплений людей на участках пути (плотность людского потока на путях эвакуации превышает значение 0,5).
Расчетное время эвакуации людей tр из помещений и зданий определяется на основе моделирования движения людей до выхода наружу одним из следующих способов:
- по упрощенной аналитической модели движения людского потока, приведенной в
прил. N 2 к Методике;
- по математической модели индивидуально-поточного движения людей из здания, приведенной в
приложении N 3 к Методике;
- по имитационно-стохастической модели движения людских потоков, приведенной в
прил. N 4 к Методике.
Выбор способа определения расчетного времени эвакуации производится с учетом специфических особенностей объемно-планировочных решений здания, особенностей контингента (его однородности) людей, находящихся в нем, а также схем оповещения людей о пожаре и организации эвакуации (одновременное или по зонам оповещения).
При определении расчетного времени эвакуации учитываются данные, приведенные в
прил. N 5 к Методике, в частности, принципы составления расчетной схемы эвакуации людей, параметры движения людей различных групп мобильности, а также значения площадей горизонтальных проекций различных контингентов людей.
Время начала эвакуации t
иэ определяется в соответствии с
п. 1 прил. N 5 к Методике.
Время блокирования путей эвакуации t
бл вычисляется путем расчета времени достижения ОФП предельно допустимых значений на эвакуационных путях в различные моменты времени. Порядок проведения расчета и математические модели для определения времени блокирования путей эвакуации опасными факторами пожара приведен в
прил. N 6 к Методике.
Коэффициент, учитывающий соответствие системы противопожарной защиты, направленной на обеспечение безопасной эвакуации людей при пожаре, требованиям нормативных документов по пожарной безопасности, Kп.з рассчитывается по формуле
K
п.з = 1 - (1 - K
оби K
СОУЭ)(1 - K
обн K
ПДЗ), (4)
где Kоби - коэффициент, учитывающий соответствие системы пожарной сигнализации требованиям нормативных документов по пожарной безопасности; KСОУЭ - коэффициент, учитывающий соответствие системы оповещения людей о пожаре и управления эвакуацией людей, требованиям нормативных документов по пожарной безопасности.
К нормативным документам в данном случае следует также относить специальные технические условия на здания, сооружения, строения и системы противопожарной защиты, для которых отсутствуют нормы проектирования.
Порядок оценки параметров K
оби, K
СОУЭ и K
ПДЗ приведен в
разд. IV Методики.
3. ТИПОВЫЕ ПРИМЕРЫ РАСЧЕТОВ ВЕЛИЧИН ПОЖАРНОГО РИСКА
3.1. Пример расчета для здания
торгово-развлекательного центра
3.1.1. Анализ пожарной опасности объекта
В проектируемом здании предполагается разместить комплекс помещений торгово-развлекательного характера, в т.ч. магазины с широким универсальным ассортиментом товаров, специализированные магазины, бутики, предприятия общественного питания, помещения центров проведения досуга, физкультурно-оздоровительный комплекс; комплекс помещений многозального кинотеатра; административные и подсобно-вспомогательные помещения, помещения для инженерного оборудования здания, в т.ч. электрощитовые, насосные, узлы ввода инженерных коммуникаций. В здание встроена подземная одноуровневая стоянка на 495 машиномест. На территории торгово-развлекательного центра дополнительно предусматривается устройство открытых площадок для парковки легковых автомобилей на 1363 машиноместа.
Торгово-развлекательный центр (ТРЦ) представляет собой 2 - 4-х этажное здание с учетом административных помещений на кровле с одним подъемным этажом. В плане здание состоит из 3 частей-блоков с ориентировочной площадью (в пределах наружных стен)
- блок А - гипермаркет продовольственных товаров - 11 500 м2;
- блок Б - торговые галереи, комплекс кинозалов, рестораны, предприятия быстрого питания, подземная автостоянка - 89 500 м2;
- блок В - гипермаркет строительных материалов, фитнес-центр и плавательный бассейн, административные и технические помещения - 22 500 м2.
Основные помещения первого и второго этажей занимают торговые залы и галереи. На втором и третьем этажах блока Б размещены два ресторана. На третьем этаже блока Б размещаются предприятия быстрого питания. Также на третьем этаже блока Б размещается 6-зальный кинотеатр, развлекательный комплекс с боулингом. В блоке В - плавательный бассейн с дорожками длиной 25 м, фитнес-центр с комплексом саун.
Наибольшая высота здания составляет 25,85 м, максимальная высота до парапета верхней отметки кровли (кинотеатр) - 19,16 м. Площадь застройки составляет около 42 305 м2. Торгово-развлекательная часть здания проектируется с наличием атриумных пространств и пассажей.
В состав ТРЦ входят помещения и зоны различных классов функциональной пожарной опасности, в т.ч.: Ф2.1 - многозальный кинотеатр, расположенный на третьем этаже здания; Ф3.1 - организации торговли, Ф3.2 - организации общественного питания, Ф3.5 - помещения бытового обслуживания посетителей, Ф3.6 - физкультурно-оздоровительный комплекс; Ф5.1 - производственные помещения, Ф5.2 - складские помещения, в т.ч. подземная автостоянка.
Здание ТРЦ оборудуется комплексом систем противопожарной защиты, включающим:
- соответствующие объемно-планировочные, конструктивные и технические решения, обеспечивающие разделение здания на пожарные отсеки, части пожарных отсеков, группы помещений, помещения, своевременную (безопасную) эвакуацию людей наружу или в иную безопасную зону, их защиту от опасных факторов пожара, способность сохранения целости здания на все время продолжительности пожара;
- пожаробезопасные зоны;
- системы противодымной защиты;
- автоматические установки пожаротушения;
- внутренний противопожарный водопровод;
- автоматическую пожарную сигнализацию;
- оповещение и управление эвакуацией людей при пожаре;
- управление вентиляцией, кондиционированием и противодымной защитой;
- управление работой лифтов и эскалаторов (траволаторов);
- видеонаблюдение;
- разблокирование систем контроля доступа.
Полученные расчетные значения относятся только к рассматриваемому объекту и не могут быть перенесены на другие подобные объекты. Результаты расчетов подлежат корректировке при любых изменениях объемно-планировочных и конструктивных решений рассматриваемого объекта.
3.1.2. Определение частоты реализации
пожароопасных ситуаций
Согласно
прил. N 1 к
п. 8 Методики для рассматриваемого здания частота возникновения пожара в течение года составляет: 4,0 · 10
-2 - для подземной автостоянки, административной и развлекательной части здания; 2,03 · 10
-2 - для торговой части здания; 6,9 · 10
-3 - для блока кинозалов.
3.1.3. Экспертный выбор сценариев пожара
Описание сценариев развития пожара
Пожар возникает в помещении автостоянки (помещение N Б.-1.07), расположенном в подвальном этаже, на уровне пола
(рис. 1). Месторасположение очага пожара определяет блокирование эвакуационного выхода В3 и способствует быстрому распространению ОФП с последующим блокированием эвакуационных выходов В1, В2 и В4.
Рис. 1. Расчетная схема первого сценария развития пожара
(горизонтальное сечение на высоте 1,7 м от уровня пола):
В1 - В4 - эвакуационные выходы
При проведении расчетов рассматривалось помещение очага пожара. Все двери считались закрытыми. От первичного очага пламя распространяется на легковой автомобиль. По мере развития пожара пламя переносится на соседний легковой автомобиль.
Пожар возникает в помещении автостоянки (помещение N Б.-1.01), расположенном в подвальном этаже, на уровне пола
(рис. 2). Месторасположение очага пожара определяет блокирование эвакуационного выхода В1 и способствует быстрому распространению ОФП с последующим блокированием эвакуационных выходов В2 - В7.
Рис. 2. Расчетная схема второго сценария развития пожара
(горизонтальное сечение на высоте 1,7 м от уровня пола):
В1 - В7 - эвакуационные выходы
При проведении расчетов рассматривалось помещение очага пожара и помещение N Б.-1.05. Все двери считались закрытыми. От первичного очага пламя распространяется на легковой автомобиль. По мере развития пожара пламя переносится на соседний легковой автомобиль.
Пожар возникает в помещении торгового зала N А.1.2, расположенном на первом этаже, на уровне пола
(рис. 3). Месторасположение очага пожара определяет блокирование эвакуационного выхода В6 и способствует быстрому распространению ОФП с последующим блокированием эвакуационных выходов В1 - В5.
Рис. 3. Расчетная схема третьего сценария развития пожара
(горизонтальное сечение на высоте 1,7 м от уровня пола):
В1 - В5 эвакуационные выходы
При проведении расчетов рассматривалось помещение очага пожара. Все двери считались закрытыми. От первичного очага пламя распространяется по расположенным в непосредственной близости горючим материалам.
Пожар возникает в помещении промтоварного магазина N Б.1.085, расположенном на первом этаже, на уровне пола (
рис. 4 -
6). Месторасположение очага пожара способствует быстрому распространению ОФП с последующим блокированием эвакуационных выходов В1 - В24.
Рис. 4. Расчетная схема четвертого сценария развития
пожара (горизонтальное сечение на высоте 1,7 м от уровня
пола первого этажа): В1 - В7 эвакуационные выходы
Рис. 5. Расчетная схема четвертого сценария развития
пожара (горизонтальное сечение на высоте 1,7 м от уровня
пола второго этажа): В8 - В15 - эвакуационные выходы
Рис. 6. Расчетная схема четвертого сценария развития
пожара (горизонтальное сечение на высоте 1,7 м от уровня
пола третьего этажа): В16 - В24 эвакуационные выходы
При проведении расчетов рассматривалось помещение очага пожара и торговые галереи первого - третьего этажей. Все двери, за исключением помещения очага пожара, считались закрытыми. Газообмен между этажами осуществлялся через проемы в перекрытиях. От первичного очага пламя распространяется по расположенным в непосредственной близости горючим материалам.
Пожар возникает в помещении детского бара N В.3.17, расположенном на третьем этаже, на уровне пола
(рис. 7). Месторасположение очага пожара способствует быстрому распространению ОФП с последующим блокированием эвакуационных выходов В1 и В2.
Рис. 7. Расчетная схема пятого сценария развития пожара
(горизонтальное сечение на высоте 1,7 м от уровня пола):
В1, В2 - эвакуационные выходы
При проведении расчетов рассматривалось помещение очага пожара и игровая зона В.3.16. Все двери считались закрытыми. От первичного очага пламя распространяется по расположенным в непосредственной близости горючим материалам.
Пожар возникает в помещении кинозала на 258 посадочных мест (помещение N Б.3.017), расположенном на третьем этаже, на уровне пола (
рис. 8,
9). Месторасположение очага пожара определяет блокирование эвакуационного выхода В2 и способствует быстрому распространению ОФП с последующим блокированием эвакуационных выходов В1 и В3.
Рис 8. Расчетная схема шестого сценария развития пожара
(горизонтальное сечение на высоте 1,7 м от уровня пола):
В3 - эвакуационный выход
Рис. 9. Расчетная схема шестого сценария развития пожара
(горизонтальное сечение на высоте 2,9 м от уровня пола):
В1, В2 - эвакуационные выходы
При проведении расчетов рассматривалось помещение очага пожара. Все двери считались закрытыми. От первичного очага пламя распространяется по расположенным в непосредственной близости горючим материалам.
Пожар возникает в административном помещении N Б.4.05, расположенном на четвертом этаже, на уровне пола
(рис. 10). Месторасположение очага пожара способствует быстрому распространению ОФП с последующим блокированием эвакуационных выходов В1 и В2.
Рис. 10. Расчетная схема седьмого сценария развития пожара
(горизонтальное сечение на высоте 1,7 м от уровня пола):
В1, В2 - эвакуационные выходы
При проведении расчетов рассматривалось помещение очага пожара и коридор N Б.4.15. Все двери, за исключением помещения очага пожара, считались закрытыми. От первичного очага пламя распространяется по расположенным в непосредственной близости горючим материалам.
3.1.4. Выбор метода математического моделирования пожара
Согласно
прил. N 6 Методики сформулируем математическую модель развития пожара.
Для описания термогазодинамических параметров пожара применяются три основных группы детерминистических моделей: интегральные, зонные (зональные) и полевые.
Выбор конкретной модели расчета времени блокирования путей эвакуации следует осуществлять исходя из следующих предпосылок:
интегральный метод:
для зданий, содержащих развитую систему помещений малого объема простой геометрической конфигурации;
для помещений, где характерный размер очага пожара соизмерим с характерными размерами помещения и размеры помещения соизмеримы между собой (линейные размеры помещения отличаются не более чем в 5 раз);
для предварительных расчетов с целью выявления наиболее опасного сценария пожара;
зонный (зональный) метод:
для помещений и систем помещений простой геометрической конфигурации, линейные размеры которых соизмеримы между собой (линейные размеры помещения отличаются не более чем в 5 раз), когда размер очага пожара существенно меньше размеров помещения;
для рабочих зон, расположенных на разных уровнях в пределах одного помещения (наклонный зрительный зал кинотеатра, антресоли и т.д.);
полевой метод:
для помещений сложной геометрической конфигурации, а также помещений с большим количеством внутренних преград (атриумы с системой галерей и примыкающих коридоров, многофункциональные центры со сложной системой вертикальных и горизонтальных связей и т.д.);
для помещений, в которых один из геометрических размеров гораздо больше (меньше) остальных (тоннели, закрытые автостоянки большой площади и т.д.);
для иных случаев, когда применимость или информативность зонных и интегральных моделей вызывает сомнение (уникальные сооружения, распространение пожара по фасаду здания, необходимость учета работы систем противопожарной защиты, способных качественно изменить картину пожара, и т.д.).
При использовании интегральной и зонной моделей помещение, один из линейных размеров которого более чем в пять раз превышает хотя бы один из двух других линейных размеров, необходимо делить на участки, размеры которых соизмеримы между собой, и рассматривать их как отдельные помещения, сообщающиеся проемами, площадь которых равна площади сечения на границе участков. Использование аналогичной процедуры в случае, когда два линейных размера превышают третий более чем в 5 раз, не допускается.
Таким образом, в результате анализа объемно-планировочных решений и выбора сценариев развития пожара при проведении расчетов по распространению опасных факторов пожара будет использоваться полевой метод математического моделирования.
3.1.5. Исходные данные для проведения расчетов
по распространению опасных факторов пожара
Согласно
прил. N 6 Методики при проведении расчетов рассматриваются три основных вида развития пожара: круговое распространение пожара по твердой горючей нагрузке, линейное распространение пожара по твердой горючей нагрузке, неустановившееся горение горючей жидкости.
Скорость выгорания для этих случаев определяется формулами:

(5)
где

- удельная скорость выгорания (для жидкостей установившаяся), кг · с
-1 · м
-2; v - скорость распространения пламени, м/с; b - ширина полосы горючей нагрузки, м; t
ст - время стабилизации горения горючей жидкости, с; F - площадь очага пожара, м
2.
Критическое время по каждому из опасных факторов пожара определяется как время достижения этим фактором предельно допустимого значения на путях эвакуации на высоте 1,7 м от пола.
Предельно допустимые значения по каждому из опасных факторов пожара составляют:
по повышенной температуре - 70 °C;
по тепловому потоку - 1400 Вт/м2;
по потере видимости - 20 м (для случая, когда оба горизонтальных линейных размера помещения меньше 20 м, предельно допустимое расстояние по потере видимости следует принимать равным наибольшему горизонтальному линейному размеру);
по пониженному содержанию кислорода - 0,226 кг/м3;
по каждому из токсичных газообразных продуктов горения (CO2 - 0,11 кг/м3; CO - 1,16 · 10-3 кг/м3; HCl - 23 · 10-6 кг/м3).
При использовании полевой модели определение критического времени имеет существенные особенности, связанные с тем, что критическое значение в различных точках помещения достигается не одновременно. Для помещений с соизмеримыми горизонтальными размерами критическое время определяется как максимальное из критических времен для эвакуационных выходов из данного помещения (время блокирования последнего выхода).
Определяется время блокирования tбл:

. (6)
При проведении расчета по распространению ОФП для
сценария N 1 (пожар в помещении автостоянки (помещение N Б.-1.07) в подвальном этаже) исходя из функционального назначения помещения очага пожара данные о низшей теплоте сгорания, линейной скорости распространения и т.д. в соответствии с
табл. 1 имеют следующие физико-химические свойства (стоянки легковых автомобилей):
Низшая теплота сгорания,  , кДж/кг ....................................................... | 31 700,0 |
Дымообразующая способность, Нп · м2/кг ................................................... | 487,00 |
Удельная массовая скорость выгорания кг/(м2 · с) ....................................... | 0,023 |
Линейная скорость распространения пламени, v, м/с .................................. | 0,0068 |
Удельный расход кислорода кг/кг ................................................................ | 2,640 |
Выделение газа: | |
CO2, кг/кг .................................................................................................. | 1,300 |
CO, кг/кг ................................................................................................... | 0,097 |
HCl, кг/кг .................................................................................................. | 0,011 |
При проведении расчета по распространению ОФП для
сценария N 2 (пожар в помещении автостоянки (помещение N Б.-1.01) в подвальном этаже) исходя из функционального назначения помещения очага пожара данные о низшей теплоте сгорания, линейной скорости распространения и т.д. в соответствии с
табл. 1 имеют следующие физико-химические свойства (стоянки легковых автомобилей):
Низшая теплота сгорания,  , кДж/кг ....................................................... | 31 700,0 |
Дымообразующая способность, Нп · м2/кг ................................................... | 487,00 |
Удельная массовая скорость выгорания кг/(м2 · с) ....................................... | 0,023 |
Линейная скорость распространения пламени, v, м/с .................................. | 0,0068 |
Удельный расход кислорода кг/кг ................................................................ | 2,640 |
Выделение газа: | |
CO2, кг/кг .................................................................................................. | 1,300 |
CO, кг/кг ................................................................................................... | 0,097 |
HCl, кг/кг .................................................................................................. | 0,011 |
При проведении расчета по распространению ОФП для
сценария N 3 (пожар в помещении торгового зала N А.1.2. на первом этаже) исходя из функционального назначения помещения очага пожара данные о низшей теплоте сгорания, линейной скорости распространения и т.д. в соответствии с
табл. 1 имеют следующие физико-химические свойства (магазины):
Низшая теплота сгорания,  , кДж/кг ....................................................... | 15 800,0 |
Дымообразующая способность, Нп · м2/кг ................................................... | 270,00 |
Удельная массовая скорость выгорания кг/(м2 · с) ....................................... | 0,015 |
Линейная скорость распространения пламени, v, м/с .................................. | 0,0055 |
Удельный расход кислорода кг/кг ................................................................ | 1,250 |
Выделение газа: | |
CO2, кг/кг .................................................................................................. | 0,850 |
CO, кг/кг ................................................................................................... | 0,043 |
HCl, кг/кг .................................................................................................. | 0,023 |
При проведении расчета по распространению ОФП для
сценария N 4 (пожар в помещении промтоварного магазина N Б.1.085 на первом этаже) исходя из функционального назначения помещения очага пожара данные о низшей теплоте сгорания, линейной скорости распространения и т.д. в соответствии с
табл. 1 имеют следующие физико-химические свойства (магазины):
Низшая теплота сгорания,  , кДж/кг ....................................................... | 15 800,0 |
Дымообразующая способность, Нп · м2/кг ................................................... | 270,00 |
Удельная массовая скорость выгорания кг/(м2 · с) ....................................... | 0,015 |
Линейная скорость распространения пламени, v, м/с .................................. | 0,0055 |
Удельный расход кислорода кг/кг ................................................................ | 1,250 |
Выделение газа: | |
CO2, кг/кг ................................................................................................. | 0,850 |
CO, кг/кг .................................................................................................. | 0,043 |
HCl, кг/кг ................................................................................................. | 0,023 |
При проведении расчета по распространению ОФП для
сценария N 5 (пожар в помещении детского бара N В.3.17 на третьем этаже) исходя из функционального назначения помещения очага пожара данные о низшей теплоте сгорания, линейной скорости распространения и т.д. в соответствии с
табл. 1 имеют следующие физико-химические свойства (столовая, зал ресторана):
Низшая теплота сгорания,  , кДж/кг ....................................................... | 13 800,0 |
Дымообразующая способность, Нп · м2/кг ................................................... | 82,00 |
Удельная массовая скорость выгорания кг/(м2 · с) ....................................... | 0,0145 |
Линейная скорость распространения пламени, v, м/с .................................. | 0,0045 |
Удельный расход кислорода кг/кг ................................................................ | 1,437 |
Выделение газа: | |
CO2, кг/кг .................................................................................................. | 1,285 |
CO, кг/кг ................................................................................................... | 0,0022 |
HCl, кг/кг .................................................................................................. | 0,006 |
При проведении расчета по распространению ОФП для
сценария N 6 (пожар в помещении кинозала на 258 посадочных мест (помещение N Б.3.017) на третьем этаже) исходя из функционального назначения помещения очага пожара данные о низшей теплоте сгорания, линейной скорости распространения и т.д. в соответствии с
табл. 1 имеют следующие физико-химические свойства (зал театра, кинотеатра, клуба):
Низшая теплота сгорания,  , кДж/кг ....................................................... | 13 800,0 |
Дымообразующая способность, Нп · м2/кг ................................................... | 270,00 |
Удельная массовая скорость выгорания кг/(м2 · с) ....................................... | 0,0145 |
Линейная скорость распространения пламени, v, м/с .................................. | 0,0055 |
Удельный расход кислорода кг/кг ................................................................ | 1,03 |
Выделение газа: | |
CO2, кг/кг ................................................................................................. | 0,20300 |
CO, кг/кг .................................................................................................. | 0,00220 |
HCl, кг/кг ................................................................................................. | 0,01400 |
При проведении расчета по распространению ОФП для
сценария N 7 (пожар в административном помещении N Б.4.05 на четвертом этаже) исходя из функционального назначения помещения очага пожара данные о низшей теплоте сгорания, линейной скорости распространения и т.д. в соответствии с
табл. 1 имеют следующие физико-химические свойства (административные помещения):
Низшая теплота сгорания,  , кДж/кг ....................................................... | 14 000,0 |
Дымообразующая способность, Нп · м2/кг ................................................... | 47,70 |
Удельная массовая скорость выгорания кг/(м2 · с) ....................................... | 0,0137 |
Линейная скорость распространения пламени, v, м/с .................................. | 0,0045 |
Удельный расход кислорода кг/кг ................................................................ | 1,369 |
Выделение газа: | |
CO2, кг/кг .................................................................................................. | 1,478 |
CO, кг/кг ................................................................................................... | 0,03 |
HCl, кг/кг .................................................................................................. | 0,0058 |
3.1.6. Описание полевого метода моделирования пожара
в здании
Для расчета времени блокирования t
бл в соответствии с
Методикой был выбран полевой метод моделирования пожара.
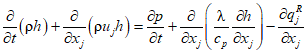
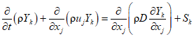
Основой для полевых моделей пожаров являются уравнения, выражающие законы сохранения массы, импульса, энергии и масс компонентов в рассматриваемом малом контрольном объеме.
Использованная математическая модель включала в себя следующие основные уравнения:
Уравнение сохранения массы:

.
Уравнение сохранения импульса:

.
Для ньютоновских жидкостей, подчиняющихся закону Стокса, тензор вязких напряжений определяется формулой

.
Уравнение энергии:

,
где

- статическая энтальпия смеси; H
k - теплота образования k-го компонента;

- теплоемкость смеси при постоянном давлении;

- радиационный поток энергии в направлении x
j.
Уравнение сохранения химического компонента k:

.
Для замыкания системы уравнений используется уравнение состояния идеального газа. Для смеси газов оно имеет вид

,
где R0 - универсальная газовая постоянная; Mk - молярная масса k-го компонента.
3.1.7. Построение полей опасных факторов пожара
для различных сценариев его развития
Очаг пожара находится в помещении автостоянки (помещение N Б.-1.07), расположенном в подвальном этаже, на уровне пола.
Динамику данного варианта развития пожара можно проиллюстрировать следующими основными моментами:
10 с - продукты горения достигают потолка помещения очага пожара и распространяются под ним в радиальном направлении;
20 с - на отдельных участках площади помещения дым с концентрацией, превышающей критическое значение, опускается ниже отм. 1,7 м от уровня пола
(рис. 11);
40 с - на большей части рассматриваемой площади дым опускается ниже отм. 1,7 м от уровня пола
(рис. 12);
70 с - блокируется по признаку потери видимости эвакуационный выход В4
(рис. 13). Блокируется по признаку превышения концентрации HCl эвакуационный выход В4
(рис. 20);
90 с - блокируется по признаку потери видимости эвакуационный выход В1
(рис. 14);
100 с - блокируется по признаку потери видимости эвакуационный выход В2
(рис. 15). Блокирование эвакуационных выходов В1, В2 и В4 по признаку повышения температуры не происходит
(рис. 16). Блокирование эвакуационных выходов В1, В2 и В4 по признаку превышения концентрации CO и CO
2 не происходит (
рис. 17,
18). Блокирование эвакуационных выходов В1, В2 и В4 по признаку понижения концентрации O
2 не происходит
(рис. 19). Блокирование эвакуационных выходов В2 и В3 по признаку превышения концентрации HCl не происходит
(рис. 21).
Из результатов расчета следует, что наиболее опасным фактором пожара из всех рассмотренных является потеря видимости.
Более подробная информация о времени блокирования отдельных эвакуационных выходов представлена в табл. 2.
Время блокирования tбл ОФП путей эвакуации
N выхода | Оси расположения | Время блокирования, с |
CO2 | CO | HCl | T | O2 | Потеря видимости |
В1 | | > 100 | > 100 | > 100 | > 100 | > 100 | 90 |
В2 | | > 100 | > 100 | > 100 | > 100 | > 100 | 100 |
В3 | | Блокирован |
В4 | | > 100 | > 100 | 70 | > 100 | > 100 | 70 |
Рис. 11. Оптическая плотность дыма (Нп/м)
в горизонтальном сечении на высоте 1,7 м от уровня пола
в момент времени 20 с
Рис. 12. Оптическая плотность дыма (Нп/м)
в горизонтальном сечении на высоте 1,7 м от уровня пола
в момент времени 40 с
Рис. 13. Оптическая плотность дыма (Нп/м)
в горизонтальном сечении на высоте 1,7 м от уровня пола
в момент времени 70 с
Рис. 14. Оптическая плотность дыма (Нп/м)
в горизонтальном сечении на высоте 1,7 м от уровня пола
в момент времени 90 с
Рис. 15. Оптическая плотность дыма (Нп/м)
в горизонтальном сечении на высоте 1,7 м от уровня пола
в момент времени 100 с
Рис. 16. Поля температуры (K) в горизонтальном сечении
на высоте 1,7 м от уровня пола в момент времени 100 с
Рис. 17. Концентрация CO (кг/м
3) в горизонтальном сечении
на высоте 1,7 м от уровня пола в момент времени 100 с
Рис. 18. Концентрация CO
2 (кг/м
3) в горизонтальном сечении
на высоте 1,7 м от уровня пола в момент времени 100 с
Рис. 19. Концентрация O
2 (кг/м
3) в горизонтальном сечении
на высоте 1,7 м от уровня пола в момент времени 100 с
Рис 20. Концентрация HCl (кг/м
3) в горизонтальном сечении
на высоте 1,7 м от уровня пола в момент времени 70 с
Рис. 21. Концентрация HCl (кг/м
3) в горизонтальном сечении
на высоте 1,7 м от уровня пола в момент времени 100 с
Очаг пожара находится в помещении автостоянки (помещение N Б.-1.01), расположенном в подвальном этаже, на уровне пола.
Динамику данного варианта развития пожара можно проиллюстрировать следующими основными моментами:
10 с - продукты горения достигают потолка помещения очага пожара и распространяются под ним в радиальном направлении;
20 с - на отдельных участках площади помещения очага пожара дым с концентрацией, превышающей критическое значение, опускается ниже отм. 1,7 м от уровня пола
(рис. 22);
60 с - на большей части площади помещения очага пожара дым опускается ниже отм. 1,7 м от уровня пола
(рис. 23);
70 с - блокируется по признаку потери видимости эвакуационный выход В2
(рис. 24). Блокирование эвакуационного выхода В2 по признаку превышения концентрации HCl не происходит
(рис. 35);
80 с - блокируется по признаку потери видимости эвакуационный выход В3
(рис. 25). Блокирование эвакуационного выхода В3 по признаку превышения концентрации HCl не происходит
(рис. 36);
100 с - блокируется по признаку потери видимости эвакуационный выход В4
(рис. 26). Блокирование эвакуационных выходов В2 - В4 по признаку повышения температуры не происходит
(рис. 29). Блокирование эвакуационных выходов В2 - В4 по признаку понижения концентрации O
2 не происходит
(рис. 33). Блокирование эвакуационного выхода В4 по признаку превышения концентрации HCl не происходит
(рис. 37);
250 с - блокируется по признаку потери видимости эвакуационный выход В7
(рис. 27);
300 с - блокирование эвакуационных выходов В5 и В6 по признаку потери видимости не происходит
(рис. 28). Блокирование эвакуационных выходов В5 - В7 по признаку повышения температуры не происходит
(рис. 30). Блокируется по признаку превышения концентрации CO эвакуационный выход В2, блокирование выходов В3 - В7 не происходит
(рис. 31). Блокирование эвакуационных выходов В2 - В7 по признаку превышения концентрации CO
2 не происходит
(рис. 32). Блокирование эвакуационных выходов В5 - В7 по признаку понижения концентрации O
2 не происходит
(рис. 34). Блокируется по признаку превышения концентрации HCl эвакуационный выход В7, блокирование выходов В5 и В6 не происходит
(рис. 38).
Из результатов расчета следует, что наиболее опасным фактором пожара из всех рассмотренных является потеря видимости.
Более подробная информация о времени блокирования отдельных эвакуационных выходов представлена в табл. 3.
Время блокирования tбл ОФП путей эвакуации
N выхода | Оси расположения | Время блокирования, с |
CO2 | CO | HCl | T | O2 | Потеря видимости |
1 | | Блокирован |
2 | | > 300 | 300 | > 70 | > 100 | > 100 | 70 |
3 | | > 300 | > 300 | > 80 | > 100 | > 100 | 80 |
4 | | > 300 | > 300 | > 100 | > 100 | > 100 | 100 |
5 | | > 300 | > 300 | > 300 | > 300 | > 300 | > 300 |
6 | | > 300 | > 300 | > 300 | > 300 | > 300 | > 300 |
7 | | > 300 | > 300 | 300 | > 300 | > 300 | 250 |
Рис. 22. Оптическая плотность дыма (Нп/м)
в горизонтальном сечении на высоте 1,7 м от уровня пола
в момент времени 20 с
Рис. 23. Оптическая плотность дыма (Нп/м)
в горизонтальном сечении на высоте 1,7 м от уровня пола
в момент времени 60 с
Рис. 24. Оптическая плотность дыма (Нп/м)
в горизонтальном сечении на высоте 1,7 м от уровня пола
в момент времени 70 с
Рис 25. Оптическая плотность дыма (Нп/м)
в горизонтальном сечении на высоте 1,7 м от уровня пола
в момент времени 80 с
Рис. 26. Оптическая плотность дыма (Нп/м)
в горизонтальном сечении на высоте 1,7 м от уровня пола
в момент времени 100 с
Рис. 27. Оптическая плотность дыма (Нп/м)
в горизонтальном сечении на высоте 1,7 м от уровня пола
в момент времени 250 с
Рис 28. Оптическая плотность (Нп/м)
в горизонтальном сечении на высоте 1,7 м от уровня пола
в момент времени 300 с
Рис. 29. Поля температуры (K) в горизонтальном сечении
на высоте 1,7 м от уровня пола в момент времени 100 с
Рис. 30. Поля температуры (K) в горизонтальном сечении
на высоте 1,7 м от уровня попа в момент времени 300 с
Рис. 31. Концентрация CO (кг/м
3) в горизонтальном сечении
на высоте 1,7 м от уровня пола в момент времени 300 с
Рис. 32. Концентрация CO
2 (кг/м
3) в горизонтальном сечении
на высоте 1,7 м от уровня пола в момент времени 300 с
Рис. 33. Концентрация O
2 (кг/м
3) в горизонтальном сечении
на высоте 1,7 м от уровня пола в момент времени 100 с
Рис. 34. Концентрация O
2 (кг/м
3) в горизонтальном сечении
на высоте 1,7 м от уровня пола в момент времени 300 с
Рис. 35. Концентрация HCl (кг/м
3) в горизонтальном сечении
на высоте 1,7 м от уровня пола в момент времени 70 с
Рис. 36. Концентрация HCl (кг/м
3) в горизонтальном сечении
на высоте 1,7 м от уровня пола в момент времени 80 с
Рис. 37. Концентрации HCl (кг/м
3) в горизонтальном сечении
на высоте 1,7 м от уровня пола в момент времени 100 с
Рис. 38. Концентрации HCl (кг/м
3) в горизонтальном сечении
на высоте 1,7 м от уровня пола в момент времени 300 с
Очаг пожара находится в помещении торгового зала N А.1.2, расположенном на первом этаже, на уровне пола.
Динамику данного варианта развития пожара можно проиллюстрировать следующими основными моментами:
50 с - продукты горения достигают потолка помещения очага пожара и распространяются под ним в радиальном направлении;
400 с - на отдельных участках рассматриваемой площади дым опускается ниже отм. 1,7 м от уровня пола второго этажа
(рис. 39);
700 с - на отдельных участках рассматриваемой площади дым с концентрацией, превышающей критическое значение, опускается ниже отм. 1,7 м от уровня пола
(рис. 40);
900 с - на большей части рассматриваемой площади дым опускается ниже отм. 1,7 м от уровня пола
(рис. 41);
1100 с - блокирование эвакуационных выходов В1 - В5 по признаку потери видимости не происходит
(рис. 42). Блокирование эвакуационных выходов В1 - В5 по признаку повышения температуры не происходит
(рис. 43). Блокирование эвакуационных выходов В1 - В5 по признаку превышения концентрации CO и CO
2 не происходит (
рис. 44,
45). Блокирование эвакуационных выходов В1 - В5 по признаку понижения концентрации O
2 не происходит
(рис. 46). Блокирование эвакуационных выходов В1 - В5 по признаку превышения концентрации HCl не происходит
(рис. 47).
Из результатов расчета следует, что наиболее опасным фактором пожара из всех рассмотренных является потеря видимости.
Более подробная информация о времени блокирования отдельных эвакуационных выходов представлена в табл. 4.
Время блокирования tбл ОФП путей эвакуации
N выхода | Оси расположения | Время блокирования, с |
CO2 | CO | HCl | T | O2 | Потеря видимости |
1 | | > 1100 | > 1100 | > 1100 | > 1100 | > 1100 | > 1100 |
2 | | > 1100 | > 1100 | > 1100 | > 1100 | > 1100 | > 1100 |
3 | | > 1100 | > 1100 | > 1100 | > 1100 | > 1100 | > 1100 |
4 | | > 1100 | > 1100 | > 1100 | > 1100 | > 1100 | > 1100 |
5 | | > 1100 | > 1100 | > 1100 | > 1100 | > 1100 | > 1100 |
6 | | Блокирован |
Рис. 39. Оптическая плотность дыма (Нп/м)
в горизонтальном сечении на высоте 1,7 м от уровня пола
в момент времени 400 с
Рис. 40. Оптическая плотность дыма (Нп/м)
в горизонтальном сечении на высоте 1,7 м от уровня пола
в момент времени 700 с
Рис. 41. Оптическая плотность дыма (Нп/м)
в горизонтальном сечении на высоте 1,7 м от уровня пола
в момент времени 900 с
Рис. 42. Оптическая плотность дыма (Нп/м)
в горизонтальном сечении на высоте 1,7 м от уровня пола
в момент времени 1100 с
Рис. 43. Поля температуры (K) в горизонтальном сечении
на высоте 1,7 м от уровня пола в момент времени 1100 с
Рис. 44. Концентрация CO (кг/м
3) в горизонтальном сечении
на высоте 1,7 м от уровня пола в момент времени 1100 с
Рис. 45. Концентрация CO
2 (кг/м
3) в горизонтальном сечении
на высоте 1,7 м от уровня пола в момент времени 1100 с
Рис. 46. Концентрация O
2 (кг/м
3) в горизонтальном сечении
на высоте 1,7 м от уровня пола в момент времени 1100 с
Рис. 47. Концентрация HCl (кг/м
3) в горизонтальном сечении
на высоте 1,7 м от уровня пола в момент времени 1100 с
Очаг пожара находится в помещении промтоварного магазина N Б.1.085, расположенном на первом этаже, на уровне пола.
Динамику данного варианта развития пожара можно проиллюстрировать следующими основными моментами:
40 с - продукты горения достигают потолка помещения очага пожара и распространяются под ним в радиальном направлении;
80 с - на всей площади помещения очага пожара дым опускается ниже отм. 1,7 м от уровня пола
(рис. 48);
120 с - дым через проемы в перекрытиях начинает распространяться на вышерасположенные этажи
(рис. 49);
400 с - дым с концентрацией, превышающей критическое значение, распространяется в объеме атриума
(рис. 50);
600 с - блокируется по признаку потери видимости эвакуационный выход В17
(рис. 53);
840 с - блокируется по признаку потери видимости эвакуационный выход В22
(рис. 54);
860 с - блокируется по признаку потери видимости эвакуационный выход В23
(рис. 55);
900 с - блокируются по признаку потери видимости эвакуационные выходы В16 и В21
(рис. 56);
940 с - блокируется по признаку потери видимости эвакуационный выход В24
(рис. 57);
980 с - блокируется по признаку потери видимости эвакуационный выход В19
(рис. 58);
1100 с - на отдельных участках рассматриваемой площади дым опускается ниже отм. 1,7 м от уровня пола первого этажа, блокирование эвакуационных выходов В1 - В7 по признаку потери видимости не происходит
(рис. 51). Блокируется по признаку потери видимости эвакуационный выход В10, блокирование эвакуационных выходов В8, В9, В11 - В15 не происходит
(рис. 52). Блокирование эвакуационных выходов В18 и В20 по признаку потери видимости не происходит
(рис. 59). Блокирование эвакуационных выходов В1 - В24 по признаку повышения температуры не происходит (
рис. 60 -
62). Блокирование эвакуационных выходов В1 - В5 по признаку превышения концентрации CO и CO
2 не происходит (
рис. 63 -
68). Блокирование эвакуационных выходов В1 - В24 по признаку понижения концентрации O
2 не происходит (
рис. 69 -
71). Блокирование эвакуационных выходов В1 - В24 по признаку превышения концентрации HCl не происходит (
рис. 72 -
74).
Из результатов расчета следует, что наиболее опасным фактором пожара из всех рассмотренных является потеря видимости.
Более подробная информация о времени блокирования отдельных эвакуационных выходов представлена в табл. 5.
Время блокирования tбл ОФП путей эвакуации
N выхода | Оси расположения | Время блокирования, с |
CO2 | CO | HCl | T | O2 | Потеря видимости |
|
1 | | > 1100 | > 1100 | > 1100 | > 1100 | > 1100 | > 1100 |
2 | | > 1100 | > 1100 | > 1100 | > 1100 | > 1100 | > 1100 |
3 | | > 1100 | > 1100 | > 1100 | > 1100 | > 1100 | > 1100 |
4 | | > 1100 | > 1100 | > 1100 | > 1100 | > 1100 | > 1100 |
5 | | > 1100 | > 1100 | > 1100 | > 1100 | > 1100 | > 1100 |
6 | | > 1100 | > 1100 | > 1100 | > 1100 | > 1100 | > 1100 |
7 | | > 1100 | > 1100 | > 1100 | > 1100 | > 1100 | > 1100 |
|
8 | | > 1100 | > 1100 | > 1100 | > 1100 | > 1100 | > 1100 |
9 | | > 1100 | > 1100 | > 1100 | > 1100 | > 1100 | > 1100 |
10 | | > 1100 | > 1100 | > 1100 | > 1100 | > 1100 | 1100 |
11 | | > 1100 | > 1100 | > 1100 | > 1100 | > 1100 | > 1100 |
12 | | > 1100 | > 1100 | > 1100 | > 1100 | > 1100 | > 1100 |
13 | | > 1100 | > 1100 | > 1100 | > 1100 | > 1100 | > 1100 |
14 | | > 1100 | > 1100 | > 1100 | > 1100 | > 1100 | > 1100 |
15 | | > 1100 | > 1100 | > 1100 | > 1100 | > 1100 | > 1100 |
|
16 | | > 1100 | > 1100 | > 1100 | > 1100 | > 1100 | 900 |
17 | | > 1100 | > 1100 | > 1100 | > 1100 | > 1100 | 600 |
18 | | > 1100 | > 1100 | > 1100 | > 1100 | > 1100 | > 1100 |
19 | | > 1100 | > 1100 | > 1100 | > 1100 | > 1100 | 980 |
20 | | > 1100 | > 1100 | > 1100 | > 1100 | > 1100 | > 1100 |
21 | | > 1100 | > 1100 | > 1100 | > 1100 | > 1100 | 900 |
22 | | > 1100 | > 1100 | > 1100 | > 1100 | > 1100 | 840 |
23 | | > 1100 | > 1100 | > 1100 | > 1100 | > 1100 | 860 |
24 | | > 1100 | > 1100 | > 1100 | > 1100 | > 1100 | 940 |

Рис. 48. Оптическая плотность дыма (Нп/м)
в горизонтальном сечении на высоте 1,7 м от уровня пола
первого этажа в момент времени 80 с
Рис 49. Оптическая плотность дыма (Нп/м) в вертикальном
сечении 1-1 момент времени 120 с
Рис 50. Оптическая плотность дыма (Нп/м) в вертикальном
сечении 1-1 в момент времени 400 с
Рис. 51. Оптическая плотность дыма (Нп/м)
в горизонтальном сечении на высоте 1,7 м от уровня пола
первого этажа в момент времени 1100 с
Рис. 52. Оптическая плотность дыма (Нп/м)
в горизонтальном сечении на высоте 1,7 м от уровня пола
второго этажа в момент времени 1100 с
Рис. 53. Оптическая плотность дыма (Нп/м)
в горизонтальном сечении на высоте 1,7 м от уровня пола
третьего этажа в момент времени 600 с
Рис. 54. Оптическая плотность дыма (Нп/м)
в горизонтальном сечении на высоте 1,7 м от уровня пола
третьего этажа в момент времени 840 с
Рис. 55. Оптическая плотность дыма (Нп/м)
в горизонтальном сечении на высоте 1,7 м от уровня пола
третьего этажа в момент времени 860 с
Рис. 56. Оптическая плотность дыма (Нп/м)
в горизонтальном сечении на высоте 1,7 м от уровня пола
третьего этажа в момент времени 900 с
Рис. 57. Оптическая плотность дыма (Нп/м)
в горизонтальном сечении на высоте 1,7 м от уровня пола
третьего этажа в момент времени 940 с
Рис. 58. Оптическая плотность дыма (Нп/м)
в горизонтальном сечении на высоте 1,7 м от уровня пола
третьего этажа в момент времени 980 с
Рис. 59. Оптическая плотность дыма (Нп/м)
в горизонтальном сечении на высоте 1,7 м от уровня пола
третьего этажа в момент времени 1100 с
Рис. 60. Поля температуры (K) в горизонтальном
сечении на высоте 1,7 м от уровня пола третьего этажа
в момент времени 1100 с
Рис. 61. Поля температуры (K) в горизонтальном
сечении на высоте 1,7 м от уровня пола второго этажа
в момент времени 1100 с
Рис. 62. Поля температуры (K) в горизонтальном
сечении на высоте 1,7 м от уровня пола первого этажа
в момент времени 1100 с
Рис. 63. Концентрация CO (кг/м
3) в горизонтальном
сечении на высоте 1,7 м от уровня пола первого этажа
в момент времени 1100 с
Рис. 64. Концентрация CO (кг/м3) в горизонтальном
сечении на высоте 1,7 м от уровня пола второго этажа
в момент времени 1100 с
Рис. 65. Концентрация CO (кг/м3) в горизонтальном
сечении на высоте 1,7 м от уровня пола третьего этажа
в момент времени 1100 с
Рис. 66. Концентрация CO2 (кг/м3) в горизонтальном
сечении на высоте 1,7 м от уровня пола третьего этажа
в момент времени 1100 с
Рис. 67. Концентрация CO2 (кг/м3) в горизонтальном
сечении на высоте 1,7 м от уровня пола второго этажа
в момент времени 1100 с
Рис. 68. Концентрация CO
2 (кг/м
3) в горизонтальном
сечении на высоте 1,7 м от уровня пола первого этажа
в момент времени 1100 с
Рис. 69. Концентрация O
2 (кг/м
3) в горизонтальном
сечении на высоте 1,7 м от уровня пола первого этажа
в момент времени 1100 с
Рис. 70. Концентрация O2 (кг/м3) в горизонтальном
сечении на высоте 1,7 м от уровня пола второго этажа
в момент времени 1100 с
Рис. 71. Концентрация O
2 (кг/м
3) в горизонтальном
сечении на высоте 1,7 м от уровню пола третьего этажа
в момент времени 1100 с
Рис. 72. Концентрация HCl (кг/м
3) в горизонтальном
сечении на высоте 1,7 м от уровня пола третьего этажа
в момент времени 1100 с
Рис. 73. Концентрация HCl (кг/м3) в горизонтальном
сечении на высоте 1,7 м от уровня пола второго этажа
в момент времени 1100 с
Рис. 74. Концентрация HCl (кг/м
3) в горизонтальном
сечении на высоте 1,7 м от уровня пола первого этажа
в момент времени 1100 с
Очаг пожара находится в помещении детского бара N В.3.17, расположенном на третьем этаже, на уровне пола.
Динамику данного варианта развития пожара можно проиллюстрировать следующими основными моментами:
30 с - продукты горения достигают потолка помещения очага пожара и распространяются под ним в радиальном направлении;
60 с - на отдельных участках площади помещения очага пожара дым опускается ниже отм. 1,7 м от уровня пола
(рис. 75);
150 с - на отдельных участках площади помещения очага пожара дым с концентрацией, превышающей критическое значение, опускается ниже отм. 1,7 м от уровня пола
(рис. 76);
200 с - на большей части рассматриваемой площади дым опускается ниже отм. 1,7 м от уровня пола
(рис. 77);
220 с - блокируются по признаку потери видимости эвакуационные выходы В1 и В2
(рис. 78). Блокирование эвакуационных выходов В1 и В2 по признаку повышения температуры не происходит
(рис. 79). Блокирование эвакуационных выходов В1 и В2 по признаку превышения концентрации CO и CO
2 не происходит (
рис. 80,
81). Блокирование эвакуационных выходов В1 и В2 по признаку понижения концентрации O
2 не происходит
(рис. 82). Блокирование эвакуационных выходов В1 и В2 по признаку превышения концентрации HCl не происходит
(рис. 83).
Из результатов расчета следует, что наиболее опасным фактором пожара из всех рассмотренных является потеря видимости.
Более подробная информация о времени блокирования отдельных эвакуационных выходов представлена в табл. 6.
Время блокирования tбл ОФП путей эвакуации
N выхода | Оси расположения | Время блокирования, с |
CO2 | CO | HCl | T | O2 | Потеря видимости |
1 | | > 220 | > 220 | > 220 | > 220 | > 220 | 220 |
2 | | > 220 | > 220 | > 220 | > 220 | > 220 | 220 |
Рис. 75. Оптическая плотность дыма (Нп/м)
в горизонтальном сечении на высоте 1,7 м от уровня пола
в момент времени 60 с
Рис. 76. Оптическая плотность дыма (Нп/м)
в горизонтальном сечении на высоте 1,7 м от уровня пола
в момент времени 150 с
Рис. 77. Оптическая плотность дыма (Нп/м)
в горизонтальном сечении на высоте 1,7 м от уровня пола
в момент времени 200 с
Рис. 78. Оптическая плотность дыма (Нп/м)
в горизонтальном сечении на высоте 1,7 м от уровня пола
в момент времени 220 с
Рис. 79. Поля температуры (K) в горизонтальном сечении
на высоте 1,7 м от уровня пола в момент времени 220 с
Рис. 80. Концентрация CO (кг/м
3) в горизонтальном сечении
на высоте 1,7 м от уровня пола в момент времени 220 с
Рис. 81. Концентрация CO
2 (кг/м
3) в горизонтальном сечении
на высоте 1,7 м от уровня пола в момент времени 220 с
Рис. 82. Концентрация O
2 (кг/м
3) в горизонтальном сечении
на высоте 1,7 м от уровня пола в момент времени 220 с
Рис. 83. Концентрация HCl (кг/м
3) в горизонтальном сечении
на высоте 1,7 м от уровня пола в момент времени 220 с
Очаг пожара находится в помещении кинозала на 258 посадочных мест (помещение N Б.3.017), расположенном на третьем этаже, на уровне пола.
Динамику данного варианта развития пожара можно проиллюстрировать следующими основными моментами:
80 с - продукты горения достигают потолка помещения очага пожара и распространяются под ним в радиальном направлении
(рис. 84);
130 с - под потолком помещения очага пожара формируется слой дыма с концентрацией, превышающей критическое значение
(рис. 85);
170 с - на большей части площади помещения дым опускается ниже отм. 2,9 м от уровня пола
(рис. 86);
230 с - блокируется по признаку потери видимости эвакуационный выход В1
(рис. 87). Блокирование эвакуационного выхода В1 по признаку повышения температуры не происходит
(рис. 90). Блокирование эвакуационного выхода В1 по признаку понижения концентрации O
2 не происходит
(рис. 95). Блокируется по признаку превышения концентрации HCl эвакуационный выход В1
(рис. 98);
410 с - блокируется по признаку потери видимости эвакуационный выход В3
(рис. 88). Блокирование эвакуационного выхода В3 по признаку повышения температуры не происходит
(рис. 89). Блокирование эвакуационных выходов В1 и В3 по признаку превышения концентрации CO и CO
2 не происходит (
рис. 91 -
94). Блокирование эвакуационного выхода В3 по признаку понижения концентрации O
2 не происходит
(рис. 96). Блокируется по признаку превышения концентрации HCl эвакуационный выход В3
(рис. 97).
Из результатов расчета следует, что наиболее опасными факторами пожара из всех рассмотренных являются потеря видимости и превышение концентрации HCl.
Более подробная информация о времени блокирования отдельных эвакуационных выходов представлена в табл. 7.
Время блокирования tбл ОФП путей эвакуации
N выхода | Оси расположения | Время блокирования, с |
CO2 | CO | HCl | T | O2 | Потеря видимости |
1 | | > 410 | > 410 | 230 | > 230 | > 230 | 230 |
2 | | Блокирован |
3 | | > 410 | > 410 | 410 | > 410 | > 410 | 410 |
Рис. 84. Оптическая плотность дыма (Нп/м) в вертикальном
сечении 1-1 в момент времени 80 с
Рис. 85. Оптическая плотность дыма (Нп/м) в вертикальном
сечении 1-1 в момент времени 130 с
Рис. 86. Оптическая плотность дыма (Нп/м)
в горизонтальном сечении на высоте 2,9 м от уровня пола
в момент времени 170 с
Рис. 87. Оптическая плотность дыма (Нп/м)
в горизонтальном сечении на высоте 2,9 м от уровня пола
в момент времени 230 с
Рис. 88. Оптическая плотность дыма (Нп/м)
в горизонтальном сечении на высоте 1,7 м от уровня пола
в момент времени 410 с
Рис. 89. Поля температуры (K) в горизонтальном сечении
на высоте 1,7 м от уровня пола в момент времени 410 с
Рис. 90. Поля температуры (K) в горизонтальном сечении
на высоте 2,9 м от уровня пола в момент времени 230 с
Рис. 91. Концентрация CO (кг/м
3) в горизонтальном сечении
на высоте 2,9 м от уровня пола в момент времени 410 с
Рис 92. Концентрация CO (кг/м3) в горизонтальном сечении
на высоте 1,7 м от уровня пола в момент времени 410 с
Рис. 93. Концентрация CO2 (кг/м3) в горизонтальном сечении
на высоте 1,7 м от уровня пола в момент времени 410 с
Рис. 94. Концентрация CO
2 (кг/м
3) в горизонтальном сечении
на высоте 2,9 м от уровня пола в момент времени 410 с
Рис. 95. Концентрация O
2 (кг/м
3) в горизонтальном сечении
на высоте 2,9 м от уровня пола в момент времени 230 с
Рис. 96. Концентрация O
2 (кг/м
3) в горизонтальном сечении
на высоте 1,7 м от уровня пола в момент времени 410 с
Рис. 97. Концентрация HCl (кг/м
3) в горизонтальном сечении
на высоте 1,7 м от уровня пола в момент времени 410 с
Рис. 98. Концентрация HCl (кг/м
3) в горизонтальном сечении
на высоте 1,7 м от уровня пола в момент времени 230 с
Очаг пожара находится в административном помещении N Б.4.05, расположенном на четвертом этаже, на уровне пола.
Динамику данного варианта развития пожара можно проиллюстрировать следующими основными моментами:
30 с - продукты горения достигают потолка помещения очага пожара и распространяются под ним в радиальном направлении;
60 с - на большей части площади помещения очага пожара дым опускается ниже отм. 1,7 м от уровня пола
(рис. 99);
150 с - на отдельных участках площади коридора дым опускается ниже отм. 1,7 м от уровня пола
(рис. 100);
230 с - на отдельных участках площади коридора дым с концентрацией, превышающей критическое значение, опускается ниже отм. 1,7 м от уровня пола, блокируется по признаку потери видимости эвакуационный выход В1
(рис. 101). Блокирование по признаку повышения температуры эвакуационного выхода В1 не происходит
(рис. 103). Блокирование эвакуационного выхода В1 по признаку понижения концентрации O
2 не происходит
(рис. 107);
290 с - блокируется по признаку потери видимости эвакуационный выход В2
(рис. 102). Блокирование по признаку повышения температуры эвакуационного выхода В2 не происходит
(рис. 104). Блокирование эвакуационных выходов В1 и В2 по признаку превышения концентрации CO не происходит
(рис. 105). Блокирование эвакуационных выходов В1 и В2 по признаку превышения концентрации CO
2 не происходит
(рис. 106). Блокирование эвакуационного выхода В2 по признаку понижения концентрации O
2 не происходит
(рис. 108).
Из результатов расчета следует, что наиболее опасным фактором пожара из всех рассмотренных является потеря видимости.
Более подробная информация о времени блокирования отдельных эвакуационных выходов представлена в табл. 8.
Время блокирования tбл ОФП путей эвакуации
N выхода | Оси расположения | Время блокирования, с |
CO2 | CO | HCl | T | O2 | Потеря видимости |
1 | | > 290 | > 290 | - | > 230 | > 230 | 230 |
3 | | > 290 | > 290 | - | > 290 | > 290 | 290 |
Рис. 99. Оптическая плотность дыма (Нп/м) в горизонтальном
сечении на высоте 1,7 м от уровня пола в момент времени
60 с
Рис. 100. Оптическая плотность дыма (Нп/м) в горизонтальном
сечении на высоте 1,7 м от уровня пола в момент времени
150 с
Рис. 101. Оптическая плотность дыма (Нп/м) в горизонтальном
сечении на высоте 1,7 м от уровня пола в момент времени
230 с
Рис. 102. Оптическая плотность дыма (Нп/м) в горизонтальном
сечении на высоте 1,7 м от уровня пола в момент времени
290 с
Рис. 103. Поля температуры (K) в горизонтальном сечении
на высоте 1,7 м от уровня пола в момент времени 230 с
Рис. 104. Поля температуры (K) в горизонтальном сечении
на высоте 1,7 м от уровня пола в момент времени 290 с
Рис. 105. Концентрация CO (кг/м
3) в горизонтальном сечении
на высоте 1,7 м от уровня пола в момент времени 290 с
Рис. 106. Концентрация CO
2 (кг/м
3) в горизонтальном сечении
на высоте 1,7 м от уровня пола в момент времени 290 с
Рис. 107. Концентрация O
2 (кг/м
3) в горизонтальном сечении
на высоте 1,7 м от уровня пола в момент времени 230 с
Рис. 108. Концентрация O
2 (кг/м
3) в горизонтальном сечении
на высоте 1,7 м от уровня пола в момент времени 290 с
3.1.8. Определение расчетного времени эвакуации людей
из здания
3.1.8.1. Методика расчета времени эвакуации людей
при пожаре
Расчетное время эвакуации людей определяется по математической модели индивидуально-поточного движения людей из здания, приведенной в
прил. N 3 к Методике.
Расчетное время эвакуации людей из здания устанавливается по времени выхода из него последнего человека.
Перед началом моделирования процесса эвакуации задается схема эвакуационных путей в здании. Все эвакуационные пути подразделяются на эвакуационные участки длиной a и шириной b. Длина и ширина каждого участка пути эвакуации для проектируемых зданий принимаются по проекту, а для построенных - по фактическому положению. Длина пути по лестничным маршам измеряется по длине марша. Длина пути в дверном проеме принимается равной нулю. Эвакуационные участки могут быть горизонтальные и наклонные (лестница вниз, лестница вверх и пандус).
За габариты человека в плане принимается эллипс с размерами осей 0,5 и 0,25 м. Задаются координаты каждого человека x
i - расстояние от центра эллипса до конца эвакуационного участка, на котором он находится
(рис. 109). Если разность координат некоторых людей, находящихся на эвакуационном участке, составляет менее 0,25 м, то принимается, что люди с этими координатами расположены рядом друг с другом - сбоку один от другого. При этом исходя из габаритов человека в плане и размеров эвакуационного участка (длина и ширина) для каждого эвакуационного участка определяются максимально возможное количество человек в одном ряду сбоку друг от друга и максимально возможное количество людей на участке.
Координаты каждого человека xi в начальный момент времени задаются в соответствии со схемой расстановки людей в помещениях (рабочие места, места для зрителей, спальные места и т.п.). В случае отсутствия таких данных, например, для магазинов, выставочных залов и т.п., допускается размещать людей равномерно по всей площади помещения с учетом расстановки технологического оборудования.
Рис. 109. Координатная схема размещения людей
на путях эвакуации
Координата каждого человека в момент времени t определяется по формуле

, (7)
где

- координата i-го человека в предыдущий момент времени, м; V
i(t) - скорость i-го человека в момент времени t, м/с;

- промежуток времени, с.
Скорость i-го человека V
i(t) в момент времени t определяется по
табл. 9 в зависимости от локальной плотности потока D
i(t), в котором он движется, и типа эвакуационного участка.
Локальная плотность Di(t) вычисляется по группе, состоящей из n чел., по формуле

, (8)
где n - количество людей в группе, чел.; f - средняя площадь горизонтальной проекции человека, м
2/м
2; b - ширина эвакуационного участка, м;

- разность координат последнего и первого человека в группе, м.
Если в момент времени t координата человека x
i(t), определенная по
формуле (7), станет отрицательной - это означает, что человек достиг границы текущего эвакуационного участка и должен перейти на следующий эвакуационный участок.
В этом случае координата этого человека на следующем эвакуационном участке определяется:
x
i(t) = [x
i(t - dt) - V
i(t) dt] + a
j - l
j, (9)
где xi(t - dt) - координата i-го человека в предыдущий момент времени на (j-1) эвакуационном участке, м; Vi(t) - скорость i-го человека на (j-1)-м эвакуационном участке в момент времени t, м/с; aj - длина j-го эвакуационного участка, м; lj - координата места слияния j-го и (j-1)-го эвакуационных участков - расстояние от начала j-го эвакуационного участка до места слияния его с (j-1)-м эвакуационным участком, м.
Количество людей, переходящих с одного эвакуационного участка на другой в единицу времени, определяется пропускной способностью выхода с участка Qj(t):
Qj(t) = qj(t) cj dt / (f 60), (10)
где qj(t) - интенсивность движения на выходе с j-го эвакуационного участка в момент времени t, м/мин; cj - ширина выхода с j-го эвакуационного участка, м; dt - промежуток времени, с; f - средняя площадь горизонтальной проекции человека, м2.
Интенсивность движения на выходе с j-го эвакуационного участка qj(t) в момент времени t определяется в зависимости от плотности людского потока на этом участке Dvj(t).
Плотность потока D, м2/м2 | Горизонтальный путь | Дверной проем, интенсивность q, м · мин-1 | Лестница вниз | Лестница вверх |
Скорость V, м · мин-1 | Интенсивность, q, м · мин-1 | Скорость V, м · мин-1 | Интенсивность, q, м · мин-1 | Скорость V, м · мин-1 | Интенсивность, q, м · мин-1 |
0,01 | 100 | 1 | 1 | 100 | 1 | 60 | 0,6 |
0,05 | 100 | 5 | 5 | 100 | 5 | 60 | 3 |
0,1 | 80 | 8 | 8,7 | 95 | 9,5 | 53 | 5,3 |
0,2 | 60 | 12 | 13,4 | 68 | 13,6 | 40 | 8 |
0,3 | 47 | 14,1 | 16,5 | 52 | 16,6 | 32 | 9,6 |
0,4 | 40 | 16 | 18,4 | 40 | 16 | 26 | 10,4 |
0,5 | 33 | 16,5 | 19,6 | 31 | 15,6 | 22 | 11 |
0,7 | 23 | 16,1 | 18,5 | 18 | 12,6 | 15 | 10,5 |
0,8 | 19 | 15,2 | 17,3 | 13 | 10,4 | 13 | 10,4 |
0,9 и более | 15 | 13,5 | 8,5 | 8 | 7,2 | 11 | 9,9 |
Примечание. Табличное значение интенсивности движения в дверном проеме при плотности потока 0,9 и более, равное 8,5 м · мин-1, установлено для дверного проема шириной 1,6 м и более, а при дверном проеме меньшей ширины d интенсивность движения следует определять по формуле q = 2,5 + 3,75d.
Плотность людского потока на j-м эвакуационном участке Dvj(t), м2/м2, в момент времени t определяется по формуле
Dvj(t) = (Nj f dt) / (aj bj), (11)
где Nj - число людей на j-м эвакуационном участке, чел.; f - средняя площадь горизонтальной проекции человека, м2; aj - длина j-го эвакуационного участка, м; bj - ширина j-го эвакуационного участка, м; dt - промежуток времени, с.
В момент времени t определяется количество людей m с отрицательными координатами x
i(t), определенными по
формуле (7). Если значение m

Q
j(t), то все m человек переходят на следующий эвакуационный участок и их координаты определяются в соответствии с
формулой (9). Если значение m > Q
j(t), то количество человек, равное значению Q
j(t), переходят на следующий эвакуационный участок и их координаты определяются в соответствии с
формулой (9), а количество человек, равное значению (m - Q
j(t)), не переходят на следующий эвакуационный участок (остаются на данном эвакуационном участке) и их координатам присваиваются значения x
i(t) = k 0,25 + 0,25, где k - номер ряда, в котором будут находиться люди (максимально возможное количество человек в одном ряду сбоку друг от друга для каждого эвакуационного участка определяется перед началом расчетов). Таким образом, перед выходом с эвакуационного участка возникает скопление людей.
На основании заданных начальных условий (начальных координат людей, параметров эвакуационных участков) определяются плотности людских потоков на путях эвакуации и пропускные способности выходов с эвакуационных участков. Далее, в момент времени t = t + dt, выбирается направление движения каждого человека и вычисляется новая координата каждого человека. После этого снова определяются плотности людских потоков на путях эвакуации и пропускные способности выходов. Затем вновь дается приращение по времени dt и определяются новые координаты людей с учетом наличия ОФП на путях эвакуации в этот момент времени. После этого процесс повторяется. Расчеты проводятся до тех пор, пока все люди не будут эвакуированы из здания.
3.1.8.2. Результаты расчета времени эвакуации t
p
В соответствии с вышеизложенной методикой созданы алгоритм и вычислительная программа по определению характеристик процесса эвакуации.
Время эвакуации определяется без учета времени задержки на оповещение людей о пожаре, т.е. все люди, находящиеся в здании, после получения сигнала о пожаре начинают одновременно движение к эвакуационным выходам.
Параметры путей эвакуации задавались в соответствии с проектом.
Количество людей в здании задавалось в соответствии с положениями
СП 1.13130.2009.
Рассматривается семь вариантов эвакуации людей, соответствующих ранее рассмотренным в данной работе сценариям пожара.
Вариант 1. Эвакуация из подземной автостоянки
Описание эвакуационного сценария. В данном расчетном сценарии рассматривался процесс эвакуации людей из помещений, расположенных на 1-м этаже. Расчет данного варианта проводился в соответствии с первым сценарием развития пожара. Опасные факторы пожара распространяются в рассматриваемом объеме с последующим блокированием эвакуационных выходов.
Параметры эвакуационных путей и выходов. Для эвакуации из рассматриваемой части здания предусмотрено четыре эвакуационных выхода.
Параметры эвакуационных выходов, принятые в расчете, приведены в табл. 10.
N п/п | Тип выхода | Оси расположения | Ширина выхода не менее, м |
1-й этаж |
В1 | В соседний пожарный отсек | | 0,8 |
В2 | В соседний пожарный отсек | | 0,8 |
В3 блокирован | В лестничную клетку | | 1,2 |
В4 | В лестничную клетку | | 1,2 |
Ширина лестничного марша эвакуационных лестничных клеток Лк 04; Лк 06; Лк 07; Лк 08; Лк 09; Лк 10; Лк 11; Лк 12; Лк 13 и Лк 14, ведущих из подземной автостоянки наружу, принималась 2,4 м.
Ширина лестничного марша эвакуационной лестничной клетки Лк 15, ведущей из подземной автостоянки наружу, принималась 1,4 м.
Расчетное количество людей. Количество людей принималось согласно
п. 9.4.7 СП 1.13130.2009 и всего на автостоянке составило 494 чел. (из расчета 1 чел. на машиноместо). В рассматриваемой части здания количество людей составило 60 чел.
Дополнительные условия. При проведении расчетов предполагалось, что один из выходов (выход В3) блокируется опасными факторами в первые секунды пожара. Таким образом, при расчете эвакуации из рассматриваемого помещения данный выход не учитывался.
Направление движения людей. При расчете времени движения людей из рассматриваемых помещений в описании эвакуационной схемы задавалось наиболее предпочтительное (наиболее вероятное) направление движения людей к эвакуационным выходам. Предполагалось, что при эвакуации из помещения люди движутся в сторону ближайших к ним выходов, за исключением случая, когда ближайший выход блокирован.
Особенности процесса эвакуации. При движении людей вблизи выходов продолжительные (более 6 мин) скопления людей высокой плотности не образуются.
Движение по лестничным клеткам. Во время движения людей по лестничным клеткам продолжительные (более 6 мин) скопления людей высокой плотности не образуются.
Время эвакуации людей из здания составляет 121 с.
Время эвакуации людей в выход В1 составляет 41 с.
Время эвакуации людей в выход В2 составляет 42 с.
Время эвакуации людей в выход В4 составляет 19 с.
Вариант 2. Эвакуация из подземной автостоянки
Описание эвакуационного сценария. В данном расчетном сценарии рассматривался процесс эвакуации людей из помещений, расположенных на 1-м этаже. Расчет данного варианта проводился в соответствии со вторым сценарием развития пожара. Опасные факторы пожара распространяются в рассматриваемом объеме с последующим блокированием эвакуационных выходов.
Параметры эвакуационных путей и выходов. Для эвакуации из рассматриваемой части здания предусмотрено четыре эвакуационных выхода.
Параметры эвакуационных выходов, принятые в расчете, приведены в
табл. 11.
Ширина лестничного марша эвакуационных лестничных клеток Лк 04; Лк 06; Лк 07; Лк 08; Лк 09; Лк 10; Лк 11; Лк 12; Лк 13 и Лк 14, ведущих из подземной автостоянки наружу, принималась 2,4 м.
N п/п | Тип выхода | Оси расположения | Ширина выхода не менее, м |
1-й этаж |
В1 блокирован | В лестничную клетку | | 1,2 |
В2 | В лестничную клетку | | 1,2 |
В3 | В соседний пожарный отсек | | 0,8 |
В4 | В соседний пожарный отсек | | 0,8 |
В5 | В соседний пожарный отсек | | 0,8 |
В6 | В лестничную клетку | | 1,2 |
В7 | В лестничную клетку | | 1,2 |
Ширина лестничного марша эвакуационной лестничной клетки Лк 15, ведущей из подземной автостоянки наружу, принималась 1,4 м.
Расчетное количество людей. Количество людей принималось согласно
п. 9.4.7 СП 1.13130.2009 и всего на автостоянке составило 494 чел. (из расчета 1 чел. на машиноместо). В рассматриваемой части здания количество людей составило 121 чел.
Дополнительные условия. При проведении расчетов предполагалось, что один из выходов (выход В1) блокируется опасными факторами в первые секунды пожара. Таким образом, при расчете эвакуации из рассматриваемого помещения данный выход не учитывался.
Направление движения людей. При расчете времени движения людей из рассматриваемых помещений в описании эвакуационной схемы задавалось наиболее предпочтительное (наиболее вероятное) направление движения людей к эвакуационным выходам. Предполагалось, что при эвакуации из помещения люди движутся в сторону ближайших к ним выходов, за исключением случая, когда ближайший выход блокирован.
Особенности процесса эвакуации. При движении людей вблизи выходов продолжительные (более 6 мин) скопления людей высокой плотности не образуются.
Движение по лестничным клеткам. Во время движения людей по лестничным клеткам продолжительные (более 6 мин) скопления людей высокой плотности не образуются.
Время эвакуации людей из здания составляет 121 с.
Время эвакуации людей в выход В2 составляет 29 с.
Время эвакуации людей в выход В3 составляет 27 с.
Время эвакуации людей в выход В4 составляет 44 с.
Время эвакуации людей в выход В5 составляет 33 с.
Время эвакуации людей в выход В6 составляет 18 с.
Время эвакуации людей в выход В7 составляет 34 с.
Описание эвакуационного сценария. В данном расчетном сценарии рассматривался процесс эвакуации людей из здания в случае возникновения пожара в помещении торгового зала, расположенном на 1-м этаже. Расчет данного варианта проводился в соответствии с третьим сценарием развития пожара. Опасные факторы пожара распространяются в рассматриваемом объеме с последующим блокированием эвакуационных выходов.
Параметры эвакуационных путей и выходов. Для эвакуации из рассматриваемой части здания предусмотрено шесть эвакуационных выходов.
Параметры эвакуационных выходов, принятые в расчете, приведены в табл. 12.
N п/п | Тип выхода | Оси расположения | Ширина выхода не менее, м |
1-й этаж |
В1 | Наружу | | 1,5 x 2 |
В2 | В коридор | | 2,2 |
В3 | В коридор | | 2,2 |
В4 | Наружу | | 1,5 x 2 |
В5 | Наружу | | 1,5 |
В6 блокирован | Наружу | | 1,5 |
Ширина лестничного марша эвакуационных лестничных клеток Лк 06; Лк 09; Лк 10; Лк 11; Лк 12; Лк 13 принималась 2,4 м.
Ширина лестничного марша эвакуационных лестничных клеток Лк 04; Лк 07; Лк 08 и Лк 14 принималась 3 м.
Ширина лестничного марша эвакуационных лестничных клеток Лк 01; Лк 02; Лк 03; Лк 05; Лк 16; Лк 17; Лк 18 и Лк 19 принималась 1,6 м.
Все лестничные клетки имеют выход непосредственно наружу, ширина выхода принималась равной ширине лестничного марша.
Расчетное количество людей. Количество людей принималось согласно
п. 7.2.5 СП 1.13130.2009 и всего в здании с 1 по 4 этаж составило 19 890 чел. В рассматриваемой части здания количество людей составило 2330 чел.
Дополнительные условия. При проведении расчетов предполагалось, что один из выходов (выход В6) блокируется опасными факторами в первые секунды пожара. Таким образом, при расчете эвакуации из рассматриваемого помещения данный выход не учитывался.
По проекту пожаробезопасные зоны для маломобильных групп населения (МГН) располагаются в блоке Б на 2-м и 3-м этаже. Согласно техническому заданию на проектирование на 2-м этаже может находиться 45 чел., на 3-м этаже 32 чел., относящихся к МГН, всего на двух этажах 77 чел., из них 4 чел. относятся к группе мобильности М4.
Расстояние от наиболее удаленной точки в помещении с пребыванием МГН до эвакуационных выходов, предусмотренных для МГН (в зону безопасности и (или) наружу из здания), составляет не более 60 м. Выходы наружу и в зоны безопасности приспособлены для людей группы мобильности М4 (ширина дверного проема, пандус и т.д.). Принималось, что:
- на 2-м этаже здания находится не более 2 чел., относящихся к маломобильной группе населения М4;
- на 3-м этаже здания находится не более 2-х чел., относящихся к маломобильной группе населения М4.
Время эвакуации людей, относящихся к МГН, в зоны безопасности при данных условиях составляет:
- на 2-м этаже - 51 с;
- на 3-м этаже - 163 с.
Направление движения людей. При расчете времени движения людей из рассматриваемых помещений в описании эвакуационной схемы задавалось наиболее предпочтительное (наиболее вероятное) направление движения людей к эвакуационным выходам. Предполагалось, что при эвакуации из помещения люди движутся в сторону ближайших к ним выходов, за исключением случая, когда ближайший выход блокирован.
Особенности процесса эвакуации. При движении людей вблизи выходов продолжительные (более 6 мин) скопления людей высокой плотности не образуются.
Движение по лестничным клеткам. Во время движения людей по лестничным клеткам продолжительные (более 6 мин) скопления людей высокой плотности не образуются.
Время эвакуации людей из здания составляет 498 с.
Время эвакуации людей в выход В1 составляет 211 с.
Время эвакуации людей в выход В2 составляет 102 с.
Время эвакуации людей в выход В3 составляет 105 с.
Время эвакуации людей в выход В4 составляет 142 с.
Время эвакуации людей в выход В5 составляет 425 с.
Вариант 4. Эвакуация с 1 по 4 этаж
Описание эвакуационного сценария. В данном расчетном сценарии рассматривался процесс эвакуации людей из атриума. Расчет данного варианта проводился в соответствии с четвертым сценарием развития пожара. Опасные факторы пожара распространяются в помещении очага пожара, далее начинается распространение опасных факторов пожара в коридоре (атриуме) с последующим блокированием эвакуационных выходов.
Параметры эвакуационных путей и выходов. Для эвакуации из рассматриваемой части здания предусмотрено двадцать четыре эвакуационных выхода.
Параметры эвакуационных выходов, принятые в расчете, приведены в
табл. 13.
Ширина лестничного марша эвакуационных лестничных клеток Лк 06; Лк 09; Лк 10; Лк 11; Лк 12; Лк 13 принималась 2,4 м.
Ширина лестничного марша эвакуационных лестничных клеток Лк 04; Лк 07; Лк 08 и Лк 14 принималась 3 м.
N п/п | Тип выхода | Оси расположения | Ширина выхода не менее, м |
|
В1 | Наружу | | 2,2 |
В2 | В коридор безопасности | | 2,2 |
В3 | В коридор безопасности | | 2,2 |
В4 | В коридор безопасности | | 2,2 |
В5 | В коридор безопасности | | 2,2 |
В6 | Наружу | | 2,2 |
В7 | Наружу | | 1,2 x 2 |
|
В8 | В коридор безопасности | | 2,2 |
В9 | В коридор безопасности | | 2,2 |
В10 | В коридор безопасности | | 2,2 |
В11 | В коридор безопасности | | 2,2 |
В12 | В коридор безопасности | | 2,2 |
В13 | В коридор безопасности | | 2,2 |
В14 | В коридор безопасности | | 2,2 |
В15 | В коридор безопасности | | 2,2 |
|
В16 | В коридор безопасности | | 2,2 |
В17 | В коридор безопасности | | 2,2 |
В18 | В коридор безопасности | | 1,7 |
В19 | В коридор безопасности | | 2,2 |
В20 | В коридор безопасности | | 1,7 |
В21 | В коридор безопасности | | 2,2 |
В22 | В коридор безопасности | | 2,2 |
В23 | В коридор безопасности | | 2,2 |
В24 | В коридор безопасности | | 2,2 |
Ширина лестничного марша эвакуационных лестничных клеток Лк 01; Лк 02; Лк 03; Лк 05; Лк 16; Лк 17; Лк 18 и Лк 19 принималась 1,6 м.
Все лестничные клетки имеют выход непосредственно наружу, ширина выхода принималась равной ширине лестничного марша.
Расчетное количество людей. Количество людей принималось согласно
п. 7.2.5 СП 1.13130.2009 и всего в здании с 1 по 4 этаж составило 19 890 чел.
Дополнительные условия. По проекту пожаробезопасные зоны для маломобильных групп населения (МГН) располагаются в блоке Б на 2-м и 3-м этаже. На 2-м этаже может находиться 45 чел., а на 3-м этаже 32 чел., относящихся к МГН, всего на двух этажах 77 чел., из них 4 чел. относятся к группе мобильности М4.
Расстояние от наиболее удаленной точки в помещении с пребыванием МГН до эвакуационных выходов, предусмотренных для МГН (в зону безопасности и (или) наружу из здания), составляет не более 60 м. Выходы наружу и в зоны безопасности приспособлены для людей группы мобильности М4 (ширина дверного проема, пандус и т.д.). Принималось, что:
- на 2-м этаже здания находится не более 2 чел., относящихся к МГН группы мобильности М4;
- на 3-м этаже здания находится не более 2 чел., относящихся к МГН группы мобильности М4.
Время эвакуации людей, относящихся к группе мобильности М4, в зоны безопасности при данных условиях составляет:
- на 2-м этаже - 151 с;
- на 3-м этаже - 163 с.
Направление движения людей. При расчете времени движения людей из рассматриваемых помещений в описании эвакуационной схемы задавалось наиболее предпочтительное (наиболее вероятное) направление движения людей к эвакуационным выходам. Предполагалось, что при эвакуации из помещения люди движутся в сторону ближайших к ним выходов, за исключением случая, когда ближайший выход блокирован.
Особенности процесса эвакуации. При движении людей вблизи выходов продолжительные (более 6 мин) скопления людей высокой плотности не образуются.
Движение по лестничным клеткам. Во время движения людей по лестничным клеткам продолжительные (более 6 мин) скопления людей высокой плотности не образуются.
Время эвакуации людей из здания составляет 498 с.
Время эвакуации людей в выход В1 составляет 118 с.
Время эвакуации людей в выход В2 составляет 252 с.
Время эвакуации людей в выход В3 составляет 254 с.
Время эвакуации людей в выход В4 составляет 219 с.
Время эвакуации людей в выход В5 составляет 259 с.
Время эвакуации людей в выход В6 составляет 273 с.
Время эвакуации людей в выход В7 составляет 272 с.
Время эвакуации людей в выход В8 составляет 133 с.
Время эвакуации людей в выход В9 составляет 318 с.
Время эвакуации людей в выход В10 составляет 305 с.
Время эвакуации людей в выход В11 составляет 73 с.
Время эвакуации людей в выход В12 составляет 97 с.
Время эвакуации людей в выход В13 составляет 78 с.
Время эвакуации людей в выход В14 составляет 187 с.
Время эвакуации людей в выход В15 составляет 88 с.
Время эвакуации людей в выход В16 составляет 93 с.
Время эвакуации людей в выход В17 составляет 116 с.
Время эвакуации людей в выход В18 составляет 160 с.
Время эвакуации людей в выход В19 составляет 87 с.
Время эвакуации людей в выход В20 составляет 75 с.
Время эвакуации людей в выход В21 составляет 202 с.
Время эвакуации людей в выход В22 составляет 92 с.
Время эвакуации людей в выход В23 составляет 94 с.
Время эвакуации людей в выход В24 составляет 202 с.
Вариант 5. Эвакуация с 1 по 4 этаж
Описание эвакуационного сценария. В данном расчетном сценарии рассматривался процесс эвакуации людей из здания в случае возникновения пожара в помещениях, расположенных на 3-м этаже. Расчет данного варианта проводился в соответствии с пятым сценарием развития пожара. Опасные факторы пожара распространяются в помещении очага пожара, далее начинается распространение опасных факторов пожара в коридоре с последующим блокированием эвакуационных выходов.
Параметры эвакуационных путей и выходов. Для эвакуации из рассматриваемой части здания предусмотрено два эвакуационных выхода.
Параметры эвакуационных выходов, принятые в расчете, приведены в табл. 14.
N п/п | Тип выхода | Оси расположения | Ширина выхода не менее, м |
3-й этаж |
В1 | В коридор | | 1,4 |
В2 | В коридор | | 0,8 |
Ширина лестничного марша эвакуационных лестничных клеток Лк 06; Лк 09; Лк 10; Лк 11; Лк 12; Лк 13 принималась 2,4 м.
Ширина лестничного марша эвакуационных лестничных клеток Лк 04; Лк 07; Лк 08 и Лк 14 принималась 3 м.
Ширина лестничного марша эвакуационных лестничных клеток Лк 01; Лк 02; Лк 03; Лк 05; Лк 16; Лк 17; Лк 18 и Лк 19 принималась 1,6 м.
Все лестничные клетки имеют выход непосредственно наружу, ширина выхода принималась равной ширине лестничного марша.
Расчетное количество людей. Количество людей принималось согласно
п. 7.2.5 СП 1.13130.2009 и всего в здании с 1 по 4 этаж составило 19 890 чел. В рассматриваемой части здания количество людей составило 70 чел.
Направление движения людей. При расчете времени движения людей из рассматриваемых помещений в описании эвакуационной схемы задавалось наиболее предпочтительное (наиболее вероятное) направление движения людей к эвакуационным выходам. Предполагалось, что при эвакуации из помещения люди движутся в сторону ближайших к ним выходов, за исключением случая, когда ближайший выход блокирован.
Особенности процесса эвакуации. При движении людей вблизи выходов продолжительные (более 6 мин) скопления людей высокой плотности не образуются.
Движение по лестничным клеткам. Во время движения людей по лестничным клеткам продолжительные (более 6 мин) скопления людей высокой плотности не образуются.
Время эвакуации людей из здания составляет 498 с.
Время эвакуации людей в выход В1 составляет 53 с.
Время эвакуации людей в выход В2 составляет 15 с.
Вариант 6. Эвакуация с 1 по 4 этаж
Описание эвакуационного сценария. В данном расчетном сценарии рассматривался процесс эвакуации людей из здания в случае возникновения пожара в кинозале на 258 посадочных мест, расположенном на 3-м этаже. Расчет данного варианта проводился в соответствии с шестым сценарием развития пожара. Опасные факторы пожара распространяются в рассматриваемом объеме с последующим блокированием эвакуационных выходов.
Параметры эвакуационных путей и выходов. Для эвакуации из рассматриваемой части здания предусмотрено три эвакуационных выхода.
Параметры эвакуационных выходов, принятые в расчете, приведены в табл. 15.
N п/п | Тип выхода | Оси расположения | Ширина выхода не менее, м |
Кинозал на 258 посадочных мест |
В1 | В коридор безопасности | | 1,4 |
В2 блокирован | В коридор безопасности | | 1,4 |
В3 | В вестибюль | | 1,4 |
Ширина лестничного марша эвакуационных лестничных клеток Лк 06; Лк 09; Лк 10; Лк 11; Лк 12; Лк 13 принималась 2,4 м.
Ширина лестничного марша эвакуационных лестничных клеток Лк 04; Лк 07; Лк 08 и Лк 14 принималась 3 м.
Ширина лестничного марша эвакуационных лестничных клеток Лк 01; Лк 02; Лк 03; Лк 05; Лк 16; Лк 17; Лк 18 и Лк 19 принималась 1,6 м.
Все лестничные клетки имеют выход непосредственно наружу, ширина выхода принималась равной ширине лестничного марша.
Расчетное количество людей. Количество людей принималось согласно
п. 7.2.5 СП 1.13130.2009 и всего в здании с 1 по 4 этаж составило 19 890 чел. В рассматриваемом кинозале количество людей составило 258 чел.
Дополнительные условия. При проведении расчетов предполагалось, что один из выходов (выход В2) блокируется опасными факторами в первые секунды пожара. Таким образом, при расчете эвакуации из рассматриваемого помещения данный выход не учитывался.
Направление движения людей. При расчете времени движения людей из рассматриваемых помещений в описании эвакуационной схемы задавалось наиболее предпочтительное (наиболее вероятное) направление движения людей к эвакуационным выходам. Предполагалось, что при эвакуации из помещения люди движутся в сторону ближайших к ним выходов, за исключением случая, когда ближайший выход блокирован.
Особенности процесса эвакуации. При движении людей вблизи выходов продолжительные (более 6 мин) скопления людей высокой плотности не образуются.
Движение по лестничным клеткам. Во время движения людей по лестничным клеткам продолжительные (более 6 мин) скопления людей высокой плотности не образуются.
Время эвакуации людей из здания составляет 498 с.
Время эвакуации людей в выход В1 составляет 78 с.
Время эвакуации людей в выход В3 составляет 64 с.
Описание эвакуационного сценария. В данном расчетном сценарии рассматривался процесс эвакуации людей из здания в случае возникновения пожара в блоке административных помещений, расположенных на 4-м этаже здания. Расчет данного варианта проводился в соответствии с седьмым сценарием развития пожара. Опасные факторы пожара распространяются в помещении очага пожара, далее начинается распространение опасных факторов пожара в коридоре с последующим блокированием эвакуационных выходов.
Параметры эвакуационных путей и выходов. Для эвакуации из рассматриваемой части здания предусмотрено два эвакуационных выхода.
Параметры эвакуационных выходов, принятые в расчете, приведены в табл. 16.
N п/п | Тип выхода | Оси расположения | Ширина выхода не менее, м |
4-й этаж |
В1 | В тамбур | | 1,5 |
В2 | В коридор | | 1,5 |
Ширина лестничного марша эвакуационных лестничных клеток Лк 06; Лк 09; Лк 10; Лк 11; Лк 12; Лк 13 принималась 2,4 м.
Ширина лестничного марша эвакуационных лестничных клеток Лк 04; Лк 07; Лк 08 и Лк 14 принималась 3 м.
Ширина лестничного марша эвакуационных лестничных клеток Лк 01; Лк 02; Лк 03; Лк 05; Лк 16; Лк 17; Лк 18 и Лк 19 принималась 1,6 м.
Все лестничные клетки имеют выход непосредственно наружу, ширина выхода принималась равной ширине лестничного марша.
Расчетное количество людей. Количество людей принималось согласно
п. 7.2.5 СП 1.13130.2009 и всего в здании с 1 по 4 этаж составило 19 890 чел. В рассматриваемой части здания количество людей составило 128 чел.
Направление движения людей. При расчете времени движения людей из рассматриваемых помещений в описании эвакуационной схемы задавалось наиболее предпочтительное (наиболее вероятное) направление движения людей к эвакуационным выходам. Предполагалось, что при эвакуации из помещения люди движутся в сторону ближайших к ним выходов, за исключением случая, когда ближайший выход блокирован.
Особенности процесса эвакуации. При движении людей вблизи выходов продолжительные (более 6 мин) скопления людей высокой плотности не образуются.
Движение по лестничным клеткам. Во время движения людей по лестничным клеткам продолжительные (более 6 мин) скопления людей высокой плотности не образуются.
Время эвакуации людей из здания составляет 498 с.
Время эвакуации людей в выход В1 составляет 11 с.
Время эвакуации людей в выход В2 составляет 72 с.
Характеристики процесса эвакуации представлены на рис. 110 - 124.
Анализ результатов расчетов показывает, что на путях эвакуации не возникают продолжительные скопления (более 6 мин) людей с критическими плотностями людских потоков, и эвакуация людей осуществляется до момента блокирования эвакуационных выходов опасными факторами пожара. Время эвакуации людей из здания определяется в основном пропускной способностью путей эвакуации, в частности, шириной выходов в лестничные клетки и шириной маршей лестничных клеток.
3.1.8.3. Оценка последствий воздействия опасных факторов
пожара на людей для различных сценариев его развития
Вероятность эвакуации людей из здания при пожаре P
э рассчитывают по
формуле (3) Методики. В табл. 17 приведены значения параметров, необходимых для расчета P, для различных частей здания. Во
2-м столбце табл. 17 приведено время блокирования соответствующего выхода или помещения в случае пожара t
бл (согласно
Методике, критическое время по каждому из опасных факторов пожара определяется как время достижения этим фактором предельно допустимого значения на путях эвакуации), в
3-м столбце - необходимое время эвакуации людей 0,8t
бл, в
4-м столбце - расчетное время эвакуации людей из соответствующей зоны t
р. В
5-м столбце приведено время начала эвакуации t
нэ, определенное в соответствии с
п. 1 прил. N 5 к Методике. В
6-м столбце приведено максимальное время существования скоплений людей на различных эвакуационных участках t
ск, определенное на основе
п. 3.1.8 и рис. 110 - 124. В
7-м столбце приведено рассчитанное значение вероятности эвакуации людей из здания P
э.
Определение вероятности эвакуации людей из здания
Пути эвакуации | tбл, с | 0,8tбл, с | tр, с | tнэ, с | tск, с | Pэ |
1 | | | | | | |
Вариант 1 | 100 | 80 | 42 | 29 | < 360 | 0,999 |
Вариант 2 | 100 | 80 | 44 | 25 | < 360 | 0,999 |
Вариант 3 | 1100 | 880 | 425 | 84 | < 360 | 0,999 |
Вариант 4 | 1100 | 880 | 318 | 60 | < 360 | 0,999 |
Вариант 5 | 220 | 176 | 53 | 60 | < 360 | 0,999 |
Вариант 6 | 230 | 184 | 78 | 9 | < 360 | 0,999 |
Вариант 7 | 230 | 184 | 72 | 60 | < 360 | 0,999 |
3.1.9. Определение величины индивидуального пожарного риска
Очаг пожара находится в помещении автостоянки (помещение N Б.-1.07), расположенном в подвальном этаже.
Расчетная величина индивидуального пожарного риска Q
в1 для 1-го сценария пожара рассчитывается по
формуле (2).
Частота возникновения пожара в здании составляет 4 · 10-2.
Коэффициент, учитывающий соответствие установок автоматического пожаротушения требованиям нормативных документов по пожарной безопасности срабатывания установок автоматического пожаротушения, согласно
п. 8 Методики составляет K
ап1 = 0,9.
Вероятность присутствия людей в здании определяется на основе времени нахождения людей в здании в течение суток и составляет 12 ч. Следовательно, Pпр1 = 0,5.
Значение вероятности эвакуации людей P
э1 = 0,999
(табл. 17).
Коэффициент, учитывающий соответствие системы противопожарной защиты, направленной на обеспечение безопасной эвакуации людей при пожаре, требованиям нормативных документов по пожарной безопасности, определяется по
формуле (4) Методики. При этом согласно
пп. 22,
25 и
26 Методики K
обн = 0,8; K
СОУЭ = 0,8; K
ПДЗ = 0,8. Следовательно, K
п.з1 = 0,8704.
Подставляя полученные значения в
формулу (2) Методики, получаем Q
в1 = 0,259 · 10
-6.
Пожар возникает в помещении автостоянки (помещение N Б.-1.01), расположенном в подвальном этаже.
Расчетная величина индивидуального пожарного риска Q
в2 для 2-го сценария пожара рассчитывается по
формуле (2).
Частота возникновения пожара в здании составляет 4 · 10-2.
Коэффициент, учитывающий соответствие установок автоматического пожаротушения требованиям нормативных документов по пожарной безопасности срабатывания установок автоматического пожаротушения, согласно
п. 8 Методики составляет K
ап2 = 0,9.
Вероятность присутствия людей в здании определяется на основе времени нахождения людей в здании в течение суток и составляет 12 ч. Следовательно, Pпр2 = 0,5.
Значение вероятности эвакуации людей P
э2 = 0,999
(табл. 17).
Коэффициент, учитывающий соответствие системы противопожарной защиты, направленной на обеспечение безопасной эвакуации людей при пожаре, требованиям нормативных документов по пожарной безопасности, определяется по
формуле (4) Методики. При этом согласно
пп. 22,
25 и
26 Методики K
обн = 0,8; K
СОУЭ = 0,8; K
ПДЗ = 0,8. Следовательно, K
п.з2 = 0,8704.
Подставляя полученные значения в
формулу (2) Методики, получаем Q
в2 = 0,259 · 10
-6.
Пожар возникает в помещении торгового зала N А.1.2, расположенном на нервом этаже.
Расчетная величина индивидуального пожарного риска Q
в3 для 3-го сценария пожара рассчитывается по
формуле (2).
Частота возникновения пожара в здании Q
в3 определяется на основании статистических данных по
прил. N 1 к Методике и для предприятий розничной торговли составляет 2,03 · 10
-2.
Коэффициент, учитывающий соответствие установок автоматического пожаротушения требованиям нормативных документов по пожарной безопасности, Kап3 = 0,9.
Вероятность присутствия людей в здании определяется на основе времени нахождения людей в здании в течение суток и составляет 12 ч. Следовательно, Pпр3 = 0,5.
Значение вероятности эвакуации людей P
э3 = 0,999
(табл. 17).
Коэффициент, учитывающий соответствие системы противопожарной защиты K
п.зi, направленной на обеспечение безопасной эвакуации людей при пожаре, требованиям нормативных документов по пожарной безопасности, определяется по
формуле (4). При этом K
обн = 0,8; K
СОУЭ = 0,8; K
ПДЗ = 0,8. Следовательно, K
п.з3 = 0,8704.
Подставляя полученные значения в
формулу (2), получаем Q
в3 = 0,132 · 10
-6.
Пожар возникает в помещении промтоварного магазина N Б.1.085, расположенном на первом этаже.
Расчетная величина индивидуального пожарного риска Q
в4 для 4-го сценария пожара рассчитывается по
формуле (2).
Частота возникновения пожара в здании Q
п4 определяется на основании статистических данных по
прил. N 1 к Методике и для предприятий розничной торговли составляет 2,03 · 10
-2.
Коэффициент, учитывающий соответствие установок автоматического пожаротушения требованиям нормативных документов по пожарной безопасности, Kап4 = 0,9.
Вероятность присутствия людей в здании определяется на основе времени нахождения людей в здании в течение суток и составляет 12 ч. Следовательно, Pпр4 = 0,5.
Значение вероятности эвакуации людей P
э4 = 0,999
(табл. 17).
Коэффициент, учитывающий соответствие системы противопожарной защиты K
п.зi, направленной на обеспечение безопасной эвакуации людей при пожаре, требованиям нормативных документов по пожарной безопасности, определяется по
формуле (4). При этом K
обн = 0,8; K
СОУЭ = 0,8; K
ПДЗ = 0,8. Следовательно, K
п.з4 = 0,8704.
Подставляя полученные значения в
формулу (2), получаем Q
в4 = 0,132 · 10
-6.
Пожар возникает в помещении детского бара N В.3.17, расположенном на третьем этаже.
Расчетная величина индивидуального пожарного риска Q
в5 для 5-го сценария пожара рассчитывается по
формуле (2).
Частота возникновения пожара в здании Q
в5 определяется на основании статистических данных по
прил. N 1 к Методике и для предприятий по обслуживанию населения составляет 4 · 10
-2.
Коэффициент, учитывающий соответствие установок автоматического пожаротушения требованиям нормативных документов по пожарной безопасности, Kап5 = 0,9.
Вероятность присутствия людей в здании определяется на основе времени нахождения людей в здании в течение суток и составляет 12 ч. Следовательно, Pпр5 = 0,5.
Значение вероятности эвакуации людей P
э5 = 0,999
(табл. 17).
Коэффициент, учитывающий соответствие системы противопожарной защиты K
п.зi, направленной на обеспечение безопасной эвакуации людей при пожаре, требованиям нормативных документов по пожарной безопасности, определяется по
формуле (4). При этом K
обн = 0,8; K
СОУЭ = 0,8; K
ПДЗ = 0,8. Следовательно, K
п.з5 = 0,8704.
Подставляя полученные значения в
формулу (2), получаем Q
в5 = 0,259 · 10
-6.
Пожар возникает в помещении кинозала на 258 посадочных мест (помещение N Б.3.017), расположенном на третьем этаже.
Расчетная величина индивидуального пожарного риска Q
в6 для 6-го сценария пожара рассчитывается по
формуле (2).
Частота возникновения пожара в здании Q
п6 определяется на основании статистических данных по
прил. N 1 к Методике и для кинозала составляет 6,9 · 10
-3.
Коэффициент, учитывающий соответствие установок автоматического пожаротушения требованиям нормативных документов по пожарной безопасности, Kап6 = 0,9.
Вероятность присутствия людей в здании определяется на основе времени нахождения людей в здании в течение суток и составляет 12 ч. Следовательно, Pпр6 = 0,5.
Значение вероятности эвакуации людей P
э6 = 0,999
(табл. 17).
Коэффициент, учитывающий соответствие системы противопожарной защиты K
п.зi, направленной на обеспечение безопасной эвакуации людей при пожаре, требованиям нормативных документов по пожарной безопасности, определяется по
формуле (4). При этом K
обн = 0,8; K
СОУЭ = 0,8; K
ПДЗ = 0,8. Следовательно, K
п.з6 = 0,8704.
Подставляя полученные значения в
формулу (2), получаем Q
в6 = 0,0447 · 10
-6.
Пожар возникает в административном помещении N Б.4.05, расположенном на четвертом этаже.
Расчетная величина индивидуального пожарного риска Q
в7 для 7-го сценария пожара рассчитывается по
формуле (2).
Частота возникновения пожара в здании Q
п7 определяется на основании статистических данных по
прил. N 1 к Методике и для офисов составляет 4 · 10
-2.
Коэффициент, учитывающий соответствие установок автоматического пожаротушения требованиям нормативных документов по пожарной безопасности, Kап7 = 0,9.
Вероятность присутствия людей в здании определяется на основе времени нахождения людей в здании в течение суток и составляет 12 ч. Следовательно, Pпр7 = 0,5.
Значение вероятности эвакуации людей P
э7 = 0,999
(табл. 17).
Коэффициент, учитывающий соответствие системы противопожарной защиты K
п.зi, направленной на обеспечение безопасной эвакуации людей при пожаре, требованиям нормативных документов по пожарной безопасности, определяется по
формуле (4). При этом K
обн = 0,8; K
СОУЭ = 0,8; K
ПДЗ = 0,8. Следовательно, K
п.з7 = 0,8704.
Подставляя полученные значения в
формулу (2), получаем Q
в7 = 0,259 · 10
-6.
Расчетная величина пожарного риска в здании, сооружении или строении определяется как максимальное значение пожарного риска из рассмотренных сценариев пожара:
Qв = max{Qв1,..., Qвi,..., Qвn}.
Таким образом, Q
в = Q
в1 = Q
в2 = Q
в5 = Q
в7 = 0,259 · 10
-6 <

= 10
-6 и
соотношение (1) выполняется.
Следовательно, расчетное значение индивидуального пожарного риска не превышает нормативное и пожарный риск не превышает допустимое значение (безопасность людей обеспечивается).
На основании проведенных расчетов установлено, что пожарный риск для рассматриваемого здания не превышает допустимого значения, установленного Федеральным
законом от 22 июля 2008 г. N 123-ФЗ "Технический регламент о требованиях пожарной безопасности".
Вывод справедлив для исходных данных, представленных в расчете (объемно-планировочные и архитектурные решения, количество людей и т.д.). При изменении исходных данных расчет пожарного риска должен быть проведен повторно.
Исполнитель 1
Исполнитель 2
Исполнитель 3
3.2. Пример расчета для здания класса функциональной
пожарной опасности Ф1.2
3.2.1. Анализ пожарной опасности объекта
Объектом капитального строительства является "Здание гостиницы с автостоянкой".
Здание представляет собой единый объем в форме многоугольника с открытым внутренним двором. Здание переменной этажности 4 - 6 этажей с двумя подземными этажами на отм. минус 4,100 и минус 7,700. Здание состоит из 5 секций, каждая из которых имеет две эвакуационные лестничные клетки.
Высота здания от уровня проезда для пожарных автомобилей до открывающегося проема (окна) шестого этажа составляет около 22,200 м, до парапета кровли - 25,300 м. Кровля плоская, неэксплуатируемая.
Для въезда во внутренний двор запроектирована арка шириной не менее 3,5 м и высотой не менее 4,5 м.
Конструкция здания представляет собой связевой железобетонный каркас. Вертикальные несущие конструкции представлены пилонами, колоннами и стенами. Конструкция здания имеет также ядра жесткости. В качестве ядер жесткости используются лестничные клепки и лифтовые блоки.
На первом и втором подземных этажах запроектирована автостоянка с манежным хранением автомобилей, работающих на бензине или дизельном топливе. Для въезда (выезда) автомобилей предусмотрены две изолированные рампы. На первом подземном этаже также располагаются технические, служебные, подсобные помещения комплекса (трансформаторная подстанция с сухими трансформаторами, ИТП, ГРЩ, венткамеры, насосная, мастерские электриков, сантехников, раздевалки и др.).
На первом этаже запроектированы входные вестибюли, нежилые помещения непроизводственного назначения, кладовые уборочного инвентаря, помещения службы безопасности, помещения администрации, диспетчерская, кафе, помещения ТП и РП. На 2 - 6 этажах расположены гостиничные номера.
Классы функциональной пожарной опасности помещений, входящих в состав здания:
- Ф1.2 - гостиничные номера;
- Ф4.3 - офисные помещения;
- Ф3.2 - помещения кафе;
- Ф5.1 - технические помещения;
- Ф5.2 - автостоянка без технического обслуживания и ремонта автомобилей.
На проектируемом объекте предусматриваются мероприятия по созданию безбарьерной среды для маломобильных групп населения (МГН). В соответствии с заданием на проектирование доступ инвалидов в здание предусмотрен:
- на первый подземный этаж автостоянки;
- во входные группы апартаментов и кафе на первом этаже;
- в апартаменты на втором этаже (6 апартаментов).
Полученные расчетные значения относятся только к рассматриваемому объекту и не могут быть перенесены на другие подобные объекты. Результаты расчетов подлежат корректировке при любых изменениях объемнопланировочных и конструктивных решений рассматриваемого объекта.
3.2.2. Определение частоты реализации
пожароопасных ситуаций
Согласно
прил. N 1 к
п. 8 Методики для рассматриваемого здания частота возникновения пожара в течение года составляет: 4,0 · 10
-2 - для подземной автостоянки и блока административных помещений; 2,81 · 10
-2 - для гостиничной части здания.
3.2.3. Экспертный выбор сценариев пожара
Пожар возникает в помещении подземной автостоянки (пожарный отсек N 1), расположенном на втором подземном уровне, на уровне пола
(рис. 125). Месторасположение очага пожара определяет блокирование эвакуационного выхода В1 и способствует быстрому распространению ОФП с последующим блокированием эвакуационных выходов В2 и В3.
Рис. 125. Расчетная схема первого сценария развития пожара
(горизонтальное сечение на высоте 1,7 м от уровня пола):
В1 - В3 эвакуационные выходы
При проведении расчетов рассматривалось помещение очага пожара. Все двери считались закрытыми. От первичного очага пламя распространяется на автомобиль. По мере развития пожара пламя переносится на соседний легковой автомобиль.
Пожар возникает в помещении подземной автостоянки (пожарный отсек N 1), расположенном на первом подземном уровне, на уровне пола
(рис. 126). Месторасположение очага пожара определяет блокирование эвакуационного выхода В2 и способствует быстрому распространению ОФП с последующим блокированием эвакуационных выходов В1, В3 и В4, а также входов в зоны безопасности МГН ВБ1 - ВБ3.
Рис. 126. Расчетная схема второго сценария развития
пожара (горизонтальное сечение на высоте 1,7 м от уровня
пола): В1 - В4 эвакуационные выходы; ВБ1 - ВБ3 - вход
в зоны безопасности МГН
При проведении расчетов рассматривалось помещение очага пожара. Все двери считались закрытыми. От первичного очага пламя распространяется на автомобиль. По мере развития пожара пламя переносится на соседний легковой автомобиль.
Пожар возникает в помещении, расположенном на втором этаже, на уровне пола
(рис. 127). Месторасположение очага пожара способствует быстрому распространению ОФП с последующим блокированием эвакуационных выходов В1, В2 и входа в зону безопасности МГН ВБ.
Рис. 127. Расчетная схема третьего сценария развития
пожара (горизонтальное сечение на высоте 1,7 м от уровня
пола): В1, В2 - эвакуационные выходы; ВБ вход в зону
безопасности МГН
При проведении расчетов рассматривалось помещение очага пожара и примыкающий поэтажный коридор. Все двери, за исключением помещения очага пожара, считались закрытыми. От первичного очага пламя распространяется по расположенным в непосредственной близости горючим материалам.
Пожар возникает в помещении, расположенном на третьем этаже, на уровне пола
(рис. 128). Месторасположение очага пожара способствует быстрому распространению ОФП с последующим блокированием эвакуационных выходов В1 и В2.
Рис. 128. Расчетная схема четвертого сценария
развития пожара (горизонтальное сечение на высоте 1,7 м
от уровня пола): В1, В2 - эвакуационные выходы
При проведении расчетов рассматривалось помещение очага пожара и примыкающий поэтажный коридор. Все двери, за исключением помещения очага пожара, считались закрытыми. От первичного очага пламя распространяется по расположенным в непосредственной близости горючим материалам.
При проведении расчетов по распространению опасных факторов пожара учитывалась работа системы удаления дыма при пожаре.
3.2.4. Выбор метода математического моделирования пожара
Согласно
прил. N 6 Методики сформулируем математическую модель развития пожара.
Для описания термогазодинамических параметров пожара применяются три основных группы детерминистических моделей: интегральные, зонные (зональные) и полевые.
Данные модели имеют следующие области применения:
интегральный метод:
для зданий, содержащих развитую систему помещений малого объема простой геометрической конфигурации;
для помещений, где характерный размер очага пожара соизмерим с характерными размерами помещения и размеры помещения соизмеримы между собой (линейные размеры помещения отличаются не более чем в 5 раз);
для предварительных расчетов с целью выявления наиболее опасного сценария пожара;
зонный (зональный) метод:
для помещений и систем помещений простой геометрической конфигурации, линейные размеры которых соизмеримы между собой (линейные размеры помещения отличаются не более чем в 5 раз), когда размер очага пожара существенно меньше размеров помещения;
для рабочих зон, расположенных на разных уровнях в пределах одного помещения (наклонный зрительный зал кинотеатра, антресоли и т.д.);
полевой метод:
для помещений сложной геометрической конфигурации, а также помещений с большим количеством внутренних преград (атриумы с системой галерей и примыкающих коридоров, многофункциональные центры со сложной системой вертикальных и горизонтальных связей и т.д.);
для помещений, в которых один из геометрических размеров гораздо больше (меньше) остальных (тоннели, закрытые автостоянки большой площади и т.д.);
для иных случаев, когда применимость или информативность зонных и интегральных моделей вызывает сомнение (уникальные сооружения, распространение пожара по фасаду здания, необходимость учета работы систем противопожарной защиты, способных качественно изменить картину пожара, и т.д.).
Поскольку длина коридора отличается от ширины и высот более чем в 5 раз, при проведении расчетов будем использовать полевой метод математического моделирования.
3.2.5. Исходные данные для проведения расчетов
по распространению опасных факторов пожара
Согласно
прил. N 6 Методики при проведении расчетов рассматриваются три основных вида развития пожара: круговое распространение пожара по твердой горючей нагрузке, линейное распространение пожара по твердой горючей нагрузке, неустановившееся горение горючей жидкости.
Скорость выгорания для этих случаев определяется формулами:

(12)
где

- удельная скорость выгорания (для жидкостей установившаяся), кг · с
-1 · м
-2; v - скорость распространения пламени, м/с; b - ширина полосы горючей нагрузки, м; t
СТ - время стабилизации горения горючей жидкости, с; F - площадь очага пожара, м
2.
Критическое время по каждому из опасных факторов пожара определяется как время достижения этим фактором предельно допустимого значения на путях эвакуации на высоте 1,7 м от пола.
Предельно допустимые значения по каждому из опасных факторов пожара составляют:
по повышенной температуре - 70 °C;
по тепловому потоку - 1400 Вт/м2;
по потере видимости - 20 м (для случая, когда оба горизонтальных линейных размера помещения меньше 20 м, предельно допустимое расстояние по потере видимости следует принимать равным наибольшему горизонтальному линейному размеру);
по пониженному содержанию кислорода - 0,226 кг/м3;
по каждому из токсичных газообразных продуктов горения (CO2 - 0,11 кг/м3; CO - 1,16 · 10-3 кг/м3; HCl - 23 · 10-6 кг/м3).
Определяется время блокирования tбл:

.
При проведении расчета по распространению ОФП для
сценария N 1 (пожар в помещении подземной автостоянки (пожарный отсек N 1) на втором подземном уровне) исходя из функционального назначения помещения очага пожара данные о низшей теплоте сгорания, линейной скорости распространения и т.д. в соответствии с
табл. 1 имеют следующие физико-химические свойства (стоянки легковых автомобилей):
Низшая теплота сгорания,  , кДж/кг ..................................................... | 31 700,0 |
Дымообразующая способность, Нп · м2/кг ................................................. | 487,00 |
Удельная массовая скорость выгорания кг/(м2 · с) ..................................... | 0,023 |
Линейная скорость распространения пламени, v, м/с ................................ | 0,0068 |
Удельный расход кислорода кг/кг ............................................................. | 2,640 |
Выделение газа: | |
CO2, кг/кг ............................................................................................... | 1,300 |
CO, кг/кг ................................................................................................ | 0,097 |
HCl, кг/кг ............................................................................................... | 0,011 |
При проведении расчета по распространению ОФП для
сценария N 2 (пожар в помещении подземной автостоянки (пожарный отсек N 1), расположенном на первом подземном уровне, на уровне пола) исходя из функционального назначения помещения очага пожара данные о низшей теплоте сгорания, линейной скорости распространения и т.д. в соответствии с
табл. 1 имеют следующие физико-химические свойства (стоянки легковых автомобилей):
Низшая теплота сгорания,  , кДж/кг ..................................................... | 31 700,0 |
Дымообразующая способность, Нп · м2/кг ................................................. | 487,00 |
Удельная массовая скорость выгорания кг/(м2 · с) ..................................... | 0,023 |
Линейная скорость распространения пламени, v, м/с ................................ | 0,0068 |
Удельный расход кислорода кг/кг .............................................................. | 2,640 |
Выделение газа: | |
CO2, кг/кг ................................................................................................ | 1,300 |
CO, кг/кг ................................................................................................. | 0,097 |
HCl, кг/кг ................................................................................................ | 0,011 |
При проведении расчета по распространению ОФП для
сценария N 3 (пожар в помещении, расположенном на втором этаже) исходя из функционального назначения помещения очага пожара данные о низшей теплоте сгорания, линейной скорости распространения и т.д. в соответствии с
табл. 1 имеют следующие физико-химические свойства (подсобные и бытовые помещения):
Низшая теплота сгорания,  , кДж/кг ..................................................... | 14 000,0 |
Дымообразующая способность, Нп · м2/кг ................................................. | 53,00 |
Удельная массовая скорость выгорания кг/(м2 · с) ..................................... | 0,0129 |
Линейная скорость распространения пламени, v, м/с ................................ | 0,0042 |
Удельный расход кислорода кг/кг .............................................................. | 1,161 |
Выделение газа: | |
CO2, кг/кг ................................................................................................ | 0,642 |
CO, кг/кг ................................................................................................. | 0,0317 |
HCl, кг/кг ................................................................................................ | 0 |
При проведении расчета по распространению ОФП для
сценария N 4 (пожар в помещении расположенном на третьем этаже) исходя из функционального назначения помещения очага пожара данные о низшей теплоте сгорания, линейной скорости распространения и т.д. в соответствии с
табл. 1 имеют следующие физико-химические свойства (подсобные и бытовые помещения):
Низшая теплота сгорания,  , кДж/кг ...................................................... | 14 000,0 |
Дымообразующая способность, Нп · м2/кг .................................................. | 53,00 |
Удельная массовая скорость выгорания кг/(м2 · с) ..................................... | 0,0129 |
Линейная скорость распространения пламени, v, м/с ................................ | 0,0042 |
Удельный расход кислорода кг/кг .............................................................. | 1,161 |
Выделение газа: | |
CO2, кг/кг ............................................................................................... | 0,642 |
CO, кг/кг ................................................................................................. | 0,0317 |
HCl, кг/кг ................................................................................................ | 0 |
3.2.6. Описание полевого метода моделирования
пожара в здании
Для расчета времени блокирования t
бл в соответствии с
Методикой [1] был выбран полевой метод моделирования пожара.
Основой для полевых моделей пожаров являются уравнения, выражающие законы сохранения массы, импульса, энергии и масс компонентов в рассматриваемом малом контрольном объеме.
Использованная математическая модель включала в себя следующие основные уравнения:
Уравнение сохранения массы:

.
Уравнение сохранения импульса:

.
Для ньютоновских жидкостей, подчиняющихся закону Стокса, тензор вязких напряжений определяется формулой

.
Уравнение энергии:

,
где

- статическая энтальпия смеси; H
k - теплота образования k-го компонента;

- теплоемкость смеси при постоянном давлении;

- радиационный поток энергии в направлении x
j.
Уравнение сохранения химического компонента k:

.
Для замыкания системы уравнений используется уравнение состояния идеального газа. Для смеси газов оно имеет вид

,
где R0 - универсальная газовая постоянная; Mk - молярная масса k-го компонента.
3.2.7. Результаты расчета времени блокирования путей
эвакуации опасными факторами пожара
Очаг пожара находится в помещении подземной автостоянки (пожарный отсек N 1), расположенном на втором подземном уровне, на уровне пола.
Динамику данного варианта развития пожара можно проиллюстрировать следующими основными моментами:
10 с - продукты горения достигают потолка помещения очага пожара и распространяются под ним в радиальном направлении;
30 с - на отдельных участках площади помещения дым с концентрацией, превышающей критическое значение, опускается ниже отм. 1,7 м от уровня пола
(рис. 129);
110 с - блокируется по признаку потери видимости эвакуационный выход В2
(рис. 130);
150 с - на большей части рассматриваемой площади дым опускается ниже отм. 1,7 м от уровня пола
(рис. 131);
200 с - блокируется по признаку потери видимости эвакуационный выход В3
(рис. 133). Блокирование эвакуационных выходов В2 и В3 по признаку повышения температуры не происходит
(рис. 134). Блокирование эвакуационных выходов В2 и В3 по признаку превышения концентрации CO и CO
2 не происходит (
рис. 135,
136). Блокирование эвакуационных выходов В2 и В3 по признаку понижения концентрации O
2 не происходит
(рис. 137). Блокируется по признаку превышения концентрации HCl эвакуационный выход В2, блокирование выхода В3 не происходит
(рис. 138).
Из результатов расчета следует, что наиболее опасным фактором пожара из всех рассмотренных является потеря видимости.
Более подробная информация о времени блокирования отдельных эвакуационных выходов представлена в табл. 18.
Время блокирования tбл ОФП путей эвакуации
N выхода | Оси расположения | Время блокирования, с |
CO2 | CO | HCl | T | O2 | Потеря видимости |
В1 | | Блокирован |
В2 | | > 200 | > 200 | 200 | > 200 | > 200 | 110 |
В3 | | > 200 | > 200 | > 200 | > 200 | > 200 | 200 |
Рис. 129. Оптическая плотность дыма (Нп/м)
в горизонтальном сечении на высоте 1,7 м от уровня пола
в момент времени 30 с
Рис. 130. Оптическая плотность дыма (Нп/м)
в горизонтальном сечении на высоте 1,7 м от уровня пола
в момент времени 110 с
Рис. 131. Оптическая плотность дыма (Нп/м)
в горизонтальном сечении на высоте 1,7 м от уровня пола
в момент времени 150 с
Рис. 132. Оптическая плотность дыма (Нп/м)
в горизонтальном сечении на высоте 1,7 м от уровня пола
в момент времени 170 с
Рис. 133. Оптическая плотность дыма (Нп/м)
в горизонтальном сечении на высоте 1,7 м от уровня пола
в момент времени 200 с
Рис. 134. Поля температуры (K) в горизонтальном сечении
на высоте 1,7 м от уровня пола в момент времени 200 с
Рис. 135. Концентрация CO (кг/м
3) в горизонтальном сечении
на высоте 1,7 м от уровня пола в момент времени 200 с
Рис. 136. Концентрация CO
2 (кг/м
3) в горизонтальном сечении
на высоте 1,7 м от уровня пола в момент времени 200 с
Рис. 137. Концентрация O
2 (кг/м
3) в горизонтальном сечении
на высоте 1,7 м от уровня пола в момент времени 200 с
Рис. 138. Концентрация HCl (кг/м
3) в горизонтальном сечении
на высоте 1,7 м от уровня пола в момент времени 200 с
Очаг пожара находится в помещении подземной автостоянки (пожарный отсек N 1), расположенном на первом подземном уровне, на уровне пола.
Динамику данного варианта развития пожара можно проиллюстрировать следующими основными моментами:
10 с - продукты горения достигают потолка помещения очага пожара и распространяются под ним в радиальном направлении;
50 с - на отдельных участках рассматриваемой площади дым с концентрацией, превышающей критическое значение, опускается ниже отм. 1,7 м от уровня пола
(рис. 139);
100 с - блокируется по признаку потери видимости эвакуационный выход В1
(рис. 140);
120 с - блокируется по признаку потери видимости вход в зону безопасности МГН ВБ2
(рис. 141);
170 с - блокируется по признаку потери видимости вход в зону безопасности МГН ВБ1
(рис. 142);
230 с - блокируется по признаку потери видимости вход в зону безопасности МГН ВБ3
(рис. 143);
260 с - блокируется по признаку потери видимости эвакуационный выход В3
(рис. 144). Блокируется по признаку повышения температуры эвакуационный выход В1, а также вход в зону безопасности МГН ВБ2, блокирование выхода В3 и входов ВБ1 и ВБ3 не происходит
(рис. 145). Блокируется по признаку превышения концентрации HCl эвакуационный выход В1, а также входы в зоны безопасности МГН ВБ1 и ВБ2, блокирование эвакуационного выхода В3 и входа в зону безопасности МГН ВБ3 не происходит
(рис. 146);
430 с - блокируется по признаку потери видимости эвакуационный выход В4
(рис. 147). Блокирование эвакуационного выхода В4 по признаку повышения температуры не происходит
(рис. 148). Блокируется по признаку превышения концентрации CO эвакуационный выход В1, а также вход в зону безопасности МГН ВБ2, блокирование выходов В3, В4 и входов в зоны безопасности МГН ВБ1 и ВБ3 не происходит
(рис. 149). Блокирование эвакуационных выходов В1, В2 и В4, а также входов в зоны безопасности МГН ВБ1 - ВБ3 по признаку превышения концентрации CO
2 не происходит
(рис. 150). Блокируется по признаку понижения концентрации O
2 эвакуационный выход В1, а также входы в зоны безопасности МГН ВБ1 - ВБ3, блокирование эвакуационных выходов В3 и В4 не происходит
(рис. 151). Блокирование эвакуационного выхода В4 по признаку превышения концентрации HCl не происходит
(рис. 152).
Из результатов расиста следует, что наиболее опасным фактором пожара из всех рассмотренных является потеря видимости.
Более подробная информация о времени блокирования отдельных эвакуационных выходов представлена в табл. 19.
Время блокирования tбл ОФП путей эвакуации
N выхода | Оси расположения | Время блокирования, с |
CO2 | CO | HCl | T | O2 | Потеря видимости |
1 | | > 430 | 430 | 260 | 260 | 430 | 100 |
2 | | Блокирован |
3 | | > 430 | > 430 | > 260 | > 260 | > 430 | 260 |
4 | | > 430 | > 430 | > 430 | > 430 | > 430 | 430 |
ВБ1 | | > 430 | > 430 | 260 | > 260 | 430 | 170 |
ВБ2 | | > 430 | 430 | 260 | 260 | 430 | 120 |
ВБ3 | | > 430 | > 430 | > 260 | > 260 | 430 | 230 |
Рис. 139. Оптическая плотность дыма (Нп/м)
в горизонтальном сечении на высоте 1,7 м от уровня пола
в момент времени 50 с
Рис. 140. Оптическая плотность дыма (Нп/м)
в горизонтальном сечении на высоте 1,7 м от уровня пола
в момент времени 100 с
Рис. 141. Оптическая плотность дыма (Нп/м)
в горизонтальном сечении на высоте 1,7 м от уровня пола
в момент времени 120 с
Рис. 142. Оптическая плотность дыма (Нп/м)
в горизонтальном сечении на высоте 1,7 м от уровня пола
в момент времени 170 с
Рис. 143. Оптическая плотность дыма (Нп/м)
в горизонтальном сечении на высоте 1,7 м от уровня пола
в момент времени 230 с
Рис. 144. Оптическая плотность дыма (Нп/м)
в горизонтальном сечении на высоте 1,7 м от уровня пола
в момент времени 260 с
Рис. 145. Оптическая плотность дыма (Нп/м)
в горизонтальном сечении на высоте 1,7 м от уровня пола
в момент времени 430 с
Рис. 146. Поля температуры (K) в горизонтальном сечении
на высоте 1,7 м от уровня пола в момент времени 260 с
Рис. 147. Поля температуры (K) в горизонтальном сечении
на высоте 1,7 м от уровня пола в момент времени 430 с
Рис. 148. Концентрация CO (кг/м
3) в горизонтальном сечении
на высоте 1,7 м от уровня пола в момент времени 430 с
Рис. 149. Концентрация CO
2 (кг/м
3) в горизонтальном сечении
на высоте 1,7 м от уровня пола в момент времени 430 с
Рис. 150. Концентрация O
2 (кг/м
3) в горизонтальном сечении
на высоте 1,7 м от уровня пола в момент времени 430 с
Рис. 151. Концентрация HCl (кг/м
3) в горизонтальном сечении
на высоте 1,7 м от уровня пола в момент времени 260 с
Рис. 152. Концентрация HCl (кг/м
3) в горизонтальном сечении
на высоте 1,7 м от уровня пола в момент времени 430 с
Очаг пожара находится в помещении, расположенном на втором этаже, на уровне пола.
Динамику данного варианта развития пожара можно проиллюстрировать следующими основными моментами:
30 с - продукты горения достигают потолка помещения очага пожара и распространяются под ним в радиальном направлении;
60 с - на большей части площади помещения очага пожара дым опускается ниже отм. 1,7 м от уровня пола
(рис. 153);
100 с - на отдельных участках площади коридора дым опускается ниже отм. 1,7 м от уровня пола
(рис. 154);
160 с - блокируются по признаку потери видимости эвакуационные выходы В1 и В2, а также вход в зону безопасности МГН ВБ
(рис. 155). Блокируется по признаку повышения температуры эвакуационный выход В2 и вход в зону безопасности МГН ВБ, блокирование выхода В1 не происходит
(рис. 156). Блокирование эвакуационных выходов В1 и В2, а также входа в зону безопасности МГН ВБ по признаку превышения концентрации CO и CO
2 не происходит (
рис. 157,
158). Блокируются по признаку понижения концентрации O
2 эвакуационные выходы В1 и В2, а также вход в зону безопасности МГН ВБ
(рис. 159).
Из результатов расчета следует, что наиболее опасным фактором пожара из всех рассмотренных является потеря видимости.
Более подробная информация о времени блокирования отдельных эвакуационных выходов представлена в табл. 20.
Время блокирования tбл ОФП путей эвакуации
N выхода | Оси расположения | Время блокирования, с |
CO2 | CO | HCl | T | O2 | Потеря видимости |
В1 | | > 160 | > 160 | - | > 160 | 160 | 160 |
В2 | | > 160 | > 160 | - | 160 | 160 | 160 |
ВБ | | > 160 | > 160 | - | 160 | 160 | 160 |
Рис. 153. Оптическая плотность дыма (Нп/м)
в горизонтальном сечении на высоте 1,7 м от уровня пола
в момент времени 60 с
Рис. 154. Оптическая плотность дыма (Нп/м)
в горизонтальном сечении на высоте 1,7 м от уровня пола
в момент времени 100 с
Рис. 155. Оптическая плотность дыма (Нп/м)
в горизонтальном сечении на высоте 1,7 м от уровня пола
в момент времени 160 с
Рис. 156. Поля температуры (K) в горизонтальном сечении
на высоте 1,7 м от уровня пола в момент времени 160 с
Рис. 157. Концентрация CO (кг/м
3) в горизонтальном сечении
на высоте 1,7 м от уровня пола в момент времени 160 с
Рис. 158. Концентрация CO
2 (кг/м
3) в горизонтальном сечении
на высоте 1,7 м от уровня пола в момент времени 160 с
Рис. 159. Концентрация O
2 (кг/м
3) в горизонтальном сечении
на высоте 1,7 м от уровня пола в момент времени 160 с
Очаг пожара находится в помещении, расположенном на третьем этаже, на уровне пола.
Динамику данного варианта развития пожара можно проиллюстрировать следующими основными моментами:
30 с - продукты горения достигают потолка помещения очага пожара и распространяются под ним в радиальном направлении;
60 с - на всей площади помещения очага пожара дым опускается ниже отм. 1,7 м от уровня пола
(рис. 160);
110 с - на отдельных участках площади коридора дым опускается ниже отм. 1,7 м от уровня пола
(рис. 161);
150 с - на большей части рассматриваемой площади дым опускается ниже отм. 1,7 м от уровня пола
(рис. 162);
170 с - блокируется по признаку потери видимости эвакуационный выход В1
(рис. 163);
190 с - блокируется по признаку потери видимости эвакуационный выход В2
(рис. 164). Блокируется по признаку повышения температуры эвакуационный выход В1, блокирование выхода В2 не происходит
(рис. 165). Блокирование эвакуационных выходов В1 и В2 по признаку превышения концентрации CO и CO
2 не происходит (
рис. 166,
167). Блокируется по признаку понижения концентрации 02 эвакуационный выход В1, блокирование выхода В2 не происходит
(рис. 168).
Из результатов расчета следует, что наиболее опасным фактором пожара из всех рассмотренных является потеря видимости.
Более подробная информация о времени блокирования отдельных эвакуационных выходов представлена в табл. 21.
Время блокирования tбл ОФП путей эвакуации
N выхода | Оси расположения | Время блокирования, с |
CO2 | CO | HCl | T | O2 | Потеря видимости |
В1 | | > 190 | > 190 | - | 190 | 190 | 170 |
В2 | | > 190 | > 190 | - | > 190 | > 190 | 190 |
Рис. 160. Оптическая плотность дыма (Нп/м)
в горизонтальном сечении на высоте 1,7 м от уровня пола
в момент времени 60 с
Рис. 161. Оптическая плотность дыма (Нп/м)
в горизонтальном сечении на высоте 1,7 м от уровня пола
в момент времени 110 с
Рис. 162. Оптическая плотность дыма (Нп/м)
в горизонтальном сечении на высоте 1,7 м от уровня пола
в момент времени 150 с
Рис. 163. Оптическая плотность дыма (Нп/м)
в горизонтальном сечении на высоте 1,7 м от уровня пола
в момент времени 170 с
Рис. 164. Оптическая плотность дыма (Нп/м)
в горизонтальном сечении на высоте 1,7 м от уровня пола
в момент времени 190 с
Рис 165. Поля температуры (K) в горизонтальном сечении
на высоте 1,7 м от уровня пола в момент времени 190 с
Рис. 166. Концентрация CO (кг/м
3) в горизонтальном сечении
на высоте 1,7 м от уровня пола в момент времени 190 с
Рис. 167. Концентрация CO
2 (кг/м
3) в горизонтальном сечении
на высоте 1,7 м от уровня пола в момент времени 190 с
Рис. 168. Концентрация O
2 (кг/м
3) в горизонтальном сечении
на высоте 1,7 м от уровня пола в момент времени 190 с
3.2.8. Определение расчетного времени эвакуации людей
из здания
3.2.8.1. Методика расчета времени эвакуации людей
при пожаре
Расчетное время эвакуации людей определяется по математической модели индивидуально-поточного движения людей из здания, приведенной в
прил. N 3 к Методике.
Расчетное время эвакуации людей из здания устанавливается по времени выхода из него последнего человека.
Перед началом моделирования процесса эвакуации задается схема эвакуационных путей в здании. Все эвакуационные пути подразделяются на эвакуационные участки длиной a и шириной b. Длина и ширина каждого участка пути эвакуации для проектируемых зданий принимаются по проекту, а для построенных - по фактическому положению. Длина пути по лестничным маршам измеряется по длине марша. Длина пути в дверном проеме принимается равной нулю. Эвакуационные участки могут быть горизонтальные и наклонные (лестница вниз, лестница вверх и пандус).
За габариты человека в плане принимается эллипс с размерами осей 0,5 и 0,25 м. В случае маломобильных лиц за габариты принимается прямоугольник длиной 1,2 м и шириной 0,8 м. Задаются координаты каждого человека xi - расстояние от центра эллипса до конца эвакуационного участка, на котором он находится (рис. 169). Если разность координат некоторых людей, находящихся на эвакуационном участке, составляет менее 0,25 м, то принимается, что люди с этими координатами расположены рядом друг с другом сбоку один от другого. При этом исходя из габаритов человека в плане и размеров эвакуационного участка (длина и ширина) для каждого эвакуационного участка определяются максимально возможное количество человек в одном ряду сбоку друг от друга и максимально возможное количество людей на участке.
Рис. 169. Координатная схема размещения людей на путях
эвакуации
Координаты каждого человека xi в начальный момент времени задаются в соответствии со схемой расстановки людей в помещениях (рабочие места, места для зрителей, спальные места и т.п.). В случае отсутствия таких данных, например, для магазинов, выставочных залов и т.п., допускается размещать людей равномерно по всей площади помещения с учетом расстановки технологического оборудования.
Координата каждого человека в момент времени t определяется по формуле

, (13)
где

- координата i-го человека в предыдущий момент времени, м; V
i(t) - скорость i-го человека в момент времени t, м/с;

- промежуток времени, с.
Скорость i-го человека V
i(t) в момент времени t определяется по
табл. 22 в зависимости от локальной плотности потока D
i(t), в котором он движется, и типа эвакуационного участка.
Локальная плотность Di(t) вычисляется по группе, состоящей из n человек, по формуле

, (14)
где n - количество людей в группе, чел.; f - средняя площадь горизонтальной проекции человека, м
2/м
2; b - ширина эвакуационного участка, м;

- разность координат последнего и первого человека в группе, м.
Если в момент времени t координата человека x
i(t), определенная по
формуле (13), станет отрицательной - это означает, что человек достиг границы текущего эвакуационного участка и должен перейти на следующий эвакуационный участок.
В этом случае координата этого человека на следующем эвакуационном участке определяется:
x
i(t) = [x
i(t - dt) - V
i(t) dt] + a
j - l
j, (15)
где xi(t - dt) - координата i-го человека в предыдущий момент времени на (j-1) эвакуационном участке, м; Vi(t) - скорость i-го человека на (j-1)-м эвакуационном участке в момент времени t, м/с; aj - длина j-го эвакуационного участка, м; lj - координата места слияния j-го и (j-1)-го эвакуационных участков - расстояние от начала j-го эвакуационного участка до места слияния его с (j-1)-м эвакуационным участком, м.
Количество людей, переходящих с одного эвакуационного участка на другой в единицу времени, определяется пропускной способностью выхода с участка Qj(t):
Qj(t) = qj(t)cjdt / (f60), (16)
где qj(t) - интенсивность движения на выходе с j-го эвакуационного участка в момент времени t, м/мин; cj - ширина выхода с j-го эвакуационного участка, м; dt - промежуток времени, с; f - средняя площадь горизонтальной проекции человека, м2.
Плотность потока D, м2/м2 | Горизонтальный путь | Дверной проем, интенсивность q, м · мин-1 | Лестница вниз | Лестница вверх |
Скорость V, м · мин-1 | Интенсивность q, м · мин-1 | Скорость V, м · мин-1 | Интенсивность q, м · мин-1 | Скорость V, м · мин-1 | Интенсивность q, м · мин-1 |
0,01 | 100 | 1 | 1 | 100 | 1 | 60 | 0,6 |
0,05 | 100 | 5 | 5 | 100 | 5 | 60 | 3 |
0,1 | 80 | 8 | 8,7 | 95 | 9,5 | 53 | 5,3 |
0,2 | 60 | 12 | 13,4 | 68 | 13,6 | 40 | 8 |
0,3 | 47 | 14,1 | 16,5 | 52 | 16,6 | 32 | 9,6 |
0,4 | 40 | 16 | 18,4 | 40 | 16 | 26 | 10,4 |
0,5 | 33 | 16,5 | 19,6 | 31 | 15,6 | 22 | 11 |
0,7 | 23 | 16,1 | 18,5 | 18 | 12,6 | 15 | 10,5 |
0,8 | 19 | 15,2 | 17,3 | 13 | 10,4 | 13 | 10,4 |
0,9 и более | 15 | 13,5 | 8,5 | 8 | 7,2 | 11 | 9,9 |
Примечание. Табличное значение интенсивности движения d дверном проеме при плотности потока 0,9 и более, равное 8,5 м · мин-1, установлено для дверного проема шириной 1,6 м и более, а при дверном проеме меньшей ширины d интенсивность движения следует определять по формуле q = 2,5 + 3,75d.
Интенсивность движения на выходе с j-го эвакуационного участка qj(t) в момент времени t определяется в зависимости от плотности людского потока на этом участке Dvj(t).
Плотность людскою потока на j-м эвакуационном участке Dvj(t) в момент времени t определяется по формуле
Dvj(t) = (Njfdt) / (ajbj), (17)
где Nj - число людей на j-м эвакуационном участке, чел.; f - средняя площадь горизонтальной проекции человека, м2; aj - длина j-го эвакуационного участка, м; bj - ширина j-го эвакуационного участка, м; dt - промежуток времени, с.
В момент времени t определяется количество людей m с отрицательными координатами x
i(t), определенными по
формуле (13). Если значение m

Q
j(t), то все m человек переходят на следующий эвакуационный участок и их координаты определяются в соответствии с
формулой (15). Если значение m > Q
j(t), то количество человек, равное значению Q
j(t), переходят на следующий эвакуационный участок и их координаты определяются в соответствии с
формулой (15), а количество человек, равное значению (m - Q
j(t)), не переходят на следующий эвакуационный участок (остаются на данном эвакуационном участке) и их координатам присваиваются значения x
i(t) = k 0,25 + 0,25, где k - номер ряда, в котором будут находиться люди (максимально возможное количество человек в одном ряду сбоку друг от друга для каждого эвакуационного участка определяется перед началом расчетов). Таким образом, перед выходом с эвакуационного участка возникает скопление людей.
На основании заданных начальных условий (начальных координат людей, параметров эвакуационных участков) определяются плотности людских потоков на путях эвакуации и пропускные способности выходов с эвакуационных участков. Далее, в момент времени t = t + dt, выбирается направление движения каждого человека и вычисляется новая координата каждого человека. После этого снова определяются плотности людских потоков на путях эвакуации и пропускные способности выходов. Затем вновь дается приращение по времени dt и определяются новые координаты людей с учетом наличия ОФП на путях эвакуации в этот момент времени. После этого процесс повторяется. Расчеты проводятся до тех пор, пока все люди не будут эвакуированы из здания.
3.2.8.2. Результаты расчета времени эвакуации t
p
В соответствии с вышеизложенной методикой созданы алгоритм и вычислительная программа по определению характеристик процесса эвакуации.
Параметры путей эвакуации задавались в соответствии с проектом.
Количество людей в здании задавалось в соответствии с положениями
СП 1.13130.2009.
Расчет эвакуации людей проводился до выхода наружу из здания (из лестничных клеток, коридоров, холлов и т.п.).
В помещении, имеющем два и более эвакуационных выхода, очаг пожара следует размещать вблизи выхода, имеющего наибольшую пропускную способность. При этом данный выход считается блокированным с первых секунд пожара и при определении расчетного времени эвакуации не учитывается. В помещении с одним эвакуационным выходом время блокирования выхода определяется расчетом.
Рассматривается четыре варианта эвакуации людей, соответствующие сценариям пожара, рассмотренным в
разд. 3 данной работы.
Вариант 1. Эвакуация из подземной автостоянки
Описание эвакуационного сценария. В данном расчетном сценарии рассматривался процесс эвакуации людей из пожарного отсека N 1, расположенного на втором подземном уровне. Расчет данного варианта проводился в соответствии с первым сценарием развития пожара. Опасные факторы пожара распространяются в рассматриваемом объеме с последующим блокированием эвакуационных выходов.
Параметры эвакуационных путей и выходов. Для эвакуации из рассматриваемой части здания предусмотрено три эвакуационных выхода.
Параметры эвакуационных выходов, принятые в расчете, приведены в табл. 23.
N п/п | Тип выхода | Оси расположения | Ширина выхода не менее, м |
Автостоянка (пожарный отсек N 1) |
В1 блокирован | В лестничную клетку | А/Г-А/Д/3-4 | 0,9 |
В2 | В лестничную клетку | Б/А-Б/Б/1/3-1/4 | 0,9 |
В3 | В лестничную клетку | В-Г/9-10 | 0,9 |
Ширина лестничного марша всех эвакуационных лестничных клеток принималась 1,20 м.
Ширина входа в эвакуационные лестничные клетки принималась 0,9 м.
Ширина выхода из эвакуационных лестничных клеток принималась 1,20 м.
Расчетное количество людей. Количество людей принималось согласно
п. 9.4.7 СП 1.13130.2009 и в пожарном отсеке N 1 составило 59 чел.
Дополнительные условия. При проведении расчетов предполагалось, что один из эвакуационных выходов (В1) блокируется опасными факторами в первые секунды пожара. Таким образом, при расчете эвакуации из рассматриваемого помещения данный выход не учитывался.
Направление движения людей. При расчете времени движения людей из рассматриваемого помещения в описании эвакуационной схемы задавалось наиболее предпочтительное (наиболее вероятное) направление движения людей к эвакуационным выходам. Предполагалось, что при эвакуации из помещения люди движутся в сторону ближайших к ним выходов, за исключением случая, когда ближайший выход блокирован.
Особенности процесса эвакуации. При движении людей вблизи выходов продолжительные (более 6 мин) скопления людей высокой плотности не образуются.
Движение по лестничным клеткам. Во время движения людей по лестничным клеткам продолжительные (более 6 мин) скопления людей высокой плотности не образуются.
Время эвакуации людей в выход В2 составляет 45 с.
Время эвакуации людей в выход В3 составляет 30 с.
Вариант 2. Эвакуация из подземной автостоянки
Описание эвакуационного сценария. В данном расчетном сценарии рассматривался процесс эвакуации людей из пожарного отсека N 1, расположенного на первом подземном уровне. Расчет данного варианта проводился в соответствии со вторым сценарием развития пожара. Опасные факторы пожара распространяются в рассматриваемом объеме с последующим блокированием эвакуационных выходов.
Параметры эвакуационных путей и выходов. Для эвакуации из рассматриваемой части здания предусмотрено семь эвакуационных выходов.
Параметры эвакуационных выходов, принятые в расчете, приведены в табл. 24.
N п/п | Тип выхода | Оси расположения | Ширина выхода не менее, м |
Автостоянка (пожарный отсек N 1) |
В1 | В лестничную клетку | | 0,9 |
В2 блокирован | В лестничную клетку | | 0,9 |
В3 | В лестничную клетку | | 0,9 |
В4 | В лестничную клетку | | 0,9 |
ВБ1 | В зону безопасности | | 1,0 |
ВБ2 | В зону безопасности | | 1,0 |
ВБ3 | В зону безопасности | | 1,0 |
Ширина лестничного марша всех эвакуационных лестничных клеток принималась 1,20 м.
Ширина входа в эвакуационные лестничные клетки принималась 0,9 м.
Ширина выхода из эвакуационных лестничных клеток принималась 1,20 м.
Расчетное количество людей. Количество людей принималось согласно
п. 9.4.7 СП 1.13130.2009 и в пожарном отсеке N 1 составило 35 чел. Кроме того, согласно проекту в рассматриваемом пожарном отсеке возможно пребывание 6 чел., относящихся к маломобильным группам населения (МГН) группы мобильности М4.
Дополнительные условия. При проведении расчетов предполагалось, что один из эвакуационных выходов (В2) блокируется опасными факторами в первые секунды пожара. Таким образом, при расчете эвакуации из рассматриваемого помещения данный выход не учитывался.
Расстояние от мест, предусмотренных для МГН, до эвакуационных выходов, приспособленных для людей группы мобильности М4 (ширина дверного проема, пандус и т.д.), составляет не более 15 м.
Направление движения людей. При расчете времени движения людей из рассматриваемых помещений в описании эвакуационной схемы задавалось наиболее предпочтительное (наиболее вероятное) направление движения людей к эвакуационным выходам. Предполагаюсь, что при эвакуации из помещения люди движутся в сторону ближайших к ним выходов, за исключением случая, когда ближайший выход блокирован.
Особенности процесса эвакуации. При движении людей вблизи выходов продолжительные (более 6 мин) скопления людей высокой плотности не образуются.
Движение по лестничным клеткам. Во время движения людей по лестничным клеткам продолжительные (более 6 мин) скопления людей высокой плотности не образуются.
Время эвакуации людей в выход В1 составляет 17 с.
Время эвакуации людей в выход В3 составляет 25 с.
Время эвакуации людей в выход В4 составляет 13 с.
Вариант 3. Эвакуация с 2 по 6 этаж
Описание эвакуационного сценария. В данном расчетном сценарии рассматривался процесс эвакуации людей со 2-го этажа блока N 2 гостиницы. Расчет данного варианта проводился в соответствии с третьим сценарием развития пожара. Опасные факторы пожара распространяются в помещении очага пожара, далее начинается распространение опасных факторов пожара в коридоре с последующим блокированием эвакуационных выходов.
Параметры эвакуационных путей и выходов. Для эвакуации из рассматриваемой части здания предусмотрено три эвакуационных выхода.
Параметры эвакуационных выходов, принятые в расчете, приведены в табл. 25.
N п/п | Тип выхода | Оси расположения | Ширина выхода не менее, м |
2-й этаж гостиницы (блок N 2) |
В1 | В лестничную клетку | | 0,9 |
В2 | В коридор | | 0,9 |
ВБ1 | В зону безопасности | | 1,0 |
Ширина лестничного марша всех эвакуационных лестничных клеток принималась 1,20 м.
Ширина входа в эвакуационные лестничные клетки принималась 0,9 м.
Ширина выхода из эвакуационных лестничных клеток принималась 1,20 м.
Расчетное количество людей. Количество людей принималось из расчета количества и вместимости гостиничных номеров и в блоке N 2 составило 8 чел. Кроме того, согласно исходным данным в рассматриваемом пожарном отсеке возможно пребывание 4 чел., относящихся к маломобильным группам населения (МГН) группы мобильности М4.
Дополнительные условия. В связи с тем, что подавляющее число людей, находящихся на 2-м этаже здания, относятся к МГН групп мобильности М2 - М4, при определении расчетного времени эвакуации людей при пожаре принималось, что скорость движения людей, находящихся на 2-м этаже здания, составляет 30 м/мин.
Расстояние от номеров, предусмотренных для рассматриваемой группы МГН, до эвакуационных выходов, приспособленных для МГН группы мобильности М4 (ширина дверного проема, пандус и т.д.), не превышает 15 м.
Направление движения людей. При расчете времени движения людей из рассматриваемых помещений в описании эвакуационной схемы задавалось наиболее предпочтительное (наиболее вероятное) направление движения людей к эвакуационным выходам. Предполагалось, что при эвакуации из помещения люди движутся в сторону ближайших к ним выходов, за исключением случая, когда ближайший выход блокирован.
Особенности процесса эвакуации. При движении людей вблизи выходов продолжительные (более 6 мин) скопления людей высокой плотности не образуются.
Движение по лестничным клеткам. Во время движения людей по лестничным клеткам продолжительные (более 6 мин) скопления людей высокой плотности не образуются.
Время эвакуации людей с этажа составляет 43 с.
Время эвакуации всех людей наружу составляет 188 с.
Вариант 4. Эвакуация с 2 по 6 этаж
Описание эвакуационного сценария. В данном расчетном сценарии рассматривался процесс эвакуации людей с 3-го этажа здания блока N 3 гостиницы. Расчет данного варианта проводился в соответствии с четвертым сценарием развития пожара. Опасные факторы пожара распространяются в помещении очага пожара, далее начинается распространение опасных факторов пожара в коридоре с последующим блокированием эвакуационных выходов.
Параметры эвакуационных путей и выходов. Для эвакуации из рассматриваемой части здания предусмотрено два эвакуационных выхода.
Параметры эвакуационных выходов, принятых в расчете, приведены в табл. 26.
N п/п | Тип выхода | Оси расположения | Ширина выхода не менее, м |
3-й этаж гостиницы (блок N 3) |
В1 | В лестничную клетку | | 0,9 |
В2 | В лестничную клетку | | 0,9 |
Ширина лестничного марша всех эвакуационных лестничных клеток принималась 1,20 м.
Ширина входа в эвакуационные лестничные клетки принималась 0,9 м.
Ширина выхода из эвакуационных лестничных клеток принималась 1,20 м.
Расчетное количество людей. Количество людей принималось из расчета количества и вместимости гостиничных номеров и в блоке N 3 составило 86 чел. В рассматриваемой части здания количество людей составило 18 чел.
Дополнительные условия. В рассматриваемом блоке пребывание МГН не предусмотрено.
Направление движения людей. При расчете времени движения людей из рассматриваемых помещений в описании эвакуационной схемы задавалось наиболее предпочтительное (наиболее вероятное) направление движения людей к эвакуационным выходам. Предполагалось, что при эвакуации из помещения люди движутся в сторону ближайших к ним выходов, за исключением случая, когда ближайший выход блокирован.
Особенности процесса эвакуации. При движении людей вблизи выходов продолжительные (более 6 мин) скопления людей высокой плотности не образуются.
Движение по лестничным клеткам. Во время движения людей по лестничным клеткам продолжительные (более 6 мин) скопления людей высокой плотности не образуются.
Время эвакуации всех людей наружу составляет 73 с.
Время эвакуации людей в выход В1 составляет 12 с.
Время эвакуации людей в выход В2 составляет 14 с.
Характеристики процесса эвакуации представлены на рис. 170 - 178.
Рис. 172. Динамика эвакуации людей с этажа (вариант 3)
Рис. 174. Динамика эвакуации людей из здания наружу
(вариант 4)
Анализ результатов расчетов показывает, что на путях эвакуации не возникают продолжительные скопления (более 6 мин) людей с критическими плотностями людских потоков, и эвакуация людей осуществляется до момента блокирования эвакуационных выходов опасными факторами пожара. Время эвакуации людей из здания определяется в основном пропускной способностью путей эвакуации, в частности шириной выходов в лестничные клетки и шириной маршей лестничных клеток.
3.2.8.3. Оценка последствий воздействия опасных факторов
пожара на людей для различных сценариев его развития
Вероятность эвакуации людей из здания при пожаре P
э рассчитывают по
формуле (3) Методики. В табл. 27 приведены значения параметров, необходимых для расчета P
э для различных частей здания. Во
2-м столбце табл. 27 приведено время блокирования соответствующего выхода или помещения в случае пожара t
бл (согласно
Методике, критическое время по каждому из опасных факторов пожара определяется как время достижения этим фактором предельно допустимого значения на путях эвакуации), в
3-м столбце - необходимое время эвакуации людей 0,8t
бл, в
4-м столбце расчетное время эвакуации людей из соответствующей зоны t
р. В
5-м столбце приведено время начала эвакуации t
нэ, определенное в соответствии с
п. 1 прил. N 5 к Методике. В
6-м столбце приведено максимальное время существования скоплений людей на различных эвакуационных участках t
ск, определенное на основе
п. 3.2.8. и рис. 170 - 178. В
7-м столбце приведено рассчитанное значение вероятности эвакуации людей из здания P
э.
Определение вероятности эвакуации людей из здания
Пути эвакуации | tбл, с | 0,8tбл, с | tр, с | tнэ, с | tск, с | Pэ |
1 | | | | | | |
Вариант 1 | 110 | 88 | 45 | 24 | < 360 | 0,999 |
Вариант 2 | 100 | 80 | 25 | 22 | < 360 | 0,999 |
Вариант 3 | 160 | 128 | 43 | 120 | < 360 | 0 |
Вариант 4 | 170 | 136 | 14 | 120 | < 360 | 0,999 |
3.2.8.4. Определение величины индивидуального
пожарного риска
В соответствии с расчетными зависимостями, приведенными в разделе, а также учитывая полученные в
п. 3.2.8.3 значения вероятности эвакуации P
э, рассчитаем значения индивидуального пожарного риска для каждого расчетного сценария.
Пожар возникает в помещении подземной автостоянки (пожарный отсек N 1), расположенном на втором подземном уровне.
Расчетная величина индивидуального пожарного риска Q
в1 для 1-го сценария пожара рассчитывается по
формуле (2).
Частота возникновения пожара в здании Q
п1 определяется на основании статистических данных по
прил. N 1 к Методике
[1] и для автостоянки составляет 4 · 10
-2.
Коэффициент, учитывающий соответствие установок автоматического пожаротушения требованиям нормативных документов по пожарной безопасности, Kап1 = 0,9.
Вероятность присутствия людей в здании определяется на основе времени нахождения людей в здании в течение суток и составляет 12 ч. Следовательно, Pпр1 = 0,5.
Значение вероятности эвакуации людей P
э1 = 0,999
(табл. 27).
Коэффициент, учитывающий соответствие системы противопожарной защиты K
п.зi, направленной на обеспечение безопасной эвакуации людей при пожаре, требованиям нормативных документов по пожарной безопасности, определяется по
формуле (4). При этом K
обн = 0,8; K
СОУЭ = 0,8; K
ПДЗ = 0,8. Следовательно, K
п.зi = 0,8704.
Подставляя полученные значения в
формулу (2), получаем Q
в1 = 0,259 · 10
-6.
Пожар возникает в помещении подземной автостоянки (пожарный отсек N 1), расположенном на первом подземном уровне.
Расчетная величина индивидуального пожарного риска Q
в2 для 2-го сценария пожара рассчитывается по
формуле (2).
Частота возникновения пожара в здании Q
п2 определяется на основании статистических данных по
прил. 1 к Методике
[1] и для автостоянки составляет 4 · 10
-2.
Коэффициент, учитывающий соответствие установок автоматического пожаротушения требованиям нормативных документов по пожарной безопасности, Kап2 = 0,9.
Вероятность присутствия людей в здании определяется на основе времени нахождения людей в здании в течение суток и составляет 12 ч. Следовательно, Pпр2 = 0,5.
Значение вероятности эвакуации людей P
э2 = 0,999
(табл. 27).
Коэффициент, учитывающий соответствие системы противопожарной защиты K
п.зi, направленной на обеспечение безопасной эвакуации людей при пожаре, требованиям нормативных документов по пожарной безопасности, определяется по
формуле (4). При этом K
обн = 0,8; K
СОУЭ = 0,8; K
ПДЗ = 0,8. Следовательно, K
п.з2 = 0,8704.
Подставляя полученные значения в
формулу (2), получаем Q
в2 = 0,259 · 10
-6.
Пожар возникает в помещении, расположенном на втором этаже блока N 2.
Расчетная величина индивидуального пожарного риска Q
в3 для 3-го сценария пожара рассчитывается по
формуле (2).
Частота возникновения пожара в здании Q
п3 определяется на основании статистических данных по
прил. N 1 к Методике
[1] и для гостиницы составляет 2,81 · 10
-2.
Коэффициент, учитывающий соответствие установок автоматического пожаротушения требованиям нормативных документов по пожарной безопасности, Kап3 = 0,9.
Вероятность присутствия людей в здании определяется на основе времени нахождения людей в здании в течение суток и составляет 24 ч. Следовательно, Pпр3 = 1.
Значение вероятности эвакуации людей P
э3 = 0
(табл. 27).
Коэффициент, учитывающий соответствие системы противопожарной защиты K
п.зi, направленной на обеспечение безопасной эвакуации людей при пожаре, требованиям нормативных документов по пожарной безопасности, определяемся по
формуле (4). При этом K
обн = 0,8; K
СОУЭ = 0,8; K
ПДЗ = 0,8. Следовательно, K
п.з3 = 0,8704.
Подставляя полученные значения в
формулу (2), получаем Q
в3 = 0,364 · 10
-3.
Пожар возникает в помещении, расположенном на третьем этаже блока N 3.
Расчетная величина индивидуального пожарного риска Q
в4 для 4-го сценария пожара рассчитывается по
формуле (2).
Частота возникновения пожара в здании Q
п4 определяется на основании статистических данных по
прил. N 1 к Методике
[1] и для гостиницы составляет 2,81 · 10
-2.
Коэффициент, учитывающий соответствие установок автоматического пожаротушения требованиям нормативных документов по пожарной безопасности, Kап4 = 0,9.
Вероятность присутствия людей в здании определяется на основе времени нахождения людей в здании в течение суток и составляет 24 ч. Следовательно, Pпр4 = 1.
Значение вероятности эвакуации людей P
э4 = 0,999
(табл. 27).
Коэффициент, учитывающий соответствие системы противопожарной защиты K
п.зi, направленной на обеспечение безопасной эвакуации людей при пожаре, требованиям нормативных документов по пожарной безопасности, определяется по
формуле (4). При этом K
обн = 0,8; K
СОУЭ = 0,8; K
ПДЗ = 0,8. Следовательно, K
п.з4 = 0,8704.
Подставляя полученные значения в
формулу (2), получаем Q
в4 = 0,364 · 10
-6.
Расчетная величина пожарного риска в здании, сооружении или строении определяется как максимальное значение пожарного риска из рассмотренных сценариев пожара:
Qв = max{Qв1,..., Qвi,..., Qвn}.
Таким образом, Q
в = Q
в3 = 0,364 · 10
-3 > Q
вн = 10
-6 и
соотношение (1) не выполняется.
Расчетное значение индивидуального пожарного риска превышает нормативное, следовательно, пожарный риск превышает допустимое значение (безопасность людей не обеспечивается).
3.2.9. Разработка дополнительных
противопожарных мероприятий
В результате расчета пожарного риска было установлено, что для расчетного
сценария N 3 значение пожарного риска превышает допустимое значение, установленное Федеральным
законом от 22 июля 2008 г. N 123-ФЗ "Технический регламент о требованиях пожарной безопасности".
На основании вышеуказанного, согласно
п. 21 Методики
[1] необходимо предусмотреть дополнительные противопожарные мероприятия, направленные на обеспечение безопасной эвакуации людей при пожаре.
В результате анализа полученных результатов расчетного сценария в качестве дополнительных мероприятий предложено:
1. Здание оборудовать системой оповещения и управления эвакуацией людей при пожаре (СОУЭ), реализующей поэтапную эвакуацию людей.
2. Исключить размещение горючей нагрузки в помещении, расположенном на втором этаже в осях А/Г-А/Д/3-4.
3. В гостиничных номерах N 202/2, 201/2 не предусматривать размещение людей, относящихся к МГН.
4. Не предусматривать размещение МГН группы мобильности М2 в номере N 208/2.
5. Предусмотреть в коридоре второго этажа здания систему удаления продуктов горения при пожаре с расходом не менее 15 тыс. м3/ч.
3.2.9.1. Результаты расчета времени блокирования путей
эвакуации опасными факторами пожара с учетом реализации
дополнительных противопожарных мероприятий
Сценарий 5 (с учетом реализации указанных дополнительных противопожарных мероприятий)
Очаг пожара находится в помещении, расположенном на втором этаже, на уровне пола.
При проведении расчетов по распространению опасных факторов пожара учитывалась работа системы удаления дыма при пожаре.
Динамику данного варианта развития пожара можно проиллюстрировать следующими основными моментами:
30 с - продукты горения достигают потолка помещения очага пожара и распространяются под ним в радиальном направлении;
60 с - на большей части площади помещения очага пожара дым опускается ниже отм. 1,7 м от уровня пола
(рис. 179);
100 с - на отдельных участках площади коридора дым опускается ниже отм. 1,7 м от уровня пола
(рис. 180);
170 с - блокируется по признаку потери видимости эвакуационный выход В2, а также вход в зону безопасности МГН ВБ
(рис. 181);
180 с - блокируется по признаку потери видимости эвакуационный выход В1
(рис. 182). Блокируются по признаку повышения температуры эвакуационные выходы В1 и В2, а также вход в зону безопасности МГН ВБ
(рис. 183). Блокирование эвакуационных выходов В1 и В2, а также входа в зону безопасности МГН ВБ по признаку превышения концентрации CO и CO
2 не происходит (
рис. 184,
185). Блокируются по признаку понижения концентрации O
2 эвакуационные выходы В1 и В2, а также вход в зону безопасности МГН ВБ
(рис. 186).
Из результатов расчета следует, что наиболее опасным фактором пожара из всех рассмотренных является потеря видимости.
Более подробная информация о времени блокирования отдельных эвакуационных выходов представлена в табл. 28.
Время блокирования tбл ОФП путей эвакуации
N выхода | Оси расположения | Время блокирования, с |
CO2 | CO | HCl | T | O2 | Потеря видимости |
В1 | | > 180 | > 180 | - | 180 | 180 | 180 |
В2 | | > 180 | > 180 | - | 180 | 180 | 170 |
ВБ | | > 180 | > 180 | - | 180 | 180 | 170 |
Рис. 179. Оптическая плотность дыма (Нп/м)
в горизонтальном сечении на высоте 1,7 м от уровня пола
в момент времени 60 с
Рис. 180. Оптическая плотность дыма (Нп/м)
в горизонтальном сечении на высоте 1,7 м от уровня пола
в момент времени 100 с
Рис. 181. Оптическая плотность дыма (Нп/м)
в горизонтальном сечении на высоте 1,7 м от уровня пола
в момент времени 170 с
Рис. 182. Оптическая плотность дыма (Нп/м)
в горизонтальном сечении на высоте 1,7 м от уровня пола
в момент времени 180 с
Рис. 183. Поля температуры (K) в горизонтальном сечении
на высоте 1,7 м от уровня пола в момент времени 180 с
Рис. 184. Концентрация CO (кг/м
3) в горизонтальном сечении
на высоте 1,7 м от уровня пола в момент времени 180 с
Рис. 185. Концентрация CO
2 (кг/м
3) в горизонтальном сечении
на высоте 1,7 м от уровня пола в момент времени 180 с
Рис. 186. Концентрация O
2 (кг/м
3) в горизонтальном сечении
на высоте 1,7 м от уровня пола в момент времени 180 с
3.2.9.2. Расчет времени эвакуации людей для сценариев N 5
и 6 при выполнении дополнительных мероприятий
Вариант 5. Эвакуация со 2 этажа
Описание эвакуационного сценария. В данном расчетном сценарии рассматривался процесс эвакуации людей со 2-го этажа блока N 2 гостиницы. Расчет данного варианта проводился в соответствии с пятым сценарием развития пожара. Опасные факторы пожара распространяются в помещении очага пожара, далее начинается распространение опасных факторов пожара в коридоре с последующим блокированием эвакуационных выходов.
Параметры эвакуационных путей и выходов. Для эвакуации из рассматриваемой части здания предусмотрено три эвакуационных выхода.
Параметры эвакуационных выходов, принятые в расчете, приведены в табл. 29.
N п/п | Тип выхода | Оси расположения | Ширина выхода не менее, м |
2-й этаж гостиницы (блок N 2) |
В1 | В лестничную клетку | | 0,9 |
В2 | В коридор | | 0,9 |
ВБ | В зону безопасности | | 1,0 |
Ширина лестничного марша всех эвакуационных лестничных клеток принималась 1,20 м.
Ширина входа в эвакуационные лестничные клетки принималась 0,9 м.
Ширина выхода из эвакуационных лестничных клеток принималась 1,20 м.
Расчетное количество людей. Количество людей принималось из расчета количества и вместимости гостиничных номеров и в рассматриваемой части здания составило 8 чел. Кроме того, согласно проекту, в рассматриваемой части здания возможно пребывание 2 чел., относящихся к маломобильным группам населения (МГН) группы мобильности М4.
Дополнительные условия. Расстояние от номеров, предусмотренных для рассматриваемой группы МГН, до эвакуационных выходов, приспособленных для МГН группы мобильности М4 (ширина дверного проема, пандус и т.д.), не превышает 15 м.
Направление движения людей. При расчете времени движения людей из рассматриваемых помещений в описании эвакуационной схемы задавалось наиболее предпочтительное (наиболее вероятное) направление движения людей к эвакуационным выходам. Предполагалось, что при эвакуации из помещения люди движутся в сторону ближайших к ним выходов, за исключением случая, когда ближайший выход блокирован.
Особенности процесса эвакуации. При движении людей вблизи выходов продолжительные (более 6 мин) скопления людей высокой плотности не образуются.
Движение по лестничным клеткам. Во время движения людей по лестничным клеткам продолжительные (более 6 мин) скопления людей высокой плотности не образуются.
Время эвакуации людей в выход В1 составляет 13 с.
Характеристики процесса эвакуации представлены на рис. 187 и 188.
Анализ результатов расчетов показывает, что на путях эвакуации не возникают продолжительные скопления (более 6 мин) людей с критическими плотностями людских потоков, и эвакуация людей осуществляется до момента блокирования эвакуационных выходов опасными факторами пожара. Время эвакуации людей из здания определяется в основном пропускной способностью путей эвакуации, в частности, шириной выходов в лестничные клетки и шириной маршей лестничных клеток.
3.2.9.3. Определение вероятности эвакуации людей из здания
при пожаре Pэ
Вероятность эвакуации людей из здания при пожаре P
э рассчитывают по
формуле (4). В табл. 30 приведены значения параметров, необходимых для расчета P
э для различных частей здания. Во
2-м столбце таблицы приведено время блокирования соответствующего выхода или помещения в случае пожара t
бл (согласно
Методике, критическое время по каждому из опасных факторов пожара определяется как время достижения этим фактором предельно допустимого значения на путях эвакуации), в
3-м столбце - необходимое время эвакуации людей 0,8t
бл, в
4-м столбце - расчетное время эвакуации людей из соответствующей зоны t
р, В
5-м столбце приведено время начала эвакуации t
нэ определенное в соответствии с
п. 1 прил. N 5 к Методике
[1]. В
6-м столбце приведено максимальное время существования скоплений людей на различных эвакуационных участках t
ск. В
7-м столбце приведено рассчитанное значение вероятности эвакуации людей из здания P
э.
Определение вероятности эвакуации людей из здания
Пути эвакуации | tбл, с | 0,8tбл, с | tр, с | tнэ, с | tск, с | Pэ |
1 | | | | | | |
Вариант 5 | 180 | 144 | 13 | 120 | < 360 | 0,999 |
3.2.9.4. Определение ветчины индивидуального пожарного
риска с учетом реализации дополнительных мероприятий
В соответствии с расчетными зависимостями, приведенными в
п. 3.2.8.3, а также учитывая полученное в
п. 3.2.9.3 значение вероятности эвакуации P
э, рассчитаем значения индивидуального пожарного риска для каждою расчетного сценария.
Пожар возникает в помещении, расположенном на втором этаже блока N 2.
Расчетная величина индивидуального пожарного риска Q
в5 для 5-го сценария пожара рассчитывается по
формуле (2).
Частота возникновения пожара в здании Q
п5 определяется на основании статистических данных по
прил. N 1 к Методике
[1] и для гостиницы составляет 2,81 · 10
-2.
Коэффициент, учитывающий соответствие установок автоматического пожаротушения требованиям нормативных документов по пожарной безопасности, Kап5 = 0,9.
Вероятность присутствия людей в здании определяется на основе времени нахождения людей в здании в течение суток и составляет 24 ч. Следовательно, Pпр5 = 1.
Значение вероятности эвакуации людей P
э5 = 0,999
(табл. 30).
Коэффициент, учитывающий соответствие системы противопожарной защиты K
п.зi, направленной на обеспечение безопасной эвакуации людей при пожаре, требованиям нормативных документов по пожарной безопасности, определяется по
формуле (4). При этом K
обн = 0,8; K
СОУЭ = 0,8; K
ПДЗ = 0,8. Следовательно, K
п.з5 = 0,8704.
Подставляя полученные значения в
формулу (2), получаем Q
в5 = 0,364 · 10
-6.
Расчетная величина пожарного риска в здании, сооружении или строении определяется как максимальное значение пожарного риска из рассмотренных сценариев пожара:
Qв = max{Qв1,..., Qвi,..., Qвn}.
Таким образом, Q
в = Q
в5 = 0,364 · 10
-6 <

= 10
-6 и
соотношение (2) выполняется.
Расчетное значение индивидуального пожарного риска не превышает нормативное, следовательно, пожарный риск не превышает допустимое значение (безопасность людей обеспечивается).
На основании проведенных расчетов установлено, что пожарный риск для объекта "Здание гостиницы" по адресу г. Москва, ул. Нагорная, вл. 33 не превышает допустимого значения, установленного Федеральным
законом от 22 июля 2008 г. N 123-ФЗ "Технический регламент о требованиях пожарной безопасности", при условии реализации дополнительных мероприятий, приведенных в
п. 3.2.9 настоящей работы.
Вывод справедлив для исходных данных, представленных в расчете (объемно-планировочные и архитектурные решения, количество людей и т.д.). При изменении исходных данных расчет пожарного риска должен быть проведен повторно.
Исполнитель 1
Исполнитель 2
Исполнитель 3
3.3. Пример определения расчетного времени эвакуации людей
для здания класса функциональной пожарной опасности Ф4.3
с использованием имитационно-стохастической модели
движения людских потоков
Множество людей, одновременно идущих в одном направлении по общим участкам пути, образуют людской поток. Участками формирования людских потоков в помещениях следует принимать проходы между оборудованием. Для последующих участков эвакуационных путей они представляют собой первичные источники людских потоков. Распределение N
i человек на участках формирования, имеющих ширину b
i и длину l
i, принимается равномерным. Поэтому в начальный момент t
0 на каждом элементарном участке

, занимаемом потоком, плотность потока

, чел./м
2, определяется по формуле

. (18)
При дальнейшем движении людских потоков из первичных источников по общим участкам пути происходит их слияние. Образуется общий поток, части которого имеют различную плотность. Происходит выравнивание плотностей различных частей людского потока - его переформирование. Следует учитывать, что его головная часть, имеющая перед собой свободный путь, растекается - люди стремятся идти свободно при плотности D
0. За интервал времени

часть людей переходит с этих элементарных участков на последующие и происходит изменение состояния людского потока, его движение.
Скорость движения людского потока при плотности Di на i-м отрезке участка пути k-го вида следует считать случайной величиной VD,k, имеющей числовые характеристики:
математическое ожидание (среднее значение):
VD,k = V0,k (1 - akln Di / D0,k) m при Di > D0,k,
V
D,k = V
0,k при D
i 
D
0,k; (19)
среднее квадратичное отклонение:

, (20)
где V
0,k и

- математическое ожидание скорости свободного движения людей в потоке (при D
i 
D
0,k) и ее среднее квадратичное отклонение, м/мин; D
0,k - предельное значение плотности людского потока, до достижения которого возможно свободное движение людей по k-му виду пути (плотность не влияет на скорость движения людей); a
k - коэффициент адаптации людей к изменениям плотности потока при движении по k-му виду пути; D
i - значение плотности людского потока на i-м отрезке

участка пути шириной b
i чел./м
2; m - коэффициент влияния проема.
Значения перечисленных параметров следует принимать по табл. 31.
Вид пути k | V0,k, м/мин |  , м/мин | D0,k, чел./м2 | ak | m |
Горизонтальный в здании | 100 | 5 | 0,51 | 0,295 | 1 |
Горизонтальный вне здания | 100 | 5 | 0,70 | 0,407 | 1 |
| 100 | 5 | 0,65 | 0,295 | 1,25 - 0,05D при D  5 |
Лестница вниз | 80 | 5 | 0,89 | 0.400 | 1 |
Лестница вверх | 50 | 5 | 0,67 | 0,305 | 1 |
--------------------------------
<*> При D = 9 чел./м
2 значения q
i = V
i D
0,k определяются по формуле q
i = 10 (3,75 + 2,5b
i), м/мин.
При любом возможном значении V
t0 люди в количестве

, находящиеся в момент t
0 на i-м элементарном участке, двигаются по нему и начинают переходить на следующий участок (i+1)
(рис. 189). На участок i в свою очередь переходит часть людей с предыдущего (i-1) элементарного участка и из источника j.
По прошествии времени

к моменту

только часть людей

с участка i успеет перейти на участок (i+1). К этому моменту времени из

людей, бывших на участке i в момент t
0, останется

людей. Их число пополняется за счет людей, успевших за этот интервал времени перейти на него с предыдущего участка -

и из источника

. Тогда плотность потока на участке i в момент t
i будет равна

, (21)
Скорость движения людей, оказавшихся на участке i в момент ti, определяется по формуле

, (22)
Рис. 189. Изменения состояния потока в последовательные
моменты времени
Следует учитывать, что изменение плотности потока на каждом участке в различные моменты времени отражает процесс переформирования различных частей потока, и как частный случай, процесс растекания потока.
Изменение плотности потока на каждом из элементарных участков в последовательные моменты времени зависит от количества людей, переходящих через границы участков. В общем случае количество людей, переходящих за интервал времени

с участка i на последующий участок i+1, составляет:

, (23)
Скорость перехода Vпер через границы смежных элементарных участков следует принимать, руководствуясь следующими формулами:

, (24)
Следует учитывать, что в тот момент времени t
n, когда плотность потока на участке i достигла максимальной величины, на этот участок не может прийти ни один человек, ни с предшествующего участка, ни из источника. В результате перед участком i задерживается соответственно

и

людей. В следующий момент времени t
n+1 часть людей с участка i переходит на участок i+1, плотность людского потока на нем уменьшится, и часть скопившихся перед его границей людей сможет перейти на него. Доля их участия в пополнении людьми участка i в момент t
n+1 определяется формулой

, (25)
Формулы (21) -
(25) полностью описывают состояние людского потока на элементарных участках и их переходы в последовательные моменты времени. Совокупность значений расчетного времени эвакуации, полученных при различных значениях V
0,k, формирует эмпирическое распределение вероятностей значений

.
3.3.2. Краткая характеристика объекта
Трехэтажное офисное здание проектируется с размерами в плане 24 x 42 м. Высота этажа - 3,4 м. В здании предусмотрены лестничные клетки типа Л1 с шириной марша 1,5 м (ширина входа в лестничную клетку из коридора 1,0 м, выхода наружу - 1,5 м). Ширина выходов из помещений - 0,8 м, ширина коридоров - 1,2 - 1,8 м.
Количество людей в помещениях в соответствии с
СП 1.13130.2009 принимается из расчета 6 м
2/чел., из помещения обеденного зала на 1-м этаже в соответствии с техническим заданием из расчета 3 м
2/чел. (с округлением в большую сторону до целого числа).
Группа мобильности эвакуирующихся М1. Площадь горизонтальной проекции людей принималась равной 0,125 м2 (взрослый человек в зимней одежде).
Для расчетов применялась имитационно-стохастическая модель, использованная в режиме детерминированного моделирования.
3.3.3. Составление расчетной схемы эвакуации
Расчетная схема эвакуации представляет собой отдельно выполненную или нанесенную на план здания схему, на которой отражены количество людей на начальных участках, направление их движения и геометрические размеры участков пути. При использовании современных расчетных программных комплексов, расчетная схема, как правило, составляется автоматически на основе исходных данных, введенных пользователем: количество людей и направления их движения (
рис. 190 -
192). В соответствии с требованиями методики один выход с этажа блокируется. В рассматриваемом примере блокируется выход в осях 1-2/Б-В, так как в случае его функционирования через него будет эвакуироваться большее количество людей, чем через выход с этажа в осях 6-7/А-Б. В таком случае ЛК 1 будет испытывать максимальные нагрузки.
Пример составления расчетной схемы эвакуации при использовании других моделей для расчета, например, упрощенно-аналитической, приведен на
рис. П5.2 Методики.
Рис. 190. Расчетная схема эвакуации с 1-го этажа
Рис. 191. Расчетная схема эвакуации с 2-го этажа
Рис. 192. Расчетная схема эвакуации с 3-го этажа
3.3.4. Выбор мест размещения контрольных точек
Контрольная точка представляет собой координату на пути движения, в которой фиксируются интересующие расчетчика параметры людского потока. Выделяются следующие критерии расстановки контрольных точек в модели.
Критерий N 1. Размещение точек в соответствии с характерными этапами эвакуации. Этап 1 - эвакуация в пределах помещения; этап 2 - в пределах этажа; этап 3 - по лестнице либо лестничной клетке.
Критерий N 2. Размещение точек в местах изменения (сужение) ширины участка либо в местах перехода на другой тип участка пути (например, с горизонтального в дверной проем). В рассматриваемом примере изменение типа пути совпадает с завершением 2-го этапа эвакуации, поэтому контрольная точка размещена у выхода из коридора.
Скачкообразное изменение параметров людского потока происходит в местах слияния людских потоков, выходящих с этажа и спускающихся с выше расположенных этажей. В связи с этим контрольные точки размещены на лестничных площадках на уровне этажей.
Выход людей из лестничной клетки наружу означает завершение эвакуации людей из здания, поэтому и в этом месте следует размещать контрольную точку.
Таким образом, в рассматриваемом примере выбраны следующие места размещения контрольных точек:
1) на выходе людей с этажей;
2) на лестничной площадке на уровне этажей;
3) на выходе из лестничной клетки наружу;
4) у выходов с 1-го этажа.
3.3.5. Результаты расчета
Время эвакуации из помещений здания составляет: от 0,06 мин (кладовая) до 0,91 мин (обеденный зал).
Расчетное время эвакуации людей с этажей здания (через ЛК 1) составляет:
- для 3-го этажа - 2,24 мин;
- для 2-го этажа - 1,10 мин.
Расчетное время эвакуации людей с лестничной площадки на уровне этажей:
- на уровне 3-го этажа - 2,28 мин;
- на уровне 2-го этажа - 2,46 мин.
Расчетное время эвакуации людей из здания наружу:
- через выход 1 - 3,69 мин;
- через выход 2 - 2,21 мин;
- через выход 3 - 0,60 мин.
Наиболее длительное скопление людского потока образуется при эвакуации через выход 1 наружу и составляет 2,47 мин.
Время начала эвакуации для помещения очага пожара (в зависимости от площади помещения) - от 0,10 до 0,14 мин.
Время начала эвакуации для остальных помещений здания - 1,50 мин.
На
рис. 193 -
199 приведены графики зависимости плотности людского потока от времени в контрольных точках.
193. Зависимость плотности людского потока от времени
на выходе с 3-го этажа в лестничную клетку
Рис. 194. Зависимость плотности людского потока от времени
на лестничной площадке на уровне 3-го этажа
Рис. 195. Зависимость плотности людского потока от времени
на выходе с 2-го этажа в лестничную клетку
Рис. 196. Зависимость плотности людского потока от времени
на лестничной площадке на уровне 2-го этажа
Рис. 197. Зависимость плотности людского потока от времени
на выходе из здания (выход 1)
Рис. 198. Зависимость плотности людского потока от времени
на выходе из здания (выход 2)
Рис. 199. Зависимость плотности людского потока от времени
на выходе из здания (выход 3)
3.3.6. Выводы по результатам расчета
Результаты расчета показали, что время эвакуации людей из помещений находится в диапазоне от 0,06 до 0,91 мин. Время эвакуации людей с этажей здания составляет для 3-го этажа - 2,24 мин, для 2-го этажа - 1,10 мин, для 1-го этажа - 2,21 мин. Время эвакуации людей из здания определяется эвакуацией через выход 1 на первом этаже и составляет 3,69 мин.
Наиболее продолжительное скопление людского потока образуется перед выходом 1 на первом этаже (на участке в осях 6-7/А-Б) и составляет 2,47 мин, что меньше критического значения, равного 6 мин.
Время начала эвакуации для помещения очага пожара (в зависимости от площади помещения) - от 0,10 до 0,14 мин, для остальных помещений здания - 1,50 мин.
Общее время эвакуации из здания является суммой расчетного времени эвакуации и времени начала эвакуации и составляет: 1,50 + 3,69 = 5,19 мин.
1.
Методика определения расчетных величин пожарного риска в зданиях, сооружениях и строениях различных классов функциональной пожарной опасности. Прил. к приказу МЧС России от 30.06.2009 N 382 (с изменениями, внесенными приказом МЧС России от 12.12.2011 N 749).
2.
Постановление Правительства Российской Федерации от 31.03.2009 N 272 "О порядке проведения расчетов по оценке пожарного риска".
3. Федеральный
закон от 22.07.2008 N 123-ФЗ "Технический регламент о требованиях пожарной безопасности" (с изменениями, внесенными Федеральным законом от 10.07.2012 N 117-ФЗ и Федеральным законом от 02.07.2013 N 185-ФЗ).
4.
Постановление Правительства Российской Федерации от 16.02.2008 N 87 "О составе разделов проектной документации и требованиях к их содержанию".