Главная // Актуальные документы СПРАВКА
Источник публикации
Официальный интернет-портал правовой информации http://www.pravo.gov.ru, 04.07.2017
Примечание к документу
Название документа
Приказ Минэкономразвития России от 29.03.2017 N 137
"Об установлении Структуры государственной нивелирной сети и Требований к созданию государственной нивелирной сети, включая требования к нивелирным пунктам"
(Зарегистрировано в Минюсте России 03.07.2017 N 47274)
Приказ Минэкономразвития России от 29.03.2017 N 137
"Об установлении Структуры государственной нивелирной сети и Требований к созданию государственной нивелирной сети, включая требования к нивелирным пунктам"
(Зарегистрировано в Минюсте России 03.07.2017 N 47274)
Зарегистрировано в Минюсте России 3 июля 2017 г. N 47274
МИНИСТЕРСТВО ЭКОНОМИЧЕСКОГО РАЗВИТИЯ РОССИЙСКОЙ ФЕДЕРАЦИИ
ПРИКАЗ
от 29 марта 2017 г. N 137
ОБ УСТАНОВЛЕНИИ
СТРУКТУРЫ ГОСУДАРСТВЕННОЙ НИВЕЛИРНОЙ СЕТИ И ТРЕБОВАНИЙ
К СОЗДАНИЮ ГОСУДАРСТВЕННОЙ НИВЕЛИРНОЙ СЕТИ, ВКЛЮЧАЯ
ТРЕБОВАНИЯ К НИВЕЛИРНЫМ ПУНКТАМ
В соответствии с
частью 5 статьи 8 Федерального закона от 30 декабря 2015 г. N 431-ФЗ "О геодезии, картографии и пространственных данных и о внесении изменений в отдельные законодательные акты Российской Федерации" (Собрание законодательства Российской Федерации, 2016, N 1, ст. 51; N 27, ст. 4294) и
пунктом 1 Положения о Министерстве экономического развития Российской Федерации, утвержденного постановлением Правительства Российской Федерации от 5 июня 2008 г. N 437 (Собрание законодательства Российской Федерации, 2008, N 24, ст. 2867; N 46, ст. 5337; 2009, N 3, ст. 378; N 18, ст. 2257; N 19, ст. 2344; N 25, ст. 3052; N 26, ст. 3190; N 41, ст. 4777; N 46, ст. 5488; 2010, N 5, ст. 532; N 9, ст. 960; N 10, ст. 1085; N 19, ст. 2324; N 21, ст. 2602; N 26, ст. 3350; N 40, ст. 5068; N 41, ст. 5240; N 45, ст. 5860; N 52, ст. 7104; 2011, N 9, ст. 1251; N 12, ст. 1640; N 14, ст. 1935; N 15, ст. 2131; N 17, ст. 2411, 2424; N 36, ст. 5149; N 39, ст. 5485; N 43, ст. 6079; N 46, ст. 6527; 2012, N 1, ст. 170, 177; N 13, ст. 1531; N 19, ст. 2436, 2444; N 27, ст. 3745, 3766; N 37, ст. 5001; N 39, ст. 5284; N 51, ст. 7236; N 52, ст. 7491; N 53, ст. 7943; 2013, N 5, ст. 391; N 14, ст. 1705; N 33, ст. 4386; N 35, ст. 4514; N 36, ст. 4578; N 45, ст. 5822; N 47, ст. 6120; N 50, ст. 6606; N 52, ст. 7217; 2014, N 6, ст. 584; N 15, ст. 1750; N 16, ст. 1900; N 21, ст. 2712; N 37, ст. 4954; N 40, ст. 5426; N 42, ст. 5757; N 44, ст. 6072; N 48, ст. 6871; N 49, ст. 6957; N 50, ст. 7100, 7123; N 51, ст. 7446; 2015, N 1, ст. 219; N 6, ст. 965; N 7, ст. 1046; N 16, ст. 2388; N 20, ст. 2920; N 22, ст. 3230; N 24, ст. 3479; N 30, ст. 4589; N 36, ст. 5050; N 41, ст. 5671; N 43, ст. 5977; N 44, ст. 6140; N 46, ст. 6377, 6388; 2016, N 2, ст. 325, 336; N 5, ст. 697; N 7, ст. 994; N 17, ст. 2409, 2410; N 23, ст. 3312; N 28, ст. 4741; N 29, ст. 4822; N 31, ст. 5013; N 35, ст. 5332; N 42, ст. 5943; N 43, ст. 6029; N 45, ст. 6273; N 50, ст. 7099, 7100; 2017, N 1, ст. 175; N 5, ст. 800; N 8, ст. 1258; N 10, ст. 1498), приказываю:
Утвердить прилагаемые:
Требования к созданию государственной нивелирной сети, включая требования к нивелирным пунктам
(приложение N 2).
Министр
М.С.ОРЕШКИН
к приказу Минэкономразвития России
от 29.03.2017 г. N 137
СТРУКТУРА ГОСУДАРСТВЕННОЙ НИВЕЛИРНОЙ СЕТИ
1. Государственная нивелирная сеть формируется по принципу перехода от нивелирных сетей высшей точности к сетям менее точным и состоит из:
Кронштадтского футштока, являющегося исходным нивелирным пунктом государственной нивелирной сети;
нивелирной сети I класса;
нивелирной сети II класса;
нивелирной сети III класса;
нивелирной сети IV класса.
2. Нивелирные сети I и II классов составляют главную высотную основу Российской Федерации и создаются для решения следующих научных задач:
изучение фигуры Земли и ее внешнего гравитационного поля;
определение разностей нормальных высот и наклонов среднеуровенной поверхности морей и океанов, омывающих территорию Российской Федерации;
изучение современных вертикальных движений земной поверхности;
прогнозирование влияния производства на окружающую среду, в том числе при добыче нефти, газа и других полезных ископаемых;
сейсмическое районирование территории Российской Федерации, выявление предвестников землетрясений;
изучение строения земной коры, получение данных о скоростях и направленности движений отдельных блоков, выявление действующих разломов и разрывов в земной коре.
3. Нивелирные сети III и IV классов создаются для сгущения государственной нивелирной сети. При создании нивелирных сетей III и IV классов обеспечивается возможность их использования для выполнения топографических съемок, инженерно-геодезических работ, геологических изысканий и решения иных специальных задач.
к приказу Минэкономразвития России
от 29.03.2017 г. N 137
К СОЗДАНИЮ ГОСУДАРСТВЕННОЙ НИВЕЛИРНОЙ СЕТИ, ВКЛЮЧАЯ
ТРЕБОВАНИЯ К НИВЕЛИРНЫМ ПУНКТАМ
1. При создании государственной нивелирной сети используются следующие основные характеристики:
значения высот пунктов нивелирных пунктов;
плотность нивелирных пунктов;
средние квадратические погрешности нивелирования;
невязка совокупностей воображаемых линий, получаемых в результате выполнения работ по определению значений высот точек земной поверхности, соединяющих смежные нивелирные пункты (далее соответственно - нивелирование, линия нивелирования), проходящих через нивелирные пункты государственной нивелирной сети, от которых начинаются или заканчиваются более двух линий нивелирования (далее - узловые пункты) и образующих геометрическое построение в виде замкнутого полигона (далее - нивелирный полигон);
периметры нивелирных полигонов.
2. Значения высот нивелирных пунктов государственной нивелирной сети устанавливаются в государственной системе высот.
3. Плотность нивелирных пунктов определяется как расстояние между смежными нивелирными пунктами государственной нивелирной сети, которое не должно превышать 5 км. В труднодоступных районах на отдельных участках, где выбор местоположения размещения нивелирных пунктов затруднен, расстояние между смежными нивелирными пунктами государственной нивелирной сети может быть увеличено до 7 км. В горных районах расстояние между смежными нивелирными пунктами не должно превышать 3 - 4 км, а между смежными нивелирными пунктами, закрепленными скальными и стенными реперами - 1 - 2 км. На геодинамических полигонах вблизи разломов и границ основных блоков расстояние между смежными нивелирными пунктами не должно превышать 0,5 - 1,5 км. В городах, населенных пунктах и на промышленно развитых территориях расстояние между смежными нивелирными пунктами не должно превышать 2 км на застроенной и 3 км на незастроенной территории.
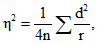
4. Средние квадратические погрешности нивелирования

(случайная средняя квадратичная погрешность нивелирования) и

(систематическая средняя квадратичная погрешность нивелирования) вычисляются по формулам:
где:
d = hпр - hобр;
hпр и hобр - превышения по секциям, полученные соответственно в прямом и обратном ходах, мм;
r - длина секции, км;
n - число секций;
S - накопление разностей

по линии нивелирования или ее части, мм;
L - длина линии нивелирования или ее части, км.
При создании (развитии, поддержании в рабочем состоянии) государственной нивелирной сети средние квадратические погрешности нивелирования

и

не должны превышать значений согласно
приложению N 1 к настоящим Требованиям.
5. Невязки нивелирных полигонов определяются как разность между теоретической величиной и величиной, полученной в результате измерений. Теоретическое значение превышения для линий нивелирования определяется как разность высот начального и конечного пунктов линий нивелирования (далее - исходные пункты). Невязки нивелирных полигонов не должны превышать значений согласно
приложению N 2 к настоящим Требованиям.
6. Периметры нивелирных полигонов, образуемых при создании государственной нивелирной сети, устанавливаются согласно
приложению N 2 к настоящим Требованиям.
7. Производственный цикл создания линий нивелирования государственной нивелирной сети включает следующие основные этапы:
проектирование;
обследование территории проведения работ по созданию линий нивелирования государственной нивелирной сети и существующих нивелирных пунктов;
закрепление новых нивелирных пунктов и (или) восстановление существующих пунктов;
выполнение нивелирных измерений (первичных и повторных);
математическая обработка нивелирных измерений;
контроль и приемка работ;
составление каталогов высот нивелирных пунктов и технических отчетов о выполненных работах по созданию линий нивелирования государственной нивелирной сети.
8. Проектирование линий нивелирования государственной нивелирной сети осуществляется на основе материалов о картографо-геодезической изученности территории проведения работ по созданию линий нивелирования государственной нивелирной сети (далее соответственно - работы, территория проведения работ), сведений о состоянии ранее созданных нивелирных пунктов, данных о геологических и геоморфологических особенностях территории проведения работ.
9. Проектирование линий нивелирования нивелирных сетей всех классов выполняется на картах масштабов 1:100 000 - 1:200 000, а последующее уточнение в деталях в случае необходимости осуществляется по картам более крупного масштаба.
При проектировании линий нивелирования нивелирных сетей I и II классов линии нивелирования должны начинаться или заканчиваться на узловых пунктах. В качестве узловых пунктов должны использоваться пункты, закрепленные вековыми или фундаментальными реперами, которые обеспечивают долговременную сохранность узлового пункта и имеют отметки в государственной системе высот.
Начало и конец проектируемой линии нивелирования должны быть связаны с существующими линиями нивелирования нивелирной сети более высокого или равного им класса.
Нивелирование через водные препятствия проектируется в наиболее узких местах с использованием островов и мелей.
При проектировании линий повторного нивелирования нивелирных сетей I и II классов необходимо предусматривать:
при разреженном закреплении нивелирными пунктами ранее проложенных линий нивелирования дополнительную закладку нивелирных пунктов современных типов;
привязку к новым нивелирным пунктам наиболее надежных нивелирных пунктов ранее проложенной линии нивелирования, если изменилось положение линии нивелирования;
использование при проложении линий нивелирования основных реперов морских и речных уровенных постов, в том числе и тех, которые не были привязаны при первоначальном нивелировании.
10. В результате проектирования линий нивелирования государственной нивелирной сети решаются задачи, связанные с выбором схемы проектируемых линий нивелирования и технологии ее построения, типов центров для закрепления нивелирных пунктов.
11. Обследование территории проведения работ проводится по заранее составленному на карте проекту. При обследовании местности обеспечивается:
уточнение проекта линий нивелирования государственной нивелирной сети;
подтверждение правильности выбора мест для закладки пунктов государственной нивелирной сети (с учетом отсутствия помех для применяемых при проведении работ средств измерений);
оценка возможности закладки выбранных в проекте типов центров закрепления нивелирных пунктов;
проверка состояния существующих нивелирных пунктов, заложенных на территории проведения работ;
установление на местности предполагаемого местоположения размещения узловых пунктов в местах пересечения с проложенными ранее линиями нивелирования;
установление на местности подходов к близко расположенным футштокам, метеостанциям и водомерным постам с целью привязки к ним государственной нивелирной сети;
составление абриса с описанием мест закладки нивелирных пунктов, составление списков обследованных существующих нивелирных пунктов.
По результатам обследования территории проведения работ составляются отчет и схема(ы) обследованных линий нивелирования.
12. При обследовании центров существующих нивелирных пунктов оценивается:
состояние нивелирного пункта, включая его сохранность, нарушение наружного оформления, прочность цементирования марок;
для центра пункта, закрепленного стенным репером, определяют состояние здания, сооружения, в котором он заложен, местоположение, назначение и этажность, наличие и размеры трещин в стенах, видимые нарушения фундамента здания, сооружения и так далее;
влияние инженерно-геологических факторов на устойчивость нивелирного пункта.
13. Нивелирные пункты государственной нивелирной сети закрепляются на местности долговременными центрами (репер, марка), выбор типа которых устанавливается в зависимости от физико-географических и геологических условий территории проведения работ, в том числе глубины промерзания и оттаивания грунтов.
Нивелирные пункты государственной нивелирной сети имеют наружный опознавательный знак. В отдельных случаях допускается создание нивелирных пунктов, не имеющих наружного знака.
14. Реперы состоят из железобетонного (металлического) якоря и пилона (трубы) с маркой. Изготовление реперов производят из материалов, обеспечивающих их долговременную сохранность, в том числе с применением антикоррозийных покрытий.
15. Наружный опознавательный знак представляет из себя столб с охранной пластиной.
16. Нивелирные пункты государственной нивелирной сети, в случае если позволяет местоположение нивелирного пункта, имеют элементы наружного оформления (курган, канава, настил, сруб и тому подобное).
17. Места для закладки нивелирных пунктов выбирают вблизи характерных контуров и ориентиров, на возвышениях рельефа с крупнозернистыми слабо увлажненными грунтами, по возможности в скальные породы и капитальные каменные, бетонные и железобетонные здания и сооружения.
Уровень грунтовых вод в местах закладки реперов должен быть не ближе 3 м от поверхности земли.
Запрещается закладывать реперы в местах, где планируется выполнение строительных, гидротехнических, дорожных, горных и сельскохозяйственных работ.
На пашнях реперы следует закладывать по обочинам и вблизи перекрестков дорог, рядом с опорами линий электропередач и связи, вблизи защитных лесных насаждений, вблизи административных границ и границ земельных участков. При закладке реперов в защитных лесных насаждениях необходимо учитывать возможность наноса земли до 100 см и более.
В районах подвижных песков реперы закладывают на закрепленных растительностью межбарханных понижениях, по возможности значительных размеров, а также на краях такыров и в других местах, где не отмечается движение барханов.
В области многолетней мерзлоты для обеспечения устойчивости реперов нижнюю часть репера с якорем следует располагать в многолетнемерзлых грунтах, имеющих достаточно низкую температуру. В области многолетней мерзлоты места для закладки реперов выбирают на повышенных формах рельефа или микрорельефа с небольшой глубиной протаивания грунта: северных, западных и восточных склонах, если на них не скапливается снег; участках, затененных лесом и заросших мхом.
Реперы и марки нивелирных пунктов в городах располагают в зданиях и сооружениях, построенных не менее чем за 7 лет до закладки нивелирного пункта.
На тех участках, где нет зданий и сооружений, в стороне от улиц с интенсивным движением (в парках, на бульварах и в других местах с древесными насаждениями) разрешается закладывать грунтовые реперы.
18. На каждый репер должен быть составлен абрис и дано описание его местоположения, определены координаты в государственной системе координат со средней квадратической ошибкой не более 1 м. Кроме того, расположение реперов должно быть показано на карте масштаба 1:100 000, которую прилагают к материалам нивелирования.
19. Узловой пункт в течение времени его существования в нивелирной сети не изменяется. Изменение узлового пункта допускается только при его утрате, доказанной нестабильности по высоте или закреплении репером более высокого уровня стабильности.
20. При производстве работ следует применять аттестованные методики измерений и средства измерений, прошедшие поверку в соответствии с Федеральным
законом от 26 июня 2008 г. N 102-ФЗ "Об обеспечении единства измерений" <1>.
--------------------------------
<1> Собрание законодательства Российской Федерации, 2008, N 26, ст. 3021; 2011, N 30, ст. 4590; N 49, ст. 7025; 2012, N 31, ст. 4322; 2013, N 49, ст. 6339; 2014, N 26, ст. 3366; N 30, ст. 4255; 2015, N 29, ст. 4359.
21. Через каждые 25 лет, а в сейсмоактивных районах, устанавливаемых по картам сейсмического районирования Российской Федерации, - через каждые 15 лет нивелируются повторно все линии нивелирной сети I класса и через 35 и 25 лет соответственно - нивелирной сети II класса.
22. Математическая обработка нивелирных измерений включает в себя полевые вычисления, предварительные вычисления и уравнивание нивелирных сетей.
В результате математической обработки материалов измерений в нивелирных сетях получают значения высот нивелирных пунктов в государственной системе высот.
23. Результатами работ являются созданные нивелирные пункты, технический отчет о выполненных работах, а также каталог высот нивелирных пунктов.
24. Технический отчет о выполненных работах должен содержать:
общие сведения (местоположение территории проведения работ); наименование юридического лица или фамилию, имя, отчество (последнее - при наличии) индивидуального предпринимателя, выполнивших работы, ИНН и ОГРН указанного юридического лица или ИНН указанного индивидуального предпринимателя; период проведения работ);
краткую физико-географическая характеристику территории проведения работ;
результаты обследования и восстановления нивелирных пунктов;
результаты обследования территории проведения работ и закрепления линии нивелирования;
чертежи нивелирных и геодезических пунктов, включенных в линию нивелирования;
технические характеристики и свидетельства о поверке примененных при проведении работ средств геодезических измерений;
описание методов геодезических работ;
описание и схемы узловых пунктов;
описание методов обработки результатов нивелирования;
схему нивелирных полигонов;
результаты контроля и приемки работ;
ведомость сопоставления результатов нивелирования разных лет по линии нивелирования;
сопоставление результатов нивелирования в узловых пунктах;
график скоростей вертикальных движений по линии нивелирования;
график накопления разностей измеренных превышений в прямом и обратном направлениях по линии нивелирования;
схему линии нивелирования;
схему обследованных нивелирных пунктов по трассе нивелирования.
В техническом отчете о выполненных работах указывается общее число всех пронумерованных листов, перечень и инвентарные номера приложенных картографических материалов, фотографий и других необходимых документов. Отчет должен быть подписан исполнителем работ и заверен его печатью (при наличии печати).
25. Каталог высот нивелирных пунктов должен содержать следующие основные разделы:
справочная информация;
список высот нивелирных пунктов;
чертежи типов центров геодезических пунктов, использованных в качестве нивелирных пунктов, и реперов;
указатель нивелирных линий;
схема нивелирной сети.
26. В разделе "Справочная информация" указываются:
сведения о работах: местоположение территории проведения работ, сведения об исполнителе работ (наименование юридического лица или фамилия, имя, отчество (последнее - при наличии) индивидуального предпринимателя, выполнивших работы, ИНН и ОГРН указанного юридического лица или ИНН указанного индивидуального предпринимателя), год выполнения работ, закрепление нивелирных пунктов на местности, технические характеристики примененных средств измерений, методы выполнения работ, характеристика их точности (средняя случайная и средняя систематическая погрешности на 1 км хода), способы уравнивания и характеристика качества нивелирования по результатам уравнивания;
сведения о работах прежних лет, включенных в каталог и совместно уравненных с новой нивелировкой, их краткая характеристика;
список принятых сокращений.
27. В разделе "Список высот нивелирных пунктов" для каждого пункта указываются:
порядковый номер нивелирного пункта;
название (номер) пункта нивелирования;
вид наружного опознавательного знака;
тип центра;
год закладки;
класс нивелирования пункта;
описание местоположения пункта;
превышение между основной и контрольной марками репера (дается в скобках);
прямоугольные координаты пункта нивелирования в государственной системе координат;
высота пункта над уровнем моря в государственной системе высот.
Для каждого нивелирного пункта главной высотной основы Российской Федерации дополнительно указываются:
расстояние от начального пункта линии нивелирования;
измеренное превышение;
поправка в превышения за переход к разностям нормальных высот;
поправка в превышения из уравнивания;
уравненное превышение.
Пункты нивелирования в списке высот следует группировать по листам карты масштаба 1:50 000 в порядке возрастания номенклатур листа. В пределах каждого листа пункты располагаются по классам, начиная с I класса, а в пределах каждого класса - по убывающим значениям абсцисс координат.
28. В разделе "Чертежи типов центров геодезических пунктов, использованных в качестве нивелирных пунктов, и реперов" отображаются все типы центров геодезических пунктов и реперов значения высот которых, включаются в составляемый каталог. Стенная марка на чертежах не показывается, так как она не имеет разновидностей.
29. В разделе "Указатель нивелирных линий" указатель нивелирных линий составляется по номенклатурным листам масштаба 1:50 000. Он содержит номенклатуры трапеций, названия линий, классы нивелирования и страницы каталога.
Линии разных классов, относящиеся к одной трапеции масштаба 1:50 000, в указателе размещаются в порядке убывания точности классов. Линия, проходящая по нескольким трапециям, включается в каждую из них. В этом случае под названием линии указывается ее участок, относящийся к данной трапеции.
30. В разделе "Схема нивелирной сети" на схеме отображаются все нивелирные линии, реперы, марки и геодезические пункты, включенные в каталог. Рядом с условными знаками пунктов нивелирования даются их номера (названия).
31. В каталог высот нивелирных пунктов должны быть включены все вновь проложенные линии нивелирования, а также линии нивелирования прежних лет, совместно уравненные с новыми линиями.
к Требованиям к созданию
государственной нивелирной сети,
включая требования к нивелирным
пунктам, утвержденным приказом
Минэкономразвития России
от 29.03.2017 г. N 137
СРЕДНИЕ КВАДРАТИЧЕСКИЕ ПОГРЕШНОСТИ НИВЕЛИРОВАНИЯ
Класс нивелирования | Допустимое значение случайной средней квадратической погрешности  на 1 км хода, мм | Допустимое значение систематической средней квадратической погрешности  на 1 км хода, мм |
I | 0,8 | 0,08 |
II | 2,0 | 0,20 |
III | 5,0 | - |
IV | | - |
--------------------------------
<1> Погрешность вычисляется по погрешностям определения длин линий или площадей полигонов.
к Требованиям к созданию
государственной нивелирной сети,
включая требования к нивелирным
пунктам, утвержденным приказом
Минэкономразвития России
от 29.03.2017 г. N 137
ПЕРИМЕТРЫ НИВЕЛИРНЫХ ПОЛИГОНОВ
Класс нивелирования | Периметры нивелирных полигонов, км | Допустимая невязка полигонов <3>, мм |
обжитые районы | малообжитые и труднодоступные районы | города и населенные пункты |
застроенная территория | незастроенная территория |
I | 1200 | 2000 | | | |
II | 400 | 1000 | 50 | 80 | |
| 60 - 150 | 100 - 300 | 25 | 40 | |
| 20 - 60 | 25 - 80 | 8 | 12 | |
--------------------------------
<1> Периметр устанавливается в зависимости от размеров площадей и территорий городских сельских поселений.
<2> Периметры полигонов III и IV классов нивелирования зависят от назначения нивелирных работ.
<3> L - периметр полигона в километрах.