Главная // Актуальные документы СПРАВКА
Источник публикации
В данном виде документ опубликован не был.
Первоначальный текст документа опубликован в изданиях
"Собрание законодательства РФ", 29.05.2006, N 22, ст. 2338,
"Российская газета", N 114, 31.05.2006.
Информацию о публикации документов, создающих данную редакцию, см. в справке к этим документам.
Примечание к документу
Начало действия редакции - 11.11.2023.
Изменения, внесенные
Постановлением Правительства РФ от 27.10.2023 N 1802,
вступили в силу по истечении 7 дней после дня официального опубликования (опубликовано на Официальном интернет-портале правовой информации http://pravo.gov.ru - 03.11.2023).
Срок действия документа
ограничен 1 марта 2029 года.
Название документа
Постановление Правительства РФ от 23.05.2006 N 306
(ред. от 27.10.2023)
"Об утверждении Правил установления и определения нормативов потребления коммунальных услуг и нормативов потребления коммунальных ресурсов, потребляемых при использовании и содержании общего имущества в многоквартирном доме"
Постановление Правительства РФ от 23.05.2006 N 306
(ред. от 27.10.2023)
"Об утверждении Правил установления и определения нормативов потребления коммунальных услуг и нормативов потребления коммунальных ресурсов, потребляемых при использовании и содержании общего имущества в многоквартирном доме"
ПРАВИТЕЛЬСТВО РОССИЙСКОЙ ФЕДЕРАЦИИ
ПОСТАНОВЛЕНИЕ
от 23 мая 2006 г. N 306
ОБ УТВЕРЖДЕНИИ ПРАВИЛ
УСТАНОВЛЕНИЯ И ОПРЕДЕЛЕНИЯ НОРМАТИВОВ ПОТРЕБЛЕНИЯ
КОММУНАЛЬНЫХ УСЛУГ И НОРМАТИВОВ ПОТРЕБЛЕНИЯ КОММУНАЛЬНЫХ
РЕСУРСОВ, ПОТРЕБЛЯЕМЫХ ПРИ ИСПОЛЬЗОВАНИИ И СОДЕРЖАНИИ
ОБЩЕГО ИМУЩЕСТВА В МНОГОКВАРТИРНОМ ДОМЕ
| | Список изменяющих документов (в ред. Постановлений Правительства РФ от 06.05.2011 N 354, | |
В соответствии со
статьями 156 и
157 Жилищного кодекса Российской Федерации Правительство Российской Федерации постановляет:
1. Утвердить прилагаемые
Правила установления и определения нормативов потребления коммунальных услуг и нормативов потребления коммунальных ресурсов, потребляемых при использовании и содержании общего имущества в многоквартирном доме.
(в ред. Постановлений Правительства РФ от 26.12.2016
N 1498, от 13.09.2022
N 1598)
2. Признать утратившим силу
подпункт "а" пункта 4 Постановления Правительства Российской Федерации от 21 августа 2001 г. N 609 "О мерах по ликвидации системы перекрестного субсидирования потребителей услуг по водоснабжению, водоотведению, теплоснабжению, а также уничтожению, утилизации и захоронению твердых бытовых отходов" (Собрание законодательства Российской Федерации, 2001, N 36, ст. 3568).
3. Установить, что разъяснения по применению
Правил, утвержденных настоящим Постановлением, дает Министерство строительства и жилищно-коммунального хозяйства Российской Федерации.
4.
Правила, утвержденные настоящим постановлением, на территориях Республики Крым и г. Севастополя подлежат применению к правоотношениям, возникшим после 1 июля 2015 г.
5. Настоящее постановление действует до 1 марта 2029 г.
Председатель Правительства
Российской Федерации
М.ФРАДКОВ
Постановлением Правительства
Российской Федерации
от 23 мая 2006 г. N 306
УСТАНОВЛЕНИЯ И ОПРЕДЕЛЕНИЯ НОРМАТИВОВ ПОТРЕБЛЕНИЯ
КОММУНАЛЬНЫХ УСЛУГ И НОРМАТИВОВ ПОТРЕБЛЕНИЯ КОММУНАЛЬНЫХ
РЕСУРСОВ, ПОТРЕБЛЯЕМЫХ ПРИ ИСПОЛЬЗОВАНИИ И СОДЕРЖАНИИ
ОБЩЕГО ИМУЩЕСТВА В МНОГОКВАРТИРНОМ ДОМЕ
| | Список изменяющих документов (в ред. Постановлений Правительства РФ от 28.03.2012 N 258, | |
1. Настоящие Правила определяют порядок установления нормативов потребления коммунальных услуг (холодное и горячее водоснабжение, водоотведение, электроснабжение, газоснабжение, отопление), нормативов потребления коммунальных ресурсов, потребляемых при использовании и содержании общего имущества в многоквартирном доме, и требования к их формированию.
(в ред. Постановлений Правительства РФ от 26.12.2016
N 1498, от 13.09.2022
N 1598)
2. В настоящих Правилах используются следующие основные понятия:
"климатические условия" - показатели, используемые для определения нормативов потребления коммунальных услуг (средняя температура наружного воздуха за отопительный период, средняя температура наружного воздуха за месяц отопительного периода, расчетная температура наружного воздуха в целях проектирования систем отопления, продолжительность отопительного периода);
"коммунальные ресурсы, потребляемые при использовании и содержании общего имущества в многоквартирном доме" - холодная вода, горячая вода, электрическая энергия, потребляемые при использовании и содержании общего имущества в многоквартирном доме, отведение сточных вод в целях содержания общего имущества в многоквартирном доме;
"конструктивные и технические параметры многоквартирного дома или жилого дома" - показатели, влияющие на объем (количество) потребления коммунальных ресурсов (материал стен, кровли, этажность и другие характеристики многоквартирного дома или жилого дома);
"норматив потребления коммунальной услуги" - определяемый в соответствии с настоящими Правилами количественный показатель объема потребления коммунального ресурса, применяемый для расчета размера платы за коммунальную услугу, предоставленную потребителю в жилом или нежилом помещении в случаях, предусмотренных настоящими Правилами и
Правилами предоставления коммунальных услуг собственникам и пользователям помещений в многоквартирных домах и жилых домов, утвержденными постановлением Правительства Российской Федерации от 6 мая 2011 г. N 354 "О предоставлении коммунальных услуг собственникам и пользователям помещений в многоквартирных домах и жилых домов" (далее - Правила предоставления коммунальных услуг);
"норматив потребления коммунальной услуги в жилых помещениях" - норматив потребления, применяемый для расчета размера платы за коммунальную услугу, предоставленную потребителю в жилом помещении;
"норматив потребления коммунального ресурса, потребляемого при использовании и содержании общего имущества в многоквартирном доме" - определяемый в соответствии с настоящими Правилами количественный показатель объема потребления коммунального ресурса, применяемый для расчета размера расходов потребителей в составе платы за содержание жилого помещения в многоквартирном доме на оплату коммунальных ресурсов, потребляемых при использовании и содержании общего имущества в многоквартирном доме, а также для расчета размера платы за коммунальные услуги в части платы за коммунальные ресурсы, потребляемые при использовании и содержании общего имущества в многоквартирном доме, в случаях, установленных
Правилами предоставления коммунальных услуг;
"норматив потребления коммунальной услуги при использовании земельного участка и надворных построек" - норматив потребления, применяемый для расчета размера платы за коммунальную услугу, предоставленную при использовании земельного участка и расположенных на нем надворных построек;
"норматив расхода тепловой энергии на подогрев воды" - количественный показатель объема тепловой энергии, используемой на подогрев холодной воды в целях предоставления коммунальной услуги по горячему водоснабжению в соответствии с требованиями к качеству указанной коммунальной услуги, установленными
Правилами предоставления коммунальных услуг, который применяется при расчете размера платы за коммунальную услугу по горячему водоснабжению и размера расходов потребителей в составе платы за содержание жилого помещения в многоквартирном доме на оплату горячей воды, потребляемой при использовании и содержании общего имущества в многоквартирном доме, а также используется при определении однокомпонентного тарифа на горячую воду в соответствии с
Основами ценообразования в сфере водоснабжения и водоотведения, утвержденными постановлением Правительства Российской Федерации от 13 мая 2013 г. N 406 "О государственном регулировании тарифов в сфере водоснабжения и водоотведения";
"нормативные технологические потери" - технически неизбежные и обоснованные потери коммунальных ресурсов во внутридомовых инженерных системах многоквартирного дома;
"степень благоустройства многоквартирного дома или жилого дома" - качественная характеристика многоквартирного дома или жилого дома, определяемая наличием и составом внутридомовых инженерных систем, обеспечивающих предоставление потребителям коммунальных услуг тех видов, которые могут быть предоставлены с использованием таких внутридомовых инженерных систем, и внутриквартирного оборудования.
3. Нормативы потребления коммунальных услуг и нормативы потребления коммунальных ресурсов, потребляемых при использовании и содержании общего имущества в многоквартирном доме, утверждаются органами государственной власти субъектов Российской Федерации, уполномоченными в порядке, предусмотренном нормативными правовыми актами субъектов Российской Федерации (далее - уполномоченные органы). Контроль за соблюдением уполномоченными органами требований к составу нормативов потребления коммунальных услуг и нормативов потребления коммунальных ресурсов, потребляемых при использовании и содержании общего имущества в многоквартирном доме, условиям и методам установления нормативов потребления коммунальных услуг и нормативов потребления коммунальных ресурсов, потребляемых при использовании и содержании общего имущества в многоквартирном доме, а также обоснованности размера установленного норматива потребления коммунальных услуг и норматива потребления коммунального ресурса, потребляемого при использовании и содержании общего имущества в многоквартирном доме, осуществляется органами государственного жилищного надзора субъектов Российской Федерации.
(в ред. Постановлений Правительства РФ от 26.12.2016
N 1498, от 29.09.2017
N 1186, от 13.09.2022
N 1598)
4. При определении нормативов потребления коммунальных услуг учитываются следующие конструктивные и технические параметры многоквартирного дома или жилого дома:
а) в отношении холодного и горячего водоснабжения - этажность, износ внутридомовых инженерных систем, вид системы теплоснабжения, вид системы горячего водоснабжения, оснащенность жилых помещений водоразборными устройствами и санитарно-техническим оборудованием, а также наличие изолированных (неизолированных) стояков и (или) полотенцесушителей;
(в ред. Постановлений Правительства РФ от 17.12.2014
N 1380, от 14.02.2015
N 129)
б) в отношении электроснабжения - количество комнат в квартире, площадь жилого дома, износ внутридомовых инженерных систем;
в) в отношении газоснабжения (при расходе газа на нужды отопления) - материал стен, крыши, объем жилых помещений, площадь ограждающих конструкций и окон, износ внутридомовых инженерных систем;
г) в отношении газоснабжения (при расходе газа для приготовления пищи и (или) подогрева воды) - износ внутридомовых инженерных систем;
д) в отношении отопления - материал стен, крыши, объем жилых помещений, площадь ограждающих конструкций и окон, износ внутридомовых инженерных систем;
е) утратил силу с 1 января 2017 года. -
Постановление Правительства РФ от 26.12.2016 N 1498.
4(1). При определении нормативов потребления коммунальных ресурсов, потребляемых при использовании и содержании общего имущества в многоквартирном доме, учитываются следующие конструктивные и технические параметры многоквартирного дома:
а) в отношении холодной и горячей воды - этажность, износ внутридомовых инженерных систем, вид системы теплоснабжения (открытая, закрытая), вид системы горячего водоснабжения, оснащенность в местах общего пользования водоразборными устройствами и санитарно-техническим оборудованием;
б) в отношении электроэнергии - количество и типы потребляющих электроэнергию оборудования и устройств, износ внутридомовых инженерных систем.
5. Нормативы потребления коммунальных услуг и нормативы потребления коммунальных ресурсов, потребляемых при использовании и содержании общего имущества в многоквартирном доме, определяются в расчете на месяц потребления соответствующего коммунального ресурса.
(в ред. Постановлений Правительства РФ от 26.12.2016
N 1498, от 13.09.2022
N 1598)
6. В качестве параметров, характеризующих степень благоустройства многоквартирного дома или жилого дома, применяются показатели, установленные техническими и иными требованиями в соответствии с нормативными правовыми актами Российской Федерации.
7. При выборе единицы измерения нормативов потребления коммунальных услуг используются следующие показатели:
а) в отношении холодного водоснабжения:
в жилых помещениях - куб. метр на 1 человека;
абзац утратил силу с 1 января 2017 года. -
Постановление Правительства РФ от 26.12.2016 N 1498;
для полива земельного участка - куб. метр на 1 кв. метр земельного участка;
для водоснабжения и приготовления пищи для сельскохозяйственных животных - куб. метр на 1 голову такого животного;
б) в отношении горячего водоснабжения (горячей воды):
в жилых помещениях - куб. метр холодной воды на 1 человека и Гкал на подогрев 1 куб. метра холодной воды или куб. метр горячей воды на 1 человека;
абзац утратил силу с 1 января 2017 года. -
Постановление Правительства РФ от 26.12.2016 N 1498;
(пп. "б" в ред.
Постановления Правительства РФ от 14.02.2015 N 129)
в) в отношении отведения сточных вод:
в жилых помещениях - куб. метр на 1 человека;
абзац исключен. -
Постановление Правительства РФ от 16.04.2013 N 344;
г) в отношении газоснабжения:
для приготовления пищи и (или) подогрева воды в жилых помещениях - куб. метр на 1 человека (для природного газа) или килограмм на 1 человека (для сжиженного углеводородного газа);
для отопления жилых помещений - куб. метр на 1 кв. метр общей площади жилых помещений (для природного газа) или килограмм на 1 кв. метр общей площади жилых помещений (для сжиженного углеводородного газа);
д) в отношении электроснабжения:
в жилых помещениях - кВт·ч на 1 человека;
абзац утратил силу с 1 января 2017 года. -
Постановление Правительства РФ от 26.12.2016 N 1498;
для освещения в целях содержания сельскохозяйственных животных - кВт·ч на 1 голову животного;
для приготовления пищи и подогрева воды для сельскохозяйственных животных - кВт·ч на 1 голову животного;
е) в отношении отопления:
в жилых помещениях - Гкал на 1 кв. метр общей площади всех помещений в многоквартирном доме или жилого дома;
абзац исключен. -
Постановление Правительства РФ от 16.04.2013 N 344;
при использовании земельного участка и надворных построек - Гкал на 1 кв. метр отапливаемых надворных построек, расположенных на земельных участках.
7(1). При выборе единицы измерения нормативов потребления коммунальных ресурсов, потребляемых при использовании и содержании общего имущества в многоквартирном доме, используются следующие показатели:
а) в отношении холодной воды - куб. метр на 1 кв. метр общей площади помещений, входящих в состав общего имущества в многоквартирном доме;
б) в отношении горячей воды - куб. метр холодной воды и Гкал на подогрев 1 куб. метра холодной воды на 1 кв. метр общей площади помещений, входящих в состав общего имущества в многоквартирном доме, или куб. метр горячей воды на 1 кв. метр общей площади помещений, входящих в состав общего имущества в многоквартирном доме;
в) в отношении электрической энергии - кВт·час на 1 кв. метр общей площади помещений, входящих в состав общего имущества в многоквартирном доме;
г) в отношении объема отводимых сточных вод - куб. метр общей площади помещений, входящих в состав общего имущества в многоквартирном доме.
8. Норматив потребления газа в целях содержания общего имущества в многоквартирном доме принимается равным нулю.
(п. 8 в ред.
Постановления Правительства РФ от 26.12.2016 N 1498)
II. Условия установления нормативов потребления
коммунальных услуг и нормативов потребления коммунальных
ресурсов, потребляемых при использовании и содержании
общего имущества в многоквартирном доме
9. Установление нормативов потребления коммунальных услуг и нормативов потребления коммунальных ресурсов, потребляемых при использовании и содержании общего имущества в многоквартирном доме, производится по инициативе уполномоченных органов, ресурсоснабжающих организаций, а также управляющих организаций, товариществ собственников жилья, жилищных, жилищно-строительных или иных специализированных потребительских кооперативов либо их объединений (далее - управляющие организации) и сетевых организаций в отношении нормативов потребления коммунальных услуг по электроснабжению и нормативов потребления электрической энергии, потребляемой при использовании и содержании общего имущества в многоквартирном доме.
(в ред. Постановлений Правительства РФ от 26.12.2016
N 1498, от 13.09.2022
N 1598)
В случае если установление нормативов потребления коммунальных услуг или нормативов потребления коммунальных ресурсов, потребляемых при использовании и содержании общего имущества в многоквартирном доме, производится по инициативе ресурсоснабжающих организаций или управляющих организаций, указанные организации представляют в уполномоченные органы документы, перечень и содержание которых определяются нормативными правовыми актами субъектов Российской Федерации. При этом 2 и более управляющие организации вправе обратиться в уполномоченный орган с совместным заявлением об установлении нормативов потребления коммунальных услуг в случаях, когда объем жилищного фонда, в отношении которого осуществляется деятельность по предоставлению коммунальных услуг, каждой из таких организаций недостаточен для соблюдения условий представительности выборки для применения метода аналогов. Срок рассмотрения документов составляет не более 30 дней с даты их поступления. Уполномоченный орган проводит анализ представленных документов в порядке, установленном нормативным правовым актом субъекта Российской Федерации, и при необходимости запрашивает дополнительные сведения у ресурсоснабжающей организации или управляющей организации с обоснованием запроса. При несоответствии представленных документов установленным требованиям уполномоченный орган возвращает ресурсоснабжающей организации или управляющей организации документы без рассмотрения с указанием причин возврата.
(в ред. Постановлений Правительства РФ от 26.12.2016
N 1498, от 13.09.2022
N 1598)
(п. 9 в ред.
Постановления Правительства РФ от 17.12.2014 N 1380)
9(1). Ресурсоснабжающая организация, управляющая организация, сетевая организация обязаны предоставлять по запросу уполномоченного органа сведения, необходимые для установления нормативов потребления коммунальных услуг, предусмотренные
пунктом 38 настоящих Правил, с учетом сроков, предусмотренных
пунктом 37 настоящих Правил, в соответствии с осуществляемыми этими организациями видами деятельности.
10. Нормативы потребления устанавливаются:
в отношении коммунальных услуг, предоставляемых в жилых помещениях, - по каждому виду предоставляемых коммунальных услуг, которые определяются степенью благоустройства многоквартирного дома или жилого дома;
в отношении коммунальных ресурсов, потребляемых при использовании и содержании общего имущества в многоквартирном доме, - по каждому виду потребляемых коммунальных ресурсов, которые определяются степенью благоустройства многоквартирного дома;
в отношении коммунальных услуг, предоставляемых при использовании земельного участка и надворных построек, - применительно к коммунальным услугам по холодному водоснабжению, электроснабжению и отоплению с учетом направлений их использования.
11. Нормативы потребления коммунальных услуг в жилых помещениях и нормативы потребления коммунальных ресурсов, потребляемых при использовании и содержании общего имущества в многоквартирном доме, устанавливаются едиными для многоквартирных домов и жилых домов, имеющих аналогичные конструктивные и технические параметры, степень благоустройства, а также расположенных в аналогичных климатических условиях. При различиях в конструктивных и технических параметрах, степени благоустройства, а также климатических условиях, в которых расположены многоквартирные дома или жилые дома, указанные нормативы потребления коммунальных услуг дифференцируются в соответствии с категориями многоквартирных домов и жилых домов, предусмотренными
приложением N 2 к настоящим Правилам.
(в ред. Постановлений Правительства РФ от 17.12.2014
N 1380, от 26.12.2016
N 1498, от 13.09.2022
N 1598)
При наличии в субъекте Российской Федерации многоквартирных домов и жилых домов, имеющих конструктивные и технические параметры, степень благоустройства, не предусмотренные категориями жилых помещений, определенными в
приложении N 2 к настоящим Правилам, по решению уполномоченного органа категории многоквартирных домов и жилых домов могут быть дополнены.
11(1). По решению высшего должностного лица субъекта Российской Федерации в целях определения размера компенсации расходов на оплату коммунальных услуг инвалидам I и II групп и семьям, имеющим детей-инвалидов, при наличии установленных индивидуальных или общих (квартирных) и коллективных (общедомовых) приборов учета нормативы потребления коммунальных услуг холодного водоснабжения, горячего водоснабжения (горячей воды), газоснабжения, электрической энергии, отопления и нормативы потребления коммунальных ресурсов, потребляемых при использовании и содержании общего имущества в многоквартирном доме, могут устанавливаться с применением коэффициента в размере от 1,1 до 1,8 к соответствующему нормативу потребления, установленному в соответствии с
пунктом 11 настоящих Правил.
12. Нормативы потребления коммунальных услуг в жилых помещениях и нормативы потребления коммунальных ресурсов, потребляемых при использовании и содержании общего имущества в многоквартирном доме, устанавливаются в соответствии с требованиями к качеству коммунальных услуг, предусмотренными законодательными и иными нормативными правовыми актами Российской Федерации.
(в ред. Постановлений Правительства РФ от 26.12.2016
N 1498, от 13.09.2022
N 1598)
13. Нормативы потребления коммунальных услуг и нормативы потребления коммунальных ресурсов, потребляемых при использовании и содержании общего имущества в многоквартирном доме, определяются с применением метода аналогов либо расчетного метода с использованием формул согласно
приложению N 1.
Абзац утратил силу с 1 марта 2023 года. -
Постановление Правительства РФ от 13.09.2022 N 1598.
Норматив потребления коммунальной услуги по холодному водоснабжению при использовании земельного участка и надворных построек для полива земельного участка устанавливается на месяцы календарного года, соответствующие периоду использования холодной воды по указанному направлению, устанавливаемому уполномоченным органом в зависимости от климатических условий субъекта Российской Федерации.
14. Срок действия нормативов потребления коммунальных услуг и нормативов потребления коммунальных ресурсов, потребляемых при использовании и содержании общего имущества в многоквартирном доме, составляет не менее 3 лет. Указанные нормативы в течение этого периода пересмотру не подлежат, за исключением случаев, предусмотренных настоящими Правилами.
(в ред. Постановлений Правительства РФ от 26.12.2016
N 1498, от 13.09.2022
N 1598)
15. Изменение нормативов потребления коммунальных услуг, и нормативов потребления коммунальных ресурсов, потребляемых при использовании и содержании общего имущества в многоквартирном доме, осуществляется в порядке, определенном для их установления.
(в ред. Постановлений Правительства РФ от 26.12.2016
N 1498, от 13.09.2022
N 1598)
16. Изменение нормативов потребления коммунальных услуг, и нормативов потребления коммунальных ресурсов, потребляемых при использовании и содержании общего имущества в многоквартирном доме, осуществляется в следующих случаях:
(в ред. Постановлений Правительства РФ от 26.12.2016
N 1498, от 13.09.2022
N 1598)
а) изменение конструктивных и технических параметров (в том числе в результате реализации мероприятий по энергосбережению и повышению энергетической эффективности), степени благоустройства многоквартирного дома или жилого дома, климатических условий, при которых объем (количество) потребления коммунальных ресурсов (холодной воды, горячей воды, природного и (или) сжиженного углеводородного газа, электрической энергии, тепловой энергии, сточных вод, отводимых по централизованным сетям инженерно-технического обеспечения) потребителем в многоквартирном доме или жилом доме изменяется более чем на 5 процентов;
(в ред. Постановлений Правительства РФ от 17.12.2014
N 1380, от 26.12.2016
N 1498)
б) внесение изменений в настоящие Правила в части, касающейся требований к составу нормативов потребления коммунальных услуг и нормативов потребления коммунальных ресурсов, потребляемых при использовании и содержании общего имущества в многоквартирном доме, а также условий и методов установления и определения нормативов потребления коммунальных услуг и нормативов потребления коммунальных ресурсов, потребляемых при использовании и содержании общего имущества в многоквартирном доме;
(в ред. Постановлений Правительства РФ от 26.12.2016
N 1498, от 13.09.2022
N 1598)
в) получение уполномоченным органом соответствующих сведений, необходимых для применения метода аналогов, в случае если действующий норматив потребления коммунальных услуг, норматив потребления коммунальных ресурсов, потребляемых при использовании и содержании общего имущества в многоквартирном доме, был установлен расчетным методом;
(пп. "в" введен
Постановлением Правительства РФ от 17.12.2014 N 1380; в ред. Постановлений Правительства РФ от 26.12.2016
N 1498, от 13.09.2022
N 1598)
г) установление актом уполномоченного органа начала и (или) окончания отопительного периода, приводящих к изменению объема потребления тепловой энергии;
д) вступление в законную силу решения суда, которым установлено, что нормативы потребления коммунальных услуг и нормативы потребления коммунальных ресурсов, потребляемых при использовании и содержании общего имущества в многоквартирном доме, предусмотренные
пунктом 18 настоящих Правил, были установлены с нарушением предусмотренного настоящими Правилами порядка их установления, вынесенного по результатам обжалования решения уполномоченного органа об установлении соответствующих нормативов.
17. Решения уполномоченных органов об установлении нормативов потребления коммунальных услуг и нормативов потребления коммунальных ресурсов, потребляемых при использовании и содержании общего имущества в многоквартирном доме, а также утвержденные ими нормативы по формам, предусмотренным
приложением N 2 к настоящим Правилам, публикуются в 10-дневный срок после их принятия в официальных печатных средствах массовой информации, в которых публикуются акты органов государственной власти субъектов Российской Федерации, а также на официальном сайте уполномоченного органа в сети Интернет с указанием даты введения в действие указанных нормативов.
(в ред. Постановлений Правительства РФ от 17.12.2014
N 1380, от 26.12.2016
N 1498, от 13.09.2022
N 1598)
17(1). В решении уполномоченного органа об установлении нормативов потребления коммунальной услуги по отоплению указывается информация о продолжительности отопительного периода (количество и наименование календарных месяцев, в том числе неполных), определенного для установления нормативов потребления коммунальной услуги по отоплению, утвержденных на отопительный период.
(п. 17(1) в ред.
Постановления Правительства РФ от 13.09.2022 N 1598)
18. Решение уполномоченных органов об установлении нормативов потребления коммунальных услуг и нормативов потребления коммунальных ресурсов, потребляемых при использовании и содержании общего имущества в многоквартирном доме, может быть обжаловано в порядке, установленном законодательством Российской Федерации.
(в ред. Постановлений Правительства РФ от 26.12.2016
N 1498, от 13.09.2022
N 1598)
III. Методы установления нормативов потребления
коммунальных услуг в жилых помещениях и нормативов
потребления коммунальных ресурсов, потребляемых при
использовании и содержании общего имущества
в многоквартирном доме
(в ред. Постановлений Правительства РФ от 26.12.2016
N 1498,
19. Нормативы потребления коммунальных услуг в жилых помещениях и нормативы потребления коммунальных ресурсов, потребляемых при использовании и содержании общего имущества в многоквартирном доме, устанавливаются с применением метода аналогов или расчетного метода.
(п. 19 в ред.
Постановления Правительства РФ от 13.09.2022 N 1598)
20. Нормативы потребления коммунальных услуг при использовании земельного участка и надворных построек устанавливаются с применением расчетного метода.
21. Метод аналогов применяется при наличии сведений, полученных в результате измерений объема (количества) потребления коммунальных услуг и коммунальных ресурсов приборами учета, установленными в многоквартирных домах или жилых домах с аналогичными конструктивными и техническими параметрами, степенью благоустройства многоквартирного дома или жилого дома и климатическими условиями. Количество измерений должно отвечать условиям представительности выборки. Представительность выборки определяется необходимым количеством многоквартирных домов или жилых домов, на основании данных о расходах коммунальных ресурсов по приборам учета в которых можно определять нормативы потребления коммунальных услуг в жилых помещениях и нормативы потребления коммунальных ресурсов, потребляемых при использовании и содержании общего имущества в многоквартирном доме, в отношении всех многоквартирных домов или жилых домов с аналогичными конструктивными и техническими параметрами, степенью благоустройства многоквартирного дома или жилого дома и климатическими условиями.
(в ред. Постановлений Правительства РФ от 26.12.2016
N 1498, от 13.09.2022
N 1598)
Указанный метод применяется, если в выбранных многоквартирных домах или жилых домах техническая эксплуатация внутридомовых инженерных систем соответствует
Правилам содержания общего имущества в многоквартирном доме, утвержденным постановлением Правительства Российской Федерации от 13 августа 2006 г. N 491 "Об утверждении Правил содержания общего имущества в многоквартирном доме и Правил изменения размера платы за содержание и ремонт жилого помещения в случае оказания услуг и выполнения работ по управлению, содержанию и ремонту общего имущества в многоквартирном доме ненадлежащего качества и (или) с перерывами, превышающими установленную продолжительность".
(в ред. Постановлений Правительства РФ от 26.12.2016
N 1498, от 13.09.2022
N 1598)
22. Расчетный метод применяется в случае невозможности применения метода аналогов по причине отсутствия или недостаточности данных приборного учета потребления коммунальных услуг или недостаточного количества отвечающих условиям представительности выборки для проведения необходимых измерений многоквартирных домов или жилых домов, оснащенных общедомовыми и (или) индивидуальными приборами учета потребления коммунальных услуг (коммунальных ресурсов).
(п. 22 в ред.
Постановления Правительства РФ от 13.09.2022 N 1598)
23. Применяемые для установления нормативов потребления коммунальных услуг и нормативов потребления коммунальных ресурсов, потребляемых при использовании и содержании общего имущества в многоквартирном доме, методы указываются в нормативном правовом акте об утверждении соответствующих нормативов.
(в ред. Постановлений Правительства РФ от 26.12.2016
N 1498, от 13.09.2022
N 1598)
IV. Основные требования к составу нормативов потребления
коммунальных услуг в жилых помещениях и нормативов
потребления коммунальных ресурсов, потребляемых
при использовании и содержании общего имущества
в многоквартирном доме
(в ред. Постановлений Правительства РФ от 26.12.2016
N 1498,
24. В нормативы потребления коммунальных услуг по холодному водоснабжению и горячему водоснабжению в жилых помещениях включается расход воды исходя из расчета расхода холодной и горячей воды, необходимого для удовлетворения физиологических, санитарно-гигиенических, хозяйственных потребностей человека в жилом помещении, а также исходя из того, что данные коммунальные услуги соответствуют требованиям к качеству, установленным
Правилами предоставления коммунальных услуг.
| | ИС МЕГАНОРМ: примечание. О сроках утверждения нормативов потребления холодной воды и расхода тепловой энергии на ее подогрев для предоставления коммунальной услуги по горячему водоснабжению см. Постановление Правительства РФ от 14.02.2015 N 129. | |
Норматив потребления коммунальной услуги по горячему водоснабжению в жилом помещении при установлении двухкомпонентных тарифов на горячую воду (далее - норматив потребления горячей воды) определяется путем установления норматива потребления воды в жилом помещении и норматива расхода тепловой энергии на подогрев воды. В норматив расхода тепловой энергии на подогрев воды включается расход тепловой энергии на подогрев холодной воды, необходимый для осуществления услуги по горячему водоснабжению в соответствии с требованиями к качеству коммунальной услуги по горячему водоснабжению, установленными
Правилами предоставления коммунальных услуг.
(абзац введен
Постановлением Правительства РФ от 14.02.2015 N 129; в ред. Постановлений Правительства РФ от 26.12.2016
N 1498, от 13.09.2022
N 1598)
25. Норматив потребления коммунальной услуги по водоотведению в жилых помещениях определяется исходя из суммы норматива потребления коммунальной услуги по холодному водоснабжению и норматива потребления коммунальной услуги по горячему водоснабжению или норматива потребления холодной воды для предоставления коммунальной услуги по горячему водоснабжению.
(п. 25 в ред.
Постановления Правительства РФ от 14.02.2015 N 129)
26. В норматив потребления коммунальной услуги по отоплению в жилых помещениях включается расход тепловой энергии для обеспечения температурного режима жилых помещений с учетом требований к качеству данной коммунальной услуги, установленных
Правилами предоставления коммунальных услуг.
27. В норматив потребления коммунальной услуги по электроснабжению в жилых помещениях включается расход электрической энергии, необходимый для освещения жилых помещений и использования бытовых приборов в жилых помещениях, в том числе стационарных электрических плит для приготовления пищи и электроотопительных и (или) электронагревательных установок в жилых помещениях при отсутствии централизованных газоснабжения, теплоснабжения и (или) горячего водоснабжения.
28. В норматив потребления коммунальной услуги по газоснабжению в жилых помещениях включается расход природного или сжиженного углеводородного газа исходя из того, что данная коммунальная услуга соответствует требованиям к качеству, установленным
Правилами предоставления коммунальных услуг, в зависимости от вида потребления:
для приготовления пищи;
для подогрева воды;
для отопления жилых помещений.
29. Нормативы потребления коммунальных ресурсов, потребляемых при использовании и содержании общего имущества в многоквартирном доме, по каждому виду коммунальных ресурсов включают нормативные технологические потери коммунальных ресурсов (технически неизбежные и обоснованные потери холодной и горячей воды, электрической энергии во внутридомовых инженерных коммуникациях и оборудовании многоквартирного дома), а также объем коммунальных ресурсов, потребляемых при выполнении минимального перечня необходимых для обеспечения надлежащего содержания общего имущества в многоквартирном доме услуг и работ и при использовании входящего в состав общего имущества оборудования, предназначенного для обеспечения благоприятных и безопасных условий проживания граждан.
Нормативы потребления коммунальных ресурсов, потребляемых при использовании и содержании общего имущества в многоквартирном доме, не включают расходы коммунальных ресурсов, возникшие в результате нарушения требований технической эксплуатации внутридомовых инженерных систем
Правил содержания общего имущества в многоквартирном доме, утвержденных постановлением Правительства Российской Федерации от 13 августа 2006 г. N 491 "Об утверждении Правил содержания общего имущества в многоквартирном доме и Правил изменения размера платы за содержание и ремонт жилого помещения в случае оказания услуг и выполнения работ по управлению, содержанию и ремонту общего имущества в многоквартирном доме ненадлежащего качества и (или) с перерывами, превышающими установленную продолжительность".
Норматив отведения сточных вод в целях содержания общего имущества в многоквартирном доме определяется путем суммирования нормативов потребления холодной воды и горячей воды, потребляемых при использовании и содержании общего имущества в многоквартирном доме.
(п. 29 в ред.
Постановления Правительства РФ от 26.12.2016 N 1498)
30. В норматив потребления коммунальной услуги при использовании земельного участка и надворных построек по каждому направлению использования коммунальной услуги включается расход коммунального ресурса на единицу величины показателя, характерного для каждого направления использования коммунальной услуги.
V. Определение нормативов потребления коммунальных услуг
в жилых помещениях и нормативов потребления коммунальных
ресурсов, потребляемых при использовании и содержании
общего имущества в многоквартирном доме, с применением
метода аналогов
(в ред. Постановлений Правительства РФ от 26.12.2016
N 1498,
31. Определение нормативов потребления коммунальных услуг в жилых помещениях и нормативов потребления коммунальных ресурсов, потребляемых при использовании и содержании общего имущества в многоквартирном доме, с применением метода аналогов производится на основе выборочного наблюдения потребления коммунальных услуг в многоквартирных домах или жилых домах и коммунальных ресурсов, потребляемых при использовании и содержании общего имущества в многоквартирном доме.
(п. 31 в ред.
Постановления Правительства РФ от 13.09.2022 N 1598)
32. Уполномоченный орган дифференцирует нормативы потребления коммунальных услуг по группам многоквартирных домов или жилых домов, имеющих аналогичные конструктивные и технические параметры, степень благоустройства многоквартирного дома или жилого дома и расположенных в аналогичных климатических условиях, в соответствии с установленными настоящими Правилами требованиями.
32(1). Уполномоченный орган устанавливает норматив расхода тепловой энергии на подогрев воды с учетом вида системы теплоснабжения (открытая, закрытая), типа системы горячего водоснабжения (централизованная, нецентрализованная (при которой производство коммунальной услуги по горячему водоснабжению осуществляется исполнителями коммунальных услуг самостоятельно с использованием оборудования, входящего в состав общего имущества в многоквартирном доме), а также следующих конструктивных особенностей многоквартирного дома или жилого дома:
а) неизолированные стояки и полотенцесушители;
б) изолированные стояки и полотенцесушители;
в) неизолированные стояки и отсутствие полотенцесушителей;
г) изолированные стояки и отсутствие полотенцесушителей.
32(2). Информация об оснащенности многоквартирного дома или жилого дома изолированными или неизолированными стояками и полотенцесушителями на территории субъекта Российской Федерации предоставляется органами местного самоуправления исходя из сведений, содержащихся в проектной документации домов. При отсутствии необходимых сведений в проектной документации дома указанная информация определяется на основании сведений, полученных от исполнителей коммунальных услуг.
33. Представительность выборки определяется для каждой из групп многоквартирных домов и жилых домов количеством домов, имеющих аналогичные конструктивные и технические параметры, степень благоустройства многоквартирного дома или жилого дома и расположенных в аналогичных климатических условиях.
В представительную выборку не включаются многоквартирные дома, в которых не осуществляется бесперебойное предоставление коммунальных услуг или в которых имеются нежилые помещения, подключенные к общему вводу внутридомовых инженерных систем многоквартирного дома и не оборудованные индивидуальными приборами учета (за исключением выборки для определения норматива потребления коммунальной услуги по отоплению).
Абзац утратил силу с 1 марта 2023 года. -
Постановление Правительства РФ от 13.09.2022 N 1598.
34. Количество многоквартирных домов или жилых домов в выборке по каждой группе домов определяется в соответствии с
пунктами 1 и
2 приложения N 1 к настоящим Правилам.
35. Для определения нормативов потребления коммунальных услуг в жилых помещениях и нормативов потребления коммунальных ресурсов, потребляемых при использовании и содержании общего имущества в многоквартирном доме, используются данные об объеме (количестве) потребления коммунальных ресурсов, полученные с использованием приборов учета с непрерывным периодом работы либо с перерывами, не превышающими продолжительность, соответствующую требованиям к качеству коммунальных услуг, установленным
Правилами предоставления коммунальных услуг, в течение всего срока снятия показаний, используемых для расчета нормативов потребления коммунальных услуг, в многоквартирных домах или жилых домах, имеющих аналогичные конструктивные и технические параметры, степень благоустройства многоквартирного дома или жилого дома и расположенных в аналогичных климатических условиях.
Приборы учета должны быть утвержденного типа и прошедшими поверку в соответствии с требованиями законодательства Российской Федерации об обеспечении единства измерений.
При определении нормативов потребления коммунальной услуги по отоплению к объему (количеству) потребления тепловой энергии, определенному с использованием приборов учета, применяется коэффициент поправки с учетом температурных параметров, используемых при проектировании систем отопления, в соответствии с
формулой 5(1), предусмотренной приложением N 1 к настоящим Правилам.
36. После формирования объема выборки многоквартирных домов или жилых домов составляется план проведения измерений и снятия показаний приборов учета.
37. Показания приборов учета снимаются:
а) в отношении холодного и горячего водоснабжения - на установленные
Правилами предоставления коммунальных услуг даты снятия показаний за первый и последний месяцы отопительного периода;
(в ред. Постановлений Правительства РФ от 17.12.2014
N 1380, от 13.09.2022
N 1598)
б) в отношении отопления - на установленные
Правилами предоставления коммунальных услуг даты снятия показаний за первый и последний месяцы отопительного периода;
в) в отношении электроснабжения - на установленные
Правилами предоставления коммунальных услуг даты снятия показаний за июнь и ноябрь, а для установления нормативов потребления электрической энергии, потребляемой при использовании и содержании общего имущества в многоквартирном доме, - на установленные
Правилами предоставления коммунальных услуг даты снятия показаний за март, июнь и декабрь;
г) в отношении газоснабжения (на приготовление пищи, подогрев воды и отопление) - в течение 1 года ежемесячно;
д) для определения норматива расхода тепловой энергии на подогрев воды для случаев, при которых производство коммунальной услуги по горячему водоснабжению осуществляется исполнителями коммунальных услуг самостоятельно с использованием тепловой энергии при централизованном теплоснабжении и использованием оборудования, входящего в состав общего имущества в многоквартирном доме, - первого и последнего числа межотопительного периода.
38. При снятии показаний приборов учета для определения нормативов потребления коммунальных услуг фиксируются:
а) показания приборов учета по каждому виду коммунальных услуг или по каждому виду коммунального ресурса, учитываемого в составе коммунальной услуги;
б) адрес многоквартирного дома или жилого дома;
в) число проживающих жителей;
г) количество квартир;
д) общая площадь жилых и нежилых помещений многоквартирного дома, а также помещений, входящих в состав общего имущества в многоквартирном доме, или жилого дома;
е) дата и время снятия показаний приборов учета;
ж) количество этажей;
з) температура и давление природного или сжиженного углеводородного газа, измеряемые в точке, расположенной перед прибором учета, фактическое барометрическое давление - при определении расхода природного или сжиженного углеводородного газа;
и) вид системы горячего водоснабжения в соответствии с положениями, установленными
пунктами 32 -
32(2) настоящих Правил.
39. До проведения измерений и в период их проведения не должны проводиться внеочередные работы по ремонту и наладке внутридомовых инженерных систем многоквартирного дома или жилого дома.
40. При обработке данных по объему выборки в целях определения нормативов потребления коммунальных услуг в жилых помещениях и нормативов потребления коммунальных ресурсов, потребляемых при использовании и содержании общего имущества в многоквартирном доме, необходимо исключить значения расхода коммунальных ресурсов, отличающиеся от средних расходов по выборке более чем на 20 процентов.
(в ред. Постановлений Правительства РФ от 26.12.2016
N 1498, от 13.09.2022
N 1598)
41. На основании измерений объема (количества) потребления коммунальных ресурсов приборами учета определяется месячная (среднемесячная) величина потребления коммунальных ресурсов по выбранным группам многоквартирных домов или жилых домов.
42. Нормативы потребления коммунальных услуг в жилых помещениях и нормативы потребления коммунальных ресурсов, потребляемых при использовании и содержании общего имущества в многоквартирном доме, определяются с применением метода аналогов по формулам, предусмотренным
разделом I приложения N 1 к настоящим Правилам.
(в ред. Постановлений Правительства РФ от 17.12.2014
N 1380, от 26.12.2016
N 1498, от 13.09.2022
N 1598)
VI. Определение нормативов потребления коммунальных услуг
в жилых помещениях, нормативов потребления коммунальных
ресурсов, потребляемых при использовании и содержании
общего имущества в многоквартирном доме, с применением
расчетного метода
(в ред. Постановлений Правительства РФ от 26.12.2016
N 1498,
43. Нормативы потребления коммунальных услуг в жилых помещениях и нормативы потребления коммунальных ресурсов, потребляемых при использовании и содержании общего имущества в многоквартирном доме, с применением расчетного метода определяются по формулам, предусмотренным
разделом II приложения N 1 к настоящим Правилам.
(в ред. Постановлений Правительства РФ от 17.12.2014
N 1380, от 26.12.2016
N 1498, от 13.09.2022
N 1598)
44. Температура внутреннего воздуха отапливаемых жилых помещений принимается к расчету согласно значениям, установленным
Правилами предоставления коммунальных услуг.
Средняя температура наружного воздуха в отопительный период определяется на основании сведений, предоставляемых органами гидрометеорологической службы за предыдущие 5 отопительных периодов подряд как среднеарифметическое средних суточных температур наружного воздуха за отопительный период. При отсутствии такой информации средняя температура наружного воздуха в отопительный период определяется исходя из климатических параметров, применяемых при проектировании зданий и сооружений, систем отопления.
Расчетная температура наружного воздуха в целях проектирования систем отопления для конкретного населенного пункта определяется исходя из климатических параметров средней температуры наиболее холодного периода в течение 5 дней подряд, применяемых при проектировании зданий и сооружений, систем отопления.
При отсутствии таких данных климатические параметры принимаются равными параметрам ближайшего населенного пункта, в отношении которого такие параметры имеются.
45. Норматив потребления коммунальной услуги по холодному водоснабжению и норматив потребления коммунальной услуги по горячему водоснабжению или норматив потребления горячей воды в жилом помещении определяются исходя из оснащенности жилых помещений водоразборными устройствами и санитарно-техническим оборудованием. Норма расхода воды водоразборными устройствами предусмотрена в
таблице 5 приложения N 1 к настоящим Правилам.
(п. 45 в ред.
Постановления Правительства РФ от 14.02.2015 N 129)
45(1). Норматив расхода тепловой энергии на подогрев воды определяется с учетом положений, установленных
пунктами 32 -
32(2) настоящих Правил.
(п. 45(1) в ред.
Постановления Правительства РФ от 13.09.2022 N 1598)
46. Норматив потребления коммунальной услуги по газоснабжению в жилых помещениях определяется исходя из следующих направлений использования:
а) приготовление пищи с использованием газовых плит;
б) подогрев воды для хозяйственных и санитарно-гигиенических нужд с использованием газового нагревателя или газовой плиты (при отсутствии централизованного горячего водоснабжения);
в) отопление (при отсутствии централизованного отопления).
47. При использовании в жилых помещениях многоквартирных домов или жилых домов газа по нескольким направлениям одновременно норматив потребления коммунальной услуги по газоснабжению для потребителей, проживающих в таких домах, определяется по каждому направлению использования газа.
Нормативы потребления коммунальной услуги по газоснабжению устанавливаются на основании норм потребления газа населением при отсутствии приборов учета газа дифференцированно в зависимости от направлений использования газа, определяемых:
| | ИС МЕГАНОРМ: примечание. Приказом Минрегиона РФ от 13.07.2006 N 83 утверждена Методика расчета норм потребления газа населением при отсутствии приборов учета газа. | |
для природного газа - в соответствии с методикой расчета норм потребления газа населением при отсутствии приборов учета газа, утверждаемой Министерством строительства и жилищно-коммунального хозяйства Российской Федерации;
| | ИС МЕГАНОРМ: примечание. Приказом Минрегиона РФ от 15.08.2009 N 340 утверждена Методика расчета норм потребления сжиженного углеводородного газа населением при отсутствии приборов учета газа. | |
для сжиженного углеводородного газа - в соответствии с методикой расчета норм потребления сжиженного углеводородного газа населением при отсутствии приборов учета газа, утверждаемой Министерством строительства и жилищно-коммунального хозяйства Российской Федерации.
48. Нормативы потребления коммунальных услуг при использовании земельного участка и надворных построек определяются в отношении каждого из направлений использования коммунальных услуг.
49. Норматив потребления коммунальной услуги по холодному водоснабжению при использовании земельного участка и надворных построек определяется отдельно по каждому из следующих направлений использования:
полив земельного участка;
водоснабжение и приготовление пищи для сельскохозяйственных животных;
водоснабжение открытых (крытых) летних бассейнов различных типов и конструкций, а также бань, саун, закрытых бассейнов, примыкающих к жилому дому и (или) отдельно стоящих на общем с жилым домом земельном участке;
водоснабжение иных надворных построек, в том числе гаражей, теплиц (зимних садов), иных объектов.
(п. 49 в ред.
Постановления Правительства РФ от 17.12.2014 N 1380)
50. Норматив потребления коммунальной услуги по электроснабжению при использовании земельного участка и надворных построек определяется отдельно по каждому из следующих направлений использования:
освещение в целях содержания сельскохозяйственных животных;
освещение иных надворных построек, в том числе бань, саун, бассейнов, гаражей, теплиц (зимних садов);
приготовление пищи и подогрев воды для сельскохозяйственных животных.
(п. 50 в ред.
Постановления Правительства РФ от 17.12.2014 N 1380)
51. В случае использования земельного участка и надворных построек по направлениям использования, не предусмотренным настоящими Правилами, по решению уполномоченного органа могут быть установлены нормативы потребления коммунальных услуг по иным направлениям использования коммунального ресурса.
(п. 51 в ред.
Постановления Правительства РФ от 17.12.2014 N 1380)
к Правилам установления
и определения нормативов
потребления коммунальных услуг
и нормативов потребления коммунальных
ресурсов, потребляемых при
использовании и содержании общего
имущества в многоквартирном доме
ИСПОЛЬЗУЕМЫЕ ДЛЯ ОПРЕДЕЛЕНИЯ НОРМАТИВОВ ПОТРЕБЛЕНИЯ
КОММУНАЛЬНЫХ УСЛУГ В ЖИЛЫХ ПОМЕЩЕНИЯХ И НОРМАТИВОВ
ПОТРЕБЛЕНИЯ КОММУНАЛЬНЫХ РЕСУРСОВ, ПОТРЕБЛЯЕМЫХ
ПРИ ИСПОЛЬЗОВАНИИ И СОДЕРЖАНИИ ОБЩЕГО ИМУЩЕСТВА
В МНОГОКВАРТИРНОМ ДОМЕ
| | Список изменяющих документов (в ред. Постановлений Правительства РФ от 16.04.2013 N 344, | |
I. Определение нормативов потребления коммунальных услуг
в жилых помещениях и нормативов потребления коммунальных
ресурсов, потребляемых при использовании и содержании
общего имущества в многоквартирном доме, с применением
метода аналогов
(в ред. Постановлений Правительства РФ от 26.12.2016
N 1498,
Формула расчета объема выборки
1. Объем выборки определяется по следующей формуле:
(формула 1)
где:
N - объем генеральной совокупности (количество многоквартирных домов или жилых домов с аналогичными конструктивными и техническими параметрами, степенью благоустройства многоквартирного дома или жилого дома по каждой группе домов);
t - величина, определяемая уровнем надежности (заданной вероятностью P) того, что отклонение выборочной средней не превзойдет по абсолютной величине предельной ошибки выборки

. Величина t принимается в зависимости от заданной вероятности в соответствии с
таблицей 1;

- предельная ошибка выборки (допустимая абсолютная величина отклонения выборочной средней от генеральной средней). Предельную ошибку выборки рекомендуется принимать равной 5 процентам среднего арифметического предварительной выборки

. Предельная ошибка выборки является ошибкой репрезентативности (представительности) выборки и показывает предел, который не превосходит действительная ошибка выборки;

- дисперсия выборочной совокупности, рассчитываемая как среднее арифметическое квадратов отклонений отдельных элементов выборочной совокупности от их средней арифметической.
Таблица 1
Зависимость значения t от заданной вероятности P
(п. 1 в ред.
Постановления Правительства РФ от 13.09.2022 N 1598)
2. Объем выборки определяется на основе предварительной выборки в следующем порядке:
а) производится предварительный отбор многоквартирных домов или жилых домов, в отношении которых дисперсия выборочной совокупности определяется по следующей формуле:
(формула 2)
где:
n' - количество предварительно отобранных многоквартирных домов или жилых домов. Объем предварительной выборки должен быть не менее 10 домов;

- месячный (среднемесячный) расход коммунальных ресурсов в отдельном i-м многоквартирном доме или жилом доме за наблюдаемый период в расчете на единицу измерения, определенный по показаниям коллективных (общедомовых) приборов учета в многоквартирных домах или индивидуальных приборов учета в жилых домах;

- среднее арифметическое предварительной выборки;
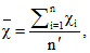
б) среднее арифметическое предварительной выборки рассчитывается по следующей формуле:
(формула 3)
где:

- месячный (среднемесячный) расход коммунальных ресурсов в отдельном i-м многоквартирном доме или жилом доме за наблюдаемый период в расчете на единицу измерения, определенный по показаниям коллективных (общедомовых) приборов учета в многоквартирных домах или индивидуальных приборов учета в жилых домах;
n' - количество предварительно отобранных многоквартирных домов или жилых домов. Объем предварительной выборки должен быть не менее 10 домов;
в) в случае если

, объем выборки считается достаточным и норматив потребления коммунальных услуг или норматив потребления коммунальных ресурсов, потребляемых при использовании и содержании общего имущества в многоквартирном доме, определяется методом аналогов на основе выборки из n' многоквартирных домов или жилых домов.
Термины и понятия, используемые в настоящем документе, применяются с учетом их значений, используемых в
Правилах установления и определения нормативов потребления коммунальных услуг и нормативов потребления коммунальных ресурсов, потребляемых при использовании и содержании общего имущества в многоквартирном доме, утвержденных постановлением Правительства Российской Федерации от 23 мая 2006 г. N 306 "Об утверждении Правил установления и определения нормативов потребления коммунальных услуг и нормативов потребления коммунальных ресурсов, потребляемых при использовании и содержании общего имущества в многоквартирном доме" (далее - Правила).
(п. 2 в ред.
Постановления Правительства РФ от 13.09.2022 N 1598)
Формула определения норматива потребления коммунальной
услуги по отоплению в жилых помещениях
3. Норматив потребления коммунальной услуги по отоплению в жилых помещениях (Гкал в месяц отопительного периода на 1 кв. м общей площади всех жилых и нежилых помещений в многоквартирном доме или жилого дома) определяется по следующей формуле:
(формула 5)
где:
Q
о - суммарный за отопительный период расход тепловой энергии на отопление многоквартирных домов или жилых домов, определенный по показаниям коллективных (общедомовых) приборов учета в многоквартирных домах или индивидуальных приборов учета в жилых домах (Гкал). В случае если коллективные (общедомовые) приборы учета в многоквартирных домах учитывают общий объем тепловой энергии, потребленной на нужды отопления и горячего водоснабжения, объем тепловой энергии на отопление определяется с учетом требований
Правил предоставления коммунальных услуг собственникам и пользователям помещений в многоквартирных домах и жилых домов, утвержденных постановлением Правительства Российской Федерации от 6 мая 2011 г. N 354 "О предоставлении коммунальных услуг собственникам и пользователям помещений в многоквартирных домах и жилых домов" (далее - Правила предоставления коммунальных услуг);
Sоб - общая площадь всех жилых и нежилых помещений в многоквартирных домах, жилых домов (кв. м);
nот - период, равный продолжительности отопительного периода (количество календарных месяцев, в том числе неполных, в отопительном периоде);
k - коэффициент поправки на температурные параметры, используемые в целях проектирования системы отопления, который определяется по следующей формуле:
(формула 5(1))
где:

- учитываемая при проектировании системы отопления продолжительность отопительного периода (суток в году), характеризующегося средней температурой наружного воздуха 8 °C и ниже (
таблица 3.1 СП 131.13330.2020 "СНиП 23-01-99* Строительная климатология");
t
вн - температура внутреннего воздуха отапливаемых жилых помещений многоквартирного дома или жилого дома, принимаемая в соответствии с требованиями
Правил предоставления коммунальных услуг (°C);

- средняя температура наружного воздуха в отопительный период по проектным данным, учитываемая при проектировании системы отопления (
таблица 3.1 СП 131.13330.2020 "СНиП 23-01-99* Строительная климатология") (°C);

- фактическая продолжительность отопительного периода (суток);
tсро - фактическая средняя температура наружного воздуха в отопительный период (°C).
(п. 3 в ред.
Постановления Правительства РФ от 13.09.2022 N 1598)
3(1). Утратил силу. -
Постановление Правительства РФ от 29.06.2016 N 603.
Формула определения норматива потребления коммунальной
услуги по отоплению на общедомовые нужды
4. Утратил силу. -
Постановление Правительства РФ от 16.04.2013 N 344.
Формула определения норматива потребления
коммунальной услуги по холодному водоснабжению и норматива
потребления коммунальной услуги по горячему водоснабжению
или норматива потребления горячей воды в жилых помещениях
5. Норматив потребления коммунальной услуги по холодному водоснабжению, норматив потребления коммунальной услуги по горячему водоснабжению или норматив потребления горячей воды в жилых помещениях (куб. м в месяц на 1 человека) определяется по следующей формуле:
(формула 6)
где:

- средний фактический расход холодной воды, горячей воды в многоквартирном доме или жилом доме (куб. м в месяц на 1 человека), определяемый по
формуле 7;

- норматив потребления холодной воды, потребляемой при использовании и содержании общего имущества в многоквартирном доме, и норматив потребления горячей воды, потребляемой при использовании и содержании общего имущества в многоквартирном доме (куб. м в месяц на 1 кв. м общей площади помещений, входящих в состав общего имущества в многоквартирном доме), определяемый по
формуле 8;
Sои - общая площадь помещений, входящих в состав общего имущества в многоквартирном доме (кв. м). Общая площадь помещений, входящих в состав общего имущества в многоквартирном доме, определяется как суммарная площадь помещений в многоквартирном доме, не являющихся частями квартир многоквартирного дома и предназначенных для обслуживания более одного помещения в многоквартирном доме (согласно сведениям, указанным в технической документации многоквартирного дома), - межквартирных лестничных площадок, лестниц, коридоров, тамбуров, холлов, вестибюлей, колясочных, помещений охраны (консьержа) в этом многоквартирном доме, не принадлежащих отдельным собственникам;
K - численность жителей, проживающих в многоквартирных домах, в отношении которых определяется норматив.
(п. 5 в ред.
Постановления Правительства РФ от 13.09.2022 N 1598)
5(1). Утратил силу. -
Постановление Правительства РФ от 29.06.2016 N 603.
6. Средний фактический расход холодной (горячей) воды в многоквартирном доме или жилом доме (куб. м в месяц на 1 человека) определяется по следующей формуле:
(формула 7)

,
где:
m - количество многоквартирных домов или жилых домов;
Qi - расход холодной (горячей) воды по показаниям коллективного (общедомового) прибора учета в i-м многоквартирном доме или индивидуального прибора учета в i-м жилом доме (куб. м в месяц);
ni - численность проживающих жителей в i-м многоквартирном доме или жилом доме.
Формула определения норматива расхода тепловой энергии
на подогрев воды
6(1). Норматив расхода тепловой энергии на подогрев воды (Гкал на 1 куб. м) при применении метода аналогов в соответствии с
пунктами 32 -
32(2) Правил определяется по следующей формуле:
(формула 7.1)

,
где:
Qi - суммарный расход тепловой энергии, содержащейся в горячей воде, определенный по показаниям коллективного (общедомового) прибора учета в i-м многоквартирном доме или индивидуального прибора учета в i-м жилом доме (Гкал в месяц);
Gi - суммарный расход горячей воды по показаниям коллективного (общедомового) прибора учета в i-м МНОГОКВАРТИРНОМ доме или индивидуального прибора учета в i-м жилом доме (куб. м в месяц);
m - количество многоквартирных домов или жилых домов.
Формула определения норматива потребления холодной воды,
потребляемой при использовании и содержании общего имущества
в многоквартирном доме, и норматива потребления горячей
воды, потребляемой при использовании и содержании
общего имущества в многоквартирном доме
6(2). Норматив потребления холодной воды, потребляемой при использовании и содержании общего имущества в многоквартирном доме, и норматив потребления горячей воды, потребляемой при использовании и содержании общего имущества в многоквартирном доме, при наличии данных по коллективным (общедомовым) приборам учета (куб. м в месяц на 1 кв. м общей площади помещений, входящих в состав общего имущества в многоквартирном доме) определяется по следующей формуле:
(формула 8)
где:

- средний фактический расход холодной воды, горячей воды в многоквартирном доме или жилом доме (куб. м в месяц на 1 человека), определяемый по
формуле 7;
L - количество этажей в многоквартирных домах, в отношении которых определяется норматив, определяемое по следующей формуле:
(формула 8(1))
где:

- сумма этажей в группе многоквартирных домов;
m - количество многоквартирных домов в группе;

- доля нормативных технологических потерь холодной воды, горячей воды во внутридомовых инженерных системах в величине среднего фактического расхода холодной воды, горячей воды на вводе в многоквартирный дом;
0,0903 - расход холодной воды, горячей воды, потребляемых при использовании и содержании общего имущества в многоквартирном доме (куб. м в месяц на 1 человека);
K - численность жителей, проживающих в многоквартирных домах, в отношении которых определяется норматив;
Sои - общая площадь помещений, входящих в состав общего имущества в многоквартирных домах (кв. м).
Общая площадь помещений, входящих в состав общего имущества в многоквартирном доме, определяется как суммарная площадь помещений в многоквартирном доме, не являющихся частями квартир многоквартирного дома и предназначенных для обслуживания более одного помещения в многоквартирном доме (согласно сведениям, указанным в технической документации многоквартирного дома), - межквартирных лестничных площадок, лестниц, коридоров, тамбуров, холлов, вестибюлей, колясочных, помещений охраны (консьержа) в этом многоквартирном доме, не принадлежащих отдельным собственникам.
Формула определения норматива потребления
коммунальной услуги по холодному водоснабжению и норматива
потребления коммунальной услуги по горячему водоснабжению
или норматива потребления горячей воды на общедомовые нужды
7. Утратил силу с 1 января 2017 года. -
Постановление Правительства РФ от 26.12.2016 N 1498.
7(1). Утратил силу. -
Постановление Правительства РФ от 29.06.2016 N 603.
Формула определения норматива потребления коммунальной
услуги по электроснабжению в жилых помещениях
8. Норматив потребления коммунальной услуги по электроснабжению в жилых помещениях (кВт·ч в месяц на 1 человека) определяется по следующей формуле:
(формула 9)

,
где:
W1 - суммарный расход электрической энергии по показаниям всех индивидуальных приборов учета за июнь и ноябрь в жилых помещениях l-го многоквартирного дома или в l-м жилом доме;
n - численность жителей, проживающих в многоквартирных домах или жилых домах, оборудованных индивидуальными приборами учета;
m - количество многоквартирных домов или жилых домов;
K1 - поправочный коэффициент, характеризующий зависимость величины расхода электрической энергии от показателя среднего количества комнат в квартире (жилом доме), определяемый отдельно для многоквартирных домов или жилых домов, оборудованных газовой плитой или электроплитой, в соответствии с
таблицей 2;
K2 - поправочный коэффициент, характеризующий зависимость величины расхода электрической энергии от показателя среднего количества человек, проживающих в квартире (жилом доме), определяемый в соответствии с
таблицей 3;
i - индекс, отражающий количество комнат в квартире (жилом доме) (i = 1, 2, 3, 4);
j - индекс, отражающий количество человек, проживающих в квартире (жилом доме) (j = 1, 2, 3, 4, 5);
срi, срj - индексы, отражающие среднее по исследуемым многоквартирным домам или жилым домам количество комнат и количество человек, проживающих в квартирах (жилых домах);
2 - количество месяцев, используемых для снятия показаний приборов учета (июнь и ноябрь).
Таблица 2
Поправочный коэффициент K1, зависящий от количества комнат
в 1 квартире (жилом доме)
Показатель среднего количества комнат в 1 квартире (жилом доме) | Коэффициент K1 для многоквартирных домов или жилых домов, оборудованных газовыми плитами | Коэффициент K1 для многоквартирных домов или жилых домов, оборудованных электроплитами |
1 | 1 | 1 |
1,2 | 1,08 | 1,05 |
1,4 | 1,14 | 1,09 |
1,6 | 1,2 | 1,12 |
1,8 | 1,25 | 1,15 |
2 | 1,29 | 1,18 |
2,2 | 1,33 | 1,21 |
2,4 | 1,37 | 1,23 |
2,6 | 1,4 | 1,25 |
2,8 | 1,43 | 1,27 |
3 | 1,46 | 1,29 |
3,2 | 1,49 | 1,31 |
3,4 | 1,51 | 1,32 |
3,6 | 1,54 | 1,34 |
3,8 | 1,56 | 1,35 |
4 и более | 1,58 | 1,37 |
Таблица 3
Поправочный коэффициент K2, зависящий от количества
человек, проживающих в 1 квартире (жилом доме)
Показатель среднего количества человек, проживающих в 1 квартире (жилом доме) | Коэффициент K2 |
1 | 1 |
1,2 | 0,88 |
1,4 | 0,79 |
1,6 | 0,72 |
1,8 | 0,67 |
2 | 0,62 |
2,2 | 0,58 |
2,4 | 0,55 |
2,6 | 0,52 |
2,8 | 0,5 |
3 | 0,48 |
3,2 | 0,45 |
3,4 | 0,44 |
3,6 | 0,42 |
3,8 | 0,41 |
4 | 0,39 |
4,2 | 0,38 |
4,4 | 0,37 |
4,6 | 0,36 |
4,8 | 0,35 |
5 и более | 0,34 |
8(1). Утратил силу. -
Постановление Правительства РФ от 29.06.2016 N 603.
Формула определения норматива потребления электрической
энергии, потребляемой при использовании и содержании общего
имущества в многоквартирном доме
8(2). Норматив потребления электрической энергии, потребляемой при использовании и содержании общего имущества в многоквартирном доме с использованием показаний приборов учета электрической энергии (кВт·ч в месяц на 1 кв. м общей площади помещений, входящих в состав общего имущества в многоквартирном доме), определяется по следующей формуле:
(формула 10)
где:
n - количество многоквартирных домов;
Wi - суммарный расход электрической энергии по показаниям коллективного (общедомового) прибора учета (кВт·ч) за март, июнь и декабрь в i-м многоквартирном доме за вычетом суммарного расхода электрической энергии в нежилых помещениях, потребление в которых учитывается в показаниях коллективного (общедомового) прибора учета;
m - количество жилых помещений в i-м многоквартирном доме;
W1 - расход электрической энергии по показаниям индивидуального прибора учета за март, июнь и декабрь в 1-м жилом помещении;
3 - количество месяцев, используемых для снятия показаний приборов учета (март, июнь и декабрь);
Sои - общая площадь помещений, входящих в состав общего имущества в многоквартирных домах (кв. м).
Формула определения норматива потребления коммунальной
услуги по электроснабжению на общедомовые нужды
9. Утратил силу с 1 января 2017 года. -
Постановление Правительства РФ от 26.12.2016 N 1498.
9(1). Утратил силу. -
Постановление Правительства РФ от 29.06.2016 N 603.
Формула определения норматива потребления коммунальной
услуги по газоснабжению в жилых помещениях
10. Норматив потребления коммунальной услуги по газоснабжению в жилых помещениях при использовании природного газа (куб. м в месяц на 1 человека - при использовании природного газа для приготовления пищи и (или) подогрева воды в жилых помещениях; куб. м в месяц на 1 кв. м общей площади жилых помещений - при использовании природного газа для отопления жилых помещений) определяется по следующей формуле:
(формула 11)

,
где:
qст - суммарное за год потребление газа в многоквартирных домах по показаниям коллективных (общедомовых) приборов учета или в жилых домах по показаниям индивидуальных приборов учета;
n - численность жителей, проживающих в многоквартирных домах или жилых домах (используется при определении норматива потребления коммунальной услуги по газоснабжению в жилых помещениях при использовании природного газа для приготовления пищи и (или) подогрева воды в жилых помещениях). При определении норматива потребления коммунальной услуги по газоснабжению в жилых помещениях при использовании природного газа для отопления жилых помещений вместо численности жителей, проживающих в многоквартирных домах или жилых домах, используется общая площадь жилых помещений в многоквартирных домах или жилых домов;
12 - количество месяцев в году.
11. Норматив потребления коммунальной услуги по газоснабжению в жилых помещениях при использовании сжиженного углеводородного газа (кг в месяц на 1 человека - при использовании сжиженного углеводородного газа для приготовления пищи и (или) подогрева воды в жилых помещениях; кг в месяц на 1 кв. м общей площади жилых помещений - при использовании сжиженного углеводородного газа для отопления жилых помещений) определяется по следующей формуле:
(формула 12)

,
где:
G
М - суммарный за год массовый расход газа (кг) в многоквартирных домах по показаниям коллективных (общедомовых) приборов учета или в жилых домах по показаниям индивидуальных приборов учета, определенный по
формуле 14;
n - численность жителей, проживающих в многоквартирных домах или жилых домах (используется при определении норматива потребления коммунальной услуги по газоснабжению в жилых помещениях при использовании сжиженного углеводородного газа для приготовления пищи и (или) подогрева воды в жилых помещениях). При определении норматива потребления коммунальной услуги по газоснабжению в жилых помещениях при использовании сжиженного углеводородного газа для отопления жилых помещений вместо численности жителей, проживающих в многоквартирных домах или жилых домах, используется общая площадь жилых помещений в многоквартирных домах или жилых домов;
12 - количество месяцев в году.
12. Расход природного или сжиженного углеводородного газа (куб. м) исчисляется исходя из стандартных условий. В случае если устанавливаемые приборы учета не имеют специальных корректоров, приведение газа, прошедшего через прибор учета, к стандартным условиям (t = 20 °C и P = 760 мм рт. ст.) осуществляется расчетным путем по каждому прибору учета по следующей формуле:
(формула 13)

,
где:
qсч - количество газа, прошедшее по счетному механизму коллективного (общедомового) прибора учета в многоквартирном доме или по счетному механизму индивидуального прибора учета в жилом доме (куб. м);
Pсч - действительное давление газа в рабочей зоне прибора учета (мм рт. ст.);
Pб - барометрическое давление атмосферы (мм рт. ст.);
293 - температура газа при стандартных условиях (К);
273 - абсолютная температура газа (К);
760 - давление атмосферы при стандартных условиях (мм рт. ст.);
tсч - действительная температура в рабочей зоне прибора учета (°C).
13. Количество газа, прошедшее по счетному механизму коллективного (общедомового) прибора учета в многоквартирном доме или по счетному механизму индивидуального прибора учета в жилом доме (q
сч), приводят к стандартным условиям (q
ст) по
формуле 13 и пересчитывают в массовый расход газа (кг) по следующей формуле:
(формула 14)

,
где:
qст - расход газа, приведенный к стандартным условиям (куб. м);

- плотность сжиженного углеводородного газа при стандартных условиях (кг/куб. м).
14. Плотность сжиженного углеводородного газа при стандартных условиях (кг/куб. м) определяется по следующей формуле:
(формула 15)

,
где:

- плотность i-го компонента сжиженного углеводородного газа при стандартных условиях (кг/куб. м);
xoi - объемное содержание i-го компонента сжиженного углеводородного газа (% об.).
15. Объемное содержание i-го компонента сжиженного углеводородного газа (% об.) определяется по следующей формуле:
(формула 16)

,
где:
zci - коэффициент сжимаемости i-го компонента сжиженного углеводородного газа при стандартных условиях;
xmi - мольное содержание i-го компонента сжиженного углеводородного газа (% мол.).
16. Мольное содержание i-го компонента сжиженного углеводородного газа (% мол.) определяется по следующей формуле:
(формула 17)

,
где:
xbi - массовое содержание i-го компонента сжиженного углеводородного газа (% мас.);
Mi - молекулярная масса i-го компонента сжиженного углеводородного газа.
17. Значения

, z
ci, M
i определяются на основании стандартов, устанавливающих требования к составу компонентов и физическим свойствам сжиженного углеводородного газа.
II. Определение нормативов потребления коммунальных услуг
в жилых помещениях и нормативов потребления коммунальных
ресурсов, потребляемых при использовании и содержании
общего имущества в многоквартирном доме, с применением
расчетного метода
Формула расчета норматива потребления коммунальной услуги
по отоплению в жилых помещениях
18. Норматив потребления коммунальной услуги по отоплению в жилых помещениях (Гкал на 1 кв. м общей площади всех жилых и нежилых помещений в многоквартирном доме или жилого дома в месяц отопительного периода) определяется по следующей формуле:
(формула 18)
где:
Q
о - количество тепловой энергии, потребляемой за один отопительный период многоквартирными домами, не оборудованными коллективными (общедомовыми) приборами учета тепловой энергии, или жилыми домами, не оборудованными индивидуальными приборами учета тепловой энергии (Гкал), определяемое по
формуле 19;
Sоб - общая площадь всех жилых и нежилых помещений в многоквартирных домах, жилых домов (кв. м);
nот - период, равный продолжительности отопительного периода (количество календарных месяцев, в том числе неполных, в отопительном периоде).
(п. 18 в ред.
Постановления Правительства РФ от 13.09.2022 N 1598)
18(1). Утратил силу. -
Постановление Правительства РФ от 29.06.2016 N 603.
19. Количество тепловой энергии (Гкал/год), необходимой для отопления многоквартирного дома или жилого дома, определяется по следующей формуле:
(формула 19)

,
где:
qmax - часовая тепловая нагрузка на отопление многоквартирного дома или жилого дома (ккал/час);
tвн - температура внутреннего воздуха отапливаемых жилых помещений многоквартирного дома или жилого дома (°C);
tсро - средняя температура наружного воздуха за отопительный период (°C);
tро - расчетная температура наружного воздуха в целях проектирования систем отопления (°C);
nо - продолжительность отопительного периода (суток в год), характеризующегося средней температурой наружного воздуха 8 °C и ниже;
24 - количество часов в сутках;
10-6 - коэффициент перевода из ккал в Гкал.
Количественные значения t
вн, t
сро, t
ро и случаи их применения определяются в соответствии с
пунктом 44 Правил.
20. Часовая тепловая нагрузка на отопление многоквартирных домов или жилых домов, не оборудованных приборами учета тепловой энергии, определяется исходя из показателей, содержащихся в проектной документации домов. В случае отсутствия проектной документации часовая тепловая нагрузка определяется по сведениям, указанным в технической документации многоквартирного дома. При отсутствии указанных документации и данных часовая тепловая нагрузка (ккал в час) определяется по следующей формуле:
(формула 20)
qmax = qуд. x S,
где:
q
уд. - нормируемый удельный расход тепловой энергии на отопление многоквартирного дома или жилого дома (ккал в час на 1 кв. м), предусмотренный в
таблице 4;
S - общая площадь жилых и нежилых помещений многоквартирного дома, а также помещений, входящих в состав общего имущества в многоквартирном доме, или площадь жилого дома (кв. м).
Таблица 4
Значение нормируемого удельного расхода тепловой энергии
на отопление многоквартирного дома или жилого дома
Количество этажей | Расчетная температура наружного воздуха |
-10 °C | -15 °C | -20 °C | -25 °C | -30 °C | -35 °C | -40 °C | -45 °C | -50 °C | -55 °C |
I. Многоквартирные дома или жилые дома до 1999 года постройки включительно |
1 | 128 | 134 | 140 | 145 | 149 | 151 | 158 | 163 | 169 | 176 |
2 | 121 | 127 | 128 | 135 | 138 | 140 | 146 | 152 | 161 | 167 |
3 - 4 | 67 | 72 | 78 | 83 | 86 | 88 | 92 | 96 | 100 | 104 |
5 - 9 | 56 | 60 | 64 | 69 | 72 | 77 | 79 | 85 | 87 | 93 |
10 | 50 | 59 | 63 | 66 | 69 | 74 | 75 | 80 | 84 | 89 |
11 | 48 | 57 | 61 | 66 | 69 | 74 | 75 | 80 | 84 | 89 |
12 | 48 | 57 | 61 | 66 | 69 | 73 | 74 | 79 | 83 | 88 |
13 | 49 | 58 | 62 | 68 | 69 | 74 | 76 | 81 | 85 | 90 |
14 | 49 | 58 | 63 | 69 | 71 | 75 | 78 | 82 | 87 | 91 |
15 | 51 | 60 | 64 | 71 | 72 | 76 | 79 | 84 | 88 | 93 |
16 и более | 53 | 62 | 66 | 73 | 74 | 78 | 82 | 86 | 91 | 95 |
II. Многоквартирные дома или жилые дома после 1999 года постройки |
1 | 34 | 40 | 45 | 51 | 57 | 63 | 68 | 74 | 81 | 86 |
2 | 29 | 33 | 38 | 43 | 48 | 53 | 58 | 63 | 68 | 73 |
3 | 28 | 33 | 37 | 43 | 48 | 52 | 57 | 62 | 67 | 72 |
4 - 5 | 24 | 28 | 32 | 37 | 41 | 45 | 49 | 54 | 58 | 62 |
6 - 7 | 23 | 27 | 30 | 35 | 38 | 42 | 46 | 50 | 54 | 58 |
8 | 22 | 25 | 29 | 33 | 36 | 40 | 44 | 48 | 52 | 55 |
9 | 22 | 24 | 29 | 33 | 36 | 40 | 44 | 48 | 52 | 55 |
10 | 20 | 24 | 27 | 31 | 34 | 38 | 41 | 45 | 49 | 52 |
11 | 20 | 23 | 27 | 31 | 34 | 38 | 41 | 45 | 49 | 52 |
12 и более | 20 | 23 | 26 | 30 | 33 | 37 | 40 | 43 | 47 | 50 |
Наименование подраздела исключено. -
Постановление Правительства РФ от 16.04.2013 N 344
21. Утратил силу. -
Постановление Правительства РФ от 16.04.2013 N 344.
Расчет норматива потребления коммунальной
услуги по отоплению при использовании земельного участка
и надворных построек
22. Норматив потребления коммунальной услуги по отоплению при использовании земельного участка и надворных построек (Гкал в месяц на 1 кв. м отапливаемых надворных построек, расположенных на земельном участке) определяется по следующей формуле:
(формула 21)

,
где:
Qо - количество тепловой энергии, необходимой для отопления расположенных на земельном участке надворных построек (Гкал/год), определяемое органом государственной власти субъекта Российской Федерации, уполномоченным в порядке, предусмотренном нормативными правовыми актами субъекта Российской Федерации, на установление нормативов потребления коммунальных услуг (далее - уполномоченный орган);
Sпостр. - площадь отапливаемых надворных построек, расположенных на земельных участках (кв. м);
nот - период, равный продолжительности отопительного периода (количество календарных месяцев, в том числе неполных, в отопительном периоде).
22(1). Утратил силу. -
Постановление Правительства РФ от 29.06.2016 N 603.
Формула расчета норматива потребления коммунальных
услуг по холодному водоснабжению и норматива потребления
коммунальной услуги по горячему водоснабжению или норматива
потребления горячей воды в жилых помещениях
23. Суммарный расход холодной и горячей воды в жилых помещениях (куб. м в месяц на 1 человека) рассчитывается по следующей формуле:
(формула 22)

,
где:
Q
i - расход воды 1 водоразборным устройством на 1 процедуру, определяемый в соответствии с
таблицей 5;
ni - количество процедур пользования 1 водоразборным устройством в течение 1 календарного месяца, установленное Министерством строительства и жилищно-коммунального хозяйства Российской Федерации;
10-3 - коэффициент перевода из литров в кубические метры.
Таблица 5
Нормы расхода и средняя температура воды на 1 процедуру
Вид прибора или процедуры | Норма расхода воды на 1 процедуру (л) | Температура потребляемой воды (°C) |
Ванна сидячая длиной 1200 мм с душем | 250 | 37 |
Ванна длиной 1500 - 1550 мм с душем | 275 | 37 |
Ванна длиной 1650 - 1700 мм с душем | 300 | 37 |
Ванна без душа | 200 | 37 |
Душ | 100 | 37 |
Раковина | 20 | 25 |
Мойка кухонная | 8 | 40 |
Унитаз | 6 | температура холодной воды в сети водопровода |
Общеквартирные нужды | 8 | 25 |
Норматив потребления коммунальной услуги по холодному водоснабжению в многоквартирных домах и жилых домах с водопользованием из водоразборных колонок устанавливается исходя из удельного среднесуточного (за год) водопотребления на одного жителя, установленного
приложением N 3 к Правилам холодного водоснабжения и водоотведения, утвержденным постановлением Правительства Российской Федерации от 29 июля 2013 г. N 644 "Об утверждении Правил холодного водоснабжения и водоотведения и о внесении изменений в некоторые акты Правительства Российской Федерации".
24. Норматив потребления коммунальной услуги по горячему водоснабжению или норматив потребления горячей воды в жилых помещениях (куб. м в месяц на 1 человека) определяется по следующей формуле:
(формула 23)

,
где:
Qi - расход воды 1 водоразборным устройством на 1 процедуру;
ni - количество процедур пользования 1 водоразборным устройством в течение 1 календарного месяца, установленное Министерством строительства и жилищно-коммунального хозяйства Российской Федерации;
t
г - температура горячей воды в местах водоразбора (°C), которая принимается к расчету, если она не ниже минимальной температуры горячей воды в местах водоразбора (60 °C), предусмотренной требованиями санитарно-эпидемиологических правил и норм (
СанПиН 2.1.3684-21);
t
ni - температура потребляемой воды (°C), определяемая в соответствии с
таблицей 5;
t
x - средняя температура холодной воды в сети водопровода (°C), определяемая в соответствии с
пунктом 25 настоящего документа;
10-3 - коэффициент перевода из литров в кубические метры.
24(1). Норматив расхода тепловой энергии на подогрев воды (Гкал на 1 куб. м) при применении расчетного метода определяется по следующей формуле:
(формула 23.1)

,
где:
c - удельная теплоемкость воды (1 x 10-6 Гкал/(кг x °C);
p - плотность воды при температуре, равной tгв, и среднем за год давлении воды в трубопроводе (983,13 кг на 1 куб. м):
Таблица 5.1
Определение плотности воды в диапазоне температур
от 5 °C до 75 °C
Исключено с 1 марта 2023 года. -
Постановление Правительства РФ от 13.09.2022 N 1598.
t
гв - температура горячей воды, которая принимается к расчету, если она не ниже минимальной температуры горячей воды в местах водоразбора (60 °C), предусмотренной требованиями санитарно-эпидемиологических правил и норм (
СанПиН 2.1.3684-21);
tхв - температура холодной воды, поступающей потребителям из систем централизованного холодного водоснабжения (°C), определяемая в соответствии с пунктом 25 настоящего документа;
Кn - коэффициент, учитывающий потери тепла трубопроводами систем горячего водоснабжения, определяемый на основании таблицы 5.2:
Таблица 5.2
Коэффициент, учитывающий тепловые потери трубопроводами
систем горячего водоснабжения
Система горячего водоснабжения | Коэффициент, учитывающий тепловые потери трубопроводами систем горячего водоснабжения |
централизованная система горячего водоснабжения | нецентрализованная система горячего водоснабжения |
С изолированными стояками: |
с полотенцесушителями | 0,25 | 0,2 |
без полотенцесушителей | 0,15 | 0,1 |
С неизолированными стояками: |
с полотенцесушителями | 0,35 | 0,3 |
без полотенцесушителей | 0,25 | 0,2 |
В случае установления на едином уровне норматива расхода тепловой энергии на подогрев воды в целях предоставления коммунальной услуги по горячему водоснабжению с использованием закрытой системы водоснабжения при установлении однокомпонентного тарифа на горячую воду коэффициент, учитывающий нормативные потери тепла трубопроводами систем горячего водоснабжения, определяется по следующей формуле:
(формула 23(2))
где:
N1 - количество многоквартирных домов с неизолированными стояками и полотенцесушителями;
K1 - коэффициент для систем горячего водоснабжения с неизолированными стояками и полотенцесушителями, который равен 0,35;
N2 - количество многоквартирных домов с изолированными стояками и полотенцесушителями;
K2 - коэффициент для систем горячего водоснабжения с изолированными стояками и полотенцесушителями, который равен 0,25;
N3 - количество многоквартирных домов с неизолированными стояками и без полотенцесушителей;
K3 - коэффициент для систем горячего водоснабжения с неизолированными стояками и без полотенцесушителей, который равен 0,25;
N4 - количество многоквартирных домов с изолированными стояками и без полотенцесушителей;
K4 - коэффициент для систем горячего водоснабжения с изолированными стояками и без полотенцесушителей, который равен 0,15;
N - количество многоквартирных домов с системами горячего водоснабжения.
25. Средняя температура холодной воды в сети водопровода определяется на основании сведений, предоставляемых органами гидрометеорологической службы. При отсутствии достоверных данных средняя температура (°C) определяется по следующей формуле:
(формула 24)

,
где:

- температура холодной воды в водопроводной сети в отопительный период, равная 5 °C;

- температура холодной воды в водопроводной сети в неотопительный период, равная 15 °C;
n - количество суток в году (365 или 366);
nот - продолжительность отопительного периода (суток).
26. Норматив потребления коммунальной услуги по холодному водоснабжению в жилых помещениях (куб. м в месяц на 1 человека) определяется по следующей формуле:
(формула 25)
Nх = Nв - Nг,
где:
N
в - суммарный расход холодной и горячей воды в жилых помещениях, определяемый по
формуле 22 (куб. м в месяц на 1 человека);
N
г - норматив потребления коммунальной услуги по горячему водоснабжению, определяемый по
формуле 23 (куб. м в месяц на 1 человека).
26(1). Утратил силу. -
Постановление Правительства РФ от 29.06.2016 N 603.
Формула расчета норматива потребления холодной воды,
потребляемой при использовании и содержании общего имущества
в многоквартирном доме, и норматива потребления горячей
воды, потребляемой при использовании и содержании
общего имущества в многоквартирном доме
27. Норматив потребления холодной воды, потребляемой при использовании и содержании общего имущества в многоквартирном доме, и норматив потребления горячей воды, потребляемой при использовании и содержании общего имущества в многоквартирном доме (куб. м в месяц на 1 кв. м общей площади помещений, входящих в состав общего имущества в многоквартирном доме), определяются по следующей формуле:
(формула 26)
где:
N
в - норматив потребления коммунальной услуги по холодному или горячему водоснабжению (куб. м в месяц на 1 человека), определяемый в соответствии с
пунктами 23 -
26 настоящего документа;
0,0903 - расход холодной воды, горячей воды, потребляемых при использовании и содержании общего имущества в многоквартирном доме (куб. м в месяц на 1 человека);

- доля нормативных технологических потерь холодной воды, горячей воды во внутридомовых инженерных системах в суммарной величине норматива потребления коммунальной услуги по холодному водоснабжению и расхода холодной воды, потребляемой при использовании и содержании общего имущества в многоквартирном доме, или в суммарной величине норматива потребления коммунальной услуги по горячему водоснабжению и расхода горячей воды, потребляемой при использовании и содержании общего имущества в многоквартирном доме;
L - количество этажей в многоквартирных домах, в отношении которых определяется норматив, определяемое по
формуле 8(1);
K - численность жителей, проживающих в многоквартирных домах, в отношении которых определяется норматив;
Sои - общая площадь помещений, входящих в состав общего имущества в многоквартирных домах (кв. м).
(п. 27 в ред.
Постановления Правительства РФ от 13.09.2022 N 1598)
27(1). Утратил силу. -
Постановление Правительства РФ от 29.06.2016 N 603.
Расчет норматива потребления коммунальной услуги
по холодному водоснабжению при использовании земельного
участка и надворных построек
28. Норматив потребления коммунальной услуги по холодному водоснабжению при использовании земельного участка и надворных построек для полива земельного участка (куб. м в месяц на 1 кв. м земельного участка) определяется по следующей формуле:
(формула 27)

,
где:
Qполив - расход воды на полив земельного участка (куб. м в год на 1 кв. м земельного участка), определяемый уполномоченным органом;
n - количество месяцев, соответствующих периоду использования холодной воды на полив земельного участка, устанавливаемому уполномоченным органом с учетом климатических условий субъекта Российской Федерации.
29. Норматив потребления коммунальной услуги по холодному водоснабжению при использовании земельного участка и надворных построек для водоснабжения и приготовления пищи для соответствующего сельскохозяйственного животного (куб. м в месяц на 1 голову животного) определяется по следующей формуле:
(формула 28)

,
где:
Qжив. - расход воды на водоснабжение и приготовление пищи для соответствующего сельскохозяйственного животного (куб. м в год на 1 голову животного), определяемый уполномоченным органом;
12 - количество месяцев в году.
29(1). Утратил силу. -
Постановление Правительства РФ от 29.06.2016 N 603.
Формула расчета норматива потребления коммунальной услуги
по электроснабжению
30. В качестве базовых условий определения потребности в электрической энергии на внутриквартирные нужды принимается наиболее типичная по площади для жилищного фонда, в отношении которого устанавливается норматив потребления коммунальной услуги по электроснабжению, 1-комнатная квартира, в которой проживает 1 человек.
31. Годовой расход электрической энергии на освещение (кВт·ч) определяется по следующей формуле:
(формула 29)
Wосв = S x Pуд. x Кi x Nмакс x 10-3,
где:
S - общая площадь 1-комнатной квартиры (в коммунальных квартирах - 1 комнаты) (кв. м);
Pуд. - удельная мощность приборов освещения в расчете на 1 кв. м общей площади 1-комнатной квартиры (в коммунальных квартирах - 1 комнаты) (при отсутствии данных принимается 15 Вт/кв. м);
Кi - коэффициент одновременного включения приборов освещения (при отсутствии данных принимается 0,35);
Nмакс - количество часов использования приборов освещения в год;
10-3 - коэффициент перевода из ватт-часов в киловатт-часы.
32. Годовой расход электрической энергии, потребляемой электробытовыми приборами (Wпр.), определяется исходя из объема годового потребления электрической энергии наиболее типичных электробытовых приборов 1 человеком в год в соответствии с таблицей 6.
Таблица 6
Примерный перечень внутриквартирных электробытовых приборов
и объем годового потребления ими электрической энергии
Наименование электробытового прибора | Объем годового потребления электрической энергии (кВт·ч) |
Холодильник, морозильник | 300 |
Телевизор, видеомагнитофон | 180 |
Радиоприемник, магнитофон | 15 |
Пылесос | 50 |
Стиральная машина | 40 |
Утюг | 50 |
Прочие бытовые приборы (кофемолка, тостер, миксер, мясорубка, бритва, фен, грелка, паяльник, дрель, электрообогреватель, компьютер и другие подобные приборы) | 30 |
Напольная электроплита (для многоквартирных домов или жилых домов, оборудованных электроплитами) | 600 |
Электроводонагреватель <*> | |
--------------------------------
<*> В жилых помещениях многоквартирных домов или жилых домах, оборудованных электроводонагревателями в соответствии с проектами, объем годового потребления электрической энергии для нагрева воды определяется в соответствии с
пунктами 33 и
34 настоящего документа.
33. Объем годового потребления электрической энергии для нагрева воды (кВт·ч) в жилых помещениях многоквартирных домов или жилых домах, оборудованных электроводонагревателями в соответствии с проектами, определяется по следующей формуле:
(формула 30)

,
где:
Q
ГВС - количество тепловой энергии, необходимой для подогрева воды, в расчете на 1 человека в год (ккал/чел.), определяемое по
формуле 31;
860 - коэффициент перевода из ккал в кВт·ч;
0,95 - средний коэффициент полезного действия электроводонагревателя.
34. Количество тепловой энергии, необходимой для подогрева воды, в расчете на 1 человека в год (ккал/чел.), определяется по следующей формуле:
(формула 31)
Q
ГВС = N
ГВС x p x c x (t
г - t
с) x 12 x (1 + К
ТП),
где:
NГВС - месячный расход воды для подогрева (куб. м в месяц на 1 человека), определяемый в размере 30 процентов общего объема потребления холодной воды;
p - объемный вес воды (кгс/куб. м), равный 983,18 кгс/куб. м при температуре tг = 60 °C;
c - теплоемкость воды (ккал/(кгс x °C)), равная 1 ккал/(кгс x °C);
t
г - температура горячей воды в местах водоразбора (°C), принимаемая к расчету с учетом требований, установленных
Правилами предоставления коммунальных услуг;
t
с - средняя температура холодной воды в сети водопровода (°C), определяемая в соответствии с
пунктом 25 настоящего документа;
КТП - коэффициент, учитывающий тепловые потери трубопроводами систем горячего водоснабжения и затраты тепловой энергии на отопление ванных комнат, предусмотренный в таблице 7;
12 - количество месяцев в году.
Таблица 7
Коэффициент, учитывающий тепловые потери
трубопроводами систем горячего водоснабжения и затраты
тепловой энергии на отопление ванных комнат
Тип трубопровода | Коэффициент |
Изолированный | 0,02 |
Неизолированный | 0,03 |
35. Для базовых условий (1-комнатная квартира, в которой проживает 1 человек) годовой расход электрической энергии внутри жилого помещения (кВт·ч) определяется по следующей формуле:
(формула 32)
W = Wосв. + Wпр.,
где:
Wосв. - годовой расход электрической энергии на освещение (кВт·ч);
Wпр. - годовой расход электрической энергии, потребляемой электробытовыми приборами (кВт·ч).
36. Норматив потребления коммунальной услуги по электроснабжению в жилых помещениях с учетом дифференциации в зависимости от количества комнат и количества человек, проживающих в жилом помещении (кВт·ч в месяц на 1 человека), определяется по следующей формуле:
(формула 33)

,
где:
W1,1 - годовой расход электрической энергии в 1-комнатной квартире (жилом доме), в которой проживает 1 человек (кВт·ч);
K1 - поправочный коэффициент, характеризующий зависимость величины расхода электрической энергии от показателя среднего количества комнат в квартире (жилом доме), согласно
таблице 2;
K2 - поправочный коэффициент, характеризующий зависимость величины расхода электрической энергии от показателя среднего количества человек, проживающих в квартире (жилом доме), согласно
таблице 3;
i - индекс, отражающий количество комнат в квартире (жилом доме) (i = 1, 2, 3, 4);
j - индекс, отражающий численность потребителей, проживающих в квартире (жилом доме) (j = 1, 2, 3, 4, 5);
12 - количество месяцев в году.
36(1). Утратил силу. -
Постановление Правительства РФ от 29.06.2016 N 603.
Формула расчета норматива потребления электрической энергии,
потребляемой при использовании и содержании общего имущества
в многоквартирном доме
(в ред. Постановлений Правительства РФ от 26.12.2016
N 1498,
37. Норматив потребления электрической энергии, потребляемой при использовании и содержании общего имущества в многоквартирном доме, рассчитывается на основании расхода электрической энергии по следующим группам оборудования, являющегося общим имуществом многоквартирного дома:
(в ред. Постановлений Правительства РФ от 26.12.2016
N 1498, от 13.09.2022
N 1598)
осветительные установки - исходя из определяемых уполномоченным органом суммарной мощности установленных осветительных приборов, количества часов работы в году и коэффициента, учитывающего наличие перегоревших ламп, находящихся в стадии замены;
силовое оборудование лифтов, включая схемы управления и сигнализации, освещение кабин лифтов и лифтовых шахт, - исходя из определяемых уполномоченным органом суммарной мощности установленного оборудования, количества часов работы в году и среднегодового коэффициента использования мощности в режиме работы (подъем и спуск кабины), а также суммарной мощности установленного оборудования, количества часов работы в году и среднегодового коэффициента использования мощности в режиме ожидания;
системы противопожарного оборудования и дымоудаления, дверные запирающие устройства, усилители телеантенн коллективного пользования, насосное оборудование холодного и горячего водоснабжения, а также системы отопления и другое оборудование - исходя из мощности установленного оборудования и определяемых уполномоченным органом количества часов работы в году и среднегодового коэффициента использования мощности.
Величина норматива потребления электрической энергии, потребляемой при использовании и содержании общего имущества в многоквартирном доме (кВт·ч в месяц на 1 кв. м общей площади помещений, входящих в состав общего имущества в многоквартирном доме), определяется по следующей формуле:
(формула 34)

,
где:
Wобщ.i - суммарное годовое потребление электрической энергии (кВт·ч) i-й группой оборудования, входящего в состав общего имущества в многоквартирных домах;
Sои - общая площадь помещений, входящих в состав общего имущества в многоквартирных домах (кв. м);
12 - количество месяцев в году.
37(1). Утратил силу. -
Постановление Правительства РФ от 29.06.2016 N 603.
Расчет норматива потребления коммунальной услуги
по электроснабжению при использовании земельного участка
и надворных построек
38. Норматив потребления коммунальной услуги по электроснабжению при использовании земельного участка и надворных построек для освещения в целях содержания соответствующего сельскохозяйственного животного (кВт·ч в месяц на 1 голову животного) определяется по следующей формуле:
(формула 35)

,
где:
Qосв. - расход электрической энергии на освещение в целях содержания сельскохозяйственного животного соответствующего вида (кВт·ч в год на 1 голову животного), определяемый уполномоченным органом;
12 - количество месяцев в году.
39. Норматив потребления коммунальной услуги по электроснабжению при использовании земельного участка и надворных построек для приготовления пищи и подогрева воды для сельскохозяйственного животного соответствующего вида (кВт·ч в месяц на 1 голову животного) определяется по следующей формуле:
(формула 36)

,
где:
Qприг. - расход электрической энергии на приготовление пищи и подогрев воды для соответствующего сельскохозяйственного животного (кВт·ч в год на 1 голову животного), определяемый уполномоченным органом;
12 - количество месяцев в году.
39(1). Утратил силу. -
Постановление Правительства РФ от 29.06.2016 N 603.
к Правилам установления
и определения нормативов
потребления коммунальных услуг
и нормативов потребления коммунальных
ресурсов, потребляемых при
использовании и содержании общего
имущества в многоквартирном доме
| | Список изменяющих документов в ред. Постановлений Правительства РФ от 26.12.2016 N 1498, | |
ФОРМА
для установления нормативов потребления коммунальных услуг
по холодному (горячему) водоснабжению в жилых помещениях
| Категория жилых помещений | Единица измерения | Норматив потребления коммунальной услуги холодного водоснабжения | Норматив потребления коммунальной услуги горячего водоснабжения |
1. | Многоквартирные и жилые дома с централизованным холодным и горячим водоснабжением, водоотведением, оборудованные унитазами, раковинами, мойками, ваннами сидячими длиной 1200 мм с душем | куб. метр в месяц на человека | | |
2. | Многоквартирные и жилые дома с централизованным холодным и горячим водоснабжением, водоотведением, оборудованные унитазами, раковинами, мойками, ваннами длиной 1500 - 1550 мм с душем | куб. метр в месяц на человека | | |
3. | Многоквартирные и жилые дома с централизованным холодным и горячим водоснабжением, водоотведением, оборудованные унитазами, раковинами, мойками, ваннами длиной 1650 - 1700 мм с душем | куб. метр в месяц на человека | | |
4. | Многоквартирные и жилые дома с централизованным холодным и горячим водоснабжением, водоотведением, оборудованные унитазами, раковинами, мойками, ваннами без душа | куб. метр в месяц на человека | | |
5. | Многоквартирные и жилые дома с централизованным холодным и горячим водоснабжением, водоотведением, оборудованные унитазами, раковинами, мойками, душем | куб. метр в месяц на человека | | |
6. | Многоквартирные и жилые дома с централизованным холодным водоснабжением, водонагревателями, водоотведением, оборудованные унитазами, раковинами, мойками, душами и ваннами сидячими длиной 1200 мм с душем | куб. метр в месяц на человека | | X |
7. | Многоквартирные и жилые дома с централизованным холодным водоснабжением, водонагревателями, водоотведением, оборудованные унитазами, раковинами, мойками, душами и ваннами длиной 1500 - 1550 мм с душем | куб. метр в месяц на человека | | X |
8. | Многоквартирные и жилые дома с централизованным холодным водоснабжением, водонагревателями, водоотведением, оборудованные унитазами, раковинами, мойками, душами и ваннами длиной 1650 - 1700 мм с душем | куб. метр в месяц на человека | | X |
9. | Многоквартирные и жилые дома с централизованным холодным водоснабжением, водонагревателями, водоотведением, оборудованные унитазами, раковинами, мойками, душами и ваннами без душа | куб. метр в месяц на человека | | X |
10. | Многоквартирные и жилые дома с централизованным холодным водоснабжением, водонагревателями, водоотведением, оборудованные унитазами, раковинами, мойками, душами | куб. метр в месяц на человека | | X |
11. | Многоквартирные и жилые дома без водонагревателей с водопроводом и канализацией, оборудованные раковинами, мойками и унитазами | куб. метр в месяц на человека | | X |
12. | Многоквартирные и жилые дома без водонагревателей с централизованным холодным водоснабжением и водоотведением, оборудованные раковинами и мойками | куб. метр в месяц на человека | | X |
13. | Многоквартирные и жилые дома с централизованным холодным водоснабжением, без централизованного водоотведения, оборудованные умывальниками, мойками, унитазами, ваннами, душами | куб. метр в месяц на человека | | X |
14. | Многоквартирные и жилые дома с централизованным холодным водоснабжением, без централизованного водоотведения, оборудованные умывальниками, мойками, унитазами | куб. метр в месяц на человека | | X |
15. | Многоквартирные и жилые дома с водоразборной колонкой | куб. метр в месяц на человека | | X |
16. | Дома, использующиеся в качестве общежитий, оборудованные мойками, раковинами, унитазами, с душевыми с централизованным холодным и горячим водоснабжением, водоотведением | куб. метр в месяц на человека | | |
ФОРМА
для установления норматива потребления холодной воды,
потребляемой при использовании и содержании общего имущества
в многоквартирном доме, норматива потребления горячей воды,
потребляемой при использовании и содержании общего имущества
в многоквартирном доме, и норматива отведения сточных вод
в целях содержания общего имущества в многоквартирном доме
Категория жилых помещений | Единица измерения | Этажность | Норматив потребления холодной воды, потребляемой при использовании и содержании общего имущества в многоквартирном доме | Норматив потребления горячей воды, потребляемой при использовании и содержании общего имущества в многоквартирном доме | Норматив отведения сточных вод в целях содержания общего имущества в многоквартирном доме <*> |
1. | Многоквартирные дома с централизованным холодным и горячим водоснабжением, водоотведением, а также многоквартирные дома, в которых коммунальная услуга по горячему водоснабжению производится с использованием оборудования, входящего в состав общего имущества в многоквартирном доме | куб. метров в месяц на 1 кв. метр общей площади | от 1 до 5 | | | |
от 6 до 9 | | | |
от 10 до 16 | | | |
более 16 | | | |
2. | Многоквартирные дома с централизованным холодным водоснабжением, водонагревателями, водоотведением | куб. метров в месяц на 1 кв. метр общей площади | от 1 до 5 | | | |
от 6 до 9 | | | |
от 10 до 16 | | | |
более 16 | | | |
3. | Многоквартирные дома без водонагревателей с централизованным холодным водоснабжением и водоотведением, оборудованные раковинами, мойками и унитазами | куб. метров в месяц на 1 кв. метр общей площади | от 1 до 5 | | | |
от 6 до 9 | | | |
от 10 до 16 | | | |
более 16 | | | |
4. | Многоквартирные дома с централизованным холодным водоснабжением без централизованного водоотведения | куб. метров в месяц на 1 кв. метр общей площади | | | | |
| | | |
| | | |
| | | |
--------------------------------
<*> Норматив отведения сточных вод в целях содержания общего имущества в многоквартирном доме определяется путем суммирования нормативов потребления коммунальных ресурсов (холодной воды и горячей воды, потребляемых при использовании и содержании общего имущества в многоквартирном доме (в соответствии с
пунктом 29 Правил установления и определения нормативов потребления коммунальных услуг и нормативов потребления коммунальных ресурсов, потребляемых при использовании и содержании общего имущества в многоквартирном доме, утвержденных постановлением Правительства Российской Федерации от 23 мая 2006 г. N 306 "Об утверждении Правил установления и определения нормативов потребления коммунальных услуг и нормативов потребления коммунальных ресурсов, потребляемых при использовании и содержании общего имущества в многоквартирном доме").
ФОРМА
для установления нормативов потребления коммунальной
услуги по холодному водоснабжению при использовании
земельного участка и надворных построек
Направление использования коммунального ресурса | Единица измерения | Норматив потребления |
1. | Полив земельного участка | куб. метр в месяц на кв. метр | |
2. | Водоснабжение и приготовление пищи для сельскохозяйственных животных | куб. метр в месяц на голову животного | |
3. | Водоснабжение открытых (крытых) летних бассейнов различных типов и конструкций, а также бань, саун, закрытых бассейнов, примыкающих к жилому дому и (или) отдельно стоящих на общем с жилым домом земельном участке | куб. метр в месяц на человека | |
4. | Водоснабжение иных надворных построек, в том числе гаража, теплиц (зимних садов), других объектов | куб. метр в месяц на человека | |
ФОРМА
для установления нормативов потребления коммунальной
услуги по газоснабжению
Категория многоквартирного (жилого) дома | Единица измерения | |
1. Для приготовления пищи |
1.1. | Многоквартирные и жилые дома, оборудованные газовой плитой, при газоснабжении сжиженным углеводородным газом | килограмм на человека в месяц | |
1.2. | Многоквартирные и жилые дома, оборудованные газовой плитой, при газоснабжении природным газом | куб. метр на человека в месяц | |
|
2.1. | Многоквартирные и жилые дома, оборудованные газовым водонагревателем (при отсутствии централизованного горячего водоснабжения), при газоснабжении сжиженным углеводородным газом | килограмм на человека в месяц | |
2.2. | Многоквартирные и жилые дома, оборудованные газовым водонагревателем (при отсутствии централизованного горячего водоснабжения), при газоснабжении природным газом | куб. метр на человека в месяц | |
2.3. | Многоквартирные и жилые дома, оборудованные газовой плитой и не оборудованные газовым обогревателем (при отсутствии централизованного горячего водоснабжения), при газоснабжении сжиженным углеводородным газом | килограмм на человека в месяц | |
2.4. | Многоквартирные и жилые дома, оборудованные газовой плитой и не оборудованные газовым обогревателем (при отсутствии централизованного горячего водоснабжения), при газоснабжении природным газом | куб. метр на человека в месяц | |
3. Для отопления жилых помещений |
3.1. | Многоквартирные и жилые дома при газоснабжении природным газом | куб. метр на кв. метр общей площади жилых помещений в месяц | |
3.2. | Многоквартирные и жилые дома при газоснабжении сжиженным углеводородным газом | килограмм на кв. метр общей площади жилых помещений в месяц | |
--------------------------------
<*> При различиях в климатических условиях, в которых расположены многоквартирные дома или жилые дома в субъекте Российской Федерации, нормативы потребления коммунальных услуг по газоснабжению для отопления жилых помещений устанавливаются для каждой климатической зоны отдельно.
ФОРМА
для установления нормативов потребления коммунальной услуги
по газоснабжению при использовании земельного участка
и надворных построек
Направление использования коммунального ресурса | Единица измерения | |
1. | Отопление надворных построек, расположенных на земельном участке, при газоснабжении природным газом | куб. метр в месяц на кв. метр площади | |
2. | Отопление надворных построек, расположенных на земельном участке, при газоснабжении сжиженным углеводородным газом | килограмм в месяц на кв. метр площади | |
3. | Приготовление пищи и подогрев воды для крупного рогатого скота при газоснабжении природным газом | куб. метр в месяц на голову животного | |
4. | Приготовление пищи и подогрев воды для крупного рогатого скота при газоснабжении сжиженным углеводородным газом | килограмм в месяц на голову животного | |
5. | Приготовление пищи и подогрев воды для иных сельскохозяйственных животных при газоснабжении природным газом | куб. метр в месяц на голову животного | |
6. | Приготовление пищи и подогрев воды для иных сельскохозяйственных животных при газоснабжении сжиженным углеводородным газом | килограмм в месяц на голову животного | |
--------------------------------
<*> При различиях в климатических условиях, в которых расположены многоквартирные дома или жилые дома в субъекте Российской Федерации, нормативы потребления коммунальных услуг по газоснабжению для отопления надворных построек устанавливаются для каждой климатической зоны отдельно.
ФОРМА
для установления нормативов потребления коммунальной
услуги по отоплению
Категория многоквартирного (жилого) дома | Норматив потребления (Гкал на 1 кв. метр общей площади жилого помещения в месяц) <*> |
многоквартирные и жилые дома со стенами из камня, кирпича | многоквартирные и жилые дома со стенами из панелей, блоков | многоквартирные и жилые дома со стенами из дерева, смешанных и других материалов |
Этажность | многоквартирные и жилые дома до 1999 года постройки включительно |
1 | | | |
2 | | | |
3 - 4 | | | |
5 - 9 | | | |
10 | | | |
11 | | | |
12 | | | |
13 | | | |
14 | | | |
15 | | | |
16 и более | | | |
Этажность | многоквартирные и жилые дома после 1999 года постройки |
1 | | | |
2 | | | |
3 | | | |
4 - 5 | | | |
6 - 7 | | | |
8 | | | |
9 | | | |
10 | | | |
11 | | | |
12 и более | | | |
--------------------------------
<*> При различиях в климатических условиях, в которых расположены многоквартирные дома или жилые дома в субъекте Российской Федерации, нормативы потребления коммунальных услуг по отоплению устанавливаются для каждой климатической зоны отдельно.
ФОРМА
для установления норматива потребления коммунальной услуги
по отоплению при использовании надворных построек,
расположенных на земельном участке
Направление использования коммунального ресурса | Единица измерения | |
Отопление на кв. метр надворных построек, расположенных на земельном участке | Гкал на кв. метр в месяц | |
--------------------------------
<*> При различиях в климатических условиях, в которых расположены многоквартирные дома или жилые дома в субъекте Российской Федерации, нормативы потребления коммунальных услуг по отоплению устанавливаются для каждой климатической зоны отдельно.
ФОРМА
для установления нормативов потребления
коммунальной услуги по электроснабжению в жилых помещениях
многоквартирных домов и жилых домах, в том числе
общежитиях квартирного типа
| Категория жилых помещений | Единица измерения | Количество комнат в жилом помещении | Норматив потребления |
количество человек, проживающих в помещении |
1 | 2 | 3 | 4 | 5 и более |
1. | Многоквартирные дома, жилые дома, общежития квартирного типа, не оборудованные в установленном порядке стационарными электроплитами для приготовления пищи, электроотопительными, электронагревательными установками для целей горячего водоснабжения | кВт·ч в месяц на человека | 1 | | | | | |
2 | | | | | |
3 | | | | | |
4 и более | | | | | |
2. | Многоквартирные дома, жилые дома, общежития квартирного типа, оборудованные в установленном порядке стационарными электроплитами для приготовления пищи и не оборудованные электроотопительными и электронагревательными установками для целей горячего водоснабжения | кВт·ч в месяц на человека | 1 | | | | | |
2 | | | | | |
3 | | | | | |
4 и более | | | | | |
3. | Многоквартирные дома, жилые дома, общежития квартирного типа, не оборудованные стационарными электроплитами, но оборудованные в установленном порядке электроотопительными и (или) электронагревательными установками для целей горячего водоснабжения, в отопительный период | кВт·ч в месяц на человека | 1 | | | | | |
2 | | | | | |
3 | | | | | |
4 и более | | | | | |
4. | Многоквартирные дома, жилые дома, общежития квартирного типа, не оборудованные стационарными электроплитами, но оборудованные в установленном порядке электроотопительными и (или) электронагревательными установками для целей горячего водоснабжения, вне отопительного периода | кВт·ч в месяц на человека | 1 | | | | | |
2 | | | | | |
3 | | | | | |
4 и более | | | | | |
5. | Многоквартирные дома, жилые дома, общежития квартирного типа, оборудованные в установленном порядке стационарными электроплитами, электроотопительными и (или) электронагревательными установками для целей горячего водоснабжения | кВт·ч в месяц на человека | 1 | | | | | |
2 | | | | | |
3 | | | | | |
4 и более | | | | | |
ФОРМА
для установления нормативов потребления коммунальной услуги
по электроснабжению в жилых помещениях в многоквартирных
домах, включающих общежития квартирного типа, общежития
коридорного, гостиничного и секционного типов
| Категория жилых помещений | Единица измерения | Количество человек, проживающих в помещении | Норматив потребления |
1. | Общежития, не оборудованные в установленном порядке стационарными электроплитами для приготовления пищи и электроотопительными и электронагревательными установками для целей горячего водоснабжения | кВт·ч в месяц на человека | 1 | |
2 | |
3 | |
4 | |
5 и более | |
2. | Общежития, оборудованные в установленном порядке стационарными электроплитами для приготовления пищи и не оборудованные электроотопительными и электронагревательными установками для целей горячего водоснабжения | кВт·ч в месяц на человека | 1 | |
2 | |
3 | |
4 | |
5 и более | |
3. | Общежития, не оборудованные стационарными электрическими плитами, но оборудованные в установленном порядке электроотопительными и (или) электронагревательными установками для целей горячего водоснабжения, в отопительный период | кВт·ч в месяц на человека | 1 | |
2 | |
3 | |
4 | |
5 и более | |
4. | Общежития, не оборудованные стационарными электрическими плитами, но оборудованные в установленном порядке электроотопительными и (или) электронагревательными установками для целей горячего водоснабжения, вне отопительного периода | кВт·ч в месяц на человека | 1 | |
2 | |
3 | |
4 | |
5 и более | |
ФОРМА
для установления нормативов потребления электрической
энергии, потребляемой при использовании и содержании
общего имущества в многоквартирном доме
(в ред. Постановлений Правительства РФ от 26.12.2016
N 1498,
Категория многоквартирных домов | Единица измерения | Норматив потребления |
1. | Многоквартирные дома, не оборудованные лифтами и электроотопительными и электронагревательными установками для целей горячего водоснабжения | кВт·ч в месяц на кв. метр | |
2. | Многоквартирные дома, оборудованные лифтами и не оборудованные электроотопительными и электронагревательными установками для целей горячего водоснабжения | кВт·ч в месяц на кв. метр | |
3. | Многоквартирные дома, не оборудованные лифтами и оборудованные электроотопительными и (или) электронагревательными установками для целей горячего водоснабжения, в отопительный период | кВт·ч в месяц на кв. метр | |
4. | Многоквартирные дома, не оборудованные лифтами и оборудованные электроотопительными и (или) электронагревательными установками для целей горячего водоснабжения, вне отопительного периода | кВт·ч в месяц на кв. метр | |
ФОРМА
для установления нормативов потребления коммунальной услуги
по электроснабжению при использовании надворных построек,
расположенных на земельном участке
Направление использования коммунального ресурса | Единица измерения | Норматив потребления |
1. | Освещение в целях содержания сельскохозяйственных животных | кВт·ч в месяц на кв. м | |
2. | Освещение иных надворных построек, в том числе бань, саун, бассейнов, гаражей, теплиц (зимних садов) | кВт·ч в месяц на кв. м | |
3. | Приготовление пищи и подогрев воды для сельскохозяйственных животных | кВт·ч в месяц на голову животного | |