Главная // Актуальные документы СПРАВКА
Источник публикации
Документ опубликован не был
Примечание к документу
Руководящий технический
материал, утвержденный данным документом,
введен в действие с 1 сентября 1995 года.
Документ фактически утратил силу с 01.01.2018 в связи с принятием Федерального
закона от 30.12.2015 N 431-ФЗ, признавшего утратившими силу нормативные акты органов государственной власти СССР, РСФСР и Российской Федерации, регулирующие отношения в сфере геодезии и картографии и принятые до дня вступления в силу указанного Федерального закона.
Название документа
Приказ Роскартографии от 30.05.1995 N 60п
"Об утверждении и введении в действие руководящего технического материала"
(вместе с "Руководящим техническим материалом по обновлению топографической карты масштаба 1:200000 с использованием материалов космических съемок. ГКИНП (ОНТА)-08-228-95")
Приказ Роскартографии от 30.05.1995 N 60п
"Об утверждении и введении в действие руководящего технического материала"
(вместе с "Руководящим техническим материалом по обновлению топографической карты масштаба 1:200000 с использованием материалов космических съемок. ГКИНП (ОНТА)-08-228-95")
ФЕДЕРАЛЬНАЯ СЛУЖБА ГЕОДЕЗИИ И КАРТОГРАФИИ РОССИИ
ПРИКАЗ
от 30 мая 1995 г. N 60п
ОБ УТВЕРЖДЕНИИ И ВВЕДЕНИИ В ДЕЙСТВИЕ РУКОВОДЯЩЕГО
ТЕХНИЧЕСКОГО МАТЕРИАЛА
Госцентром "Природа" разработан "Руководящий технический материал (РТМ) по обновлению топографической карты масштаба 1:200000 с использованием материалов космических съемок",
ГКИНП (ОНТА)-08-228-95.
С целью практической реализации результатов выполненных работ и использования их на предприятиях Роскартографии приказываю:
1. Утвердить и ввести в действие с 1 сентября 1995 г. "Руководящий технический материал по обновлению топографической карты масштаба 1:200000 с использованием материалов космических съемок",
ГКИНП (ОНТА)-08-228-95.
Распространить тираж издания
ГКИНП (ОНТА)-08-228-95 по предприятиям и организациям отрасли согласно прилагаемой разнарядке (не приводится) в срок до 1 августа 1995 г.
3. Контроль выполнения настоящего Приказа возложить на заместителя руководителя Роскартографии Дражнюка А.А.
Руководитель
Федеральной службы геодезии
и картографии России
Н.Д.ЖДАНОВ
Руководитель Федеральной службы
геодезии и картографии России
Н.Д.ЖДАНОВ
3 мая 1995 года
РУКОВОДЯЩИЙ ТЕХНИЧЕСКИЙ МАТЕРИАЛ
ПО ОБНОВЛЕНИЮ ТОПОГРАФИЧЕСКОЙ КАРТЫ МАСШТАБА 1:200000
С ИСПОЛЬЗОВАНИЕМ МАТЕРИАЛОВ КОСМИЧЕСКИХ СЪЕМОК
ГКИНП (ОНТА)-08-228-95
Обязателен для предприятий, организаций и учреждений Федеральной службы геодезии и картографии России.
РТМ разработан Государственным научно-исследовательским и производственным центром "Природа" (Госцентр "Природа") по указанию Федеральной службы геодезии и картографии России (N 5-04-1149 от 27.05.1992).
В данном РТМ изложены общие вопросы, основные варианты технологии, способы и методика выполнения технологических операций при обновлении карты масштаба 1:200000 с использованием материалов космических съемок <*>, рекомендации, основанные на опыте использования таких материалов в процессе исполнения в Госцентре "Природа" работ по обновлению карт.
--------------------------------
<*> Для целей обновления карты данного масштаба могут быть использованы не только космические фотоснимки, но также радиолокационные, сканерные снимки и др., поэтому далее по тексту будем применять термины "космоснимок" и "космосъемка".
Технология обновления топографической карты масштаба 1:200000 по космическим снимкам в данном РТМ излагается кратко, т.к. она не имеет принципиальных отличий от технологии обновления карты по аэроснимкам, изложенной в соответствующих РТМ. Вместе с тем, отдельные процессы обновления карты по космоснимкам, имеющие значительное отличие от аналогичных процессов обновления по аэроснимкам, освещены более подробно. К таким процессам относятся трансформирование космоснимков при создании фотопланов и перенос изображения отдешифрированных объектов местности со снимков на оригинал обновления. Вопросы, касающиеся назначения и содержания карты, а также подготовки ее к изданию, здесь не рассматриваются, т.к. они подробно изложены в перечисленных ниже (в
разделе 1) руководящих технических документах и в других специальных РТМ.
При создании настоящего РТМ использована неустаревшая часть теоретических и практических разработок по рассматриваемой теме, выполненных в Госцентре "Природа" в 1981 - 87 гг. с участием С.В. Агапова, В.В. Киселева, В.Г. Захарова, Н.С. Дмитриевой, Ш.Е. Кузнецовой, Л.И. Злобина, Е.А. Решетова, Т.А. Березина.
В настоящем изложении РТМ переработан С.В. Агаповым и Т.А. Березиным.
РТМ предназначен для использования предприятиями, организациями и учреждениями Федеральной службы геодезии и картографии России при выполнении работ по обновлению топографической карты масштаба 1:200000. Он также может быть полезен для специалистов других ведомств, занимающихся организацией и выполнением таких работ.
РТМ утвержден и введен в действие с 1 сентября 1995 г. приказом руководства Федеральной службы геодезии и картографии России.
1.1. Обновление карты масштаба 1:200000 должно выполняться в соответствии с требованиями и рекомендациями:
- Основных
положений по созданию и обновлению топографических карт масштабов 1:10000, 1:25000, 1:50000, 1:100000, 1:200000, 1:500000 и 1:1000000, изд. РИО ВТС, 1984 г.;
- Основных
положений по содержанию топографических карт масштабов 1:25000, 1:50000, 1:100000, 1:200000, 1:500000, 1:1000000, изд. РИО ВТС, 1977 г.;
-
Руководства по картографическим и картоиздательским работам, часть 2, составление и подготовка к изданию топографических карт масштабов 1:200000 и 1:500000, изд. РИО ВТС, 1980 г.;
- Условных знаков для топографических карт масштабов 1:200000 и 1:500000, изд. ВТУ ГШ, 1983 г.;
-
Руководства по сбору и установлению географических названий на топографических картах и планах, ГКИНП 13-42-82, изд. "Наука", 1985 г.;
- действующих Инструкций по транскрибированию географических названий.
1.1.1. При выполнении работ по обновлению карты следует также воспользоваться рекомендациями, приведенными в "Руководящем техническом материале по топографическому дешифрированию космических фотоснимков при создании и обновлении топографических карт масштабов 1:200000, 1:500000 и 1:1000000", РТМ-ГЦП. 25301.00526, 1986 г.
1.2. Обновление карты масштаба 1:200000 производят следующими способами:
- путем исправления карты по материалам космосъемки;
- путем исправления или частичного составления <*> карты по картографическим материалам более крупных масштабов, полученным в результате новой съемки или обновления.
--------------------------------
<*> Имеется в виду часть листа карты, например его четверть.
При наличии на обновляемые листы карты как космосъемочных, так и современных картографических материалов применяют сочетание способов.
1.3. Обновление карты выполняется на основе районирования страны по срокам обновления карт, утверждаемого руководством Федеральной службы геодезии и картографии России и руководством ВТУ Генштаба.
Решение об обновлении карты принимают на основе анализа изменений местности по отношению к карте и точности карты. Сведения об изменениях местности получают по фотоснимкам, дежурным картам, литературно-справочным источникам и ведомственным материалам.
Критериями, определяющими необходимость обновления листа карты, являются: несоответствие локальных точностных характеристик листа карты требованиям, изложенным в
[1], количество и важность изменившихся объектов и элементов местности, степень современности данного листа карты и соответствие его оформления требованиям руководящих документов.
1.4. Технологию работ по обновлению для каждого конкретного района и их организацию устанавливают на основании тщательного анализа качества обновляемой карты и исходных материалов с учетом ландшафта территории, количества и характера изменений местности, а также других факторов, влияющих на качество, объем и сроки выполнения работ.
1.5. Основной объем работ выполняется камерально. В необходимых случаях выполняют и полевое обследование обновляемых карт; оно может производиться как аэровизуально (с использованием вертолета), так и наземным способом с использованием автотранспорта. В малообжитых районах взамен полевого обследования до начала обновления карт допускается изготовление в поле фотоснимков-эталонов дешифрирования на характерные в ландшафтном отношении участки местности.
1.6. При обновлении карты масштаба 1:200000, как правило, используют космоснимки масштабов 1:200000 - 1:1000000. Последние обычно используют для проверки изображения рельефа на картах малообжитых и труднодоступных районов и, при необходимости, для сгущения сетей опорных точек. Космосъемку выполняют не ранее чем за два года до начала работ по обновлению карты.
1.7. Обновление карты может производиться на прозрачных и непрозрачных абрисных копиях издательских оригиналов, на репродукциях фотопланов (изготовленных на фотобумаге, наклеенной на жесткую основу) или на гравировальном пластике, на издательских оригиналах. Фотопланы изготавливают в масштабе обновляемой карты.
1.8. Опорными точками для построения математической основы листов карты масштаба 1:200000 служат точки пересечения меридианов и параллелей картографической и прямоугольной (километровой) сеток. Точность положения опорных точек должна быть в пределах +/- 0,2 мм.
1.9. Точками планово-высотной опоры при обновлении карт по материалам космосъемки являются геодезические пункты, четкие долговременные контуры и местные предметы, если они надежно опознаются на космоснимках и координаты их могут быть взяты из каталогов (или списков) координат, либо могут быть определены по карте более крупного масштаба, а также точки планово-высотной подготовки и фотограмметрического сгущения, выполненных ранее при создании карт более крупных масштабов.
2. МЕТОДЫ ОБНОВЛЕНИЯ ТОПОГРАФИЧЕСКОЙ КАРТЫ МАСШТАБА 1:200000
2.1. Выбор метода (варианта технологии) обновления топографической карты по космоснимкам зависит от степени современности карты, заданного срока обновления, ландшафта территории, характера и качества исходных материалов, комплекса имеющихся приборов и др. От этих же факторов зависит также и выбор основы для создания оригинала обновления. В результате анализа перечисленных факторов выбирается тот или иной вид основы и вариант технологической схемы. В табл. 1 приведены варианты технологии создания оригиналов обновления в зависимости от первых трех из перечисленных факторов.
Табл. 1
Технология создания оригинала обновления | Условия создания оригиналов карт | Сроки обновления карты |
Степень современности | Характер местности |
1. С использованием абрисной копии издат. оригинала: | | | нормативные |
а) двухцветной двусторонней | более 75% | плоскоравнинная, равнинная, позволяющая трансформировать фотоснимки на 1 плоскость (как исключение - на две) | |
б) одноцветной (черной, коричн.) | 75% - 80% | то же | те же |
2. С использ. репрод. фотоплана (ортофотоплана), изготовленной на фотопленках "АК - Полиграфия", ФТ-21А или на малодеформирующейся фотобумаге, наклеенной на жесткую основу | 60% - 50% | плоскоравнинная, равнинная, всхолмленная, горная и предгорная, не позволяющая трансформирование снимков на 1 - 3 плоскости | те же |
2.2. Типовыми вариантами технологии обновления карты по космоснимкам являются:
- обновление на репродукциях фотопланов;
- обновление на прозрачных абрисных копиях;
- обновление на непрозрачных абрисных копиях;
- обновление на издательских оригиналах.
2.3. Обновление на репродукциях фотопланов (ортофотопланов) выполняют при картографировании районов, указанных в табл. 1 (
п. 2), в случае, когда местность насыщена контурами и изменения контурной части значительны (40% - 50%).
2.3.1. Обновление карты на репродукции фотоплана (ортофотоплана) включает в себя следующие основные процессы:
- сгущение сети опорных точек (если это необходимо), выполняемое методом аналитической фототриангуляции по топографическим космоснимкам (или другим методом), либо путем выбора и отождествления трансформационных и других опорных точек по карте более крупного масштаба или по аэроснимкам, обеспеченным данными полевой подготовки;
- изготовление трансформационной основы на прозрачном пластике и планшета с опорными точками для монтажа фотоплана;
- трансформирование космоснимков;
- изготовление фотопланов (ортофотопланов) и их репродукций;
- дешифрирование космоснимков (либо репродукций фотопланов, ортофотопланов);
- нанесение происшедших на местности изменений на оригинал обновления;
- вкопирование изображения рельефа местности на репродукцию фотоплана;
- изготовление макетов фоновых закрасок;
- оформление оригинала обновления, формуляра, других документов.
2.3.1.1. Нанесение на оригинал обновления изменений, происшедших на местности, осуществляется путем вычерчивания на репродукции фотоплана (на жесткой основе) результатов дешифрирования, вновь появившихся (после космосъемки) местных предметов, удаления изображения утраченных контуров и предметов местности, вкопирования изображения рельефа на репродукцию фотоплана, оформления оригинала и формуляра.
После приемки оригинала фотоизображение удаляют путем отбеливания.
2.4. Обновление карты на прозрачной абрисной копии (для равнинных и всхолмленных районов) выполняют при изменении контурной части карты до 40%. При этом используют трансформированные снимки, фотопланы (ортофотопланы).
2.4.1. Обновление карт районов, указанных в
п. 1 "б" табл. 1, выполняется на красных (коричневых), голубых копиях; если изменения в содержании карты не превышают 30%, лучше использовать коричневые (красные) копии, а если свыше 30% - то голубые абрисные копии. Применяются и двухцветные (сине-красные) двусторонние абрисные копии издательских оригиналов на чертежном пластике; исправления производят по красному изображению, синее (или голубое) - нефотогеничное изображение служит для контроля правильности исправления содержания карты.
2.4.2. В этом варианте технологии выполняется следующее:
- изготовление прозрачной абрисной копии издательского оригинала - основы для обновления карты;
- сгущение сети опорных точек либо выбор и отождествление таковых на космоснимках и более крупномасштабных (чем обновляемая карта) картографических и фотографических материалах;
- трансформирование космоснимков;
- дешифрирование снимков;
- перенос (на просвет) результатов дешифрирования и изображений вновь появившихся предметов местности на основу обновления, удаление с последней утраченных контуров и объектов (предметов местности);
- изготовление макетов фоновых закрасок;
- оформление исправленного (обновленного) оригинала и формуляра, а также других документов.
2.4.2.1. Так как используются трансформированные космоснимки, исправление оригинала возможно одновременно с дешифрированием снимка. Для этого под исправляемый прозрачный оригинал подкладывают трансформированный снимок, ориентируя его по общим неизменившимся контурам карты или по точкам фотограмм сгущения. В процессе дешифрирования фотоизображения на снимке вносят исправления в оригинал (для удобства перемещения и разворотов снимка к нему липкой лентой подклеивают широкую полосу плотной бумаги).
2.4.2.2. В некоторых случаях обновление на прозрачной основе целесообразно выполнять с использованием репродукции фотоплана, а не снимков (когда на данный район имеются фотопланы более крупного масштаба, например, 1:100000, либо - фотопланы масштаба 1:200000, изготовленные для других целей). Приведенные к масштабу 1:200000 репродукции фотопланов помещают под прозрачную основу и ориентируют по контурам, рамкам и километровой сетке; исправление изменившегося содержания карты и дешифрирование осуществляют одновременно.
2.5. Обновление карт на непрозрачных копиях целесообразно выполнять в тех случаях, когда изменения содержания карты достигают 40% - 50%, а по каким-либо причинам издательские оригиналы непосредственно использовать нельзя и невозможно изготовить абрисную копию на пластике. Копия в этом случае изготавливается на чертежной бумаге высокого качества или на малодеформирующейся матовой фотобумаге, предварительно наклеенных на жесткую основу. Изображения могут быть черными, коричневыми, голубыми, коричнево-голубыми (совмещенными).
2.5.1. Основные процессы при обновлении карт на непрозрачных абрисных копиях следующие:
- изготовление копий на жесткой недеформирующейся основе;
- дешифрирование космоснимков;
- перенос результатов дешифрирования на абрисную копию;
- изготовление макетов фоновых закрасок;
- оформление обновленного оригинала и его формуляра.
2.6. Обновление карт на издательских оригиналах производится в случаях, когда изменения в содержании карты не превышают 20% и лист карты был подготовлен к изданию в действующих условных знаках. Эта технология включает следующие процессы:
- дешифрирование космоснимков;
- перенос результатов дешифрирования на обновляемый оригинал;
- покрытие исправленного изображения на оригинале защитным слоем раствора целлулоида в спиртоэфирной смеси;
- издательское вычерчивание исправленной части содержания оригинала карты;
- изготовление макетов фоновых закрасок;
- оформление обновленного оригинала карты, его формуляра.
2.7. Последовательность обновления топографических карт.
Любой вариант технологии обновления карт включает следующие этапы:
а) подготовительные работы;
б) технологические процессы камерального обновления;
в) полевое обследование <*>;
г) подготовку карты к изданию.
--------------------------------
<*> В соответствии с указанием Федеральной службы геодезии и картографии России (N 5-04-3424 от 20 октября 1992 г.) допускается в ряде случаев выполнение обновления карты без полевого обследования.
Этап подготовки карты к изданию здесь не рассматривается, так как он не зависит от способа обновления (создания) ее оригинала. Технология подготовки карт к изданию изложена в
[3].
3. ПОДГОТОВИТЕЛЬНЫЕ РАБОТЫ
Подготовительные работы начинаются с момента получения задания на обновление карты. В их содержание входят:
- сбор и систематизация необходимых исходных геодезических, картографических, фотосъемочных и фотограмметрических, ведомственных и литературно-справочных материалов;
- определение пригодности листов карты к обновлению;
- проверка качества исходных материалов;
- разработка технического проекта и редакционных указаний;
- разработка рабочих проектов обновления отдельных листов карты;
- подготовка исполнителей к работе.
3.1. Сбор, изучение и систематизация исходных материалов
Сведения об исходных геодезических и картографических материалах запрашивают в Центральном картографо-геодезическом фонде Федеральной службы геодезии и картографии России и территориальных Инспекциях и Отделах государственного геодезического надзора. Сведения о наличии материалов космических фотосъемок (и других видов съемок) запрашиваются в Государственном научно-исследовательском и производственном центре "Природа".
Одновременно проводят сбор ведомственных картографических и литературно-справочных материалов на местах.
Собранные геодезические и литературно-справочные материалы систематизируют по районам работ, а в пределах района - в порядке их значимости, картографические и фотографические материалы - по листам обновляемой карты. Наличие исходных материалов показывают на схемах.
Исходные материалы
3.1.1. Планово-высотная основа
В качестве планово-высотной основы при обновлении карт по космоснимкам используются геодезические пункты, четкие долговременные контуры и местные предметы, если они надежно опознаются на космоснимках и координаты их могут быть определены по топографическим картам более крупных масштабов; кроме того, могут быть использованы точки полевой планово-высотной подготовки и камерального фотограмметрического сгущения, выполнявшихся ранее для создания топографических карт более крупных масштабов. При использовании основных геодезических и картографических материалов, представленных в различных системах координат, необходим переход к единой системе координат - системе 1942 года.
3.1.2. Картографические материалы
Для обновления карты в качестве основных картографических материалов используют:
- издательские оригиналы обновляемой карты или копии с них, изготовленные на малодеформирующейся основе.
В качестве дополнительных материалов:
- тиражные оттиски карт более крупных масштабов, составленных или обновленных после издания обновляемой карты;
- ведомственные картографические материалы (их используют для дополнения содержания карты сведениями, отсутствующими на основном картографическом материале).
В качестве вспомогательных картографических материалов используют:
- дежурные карты с данными об изменении местности;
- эталоны или образцы дешифрирования космоснимков;
- технические отчеты, редакционные указания и технические проекты ранее выполненных в этом районе топографо-геодезических работ;
- литературно-справочные материалы (военно-географические описания, справочники административно-территориального деления; материалы демаркации, в том числе протоколы описания линий Государственной границы с прилагаемыми документами; бюллетень картографо-геодезических изменений; справочники, издаваемые Институтом земного магнетизма, ионосферы и распространения радиоволн АН, схемы среднегодовых изменений магнитного склонения; справочники, издаваемые Министерством путей сообщения, Министерством речного флота, гидрометеорологической службой; лесотаксационные описания; лоции; ведомости шахтных, буровых, артезианских колодцев, рудников, списки населенных пунктов со сведениями о числе жителей, административном значении и т.д.);
- специальные и тематические карты масштабов 1:100000 - 1:200000 (сельскохозяйственные, почвенные, геоморфологические и др.).
При сборе материалов отбирают только те из них, которые получены после создания карты, подлежащей обновлению, либо содержат информацию, не показанную на карте из-за отсутствия при ее создании специальных карт или документов.
3.1.3. Материалы космосъемки
К основным материалам космосъемки, используемым для обновления карт, относятся допустимой давности космоснимки масштабов 1:200000 - 1:1000000 и крупнее (копии негативов, диапозитивы, контактные и увеличенные фотоотпечатки, репродукции накидных монтажей).
При выполнении работ также используются схемы расположения космоснимков, сведения из паспортов съемочных систем, сведения об элементах внешнего ориентирования и точности их получения, об использовании других приборов. Если имеются фотопланы масштабов 1:100000, 1:50000, изготовленные по материалам современной космосъемки, то они (или их копии) также используются.
В качестве дополнительных фотоматериалов могут быть использованы материалы аэрофотосъемки и данные полевой привязки аэрофотоснимков.
3.2. Определение пригодности оригинала карты для обновления
3.2.1. Пригодность оригинала карты для обновления определяют путем исследования его точности и степени соответствия содержания данной карты современному состоянию местности.
Степень изменений контурной нагрузки листа карты устанавливают по дежурным картам территориальной инспекции Госгеонадзора, а также путем детального просмотра фотоснимков и сличения их с картой.
3.2.2. Оригинал листа карты (или его копия) считается пригодным для обновления, если изменение его контурной нагрузки не превышает 50% и по точности он удовлетворяет следующим требованиям Основных положений
<*>:
- ошибки нанесения условных знаков пунктов и точек геодезической основы на оригинале листа карты не должны превышать 0,3 мм (
п. 94 [1]);
- длины сторон листа карты не должны отличаться от теоретических более чем на +/- 0,2 мм, а диагоналей - более чем на +/- 0,3 мм;
- средние ошибки в плановом положении изображений объектов и контуров местности относительно их изображений на картографических материалах, положенных в основу составления обновляемой карты, не должны превышать установленных допусков, если их большее смещение не связано с необходимостью показа на карте близко расположенных объектов;
- положение горизонталей на обновляемой карте масштаба 1:200000 относительно их изображений на основных картографических материалах не должно превышать в равнинных районах - одной четверти основной высоты сечения, в горных и пустынных районах - половины высоты сечения (
п. 27 [1]).
--------------------------------
<*> Полное наименование "Основных положений" дано в
п. 1.1.
3.2.3. Контролю точности обновляемого листа карты должен предшествовать анализ записей в формуляре и технических отчетов по его созданию.
3.2.4. Если в результате проверки будет установлено, что оригинал листа карты по точности планового и высотного положения контуров и элементов рельефа не соответствует изложенным выше требованиям, то решается вопрос о его полном или частичном пересоздании.
3.3. Анализ данных о планово-высотной основе
3.3.1. В качестве опорных точек используют:
- пункты государственной геодезической сети;
- четкие долговременные контуры и отдельные местные предметы, изображенные на картах масштабов 1:50000 и 1:100000;
- точки съемочного обоснования и сгущения, полученные при создании карт более крупных масштабов.
Все точки, выбранные в качестве опорных, должны надежно опознаваться на снимках. Необходимое число опорных точек определяется выбранной технологией работ по обновлению карты.
3.3.2. В случае, если перечисленные выше способы определения координат опорных точек не обеспечивают получения точной и требуемой густоты основы для выполнения дальнейших фотограмметрических работ по обновлению карты, выполняют сгущение опоры фотограмметрическими методами.
Опорные точки используют для внешнего ориентирования одиночных стереомоделей, при трансформировании космоснимков и изготовлении фотопланов, а также для монтажа уменьшенных копий оригиналов обновленных карт более крупных масштабов при одновременном обновлении карт масштабного ряда.
3.4. Анализ материалов космосъемки
3.4.1. Анализ материалов космосъемки выполняют с целью оценки изобразительных свойств и геометрической точности космоснимков, а также с целью определения степени съемочного и фотограмметрического покрытия картографируемой территории. Дополнительно анализируют имеющиеся данные об элементах внутреннего и внешнего ориентирования съемочной системы, дисторсии ее объектива и т.п., а также информацию о составе и точности показаний приборов, используемых для определения элементов внутреннего и внешнего ориентирования.
3.4.2. Материалы космосъемки удовлетворяют требованиям обновления карт масштаба 1:200000, если:
- космосъемка выполнялась не ранее чем за 2 года
<*> до начала работ по обновлению;
- обеспечено полное фотографическое покрытие картографируемой территории снимками масштабов 1:200000 - 1:1000000 и их продольное перекрытие не менее 55%;
- космоснимки получены при высоте Солнца над горизонтом не менее 15°;
- изображение разреженной (несомкнутой) облачности не превышает 20% рабочей площади космоснимка;
- непараллельность продольных сторон снимков оси маршрута не превышает 5°;
- остаточная дисторсия снимков масштаба 1:1000000 не превышает 0,02 мм, а масштабов 1:200000 - 1:270000 - 1,00 мм;
- углы наклона снимков масштабов 1:600000 - 1:1000000 и 1:200000 - 1:270000 не превышают соответственно 5° и 22°;
- фотографическое качество снимков удовлетворяет стандартным требованиям.
--------------------------------
<*> При обновлении карт необжитых, пустынных, горных и высокогорных районов допускается использование космоснимков большей давности.
Стандартные требования, предъявляемые к черно-белым негативам, определяются следующими нормами:
- средний коэффициент контрастности проявления фильма должен быть 1,4 +/- 0,2 (для горных районов - 1,0, для степных - 1,6);
- плотность вуали негативов До не должна превышать 0,3;
- минимальная плотность над вуалью Дmin должна находиться в пределах от 0,2 до 0,4;
- максимальная плотность Дmax должна быть не более 1,8.
Возможность использования космоснимков, не удовлетворяющих указанным требованиям, определяется техническим проектом и редакционными указаниями.
3.4.3. Выявленные при проверке участки фотограмметрических и абсолютных разрывов показывают на карте при составлении технического проекта и в формуляре - на схеме покрытия листа карты космоснимками. Здесь же фиксируют результаты проверки фотографического качества космоснимков.
3.5. Анализ дополнительных и вспомогательных
картографических материалов и документов
3.5.1. Изучение и оценку качества специальных карт, ведомственных и литературно-справочных материалов осуществляют путем сопоставления их с обновляемой картой, космоснимками и между собой. При этом выясняют современность материалов, достоверность и полноту содержащихся в них сведений; для картографических документов, кроме того, выясняют метод создания планово-высотной основы и ее точность. Как правило, используют те материалы, которые созданы после составления обновляемой карты.
3.5.2. Выводы о возможности и степени использования каждого материала при обновлении карты включают в технический проект и редакционные указания.
3.6. Составление схем исходных материалов
Схемы наличия исходных материалов составляют обычно на бланковых картах (мелкомасштабных).
На схемах показывают:
- разграфку листов обновляемой карты;
- обеспеченность исходными картографическими материалами;
- участки, различающиеся по технологии производства работ;
- границы покрытия космосъемкой;
- участки абсолютных и фотограмметрических разрывов, а также участки, покрываемые космосъемочными материалами пониженного качества.
3.7. Разработка технического проекта, редакционного плана
или редакционно-технических указаний, рабочих проектов
На основе изучения картографируемого района и анализа исходных материалов, с учетом других факторов, влияющих на условия выполнения работ по обновлению карты масштаба 1:200000, разрабатывают: технический проект, редакционный план или редакционно-технические указания, рабочие проекты.
3.7.1. Технический проект
Основной задачей технического проектирования работ по обновлению карты данного района является выбор наиболее рациональной технологии и организации работ, обеспечивающих создание высококачественной карты в предусмотренные сроки с минимальными затратами.
3.7.1.1. Главными факторами при выборе и обосновании технологии обновления карты являются:
- ландшафт картографируемой территории;
- количество и характер изменений содержания карты;
- заданные сроки обновления;
- качество материалов космосъемки;
- результаты анализа данных о сети опорных точек;
- вид основного картматериала;
- наличие и характер дополнительных материалов;
- имеющееся и пригодное для использования фотограмметрическое оборудование.
По каждому из перечисленных пунктов должен даваться обоснованный вывод, подкрепленный инженерным расчетом. Например, при характеристике сети опорных точек должны быть приведены сведения о ее точности, густоте расположения точек и достоверности их отождествления на снимках, картах и т.п.
3.7.1.2. При характеристике обновляемой карты дается оценка ее точности, количества и характера изменений по сравнению со снимками и т.д., а также рекомендуются наиболее целесообразные варианты переноса изображения со снимков на карту.
3.7.1.3. При характеристике космосъемочных материалов необходимо давать оценку измерительных и изобразительных качеств снимков и условий съемки. В результате этого должны быть рекомендованы способы фотограмметрической обработки и методы дешифрирования космоснимков. Приводится окончательное решение о выборе технологии обновления, которое подтверждается приближенным экономическим расчетом.
3.7.1.4. Основные цифровые данные, расчеты и выводы обоснования технологии должны войти в технический проект и редакционный план (редакционно-технические указания).
3.7.1.5. В техническом проекте отражаются следующие основные вопросы:
- обоснование необходимости выполнения проектируемых работ;
- краткая физико-географическая характеристика района работ;
- оценка точности и степени старения карты, вывод о ее пригодности для обновления;
- характеристика геодезической основы;
- краткая характеристика основного картографического и съемочного материалов, порядок их использования;
- перечень дополнительных и вспомогательных материалов с кратким пояснением их назначения;
- принятые основные технологические схемы обновления с указанием допусков при выполнении отдельных процессов;
- метод сгущения сети опорных точек;
- организация камеральных и полевых работ, контроль и приемка законченных работ;
- перечень материалов, подлежащих сдаче после выполнения работ по обновлению карты;
- смета на выполнение камеральных и полевых работ.
3.7.1.6. Технический проект подписывается руководителем предприятия (объединения) и утверждается Федеральной службой геодезии и картографии России.
3.7.2. Редакционный план (редакционно-технические указания)
Редакционный план (редакционно-технические указания) разрабатывают на основе технического проекта с использованием всех исходных материалов и результатов их анализа. Он разрабатывается на весь район работ. Наряду с "
Руководством по картографическим и картоиздательским работам, часть 2...", редплан является основным руководящим документом для исполнителей работы. При обновлении карты несложного района, когда не требуются подробная разработка вопросов генерализации элементов содержания и подготовка приложений по классификации объектов, вместо редплана отрабатывают краткие редакционно-технические указания.
В редплане (редакционно-технических указаниях) освещают следующие вопросы:
- характер предстоящих работ, особенности района, карта которого обновляется, руководящие технические документы, используемые при производстве работ;
- принятая технология обновления для групп листов карты;
- порядок и степень использования основных, дополнительных и вспомогательных картографических, фотосъемочных и литературно-справочных материалов;
- особенности камерального дешифрирования космоснимков;
- способы переноса изображения со снимков на карту и порядок исправления содержания карты;
- особенности изображения на карте отдельных объектов, их отбора и обобщения;
- особенности применения условных знаков;
- порядок согласования обновляемой карты с картами смежных масштабов;
- указания по выполнению сводок;
- указания по оформлению оригиналов листов обновляемой карты;
- порядок полевого обследования камерально обновленной карты.
К редакционному плану (редакционно-техническим указаниям) прилагают:
- схему используемых при обновлении картографических и космосъемочных материалов;
- схему дорожной сети, сводок и новых названий, подписываемых на смежных листах;
- образцы дешифрирования снимков на наиболее характерные участки района обновления карты;
- список литературно-справочных материалов.
3.7.3. Рабочий проект обновления листа карты
Рабочий проект составляют на основе редакционных указаний применительно к району обновления листа карты. Проект состоит из двух частей:
- описания технологии камерального исправления листа карты;
- проекта полевого обследования района обновления карты.
Описание технологии обновления в основном представляет собой выписки из редакционных указаний, которые заносят в формуляр листа карты и подписывают исполнитель и редактор подразделения, выполняющего обновление карты.
При описании технологии освещают следующие вопросы:
- основные технологические операции обновления;
- перечень и порядок использования картографических, фотосъемочных, ведомственных и справочных материалов;
- методику дешифрирования космоснимков и переноса изображения с космоснимка на карту;
- контроль отдельных технологических операций;
- особенности оформления оригинала и прилагаемой к нему документации.
Рабочий проект утверждается главным инженером предприятия (объединения) либо главным инженером подразделения (экспедиции, филиала и т.п.); однако, в случае, когда изменения рабочего проекта по отношению к техническому влекут за собою необходимость пересмотра стоимости работ, рабочий проект утверждается в предприятии (объединении).
4. ТЕХНОЛОГИЧЕСКИЕ ПРОЦЕССЫ ОБНОВЛЕНИЯ КАРТЫ
Основными технологическими процессами обновления карты являются:
- обеспечение космоснимков опорными точками;
- создание основы обновляемой карты;
- топографическое дешифрирование космоснимков;
- перенос результатов дешифрирования со снимка на обновляемую карту.
4.1. Обеспечение космоснимков опорными точками
На этапе обеспечения космоснимков опорными точками работа выполняется в следующей последовательности:
- анализ полученных материалов космосъемки и картматериалов; материалов ранее использованных съемок, их планово-высотного обоснования;
- определение координат точек по карте - при наличии более крупномасштабных карт по сравнению с обновляемой;
- составление рабочего технического проекта сгущения сети опорных точек;
- отождествление точек снимка и карты;
- измерение координат точек на снимках;
- счет на ЭВМ и увязка результатов;
- составление списков (и каталогов) координат точек.
4.1.1. После получения задания, необходимых материалов космосъемки и картматериалов, а также материалов ранее использованных съемок, их планово-высотного обоснования выполняется тщательный анализ перечисленных материалов, уточняются номера снимков, необходимых для изготовления фотопланов, решается вопрос о методе определения опорных точек. Результаты анализа используются при составлении рабочего проекта сгущения сети опорных точек.
4.1.2. Проект сгущения сети опорных точек составляется с целью определения местоположения и количества точек, необходимых для трансформирования снимков, создания фотопланов и обеспечения процесса переноса результатов дешифрирования на обновляемый оригинал карты, а также для решения других задач. Этот проект разрабатывается на основе общего технического проекта, геодезических данных и используемых материалов космосъемки.
В зависимости от имеющихся исходных данных методы определения координат опорных точек могут быть различными <*>.
--------------------------------
<*> В данном РТМ рекомендуется применение метода аналитической пространственной фототриангуляции, как наиболее точного и производительного.
В проекте фотограмметрического сгущения опорных точек на участок работ приводятся:
- краткие сведения о качестве используемых материалов и о геодезической основе;
- схемы расположения сетей фотограмметрического сгущения;
- способы сгущения сетей и точек;
- методика и точность измерения координат точек космоснимка, данные о точности результатов вычислений на ЭВМ;
- перечень материалов фотограмм сгущения, подлежащих сдаче, и требования к их оформлению.
4.1.2.1. На основе общего (на весь участок работ) проекта сгущения сети опорных точек составляются также рабочие проекты для каждой маршрутной сети; в этих проектах должны быть учтены следующие виды производственных операций:
- выбор, опознавание и маркирование исходных опорных точек;
- выбор и маркирование определяемых точек;
- оформление (на восковке) схемы фотограмм сгущения;
- составление списка координат точек;
- заполнение соответствующего раздела формуляра и необходимых бланков.
4.1.2.2. При составлении проекта необходимо учитывать, что число опорных точек зависит от контурности местности, надежности опознавания точек на космоснимках, наличия топографических и геодезических материалов, масштаба снимков, используемых для обновления карты, протяженности маршрутов и используемой программы аналитического сгущения.
Протяженность сети при аналитическом триангулировании по космоснимкам масштабов 1:600000 - 1:1000000 может быть различной. Каждая сеть должна быть обеспечена не менее чем 6-ю исходными опорными точками (по 2 - в начале, в конце и в середине). При сгущении в пределах одиночной модели каждая стереопара обеспечивается, как минимум, четырьмя исходными опорными точками. Число и расположение определяемых точек в пределах стереопары зависит от выбранного варианта технологической схемы создания (обновления) карты, масштаба используемых космоснимков и возможностей используемой программы; связующих точек между стереопарами выбирают 4 - 6, между маршрутами - 2 - 3 точки (на каждую стереопару).
4.1.2.3. Для трансформирования плановых и перспективных космоснимков масштабов 1:200000 - 1:270000 по частям (четвертям) каждый космоснимок должен быть обеспечен 13 - 15 точками. В этом случае при построении аналитической сети по снимкам масштабов 1:600000 - 1:1000000 в пределах каждой стереопары должны быть определены координаты 50 - 60 точек.
4.1.2.4. При составлении проекта сгущения сети опорных точек расчет точности ожидаемых результатов сгущения должен быть выполнен, опираясь на требования Инструкции
[5]; при этом учитывается и качество используемых исходных материалов.
Более подробно составление рабочего проекта сгущения сети опорных точек изложено в
[12] и
[13].
4.1.3. Отождествление точек на снимках, их выбор осуществляют при увеличении фотоизображения не менее 4x; для этой цели используются микроскопы типа МБС-2, МБС-9, стереоскопы, "Интерпретоскопы". Для маркирования точек необходимо использовать высокоточные стереомаркирующие приборы, позволяющие стереоскопически отождествлять точки с точностью 2 - 5 микрометров. Диаметр маркировочного знака должен быть ~ 0,04 мм. Эти приборы должны обеспечивать стереоскопическое рассматривание снимков (пары снимков), полученных в разных масштабах.
При развитии сетей опорных точек методом аналитической фототриангуляции по космоснимкам масштаба 1:1000000, наряду с контактными, обычно изготавливают и увеличенные до масштаба 1:200000 фотоотпечатки. На них выбирают, опознают и закрепляют (накалывают или маркируют) намеченные рабочим проектом опорные (исходные и определяемые) точки; на обратной стороне фотоотпечатков дают краткое описание местоположения исходных опорных точек. Выбранные точки отождествляются и с помощью приборов типа "PUG-4", "НТ", маркируются на позитивах, изготовленных на малодеформирующейся фотопленке в масштабе 1:1000000. Возможен и другой вариант - точки выбирают, подкалывают на позитиве и с помощью промежуточного негатива изготавливают увеличенный фотоотпечаток (на котором изобразились подколотые точки).
4.1.4. Если на район работ имеются топографические карты масштабов более крупных, чем масштаб космоснимков, по которым будет создаваться фотоплан, то координаты необходимых опорных точек следует определять по этим картам. Но при этом выбранные точки должны быть четко отождествлены на снимках и на картах. Опознавание точек и определение их координат по карте выполняется обязательно в две руки.
В качестве опорных точек выбирают уверенно опознающиеся на космоснимках долговременные контуры, которые не могли быть обобщены при составлении карт.
Методика определения координат опорных точек по карте изложена в специальном РТМ
[15].
4.1.5. Измерение координат точек снимков при аналитическом фототриангулировании выполняют на стереокомпараторах, инструментальная точность которых удовлетворяет требованиям Инструкции
[5]. Для измерения координат точек по космоснимкам масштабов 1:600000 - 1:1000000 целесообразно использовать стереокомпараторы с автоматической регистрацией координат (СКА-18, СКА-30, "Стекометр").
4.1.5.1. Для выполнения измерений на стереокомпараторах в бригаду передаются:
- комплект диапозитивов (масштабы 1:600000 - 1:1000000), а также увеличенных до масштаба 1:200000 фотоотпечатков, на которые нанесены исходные и подлежащие определению точки;
- при наличии материалов космосъемки масштабов 1:200000 - 1:270000 - контактные фотоотпечатки с нанесенными на них опорными и определяемыми точками;
- схемы аналитических сетей сгущения (на восковке или миллиметровой бумаге);
- список координат исходных опорных точек;
- соответствующие (заполненные) бланки и формуляр обновляемого (создаваемого) листа карты.
4.1.5.2. К работе по измерению координат точек космоснимков должны допускаться операторы, имеющие хорошую остроту зрения. Измерения выполняются независимо двумя операторами (или одним оператором в два приема).
4.1.5.3. Порядок измерения координат включенных в рабочий проект точек, координатных меток и крестов (изображенных на снимке) обычно излагается в технологической инструкции по работе на используемом приборе. Там же приводятся и основные требования, предъявляемые к точности выполнения работы. Порядок представления исходной информации для последующего счета на ЭВМ определяется инструкциями по эксплуатации программ аналитической фототриангуляции.
Точность построения аналитической фототриангуляции контролируют и на этапе счета на ЭВМ; при этом руководствуются установленными допусками.
4.1.5.4. Точность определения плановых координат точек сети аналитической фототриангуляции оценивают:
- по остаточным расхождениям фотограмметрических и геодезических координат исходных опорных точек;
- по расхождениям фотограмметрических координат общих точек смежных маршрутов (участков);
- по расхождениям фотограмметрических и геодезических координат контрольных точек.
Остаточные средние расхождения плановых координат на исходных опорных точках не должны превышать 0,1 мм в масштабе карты.
Средние расхождения плановых координат общих (не включенных в уравнивание) точек смежных маршрутов (участков) не должны превышать 0,5 мм. Средние расхождения окончательных значений определяемых фотограмметрических координат контрольных точек с их геодезическими координатами не должны превышать 0,3 мм на карте масштаба 1:200000.
Для труднодоступных высокогорных и залесенных районов значения указанных выше допусков увеличиваются в 1,5 раза.
4.1.5.5. По материалам обработки результатов аналитической фототриангуляции составляются списки (каталоги) координат опорных точек, используемых в дальнейшем для трансформирования космоснимков, создания фотопланов, для обновления карт (и для других целей); отдельно составляются списки (каталоги) координат контрольных точек, предназначенных для ОТК. И те и другие списки (каталоги) составляются в соответствии с установленными образцами
[12],
[15].
4.2. Создание основы для обновления карты
Как было сказано выше (в
разделе 2), в зависимости от выбранного варианта технологической схемы обновления карты используются и различные основы для создания оригинала обновления.
4.2.1. В качестве основ для обновления карт используются:
- двухцветные (сине-красные) двусторонние абрисные копии издательских оригиналов на чертежном пластике - для изготовления оригиналов обновления;
- одноцветные (черные и коричневые) абрисные копии издательских оригиналов на чертежном пластике - для исправления обновляемой карты;
- абрисные копии на жесткой основе (изготовленные с дубликатов издательских оригиналов);
- фотопланы (в данном случае изготовленные по космоснимкам).
Изготовление абрисных копий осуществляется в соответствии со специальными инструкциями (по фоторепродуцированию и светокопированию штриховых и полутоновых оригиналов).
Фотопланы изготавливаются также в соответствии с действующими инструкциями: по фотограмметрическим работам
[5], по трансформированию космоснимков
[13], по созданию фотопланов
[12]; при этом учитываются излагаемые ниже рекомендации.
4.2.2. Изготовление абрисных копий
4.2.2.1. Абрисные копии (на прозрачном пластике или жесткой основе) изготавливают с издательских оригиналов карт, намеченных для обновления. В отдельных случаях копии могут быть изготовлены с дубликатов (однокрасочных оттисков) оригиналов. При этом дубликатные оттиски, изготовленные на бумаге, предварительно наклеивают на жесткую основу. Если дубликатный оттиск имеет неравномерную деформацию, то для получения с него копии его монтируют по частям на жесткую основу по километровой сетке и углам рамки трапеций. Точность совмещения линий сетки при монтаже и просветы между смонтированными частями дубликатных оттисков не должны превышать 0,2 мм. Перекрытие частей дубликатных оттисков не допускается.
4.2.2.2. На издательских оригиналах перед изготовлением их копий поднимают тушью серые линии и очищают загрязненные места, а на вновь изготовленных негативах замазывают ретушерной краской исчезнувшие (на местности) элементы содержания карты (снесенные населенные пункты, запаханные дороги и др.).
4.2.2.3. В качестве жесткой основы для абрисных копий (фотокопий) применяются алюминиевые листы, на которые наклеивают: при изготовлении коричневых, двухцветных и голубых копий - чертежную бумагу, при изготовлении черных фотокопий - матовую фотобумагу.
Для изготовления абрисных копий на прозрачной основе применяют малодеформирующиеся пластики полиэфирной группы.
4.2.2.4. Изготовленные для обновления карты абрисные копии, в том числе и на прозрачной основе, должны удовлетворять следующим требованиям:
- размеры сторон копий карты, изготовленных на жесткой основе, не должны отличаться от теоретических более чем на +/- 2 мм, а диагонали - более чем на +/- 0,3 мм;
- изображение на копиях должно быть четким и одинакового тона по всей площади листа;
- на копиях не должно быть фона и пятен;
- ширина полей на копиях должна обеспечивать размещение подписей, условных знаков и чертежей, предусмотренных для зарамочного оформления оригинала листа карты.
4.2.3. Изготовление фотопланов
Фотопланы изготавливаются в масштабе обновляемой карты, используя плановые и перспективные космоснимки масштабов 1:200000 - 1:270000, по технологии, разработанной в Госцентре "Природа", подробно изложенной в
[12]. Космоснимки, предназначенные для изготовления фотопланов, предварительно трансформируют. В качестве плановых опорных точек используют точки, координаты которых определены по картам более крупного масштаба, чем масштаб обновляемой карты, либо - в результате аналитического фототриангулирования, либо используют точки полевой подготовки снимков ранее исполненной аэрофотосъемки (при их наличии). В случае, когда перечисленных точек недостаточно для выполнения трансформирования, то выполняют их досгущение (на основе имеющихся опорных точек) фотограмметрическими методами, например, методом аналитического сгущения по одиночным снимкам
[16].
4.2.3.1. При составлении проекта сгущения сетей опорных точек их выбирают таким образом, чтобы в пределах трапеции каждый участок (фигура) трансформирования площадью от 15 x 15 см до 30 x 30 см был бы обеспечен не менее чем 5-ю трансформационными точками; расположение точек: 4 - по углам, а пятая - в середине фигуры. Такие размеры фигур являются оптимальными при печати на обычной фотобумаге, они позволяют с достаточной точностью учесть "усадку" фотобумаги, искажения за дисторсию (для снимков крупного масштаба) и т.п.; кроме того, с отпечатками таких размеров наиболее удобно работать при монтаже фотоплана.
4.2.3.2. Опорные точки на основу, предназначенную для монтажа фотоплана, наносят обычным способом по прямоугольным координатам с использованием имеющейся на основе прямоугольной координатной сетки. При построении координатной сетки на координатографе целесообразно опорные точки и углы рамки трапеции наносить одновременно, при одной установке координатографа. Точность нанесения опорных точек относительно координатной сетки +/- 0,1 мм.
4.2.3.3. Трансформирование космоснимков выполняют на фототрансформаторах ФТБ, ФТА, SEG-V, SEG-VI, "Ректимат-С" и др. на одну или на несколько плоскостей (в зависимости от характера изображенного на снимке рельефа местности).
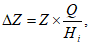
4.2.3.3.1. Если максимальная разность высот в пределах космоснимка (или его части - фигуры трансформирования) не превышает величины, определенной по формуле (1), то трансформирование осуществляют на одну плоскость.

(1)
где:
Q - высота зоны трансформирования в м;
fсн - фокусное расстояние фотоснимка в мм;
rmax - максимальное расстояние (в мм) от точки надира до наиболее удаленной трансформационной точки на краю рабочей площади космоснимка;
tк - знаменатель масштаба обновляемой карты.
При разностях высот, превышающих величину Q (в пределах фотоснимка либо его части), трансформирование выполняют на две или несколько плоскостей по зонам; число зон трансформирования определяют по формуле:
здесь A - абсолютная высота точки.
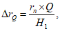
4.2.3.3.2. При трансформировании фотоснимков по зонам в положение трансформационных точек на планшете относительно средней плоскости первой зоны вводят поправки за влияние рельефа и кривизны Земли по формуле:

(2)
где:

- поправка за рельеф в мм;
r - расстояние от проекции точки надира (на планшете) до трансформационной точки в мм;
H1 - высота фотографирования над средней плоскостью первой (нижней) зоны в м;
h - превышение точки над средней плоскостью нижней зоны в м;
h = Ai - Aср. ниж.; Aср. ниж. = Amin + 0,5Q;
здесь:

и

- расстояния от центра участка трансформирования до трансформационной точки.
Вычисленные поправки откладывают от трансформационной точки по направлению от проекции точки надира (на основе).
Если трансформирование осуществляется на одну (среднюю) плоскость, то поправки за рельеф и кривизну Земли вводят на основе по направлению к проекции точки надира - при отрицательных превышениях и от проекции точки надира - при положительных.
4.2.3.3.3. При трансформировании космоснимков по зонам с каждого из них изготавливают столько отпечатков, отличных друг от друга по масштабу, сколько рассчитано зон. На обратной стороне каждого отпечатка карандашом указывается номер зоны.
После изготовления фотоотпечатка первой зоны снимка объектив фототрансформатора перемещают (следя по шкале отстояний) на величину

и изготавливают отпечаток следующей зоны. Величина

рассчитывается по формуле:

(3)
где:
F - фокусное расстояние объектива фототрансформатора в мм;
Q - ступень зоны в м;
fк - фокусное расстояние камеры в мм;
tк - знаменатель масштаба карты.
При отсутствии на фототрансформаторах шкалы отстояний объектива от экрана на вертикальную направляющую прибора наклеивают полоску ватмана с нанесенной на нее шкалой штрихов через 1 мм, а на каретку объектива - отсчетный индекс.
"Усадку" фотобумаги (возникающую вследствие химико-фотографической обработки и сушки) также учитывают с помощью шкалы отстояний объектива от экрана. Для этого после совмещения трансформационных точек изображения и основы объектив смещают вверх на величину

рассчитанную по формуле:

(4)
где:
K - коэффициент "усадки", равный отношению ее величины к длине фотоматериала;
n - коэффициент увеличения изображения.
4.2.3.3.4. Трансформирование снимков масштабов 1:200000 - 1:270000 осуществляют, как правило, по частям (четвертям). В связи с этим применяют способы двойного или перспективно-аффинного трансформирования с использованием фототрансформатора ФТА (со щелевым экраном). Методика двойного трансформирования частей космоснимков и сущность перспективно-аффинного способа трансформирования снимков изложены в
[12] и
[15].
4.2.3.4. Фотоотпечатки трансформированных снимков (их частей) монтируют на жесткую основу по опорным точкам в соответствии с технологией изготовления фотопланов
[5] с погрешностью, не превышающей 0,5 мм.
Точность смонтированного фотоплана проверяют по опорным точкам, порезам, по сводкам со смежными фотопланами, а при их отсутствии - с ранее изготовленными картами того же масштаба. Расхождения по порезам не должны превышать 0,7 мм, по сводкам - 1,0 мм.
4.2.3.5. При оформлении фотоплана тонкими линиями черного цвета вычерчивают рамку листа карты и выходы линий координатной сетки. Соответствующими условными знаками вычерчивают геодезические пункты и точки съемочной сети, которые были использованы при составлении фотоплана. Зарамочное оформление фотоплана осуществляют в соответствии с утвержденным образцом
[12].
4.2.3.6. С завершенных и принятых ОТК фотопланов изготавливают репродукции на жесткой основе.
Для изготовления репродукций фотопланов используют матовую или полуматовую фотобумагу с тем, чтобы на ней легко можно было чертить карандашом. Сорт фотобумаги подбирается в соответствии с качеством негатива. Фотографическое изображение на репродукции должно быть четким, ровного серого тона, нормальной плотности и с хорошей проработкой всех деталей как освещенных, так и затемненных участков местности. Тон репродукции должен быть таким, чтобы проведенные на нем карандашом линии читались хорошо.
4.2.3.7. Необходимые сведения о технологии изготовления фотоплана, а также результаты проверки его качества записывают в формуляр листа карты; здесь же дают заключение о качестве репродукции и пригодности ее для дальнейшего использования.
4.3. Дешифрирование космоснимков при обновлении
топографических карт масштаба 1:200000
Информативные возможности космических снимков масштабов 1:200000 - 1:270000 позволяют успешно использовать эти снимки в качестве основного материала при обновлении карты масштаба 1:200000.
Особенности дешифрирования упомянутых космоснимков при обновлении карт конкретного масштаба должны быть отражены в соответствующих разделах редакционных указаний с учетом действующих требований и рекомендаций (более подробно это изложено в РТМ по дешифрированию
[11]).
К особенностям космических снимков относятся:
- охват одним снимком значительных по площади территорий;
- большая наглядность изображения объектов местности;
- одинаковая контрастность изображения идентичных объектов в пределах снимка;
- естественная генерализация изображения позволяет исполнителю работ по одному космоснимку всесторонне изучить ландшафт, установить специфику фотоизображения объектов местности, выявить прямые и косвенные их дешифровочные признаки.
Информация, содержащаяся на снимках, наиболее полно может быть использована при соблюдении следующих условий:
- космоснимки целесообразно (при возможности) просматривать стереоскопически при больших коэффициентах увеличения изображения;
- дешифрирование следует исполнять на отпечатках, приведенных к масштабу обновляемой карты;
- качество отпечатков должно быть высоким, с дифференцированным усилением деталей фотоизображения, которые являются существенными для данной местности; так, например, для лучшей проработки русел рек, элементов снежно-ледового рельефа рекомендуется изготавливать дополнительные отпечатки с некоторой передержкой, для более уверенного дешифрирования небольших населенных пунктов и незначительных по размерам элементов рельефа целесообразно изготовить увеличенные фрагменты их фотоизображения.
В связи с тем, что космическая съемка не всегда может быть выполнена в соответствии с требованиями, предъявляемыми ко времени ее выполнения, рекомендуется из нескольких снимков разных съемок одной и той же территории выбирать для дешифрирования снимки, наиболее подчеркивающие характер картографируемой территории. Например, при картографировании районов с преобладанием лиственных пород леса целесообразно использовать фотоснимки летние, когда деревья с листвой, и осенние, когда деревья - без листвы; при картографировании горно-ледниковых районов используются материалы съемки, исполненной во второй половине лета; при картографировании долин крупных рек выбирают (по возможности) снимки того периода съемки, когда для данной реки устанавливается устойчивый уровень.
В случаях, когда для топографического дешифрирования используют снимок, на котором изображение облачности (либо теней облаков) составляет значительную его часть, необходимо привлекать дополнительные материалы (более ранних космосъемок, аэрофотосъемок, ведомственные материалы).
Для камерального дешифрирования космоснимков необходимо применять увеличительные и стереоскопические приборы:
- интерпретоскопы;
- настольные стереоскопы ЗЛС-2;
- стереоскопы Д-2;
- стереоскопы-пантографы СП-2;
- бинокулярные микроскопы МБС-2, МБС-9;
- набор дешифровочных луп.
В методическом отношении основой топографического дешифрирования космоснимков является принцип сочетания камерального дешифрирования (с использованием всех материалов картографического значения) с последующим полевым обследованием картографируемой территории.
4.3.1. Камеральное дешифрирование космоснимков
Камеральное дешифрирование выполняется наиболее квалифицированными специалистами. Дешифрирование выполняют на снимках и фотопланах (фотосхемах). Для просмотра целесообразно использовать фотоснимки на глянцевой фотобумаге. Для вычерчивания результатов дешифрирования удобно использовать фотопланы или снимки, изготовленные на матовой бумаге.
4.3.1.1. Работы по камеральному дешифрированию проводят в следующем порядке:
- изучение редакционных указаний;
- анализ и изучение космоснимков, анализ собранных материалов картографической изученности территории;
- отработка навыков в дешифрировании конкретного района;
- выбор рабочих площадей на снимках.
4.3.1.2. При изучении редакционных указаний исполнитель знакомится с географической характеристикой района, рекомендациями о порядке дешифрирования космоснимков по участкам и элементам содержания карты, по использованию основных и дополнительных материалов, получает необходимые сведения о дешифровочных признаках и отображении объектов местности на карте.
4.3.1.3. Анализ и изучение космоснимков и собранных материалов картографической изученности территории осуществляют в пределах участка, выделенного для выполнения работ по исправлению карты.
В результате изучения материалов определяют возможность их использования и устанавливают объекты, которые могут быть отдешифрированы по снимкам, и те, которые наносятся с картографических материалов.
4.3.1.4. Обладая значительной информативностью, фотоснимки требуют особых навыков по опознаванию изображенных на них объектов местности. Навыки для установления дешифровочных признаков конкретных объектов приобретаются методом сравнения при одновременном просмотре космоснимков и карты или космоснимка и аэроснимка. Рекомендуется использовать существующие альбомы образцов дешифрирования аэроснимков.
При дешифрировании снимков используются прямые и косвенные дешифровочные признаки.
К прямым дешифровочным признакам относятся форма, размер, тень объекта, фототон или цвет и структура (рисунок) его изображения.
При дешифрировании мелкомасштабных фотоснимков необходимо использовать наиболее полно и в комплексе прямые и косвенные признаки объектов, причем в данном случае значения косвенных признаков по отношению к прямым возрастает в связи с их меньшей зависимостью от масштаба съемки, т.к. возрастает количество топографических объектов, которые невозможно опознать по прямым дешифровочным признакам.
4.3.1.5. После приобретения навыков в опознавании объектов производят пробное дешифрирование участка космоснимка с изображением наиболее типичных для данного района объектов. Качество пробного дешифрирования тщательно проверяется; выявленные недоработки и ошибки устраняют.
4.3.1.6. Рабочие площади на снимках выбирают с таким расчетом, чтобы в них вошли участки с лучшим качеством изображения. Границы рабочих площадей вычерчивают на снимках тушью. При частичном исправлении листа карты рабочие площади должны соответствовать площадям участков, подлежащих исправлению.
Анализ фотоизображения с помощью приборов выполняют при оптимальном увеличении, которое подбирается опытным путем.
4.3.1.7. При дешифрировании космоснимки детально сличают с обновляемой картой и другими имеющимися материалами по участкам, ограниченным четкими контурами или резко выраженными формами рельефа.
Сличение производят по элементам местности в следующем порядке:
- гидрография и гидротехнические сооружения;
- населенные пункты;
- промышленные, сельскохозяйственные и социально-культурные объекты;
- дороги и дорожные сооружения;
- элементы рельефа, не выражающиеся горизонталями;
- растительный покров и грунты.
Одновременно:
- проверяют правильность изображения на карте форм рельефа, просматриваемых стереоскопически;
- устанавливают соответствие изображаемых на обновляемом оригинале форм рельефа формам просматриваемой модели местности;
- уточняют подписи, качественные и количественные характеристики объектов (по картографическим материалам крупного масштаба).
С крупномасштабных картографических материалов переносят на фотоснимки или фотопланы (либо на картографическую основу) следующие надписи:
направлений основных для данного района дорог; названий государств, населенных пунктов, морей, рек, каналов, озер и других объектов гидрографии, горных систем, хребтов, вершин, скал, валунов, ледников, перевалов, болот, песков;
пояснительные - для дополнительной характеристики или для пояснения сущности изображенных на карте объектов и элементов местности и т.д.;
численные характеристики высот опорных пунктов и точек местности, уровней вод, горизонталей, обрывов, высоты деревьев и т.п.
4.3.1.8. Вычерчивание содержания на космоснимках выполняют упрощенными условными знаками. Границы растительного покрова и грунтов вычерчивают сплошными линиями желтого цвета; вместо заполнения условными знаками контуры подписывают: лес, луг, кустарник, пески, болото и т.д.
Четкие, надежно дешифрируемые линейные контуры большой протяженности (дороги, каналы и пр.) вычерчивают только у границ полезной площади снимка, в местах пересечения и на изгибах.
4.3.1.9. Результатом проведенных работ по дешифрированию на каждый лист карты должны быть отдешифрированные снимки или фотопланы (фотосхемы) и восковки с помеченными (оцифрованными) участками, подлежащими полевому обследованию - рабочие проекты полевого обследования.
4.3.2. Дешифрирование отдельных топографических объектов
4.3.2.1. Гидрография и гидротехнические сооружения
На космоснимках крупного масштаба береговая линия морей, озер, прудов, водохранилищ и рек имеет несколько генерализованный вид и достаточно четкие очертания. Дешифрирование озер и водохранилищ, как правило, не вызывает затруднений.
На снимках пустынных районов небольшие водохранилища распознают по характерным для них темному тону и прямоугольной форме.
Неглубокие и осыхающие водохранилища дешифрируют по более светлому тону или контуру.
Для пересыхающей береговой линии водоемов (водохранилищ, озер) характерны несколько уровней высыхания, которые изображаются на фотоснимках полосами различного тона, границы которых напоминают горизонтали.
4.3.2.1.1. Водная поверхность водоемов изображается на снимке различными тонами от темного до светлого. В зависимости от угла между отраженным от воды солнечным лучом и лучом, проектирующим ее изображение, глубины, прозрачности или состояния поверхности воды она уверенно читается среди окружающих ее участков суши.
Береговые отмели и мели выглядят светлее или темнее водной поверхности и дешифрирование их не вызывает затруднений.
4.3.2.1.2. Русла рек выглядят извилистыми линиями различной ширины и тона. У небольших по ширине рек и ручьев русла редко дешифрируются и выделяют их в основном по извилистому рисунку берегов или маскирующей их древесной и кустарниковой растительности.
4.3.2.1.3. Каналы изображаются прямыми светлыми или светло-серыми линиями, имеют четкие изгибы, прямые и даже острые углы соединения и нередко резко обрываются. Сеть каналов часто образует правильные геометрические фигуры. В изображении некоторых каналов (от 10 - 15 м шириной) на светлом фоне дамб выделяется узкая полоса воды.
Часто изображения каналов и дорог на снимках выглядят одинаково. С учетом этого при дешифрировании каналов следует использовать их косвенные признаки, например, резкие изгибы, наличие мостов, выделяющихся на фоне воды, а также дорог, подходящих к мостам через каналы.
4.3.2.1.4. Мосты через реки и каналы изображаются на снимках в виде светлых тонких линий, пересекающих водную поверхность. При невозможности отдешифрировать мосты их местоположение определяют по косвенным признакам, например, по подходу одной или нескольких дорог к обоим берегам реки, канала или ручья.
4.3.2.1.5. Плотины, как и мосты, изображаются на снимке светлой полоской, пересекающей русло реки. Чаще плотины распознают по резкому расширению реки и образованию водохранилища. По плотинам, как правило, проложены дороги или тропы.
4.3.2.1.6. Дамбы и искусственные валы изображаются на снимках в виде узких светлых или светло-серых полос, соответствующих незадернованным и задернованным поверхностям этих сооружений; часто они бывают расположены вдоль каналов, в поймах рек.
4.3.2.1.7. Крупные пристани, дебаркадеры, молы, причалы на фотоснимках дешифрируют по характерным для них формам светлых полосок, которые выступают за линию берега или располагаются рядом, отчетливо выделяясь на темном фоне воды.
4.3.2.1.8. Колодцы, являющиеся важными объектами для районов, бедных ориентирами, непосредственно на фотоснимках практически не опознаются. Однако их местоположение довольно уверенно определяется по наличию узла дорог около колодца и по темно-серому тону изображения вытоптанного скотом участка вокруг колодца.
4.3.2.1.9. Родники также не опознаются на фотоснимках. Иногда они бывают приурочены к небольшим увлажненным участкам, выделяющимся на фотоснимке по каплевидной форме и светло-серому и серому тону изображения растительности; однако местоположение родника определить не удается.
4.3.2.1.10. Сведения о недешифрируемых и труднодешифрируемых гидрографических и гидротехнических объектах (водораспределительных устройствах, водопроводах, колодцах, родниках и т.д.) получают по картматериалам, планам, аэрофотоснимкам прошлых лет, либо - по результатам полевого обследования.
4.3.2.1.11. Наиболее удобны для выполнения дешифрирования гидрографической сети фотоснимки, полученные в инфракрасной зоне (700 - 840 нм), на которых водоемы и водотоки изображаются ровным темным тоном и отчетливо выделяются на фоне различных поверхностей суши.
При дешифрировании рек, каналов, а также других гидрографических объектов рекомендуется применять как черно-белые, так и цветные, спектрозональные и синтезированные фотоснимки.
4.3.2.2. Населенные пункты, промышленные, сельскохозяйственные и социально-культурные объекты
4.3.2.2.1. На космических фотоснимках возможно дешифрировать как крупные населенные пункты, поселки городского типа, так и сельские населенные пункты с квартальной или рядовой застройкой.
Изображения названных населенных пунктов на фотоснимках отличаются рядами четких светлых линий проездов и улиц, разделяющих застроенную часть на правильные геометрические фигуры. При увеличении 4x и более в изображении на снимках кварталов и рядов могут быть различимы отдельные постройки, имеющие прямоугольную форму, подчеркиваемую тенями.
Населенные пункты сельского типа с бессистемной застройкой в основном дешифрируют по общему контуру. Светлые пятна, соответствующие постройкам, и темные пятна крон деревьев создают характерную зернистую структуру их изображения. На этом фоне в виде светлых линий выделяют проезды.
При дешифрировании отдельно расположенных дворов возможно выделение строений, не скрытых кронами деревьев.
Наличие стоянок и кочевий определяют по косвенным признакам - белесым пятнам вытоптанной поверхности и пучкам грунтовых дорог. При просмотре фотоснимков с увеличением изображения кочевий и стоянок могут быть выделены отдельные строения.
Дешифрирование по космическим снимкам населенных пунктов, промышленных и сельскохозяйственных объектов производят стереоскопически с увеличением до 4 - 5x. Наиболее удобны для этих целей черно-белые фотоснимки, границы объектов на которых резче, чем на цветных и спектрозональных.
4.3.2.2.2. При дешифрировании населенных пунктов используют крупномасштабные карты, планы населенных пунктов, справочники административно-территориального деления, разносезонные космоснимки, аэрофотоснимки прошлых лет.
4.3.2.2.3. Выделяющиеся городские промышленные и хозяйственные постройки дешифрируют по светлому тону крыш, форме, теням.
Заводы и фабрики распознают, как правило, по характерной планировке и структуре, отличной от структуры жилой части населенных пунктов.
Заводские и фабричные трубы на фотоснимках часто демаскируются шлейфом дыма, который более резок у горловины трубы и расплывчат с удалением от нее.
Карьеры и места добычи ископаемых открытым способом (песчаные карьеры, каменоломни и т.д.) дешифрируют на космоснимках по внешнему контуру, тону дна выемок, а также теням обрывов. Для изображения больших многоярусных промышленных карьеров характерны ряды параллельных темных полос, являющихся обрывами "террас".
Нефтяные и газовые промыслы на космоснимках в основном опознают по светлым пятнам, соответствующим площадкам буровых скважин и светлым линиям соединяющих их дорог. Непосредственно буровые вышки не дешифрируются. Демонтированные буровые вышки опознаются в виде темных точек (рвы, насыпи, строительные материалы и т.д.) в центре светлых пятен площадок буровых.
Крупные резервуары и цистерны складов горючего изображаются в виде светлых пятен, часто подчеркнутых характерной тенью. Обычно склады горючего изолированы от населенных пунктов, имеют подъездные пути и окружены защитными валами или ограждениями.
Вышки-ретрансляторы в редких случаях дешифрируют по длинной тени на светлом фоне, например, песков или степи.
Взлетно-посадочные полосы аэродромов дешифрируют по правильной прямоугольной форме и светлому тону покрытия (грунтовые или бетонные). Аэродромные постройки располагаются рядом с полосой и распознаются по форме, тону и теням.
Постоянные загоны для скота на космоснимках дешифрируют по квадратной, прямоугольной или круглой форме и темно-серому тону вытоптанной скотом земли. В изображении кошар рядом или внутри их контура распознают крыши навесов, крытые загоны, пристройки.
Крупные мазары частично дешифрируют по теням и реже по форме на ровном светлом фоне.
Кладбища, как правило, на снимках без картматериала не распознаются. При наличии древесной растительности они демаскируются ею. Кроме того, кладбища обычно располагаются на возвышенных местах.
Положение опор и столбов линий электропередач на снимках определяют только по невспаханным вокруг них участкам. Изображаются они темными линзообразными пятнами, располагающимися через равные промежутки. Чаще всего на космоснимках распознаются опоры электролиний, пересекающих угодья.
4.3.2.2.4. Подземные трубопроводы на космоснимках изображаются светлыми линиями - следами засыпанных траншей с трубами. Внешне трубопроводы похожи на дороги, но в отличие от последних, для них характерны резкие, иногда отходящие под прямым углом ответвления, значительные по длине спрямленные участки и меньшая четкость линий. При дешифрировании следует использовать крупномасштабные карты и ведомственные материалы.
4.3.2.2.5. Недешифрируемые промышленные, культурные и сельскохозяйственные объекты (нефтяные вышки, опоры, радиомачты, водонапорные башни, трансформаторные будки, кладбища и т.д.) переносят с крупномасштабных карт, планов или наносят при полевом обследовании.
4.3.2.2.6. Для лучшего выделения отдельных малых по размерам и труднодешифрирующихся объектов (построек в населенных пунктах, отдельных деталей объектов и т.д.) целесообразно использовать выборочно (увеличенные до 4x и более) фрагменты исходных снимков.
4.3.2.3. Дороги и дорожные сооружения Железные дороги на дешифрируемых космоснимках изображаются в виде линий светлого и светло-серого тонов, имеющих значительные спрямленные участки и плавные изгибы. Иногда при увеличении изображения свыше 4x осевая часть этих линий выглядит темнее, находясь как бы в обрамлении светлых полос.
Наиболее высокие насыпи и глубокие выемки железных дорог дешифрируют по светлому тону и тени скатов - темным линиям, параллельным дороге. Особенно отчетливо выделяются насыпи на зимних снимках. Рядом с железнодорожным полотном по форме и тону распознают станционные здания и различные железнодорожные постройки.
Количество путей железнодорожного полотна, электрифицированность, наличие незначительных по высоте насыпей и выемок по снимкам не определяются.
Автострады и шоссе так же, как и железные дороги, на фотоснимках изображаются тонкими линиями светлых и светло-серых тонов. При увеличении изображения 4 - 5x и более на светлом фоне широкого земляного полотна может просматриваться темная тонкая линия асфальтового покрытия. Для автострад и шоссе характерны сочетания прямолинейных и криволинейных участков и более крутые, чем у железных дорог, изгибы.
На космоснимках густонаселенных районов разделение крупных автодорог и железных дорог по внешнему виду не всегда возможно. В этом случае используют для дешифрирования материалы картографической изученности района.
Грунтовые, проселочные и полевые дороги на космоснимках распознают по светлому тону тонких извилистых линий, обычно имеющих резкие изгибы, раздвоения. Они часто совпадают с контурами угодий. Полевые и проселочные дороги частично дешифрируют на светлом фоне, например, песчаных или каменистых поверхностей.
Вьючные тропы на снимках выглядят тонкими нитевидными линиями светлого тона и прослеживаются только на отдельных участках, исчезая на оголенных каменистых поверхностях и под пологом растительности.
Зимние дороги на космоснимках зимнего времени частично дешифрируют по темноватым тонким линиям, выделяющимся на светлом фоне заснеженных пойм рек и берегов. В основном зимние дороги тянутся вдоль пойм, часто срезают излучины рек, переходят с речного льда на сушу.
При дешифрировании дорожной сети изображение следует просматривать стереоскопически с увеличением не менее 4 - 6x.
В процессе дешифрирования в необходимых случаях используют крупномасштабные карты, планы, атласы дорог, ведомственные материалы.
4.3.2.4. Элементы рельефа
На космоснимках масштаба 1:200000 уверенно распознаются многие элементы рельефа, отображающиеся на картах масштаба 1:200000. Необходимым условием дешифрирования форм рельефа являются стереоскопический просмотр и увеличение фотоизображения.
Сухие русла обычно дешифрируют по извилистому рисунку светлых полос различной ширины. Иногда врезанные берега сухих русел в зависимости от освещенности подчеркиваются узкими темными или светлыми линиями.
Скалы-останцы на космоснимках опознают по светлому тону выходов коренных пород, а наиболее крупные из них подчеркиваются тенями. Для уверенного опознавания скал-останцев рекомендуется использовать снимки зимнего времени, на которых создаваемые скалами тени наиболее резки и хорошо подчеркивают форму.
Ямы искусственного происхождения выделяют на снимках по светлому тону выемок глины, песка или гравия.
Курганы дешифрируют по округлой или вытянутой форме, светлому тону. Они подчеркиваются тенями. Группы курганов на снимках следует распознавать по характерной для них зернистой структуре, образуемой мелкими светлыми и темными пятнами освещенных и находящихся в тени склонов отдельных курганов.
Провалы крупных карстовых воронок изображаются на космоснимке пятнами темного тона, отчетливо выделяющимися на фоне светлых поверхностей. Места расположения карстовых воронок на снимках распознают по характерному пятнистому рисунку, создаваемому изображением растительности и самих воронок (или только изображением воронок).
Дайки на космоснимках изображаются светлым тоном, имеют вытянутую форму и обычно четко оттенены. Значительные по протяженности цепи даек особенно хорошо прослеживаются на снимках зимнего времени.
Льды и снега уверенно выделяются на фотоснимках по яркому светлому тону.
Долинные ледники, прежде всего, распознаются по форме изогнутых языков и округлой или близкой к лопастной форме фирновых бассейнов. Малые по размерам каровые и висячные ледники изображаются в виде пятен.
На летних космоснимках (предпочтительнее снимки окончания периода таяния снега в горах) фирновые бассейны ледников выглядят более светлыми, чем ледниковые языки. Размещаются фирновые бассейны в цирках и карах, чашеобразность которых хорошо ощущается при стереоскопическом просмотре фотоснимков.
Несколько ниже снеговой границы, отделяющей область питания от области таяния ледникового языка, на фотоизображении выделяются темные участки - морены. Чехлом морен могут быть перекрыты значительные по площади поверхности ледниковых языков.
Срединные морены изображаются одной или рядами темных, параллельных друг другу извилистых полос.
Боковые морены в виде хорошо заметных на космоснимках уступов распознаются по обеим сторонам ледникового языка.
Гряды и всхолмления конечных морен располагаются перед ледниковым языком. Неровность их поверхности, связанная с беспорядочным нагромождением моренного материала, подчеркивается характерными нерезкими тенями.
Часто при выделении границ ледникового языка, скрытого под мощным чехлом моренных отложений, возникают серьезные затруднения. В этом случае о наличии льда под мореной судят по косвенным признакам, например, по более темному тону увлажненного моренного материала над ледником, термокарстовым формам ледникового рельефа (воронкам, провалам), озеркам, выпуклости поверхности ледникового языка. При невозможности определения всей границы ледникового языка ее показывают до тех пор, пока она прослеживается под мореной.
Ледниковые трещины на космоснимках изображаются в основном темными, серыми или светлыми полосками различной длины, ширины и ориентировки. Темным участкам изображения соответствуют стены трещин, находящиеся в тени, светлым - освещенные. Наиболее характерными для ледниковых поверхностей являются продольные и поперечные трещины. При увеличении 4x и более в изображении фирновых бассейнов ледников у подножия стен цирков распознаются тонкие дугообразные линии трещин, называемых бергшрундами.
Ледяные обрывы (барьеры) на снимках горного и покровного оледенения дешифрируют по четким темным и наиболее светлым полоскам - теневым и освещенным участкам крутых ледяных склонов.
Наледи уверенно дешифрируются на космоснимке - по четким светлым полоскам в поймах рек, у бортов речных долин. При увеличении 4x и более в изображении речных наледей по темным линиям могут распознаваться разделяющие их каналы.
Каменистые россыпи на снимках горных районов практически не отличаются от других видов поверхностей. Частично они бывают приурочены к некрутым незадернованным участкам горных склонов, террасам. На фотоснимках горно-таежных районов на плоских безлесных водоразделах и редколесных склонах по светлому тону распознают каменистые россыпи (курумы), а на крутых склонах - каменные реки.
Гребни, пики, скалистые обрывы, скалы дешифрируются по характерным для них резким очертаниям и формам, четким границам теней, чередованию освещенных и затемненных участков склонов. При стереоскопическом просмотре космоснимков ощущается крутизна склонов гор, острота гребней, неровность поверхности скальных участков.
Задернованные уступы (бровки) балок, террас, склонов распознают на снимках по теням, обозначающим границу перегиба горизонтальных или слабонаклонных участков поверхностей к более крутым.
Осыпи изображаются на снимках в виде конусов ровного светлого тона, не имеющих резких очертаний. Конусы осыпания приурочены своими вершинами к ущельям и ложбинам в скалах и часто располагаются рядами.
Овраги и промоины опознают на снимках по характерным очертаниям и более светлому тону, отличному от тона задернованных поверхностей. Наибольшие по размерам промоины часто изображаются в виде темных полосок.
Обрывы дешифрируют по характерным для них очертаниям и крутизне скатов. Скаты в зависимости от освещенности изображаются полосками светлого или темного тонов.
Необходимыми материалами при дешифрировании элементов рельефа являются карты, справочные и литературные материалы, каталоги ледников, аэроснимки прошлых лет и наземные фотоснимки, снимки - эталоны дешифрирования.
4.3.2.5. Растительный покров и грунты
4.3.2.5.1. На космоснимках масштабов 1:200000 - 1:270000 древесная растительность изображается темными тонами.
Изображение сплошных лесов имеет темно-серый тон и слегка зернистую структуру. Узкие полосы лесонасаждений обычно располагаются вдоль дорог, каналов, границ полей и на космоснимках выглядят тонкими темными полосами.
Небольшие площади леса и отдельные рощи изображаются на космоснимках темными участками различной формы и величины.
Редколесье изображается на снимке более светлыми, чем сплошные леса, неоднородными по тону участками, также имеющими зернистую структуру. Наиболее уверенно участки редколесья дешифрируются внутри лесных массивов и практически незаметны на светлом фоне скалистых склонов и высоких берегов рек.
Горелые и сухостойные леса в основном также хорошо дешифрируются на снимках, особенно внутри лесных массивов, выделяясь пятнами более светлого, чем у сплошных лесов, тона.
Просеки в лесах изображаются на снимках прямыми линиями светлых тонов, пересекающими изображение лесов и образующими сети четырехугольников. Дешифрируют просеки в зависимости от их ширины и сомкнутости крон деревьев.
4.3.2.5.2. Кустарниковая растительность изображается на снимках более светлым тоном, чем древесная. Изображение сплошных зарослей и отдельных групп кустарников отличается ровной тональностью и реже - слабозернистой структурой. Часто изображение кустарников повторяет по форме излучины рек, ручьев, повороты каналов, дорог вдоль которых кустарник произрастает. Отдельные группы кустарников выглядят на снимках светло-серыми пятнами.
4.3.2.5.3. Отдельностоящие деревья и незначительные по размерам группы деревьев и кустарников не дешифрируются на космоснимках. В редких случаях возможно опознавание отдельных деревьев или их компактных групп с большими кронами.
В изображении древесной и кустарниковой растительности на снимках практически отсутствует такой важный дешифровочный признак, как тени, создаваемые их кронами.
4.3.2.5.4. Космоснимки масштабов 1:200000 - 1:270000 не позволяют определить количественные характеристики древостоя, выделение состава пород растительности только по указанным снимкам крайне затруднительно. В связи с этим возрастает необходимость наиболее полного сбора и использования сопутствующих дешифрированию материалов картографической изученности территории.
4.3.2.5.5. Луговая растительность распознается на снимках по ровному серому тону в понижениях, днищах балок и оврагов, по ручьям, в поймах рек.
4.3.2.5.5.1. Степная растительность характеризуется более светлым тоном на космоснимках, чем луговая, и приурочена к более сухим и возвышенным участкам местности.
4.3.2.5.6. Сельскохозяйственные угодья на космических снимках дешифрируют по правильной геометрической форме и различным оттенкам фототона.
Пашни изображаются на космоснимках ровным темным тоном. Поля в зависимости от посевов и времени съемки могут иметь тона от светло-серого до темного. Покрытые водой поля (посевы риса, хлопка) наиболее четко выделяются среди других по самому темному тону и резким очертаниям границ.
Сады, также как и поля, изображаются на снимках ровным тоном, иногда несколько более темным. В изображении садов не проявляется характерная прямолинейность рядов плодовых деревьев, в связи с чем возникает внешнее сходство изображения садов и полей на снимках. В этом случае используются материалы картографической изученности территории и аэрофотоснимки прошлых лет.
Болота распознаются на космоснимках по различным оттенкам фототона, зависящим от увлажненности, характера покрывающей их растительности (трав, мхов, кустарников) и имеют неправильные, часто округлые очертания.
Травяные болота в основном располагаются в поймах рек и изображаются серыми или темными тонами.
Лесные болота на космоснимках распознаются по более светлым, чем окружающий их лес, участкам. Они могут быть приурочены к низинам и пологим склонам водоразделов.
Грядово-мочажинные болота распознаются на снимке по характерному для них рисунку, образуемому темными извилистыми и почти параллельными друг другу полосками мочажин; полигональные болота уверенно дешифрируются по сетчатому рисунку, который создается границами многочисленных полигонов.
4.3.2.5.7. Солончаки и такыры на космоснимках изображаются светлыми пятнами различной формы и величины. В зависимости от времени года тон их поверхности может несколько изменяться.
Для крупных солончаков характерны округлая форма и разнотональные, в основном светлые, обрамления, как бы параллельные контуру светлого пятна солончака. Небольшие по площади солончаки и такыры на снимках выделяются по светлому мелкопятнистому рисунку. Разделение на снимках солончаков и такыров по внешним признакам бывает затруднительно, поэтому при их распознавании необходимо учитывать приуроченность солончаков к значительным понижениям рельефа.
4.3.2.5.8. Пески изображаются на космоснимках светлыми и светло-серыми тонами, но более темными, чем солончаки и такыры. В свою очередь, небольшие участки бугристых, грядовых и барханных песков выглядят светлее на ровном фоне закрепленных растительностью песчано-глинистых поверхностей и ровных песков.
Бугристые пески распознаются по серому неровному тону различных оттенков, определяемому бугристым рельефом и вкраплениями травяной или кустарниковой растительности.
Песчаные гряды изображаются светлыми и светло-серыми чередующимися полосами освещенных и затененных склонов.
Изображение бархана на космоснимке имеет характерную серповидную форму, подчеркиваемую его тенью.
4.3.2.5.9. Полигональные поверхности распознаются на снимках по характерному рисунку сетей полигонов; на снимках районов с развитыми мерзлотными процессами на темном фоне плоских вершин, у подножия гор, на моренах полигоны могут распознаваться по светлым тонким линиям - заснеженным границам каменных многоугольников.
4.3.2.5.10. При дешифрировании древесной, кустарниковой и травяной растительности следует широко использовать материалы цветных синтезированных спектрозональных и разносезонных съемок. В отличие от черно-белых космоснимков на цветных и спектрозональных по зеленому цвету (или какому-нибудь другому условному) хорошо распознается общее покрытие местности растительным покровом, более темным зеленым цветом изображаются сплошные леса; чуть светлее - редколесные участки и самым светлым цветом - кустарниковая и травяная растительность. На цветных синтезированных и спектрозональных снимках горных районов можно распознавать границы распространения растительного покрова и отличать задернованные участки склонов от скалистых или от участков с осыпями и каменистыми россыпями.
Для дешифрирования сплошных лесов, редколесий, гарей, просек следует использовать разносезонные космоснимки, например, зимние, поскольку в отличие от летних на них вместо серого фона травяного и другого низкорослого растительного покрова изобразился светлый фон снега, хорошо контрастирующего с изображением лесов.
При невозможности распознавания по космоснимкам характера растительности следует использовать аэроснимки прошлых лет, карты, материалы лесоустроительных организаций (планы лесонасаждений, схемы-карты лесхозов и др.), планы землепользования колхозов и совхозов, материалы дешифрирования аэроснимков, литературно-справочные материалы.
Дешифрирование растительного покрова и грунтов следует выполнять стереоскопически с увеличением изображения.
4.4. Способы переноса изображения с космоснимка
на картографическую основу
В процессе обновления карты по космоснимкам применяются следующие способы переноса изображения элементов местности со снимка на картографическую основу:
- непосредственное копирование;
- оптические;
- стереофотограмметрический;
- механический;
- графический.
4.4.1. Непосредственное копирование
Непосредственное копирование изображения с космоснимка на карту применяют при обновлении карт на прозрачных основах и при переносе изображения рельефа с обновляемой карты на фотоплан. При обновлении карты на прозрачной основе трансформированный снимок или фотоплан помещают под основу и совмещают с ней.
Для удобства совмещения изображений карты и снимка к последнему подклеивают лист бумаги таким образом, чтобы ее край выходил за край основы. Выступающий край подклеенного листа бумаги позволяет вращать и перемещать снимок под прозрачной основой с целью совмещения одноименных точек изображений снимка и карты.
В процессе исправления карты отдешифрированные объекты копируют с космоснимка на прозрачную основу (на просвет).
При обновлении карты с использованием прозрачной основы имеется возможность стереоскопического просматривания пары трансформированных снимков. Для этого необходимо поверх прозрачной основы поместить второй космоснимок, составляющий стереопару с подложенным под основу снимком, ориентировать его относительно первого, рассматривая под стереоскопом и восстанавливая таким образом стереомодель местности. При этом возникают не только условия лучшей дешифрируемости, но и возможность (при необходимости) исправлять рисовку горизонталей на обновляемой карте. Способ позволяет также использовать для переноса изображения отдешифрированных элементов содержания карты любые приборы, предназначенные для дешифрирования снимков, в том числе и интерпретоскоп. В этом случае космоснимок, помещаемый поверх основы (для образования стереомодели), может быть и не трансформированным.
4.4.2. Оптическое проектирование
4.4.2.1. Оптические способы переноса изображения отличаются многообразием использования различных проектирующих приборов. К ним относятся топографические (УТП-2) и картографические (ПКВ) проекторы, фототрансформаторы, оптические пантографы, рисовальные приборы. Большинство оптических проектирующих приборов при переносе изображения позволяет преобразовать его в плановое. При этом строгое трансформирование изображения обеспечивается в большинстве оптических приборов лишь при проектировании полного кадра. Часть снимка, помещенную в центре поля зрения оптической системы проектирующего прибора, трансформировать, строго говоря, нельзя, если система не позволяет выполнять дополнительное к перспективному независимое пропорциональное растяжение или сжатие изображения по любому направлению.
Топографические и картографические проекторы, а также фототрансформаторы, при переносе изображения могут быть использованы только в затемненном помещении, поэтому они, как правило, не позволяют одновременно выполнять дешифрирование и перенос объектов с космоснимка на основу. Дешифрирование снимков и закрепление изображения на них тушью в этом случае должны предшествовать переносу.
4.4.2.2. Перенос изображения со снимка на основу с помощью оптических приборов слагается из операций совмещения изображения и его перерисовки на основу. Совмещение изображения космоснимка и основы выполняется так же, как и при трансформировании снимка. При этом используют не только заранее определенные трансформационные точки, но и всю совокупность одноименных контуров и четко выраженных на космоснимке элементов и форм рельефа. После совмещения изображений снимка и карты все изменения и дополнения, отдешифрированные и закрепленные на нем, переносят карандашом на основу. При этом не следует стремиться к детальности выполнения этого процесса. Достаточно обеспечить перенос до той густоты расположения объектов на основе, которая позволит с требуемой точностью осуществить глазомерную перерисовку изображения. Вычерчивание переносимых объектов на основе карандашом должно выполняться упрощенными условными знаками.
4.4.2.3. При значительных увеличениях изображения преобразование полного кадра космоснимка в плановое становится невозможным. В этих случаях нередко работают не со снимками непосредственно, а с изготовленными с них фрагментами (частями), полученными в масштабе обновляемой карты и даже в 1,5 - 2 раза крупнее этого масштаба. Чтобы перенести отдешифрированное изображение с части снимка, его помещают в центре поля зрения оптической системы проектирующего прибора и получают спроектированное изображение пропорционально растянутым (сжатым) по одному направлению по отношению к изображению основы, или пропорционально растянутым (сжатым) по одному направлению и перекошенным (сдвинутым) вправо или влево - по другому. В последнем случае две крайние точки, например "а" и "в", изображения и основы (рис. 1 - не приводится) надо совместить точно, а остальные должны "отходить" от линии совмещенных точек по линиям, параллельным между собой. Если измерить величину несовмещения дельта наиболее удаленной от линии ав точки "с" и поделить эту величину на 0,8, то получим число полос
<*>, на которое надо разбить данный участок, чтобы перерисовать его по полосам 1, 2,..., n с требуемой точностью. Перерисовку начинают с первой полосы; перенеся содержание первой полосы, сдвигают основу на 0,8 мм относительно изображения и перерисовывают содержание второй полосы, затем - содержание последующих полос, сдвигая каждый раз основу на 0,8 мм; кроме этого, основу следует еще смещать параллельно линии ав так, чтобы в каждой полосе перерисовки изображения линии df и dl пересекались между собой. Для обеспечения выполнения этого условия линию dl проводят на прозрачной основе параллельно линиям смещения точек. Край прозрачной основы предварительно крепят к столу так, чтобы основа с точками смещалась под ней.
--------------------------------
<*> Ширина полосы 0,8 мм.
4.4.2.3.1. При необходимости проектирования изображения космоснимка на основу по зонам рассчитывают величину смещения

центра проектирования прибора:
- для фототрансформатора или топографического проектора с автоматически регулируемой резкостью изображения - по
формуле (3), см.
раздел 4.2.3;
- для приборов с автоматически нерегулируемой резкостью изображения (проекторы мультиплекса и т.п.) - по формуле (5):

(5)
где:
Z - отстояние центра проектирования от основы в первой зоне в мм;
Q - ступень зоны в м;
Hi - высота фотографирования над первой зоной в м.
Большинство рисовальных приборов и оптических пантографов основано на использовании принципа совмещения изображений посредством светоразделительных призм с полусеребряной диагональной гранью, этот принцип позволяет выполнять дешифрирование снимков с одновременным переносом изображения, работая в незатемненном помещении. Предпочтительно использовать приборы с бинокулярным наблюдением изображения, с плавным регулированием освещенности снимка и карты раздельно и "мигалкой".
4.4.2.3.2. При необходимости проектирования изображения космоснимка с использованием рисовальных приборов по зонам надо нанести на снимок (его часть) или фрагмент концы стандартного отрезка, а на основу помещать клиновое изображение этого отрезка (рис. 2 - не приводится).
На горизонтальной прямой в этом случае восстанавливают два перпендикуляра, а первый - а', по длине равный изображению стандартного отрезка в первой зоне, и второй - в', по длине равный изображению стандартного отрезка в n-ой (последней) зоне.

(6)
здесь:
а - длина стандартного отрезка на снимке (фрагменте);

- коэффициент увеличения для первой зоны;

- коэффициент увеличения для последней зоны.
При зональном уменьшении изображения снимка по отношению к карте имеем следующие соотношения:

(7)
где

Переход от предыдущей зоны к последующей по клиновому масштабу осуществляют от "а'" к "в'" (рис. 2).
При зональном изменении изображения карты по отношению к космоснимку и от нижней зоны к верхней (изображение увеличивается) переход от предыдущей зоны к последующей по клиновому масштабу должен осуществляться по направлению от "в'" к "а'".
4.4.2.3.3. При проектировании частей (фрагментов) космоснимков по зонам необходимо иметь в виду еще следующее:
1. Если в первой зоне потребовалось разбить изображение на полосы в соответствии с рис. 1, то проектирование изображения по зонам должно выполняться в пределах каждой полосы или в пределах каждой зоны по полосам.
2. При переходе от предыдущей зоны к последующей необходимо не только менять масштаб изображения космоснимка или основы, но и производить зональные сдвиги этой основы относительно изображения или наоборот, изображения относительно основы на величины, равные

Величины

вводят от центра участка к точке надира на снимке или в противоположную сторону от ее изображения на основе. Значение

в этом случае должно рассчитываться по формуле:

(8)
где:
rn - расстояние от центра участка до точки надира в мм;
Q - ступень зоны в м;
H1 - высота фотографирования над первой зоной в м.
4.4.3. Стереофотограмметрический способ переноса изображения
Стереофотограмметрический способ переноса изображения используется в тех случаях, когда смещения точек на космоснимке из-за влияния рельефа (с учетом коэффициента увеличения) выходят за пределы точности обновляемой карты, а трансформирование по зонам или ортофототрансформирование - невозможно или нецелесообразно. Этот способ предполагает использование большинства известных стереофотограмметрических приборов отечественного и зарубежного производства. Он включает в себя следующие основные операции:
- взаимное ориентирование космоснимков (воспроизведение стереоскопической модели);
- внешнее ориентирование модели по опорным точкам;
- дешифрирование снимков и (одновременно) перенос изображения со стереоскопической модели местности на основу;
- закрепление изображения на основе.
4.4.3.1. Взаимное ориентирование космоснимков и внешнее ориентирование модели осуществляется в соответствии с "Руководством по работе..." на приборе, с помощью которого выполняется эта работа.
4.4.3.2. Выявление изменений и их дешифрирование могут быть выполнены заранее по космоснимкам или непосредственно в процессе работы на приборе. Вновь появившиеся контуры обводят измерительной маркой по стереомодели, а чертежное устройство вычерчивает плановое положение объекта на основе. Исчезнувшие элементы содержания карты удаляют с основы.
4.4.4. Механический способ переноса изображения
Механический способ переноса изображения рычажным пантографом применяется в тех случаях, когда требуется выполнять только масштабные преобразования изображения космоснимка и нет приборов оптического проектирования.
4.4.4.1. В зависимости от коэффициента увеличения при переносе изображения рычажный пантограф устанавливают полюсом на краю или полюсом на середину. Установочные данные рассчитывают по формулам:
при установке пантографа полюсом на краю:

(9)
при установке пантографа полюсом на середину:

(9')
где:
r - устанавливаемый на всех трех рычагах отсчет по шкалам;
L - длина отрезка на карте;
l - длина отрезка на снимке;
R - длина рычага между шарнирами.
При пантографировании по зонам зональные изменения отсчета по шкалам вычисляются по формулам:
при установке полюса на середину:

(10)
при установке полюса на краю:

(10')
здесь:
Q - ступень зоны;
K - коэффициент увеличения;
fсн - фокусное расстояние космоснимка;
tк - знаменатель масштаба карты.
После изменения отсчетов по шкалам пантографа снимок и карту необходимо сместить на соответствующую величину в сторону полюса. При этом в любой зоне проекция главной точки или точки надира со снимка должна проектироваться на карту в одну и ту же точку. Проекции остальных точек должны попадать на лучи, проведенные от опорных точек к проекции точки надира (главной точки).
4.4.5. Графические способы переноса изображения
Графические способы переноса изображения применяют в тех случаях, когда число переносимых объектов с космоснимка на карту невелико или когда отсутствуют необходимые для этой цели специальные приборы. При этом смещения точек за рельеф на снимке не должны выходить за пределы точности карты в плановом отношении.
Графический перенос изображения со снимка на оригинал обновляемой карты может осуществляться следующими способами:
- циркулем-измерителем непосредственно или с использованием клинового масштаба;
- пропорциональным циркулем;
- прямой и обратной засечкой;
- проективной засечкой;
- построением проективных сеток и перерисовкой содержания в пределах идентичных клеток этих сеток.
Эти способы в настоящее время применяются редко, изложение их можно найти в учебных пособиях (по топографии, картографии), в РТМ по вопросам обновления карт.
4.5. Оформление обновленного оригинала карты
4.5.1. Оформление внутреннего содержания обновленного оригинала (изображение элементов содержания карты и размещение подписей) должно отвечать требованиям
"Руководства" [3] и "Условных знаков"
[6] и обеспечивать получение с него высококачественных копий для гравирования (вычерчивания) издательского оригинала. Кроме того, обновленный оригинал карты должен быть оформлен так, чтобы при подготовке карты к изданию не требовалось привлечения исходных картографических материалов.
4.5.1.1. Во всех случаях штриховые условные знаки на исправленном оригинале должны быть четкими и хорошо воспроизводиться при фотографировании; фоновые закраски, наоборот, должны быть слабыми, нефотогеничными.
4.5.1.2. Объекты и контуры, отдешифрированные на космоснимках неуверенно, на обновляемом оригинале тушью не вычерчиваются до проверки их в поле. Вычерчивание изменений непосредственно на издательском оригинале карты не должно ухудшать его качества.
4.5.1.3. Все дополнения к действующим условным знакам и принятые для фоновой закраски цвета показывают на полях оригинала карты.
4.5.1.4. Изменившиеся объекты, расположенные вдоль стороны рамки в полосе шириной 5 мм, а также изменившиеся прямолинейные контуры (дороги, линии связи и т.п.), пересекающие сторону рамки, остаются вычерченными в карандаше до выполнения сводок.
4.5.2. Вычерчивание рамки листа карты и выполнение зарамочного оформления осуществляются в соответствии с требованиями "
Руководства..."
[3] и с образцом, приложенным к таблицам условных знаков.
4.6.1. На каждый лист обновляемой карты заполняется формуляр, в котором кратко излагаются следующие основные вопросы:
- исходные материалы, использованные для составления и обновления листа карты, их точностная характеристика;
- принятая технология обновления (рабочий проект обновления карты);
- особенности отображения основных элементов содержания карты;
- указания по полевому обследованию и его результаты (по точности карты и ее содержанию);
- данные о материалах, по которым выполнены сводки и даты выполнения сводок;
- необходимые сведения о точности и достоверности обновления карты.
Записи в формуляре делаются по окончании каждого вида работ, скрепляются подписями исполнителя работы и контролирующего лица (а в необходимых случаях - также подписями руководителя подразделения и редактора карты).
4.7. Контроль и приемка камеральных работ
по обновлению листа карты
4.7.1. Для выявления и исключения ошибок исправления карты самим исполнителем работы осуществляется самокорректура; она выполняется путем сличения исправленного оригинала с аэрофотоснимками, каталогами, картографическими и литературно-справочными материалами. Обнаруженные недочеты и ошибки исправляют сразу же.
4.7.2. Редакционный просмотр исправленного оригинала выполняется редактором. При просмотре проверяется правильность выполнения требований редакционных указаний, однообразие и степень генерализации элементов содержания карты, правильность определения административно-территориальной ее принадлежности, правильность классификации дорог, рек и других элементов содержания карты, достоверность количественных и качественных характеристик, транскрипции географических названий, зарамочного оформления, подписей направлений дорог, а также - согласованность подписей по рамкам смежных листов; проверяются записи в формуляре листа карты. После исправления обнаруженных недочетов руководитель подразделения (в необходимых случаях - редактор карты) вносит в формуляр свое заключение о качестве обновления данного листа карты.
4.7.3. Принятые руководством подразделения камеральные работы по обновлению оригинала листа карты передаются на приемку в ОТК. При этом в комплект материалов должны быть включены:
- исправленный и сведенный по сторонам рамки оригинал карты;
- макеты фоновых закрасок;
- заполненный формуляр листа карты;
- выкопировки (фотовыкопировки) сводок;
- выписка названий населенных пунктов, географических объектов и других элементов содержания карты.
Приемка работ ОТК осуществляется в соответствии с "
Инструкцией о порядке контроля и приемки топографо-геодезических и картографических работ". В случае обнаружения некачественного исполнения перечисленных материалов или какого-либо несоответствия их содержания требованиям руководящих технических документов, перечисленных в
разделе 1, все материалы возвращаются в подразделение на доработку и исправление.
5. ПОЛЕВОЕ ОБСЛЕДОВАНИЕ ОБНОВЛЯЕМОГО ОРИГИНАЛА КАРТЫ
Полевое обследование обновляемого оригинала карты масштаба 1:200000 выполняют в необходимых случаях (когда требуется инструментальная проверка точности листа карты или отдельных его частей, когда необходимо нанести на оригинал карты объекты и элементы местности, не изобразившиеся на фотоснимках, а также изменения, происшедшие на местности после выполнения фотосъемки, и в некоторых других случаях.
Это, а также некоторые другие работы выполняют в полевой период; попутно выполняют проверку результатов неуверенно выполненного камерального дешифрирования фотоснимков, сбор недостающих и проверку имеющихся географических названий, количественных и качественных характеристик объектов и элементов местности и, если это предусмотрено заданием, осуществляют проверку склонения магнитной стрелки; в необходимых случаях производится обследование пунктов государственной геодезической плановой сети и пунктов нивелирных сетей.
Объем работ по полевому обследованию обновляемого оригинала карты зависит, в основном, от полноты собранных в камеральных условиях сведений о местности; при правильном и полном использовании имеющихся картографических, фотосъемочных и литературно-справочных материалов объем полевых работ должен быть минимальным.
Непосредственно перед началом полевых работ по обследованию обновляемого листа карты на основании редакционных указаний составляют проект полевого обследования (рабочий проект).
5.1. Проект полевого обследования камерально обновленного
оригинала листа карты
В проекте полевого обследования приводятся:
- программа полевых работ, в которой должны быть даны основания для проведения полевых работ и их необходимость, решаемые задачи и ожидаемые результаты, указаны используемые технические средства и вопросы организации работ;
- сведения о неуверенно отдешифрированных объектах;
- сведения о маршрутах аэровизуального и наземного обследования местности;
- указания по методике исправления содержания карты и оформлению результатов исправления;
- смета расходов на выполнение полевых работ.
5.1.1. Составление проекта полевого обследования
На обновляемый лист карты накладывается восковка, на которую наносят предполагаемые маршруты полевого обследования (пешего, на автомашине, аэровизуального), объекты-ориентиры, пункты остановок или посадок (при обследовании на автомашине или вертолете); рядом с этими пунктами дают перечень данных, которые необходимо уточнить в поле. Маршруты проектируют так, чтобы они проходили по трудно дешифрируемым в камеральных условиях местам.
5.1.1.1. Маршруты наземного дешифрирования с использованием автотранспорта проектируют вдоль дорог, по периметрам населенных пунктов, по участкам местности, где необходимо уточнить различные характеристики объектов (дорог, мостов, других сооружений), элементов растительности, рельефа и др.
5.1.1.2. При отсутствии автомашин, наличии особых условий местности проектируют пешие маршруты обследования местности.
5.1.1.3. Маршруты аэровизуального обследования проектируют таким образом, чтобы опознавание отдельных объектов местности обеспечивалось с расстояния не более 1,5 км. На маршрутах отмечают входные ориентиры, от которых начинается аэровизуальное обследование, и выходные, на коих обследование заканчивается. Ориентиры по маршруту выбирают (намечают) через 5 - 6 км, с таким расчетом, чтобы пилот, пролетая над одним ориентиром, мог видеть следующий; ориентиры нумеруют; указывают направление полетов.
5.1.1.4. На тиражном оттиске обновляемого листа карты отмечают лишь маршруты обследования и места остановок (посадок), отмечают и нумеруют ориентиры.
5.1.1.5. В объяснительной записке, прилагаемой к восковке, указывают трудности, возникшие в процессе камерального дешифрирования, перечисляют объекты, неуверенно дешифрирующиеся в камеральных условиях, и те данные, которые необходимо собрать или уточнить в процессе полевого обследования.
5.1.1.6. В комплект проекта полевого обследования камерально обновленного листа карты включаются:
- восковка с замечаниями и пометками мест, требующих полевого обследования;
- объяснительная записка к восковке;
- тиражный оттиск листа обновляемой карты;
- комплект космоснимков на район обновления;
- смета расходов на выполнение полевых работ.
5.2. Способы полевого обследования обновляемой
топографической карты
В зависимости от физико-географических особенностей района и степени его изученности, в соответствии с требованиями технического проекта и редакционных указаний, полевое обследование выполняют либо аэровизуально, либо прокладывая наземные маршруты. Иногда обследование выполняют, сочетая оба способа, дополняя один другим. Особенности выполнения полевого обследования местности каждым способом конкретизируют в рабочем проекте (см.
подраздел 5.1).
5.2.1. Аэровизуальное обследование местности включает в себя следующие этапы:
- тренировочно-рекогносцировочные полеты
<*>;
- обследование местности в полете;
- обследование местности при посадке.
--------------------------------
<*> Вопрос о необходимости выполнения таких полетов решается в каждом конкретном случае при составлении проекта полевого обследования.
5.2.1.1. В ходе тренировочно-рекогносцировочных полетов уточняют проект аэровизуального обследования, трассы маршрутов, ориентиры, места посадок, высоту и скорость полета, отрабатывают взаимодействие исполнителей с экипажем вертолета (самолета), проводят ознакомление с районом работ и подготовку наблюдателей к выполнению задания.
5.2.1.2. Полеты выполняют по маршрутам, намеченным при составлении проекта обследования и уточненным в результате исполнения тренировочно-рекогносцировочных полетов. В том случае, когда местность бедна ориентирами или карта, используемая при полетах, имеет большие изменения, используют полетную основу. В качестве такой основы могут служить: черно-белая фотокопия камерально исправленного по фотоснимкам оригинала карты, фотосхема, фотоплан (фотокопия д.б. изготовлена на матовой бумаге, наклеенной на жесткую основу).
5.2.1.3. Дешифрирование выполняют путем непрерывного сличения фотографического изображения с местностью. Результаты дешифрирования фиксируют на космоснимках (фотопланах, фотосхемах) условными значками (обычно - разреженными), пояснительными подписями ("лес", "луг", "кусты" и т.п.). Одновременно с этим в рабочей тетради ведут записи характерных особенностей местности. Часто для записи результатов визуального наблюдения местности с воздуха используют магнитофоны.
5.2.1.4. Для более полного выявления и дешифрирования искусственных сооружений на дорогах маршруты полетов прокладывают на удалении 300 - 400 м от дороги, чтобы хорошо был виден ее профиль.
5.2.1.5. Обследование населенных пунктов производят путем облета их по периметру и вдоль основных проездов (на высоте, допустимо низкой по технике безопасности полетов) при минимальной скорости, а также во время посадок, необходимых для уточнения некоторых важных подробностей и характеристик объектов, подлежащих показу на карте.
5.2.1.6. Обследование местности в местах посадки вертолета (самолета) проводят с целью нанесения на космоснимок (фотоплан) объектов местности, которые не удалось нанести во время полета, а также тех объектов, что появились на местности после выполнения космосъемки. Кроме того, при посадках уточняют назначение объектов, отдешифрированных с воздуха, производят проверку географических названий (в соответствии с
Руководством [7]).
5.2.1.7. После каждого полета производят расшифровку записей, уточняют правильность нанесения в полете условных значков и подписей на космоснимок (фотосхему, фотоплан), производят полевое вычерчивание результатов дешифрирования. При этом руководствуются "Редакционными указаниями...", в которых обязательно оговаривается методика полевого вычерчивания и какие условные цвета применять для закраски изображения крупных по площади объектов местности.
5.2.2. Наземное полевое обследование местности производят на тех участках, где это было предусмотрено рабочим техническим проектом (на участках, где после выполнения космосъемки произошли значительные изменения местности), а также там, где в процессе аэровизуального обследования выявилась необходимость получения дополнительных количественных и качественных характеристик объектов местности. Такое обследование обычно проводят с использованием наземного транспорта и осуществляя небольшие пешие переходы.
5.3. Нанесение контуров и объектов,
не изобразившихся на космоснимках
При полевом обследовании контуры и объекты местности, не изобразившиеся на космоснимках, а также изменения, которые произошли на местности после выполнения космосъемки, должны быть обследованы и нанесены на снимки, а затем - на обновляемый оригинал. Чаще всего их наносят с помощью засечек (в основном - обратных) полярным способом, иногда - глазомерно; выбор способа зависит от количества изобразившихся на снимке четких контуров и характерных форм рельефа. Особое внимание необходимо обратить на изображение объектов ориентирного значения (характерных форм рельефа, изгибов контуров, хорошо видимых издали предметов и др.).
5.4. Проверка склонения магнитной стрелки
Это осуществляется лишь в необходимых случаях. Магнитное склонение определяют с помощью ориентир-буссоли или буссоли, теодолита в нескольких пунктах (3 - 5), расположенных равномерно на трапеции. Если при проверке выявляется, что среднее значение склонения отличается от подписанного на карте (с учетом поправок за годовое изменение) не более чем на 30', то на обновляемом оригинале подписывают значение склонения, взятое с карты и исправленное поправками за годовое изменение. В противном случае склонение определяют в 10 - 15 пунктах и выводят среднее его значение с точностью до 15'. Это значение подписывают на оригинале обновляемой карты и записывают в соответствующем разделе формуляра.
5.5. Проверка сводок по сторонам рамок трапеций
Если в процессе камерального исправления оригинала карты выявлены сомнительные места по стороне рамки трапеции, то при обследовании проверяют достоверность съемки на этих участках. При выполнении окончательной сводки исправления на обновляемой карте делают в том случае, если расхождения в положении четко выраженных на местности контуров (дорог, рек, береговой линии и т.п.) не превышают 1 мм, прочих контуров и структурных линий горного рельефа - 2 мм и основных горизонталей - одной трети заложения между горизонталями основной высоты сечения рельефа (для горных районов - целого заложения между смежными горизонталями). Если же при сводке обнаружены большие расхождения и при полевой проверке установлено, что они обусловлены ошибками созданной карты, несоответствием ее местности, то сводку не производят. На полях обновленного оригинала и в формуляре делают соответствующую запись. Сторону (или стороны) рамки, в данном случае, рассматривают как свободную (свободные). В случаях, когда не сводится лишь часть элементов содержания карты, производят частичную сводку, о чем также делают запись на полях оригинала и в формуляре.
6. ОКОНЧАТЕЛЬНОЕ ОФОРМЛЕНИЕ ОБНОВЛЕННОГО ОРИГИНАЛА
ЛИСТА КАРТЫ И ФОРМУЛЯРА
6.1. Обновленный и проверенный в поле оригинал листа карты оформляется в полном соответствии с требованиями
Руководства [3].
6.2. Формуляр обновленного листа карты заполняют по мере выполнения отдельных видов работ. Все записи делают черной тушью или черными чернилами, подчистки не допускаются.
Списки как новых, так и утраченных названий населенных пунктов и других географических объектов составляют по форме, предусмотренной формуляром, и заверяют в местных органах власти. Одновременно уточняют название листа (географическое название в заголовке при номенклатуре).
6.3. Материалы, подлежащие сдаче, должны быть согласованы между собой и аккуратно оформлены.
7. ОКОНЧАТЕЛЬНАЯ ПРИЕМКА ОБНОВЛЕННОГО ОРИГИНАЛА
В соответствии с
Инструкцией [9] в процессе камерального обновления и полевого обследования осуществляется систематический контроль за соблюдением принятой технологии, установленных допусков при выполнении производственных операций, правильностью оформления технических документов, за состоянием приборов и инструментов, используемых при выполнении работ. Контроль осуществляется непосредственным руководителем работ, редактором карты, инспектором ОТК.
По завершении полевого обследования листа карты (последнего этапа в цикле обновления) осуществляется окончательная приемка обновленного оригинала листа карты. Порядок приемки также указан в
Инструкции [9]. На окончательную приемку представляют:
- обновленный оригинал листа карты;
- формуляр;
- космоснимки, использованные для обновления оригинала;
- журнал выполнения полевых инструментальных работ (если таковые выполнялись);
- заверенный список установленных (новых и утраченных) названий объектов содержания листа карты;
- справка о местности (при необходимости).
Заключение о качестве обновленного оригинала и его приемке записывается в формуляр и удостоверяется подписью должностного лица, принявшего эту работу.
СПИСОК ИСПОЛЬЗОВАННОЙ ЛИТЕРАТУРЫ
А. Основные руководящие документы
1. Основные
положения по созданию и обновлению топографических карт масштабов 1:10000, 1:25000, 1:50000, 1:100000, 1:200000, 1:500000, 1:1000000. Изд. РИО ВТС, 1984 г.
2. Основные
положения по содержанию топографических карт масштабов 1:25000, 1:50000, 1:100000, 1:200000, 1:500000, 1:1000000. Изд. РИО ВТС, 1977 г.
3.
Руководство по картографическим и картоиздательским работам, часть 2, составление и подготовка к изданию топографических карт масштабов 1:200000 и 1:500000. Изд. РИО ВТС, 1980 г.
4.
Руководство по обновлению топографических карт. М., "Недра", 1978 г.
5. Инструкция по фотограмметрическим работам при создании топографических карт и планов, М., "Недра", 1974 г.
6. Условные знаки для топографических карт масштабов 1:200000 и 1:500000. Изд. ВТУ ГШ, 1983 г.
7.
Руководство по сбору и установлению географических названий на топографических картах и планах, ГКИНП 13-42-82. Изд. "Наука", 1985 г.
8. Инструкции по транскрибированию географических названий (для различных регионов страны).
9.
Инструкция о порядке контроля и приемки топографо-геодезических и картографических работ, М., "Недра", 1979 г.
Б. РТМ по отдельным процессам (вопросам)
технологии создания (обновления) карт
10. РТМ по обновлению топографических карт масштабов 1:500000 и 1:1000000 с использованием космических фотоснимков (ГКИНП-08-150-82). М., 1982 г.
11. РТМ по дешифрированию космических фотоснимков при создании и обновлении топографических карт масштабов 1:200000, 1:500000 и 1:1000000. ГЦП.25301.00526, 1986 г.
12. Технологическая инструкция. Создание фотопланов по материалам мелкомасштабной фотосъемки. РТМ-ГЦП.25301.00520, 1988 г.
13. РТМ - Инструкция по двойному трансформированию космических фотоснимков. РТМ-ГЦП.25301.00512, 1987 г.
14. Технологическая инструкция по изготовлению полутоновых фотокопий фотопланов, фотокарт и фотосхем. ГЦП.25301.01012, 1990 г.
15. Технологическая инструкция. Определение по картам и систематизация координат точек планового обоснования для создания фотопланов (фотокарт) по материалам космической фотосъемки. ГЦП.25301.00522, 1989 г.
16. РТМ. Аналитическое сгущение сети плановых опорных точек по одиночным фотоснимкам. ГЦП.25301.00516, 1987 г.
В. Учебники, монографии, ГОСТы
17. Н.Я. Бобир, А.Н. Лобанов, Г.Д. Федорук "Фотограмметрия", учебник для ВУЗов. М., "Недра", 1974 г.
18. С.В. Агапов "Оптико-механическое трансформирование снимков". М., "Недра", 1992 г.
19. ГОСТ 21002-75 "Фототопография" (термины и определения), изд. стандартов, 1977 г.
20.
ГОСТ 21667-76 "Картография" (термины и определения), изд. стандартов, 1978 г.