Главная // Актуальные документы СПРАВКА
Источник публикации
Документ опубликован не был
Примечание к документу
Название документа
"МР 1.2.0016-10. 1.2. Гигиена, токсикология, санитария. Методика классифицирования нанотехнологий и продукции наноиндустрии по степени их потенциальной опасности. Методические рекомендации"
(утв. Главным государственным санитарным врачом РФ 27.12.2010)
"МР 1.2.0016-10. 1.2. Гигиена, токсикология, санитария. Методика классифицирования нанотехнологий и продукции наноиндустрии по степени их потенциальной опасности. Методические рекомендации"
(утв. Главным государственным санитарным врачом РФ 27.12.2010)
Руководитель
Федеральной службы по надзору
в сфере защиты прав потребителей
и благополучия человека,
Главный государственный санитарный
врач Российской Федерации
Г.Г.ОНИЩЕНКО
27 декабря 2010 г.
Дата введения: с момента утверждения
1.2. ГИГИЕНА, ТОКСИКОЛОГИЯ, САНИТАРИЯ
МЕТОДИКА
КЛАССИФИЦИРОВАНИЯ НАНОТЕХНОЛОГИЙ И ПРОДУКЦИИ НАНОИНДУСТРИИ
ПО СТЕПЕНИ ИХ ПОТЕНЦИАЛЬНОЙ ОПАСНОСТИ
МЕТОДИЧЕСКИЕ РЕКОМЕНДАЦИИ
МР 1.2.0016-10
1. Разработаны Федеральной службой по надзору в сфере защиты прав потребителей и благополучия человека; НИИ Питания РАМН; Государственной корпорацией "Роснанотех"; Центром "Биоинженерия" РАН; Биологическим факультетом МГУ им. М.В. Ломоносова; Институтом биохимии им. А.Н. Баха РАН.
2. Утверждены Руководителем Федеральной службы по надзору в сфере защиты прав потребителей и благополучия человека, Главным государственным санитарным врачом Российской Федерации Г.Г. Онищенко и введены в действие с 27.12.2010.
3. Введены впервые.
1.1. В настоящих методических рекомендациях приведена методика проведения классифицирования нанотехнологий и продукции наноиндустрии по степени их потенциальной опасности для здоровья населения, в т.ч. для работников нанотехнологических производств, и для среды обитания.
1.2. Методические рекомендации предназначены для органов и организаций Федеральной службы по надзору в сфере защиты прав потребителей и благополучия человека, а также могут быть использованы специалистами Государственной корпорации "Роснанотех", научно-исследовательских и иных организаций, деятельность которых связана с проведением исследований и экспертиз в области оценки безопасности нанотехнологий и продукции наноиндустрии.
2.1. Федеральный
закон Российской Федерации от 30 марта 1999 г. N 52-ФЗ "О санитарно-эпидемиологическом благополучии населения".
2.2. Федеральный
закон Российской Федерации от 2 января 2000 г. N 29-ФЗ "О качестве и безопасности пищевых продуктов".
2.3. Федеральный
закон Российской Федерации от 27 декабря 2002 г. N 184-ФЗ "О техническом регулировании".
2.4. Федеральный
закон Российской Федерации от 10 января 2002 г. N 7-ФЗ "Об охране окружающей среды".
2.5. Федеральный
закон Российской Федерации от 24 июня 1998 г. N 89-ФЗ "Об отходах производства и потребления".
2.6. Федеральный
закон от 19 июля 2007 г. N 139-ФЗ "О Российской корпорации нанотехнологий".
2.7.
Постановление Правительства Российской Федерации от 21 декабря 2000 г. N 988 "О государственной регистрации новых пищевых продуктов, материалов и изделий".
2.8.
Приказ Федеральной службы по надзору в сфере защиты прав потребителей и благополучия человека от 19 июля 2007 г. N 224 "О санитарно-эпидемиологических экспертизах, обследованиях, исследованиях, испытаниях и токсикологических, гигиенических и иных видах оценок".
2.9.
Постановление Главного государственного санитарного врача Российской Федерации от 23 июля 2007 г. N 54 "О надзоре за продукцией, полученной с использованием нанотехнологий и содержащей наноматериалы".
2.10.
Постановление Главного государственного санитарного врача Российской Федерации от 31 октября 2007 г. N 79 "Об утверждении Концепции токсикологических исследований, методологии оценки риска, методов идентификации и количественного определения наноматериалов".
2.11.
ГН 2.2.5.1313-03 "Предельно допустимые концентрации (ПДК) вредных веществ в воздухе рабочей зоны".
2.12.
ГН 1.2.2633-10 "Гигиенические нормативы содержания приоритетных наноматериалов в объектах окружающей среды".
2.13.
МР 1.2.2639-10 "Использование методов количественного определения наноматериалов на предприятиях наноиндустрии".
2.14.
МУ 1.2.2636-10 "Проведение санитарно-эпидемиологической экспертизы продукции, полученной с использованием нанотехнологий и наноматериалов".
2.15.
МУ 1.2.2520-09 "Токсиколого-гигиеническая оценка безопасности наноматериалов".
2.16.
МУ 1.2.2634-10 "Микробиологическая и молекулярно-генетическая оценка воздействия наноматериалов на представителей микробиоценоза".
2.17.
МУ 1.2.2635-10 "Медико-биологическая оценка безопасности наноматериалов".
2.18.
МУ 1.2.2637-10 "Порядок и методы проведения контроля миграции наночастиц из упаковочных материалов".
2.19.
МУ 1.2.2638-10 "Оценка безопасности контактирующих с пищевыми продуктами упаковочных материалов, полученных с использованием нанотехнологий".
2.20.
МР 1.2.2522-09 "Выявление наноматериалов, представляющих потенциальную опасность для здоровья человека".
2.21.
МР 1.2.2640-10 "Методы отбора проб, выявления и определения содержания наночастиц и наноматериалов в составе сельскохозяйственной, пищевой продукции и упаковочных материалов".
2.22.
МР 1.2.2641-10 "Определение приоритетных видов наноматериалов в объектах окружающей среды, пищевых продуктах и живых организмах".
2.24.
ГОСТ Р 12.0.006-2002 "Системы управления охраной здоровья и безопасностью персонала. Требования".
2.25.
ГОСТ Р ИСО 14001-2007 "Системы экологического менеджмента. Требования и руководство по применению".
3.1. Классифицирование продукции наноиндустрии и технологий, применяемых при ее производстве (далее - нанотехнологий), по степени потенциальной опасности для здоровья населения и среды обитания, в т.ч. на стадии рассмотрения проектов нанотехнологических производств, осуществляется в целях:
- выявления продукции наноиндустрии, представляющей потенциальную опасность для жизни и здоровья человека, а также возможности причинения вреда здоровью человека при изготовлении, обороте, употреблении (использовании) и утилизации данной продукции;
- определения производств, применяющих в технологическом процессе потенциально опасные наноматериалы и способных вследствие этого нанести вред состоянию здоровья работников данных предприятий, населения, в т.ч. проживающего на прилегающих территориях, и окружающей среде;
- разработки комплекса мер, направленных на обеспечение безопасности продукции наноиндустрии для потребителя (в частности, замена более опасных наноразмерных компонентов менее опасными, нанесение предупредительных надписей на продукцию и ее упаковку при маркировке и этикетировании, меры по недопущению ненадлежащего использования и утилизации продукции наноиндустрии и др.);
- минимизации рисков, связанных с применением нанотехнологий и наноматериалов в производственных процессах путем разработки и внедрения комплекса мероприятий по обеспечению безопасных условий труда и предотвращения загрязнения окружающей среды.
| | ИС МЕГАНОРМ: примечание. Нумерация пунктов дана в соответствии с официальным текстом документа. | |
3.4. Результатом классифицирования продукции наноиндустрии по степени потенциальной опасности является отнесение ее к продукции с низкой, средней или высокой степенью потенциальной опасности для ее потребителя.
3.5. Для продукции наноиндустрии с низкой степенью потенциальной опасности не требуется проведения специальных оценок в области ее безопасности для потребителей, за исключением случаев, предусмотренных законодательством Российской Федерации для всей продукции данного типа.
| | ИС МЕГАНОРМ: примечание. В официальном тексте документа, видимо, допущена опечатка: имеются в виду МУ 1.2.2634-10, а не МР 1.2.2634-10. | |
3.6. Для продукции наноиндустрии со средней степенью потенциальной опасности рекомендуется проведение токсиколого-гигиенической оценки безопасности наночастиц и наноматериалов, содержащихся в продукции, в соответствии с установленными требованиями (
МУ 1.2.2520-09,
МР 1.2.2634-10, МР 1.2.2566-09,
МУ 1.2.2635-10). Для отдельных видов продукции, такой как упаковочные материалы, контактирующие с пищевой продукцией, дополнительно рекомендуется проведение санитарно-химических исследований миграции наночастиц в продукт (
МУ 1.2.2637-10 и
МУ 1.2.2638-10). На основании результатов проведенных оценок разрабатывается комплекс мер по снижению рисков, возникающих для потребителей продукции наноиндустрии, включая нанесение предупредительных надписей на продукцию или ее упаковку, информирование потребителя о новых свойствах продукции, порядке ее безопасного применения (использования) и мерах предосторожности при ее надлежащей утилизации.
| | ИС МЕГАНОРМ: примечание. В официальном тексте документа, видимо, допущена опечатка: имеются в виду МУ 1.2.2634-10, а не МР 1.2.2634-10. | |
3.7. Для продукции наноиндустрии с высокой степенью потенциальной опасности рекомендуется проведение токсиколого-гигиенической, медико-биологической и при необходимости санитарно-химической оценки на адекватных биологических тест-системах, включая выявление возможного наличия отдаленных неблагоприятных эффектов (мутагенность, репродуктивная токсичность, нейротоксичность, эмбриотоксичность, тератогенность, канцерогенность, аллергенность, иммунотоксичность, органотоксичность), с использованием утвержденных для этих целей методов, предусмотренных
МУ 1.2.2520-09,
МР 1.2.2634-10,
МР 1.2.2566-09,
МУ 1.2.2635-10,
МУ 1.2.2637-10 и
МУ 1.2.2638-10 и другими документами, утвержденными в установленном порядке. По результатам проведенной оценки разрабатывается комплекс мер по снижению рисков, возникающих для населения, включая возможное изменение технологии и рецептуры продукции, а также меры, указанные в
п. 3.6 настоящих методических рекомендаций.
3.8. Результатом классифицирования нанотехнологии по степени потенциальной опасности является отнесение ее к технологии с низкой, средней или высокой степенью потенциальной опасности для работников данных предприятий, населения и окружающей среды.
3.9. Для нанотехнологии с низкой степенью потенциальной опасности не требуется проведения специальных оценок в области безопасности в части эффектов, обусловленных воздействием веществ в форме наночастиц и наноматериалов. Нанотехнологические производства должны соответствовать требованиям законодательства Российской Федерации, установленным для производств аналогичной продукции, полученной по традиционным технологиям, не использующим наночастицы и наноматериалы.
3.10. Для нанотехнологии со средней степенью потенциальной опасности в дополнение к
п. 3.9 рекомендуется проведение общетоксикологической оценки безопасности наночастиц и наноматериалов, используемых в производственном процессе с использованием соответствующих методов, утвержденных в установленном порядке. По результатам проведенных тестов разрабатывается комплекс мер по снижению рисков, обусловленных воздействием наночастиц и наноматериалов, на производстве, включая установление критических контрольных точек производства, связанных с возможным поступлением наночастиц и нанообъектов в воздух производственных помещений, атмосферный воздух прилегающей к предприятию территории и промышленные сточные воды, использование индивидуальных и коллективных средств защиты, внедрение технологии очистки газообразных и жидких промышленных выбросов и стоков от наночастиц и нанообъектов, разработку правил надлежащей утилизации (захоронения) твердых отходов производства и др.
3.11. Для нанотехнологии с высокой степенью потенциальной опасности в дополнение к указанному в
п. п. 3.9 и
3.10 рекомендуется проведение развернутой токсиколого-гигиенической и медико-биологической оценки в соответствии с методическими документами, утвержденными в установленном порядке. По результатам проведенной оценки разрабатывается комплекс мер по снижению рисков для работников данных предприятий, населения и окружающей среды (проведение стадий производственного процесса, характеризуемых высоким риском, в изолированных камерах или аппаратах, применение систем вентиляции и очистки воздуха и др.), а также меры, указанные в
п. 3.10.
3.12. Классифицирование нанотехнологий и продукции наноиндустрии по степени потенциальной опасности проводится организациями независимо от их вида, организационно-правовых форм и форм собственности, в т.ч. научно-исследовательскими организациями, испытательными лабораториями и центрами, которые соответствуют требованиям, предъявляемым к организациям, проводящим санитарно-эпидемиологическую экспертизу продукции, полученной с использованием нанотехнологий и наноматериалов
(МУ 1.2.2636-10).
3.13. Классифицирование продукции наноиндустрии и нанотехнологии по степени потенциальной опасности осуществляется на основании:
3.13.1) документации, предоставленной производителем или поставщиком продукции наноиндустрии;
3.13.2) литературных источников, содержащих сведения о физико-химических и биологических свойствах наноматериалов и признаваемых достоверными в соответствии с
п. 3.17 настоящих методических рекомендаций;
3.13.3) собственных данных организации (лаборатории), полученных с использованием методов оценки безопасности наноматериалов, утвержденных в установленном порядке (включая данные о размере, форме частиц, химическом составе, кристаллической структуре, общетоксическом и раздражающем действии, аллергенности, канцерогенности, мутагенности, репродуктивной токсичности, эмбриотоксичности, тератогенности, иммунотоксичности, воздействии продукции наноиндустрии на окружающую среду и др.).
3.14. В документации, предоставляемой производителем (поставщиком) продукции наноиндустрии для целей классификации этой продукции и технологии ее производства по степени потенциальной опасности, должны содержаться сведения:
3.14.1) о содержании в составе продукции и использовании в технологии ее производства наноматериалов (нанообъектов, наночастиц);
3.14.2) о назначении продукции наноиндустрии, области ее использования, предполагаемых потребителях (пользователях) продукции;
3.14.3) о способах применения (использования) продукции по ее назначению;
3.14.4) о устойчивости продукции по показателю миграции из нее наночастиц и наноматериалов как в нормальных условиях эксплуатации, так и в экстремальных условиях (при воздействии высоких температур, пламени, горения, при механическом разрушении продукции, криодеструкции и воздействии других факторов, приводящих к разрушению продукции);
3.14.5) о перечне стадий технологического процесса, в которых возможно использование или образование наночастиц и нанообъектов;
3.14.6) о предусмотренных технологией производства мерах по обеспечению безопасности производства, охране окружающей среды и поддержанию надлежащего качества продукции в соответствии с установленными законодательством Российской Федерации требованиями, в т.ч. требованиями
ГОСТ Р ИСО 9001-2008 и
ГОСТ Р ИСО 14001-2007;
3.14.7) о других данных (при их наличии) о продукции и технологии, приведенных в
МУ 1.2.2636-10.
3.15. Организация, проводящая классифицирование, также может запрашивать у производителя (поставщика) продукции наноиндустрии дополнительные сведения, необходимые для проведения классифицирования, в случае если предоставленная информация не позволяет выработать обоснованное заключение о степени потенциальной опасности продукции и технологии.
3.16. Сведения представляются производителем (поставщиком) продукции наноиндустрии в организацию, проводящую классифицирование нанотехнологий и продукции наноиндустрии, на государственном (русском) языке. Материалы на иностранных языках должны сопровождаться переводом на русский язык, заверенным в установленном порядке.
3.17. Достоверными литературными источниками, которые могут быть использованы при проведении классифицирования нанотехнологий и продукции наноиндустрии по степени их потенциальной опасности, считаются:
3.17.1) статьи в рецензируемых научных журналах (отечественных и зарубежных), содержащие результаты научных экспериментальных работ, выполненных в соответствии с требованиями надлежащей лабораторной практики (GLP) с использованием современных, адекватных целям и задачам исследования методов, содержащие детализированное описание изучаемого наноматериала, применяемых экспериментальных моделей, лабораторных животных, реактивов и оборудования. В случае расхождения или несоответствия данных, содержащихся в разных источниках, приоритет отдается источнику с более поздней датой публикации;
3.17.2) публикации в трудах международных и национальных конгрессов, съездов, конференций и симпозиумов, специализирующихся на вопросах нанотоксикологии и безопасности наноматериалов, содержащие информацию о свойствах наноматериалов, оказывающих влияние на их потенциальную опасность для здоровья человека;
3.17.3) монографии, обзорно-аналитические статьи и мета-анализы научных данных, опубликованные в ведущих научных издательствах, рецензируемых научных журналах и на Интернет-сайтах, специализирующихся на вопросах нанотоксикологии и безопасности наноматериалов. Перечень Интернет-ресурсов, содержащих соответствующие сведения, приведен в
прилож. 1 к МР 1.2.2522-09;
3.17.4) патенты и патентные приложения Российской Федерации и других стран, содержащие сведения о физико-химических свойствах и биологических эффектах нанотехнологической продукции и способах ее получения;
3.17.5) нормативные и методические документы Российской Федерации и других стран, регламентирующие безопасное использование и методы контроля наноматериалов и продукции наноиндустрии.
3.18. В ходе классифицирования продукции наноиндустрии и нанотехнологии по степени их потенциальной опасности производится выявление наночастиц и наноматериалов, представляющих потенциальную опасность для здоровья человека, в соответствии с
МР 1.2.2522-09. При этом для каждого вида наночастиц и нанообъектов, содержащихся в продукции, определяется критерий потенциальной опасности наноматериала D и коэффициент неполноты U, позволяющий оценить достоверность приводимой оценки.
3.19. Для определения показателя B, характеризующего степень близости (контакта) продукции наноиндустрии к потребителю, организацией, производящей классифицирование, формируется группа экспертов численностью не менее 10 человек. Определение проводится анкетно-опросным ("дельфийским") методом. В состав группы экспертов включаются имеющие высшее образование специалисты в области нанобезопасности, которые могут не являться штатными сотрудниками организации, проводящей классифицирование. Сотрудники организации, проводящей классифицирование, не участвуют в проведении экспертных опросов о величине критерия близости продукции наноиндустрии к человеку. Методика определения критерия близости продукции наноиндустрии к человеку на основании данных экспертного опроса приведена в
прилож. 3 к настоящим методическим рекомендациям.
3.20. Данные и первичная документация по проводимому классифицированию нанотехнологии и продукции наноиндустрии по степени их потенциальной опасности должны иметь идентификационный номер, позволяющий однозначно прослеживать наименование заявки, использованные источники, список сотрудников организации, принимавших участие в работе.
Первичные данные, полученные в ходе работы, должны быть зарегистрированы с обязательным указанием даты регистрации и подписаны сотрудниками, проводящими классифицирование. Не допускается уничтожение указанных первичных данных, их подмена или перезапись. Данные на электронных носителях обязательно дублируются в бумажном варианте.
Исправления первичных данных оформляются в виде дополнений, которые подписываются и датируются ответственными исполнителями с указанием причин ошибок и утверждаются руководителем организации.
После проведения исследования копии материалов, передаваемых заказчику работ, направляются в архив. Условия архива должны обеспечивать безопасное и конфиденциальное хранение всех материалов исследования в течение не менее трех лет с момента сдачи материалов заказчику.
3.21. По окончании классифицирования нанотехнологии и продукции наноиндустрии по степени их потенциальной опасности оформляется заключение по его результатам, в котором должны быть представлены:
- название заявки на русском языке, его идентификационный номер;
- сведения о производителе (поставщике) продукции;
- описание продукции, содержащее параметры, используемые при определении потенциальной опасности продукции для потребителя;
- описание нанотехнологии, содержащее параметры, используемые при определении потенциальной опасности технологии для работников предприятия, здоровья населения и среды обитания;
- результаты определения критерия потенциальной опасности наночастиц и наноматериалов, содержащихся в продукции или используемых в технологии;
- результаты расчета критериев, характеризующих безопасность продукции и технологии и результаты сравнения полученных значений с классификационными таблицами (
табл. 4,
5,
п. п. 4.1.8,
4.2.6 настоящих методических рекомендаций);
- выводы и рекомендации по результатам проведенной работы.
Заключение подписывается экспертом и утверждается руководителем организации, проводившей классифицирование, или его заместителем. Форма заключения приведена в
прилож. 1 к настоящим методическим рекомендациям.
3.22. Организация, проводящая классифицирование, информирует заказчика работы о ее результатах письмом на бланке организации за подписью руководителя. В письме приводится:
- наименование заявки;
- сведения о производителе (поставщике) продукции;
- сведения об использованных при классифицировании документах производителя (поставщика) продукции и нормативно-методических документах;
- краткие сведения о нанотехнологических составляющих продукции и технологии;
- выводы;
- предложения и рекомендации.
Приложением к письму является заключение по результатам проведенной работы, оформленное в соответствии с
прилож. 1 к настоящим методическим рекомендациям.
3.23. Сотрудники, принимающие участие в классифицировании продукции наноиндустрии и нанотехнологии, обязаны соблюдать конфиденциальность в отношении любых данных в рамках принятых ею обязательств и в соответствии с законодательством Российской Федерации.
При использовании в случае необходимости при проведении исследования закрытых источников информации порядок их использования и хранения регламентируется в соответствии с законодательством Российской Федерации.
3.24. Качество работы по классифицированию нанотехнологий и продукции наноиндустрии обеспечивается осуществляемой со стороны руководителя организации систематической проверкой документации и соответствия процедур сбора, обработки и представления данных требованиям законодательства Российской Федерации и настоящих методических рекомендаций.
3.25. Контроль за качеством проведения работ включает в себя оформление перечня заявок с указанием для каждого исследования эксперта (ответственного исполнителя), названия заявки, идентификационного номера, списка источников, применяемых при анализе заявки, даты начала работ и их состояния на текущий момент времени; составление отчета о проведенных проверках и рекомендации по устранению недостатков.
3.26. Для осуществления контроля качества руководитель организации назначает лиц, ответственных за мониторинг работ, из числа сотрудников, не участвующих в работах.
IV. Проведение классифицирования нанотехнологий и продукции
наноиндустрии по степени их потенциальной опасности
4.1. Алгоритм определения уровня потенциальной опасности
продукции для потребителя
4.1.1. На основании экспертизы данных, представленных производителем продукции наноиндустрии в соответствии с
п. 3.14 настоящих методических рекомендаций, определяется наличие наноматериалов (нанообъектов, наночастиц) в составе продукции. Учитывается наличие любых нанообъектов независимо от их химической природы и формы. Соответственно этому устанавливается значение ограничительного критерия K1:
K1 = 0, если наноматериалы в продукции отсутствуют;
K1 = 1, если наноматериалы в продукции присутствуют.
4.1.2. На основании экспертизы данных, представленных производителем (поставщиком) продукции наноиндустрии в соответствии с
п. 3.14 настоящих методических рекомендаций, определяется, является ли наноматериал, представленный в составе продукции, ансамблем индивидуальных (не связанных или слабо связанных между собой) нанообъектов.
K2 = 0, если наноматериал не является системой не связанных или слабо связанных между собой и со структурными элементами продукции нанообъектов.
K2 = 1, если наноматериал является системой не связанных или слабо связанных между собой и со структурными элементами продукции нанообъектов.
Примечание: степень связанности нанообъектов (включая наночастицы) в составе наноматериалов определяется на основании данных, представленных производителем (поставщиком) продукции согласно
п. 3.14 настоящих методических рекомендаций, сведений, содержащихся в источниках информации согласно
п. 3.17 настоящих методических рекомендаций, и собственных данных организации, производящей классифицирование согласно
п. 3.15 настоящих методических рекомендаций в соответствии со следующим критерием:
┌─────────────────────────────────────────────────────────────────────────┐
│ Если энергия связи отдельных нанообъектов (включая наночастицы),│
│входящих в состав продукции, между собой и со структурными элементами│
│продукции существенно меньше энергии, необходимой для полного уничтожения│
│наноразмерной структуры этих объектов (путем сублимации, испарения,│
│спекания, расплавления, химической трансформации и другого) с│
│образованием нативных веществ, то нанообъекты считаются слабо связанными│
│между собой и со структурными элементами продукции. │
└─────────────────────────────────────────────────────────────────────────┘
4.1.3. На основании экспертизы данных, представленных производителем (поставщиком) продукции наноиндустрии в соответствии с
пунктом 3.14 настоящих методических рекомендаций, определяется возможность экспонирования потребителя продукции содержащимися в ней нанообъектами, в т.ч. наночастицами (при их наличии) в нормальных (соответствующих назначению продукции) условиях эксплуатации. Соответственно этому устанавливается значение ограничительного критерия K3.
K3 = 0, если экспонирование потребителя нанообъектами, в т.ч. наночастицами, при нормальных условиях эксплуатации продукции невозможно.
K3 = 1, если экспонирование потребителя нанообъектами, в т.ч. наночастицами, при нормальных условиях эксплуатации продукции возможно.
Примечание: при установлении значения ограничительного критерия K3 следует принимать во внимание:
а) характер нормальных условий эксплуатации в соответствии с назначением продукции;
б) структурные особенности продукции (материала, изделия), в частности, наличие корпусов и оболочек, изолирующих наноматериал от внешней среды.
4.1.4. На основании данных, представленных производителем (поставщиком) продукции согласно
п. 3.14 настоящих методических рекомендаций, определяется возможность экспонирования потребителя содержащимися в ней нанообъектами, в т.ч. наночастицами, или их производными в условиях воздействия на продукцию факторов внешней среды (термодеструкция, горение, плавление, криодеструкция, фотодеструкция, ветровая эрозия и т.д.).
Соответственно этому устанавливается значение ограничительного критерия K4:
K4 = 0, если экспонирование потребителя нанообъектами (в т.ч. наночастицами) при воздействии на продукцию факторов внешней среды невозможно.
K4 = 1, если экспонирование потребителя нанообъектами (в т.ч. наночастицами) при воздействии на продукцию факторов внешней среды возможно.
Примечание: при установлении значения ограничительного критерия K4 следует принимать во внимание:
а) устойчивость продукции к воздействию факторов внешней среды (воспламеняемость, горючесть, растворимость или диспергируемость в воде, подверженность криодеструкции, фотодеструкции, ветровой эрозии и т.д.);
б) наличие в составе продукции наноматериалов, способных (или неспособных) приводить к образованию под воздействием факторов внешней среды золя (аэрозоля) наночастиц.
4.1.5. Установление критерия, характеризующего степень близости продукции к человеку (B).
Критерий B изменяется в пределах от 0,000 до 10,000 и показывает степень близости продукции в целом (а не только ее наноразмерного компонента) к человеку. Например, продукция, представляющая собой фармацевтический препарат для парентерального введения в организм человека, характеризуется B

10,000, а продукция, представляющая собой технические устройства, автономно функционирующие в безлюдной зоне (например, оборудование для буровых или глубоководных работ, космическая техника), характеризуется B

0,000. Оценку величины B рекомендуется проводить путем опроса группы компетентных экспертов (не менее 10 человек), требования к которой изложены в
п. 3.19 настоящих методических рекомендаций. Метод математической обработки данных опроса, вывода результирующего значения B и оценки согласованности мнения экспертов приведен в
прилож. 3 к настоящим методическим рекомендациям.
При невозможности проведения экспертного опроса значение критерия B аппроксимируется интервалом на основе данных о назначении, предоставленных производителем (поставщиком) продукции наноиндустрии. Значения интервалов приведены в табл. 1.
Интервалы критерия B, определяющего степень
близости продукции наноиндустрии к человеку в зависимости
от ее функционального назначения
Степень близости продукции к человеку в соответствии с функциональным назначением | Примеры продукции | Интервал значений B |
минимум | максимум |
1 | 2 | 3 | 4 |
Продукция не контактирует с потребителем | Продукция, изделия и оборудование для нефте- и газодобычи, химических производств, подводных работ, машиностроения, научных исследований, авиакосмическая техника, комплектующие машин и оборудования, не подлежащих демонтажу пользователем | 0,000 | 3,300 |
Продукция опосредованно контактирует с потребителем через объекты внешней среды (воздух, воду, пищу) | Агропрепараты, средства управления погодой, средства очистки воды, абразивы, катализаторы, оборудование для фармацевтических и пищевых производств | 3,301 | 6,700 |
Продукция прямо контактирует и/или воздействует на потребителя | Текстиль, упаковочные материалы, пищевые продукты, пищевые добавки, БАД к пище, средства гигиены и бытовой химии, добавки к ГСМ, парфюмерно-косметическая продукция, лекарства и вакцины | 6,701 | 10,000 |
4.1.6. Установление критерия потенциальной опасности наноматериала, содержащегося в продукции (D), производится на основании данных, отобранных для проведения классифицирования источников в соответствии с
МР 1.2.2522-09 "Выявление наноматериалов, представляющих потенциальную опасность для здоровья человека". Оценку результата определения D проводят в соответствии с табл. 2.
Данные для оценки результата определения критерия D
Значение D | Результат |
0,441 - 1,110 | Низкая степень потенциальной опасности наноматериала |
1,111 - 1,779 | Средняя степень потенциальной опасности наноматериала |
1,780 - 2,449 | Высокая степень потенциальной опасности наноматериала |
Достоверность определения D зависит от полноты характеризации физических, физико-химических, биологических и экологических свойств наноматериала на основании данных производителя (поставщика) продукции и проанализированных источников и определяется коэффициентом неполноты U, рассчитываемым согласно
МР 1.2.2522-09 "Выявление наноматериалов, представляющих потенциальную опасность для здоровья человека". Интерпретацию результатов расчета проводят в соответствии с табл. 3.
Данные для оценки достоверности определения потенциальной
опасности наноматериала
N п/п | Значение U | Характеристика |
1 | 0 - 0,25 | Оценка достоверна. Имеющихся данных достаточно для определения степени опасности наноматериала |
2 | 0,26 - 0,75 | Оценка сомнительна. Ряд важных параметров, характеризующих опасность наноматериала, в использованных источниках не исследован |
3 | 0,75 - 1,0 | Оценка недостоверна. Имеющихся данных крайне недостаточно для определения степени опасности наноматериала. Необходим дополнительный поиск источников или проведение экспериментальных исследований |
4.1.7. Расчет критерия потенциальной опасности продукции для потребителя (P) производится по формуле:

, где

= 2,449 - максимальное значение критерия опасности наноматериала в соответствии с
МР 1.2.2522-09;

- оператор дизъюнкции (или);

- оператор конъюнкции (и).
Правила вычислений с использованием логических операторов

и

приведены в
прилож. 4.
4.1.8. Классифицирование продукции наноиндустрии по уровню потенциальной опасности для потребителя проводится на основании рассчитанного в
п. 4.1.7 настоящих методических рекомендаций критерия P в соответствии с табл. 4.
Определение уровня потенциальной опасности продукции
наноиндустрии для потребителя
Значение P | Результат классифицирования |
0 - 4,530 | Низкий уровень потенциальной опасности продукции для потребителя |
4,531 - 7,260 | Средний уровень потенциальной опасности продукции для потребителя |
7,261 - 10,000 | Высокий уровень потенциальной опасности продукции для потребителя |
4.2. Алгоритм определения уровня потенциальной
опасности нанотехнологии для работников предприятия,
здоровья населения и окружающей среды
4.2.1. На основании экспертизы данных, представленных производителем (поставщиком) продукции
(п. 3.14), определяется наличие нанообъектов (в т.ч. наночастиц, нановолокон, нанопроволок, нанотрубок, нанопластин, нанопленок) в нанотехнологии (технологическом процессе производства продукции наноиндустрии). Нанообъекты могут выступать в роли исходного сырья, промежуточной продукции (полупродуктов, полуфабрикатов), компонентов (комплектующих) применяемого оборудования, вспомогательных материалов (адсорбентов, катализаторов и др.), готовой продукции.
Соответственно этому устанавливается значение ограничительного критерия K'1:
K'1 = 0, если нанообъекты в нанотехнологии отсутствуют;
K'1 = 1, если нанообъекты в нанотехнологии присутствуют.
4.2.2. На основании данных, представленных производителем продукции
(п. 3.14), определяется возможность образования наноразмерных аэрозолей веществ (в форме наночастиц, нановолокон, нанопроволок, нанотрубок, нанопластин) в ходе нанотехнологического процесса.
Соответственно этому устанавливается значение ограничительного критерия K'2:
K'2 = 0, если образование наноразмерных аэрозолей в процессе производства исключено;
K'2 = 1, если образование наноразмерных аэрозолей в процессе производства происходит или не исключено.
4.2.3. На основании экспертизы данных, представленных производителем продукции
(п. 3.14), оценивается концентрация в воздухе рабочей зоны нативного вещества, отвечающего наноматериалу, формирующему наноразмерный аэрозоль в воздухе производственного помещения. В соответствии с
ГН 2.2.5.1313-03 определяется среднесменная ПДК или (при ее отсутствии) максимально разовая ПДК для нативного вещества, соответствующего наноматериалу. Соответственно этому устанавливается значение ограничительного критерия K'3:
K'3 = 0, если концентрация нативного вещества в воздухе производственных помещений менее 0,1 · ПДК;
K'3 = 1, если концентрация нативного вещества в воздухе производственных помещений более 0,1 · ПДК.
Примечания.
1. Если в
ГН 2.2.5.1313-03 значение ПДК для нативного вещества не определено, то по определению K'3 = 0.
2. Для аэрозолей наночастиц диоксида титана и углеродных нанотрубок при установлении K'3 вместо граничного значения 0,1 · ПДК нативного вещества следует оперировать граничным критерием 1 · ПДК этих веществ в соответствии с
ГН 1.2.2633-10.
4.2.4. Установление критерия потенциальной опасности наноматериала, присутствующего в нанотехнологии (D), производится на основании данных, отобранных для проведения классифицирования источников в соответствии с
МР 1.2.2522-09 "Выявление наноматериалов, представляющих потенциальную опасность для здоровья человека". Оценку результата определения D и достоверности оценки (коэффициента неполноты U) проводят, как указано в
п. 4.1.5 настоящих методических рекомендаций.
4.2.5. Расчет критерия потенциальной опасности нанотехнологии для работников предприятия, здоровья населения и окружающей среды (T) производится по формуле:

, где

= 2,449 - максимальное значение критерия опасности наноматериала в соответствии с
МР 1.2.2522-09.
4.2.6. Классифицирование нанотехнологии по уровню потенциальной опасности для работников предприятия, здоровья населения и окружающей среды проводится на основании рассчитанного в
п. 4.2.5 критерия T в соответствии с табл. 5.
Таблица для определения уровня потенциальной
опасности нанотехнологии для работников предприятия,
здоровья населения и окружающей среды
Значение T | Результат классифицирования |
0 - 0,453 | Низкий уровень потенциальной опасности нанотехнологии для работников предприятия, здоровья населения и окружающей среды |
0,454 - 0,726 | Средний уровень потенциальной опасности нанотехнологии для работников предприятия, здоровья населения и окружающей среды |
0,727 - 1,0 | Высокий уровень потенциальной опасности нанотехнологии для работников предприятия, здоровья населения и окружающей среды |
4.3. Интерпретация результатов оценки степени
потенциальной опасности продукции наноиндустрии
и нанотехнологии для здоровья человека и окружающей среды.
Составление заключения и рекомендаций
С использованием результатов классифицирования согласно
п. п. 4.1 и
4.2 формируются рекомендации, представленные в табл. 6.
Данные для установления уровня потенциальной опасности
продукции наноиндустрии и нанотехнологий и рекомендации
по необходимости и объему требуемых дополнительных
экспертиз (оценок)
Уровни потенциальной опасности продукции и нанотехнологий | Выводы и рекомендации |
по значению P | по значению T |
1 | 2 | 3 |
Низкий уровень потенциальной опасности продукции для потребителя | Низкий уровень потенциальной опасности нанотехнологии для работников, здоровья населения и окружающей среды | Не требуется дополнительных оценок (экспертиз) безопасности продукции и технологий |
Низкий уровень потенциальной опасности продукции для потребителя | Средний или высокий уровень потенциальной опасности нанотехнологии для работников, здоровья населения и окружающей среды | Рекомендуется проведение общетоксикологических оценок наноматериалов, на основе которых должны быть определены критические точки нанотехнологии, представляющие потенциальную опасность для работников, здоровья населения и окружающей среды с целью их локализации и формирования мероприятий по снижению опасности на производстве |
Средний уровень потенциальной опасности продукции для потребителя | Низкий уровень потенциальной опасности нанотехнологии для работников, здоровья населения и окружающей среды | Рекомендуется проведение выборочных токсиколого- гигиенических оценок продукции и наноматериалов, содержащихся в продукции, на основании которой должны быть сформированы мероприятия по снижению рисков продукции для потребителя (в т.ч. информирование потребителей о новых свойствах и особых правилах обращения с продукцией (хранение, утилизация), маркировка нанопродукции) |
Средний уровень потенциальной опасности продук- ции для потреби- теля | Средний или высокий уровень потенциальной опасности нанотехнологии для работников, здоровья населения и окружающей среды | Рекомендуется проведение выборочных токсиколого- гигиенических оценок продукции и наноматериалов, содержащихся в продукции и присутствующих в нанотехнологии, на основании которой должны быть: - сформированы мероприятия по снижению рисков продукции для потребителя (в т.ч. информирование потребителей о новых свойствах и особых правилах обращения с продукцией (хранение, утилизация), маркировка нанопродукции); - определены критические контрольные точки нанотехнологии, представляющие потенциальную опасность для работников, здоровья населения и окружающей среды, с целью их локализации и формирования мероприятий по обеспечению безопасных условий труда на производстве |
Высокий уровень потенциальной опасности продукции для потребителя | Низкий уровень потенциальной опасности нанотехнологии для работников, здоровья населения и окружающей среды | Рекомендуется проведение полного комплекса токсиколого- гигиенических и специальных исследований продукции и наноматериалов, содержащихся в продукции. На основании результатов исследований должно быть принято решение о формировании мероприятий по снижению рисков, возникающих для потребителей продукции наноиндустрии |
Высокий уровень потенциальной опасности продукции для потребителя | Средний или высокий уровень потенциальной опасности нанотехнологии для работников, здоровья населения и окружающей среды | Рекомендуется проведение полного комплекса токсиколого- гигиенических и специальных исследований продукции и наноматериалов, содержащихся в продукции и присутствующих в нанотехнологии. На основании результатов исследований должно быть: - принято решение о формировании мероприятий по снижению рисков, возникающих для потребителей продукции наноиндустрии; - определены критические контрольные точки нанотехнологии, представляющие потенциальную опасность для работников, здоровья населения и окружающей среды, с целью их локализации и формирования мероприятий по обеспечению безопасных условий труда на производстве |
ПО РЕЗУЛЬТАТАМ КЛАССИФИЦИРОВАНИЯ НАНОТЕХНОЛОГИЙ И ПРОДУКЦИИ
НАНОИНДУСТРИИ ПО СТЕПЕНИ ПОТЕНЦИАЛЬНОЙ ОПАСНОСТИ
ДЛЯ ЗДОРОВЬЯ ЧЕЛОВЕКА И ОКРУЖАЮЩЕЙ СРЕДЫ
Заключение по результатам классифицирования
нанотехнологий и продукции наноиндустрии по степени
потенциальной опасности
Название заявки на классифицирование | Приводится полное наименование заявки по документам производителя (поставщика) продукции и информация, позволяющая идентифицировать заявку (ID) |
Производитель (поставщик) продукции наноиндустрии | Приводится полное наименование производителя (поставщика) продукции, юридический адрес |
Стадия рассмотрения | Указывается стадия рассмотрения |
1. Определение уровня потенциальной опасности
продукции для потребителя
┌──────────────────────┬──────────────────┬───────────────────────────────┐
│Наименование критерия │Значение критерия │ Обоснование значения критерия │
├──────────────────────┼──────────────────┼───────────────────────────────┤
│ 1 │ 2 │ 3 │
├──────────────────────┼──────────────────┼───────────────────────────────┤
│Наименование критерия │Значение критерия │ Обоснование значения критерия │
├──────────────────────┴──────────────────┴───────────────────────────────┤
│ Ограничительные критерии │
├──────────────────────┬──────────────────┬───────────────────────────────┤
│K1. Наличие │ значение │Приводится обоснованное │
│наноматериала │ (0 или 1) │заключение по материалам │
│(нанообъекта, │ │производителя (поставщика) │
│наночастиц) в │ │продукции, позволяющее │
│продукции. │ │установить значение критерия K1│
│K1 = 0, если продукция│ │ │
│не содержит │ │ │
│наноматериалы; │ │ │
│K1 = 1, если продукция│ │ │
│содержит наноматериалы│ │ │
├──────────────────────┼──────────────────┼───────────────────────────────┤
│K2. Является ли │ значение │Приводится обоснованное │
│наноматериал, │ (0 или 1) │заключение по материалам │
│представленный в │ │производителя (поставщика) │
│составе продукции, │ │продукции, позволяющее │
│ансамблем │ │установить значение критерия K2│
│индивидуальных (не │ │ │
│связанных или слабо │ │ │
│связанных между собой)│ │ │
│нанообъектов │ │ │
├──────────────────────┼──────────────────┼───────────────────────────────┤
│K3. Возможность │ значение │Приводится обоснованное │
│экспонирования │ (0 или 1) │заключение по материалам │
│потребителя продукции │ │производителя (поставщика) │
│содержащимися в ней │ │продукции, позволяющее │
│нанообъектами, в т.ч. │ │установить значение критерия K3│
│наночастицами (при их │ │ │
│наличии), в нормальных│ │ │
│(соответствующих │ │ │
│назначению продукции) │ │ │
│условиях эксплуатации.│ │ │
│K3 = 0, если │ │ │
│невозможна миграция │ │ │
│нанообъектов, │ │ │
│содержащихся в │ │ │
│продукции, при │ │ │
│нормальных условиях │ │ │
│эксплуатации; │ │ │
│K3 = 1, если │ │ │
│нанообъекты, │ │ │
│содержащиеся в │ │ │
│продукции, могут │ │ │
│мигрировать и │ │ │
│экспонировать │ │ │
│потребителя при │ │ │
│нормальных условиях │ │ │
│эксплуатации │ │ │
├──────────────────────┼──────────────────┼───────────────────────────────┤
│K4. Возможность │ значение │Приводится обоснованное │
│прямого экспонирования│ (0 или 1) │заключение по материалам │
│потребителя │ │производителя (поставщика) │
│содержащимися в │ │продукции, позволяющее │
│продукции │ │установить значение критерия K4│
│нанообъектами, в т.ч. │ │ │
│наночастицами (при их │ │ │
│наличии), под │ │ │
│воздействием факторов │ │ │
│окружающей среды. │ │ │
│K4 = 0, если продукция│ │ │
│устойчива по │ │ │
│показателю миграции из│ │ │
│нее нанообъектов под │ │ │
│воздействием факторов │ │ │
│окружающей среды │ │ │
│(термодеструкция, │ │ │
│горение, плавление, │ │ │
│криодеструкция) │ │ │
│или невозможно │ │ │
│экспонирование │ │ │
│нанообъектами │ │ │
│потребителя под │ │ │
│воздействием факторов │ │ │
│окружающей среды; │ │ │
│K4 = 1, если продукция│ │ │
│неустойчива по │ │ │
│показателю миграции из│ │ │
│нее нанообъектов под │ │ │
│воздействием факторов │ │ │
│окружающей среды │ │ │
│(термодеструкция, │ │ │
│горение, плавление, │ │ │
│криодеструкция) или │ │ │
│возможно │ │ │
│экспонирование │ │ │
│нанообъектами │ │ │
│потребителя под │ │ │
│воздействием факторов │ │ │
│окружающей среды │ │ │
├──────────────────────┴──────────────────┴───────────────────────────────┤
│ B - критерий, характеризующий степень близости продукции к человеку │
├──────────────────────┬──────────────────┬───────────────────────────────┤
│B принимает значения в│ значение │Приводится результат экспертной│
│интервале (0 - 3,300),│ (в пределах │оценки (включая данные о ее │
│если продукция не │ 0,000 - 10,000) │согласованности), а при │
│контактирует с │ или интервал │отсутствии таковой - │
│потребителем; │ │обоснованная мотивировка выбора│
│B принимает значения │ │интервала │
│в интервале (3,301 - │ │ │
│6,700), если продукция│ │ │
│опосредованно │ │ │
│контактирует с │ │ │
│потребителем через │ │ │
│объекты окружающей │ │ │
│среды; │ │ │
│B принимает значения в│ │ │
│интервале 6,701 - │ │ │
│10,000, если продукция│ │ │
│прямо контактирует │ │ │
│и/или воздействует на │ │ │
│потребителя │ │ │
├──────────────────────┴──────────────────┴───────────────────────────────┤
│D - критерий опасности наноматериала, содержащегося в продукции │
│(оценивается в соответствии с методическими рекомендациями
МР 1.2.2522-09│
│"Выявление наноматериалов, представляющих потенциальную опасность для │
│здоровья человека" │
├──────────────────────┬──────────────────┬───────────────────────────────┤
│Если D принимает │ наноматериал, │Вывод (степень потенциальной │
│значение в интервале │ D, U │опасности наноматериала, │
│0,441 - 1,110 - низкая│ │достоверность оценки) │
│степень потенциальной │ │ │
│опасности │ │ │
│наноматериала │ │ │
├──────────────────────┼──────────────────┼───────────────────────────────┤
│Если D принимает │ наноматериал, │Вывод (степень потенциальной │
│значение в интервале │ D, U │опасности наноматериала, │
│1,111 - 1,779 - │ │достоверность оценки) │
│средняя степень │ │ │
│потенциальной │ │ │
│опасности │ │ │
│наноматериала │ │ │
├──────────────────────┼──────────────────┼───────────────────────────────┤
│Если D принимает │ наноматериал, │Вывод (степень потенциальной │
│значение в │ D, U │опасности наноматериала, │
│интервале 1,780 - │ │достоверность оценки) │
│2,449 - высокая │ │ │
│степень потенциальной │ │ │
│опасности │ │ │
│наноматериала │ │ │
├──────────────────────┴──────────────────┴───────────────────────────────┤
│P - уровень потенциальной опасности продукции для потребителя │
│P = [K1 /\ K2 /\ (K3 \/ K4)]*B*N/N , где N = 2,449 │
│ max max │
│Для данного вида продукции: │
│P = приводится результат расчета │
├──────────────────────┬──────────────────┬───────────────────────────────┤
│Если P принимает │ Значение P │Оценка уровня потенциальной │
│значение в интервале 0│ │опасности продукции для │
│- 4,530 - низкий │ │потребителя │
│уровень потенциальной │ │ │
│опасности продукции │ │ │
│для потребителя │ │ │
├──────────────────────┼──────────────────┼───────────────────────────────┤
│Если P принимает │ Значение P │Оценка уровня потенциальной │
│значение в интервале │ │опасности продукции для │
│4,531 - 7,260 - │ │потребителя │
│средний уровень │ │ │
│потенциальной │ │ │
│опасности продукции │ │ │
│для потребителя │ │ │
├──────────────────────┼──────────────────┼───────────────────────────────┤
│Если P принимает │ Значение P │Оценка уровня потенциальной │
│значение в интервале │ │опасности продукции для │
│7,261 - 10,000 - │ │потребителя │
│высокий уровень │ │ │
│потенциальной │ │ │
│опасности продукции │ │ │
│для потребителя │ │ │
├──────────────────────┴──────────────────┴───────────────────────────────┤
│Выводы: продукция характеризуется (низким, средним или высоким - указать)│
│ уровнем потенциальной опасности для потребителя │
└─────────────────────────────────────────────────────────────────────────┘
2. Определение уровня потенциальной опасности
нанотехнологии для работников предприятия, здоровья
населения и окружающей среды
┌──────────────────────┬──────────────────┬───────────────────────────────┐
│Наименование критерия │Значение критерия │ Обоснование значения критерия │
├──────────────────────┼──────────────────┼───────────────────────────────┤
│ 1 │ 2 │ 3 │
├──────────────────────┴──────────────────┴───────────────────────────────┤
│ Ограничительные критерии │
├──────────────────────┬──────────────────┬───────────────────────────────┤
│K'1. Наличие │ значение │Приводится обоснованное │
│индивидуальных (не │ (0 или 1) │заключение по материалам │
│интегрированных в │ │производителя (поставщика) │
│целостные системы │ │продукции, позволяющее │
│макроскопического │ │установить значение критерия │
│размера) нанообъектов │ │K'1 │
│(наночастиц, │ │ │
│нановолокон, │ │ │
│нанопроволок, │ │ │
│нанотрубок, │ │ │
│нанопластин, │ │ │
│нанопленок) в │ │ │
│нанотехнологии │ │ │
│(технологическом │ │ │
│процессе), │ │ │
│предусмотренном │ │ │
│проектом. │ │ │
│K'1 = 0, если в │ │ │
│процессе производства │ │ │
│продукции невозможно │ │ │
│образование и/или │ │ │
│использование │ │ │
│указанных │ │ │
│нанообъектов; │ │ │
│K'1 = 1, если в │ │ │
│процессе производства │ │ │
│продукции возможно │ │ │
│образование и/или │ │ │
│использование │ │ │
│указанных нанообъектов│ │ │
├──────────────────────┼──────────────────┼───────────────────────────────┤
│K'2. Возможность │ значение │Приводится обоснованное │
│прямого экспонирования│ (0 или 1) │заключение по материалам │
│наноматериалами │ │производителя (поставщика) │
│работников или │ │продукции, позволяющее │
│образования аэрозолей │ │установить значение критерия │
│в ходе производства. │ │K'2 │
│K'2 = 0, если в │ │ │
│процессе производства │ │ │
│невозможно прямое │ │ │
│экспонирование │ │ │
│работников │ │ │
│наноматериалами и │ │ │
│образование аэрозолей;│ │ │
│K'2 = 1, если в │ │ │
│процессе производства │ │ │
│возможно прямое │ │ │
│экспонирование │ │ │
│работников │ │ │
│наноматериалами и │ │ │
│образование аэрозолей │ │ │
├──────────────────────┼──────────────────┼───────────────────────────────┤
│K'3. Концентрация │ значение │Приводится обоснованное │
│нативного вещества в │ (0 или 1) │заключение по материалам │
│воздухе рабочей зоны и│ │производителя (поставщика) │
│окружающей среде. │ │продукции, позволяющее │
│K'3 = 0, если │ │установить значение критерия │
│концентрация нативного│ │K'3 │
│вещества в воздухе │ │ │
│рабочей зоны и │ │ │
│окружающей среде ниже │ │ │
│соответствующих ПДК в │ │ │
│10 и более раз; │ │ │
│K'3 = 1, если │ │ │
│концентрация нативного│ │ │
│вещества в воздухе │ │ │
│рабочей зоны и │ │ │
│окружающей среде ниже │ │ │
│соответствующих ПДК │ │ │
│менее чем в 10 раз │ │ │
├──────────────────────┴──────────────────┴───────────────────────────────┤
│D - критерий опасности наноматериала, используемого или образующегося в │
│нанотехнологии (оценивается в соответствии с методическими рекомендациями│
│
МР 1.2.2522-09 "Выявление наноматериалов, представляющих потенциальную │
│опасность для здоровья человека" │
├──────────────────────┬──────────────────┬───────────────────────────────┤
│Если D принимает │ Наноматериал, │Вывод (степень потенциальной │
│значение в интервале │ D, U │опасности наноматериала, │
│0,441 - 1,110 - низкая│ │достоверность оценки) │
│степень потенциальной │ │ │
│опасности │ │ │
│наноматериала │ │ │
├──────────────────────┼──────────────────┼───────────────────────────────┤
│Если D принимает │ Наноматериал, │Вывод (степень потенциальной │
│значение в интервале │ D, U │опасности наноматериала, │
│1,111 - 1,779 - │ │достоверность оценки) │
│средняя степень │ │ │
│потенциальной │ │ │
│опасности │ │ │
│наноматериала │ │ │
├──────────────────────┼──────────────────┼───────────────────────────────┤
│Если D принимает │ Наноматериал, │Вывод (степень потенциальной │
│значение в интервале │ D, U │опасности наноматериала, │
│1,780 - 2,449 - │ │достоверность оценки) │
│высокая степень │ │ │
│потенциальной │ │ │
│опасности │ │ │
│наноматериала │ │ │
├──────────────────────┴──────────────────┴───────────────────────────────┤
│T - уровень потенциальной опасности нанотехнологии для работников │
│предприятия, здоровья населения и окружающей среды. │
│T = [K1 /\ K2 /\ K3]*N/N , где N = 2,449 │
│ max max │
│Для данного вида продукции: │
│T = приводятся результаты расчета │
├──────────────────────┬──────────────────┬───────────────────────────────┤
│Если T принимает │ Значение T │Уровень потенциальной опасности│
│значение в интервале │ │технологии для работников │
│0 - 0,453 - низкий │ │предприятия, здоровья населения│
│уровень потенциальной │ │и окружающей среды │
│опасности │ │ │
│нанотехнологии для │ │ │
│работников │ │ │
│предприятия, здоровья │ │ │
│населения и окружающей│ │ │
│среды │ │ │
├──────────────────────┼──────────────────┼───────────────────────────────┤
│Если T принимает │ Значение T │Уровень потенциальной опасности│
│значение в интервале │ │технологии для работников │
│0,453 - 0,726 - │ │предприятия, здоровья населения│
│средний уровень │ │и окружающей среды │
│потенциальной │ │ │
│опасности │ │ │
│нанотехнологии │ │ │
│для работников │ │ │
│предприятия, здоровья │ │ │
│населения и окружающей│ │ │
│среды │ │ │
├──────────────────────┼──────────────────┼───────────────────────────────┤
│Если T принимает │ Значение T │Уровень потенциальной опасности│
│значение в интервале │ │технологии для работников │
│0,726 - 1,0 - высокий │ │предприятия, здоровья населения│
│уровень потенциальной │ │и окружающей среды │
│опасности │ │ │
│нанотехнологии для │ │ │
│работников │ │ │
│предприятия, здоровья │ │ │
│населения и окружающей│ │ │
│среды │ │ │
├──────────────────────┴──────────────────┴───────────────────────────────┤
│Выводы: нанотехнология характеризуется (низким, средним или высоким - │
│указать) уровнем потенциальной опасности для работников предприятия, │
│здоровья населения и окружающей среды │
└─────────────────────────────────────────────────────────────────────────┘
3. Интерпретация результатов оценки
степени потенциальной опасности нанотехнологии и продукции
наноиндустрии для здоровья человека и окружающей среды.
Заключение и рекомендации
Уровни потенциальной опасности продукции и технологий | Анализ ситуации, рекомендации по целесообразности проведения и объему минимально необходимых исследований |
по значению P | по значению T |
Низкий, средний или высокий | Низкий, средний или высокий | Классифицирования уровня опасности в целом и вывод согласно п. 4.3 |
Мотивированное заключение эксперта по результатам классифицирования
нанотехнологии и продукции наноиндустрии по степени потенциальной
опасности.
Дата:
Эксперт (Ф.И.О.):
Подпись:
Виза руководителя учреждения:
ОБОЗНАЧЕНИЯ И СОКРАЩЕНИЯ
БАД Биологически активные добавки к пище
ГН Гигиенические нормативы
ГСМ Горюче-смазочные материалы
МР Методические рекомендации
МУ Методические указания
ПДК Предельно допустимая концентрация
B Критерий близости продукции наноиндустрии к человеку
GLP Надлежащая лабораторная практика
ISO Международная организация по стандартизации
K Ограничительный критерий
P Уровень потенциальной опасности продукции для потребителя
T Уровень потенциальной опасности технологии для работников
предприятия, здоровья населения и окружающей среды
КРИТЕРИЯ B БЛИЗОСТИ ПРОДУКЦИИ НАНОИНДУСТРИИ К ЧЕЛОВЕКУ
НА ОСНОВАНИИ ДАННЫХ ЭКСПЕРТНОЙ ОЦЕНКИ
1. Формируется группа экспертов численностью не менее 10 человек.
2. Эксперты должны иметь высшее образование и опыт работы в области нанотехнологий не менее 1 года.
3. Эксперты, проводящие оценку B, должны быть беспристрастными и не зависеть от каких-либо интересов, способных повлиять на результаты. При этом должно быть исключено воздействие на экспертов со стороны лиц или организаций, которые имеют непосредственную коммерческую заинтересованность в результатах проводимой оценки. Сотрудники, проводящие классифицирование, не участвуют в качестве экспертов, проводящих оценку B.
4. Пусть

,

, ...

- результаты субъективной оценки B N экспертами.
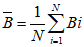
Исходя из предположения о нормальном законе распределения B, "истинное" значение B - "математическое ожидание" аппроксимируем выборочным средним:

.
Для установления согласованности мнения экспертов рассчитывают квадрат выборочной дисперсии:

,
и доверительный интервал:

, где
t - табличное значение t-критерия Стьюдента со степенью свободы N-1, отвечающее 95%-й вероятности. Для группы из 10 экспертов, в частности, t = 2,262157158.
Полученные мнения экспертов считаются хорошо согласованными, если

.
Согласованность мнений экспертов считается удовлетворительной, если:

.
При

> 0,1 · B мнения экспертов считаются несогласованными и рекомендуется повторить опрос с другой группой экспертов.
ВЫЧИСЛЕНИЙ С ИСПОЛЬЗОВАНИЕМ ЛОГИЧЕСКИХ ОПЕРАТОРОВ
КОНЪЮНКЦИИ И ДИЗЪЮНКЦИИ
1. Оператор конъюнкции

(и)
0

0 = 0
1

0 = 0
0

1 = 0
1

1 = 1
2. Оператор дизъюнкции

(или)
0

0 = 0
1

0 = 1
0

1 = 1
1

1 = 1