Главная // Актуальные документы СПРАВКА
Источник публикации
М.: ФГБУ "Институт стандартизации", 2023
Примечание к документу
Текст данного документа приведен с учетом поправок, опубликованных в "ИУС",
N 6, 2023;
N 7, 2023.
Документ
вводился в действие с 01.12.2024.
Приказом Росстандарта от 18.11.2024 N 1693-ст дата введения в действие перенесена на 01.09.2025.
Приказом Росстандарта от 28.08.2025 N 942-ст дата введения в действие перенесена на 01.04.2026.
Название документа
"ГОСТ 5985-2022. Межгосударственный стандарт. Нефтепродукты. Метод определения кислотности и кислотного числа"
(введен в действие Приказом Росстандарта от 30.06.2022 N 555-ст)
"ГОСТ 5985-2022. Межгосударственный стандарт. Нефтепродукты. Метод определения кислотности и кислотного числа"
(введен в действие Приказом Росстандарта от 30.06.2022 N 555-ст)
Введен в действие
по техническому регулированию
и метрологии
от 30 июня 2022 г. N 555-ст
МЕЖГОСУДАРСТВЕННЫЙ СТАНДАРТ
НЕФТЕПРОДУКТЫ
МЕТОД ОПРЕДЕЛЕНИЯ КИСЛОТНОСТИ И КИСЛОТНОГО ЧИСЛА
Petroleum products. Method for determination
of gross calorific value and net calorific value
ГОСТ 5985-2022
| | Приказом Росстандарта от 28.08.2025 N 942-ст дата введения в действие перенесена на 01.04.2026. | |
Дата введения
1 декабря 2024 года
Цели, основные принципы и общие правила проведения работ по межгосударственной стандартизации установлены
ГОСТ 1.0 "Межгосударственная система стандартизации. Основные положения" и
ГОСТ 1.2 "Межгосударственная система стандартизации. Стандарты межгосударственные, правила и рекомендации по межгосударственной стандартизации. Правила разработки, принятия, обновления и отмены"
1 РАЗРАБОТАН Акционерным обществом "Всероссийский научно-исследовательский институт по переработке нефти" (АО "ВНИИ НП")
2 ВНЕСЕН Межгосударственным техническим комитетом по стандартизации МТК 031 "Нефтяные топлива и смазочные материалы"
3 ПРИНЯТ Межгосударственным советом по стандартизации, метрологии и сертификации (протокол от 29 апреля 2022 г. N 150-П)
За принятие проголосовали:
Краткое наименование страны по МК (ИСО 3166) 004-97 | Код страны по МК (ИСО 3166) 004-97 | Сокращенное наименование национального органа по стандартизации |
Азербайджан | AZ | Азстандарт |
Беларусь | BY | Госстандарт Республики Беларусь |
Казахстан | KZ | Госстандарт Республики Казахстан |
Киргизия | KG | Кыргызстандарт |
Россия | RU | Росстандарт |
Таджикистан | TJ | Таджикстандарт |
Узбекистан | UZ | Узстандарт |
4
Приказом Федерального агентства по техническому регулированию и метрологии от 30 июня 2022 г. N 555-ст межгосударственный стандарт ГОСТ 5985-2022 введен в действие в качестве национального стандарта Российской Федерации с 1 января 2023 г.
6 ИЗДАНИЕ (март 2023 г.) с изменением даты введения
приказом от 22.11.2022 г. N 1351-ст
Информация о введении в действие (прекращении действия) настоящего стандарта и изменений к нему на территории указанных выше государств публикуется в указателях национальных стандартов, издаваемых в этих государствах, а также в сети Интернет на сайтах соответствующих национальных органов по стандартизации.
В случае пересмотра, изменения или отмены настоящего стандарта соответствующая информация будет опубликована на официальном интернет-сайте Межгосударственного совета по стандартизации, метрологии и сертификации в каталоге "Межгосударственные стандарты"
1.1 Настоящий стандарт распространяется на светлые нефтепродукты (автомобильные и авиационные бензины, лигроины, керосины, дизельное топливо, топливо для реактивных двигателей), турбинные, трансформаторные, трансмиссионные, гидравлические, специальные масла и углеводородные пластичные смазки и устанавливает методы определения кислотности и кислотного числа.
1.2 Настоящий стандарт не применим при анализе окрашенных, темных нефтепродуктов, а также в области значений кислотности менее 0,1200 мг KOH/100 см3 и кислотного числа менее 0,06 мг KOH/г.
1.3 Применение настоящего стандарта может предусматривать использование опасных материалов и аппаратных средств. В настоящем стандарте не рассматриваются все требуемые меры обеспечения безопасности, связанные с его применением. Перед использованием настоящего стандарта пользователь должен принять соответствующие меры по обеспечению безопасности, охране труда и окружающей среды и определить применимость нормативных ограничений.
В настоящем стандарте использованы нормативные ссылки на следующие межгосударственные стандарты:
ГОСТ 1770 (ИСО 1042-83, ИСО 4788-80) Посуда мерная лабораторная стеклянная. Цилиндры, мензурки, колбы, пробирки. Общие технические условия
ГОСТ 2517 Нефть и нефтепродукты. Методы отбора проб
ГОСТ 3118 Реактивы. Кислота соляная. Технические условия
ГОСТ 4919.1 Реактивы и особо чистые вещества. Методы приготовления растворов индикаторов
ГОСТ 5789 Реактивы. Толуол. Технические условия
ГОСТ 5955 Реактивы. Бензол. Технические условия
ГОСТ 6341 Реактивы. Кислота янтарная. Технические условия
ГОСТ 6709 Вода дистиллированная. Технические условия <*>
--------------------------------
ГОСТ 6755 Поглотитель химический известковый ХП-И. Технические условия
ГОСТ 9147 Посуда и оборудование лабораторные фарфоровые. Технические условия
ГОСТ 9410 Ксилол нефтяной. Технические условия
ГОСТ 9572 Бензол нефтяной. Технические условия
ГОСТ 9880 Толуол каменноугольный и сланцевый. Технические условия
ГОСТ 9949 Ксилол каменноугольный. Технические условия
ГОСТ 18300 Спирт этиловый ректификованный технический. Технические условия <*>
--------------------------------
<*> В Российской Федерации и Республике Беларусь действует
ГОСТ Р 55878-2013 "Спирт этиловый технический гидролизный ректификованный. Технические условия".
ГОСТ 24104 Весы лабораторные. Общие технические требования <**>
--------------------------------
<**> В Российской Федерации действует
ГОСТ Р 53228-2008 "Весы неавтоматического действия. Часть 1. Метрологические и технические требования".
ГОСТ 24363 Реактивы. Калия гидроокись. Технические условия
ГОСТ 25336 Посуда и оборудование лабораторные стеклянные. Типы, основные параметры и размеры
ГОСТ 25794.1 Реактивы. Методы приготовления титрованных растворов для кислотно-основного титрования
ГОСТ 29169 (ИСО 648-77) Посуда лабораторная стеклянная. Пипетки с одной отметкой
ГОСТ 29251 (ИСО 385-1-84) Посуда лабораторная стеклянная. Бюретки. Часть 1. Общие требования
ГОСТ 31873 Нефть и нефтепродукты. Методы ручного отбора проб
ГОСТ OIML R 76-1 Государственная система обеспечения единства измерений. Весы неавтоматического действия. Часть 1. Метрологические и технические требования. Испытания
Примечание - При пользовании настоящим стандартом целесообразно проверить действие ссылочных стандартов и классификаторов на официальном интернет-сайте Межгосударственного совета по стандартизации, метрологии и сертификации (www.easc.by) или по указателям национальных стандартов, издаваемым в государствах, указанных в
предисловии, или на официальных сайтах соответствующих национальных органов по стандартизации. Если на документ дана недатированная ссылка, то следует использовать документ, действующий на текущий момент, с учетом всех внесенных в него изменений. Если заменен ссылочный документ, на который дана датированная ссылка, то следует использовать указанную версию этого документа. Если после принятия настоящего стандарта в ссылочный документ, на который дана датированная ссылка, внесено изменение, затрагивающее положение, на которое дана ссылка, то это положение применяется без учета данного изменения. Если ссылочный документ отменен без замены, то положение, в котором дана ссылка на него, применяется в части, не затрагивающей эту ссылку.
В настоящем стандарте применены следующие термины с соответствующими определениями:
3.1 кислотность: Количество щелочи, выраженное в миллиграммах гидроокиси калия (KOH) на 100 см3 образца (мг KOH/100 см3), необходимое для титрования образца в определенном растворителе до конечной точки титрования.
3.2 кислотное число: Количество щелочи, в миллиграммах гидроокиси калия (KOH) на 1 г образца (мг KOH/г), необходимое для титрования образца в определенном растворителе до конечной точки титрования.
Сущность метода заключается в извлечении кипящим спиртом из испытуемого нефтепродукта кислых соединений, титровании их спиртовым раствором гидроокиси калия в присутствии цветного индикатора и определении для светлых нефтепродуктов кислотности, выраженной в мг KOH/100 см3, для масел и смазок - кислотного числа, выраженного в мг KOH/г.
5.1 Спирт этиловый ректификованный технический высшего сорта по
ГОСТ 18300.
5.2 Калия гидроокись, х.ч. или ч.д.а. по
ГОСТ 24363.
5.3 Кальций хлористый 2-водный <***> ч. или кальций хлористый <*4> ч.
--------------------------------
<***> В Российской Федерации - по ТУ 6-09-5077-87 "Реактивы. Кальций хлористый 2-водный, чистый".
<*4> В Российской Федерации - по ТУ 6-09-4711-81 "Реактивы. Кальций хлористый (обезвоженный), чистый".
5.4 Натронная известь (поглотитель ХП-И) по
ГОСТ 6755 или аскарит <*>, ч.
--------------------------------
<*> В Российской Федерации - по ТУ 6-09-4128-88 "Аскарит чистый".
5.5 Калий фталевокислый кислый (бифталат калия) <**>, ч.д.а.
--------------------------------
<**> В Российской Федерации - по ТУ 6-09-4433-77 "Калий фталевокислый кислый".
5.6 Кислота янтарная, х.ч. или ч.д.а. по
ГОСТ 6341.
5.10 Щелочной голубой 6Б <***>, ч.д.а.
--------------------------------
<***> В Российской Федерации - по ТУ 6-09-07-356-75 "Щелочной голубой 6Б, индикатор чистый для анализа".
5.11 Кислота соляная, х.ч., ч.д.а. или ч. по
ГОСТ 3118, раствор концентрации 0,1 моль/дм
3, приготовленный по
ГОСТ 25794.1.
Примечание - Допускается использовать стандартный раствор соляной кислоты, приготовленный из фиксанала.
5.12 Индикатор нитразиновый желтый <*4>, ч.д.а., 0,5%-ный водный раствор, приготовленный по
ГОСТ 4919.1.
--------------------------------
<*4> В Российской Федерации - по ТУ 6-09-4309-76 "Нитразиновый желтый, индикатор (1-Окси-2-/2,4-динитрофенил)-азо/-нафталин-3,6-дисульфокислоты динатриевая соль)".
5.13 Индикатор фенолфталеин <*5>, ч.д.а. 1%-ный спиртовой раствор, приготовленный по
ГОСТ 4919.1.
--------------------------------
<*5> В Российской Федерации - по ТУ 6-09-5360-88 "Фенолфталеин, индикатор чистый для анализа".
Примечание - Допускается применять реактивы и материалы с характеристиками не хуже указанных в настоящем стандарте.
6.1 Колбы Кн-1-100-29/32 ТС, Кн-2-100-34 ТХС, Кн-2-100-22 ТХС, Кн-1-250-29/32 ТС, Кн-2-250-34, КГУ-2-1-1000-29/32 ТС, КГУ-2-2-1000-34 ТХС по
ГОСТ 25336.
6.2 Дефлегматор елочный длиной не менее 400 мм по
ГОСТ 25336.
6.3 Холодильники ХТП-1-400-14/23, ХШ-1-400-29/32 ХС, ХШ-3-400 ТХС по
ГОСТ 25336 или холодильник воздушный, или трубки стеклянные длиной 700 - 750 мм с внутренним диаметром от 10 до 12 мм.
6.4 Цилиндры 1-50-1; 1-100-1; 3-50-1; 3-100-1, 1-1000-1, 1-2000-1 по
ГОСТ 1770.
6.5 Бюретки I-1-2-25-0,1; I-3-2-25-0,1; I-2-2-2-0,01; I-2-2-5-0,02; I-2-2-10-0,05 по
ГОСТ 29251.
6.7 Колбы 1-100-2, 2-100-2, 1-1000-2, 2-1000-2 по
ГОСТ 1770.
6.8 Стакан или чашка выпарительная по
ГОСТ 9147.
6.9 Электроплитка с закрытой спиралью любого типа.
6.10 Стаканчики для взвешивания (бюксы) по
ГОСТ 25336.
6.12 Секундомер <*6>.
--------------------------------
<*6> В Российской Федерации - по ТУ 25-1894.003-90 "Секундомеры механические. Технические условия".
6.13 Склянка (бутылка) из темного стекла или окрашенная в черный цвет.
6.16 Капельница лабораторная стеклянная по
ГОСТ 25336.
6.17 Шкаф сушильный или печь муфельная.
6.18 Весы аналитические с наибольшим пределом взвешивания до 200 г специального класса точности по
ГОСТ OIML R 76-1, обеспечивающие получение результатов взвешивания до 0,0001 г, или весы лабораторные по
ГОСТ 24104 с аналогичными характеристиками.
6.20 Мешалка магнитная с подогревом.
6.21 Допускается применять аппарат для автоматического титрования, обеспечивающий проведение испытаний, предусмотренных настоящим методом, и обладающий необходимыми эксплуатационными и техническими характеристиками.
Допускается применять аппаратуру, средства измерений, лабораторную посуду и лабораторное оборудование, в т.ч. зарубежного производства, с характеристиками и классом точности не хуже указанных в настоящем стандарте.
7.1 Отбор проб проводят по
ГОСТ 2517, или
ГОСТ 31873, или в соответствии с требованиями национальных стандартов и правилами отбора проб испытуемого продукта.
7.2 Для приготовления титрованных растворов применяют свежеперегнанный этиловый спирт. Перегонку спирта осуществляют в колбе вместимостью 1000 см3 с дефлегматором.
7.3 Приготовление 85%-ного раствора этилового спирта
Смешивают 89 см3 этилового спирта и 11 см3 дистиллированной воды.
7.4 Приготовление индикатора
Готовят щелочной голубой 6Б следующим образом: растворяют 0,8 г щелочного голубого 6Б в 1000 см3 этилового спирта с объемной долей 96%, затем добавляют 1500 см3 бензола, или толуола, или ксилола до полного растворения индикатора. После добавления бензола, или толуола, или ксилола смесь выдерживают в течение 12 ч, затем отфильтровывают прозрачный раствор.
7.5 Установления титра спиртового раствора гидроокиси калия
Для установления титра спиртового раствора гидроокиси калия применяют перекристаллизованный кислый фталево-кислый калий (бифталат калия), янтарную кислоту или стандартный раствор соляной кислоты 0,1 моль/дм3, приготовленный из фиксанала.
7.5.1 Растворяют 70 г бифталата калия в 200 см3 дистиллированной горячей воды. Перекристаллизовывают при температуре не ниже 25 °C, т.к. при более низкой температуре образуются кристаллы трифталата калия - более кислой соли. Сушат полученные кристаллы до постоянной массы при температуре (105 +/- 5) °C. Расхождение при взвешивании не должно превышать 0,001 г.
7.5.2 Растворяют 100 г янтарной кислоты при кипячении в 165 см3 дистиллированной воды, фильтруют раствор через воронку при нагревании. После охлаждения раствора отфильтровывают кристаллы на фильтровальной воронке и снова перекристаллизовывают. Сушат кристаллы при температуре (105 +/- 5) °C до постоянной массы. Расхождение при взвешивании не должно превышать 0,001 г.
7.5.3 Помещают перекристаллизованные бифталат калия и янтарную кислоту в бюксы и хранят в эксикаторе. Перед каждым установлением титра сушат бифталат калия и янтарную кислоту 1 ч при температуре (105 +/- 5) °C.
7.6 Приготовление 0,05 моль/дм3 спиртового раствора гидроокиси калия
7.6.1 Взвешивают 3 г кристаллической гидроокиси калия и регистрируют значение массы до 0,1 г, растворяют в 1000 см3 этилового спирта. Полученный раствор тщательно перемешивают и выдерживают не менее 24 ч в темном месте.
7.6.2 Отделяют отстоявшийся прозрачный раствор от осадка декантацией в склянку для бюретки или в бутылку с пробкой из темного стекла или окрашенную в черный цвет. Бюретка должна быть защищена трубкой с натронной известью или аскаритом.
7.6.3 Устанавливают титр спиртового раствора гидроокиси калия по бифталату калия. Допускается при отсутствии бифталата калия устанавливать титр по янтарной кислоте или по стандартному раствору соляной кислоты 0,1 моль/дм3.
7.6.4 Помещают в коническую колбу вместимостью 250 см3 от 0,05 до 0,07 г бифталата калия или янтарной кислоты, значением массы регистрируют до 0,0002 г, растворяют в 50 см3 свежеприготовленной дистиллированной воды, добавляют от 3 до 4 капель фенолфталеина и титруют 0,05 моль/дм3 спиртовым раствором гидроокиси калия при непрерывном перемешивании до появления розовой окраски. Окраска должна быть устойчивой без перемешивания в течение 30 с.
7.6.5 Вычисляют титр спиртового раствора гидроокиси калия T, мг/см3, по формуле

, (1)
где 56,11 - эквивалентная масса гидроокиси калия, г;
m - масса бифталата калия или янтарной кислоты, г;
Э - эквивалентная масса бифталата калия или янтарной кислоты, соответственно равная 204,23 и 59,04 г;
V1 - объем 0,05 моль/дм3 спиртового раствора гидроокиси калия, израсходованный на титрование массы бифталата калия или янтарной кислоты, см3.
7.6.5.1 При использовании стандартного раствора соляной кислоты 0,1 моль/дм3, приготовленного из фиксанала, вычисляют титр спиртового раствора гидроокиси калия T, мг/см3, по формуле

, (2)
где V - объем 0,1 моль/дм3 раствора соляной кислоты, см3;
0,0036465 - количество соляной кислоты, содержащейся в 1 см3 0,1 моль/дм3 раствора, г/см3;
56,104 - молекулярная масса гидроокиси калия, г;
36,465 - молекулярная масса соляной кислоты, г;
V1 - объем 0,05 моль/дм3 раствора гидроокиси калия, израсходованного на титрование, см3;
1000 - коэффициент для пересчета граммов в миллиграммы.
7.6.6 За результат определения титра принимают среднее арифметическое не менее трех определений, расхождение между которыми не превышает 0,03 мг/см3.
7.6.7 Проверяют титр раствора не реже одного раза в 2 недели.
7.7 Подготовка образца
7.7.1 Пробу нефтепродукта тщательно перемешивают встряхиванием в течение 5 мин в склянке, заполненной не более чем на 3/4 ее вместимости.
7.7.2 Допускается предварительно нагревать до 60 °C и выше вязкие и парафинистые нефтепродукты (нефтепродукты с содержанием парафина более 6%) для обеспечения достаточной текучести.
7.7.3 При испытании пластичных смазок с поверхности испытуемой смазки снимают и удаляют верхний слой. Затем в нескольких местах (не менее трех) отбирают пробы примерно в равных количествах на расстоянии не менее 5 мм от стенок сосуда, помещают в фарфоровую чашку и тщательно перемешивают.
8.1 Для испытания светлых нефтепродуктов при определении кислотности отбирают от 50 до 100 см
3 пробы. Выбирают массу пробы для определения кислотного числа в соответствии с
таблицей 1.
Таблица 1
Масса пробы для определения кислотного числа
Кислотное число, мг KOH/г | Масса пробы, г |
До 0,2 включ. | 20 +/- 2 |
Св. 0,2 до 0,5 включ. | 10 +/- 2 |
Св. 0,5 до 1,0 включ. | 5,0 +/- 0,5 |
Св. 1,0 | 2,0 +/- 0,5 |
8.1.1 При испытании пластичных смазок в коническую колбу вместимостью 250 см3 помещают от 5 до 8 г испытуемого продукта, взвешенного с точностью 0,01 г.
8.2 В другую коническую колбу наливают 50 см
3 раствора 85%-ного этилового спирта и кипятят с обратным холодильником, водяным или воздушным, в течение 5 мин. Добавляют в прокипяченный спирт от 8 до 10 капель (0,25 см
3) индикатора нитразинового желтого и нейтрализуют в горячем состоянии при непрерывном перемешивании 0,05 моль/дм
3 спиртовым раствором гидроокиси калия с установленным титром до первого изменения желтой окраски в зеленую.
8.3 Определение кислотности
8.3.1 Помещают в колбу с нейтрализованным горячим спиртом испытуемую пробу и кипятят в течение 5 мин с обратным холодильником при постоянном перемешивании.
8.3.2 Если содержимое колбы после кипячения все еще сохраняет зеленую окраску, прекращают испытание и считают, что кислотность испытуемой пробы отсутствует.
8.3.3 При изменении окраски смеси в горячем состоянии титруют 0,05 моль/дм3 спиртовым раствором гидроокиси калия с установленным титром при непрерывном интенсивном перемешивании до изменения желтой (или желтой с оттенками) окраски спиртового слоя или смеси в зеленую (или зеленую с оттенками). Окраска должна быть устойчивой без перемешивания в течение 30 с.
8.3.4 Титрование проводят в горячем состоянии быстро во избежание влияния углекислого газа, содержащегося в воздухе.
8.4 Определение кислотного числа
8.4.1 Помещают в коническую колбу пробу испытуемого продукта в количестве, указанном в
8.1. Добавляют при взбалтывании не менее 40 см
3 раствора щелочного голубого 6Б до полного растворения пробы. Затем титруют содержимое колбы при легком взбалтывании 0,05 моль/дм
3 спиртовым раствором гидроокиси калия до изменения голубой окраски на красную или голубого оттенка на красный.
8.4.2 Параллельно проводят контрольный опыт без испытуемой пробы, применяя то же количество раствора щелочного голубого 6Б.
8.4.3 При неполном растворении пробы кипятят содержимое колбы с обратным холодильником в течение 5 мин при постоянном перемешивании.
8.4.4 При испытании смазки продолжительность кипячения увеличивают на 5 мин после ее полного растворения.
8.4.5 Допускается определять кислотное число следующим образом: добавляют нейтрализованный горячий спирт, подготовленный по
8.2, в колбу с испытуемым продуктом. Кипятят содержимое колбы с обратным холодильником в течение 5 мин при постоянном перемешивании. Титруют смесь в горячем состоянии спиртовым раствором гидроокиси калия, как указано в
8.3.
8.4.6 При наличии в смеси зеленой (или зеленой с оттенками) окраски титрование раствором гидроокиси калия не проводят. В этом случае отсутствуют органические кислоты в испытуемом нефтепродукте.
8.4.7 При разногласиях в оценке качества нефтепродуктов определение кислотного числа проводят с применением индикатора щелочного голубого 6Б.
9.1 Вычисляют кислотность испытуемого нефтепродукта K, мг KOH/100 см3, по формуле

, (3)
где V2 - объем 0,05 моль/дм3 спиртового раствора гидроокиси калия, израсходованный на титрование, см3;
T - титр 0,05 моль/дм3 спиртового раствора гидроокиси калия, мг/см3;
100 - фактор пересчета на 100 см3;
V0 - объем испытуемой пробы, см3.
9.2 Вычисляют кислотное число испытуемой пробы K1, мг KOH/г, при использовании в качестве индикатора щелочного голубого по формуле

, (4)
где V3 - объем 0,05 моль/дм3 спиртового раствора гидроокиси калия, израсходованный на титрование, см3;
V4 - объем 0,05 моль/дм3 спиртового раствора гидроокиси калия, израсходованный на контрольный опыт, см3;
T - титр 0,05 моль/дм3 спиртового раствора гидроокиси калия, мг/см3;
m1 - масса пробы, г.
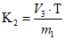
9.3 Вычисляют кислотное число испытуемой пробы K2, мг KOH/г, при использовании в качестве индикатора нитразинового желтого по формуле

, (5)
где V3 - объем 0,05 моль/дм3 спиртового раствора гидроокиси калия, израсходованный на титрование, см3;
T - титр 0,05 моль/дм3 спиртового раствора гидроокиси калия, мг/см3;
m1 - масса пробы, г.
За результат испытания принимают среднее арифметическое значение результатов двух параллельных определений. Результаты испытания округляют до второго десятичного знака.
11.1 Повторяемость (сходимость) r
Расхождение между результатами последовательных испытаний, полученными одним и тем же оператором на одной и той же аппаратуре при постоянных рабочих условиях на идентичном испытуемом продукте при нормальном и правильном выполнении метода испытаний, может превышать значения, приведенные в
таблицах 2 и
3, только в одном случае из 20.
Таблица 2
Прецизионность определения кислотности
Кислотность, мг KOH/100 см3 | Повторяемость (сходимость) r | Воспроизводимость R |
До 0,5 включ. | 0,08 | 0,20 |
Св. 0,5 до 1,0 включ. | 0,10 | 0,25 |
Св. 1,0 | 0,20 | - |
Таблица 3
Прецизионность определения кислотного числа
Кислотное число, мг KOH/г | Повторяемость (сходимость) r | Воспроизводимость R |
До 0,5 включ. | 0,06 | 0,10 |
Св. 0,5 до 1,0 включ. | 0,10 | 0,20 |
Св. 1,0 | 0,20 | 0,40 |
11.2 Воспроизводимость R
Расхождение между двумя единичными и независимыми результатами испытаний, полученными разными операторами в разных лабораториях на идентичном испытуемом продукте при нормальном и правильном выполнении метода испытания, может превышать значения, приведенные в
таблицах 2 и
3, только в одном случае из 20.
УДК 665.6:543.241.5:006.354 | |
Ключевые слова: нефтепродукты, метод определения кислотности и кислотного числа |