Главная // Актуальные документы СПРАВКА
Источник публикации
В данном виде документ опубликован не был.
Первоначальный текст документа опубликован в издании
Официальный интернет-портал правовой информации http://www.pravo.gov.ru, 20.01.2016.
Информацию о публикации документов, создающих данную редакцию, см. в справке к этим документам.
Примечание к документу
Начало действия редакции - 31.05.2017.
Окончание действия документа - 31.12.2020.
Изменения, внесенные
Приказом Ростехнадзора от 31.10.2016 N 450,
вступают в силу по истечении шести месяцев после официального опубликования (опубликован на Официальном интернет-портале правовой информации http://www.pravo.gov.ru - 30.11.2016).
Название документа
Приказ Ростехнадзора от 16.12.2015 N 517
(ред. от 31.10.2016)
"Об утверждении Федеральных норм и правил в области промышленной безопасности "Инструкция по предупреждению эндогенных пожаров и безопасному ведению горных работ на склонных к самовозгоранию пластах угля"
(Зарегистрировано в Минюсте России 18.01.2016 N 40602)
Приказ Ростехнадзора от 16.12.2015 N 517
(ред. от 31.10.2016)
"Об утверждении Федеральных норм и правил в области промышленной безопасности "Инструкция по предупреждению эндогенных пожаров и безопасному ведению горных работ на склонных к самовозгоранию пластах угля"
(Зарегистрировано в Минюсте России 18.01.2016 N 40602)
Зарегистрировано в Минюсте России 18 января 2016 г. N 40602
ФЕДЕРАЛЬНАЯ СЛУЖБА ПО ЭКОЛОГИЧЕСКОМУ, ТЕХНОЛОГИЧЕСКОМУ
И АТОМНОМУ НАДЗОРУ
ПРИКАЗ
от 16 декабря 2015 г. N 517
ОБ УТВЕРЖДЕНИИ ФЕДЕРАЛЬНЫХ НОРМ И ПРАВИЛ
В ОБЛАСТИ ПРОМЫШЛЕННОЙ БЕЗОПАСНОСТИ "ИНСТРУКЦИЯ
ПО ПРЕДУПРЕЖДЕНИЮ ЭНДОГЕННЫХ ПОЖАРОВ И БЕЗОПАСНОМУ ВЕДЕНИЮ
ГОРНЫХ РАБОТ НА СКЛОННЫХ К САМОВОЗГОРАНИЮ ПЛАСТАХ УГЛЯ"
| | Список изменяющих документов (в ред. Приказа Ростехнадзора от 31.10.2016 N 450) | |
В соответствии с
пунктом 5.2.2.16(1) Положения о Федеральной службе по экологическому, технологическому и атомному надзору, утвержденного постановлением Правительства Российской Федерации от 30 июля 2004 г. N 401 (Собрание законодательства Российской Федерации, 2004, N 32, ст. 3348; 2006, N 5, ст. 544; N 23, ст. 2527; N 52, ст. 5587; 2008, N 22, ст. 2581; N 46, ст. 5337; 2009, N 6, ст. 738; N 33, ст. 4081; N 49, ст. 5976; 2010, N 9, ст. 960; N 26, ст. 3350; N 38, ст. 4835; 2011, N 6, ст. 888; N 14, ст. 1935; N 41, ст. 5750; N 50, ст. 7385; 2012, N 29, ст. 4123; N 42, ст. 5726; 2013, N 12, ст. 1343; N 45, ст. 5822; 2014, N 2, ст. 108; N 35, ст. 4773; 2015, N 2, ст. 491; N 4, ст. 661), приказываю:
1. Утвердить прилагаемые Федеральные
нормы и правила в области промышленной безопасности "Инструкция по предупреждению эндогенных пожаров и безопасному ведению горных работ на склонных к самовозгоранию пластах угля".
2. Признать утратившим силу
приказ Федеральной службы по экологическому, технологическому и атомному надзору от 6 ноября 2012 г. N 635 "Об утверждении Федеральных норм и правил в области промышленной безопасности "Инструкция по прогнозу, обнаружению, локации и контролю очагов самонагревания угля и эндогенных пожаров в угольных шахтах (зарегистрирован Министерством юстиции Российской Федерации 29 декабря 2012 г., регистрационный 26449; Бюллетень нормативных актов федеральных органов исполнительной власти, 2013, 11).
3. Настоящий приказ вступает в силу по истечении шести месяцев после его официального опубликования.
Руководитель
А.В.АЛЕШИН
приказом Федеральной службы
по экологическому, технологическому
и атомному надзору
от 16 декабря 2015 г. N 517
ФЕДЕРАЛЬНЫЕ НОРМЫ И ПРАВИЛА
В ОБЛАСТИ ПРОМЫШЛЕННОЙ БЕЗОПАСНОСТИ "ИНСТРУКЦИЯ
ПО ПРЕДУПРЕЖДЕНИЮ ЭНДОГЕННЫХ ПОЖАРОВ И БЕЗОПАСНОМУ ВЕДЕНИЮ
ГОРНЫХ РАБОТ НА СКЛОННЫХ К САМОВОЗГОРАНИЮ ПЛАСТАХ УГЛЯ"
| | Список изменяющих документов (в ред. Приказа Ростехнадзора от 31.10.2016 N 450) | |
1. Настоящие Федеральные нормы и правила в области промышленной безопасности "Инструкция по предупреждению эндогенных пожаров и безопасному ведению горных работ на склонных к самовозгоранию пластах угля" (далее - Инструкция) разработаны в соответствии с требованиями Федерального
закона от 21 июля 1997 г. N 116-ФЗ "О промышленной безопасности опасных производственных объектов" (Собрание законодательства Российской Федерации, 1997, N 30, ст. 3588; 2000, N 33, ст. 3348; 2003, N 2, ст. 167; 2004, N 35, ст. 3607; 2005, N 19, ст. 1752; 2006, N 52, ст. 5498; 2009, N 1, ст. 17, ст. 21; N 52, ст. 6450; 2010, N 30, ст. 4002; N 31, ст. 4195, ст. 4196; 2011, N 27, ст. 3880; N 30, ст. 4590, ст. 4591, ст. 4596; N 49, ст. 7015, ст. 7025; 2012, N 26, ст. 3446; 2013, N 9, ст. 874; N 27, ст. 3478; 2015, N 1, ст. 67), Федеральных
норм и правил в области промышленной безопасности "Правила безопасности в угольных шахтах", утвержденных приказом Федеральной службы по экологическому, технологическому и атомному надзору от 19 ноября 2013 г. N 550 (зарегистрирован Министерством юстиции Российской Федерации 31 декабря 2013 г., регистрационный N 30961; Бюллетень нормативных актов федеральных органов исполнительной власти, 2014, N 7), с изменениями, внесенными приказом Федеральной службы по экологическому, технологическому и атомному надзору от 2 апреля 2015 г. N 129 (зарегистрирован Министерством юстиции Российской Федерации 20 апреля 2015 г., регистрационный N 36942; Бюллетень нормативных актов федеральных органов исполнительной власти, 2015, N 38).
2. Настоящая Инструкция предназначена для работников организаций, занимающихся проектированием и строительством угольных шахт и разработкой угольных пластов подземным способом, работников территориальных органов Ростехнадзора, профессиональных аварийно-спасательных служб или профессиональных аварийно-спасательных формирований (далее - ПАСС(Ф)), обслуживающих шахту, и других организаций, деятельность которых связана с эксплуатацией шахт.
3. Инструкция устанавливает порядок:
отнесения угольных пластов к категории склонных к самовозгоранию;
определения склонности шахтопластов к самовозгоранию и продолжительности инкубационного периода самовозгорания угля;
ведения горных работ на пластах, склонных к самовозгоранию;
ведения горных работ на пластах, в отработанную часть которых распространился экзогенный пожар;
предупреждения эндогенных пожаров;
контроля эндогенной пожароопасности;
обнаружения и локации очагов самонагревания и самовозгорания угля в целиках и выработанных пространствах;
ведения контроля самонагревания и состояния эндогенного пожара;
локализации и ликвидации очагов самонагревания угля;
тушения эндогенных пожаров;
ведения работ в контуре потушенного пожара.
4. В настоящей Инструкции используются термины, определения и условные обозначения, приведенные в
приложении N 1 к настоящей Инструкции.
Графические условные обозначения, используемые в проектной, горной графической документации и в документации по ведению горных работ, приведены в
приложении N 2 к настоящей Инструкции.
II. ОПРЕДЕЛЕНИЕ СКЛОННОСТИ ШАХТОПЛАСТОВ К САМОВОЗГОРАНИЮ
5. Склонность шахтопластов к самовозгоранию следует определять для всех разрабатываемых подземным способом пластов угля не реже одного раза в три года.
6. Склонность шахтопластов к самовозгоранию следует устанавливать по продолжительности инкубационного периода самовозгорания угля.
Шахтопласты следует относить: при продолжительности инкубационного периода менее 80 суток включительно к категории склонных к самовозгоранию; при продолжительности инкубационного периода более 80 суток к категории несклонных к самовозгоранию.
Инкубационный период самовозгорания угля устанавливается в соответствии с Федеральными
нормами и правилами в области промышленной безопасности "Инструкция по определению инкубационного периода самовозгорания угля", утвержденными приказом Федеральной службы по экологическому, технологическому и атомному надзору от 2 апреля 2013 г. N 132 (зарегистрирован Министерством юстиции Российской Федерации 5 июля 2013 г., регистрационный N 28997; Бюллетень нормативных актов федеральных органов исполнительной власти, 2013, N 36).
К категории склонных к самовозгоранию относятся все пласты бурого угля.
К категории склонных к самовозгоранию относятся пласты каменного угля, на которых в процессе их отработки в границах данной шахты и (или) в границах других шахт месторождения возникали эндогенные пожары.
Для впервые отрабатываемых пластов склонность к самовозгоранию и инкубационный период самовозгорания угля следует определять по результатам геолого-разведочных работ.
7. Технический руководитель (главный инженер) угледобывающей организации ежегодно утверждает список отрабатываемых шахтопластов угля с результатами оценки их склонности к самовозгоранию, оформленный в соответствии с рекомендуемым образцом, приведенным в
приложении N 3 к настоящей Инструкции. Перечень пластов, склонных к самовозгоранию, следует согласовывать с организацией, проводившей оценку склонности шахтопластов к самовозгоранию, и направлять в подразделение ПАСС(Ф), обслуживающее шахту, и в территориальный орган Ростехнадзора.
8. Технический руководитель (главный инженер) угледобывающей организации, разрабатывающей шахтопласты угля, склонные к самовозгоранию, ежеквартально утверждает план работ по профилактике самовозгорания шахтопластов угля, склонных к самовозгоранию угля (далее - планы работ по профилактике самовозгорания угля) на предстоящий квартал, и контролирует выполнение плана работ по профилактике самовозгорания угля в текущем квартале. Отчеты о выполнении плана работ по профилактике самовозгорания угля следует направлять в территориальный орган Ростехнадзора.
Планы работ по профилактике самовозгорания угля и отчеты о их выполнении должны храниться на участке аэрологической безопасности (далее - АБ) не менее одного года.
III. ПРЕДУПРЕЖДЕНИЕ ЭНДОГЕННЫХ ПОЖАРОВ ПРИ ОТРАБОТКЕ
ПЛАСТОВ УГЛЯ, СКЛОННЫХ К САМОВОЗГОРАНИЮ
ВСКРЫТИЕ И ПОДГОТОВКА ШАХТНЫХ И ВЫЕМОЧНЫХ ПОЛЕЙ
9. Вскрытие пластов угля, склонных к самовозгоранию, следует осуществлять горными выработками, пройденными по породам или по пластам угля, с применением мер, обеспечивающих безопасное ведение горных работ в части предупреждения возникновения самовозгорания угля.
10. Подготовка пологих и наклонных пластов горными выработками по углю должна осуществляться с оставлением целиков:
между горными выработками с различным направлением воздушных струй - не менее 40 м;
между горными выработками с сонаправленным движением струй - не менее 30 м;
между воздухопроводящей выработкой и монтажными, и демонтажными камерами - не менее 20 м;
между горными выработками смежных столбов - не менее 20 м;
между воздухопроводящими выработками и атмосферой открытых горных работ, и земной атмосферой - не менее 40 м.
При отработке свиты пластов размеры целиков по всем пластам обусловливаются наибольшим расчетным размером одного из них.
11. Разработку склонных к самовозгоранию крутых и крутонаклонных шахтопластов следует вести на передние квершлаги (бремсберги, уклоны) односторонними выемочными полями с оставлением между ними целиков, в которых не должно проводиться горных выработок.
(п. 11 в ред.
Приказа Ростехнадзора от 31.10.2016 N 450)
12. В пределах выемочного поля на крутых и крутонаклонных пластах разработку следует осуществлять отдельными блоками с оставлением профилактических целиков, прорезанных только на уровне откаточного и вентиляционного горизонтов. Размер целика по простиранию должен быть равен мощности пласта, но не менее 6 м. Размер блока в пределах выемочного поля следует определять с учетом скорости отработки пласта по простиранию и времени отработки в срок не более 6 месяцев.
13. Технический руководитель (главный инженер) угледобывающей организации ежегодно составляет перечень участков повышенной эндогенной пожароопасности.
Участками повышенной эндогенной пожароопасности следует считать:
участок воздухоподающей выработки на протяжении от выхода склонного к самовозгоранию угольного пласта под наносы до сопряжения этой выработки с вентиляционным каналом;
участки наклонных вскрывающих выработок, расположенные в зонах повышенной трещиноватости и воздухопроницаемости угольного массива и местах геологических нарушений независимо от направления воздушных струй в этих выработках;
участок воздухолодающей выработки по ходу вентиляционной струи, на котором относительная влажность воздуха в вентиляционной струе в осенне-зимний период года составляет менее 60%;
горную выработку, по которой поступает общешахтная вентиляционная струя, и сбойку между шурфом и вентиляционным стволом;
технологические сбойки между стволами и участки длиной 5 м в обе стороны от сопряжений этих сбоек со стволами;
места сопряжений квершлагов со стволами на ниже- и вышележащих пластах, а также участки этих стволов длиной 5 м в обе стороны от сопряжений при проведении вентиляционного ствола по нижележащему пласту;
места пересечений воздушных струй и участки длиной 5 м в обе стороны от мест пересечений;
выработанное пространство действующих и отработанных выемочных участков.
14. На участках повышенной эндогенной пожароопасности следует предусматривать мероприятия по снижению воздухопроницаемости углепородного массива. Снижение воздухопроницаемости достигается путем возведения рубашек из бетона, нанесения изолирующих покрытий, тампонажа угольного массива и заполнения пустот и куполов герметизирующими материалами. При этом следует учитывать результаты оценки пожароопасности целиков угля и выработанных пространств с применением геофизических методов, изложенных в
приложении N 4 к настоящей Инструкции.
15. Полевые горные выработки в местах пересечения со склонными к самовозгоранию пластами угля и на расстоянии 5 м в обе стороны от этого пересечения следует закреплять негорючей крепью с заполнением закрепного пространства герметизирующим инертным материалом, исключающим проникновение воздуха к угольному массиву.
16. При этажной схеме подготовки пластов между транспортным штреком верхнего горизонта и вентиляционным штреком нижнего горизонта следует оставлять целики угля или возводить изолирующие полосы из негорючих твердеющих материалов.
17. На крутых и крутонаклонных пластах запрещаются вскрытие и подготовка выемочных полей с главных квершлагов. Заезды с промежуточных квершлагов на пласт следует проходить по породе.
18. Для предупреждения возникновения эндогенных пожаров при ведении очистных работ выбор системы разработки, способа управления кровлей, технологии горных работ следует осуществлять с учетом склонности шахтопластов к самовозгоранию и факторов, способствующих повышению эндогенной пожароопасности: крупноблочное обрушение кровли, наличие геологических нарушений и аэродинамической связи с поверхностью и сближенными пластами, отсутствие наносов на поверхности, работа под участками недр, на которых ведутся или велись открытые горные работы, наличие горелых пород на выходах пласта, переход через старые горные выработки, скопление угольной пыли в отработанной части пласта.
19. На пластах угля, склонных к самовозгоранию, при возвратноточных схемах проветривания выемочных участков очистные забои должны подвигаться со скоростью, при которой за время инкубационного периода самовозгорания угля обеспечивается их перемещение на расстояние, равное размеру зоны активного проветривания выработанного пространства. Размер зоны активного проветривания выработанного пространства следует определять в проектной документации, утверждаемой техническим руководителем (главным инженером) угледобывающей организации.
В случае, когда скорость подвигания очистного забоя не обеспечивает его подвигание на вышеуказанное расстояние, следует применять меры по предупреждению самовозгорания угля, оставляемого в выработанном пространстве. Данные меры по предупреждению самовозгорания угля следует включать в документацию по ведению горных работ.
20. Технический руководитель (главный инженер) угледобывающей организации при вскрытии очистным забоем не выявленных ранее дизъюнктивных геологических нарушений в суточный срок должен разработать мероприятия, обеспечивающие предупреждение эндогенных пожаров при переходе очистным забоем данных нарушений.
21. При оставлении в выработанном пространстве целиков угля следует проводить их профилактическую обработку. Работы по профилактической обработке оставленных в выработанном пространстве целиков угля должны быть включены в документацию на ведение горных работ.
22. Пологие пласты мощностью до 4,5 м следует отрабатывать без разделения на слои на полную мощность и без оставления пачки угля в выработанном пространстве.
23. При слоевой выемке мощных наклонных и пологих пластов следует предусматривать одновременную или последовательную отработку слоев по схеме "слой - пласт". При последовательной отработке слоев разрыв во времени отработки слоев должен быть не менее года.
Запрещается в пределах одного крыла шахтного поля одновременная работа очистных забоев по разным слоям.
Запрещается восходящий порядок отработки пластов угля, склонных к самовозгоранию, залегающих друг от друга на расстоянии менее 6 - 12 мощностей нижележащего пласта.
РЕЖИМЫ ПРОВЕТРИВАНИЯ ГОРНЫХ РАБОТ
24. При одновременной отработке угольных пластов, склонных к самовозгоранию, подземным и открытым способами следует принимать меры, исключающие возникновение аэродинамической связи между горными выработками и (или) выработанным пространством шахты с горными выработками и (или) отвалами разреза.
При комбинированной отработке угольных пластов, склонных к самовозгоранию, вышеуказанная аэродинамическая связь должна быть организована в соответствии с проектной документацией.
25. При отработке склонных к самовозгоранию пластов угля следует применять способы и схемы проветривания, при которых достигается снижение действующих напоров в горных выработках, в которых ведутся очистные работы и (или) уменьшение величины и продолжительности притока воздуха в выработанное пространство.
26. Расход воздуха, поступающего на выемочный участок, не должен превышать более чем на 20% расчетный расход воздуха для проветривания выемочного участка.
27. При выборе схем проветривания выемочных участков следует учитывать свойства пород кровли пласта к обрушению, их слеживаемость и опасность образования местных скоплений метана на сопряжении лавы с вентиляционной выработкой.
Для проветривания выемочных участков следует применять:
возвратноточные схемы проветривания с выпуском исходящей из очистной выработки струи воздуха в сторону неотработанной части угольного массива;
прямоточные схемы проветривания;
комбинированные схемы проветривания выемочных участков с изолированным отводом метана из выработанного пространства в газодренажную выработку за счет общешахтной депрессии или с помощью газоотсасывающих установок (далее - ГОУ).
Прямоточные или комбинированные схемы проветривания выемочных участков следует применять при отработке пластов на полную мощность или при выемке первого слоя мощных пластов при условии, что пласт имеет выдержанное залегание, в нем отсутствуют нерабочие пропластки, попадающие в зону обрушения, а также разрывные геологические нарушения амплитудой более 0,5 м.
При прямоточных или комбинированных схемах проветривания выемочных участков следует:
осуществлять подготовку выемочных столбов спаренными выработками;
проводить своевременную изоляцию выработанного пространства взрывоустойчивыми изолирующими перемычками (далее - ИП).
28. Для схем проветривания выемочных участков с изолированным отводом метана из выработанного пространства следует проводить оценку эндогенной пожароопасности в соответствии с
приложением N 5 к настоящей Инструкции.
Не допускается отвод метановоздушной смеси с использованием ГОУ из выработанных пространств отрабатываемых и ранее отработанных выемочных участков.
29. Технический руководитель (главный инженер) угледобывающей организации не реже одного раза в квартал для оценки выполняемых мер по предупреждению эндогенных пожаров организует проведение работ по определению герметичности ИП, перепадов давлений на ИП, утечек воздуха через выработанное пространство и распределения воздуха по шахтной сети горных выработок.
30. Для снижения эндогенной пожароопасности на пластах угля, склонных к самовозгоранию, антипирогены следует применять в виде жидкостей, пен, заиловочных и (или) вспененных суспензий, порошков, инертных газов, водных растворов солей, пенообразователей, гелей, сухих и (или) жидких аэрозолей.
Виды и количество антипирогенов, применяемых для предупреждения эндогенных пожаров, способы их применения следует определять в документации на ведение горных работ, используя документацию на применяемый антипироген организации-изготовителя.
При выполнении работ по снижению эндогенной пожароопасности следует контролировать количество антипирогена, использованного для данных целей.
31. На пластах крутого и крутонаклонного падения обработку антипирогенами выработанного пространства вышележащего горизонта и межгоризонтного целика следует осуществлять по скважинам, пробуренным с поверхности или из выработок сближенных пластов из расчета опережения действующего забоя на 25 - 30 м.
32. Для распыления водных растворов антипирогенов следует использовать технические устройства, обеспечивающие размеры и дисперсность распыляемого облака, предусмотренные в документации на ведение горных работ.
33. Антипирогенами следует обрабатывать весь уголь, оставляемый в выработанном пространстве, в том числе целики угля, краевую часть угольного пласта у монтажных и демонтажных камер, угольные пачки, обрушающиеся за крепью очистного комплекса вышележащие угольные пласты и пропластки.
34. На шахтах с гидродобычей угля профилактическую обработку выработанного пространства крутых пластов следует проводить путем подачи воды под низким (0,6 - 2,0 МПа) и высоким (10 МПа и более) давлением за ИП и под низким давлением по скважинам, пробуренным с подэтажного штрека сближенного пласта или с поверхности.
35. При прямоточных и (или) комбинированных схемах проветривания следует проводить антипирогенную обработку угольной пыли, оседающую в выработанном пространстве действующих выемочных участков.
36. Антипирогены следует подавать по направлению утечек воздуха в выработанное пространство в виде аэрозолей. В течение суток следует чередовать подачу жидких и твердых антипирогенов.
Объемы и параметры выполненных работ по антипирогенной обработке угля подлежат учету.
37. Заиловочные суспензии следует применять для антипирогенной обработки выработанного пространства выемочных участков, ликвидации очагов самонагревания угля и тушения пожаров, усиления изоляции выработанных пространств.
38. Для приготовления заиловочной суспензии следует использовать летучую золу электростанций, золошлаковые материалы, отходы обогащения агломерационных фабрик и металлургических заводов, мелкие фракции (отсев) горелых горных пород и суглинки.
Суглинки, применяемые для приготовления суспензий, должны содержать не менее 20% песка.
Объем твердой фазы заиловочной суспензии, подаваемой в выработанное пространство для профилактических целей, должен составлять 3 - 5% от объема вынимаемого угля.
39. На участках, опасных по прорыву глины, применение заиловочных суспензий для обработки выработанных пространств запрещается.
40. При подаче суспензии следует исключить поступление воздуха за счет его эжекции в выработанное пространство изолированных участков.
41. При заиловочных работах следует обеспечивать:
качественное и своевременное возведение ИП;
устройство канав для спуска воды из зон заиливания так, чтобы вода не мешала эксплуатационным работам;
систематический контроль за подачей суспензии и своевременным спуском из-за ИП отстоявшейся воды;
наблюдение за состоянием ИП и при необходимости их ремонт.
42. Скважинам, пробуренным с земной поверхности для подачи антипирогенов, должен быть присвоен порядковый номер. Данные скважины после окончания работ по подаче антипирогенов следует качественно изолировать и оборудовать устройствами, обеспечивающими возможность контроля за признаками самонагревания угля в отработанной части пласта.
IV. КОНТРОЛЬ ЭНДОГЕННОЙ ПОЖАРООПАСНОСТИ ПРИ ОТРАБОТКЕ
ПЛАСТОВ УГЛЯ, СКЛОННЫХ К САМОВОЗГОРАНИЮ
43. До начала работ по выемке угля на выемочном участке технический руководитель (главный инженер) угледобывающей организации организует проведение работ по:
оценке индикаторных газов в условиях окисления угля и угольной пыли при нормальной температуре, критической температуре самонагревания и температуре тления;
оценке фонового содержания плотности потока радона на поверхности земли над выемочным участком;
определению фоновых значений физических полей, измеряемых геофизическими методами в пределах выемочного участка.
44. Контроль эндогенной пожароопасности следует осуществлять по результатам анализов газового состава рудничной атмосферы, измерения влагосодержания, температуры воздуха и воды в действующих и в изолированных выемочных участках, а также измерения содержания плотности потока радона и физических полей. Результаты контроля эндогенной пожароопасности должны храниться на участке АБ в течение десяти лет.
На действующих выемочных участках необходимо предусматривать не менее двух мест для отбора проб воздуха из выработанного пространства (далее - контрольные точки). В качестве контрольных точек выработанного пространства принимаются изолирующие перемычки, скважины различного назначения, пробуренные в выработанное пространство как с поверхности, так и из горных выработок.
(абзац введен
Приказом Ростехнадзора от 31.10.2016 N 450)
45. Эндогенная пожароопасность целиков у наклонных воздухоподающих выработок, пройденных по углю, на пластах бурого угля следует контролировать геофизическими методами и по температуре угля в бортах, кровле и почве с периодичностью не реже одного раза в месяц. На пластах каменного угля, склонных к самовозгоранию, периодичность контроля эндогенной пожароопасности целиков угля устанавливает технический руководитель (главный инженер) угледобывающей организации.
46. На выемочных участках после отхода линии очистного забоя лавы на расстояние 50 м от участка выемочного столба, на котором произошла первичная посадка основной кровли, в срок, не превышающий десять суток, технический руководитель (главный инженер) угледобывающей организации организует проведение работ по определению фоновых содержаний оксида углерода, водорода, предельных и непредельных углеводородов и радона в рудничной атмосфере в выработках выемочного участка.
47. При контроле эндогенной пожароопасности содержание оксида углерода и водорода в рудничной атмосфере следует определять в соответствии с Федеральными
нормами и правилами в области промышленной безопасности "Инструкция по контролю состава рудничного воздуха, определению газообильности и установлению категорий шахт по метану и/или диоксиду углерода", утвержденными приказом Ростехнадзора от 6 декабря 2012 г. N 704 (зарегистрирован Министерством юстиции Российской Федерации 8 февраля 2013 г., регистрационный N 26936; Бюллетень нормативных актов федеральных органов исполнительной власти, 2013, N 16), с изменениями, внесенными приказом Федеральной службы по экологическому, технологическому и атомному надзору от 17 декабря 2013 г. N 609 (зарегистрирован Министерством юстиции Российской Федерации 14 января 2014 г., регистрационный N 31018; Бюллетень нормативных актов федеральных органов исполнительной власти, 2014, N 5) (далее - Инструкция по контролю состава рудничного воздуха, определению газообильности и установлению категорий шахт по метану и/или диоксиду углерода).
48. При ведении горных работ вблизи действующих пожаров и на участках с повышенной пожароопасностью замеры концентрации оксида углерода должны проводиться с периодичностью не реже одного раза в сутки. Места замеров концентрации оксида углерода определяет технический руководитель (главный инженер) угледобывающей организации.
49. При геофизических методах исследования угольных целиков следует выявлять участки, на которых скорость фильтрации воздуха превышает 0,001 м/с.
На участках целиков угля, где скорость фильтрации воздуха, определенная геофизическими методами, более 0,001 м/с, следует выполнять мероприятия по ее снижению до пожаробезопасных величин в срок, не превышающий инкубационный период самовозгорания угля.
50. Контроль эндогенной пожароопасности выемочных участков следует организовывать:
на исходящей из лавы струе воздуха в 10 - 20 м от очистного забоя;
в трубопроводах подземных и поверхностных газоотсасывающих установок;
в смесительных камерах;
у ИП и за ИП, изолирующих выработанное пространство или газодренажные выработки;
в контрольных скважинах, пробуренных в выработанное пространство.
51. На крутых и крутонаклонных пластах в подготавливаемых выемочных участках контроль эндогенной пожароопасности следует осуществлять по скважинам, пробуренным с вентиляционного штрека в выработанное пространство отработанного верхнего горизонта. Расстояние между скважинами не должно превышать 25 м.
52. Технический руководитель (главный инженер) угледобывающей организации определяет места контроля эндогенной пожароопасности при проведении плановой практической проверки аварийных вентиляционных режимов. Контроль следует проводить не ранее чем через тридцать минут после перевода вентиляторных установок в реверсивный режим.
53. При обнаружении превышений фоновых значений концентраций индикаторных пожарных газов технический руководитель (главный инженер) угледобывающей организации организует отбор проб воздуха во всех контрольных точках выемочного участка для проведения их анализа в газоаналитической лаборатории на содержание оксида углерода, водорода, предельных и непредельных углеводородов.
Во всех контрольных точках выемочного участка пробы следует отбирать после обнаружения превышений фоновых значений концентраций индикаторных пожарных газов в течение первых двух суток с периодичностью не менее двух раз в сутки, в течение следующей недели - с периодичностью один раз в сутки. Превышения концентраций индикаторных пожарных газов над их фоновыми значениями являются показателем процесса самонагревания угля.
V. ЛИКВИДАЦИЯ ОЧАГОВ САМОНАГРЕВАНИЯ УГЛЯ
54. При обнаружении признаков самонагревания угля в течение суток комиссия, созданная распорядительным документом руководителя организации, составляет акт согласно рекомендуемому образцу, приведенному в
приложении N 6 к настоящей Инструкции, в котором должны быть указаны причины самонагревания и предлагаемые меры по локализации очага самонагревания и его ликвидации.
Меры по локализации и ликвидации очага самонагревания должны предусматривать проведение его локации, как с земной поверхности, так и из горных выработок шахты.
Для локализации и ликвидации очага самонагревания следует выполнять следующие меры:
локация очага самонагревания по результатам депрессионных, газовых, радоновых и геофизических съемок;
снижение утечек (подсосов) воздуха за счет изменения вентиляционного режима;
создание на границе с выработанным пространством барьеров из инертной пены или вспененной суспензии;
секционирование выработанного пространства за счет оставления целиков или формирования изолирующих полос нагнетанием летучей золы по скважинам с поверхности в выработанное пространство;
охлаждение скоплений угля в выработанном пространстве инертной пеной, жидким азотом, водой или глинистой пульпой.
55. Эффективность применения мер по локализации и ликвидации очага самонагревания следует оценивать по снижению температуры воды и рудничной атмосферы в выработанном пространстве, уменьшению содержания индикаторных пожарных газов, уменьшению плотности потока радона в приповерхностном слое, а также снижению значений параметров физических полей, определяемых геофизическими методами.
Очаг самонагревания следует считать ликвидированным при снижении концентраций индикаторных пожарных газов, плотности потока радона и параметров физических полей до фоновых значений, при снижении температуры воды и воздуха, поступающих из локализованного очага самовозгорания, до их температуры в горных выработках.
56. После ликвидации очага самонагревания должен оформляться акт в произвольной форме, в котором следует указать объемы выполненных работ и признаки, по которым установлено, что очаг самонагревания ликвидирован.
57. Акт ликвидации очага самонагревания утверждает руководитель угледобывающей организации. Ликвидированные очаги самонагревания подлежат снятию с учета (списанию). Очаги самонагревания с указанием даты их обнаружения и списания следует наносить на планы горных работ.
Если применяемые меры по ликвидации очага самонагревания не дают положительного эффекта, следует оформлять акт регистрации эндогенного пожара согласно рекомендуемому образцу, приведенному в
приложении N 7 к настоящей Инструкции.
VI. ВЕДЕНИЕ ГОРНЫХ РАБОТ У ГРАНИЦ ДЕЙСТВУЮЩЕГО
ЭНДОГЕННОГО ПОЖАРА
58. Ведение горных работ в границах действующего эндогенного пожара запрещается.
Очистные работы за пределами границ действующего эндогенного пожара в зоне возможного проникновения продуктов горения и влияния других опасных факторов пожара следует вести с оставлением барьерных целиков угля или воздухонепроницаемых полос из негорючих материалов и выполнением мер, обеспечивающих безопасность ведения горных работ, утвержденных техническим руководителем (главным инженером) угледобывающей организации.
59. Запрещается подрабатывать участки с действующими эндогенными пожарами на сближенных пластах, а также вести очистные работы на крутых и крутонаклонных пластах в нижележащем, примыкающем к границе пожара, выемочном столбе (лаве).
60. Проходка основных и вентиляционных штреков на нижележащем горизонте по пласту под действующим эндогенным пожаром (на крутых и крутонаклонных пластах) и на нижележащем горизонте сближенных (пологих и наклонных) пластов, подрабатывающих пласт с очагом пожара, допускается при выполнении мер, исключающих проникновение продуктов горения в проводимые выработки, утвержденных техническим руководителем (главным инженером) угледобывающей организации.
61. К зонам возможного проникновения продуктов горения и влияния других опасных факторов эндогенного пожара (прорывы воды, пульпы, пены и азота) следует относить горные выработки, в том числе и на сближенных пластах, примыкающие к границам действующих эндогенных пожаров.
Зоны возможного проникновения продуктов горения и влияния других опасных факторов эндогенного пожара следует определять при техническом расследовании причин возникновения пожара и наносить на планы горных работ.
62. Технический руководитель (главный инженер) угледобывающей организации при возникновении эндогенного пожара разрабатывает меры по безопасному ведению горных работ в случае проникновения пожарных газов, азота, пены, пульпы и воды в действующие горные выработки, предусматривающие:
непрерывный автоматический контроль за содержанием оксида углерода у ИП, изолирующих пожарный участок, а также в струе воздуха, поступающей в горные выработки, находящиеся в зоне возможного проникновения продуктов горения и влияния других опасных факторов пожара;
вывод людей из горных выработок при возникновении опасности проникновения пожарных газов и прорывов азота, пены, пульпы и воды;
измерение оксида углерода индивидуальными приборами эпизодического и (или) непрерывного действия у мест установки аппаратуры автоматического контроля за его содержанием силами участка АБ с периодичностью не менее одного раза в сутки;
ежеквартальный замер действующих напоров в горных выработках, прилегающих к пожарному участку;
повышение герметичности изолирующих сооружений и уменьшение аэродинамической связи выработанного пространства с поверхностью;
определение путей фильтрации пожарных газов в контуре пожарных и примыкающих к нему действующих выемочных участков с использованием газов-трассеров;
подачу азота, пены, пульпы и воды в очаг пожара.
VII. ТУШЕНИЕ ЭНДОГЕННЫХ ПОЖАРОВ
63. При возможности непосредственного воздействия на очаг пожара для его ликвидации следует применять активные методы тушения. Во время активного тушения эндогенного пожара технический руководитель (главный инженер) угледобывающей организации организует подготовительные работы по его изоляции.
64. На тушение не ликвидированного активным способом эндогенного пожара в двухнедельный срок после окончания расследования причин его возникновения следует разработать документацию, определяющую дальнейший порядок тушения эндогенного пожара (далее - проект тушения пожара). Проект тушения пожара утверждает технический руководитель (главный инженер) угледобывающей организации. До разработки и утверждения проекта тушения пожара его тушение проводится в соответствии с мероприятиями, утвержденными техническим руководителем (главным инженером) угледобывающей организации.
65. Технический руководитель (главный инженер) угледобывающей организации организует во время разработки проекта тушения пожара проведение съемок приповерхностного состава индикаторных газов и геофизические исследования по локации очага пожара. Для уточнения результатов локации с поверхности и (или) из горных выработок следует бурить контрольные скважины.
66. При тушении эндогенных пожаров комбинированным способом пожарный участок следует изолировать. Для локализации и тушения очагов эндогенного пожара следует использовать азот, воду, глинистую и зольную пульпы, инертную пену, вспененные инертные суспензии и (или) углекислый газ. В горных выработках, примыкающих к изолированному пожарному участку, взрыволокализующие заслоны следует устанавливать в соответствии с Федеральными
нормами и правилами в области промышленной безопасности "Инструкция по локализации и предупреждению взрывов пылегазовоздушных смесей в угольных шахтах", утвержденными приказом Федеральной службы по экологическому, технологическому и атомному надзору от 6 ноября 2012 г. N 634 (зарегистрирован Министерством юстиции Российской Федерации 25 декабря 2012 г., регистрационный N 26359; Бюллетень нормативных актов федеральных органов исполнительной власти, 2013, N 7).
67. При тушении эндогенного пожара инертными пенами и вспененными суспензиями расход хладагентов следует определять из расчета полного заполнения пустот в границах зоны предполагаемого или установленного местонахождения очага пожара. При тушении эндогенного пожара глинистой пульпой следует обеспечить объем глины, поданной в виде глинистой пульпы в зону пожара, не менее 5% от объема вынутого угля в указанной зоне.
68. Азот в качестве хладагента при тушении эндогенных пожаров необходимо использовать в виде инертной пены и (или) вспененной суспензии. Жидкий и газообразный азот в чистом виде следует применять для инертизации атмосферы в момент изоляции пожарного участка и для удаления остаточных пожарных газов при оценке состояния пожара перед его списанием.
VIII. КОНТРОЛЬ ЗА ТУШЕНИЕМ ЭНДОГЕННОГО ПОЖАРА
69. Оценку состояния эндогенного пожара следует выполнять по изменению температуры, влагосодержания и газового состава рудничной атмосферы в изолированном пространстве пожарного участка, а также по результатам съемки приповерхностного состава индикаторных газов.
При этом должны проводиться осмотр ИП, отбор проб и измерение температуры воздуха и воды, влагосодержания, давления и его перепада через контрольные скважины и ИП. Отбор газовых проб и измерения температуры рудничной атмосферы следует проводить с использованием газоотборных трубок и дистанционных термометров, оставляемых в пожарном участке перед его изоляцией.
70. Бурение и оборудование контрольных скважин следует проводить с соблюдением следующих требований:
глубина контрольных скважин должна соответствовать проектной;
скважины должны обсаживаться металлическими газовыми трубами;
нижняя труба обсадной колонны на длине не менее 10 м должна иметь перфорацию отверстиями диаметром не более 10 мм, расположенными по спирали с шагом 0,75 м в количестве пяти штук на 1 м длины спирали;
верхняя труба обсадной колонны должна быть закрыта металлической заглушкой на резьбе и выходить из устья скважины на 0,5 - 1,0 м;
на трубе, выходящей на земную поверхность, должен быть установлен указатель с порядковым номером скважины;
устье скважины вокруг колонны обсадных труб должно быть затампонировано песчано-цементной смесью.
При необходимости следует провести каротаж контрольных скважин.
71. Периодичность отбора проб и измерение температуры в первые двое суток после изоляции пожарного участка устанавливает технический руководитель (главный инженер) угледобывающей организации. Отбор проб необходимо осуществлять силами ПАСС(Ф) не реже чем через каждые шесть часов, в течение последующих пятнадцати суток - ежесуточно. После стабилизации атмосферы контрольные замеры следует проводить с периодичностью три раза в месяц.
Результаты замеров следует заносить в "Книгу наблюдений за пожарными участками и проверки состояния изолирующих сооружений", оформленную по рекомендуемому образцу, приведенному в
приложении N 6 к Инструкции по контролю состава рудничного воздуха, определению газообильности и установлению категорий шахт по метану и/или диоксиду углерода, и "Вентиляционный журнал".
72. Отбор проб рудничной атмосферы и измерение его температуры в воздуховыдающих скважинах и за ИП следует проводить не ранее чем через десять минут после снятия заглушки с замерных труб. В отобранных пробах следует устанавливать содержание кислорода, водорода, метана, оксида углерода, диоксида углерода, этилена и ацетилена.
73. Для удаления остаточных пожарных газов и оценки результатов тушения пожара по решению технического руководителя (главного инженера) угледобывающей организации допускается открытие проемов в ИП. Удаление остаточных пожарных газов и оценку результатов тушения пожара следует проводить с соблюдением мер, утвержденных техническим руководителем (главным инженером) угледобывающей организации.
74. При выполнении контрольных замеров необходимо фиксировать барометрическое давление и температуру воздуха на земной поверхности.
IX. СПИСАНИЕ ЭНДОГЕННЫХ ПОЖАРОВ И ВСКРЫТИЕ
ПОЖАРНЫХ УЧАСТКОВ
75. Признаками потушенного эндогенного пожара следует считать отсутствие в рудничной атмосфере в изолированном пространстве и приповерхностном слое оксида углерода, водорода, радона, этилена и ацетилена или снижение их концентрации в пробах воздуха, отобранных в соответствии с
пунктом 76 настоящей Инструкции, уменьшение температуры рудничной атмосферы и температуры воды, поступающей из изолированного пространства, до их температуры в горных выработках.
76. Перевод эндогенного пожара в категорию "потушенные" (далее - списание эндогенного пожара) следует проводить при отсутствии признаков пожара в пробах воздуха, отобранных не менее трех раз не менее чем через сутки во всех контрольных точках шахты, положительных результатах приповерхностной радоновой и газовой съемки и геофизических исследований, выполненных во время отбора данных проб.
77. Перед списанием эндогенного пожара технический руководитель (главный инженер) угледобывающей организации организует разведку пожарного участка силами ПАСС(Ф). План разведки пожарного участка утверждает технический руководитель (главный инженер) угледобывающей организации и согласовывает руководитель подразделения ПАСС(Ф), обслуживающего шахту.
78. По результатам разведки руководитель подразделения ПАСС(Ф), проводившего разведку, составляет отчет (донесение о разведке пожарного участка), в котором указывает:
дату разведки;
путь, по которому проходили работники ПАСС(Ф);
состояние горных выработок и их крепление;
состояние изолирующих сооружений;
наличие и расположение материалов, использовавшихся для тушения пожара;
температуру воздуха и воды, вытекающей из выработанного пространства;
направление движения и расход воздуха в местах замера;
место отбора проб и состав воздуха, определенного индивидуальными приборами контроля эпизодического и (или) непрерывного действия;
места нахождения горношахтного оборудования и его состояние.
К донесению о разведке пожарного участка необходимо прилагать результаты анализов проб воздуха и замеров температуры воздуха и воды.
79. Списание эндогенного пожара осуществляет комиссия, созданная в соответствии с
пунктом 54 настоящей Инструкции, проводившая расследование обстоятельств его возникновения.
80. Для списания эндогенного пожара следует подготовить:
акт расследования обстоятельств возникновения эндогенного пожара;
проект тушения эндогенного пожара и данные о его выполнении;
результаты анализов проб воздуха и замеров температуры воздуха и воды в контрольных точках и приповерхностном слое за период с момента возникновения пожара;
результаты радоновых съемок;
акт обследования горных выработок и состояния поверхности в районе пожарного участка;
донесение о разведке пожарного участка;
результаты геофизической съемки выработанного пространства.
81. Списание потушенного пожара следует оформлять актом на списание подземного пожара в категорию "потушенные" согласно рекомендуемому образцу, приведенному в
приложении N 8 к настоящей Инструкции.
Акты расследования причин возникновения эндогенных пожаров и акты их списания подлежат хранению в течение всего срока эксплуатации шахты.
82. Пожарные участки допускается вскрывать после списания пожара. Решение о вскрытии пожарного участка принимает руководитель угледобывающей организации.
Вскрытие пожарных участков следует проводить силами ПАСС(Ф) с выполнением мер, утвержденных техническим руководителем (главным инженером) угледобывающей организации и согласованных с руководителем подразделения ПАСС(Ф), обслуживающего шахту.
83. Ремонтно-восстановительные работы на участке с потушенным эндогенным пожаром следует проводить не ранее чем через трое суток после его вскрытия. В течение этого времени на исходящей струе участка следует осуществлять контроль за температурой и составом воздуха индивидуальными приборами эпизодического и (или) непрерывного действия не менее трех раз в смену и лабораторным способом не менее двух раз в сутки.
84. При обнаружении в исходящей вентиляционной струе концентраций оксида углерода, водорода, радона, этилена и ацетилена выше их фоновых значений проветривание данного участка следует прекратить закрытием проемов в ИП.
X. ВЕДЕНИЕ ГОРНЫХ РАБОТ В КОНТУРЕ ПОТУШЕННЫХ
ЭНДОГЕННЫХ ПОЖАРОВ
85. В документации на ведение горных работ в контуре потушенного эндогенного пожара следует предусматривать меры, исключающие рецидив пожара, прорыв газов, глины и пульпы в действующие выработки.
86. Данные меры должны включать:
ведение горных работ не более чем в одном очистном забое;
ввод в эксплуатацию нового очистного забоя после изоляции выработанного пространства отработанного выемочного участка взрывоустойчивыми ИП;
уменьшение размеров выемочных блоков;
применение пожаробезопасных схем и режимов проветривания;
применение антипирогенов;
ежесменный контроль рудничной атмосферы индивидуальными приборами контроля эпизодического и (или) непрерывного действия и замер температуры;
проведение не реже одного раза в пять дней отбора проб рудничного воздуха для определения его состава в газоаналитической лаборатории;
приповерхностную газовую съемку с применением газов-трассеров и оценку аэродинамической связи горных выработок шахты с поверхностью;
повышение герметичности ИП и уменьшение утечек воздуха из горных выработок на поверхность;
контроль за утечками воздуха через выработанное пространство - не реже одного раза в десять дней, в том числе с применением газов-трассеров;
бурение контрольных скважин.
87. При обнаружении признаков самонагревания угля при подработке или надработке потушенного пожара горные работы необходимо проводить с выполнением требований
главы V настоящей Инструкции.
XI. РАССЛЕДОВАНИЕ И УЧЕТ ЭНДОГЕННЫХ ПОЖАРОВ
88. Причины возникновения эндогенного пожара расследует комиссия в соответствии с
Порядком проведения технического расследования причин аварий, инцидентов и случаев утраты взрывчатых материалов промышленного назначения на объектах, поднадзорных Федеральной службе по экологическому, технологическому и атомному надзору, утвержденным приказом Федеральной службы по экологическому, технологическому и атомному надзору от 19 августа 2011 г. N 480 (зарегистрирован Министерством юстиции Российской Федерации 8 декабря 2011 г., регистрационный N 22520; Бюллетень нормативных актов федеральных органов исполнительной власти, 2012, N 5), с изменениями, внесенными приказом Федеральной службы по экологическому, технологическому и атомному надзору от 25 декабря 2014 г. N 609 (зарегистрирован Министерством юстиции Российской Федерации 26 февраля 2015 г., регистрационный N 36214; Бюллетень нормативных актов федеральных органов исполнительной власти, 2015, N 26).
89. Границу эндогенного пожара определяет комиссия, созданная для расследования обстоятельств его возникновения, в соответствии с
пунктом 54 настоящей Инструкции. Границу эндогенного пожара следует наносить на планы горных работ. По простиранию и падению пласта границей являются неразрушенные, недеформированные, непрорезанные горными выработками целики угля, кроме целиков угля, которые прорезаны горными выработками, изолированными взрывоустойчивыми ИП. Границу эндогенного пожара по падению пласта следует определять с учетом взаимного влияния сближенных пластов в свите, располагающихся в зонах взаимной надработки (подработки).
Допускается границу эндогенного пожара устанавливать по выработанному пространству при условии, что его контур на данном участке шахтного поля определен по результатам контроля концентрации пожарных газов и плотности потока радона.
90. На каждый эндогенный пожар следует составлять акт согласно рекомендуемому образцу, приведенному в
приложении N 7 к настоящей Инструкции. Эндогенные пожары подлежат учету. Каждому эндогенному пожару следует присваивать порядковый номер. Повторно возникшему эндогенному пожару (далее - рецидив эндогенного пожара) следует присваивать тот же порядковый номер с добавлением к нему индекса "Р". Рецидив эндогенного пожара следует наносить на планы горных работ.
к Федеральным нормам и правилам
в области промышленной безопасности
"Инструкция по предупреждению
эндогенных пожаров и безопасному
ведению горных работ на склонных
к самовозгоранию пластах угля",
утвержденным приказом Федеральной
службы по экологическому,
технологическому и атомному надзору
от 16 декабря 2015 г. N 517
ТЕРМИНЫ, ОПРЕДЕЛЕНИЯ И УСЛОВНЫЕ ОБОЗНАЧЕНИЯ
1. В настоящей Инструкции используются следующие термины:
антипирогены - вещества, тормозящие процесс окисления угля;
индикаторные газы - газы, выделяющиеся при окислении угля;
инкубационный период самонагревания угля - промежуток времени, в течение которого в очаге происходит самонагревание угля от естественной температуры угля до критической;
критическая температура самонагревания - предельное значение температуры в очаге, при достижении которой процесс самонагревания принимает необратимый характер и переходит в возгорание;
локация эндогенного пожара - определение местонахождения очага пожара и границ его аэродинамической связи с примыкающими забоями методами газового, термометрического, геофизического и воздушно-депрессивного контроля в подземных выработках и на поверхности;
локализация очага эндогенного пожара - предупреждение его развития с ограждением действующих выработок и очистных забоев от проникновения в них тепла и газов;
очаг самовозгорания угля - скопление угля, в котором процесс самонагревания угля перешел в его возгорание;
риск эндогенного пожара - сочетание вероятности возникновения эндогенного пожара и причиняемого им ущерба;
рецидив эндогенного пожара - повторное возникновение пожара в контуре (границах) списанного в категорию "потушенные" в срок, не превышающий инкубационного периода самовозгорания угля (с момента вскрытия), и независимо от срока, если участок не вскрывался;
самонагревание угля - процесс естественного повышения температуры угля в результате его окисления;
самовозгорание угля - возгорание угля в результате его самонагревания;
склонность угля к самовозгоранию - способность к самопроизвольному возгоранию, определяемая совокупностью физико-химических свойств угля, приводящих к развитию процесса самонагревания;
склонность шахтопласта угля к самовозгоранию - возможность возникновения и развития пожара от самовозгорания угля в отработанной части выемочных полей и целиках у подготовительных выработок;
тление угля - беспламенное горение угля, сопровождающееся выделением дыма;
температура тления угля - температура, при которой происходит резкое увеличение скорости экзотермической реакции окисления угля, заканчивающейся возникновением тления;
фон индикаторных газов - повышенное по сравнению с атмосферным устойчивое содержание в рудничной атмосфере газов, используемых в качестве индикаторных при контроле за возникновением эндогенных пожаров;
эндогенный пожар - горение, возникшее от самовозгорания угля;
эндогенная пожароопасность - вероятность возникновения пожара от самовозгорания угля, определяемая комплексом природных и горнотехнических факторов объекта (шахты, выемочного поля, блока);
эндогенная пожароопасность выемочного поля - состояние выемочного поля, характеризуемое вероятностью возникновения пожара и величиной ожидаемого ущерба.
2. В настоящей Инструкции используются следующие условные обозначения:
C - эмпирический коэффициент, зависящий от диэлектрических свойств угля;
H - пожаробезопасное расстояние, м;
k - постоянная Больцмана, Дж/град.;
k1, k2, k3 - эмпирические коэффициенты, равные соответственно 0,00078, 2,45 и 0,155;
L - ширина ленточного целика, м;
N1, N2 и N3 - константы, зависящие от электросопротивления среды;
P0, P1 и P2 - атмосферное давление воздуха на земной поверхности и барометрическое давление воздуха с двух сторон ленточного целика, мм рт. ст.;
P - пористость рыхлых скоплений угля в выработанном пространстве, дол. ед.;
Q - разность энергий между нижнем уровнем (дном) зоны проводимости и верхним уровнем (потолком) валентной зоны (ширина запрещенной зоны), Дж;
t0 - естественная температура вмещающих пласт угля пород в аномальной зоне, °C;
tпер - время перемещения проветриваемой зоны выработанного пространства, сут;
tинк - время инкубационного периода самовозгорания угля, сут;

- текущая разность потенциалов, В;
Uотн - относительная разность потенциалов, В;

- фоновая разность потенциалов, В;

- скорость подвигания очистного забоя, м/сут;
Vпрогн - прогнозная скорость фильтрации воздуха, м/с.
к Федеральным нормам и правилам
в области промышленной безопасности
"Инструкция по предупреждению
эндогенных пожаров и безопасному
ведению горных работ на склонных
к самовозгоранию пластах угля",
утвержденным приказом Федеральной
службы по экологическому,
технологическому и атомному надзору
от 16 декабря 2015 г. N 517
ГРАФИЧЕСКИЕ УСЛОВНЫЕ ОБОЗНАЧЕНИЯ
Наименование | Условные обозначения | Цвет |
Очаг самонагревания угля: | | |
действующий | | красный |
ликвидированный | | красный, крест черный |
Очаг эндогенного пожара: | | |
действующий | | красный |
ликвидированный | | красный, крест черный |
Рецидив эндогенного пожара | | красный |
Очаг экзогенного пожара | | красный |
Граница пожарного участка: | | |
с действующим очагом | | красный |
с ликвидированным очагом | | красный, крест черный |
Граница участка, обработанного профилактическим составом | | оранжевый |
Скважина контрольная: | | |
с земной поверхности | | |
из горной выработки | | |
Скважина для подачи профилактического состава: | | |
с земной поверхности | | |
из горной выработки | | |
Индикатор температуры воздуха | | |
Стационарный профилактический комплекс | | |
Оборудование для подачи профилактического состава | | |
к Федеральным нормам и правилам
в области промышленной безопасности
"Инструкция по предупреждению
эндогенных пожаров и безопасному
ведению горных работ на склонных
к самовозгоранию пластах угля",
утвержденным приказом Федеральной
службы по экологическому,
технологическому и атомному надзору
от 16 декабря 2015 г. N 517
(рекомендуемый образец)
| УТВЕРЖДАЮ: Технический руководитель (главный инженер) угледобывающей организации "__" ______ 20__ г. |
Угледобывающая организация: ________________________________
отрабатываемых шахтопластов угля с результатами оценки
их склонности к самовозгоранию
Пласт | Категория склонности к самовозгоранию | Дата определения склонности, кто определял | Инкубационный период самовозгорания угля, сутки | Дата определения инкубационного периода, кто определял |
1 | 2 | 3 | 4 | 5 |
| | | | |
к Федеральным нормам и правилам
в области промышленной безопасности
"Инструкция по предупреждению
эндогенных пожаров и безопасному
ведению горных работ на склонных
к самовозгоранию пластах угля",
утвержденным приказом Федеральной
службы по экологическому,
технологическому и атомному надзору
от 16 декабря 2015 г. N 517
ПОЖАРООПАСНОСТИ ЦЕЛИКОВ УГЛЯ И ВЫРАБОТАННЫХ ПРОСТРАНСТВ
ГЕОФИЗИЧЕСКИМИ МЕТОДАМИ
ГЕОФИЗИЧЕСКИЕ МЕТОДЫ ОЦЕНКИ ЭНДОГЕННОЙ ПОЖАРООПАСНОСТИ
ЦЕЛИКОВ УГЛЯ
Геофизические исследования угольного массива и оценка эндогенной пожароопасности целиков между вскрывающими выработками следует проводить с использованием методов, основанных на определении параметров естественного электромагнитного излучения (далее - ЕЭМИ) и (или) методов, основанных на определении параметров физических полей, искусственно созданных в горном массиве.
К методам, основанным на определении параметров физических полей, искусственно созданных в горном массиве, следует относить следующие методы:
дипольного электропрофилирования (далее - ДЭП);
дипольного осевого зондирования (далее - ДОЗ);
экваториально-дипольного электрозондирования последовательной установкой (далее - ЭДЭЗ);
трехэлектродного электрозондирования (далее - ТЭЗ);
параллельного экваториально-дипольного электропросвечивания (далее - ЭДЭП-П);
экваториально-дипольного электропросвечивания (далее - ЭДЭП).
Метод ЕЭМИ используется для выявления в угольных целиках зон повышенной трещиноватости.
Обследование целиков угля между вскрывающими выработками методом ЕЭМИ следует проводить в следующем порядке:
на каждом пикете выполняются не менее пяти измерений ЕЭМИ. Расстояние между пикетами не более 5 м;
выявляются участки выработки, на которых возможно аномальное отклонение показателей ЕЭМИ;
по результатам измерений строятся графики ЕЭМИ;
на участках горной выработки, где количество импульсов ЕЭМИ превышает среднее их значение в три раза и более, проводится изучение массива с использованием одного из методов ДЭП, ДОЗ, ЭДЭЗ, ТЭЗ, ЭДЭП-П, ЭДЭП.
При оценке эндогенной пожароопасности целиков угля с использованием методов ДЭП, ДОЗ, ЭДЭЗ, ТЭЗ, ЭДЭП-П, ЭДЭП места размещения аппаратуры и оборудования в горных выработках и расстановки приемных и передающих устройств следует выбирать в соответствии со схемой проведения геофизических исследований, разработанной организацией, проводящей геофизические исследования, и утвержденной техническим руководителем (главным инженером) угледобывающей организации.
При разработке технической документации на проведение геофизических методов исследований следует использовать:
выкопировки с плана горных работ участка с нанесением маркшейдерских и геофизических пикетов и вскрытых горными выработками тектонических нарушений;
данные о глубине залегания, мощности, угле падения и строении пласта, местах повышенного газовыделения и обводненности (по данным замеров в горных выработках);
зарисовки геологических нарушений с указанием их параметров;
геологические разрезы по стволам;
результаты электрического каротажа по одной - двум скважинам в границах исследуемого участка;
графическое изображение разности потенциалов электрического поля на плане горных работ.
Показатели нарушенности угольного массива следует определять по графическому изображению разности потенциалов электрического поля, выполненному на плане горных работ.
ГЕОФИЗИЧЕСКИЕ МЕТОДЫ ОЦЕНКИ ЭНДОГЕННОЙ ПОЖАРООПАСНОСТИ
ВЫРАБОТАННЫХ ПРОСТРАНСТВ
Контроль эндогенной пожароопасности действующих выемочных участков следует осуществлять по температуре угля в целиках и (или) в выработанном пространстве.
С помощью геофизических методов электроразведки следует определять фоновые значения показателей, соответствующие естественной температуре вмещающих пород. Показателем эндогенной пожароопасности является температура угля, превышающая фоновые значения. Температуру угля в целиках и (или) в выработанном пространстве t, °C, следует рассчитывать по формуле:

, (1)
где: t0 - естественная температура вмещающих пласт угля пород в аномальной зоне, °C;
N1, N2 и N3 - константы, зависящие от электросопротивления среды;
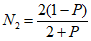
N1, N2 и N3 определяются:
для угольных массивов | N1 = 0,120 - 0,140; N2 = 1; N3 = 4,50 - 4,55; |
для рыхлых скоплений угля в сухом состоянии
| N1 = 0,120 - 0,140;  ; N3 = 4,50 - 4,55; |
здесь P - пористость рыхлых скоплений угля в выработанном пространстве, дол. ед.
На угольных пластах полого и наклонного залегания P = 0,3 - 0,4.
Q - разность энергий между нижним уровнем (дном) зоны проводимости и верхним уровнем (потолком) валентной зоны (ширина запрещенной зоны), Дж;
Uотн - относительная разность потенциалов, В, определяется по формуле:

, (2)
здесь:

- текущая разность потенциалов, В;

- фоновая разность потенциалов, В;
k - постоянная Больцмана, Дж/град.;
C - эмпирический коэффициент, зависящий от диэлектрических свойств угля.
Состояние угольного массива (эндогенная пожароопасность угольного массива), риск возникновения и развития очагов самонагревания угля оценивается по прогнозной скорости фильтрации воздуха Vпрогн, м/с, которая рассчитывается по формуле:

, (3)
где: k1, k2, k3 - эмпирические коэффициенты, равные соответственно 0,00078, 2,45 и 0,155;
P0, P1 и P2 - атмосферное давление воздуха на земной поверхности и барометрическое давление воздуха с двух сторон ленточного целика, мм рт. ст.;
L - ширина ленточного целика, м.
к Федеральным нормам и правилам
в области промышленной безопасности
"Инструкция по предупреждению
эндогенных пожаров и безопасному
ведению горных работ на склонных
к самовозгоранию пластах угля",
утвержденным приказом Федеральной
службы по экологическому,
технологическому и атомному надзору
от 16 декабря 2015 г. N 517
ЭНДОГЕННОЙ ПОЖАРООПАСНОСТИ ВЫЕМОЧНЫХ УЧАСТКОВ,
ПРОВЕТРИВАЕМЫХ ПО СХЕМАМ С ИЗОЛИРОВАННЫМ ОТВОДОМ МЕТАНА
ИЗ ВЫРАБОТАННОГО ПРОСТРАНСТВА
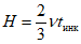
Эндогенную пожароопасность выемочных участков, проветриваемых по схемам с изолированным отводом метана из выработанного пространства, следует оценивать по отношению времени перемещения проветриваемой зоны выработанного пространства tпер, сут., к продолжительности инкубационного периода самовозгорания угля tинк, сут.
При отношении tпер/tинк > 2/3 рассматриваемая схема является пожароопасной. Подготовку выемочных участков, которые будут проветриваться по данным схемам, следует осуществлять спаренными выработками с отводом исходящей струи на сбойку (скважину), отстающую от очистного забоя на пожаробезопасное расстояние H, м:

, (4)
где v - скорость подвигания очистного забоя, м/сут.
Активно проветриваемой зоной при реализации схем проветривания с изолированным отводом метана из выработанного пространства следует считать расстояние от линии очистного забоя до ближайшей "отстающей" сбойки, скважины.
к Федеральным нормам и правилам
в области промышленной безопасности
"Инструкция по предупреждению
эндогенных пожаров и безопасному
ведению горных работ на склонных
к самовозгоранию пластах угля",
утвержденным приказом Федеральной
службы по экологическому,
технологическому и атомному надзору
от 16 декабря 2015 г. N 517
(рекомендуемый образец)
обнаружения признаков самонагревания угля в шахте: _______
Угледобывающая организация: ________________
Комиссия в составе:
председатель: __________________,
члены комиссии: _______________________
составила настоящий акт о том, что __________ на участке __________________
(дата)
___________________________________________________________________________
(подробный адрес: номер, пласт, крыло, квершлаг, горизонт, N лавы (забоя))
обнаружены признаки самонагревания угля (результаты анализов состава
рудничной атмосферы, температуры воды и пород в точках контроля).
Краткая характеристика участка: мощность пласта, угол падения, система
разработки, способ проветривания участка и результаты последних воздушной и
депрессионной съемок, даты оценки фона индикаторных газов и ее результаты,
наличие и характер потерь угля, применяемые меры профилактики
самовозгорания угля.
Дата первого появления признаков самонагревания угля: _________________
Меры, принятые по предупреждению самонагревания угля по первым
признакам: ________________________________________________________________
Комиссия считает, что причиной самонагревания угля явилось: ___________
___________________________________________________________________________
Для локализации и ликвидации очага самонагревания комиссия предлагает
выполнить следующие меры:
Наименование мероприятия | Срок исполнения | Ответственный за исполнение | Примечание |
1 | 2 | 3 | 4 |
| | | |
Настоящий акт составлен в трех экземплярах.
К акту прилагаются выкопировка с плана горных работ.
Подписи:
председатель: ____________________
члены комиссии: ___________________
к Федеральным нормам и правилам
в области промышленной безопасности
"Инструкция по предупреждению
эндогенных пожаров и безопасному
ведению горных работ на склонных
к самовозгоранию пластах угля",
утвержденным приказом Федеральной
службы по экологическому,
технологическому и атомному надзору
от 16 декабря 2015 г. N 517
(рекомендуемый образец)
АКТ РЕГИСТРАЦИИ ЭНДОГЕННОГО ПОЖАРА
Эндогенный пожар N _____, обнаруженный "__" ______ 20__ г.,
по пласту ______________ шахты _____________
угледобывающей организации _________________
1. Наименование угледобывающей организации, ее организационно-правовая
форма и место нахождения: _________________________________________________
2. Состав комиссии:
председатель: _________________________
(Ф.И.О., должность)
члены комиссии: ___________________________
3. Характеристика объекта (участка) и места аварии.
3.1. Наименование пласта: _________________________
3.2. Горизонт ______________, крыло _______________
3.3. Номер выемочного участка: ____________________
3.4. Место обнаружения пожара: ____________________
3.5. Обстоятельства и признаки обнаружения пожара: ____________________
4. Геологическая характеристика аварийного участка: ___________________
5. Границы пожарного участка (по падению, простиранию и в крест
простирания), выработки, угрожаемые по влиянию опасных факторов пожара:
___________________________________________________________________________
Настоящий акт составлен в трех экземплярах.
К акту прилагается выкопировка с плана горных работ с нанесением
контура пожара.
Подписи:
председатель: _________________________
члены комиссии: _______________________
к Федеральным нормам и правилам
в области промышленной безопасности
"Инструкция по предупреждению
эндогенных пожаров и безопасному
ведению горных работ на склонных
к самовозгоранию пластах угля",
утвержденным приказом Федеральной
службы по экологическому,
технологическому и атомному надзору
от 16 декабря 2015 г. N 517
(рекомендуемый образец)
списания подземного эндогенного пожара в категорию "потушенные"
Угледобывающая организация: ___________________________________________
Дата "__" _______________ 20__ г. N ____________
Горизонт: ___________________________
На списание подземного пожара N ______________ в категорию "потушенные"
по шахте: _____________________
Комиссия в составе:
председатель: ______________________,
члены комиссии: ______________________
рассмотрела материалы и документы по тушению пожара N _________________
Данные о пожарном выемочном поле, его изоляции и тушении:
место пожара (пласт, крыло, выемочное поле): __________________________
мощность пласта, м: ___________________________________________________
угол падения, град.: __________________________________________________
вмещающие породы: кровля _________________, почва _____________________
Дата возникновения пожара "__" ______________ 20__ г.
Время отработки выемочного поля: ______________________________________
Размеры поля: по падению, м: _____________, по простиранию, м: ________
Геологические запасы в пожарном выемочном поле: ____________ тыс. тонн.
Потери: общие: __________________ тыс. тонн, ________%
эксплуатационные: ________ тыс. тонн, ________%
Запасы, оставшиеся в пожарном выемочном поле: ______________ тыс. тонн.
Система разработки: ___________________________________________________
Способ изоляции пожарного выемочного поля: ____________________________
Начало тушения пожара "__" ______________ 20__ г.
Конец тушения пожара "__" ______________ 20__ г.
Объем выполненных работ (основных работ по тушению пожара):
бурение заиловочных скважин, м: _______________
бурение контрольных скважин, м: _______________
заиливание, м3: _______ глины в целике
засыпка, м3: ______________________________
другие работы: __________________________________________________
Экономический ущерб от пожара, руб.: _________________________________,
в том числе услуги ПАСС(Ф), руб.: _________________
Признаки, обнаруженные на поверхности и в подземных выработках,
характеризующие окончание тушения пожара: _________________________________
Комиссия приняла решение:
председатель: __________________________
члены комиссии: __________________________