Главная // Актуальные документы СПРАВКА
Источник публикации
М.: ФГБУ "Институт стандартизации", 2024
Примечание к документу
Текст данного документа приведен с учетом
поправки, опубликованной в "ИУС", N 10, 2024.
Документ
введен в действие с 01.12.2024 с правом досрочного применения.
Название документа
"ГОСТ ISO 6259-2-2023. Межгосударственный стандарт. Трубы из термопластов. Определение механических свойств при растяжении. Часть 2. Трубы из непластифицированного поливинилхлорида (НПВХ), ориентированного непластифицированного поливинилхлорида (ПВХ-О), хлорированного поливинилхлорида (ХПВХ) и ударопрочного поливинилхлорида (УПВХ)"
(введен в действие Приказом Росстандарта от 28.12.2023 N 1714-ст)
"ГОСТ ISO 6259-2-2023. Межгосударственный стандарт. Трубы из термопластов. Определение механических свойств при растяжении. Часть 2. Трубы из непластифицированного поливинилхлорида (НПВХ), ориентированного непластифицированного поливинилхлорида (ПВХ-О), хлорированного поливинилхлорида (ХПВХ) и ударопрочного поливинилхлорида (УПВХ)"
(введен в действие Приказом Росстандарта от 28.12.2023 N 1714-ст)
агентства по техническому
регулированию и метрологии
от 28 декабря 2023 г. N 1714-ст
МЕЖГОСУДАРСТВЕННЫЙ СТАНДАРТ
ТРУБЫ ИЗ ТЕРМОПЛАСТОВ
ОПРЕДЕЛЕНИЕ МЕХАНИЧЕСКИХ СВОЙСТВ ПРИ РАСТЯЖЕНИИ
ЧАСТЬ 2
ТРУБЫ ИЗ НЕПЛАСТИФИЦИРОВАННОГО ПОЛИВИНИЛХЛОРИДА (НПВХ),
ОРИЕНТИРОВАННОГО НЕПЛАСТИФИЦИРОВАННОГО ПОЛИВИНИЛХЛОРИДА
(ПВХ-О), ХЛОРИРОВАННОГО ПОЛИВИНИЛХЛОРИДА (ХПВХ)
И УДАРОПРОЧНОГО ПОЛИВИНИЛХЛОРИДА (УПВХ)
Thermoplastics pipes.
Determination of tensile properties.
Part 2.
Pipes made of unplasticized poly(vinyl chloride)
(PVC-U), oriented unplasticized poly(vinyl chloride)
(PVC-O), chlorinated poly(vinyl chloride) (PVC-C)
and high-impact poly(vinyl chloride) (PVC-HI)
(ISO 6259-2:2020, IDT)
ГОСТ ISO 6259-2-2023
Дата введения
1 декабря 2024 года
с правом досрочного применения
Цели, основные принципы и общие правила проведения работ по межгосударственной стандартизации установлены
ГОСТ 1.0 "Межгосударственная система стандартизации. Основные положения" и
ГОСТ 1.2 "Межгосударственная система стандартизации. Стандарты межгосударственные, правила и рекомендации по межгосударственной стандартизации. Правила разработки, принятия, обновления и отмены"
1 ПОДГОТОВЛЕН Обществом с ограниченной ответственностью "Группа ПОЛИПЛАСТИК" (ООО "Группа ПОЛИПЛАСТИК") на основе собственного перевода на русский язык англоязычной версии стандарта, указанного в
пункте 5
2 ВНЕСЕН Федеральным агентством по техническому регулированию и метрологии
3 ПРИНЯТ Межгосударственным советом по стандартизации, метрологии и сертификации (протокол от 27 декабря 2023 г. N 168-П)
За принятие проголосовали:
Краткое наименование страны по МК (ИСО 3166) 004-97 | Код страны по МК (ИСО 3166) 004-97 | Сокращенное наименование национального органа по стандартизации |
Армения | AM | ЗАО "Национальный орган по стандартизации и метрологии" Республики Армения |
Беларусь | BY | Госстандарт Республики Беларусь |
Киргизия | KG | Кыргызстандарт |
Россия | RU | Росстандарт |
Таджикистан | TJ | Таджикстандарт |
Узбекистан | UZ | Узстандарт |
4
Приказом Федерального агентства по техническому регулированию и метрологии от 28 декабря 2023 г. N 1714-ст межгосударственный стандарт ГОСТ ISO 6259-2-2023 введен в действие в качестве национального стандарта Российской Федерации с 1 декабря 2024 г. с правом досрочного применения
5 Настоящий стандарт идентичен международному стандарту ISO 6259-2:2020 "Трубы из термопластов. Определение механических свойств при растяжении. Часть 2. Трубы из непластифицированного поливинилхлорида (НПВХ), ориентированного непластифицированного поливинилхлорида (ПВХ-О), хлорированного поливинилхлорида (ХПВХ) и ударопрочного поливинилхлорида (УПВХ)" ("Thermoplastics pipes - Determination of tensile properties - Part 2: Pipes made of unplasticized poly(vinyl chloride) (PVC-U), oriented unplasticized poly(vinyl chloride) (PVC-O), chlorinated poly(vinyl chloride) (PVC-C) and high-impact poly(vinyl chloride) (PVC-HI)", IDT).
Международный стандарт разработан Техническим комитетом по стандартизации ISO/TC 138 "Пластмассовые трубы, фитинги и арматура для транспортирования жидких и газообразных сред", подкомитетом SC 5 "Общие свойства труб, фитингов и арматуры из пластмасс и их комплектующих. Методы испытаний и основные технические требования" Международной организации по стандартизации (ISO).
При применении настоящего стандарта рекомендуется использовать вместо ссылочных международных стандартов соответствующие им межгосударственные стандарты, сведения о которых приведены в дополнительном
приложении ДА
6 ВВЕДЕН ВПЕРВЫЕ
Информация о введении в действие (прекращении действия) настоящего стандарта и изменений к нему на территории указанных выше государств публикуется в указателях национальных стандартов, издаваемых в этих государствах, а также в сети Интернет на сайтах соответствующих национальных органов по стандартизации.
В случае пересмотра, изменения или отмены настоящего стандарта соответствующая информация будет опубликована на официальном интернет-сайте Межгосударственного совета по стандартизации, метрологии и сертификации в каталоге "Межгосударственные стандарты"
Настоящий стандарт устанавливает метод определения свойств при растяжении образцов труб, изготовленных из НПВХ, ПВХ-О, ХПВХ и УПВХ.
Примечание - В некоторых странах УПВХ обозначается как МПВХ или АПВХ.
Полученные данные могут использоваться при дальнейших испытаниях в научных исследованиях и разработках.
Данный метод не применяют, если условия приложения нагрузки значительно отличаются от условий, описанных в данном методе, например испытания на удар, ползучесть и усталость.
Испытание на растяжение следует рассматривать, прежде всего, как испытание материала в форме трубы. Результаты могут применяться для контроля процесса переработки материала, но не для количественной оценки длительной эксплуатационной прочности труб.
Настоящий стандарт был разработан на основе ISO 527-1 и ISO 527-2.
Стандарт разработан как отдельный документ, который может использоваться непосредственно для определения свойств труб из термопластов при растяжении. В случае необходимости получения дополнительных результатов испытаний, не описанных в настоящем стандарте, следует применять стандарты серии ISO 527.
Однако необходимо отметить, что серия стандартов ISO 527 распространяется на материалы в форме листов, тогда как настоящий стандарт серии ISO 6259 относится только к материалам в форме труб.
Поскольку метод предписывает проводить испытания на образцах труб в том виде, в котором они поставляются, т.е. без уменьшения толщины, возникают трудности при выборе образца для испытания.
Серия стандартов ISO 527 устанавливает толщину образцов для испытаний в несколько миллиметров, в то время как толщина стенки трубы может превышать 50 мм. В связи с этим в стандарт были внесены некоторые изменения.
Для тонкостенных труб образец для испытания может быть получен вырубкой штампом-просечкой, тогда как для толстостенных - только путем механической обработки.
В настоящее время серия стандартов ГОСТ ISO 6259 состоит из трех частей:
-
ГОСТ ISO 6259-1 дает общие условия, при которых должны определяться свойства при растяжении труб из термопластов;
- ГОСТ ISO 6259-2 (настоящий стандарт) и
ГОСТ ISO 6259-3 содержат, соответственно, конкретную информацию о проведении испытаний труб из различных материалов.
Основные технические требования для различных материалов изложены в справочных приложениях соответствующих частей.
Настоящий стандарт устанавливает метод определения свойств при растяжении труб, изготовленных из непластифицированного поливинилхлорида (НПВХ), ориентированного непластифицированного поливинилхлорида (ПВХ-О), хлорированного поливинилхлорида (ХПВХ) и ударопрочного поливинилхлорида (УПВХ, МПВХ или АПВХ), включая следующие показатели:
- предел текучести при растяжении и прочность при разрыве;
- относительное удлинение при разрыве.
Примечание - Общие требования к методу определения свойств при растяжении труб из термопластов приведены в ISO 6259-1.
Настоящий стандарт содержит рекомендуемые основные технические требования, приведенные в
приложениях A,
B,
C и
D.
В настоящем стандарте использована нормативная ссылка на следующий стандарт [для датированных ссылок применяют только указанное издание ссылочного стандарта, для недатированных - последнее издание (включая все изменения)]:
ISO 6259-1:2015, Thermoplastics pipes - Determination of tensile properties - Part 1: General test method (Трубы из термопластов. Определение свойств при растяжении. Часть 1. Общий метод испытания)
В настоящем стандарте применены следующие термины с соответствующими определениями:
ISO и IEC поддерживают терминологическую базу данных, используемую в целях стандартизации по следующим адресам:
- платформа онлайн-просмотра ISO: доступна по адресу https://www.iso.org/obp/;
- Электропедия IEC: доступна по адресу https://www.electropedia.org/.
3.1 Определения, относящиеся к характеристикам материала
3.1.1 усилие при разрыве Fb (force at break): Нагрузка, зафиксированная при разрыве образца для испытания.
Примечание 1 - Значения в Н.
Примечание 2 - Это величина нагрузки на кривой "усилие - деформация" непосредственно перед разрушением образца для испытания, т.е. непосредственно перед падением нагрузки, вызванным появлением трещины.
3.1.2
прочность при разрыве 
(stress at break): Напряжение, измеренное при разрыве образца для испытания.
Примечание 1 - Значения в МПа.
Примечание 2 - Это значение напряжения на кривой "напряжение - относительное удлинение" непосредственно перед разрушением образца для испытания, т.е. непосредственно перед падением напряжения, вызванным появлением трещины.
В соответствии с разделом 4 ISO 6259-1:2015 применительно к термопластичным материалам, указанным в настоящем стандарте.
В соответствии с разделом 5 ISO 6259-1:2015 применительно к термопластичным материалам, указанным в настоящем стандарте.
6.1 Общие требования
Образцы для испытаний должны быть получены путем вырубки или механической обработки. Метод получения определяется толщиной стенки трубы и видом термопластичного материала.
При получении образцов для испытаний вырубкой с использованием штампа-просечки следует соблюдать осторожность, чтобы не повредить образец для испытания и не получить непараллельные стороны.
6.2 Размеры образцов для испытаний
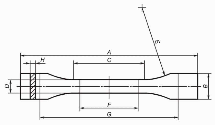
Рисунок 1 - Образец для испытания, изготовляемый
механической обработкой (тип 1)
Таблица 1
Размеры образца для испытания, изготовленного
механической обработкой
Обозначение | Параметр | Размеры, мм |
A | Минимальная общая длина | 115 |
B | Ширина головки | >= 15 |
C | Длина рабочей части, параллельная часть | 33 +/- 2 |
D | Ширина рабочей части, параллельная часть | 6+0,4 |
E | Радиус закругления | 14 +/- 1 |
F | Расчетная длина | 25 +/- 1 |
G | Начальное расстояние между зажимами | 80 +/- 5 |
H | Толщина | Соответствует толщине стенки трубы |
J - контрольные метки
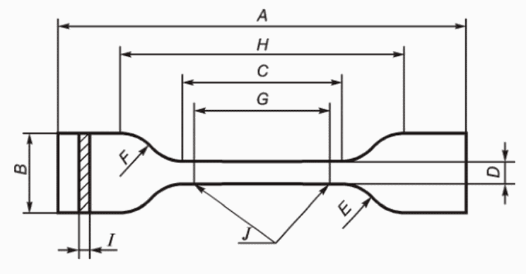
Рисунок 2 - Образец для испытания, изготовляемый вырубкой
штампом-просечкой (тип 2)
Таблица 2
Размеры образца для испытания,
изготовляемого вырубкой штампом-просечкой
Обозначение | Параметр | Размеры, мм |
A | Минимальная общая длина | 115 |
B | Ширина головки | 25 +/- 1 |
C | Длина рабочей части, плоскопараллельная часть | 33 +/- 2 |
D | Ширина рабочей части, плоскопараллельная часть | 6+0,4 |
E | Малый радиус закругления | 14 +/- 1 |
F | Большой радиус закругления | 25 +/- 2 |
G | Расчетная длина | 25 +/- 1 |
H | Начальное расстояние между зажимами | 80 +/- 5 |
I | Толщина | Соответствует толщине стенки трубы |
6.3 Подготовка образцов для испытаний
6.3.1 Отбор образцов для испытаний из трубы
Образцы для испытаний из трубы должны соответствовать требованиям
6.2 и ISO 6259-1:2015 (пункт 6.2.1) в соответствующих случаях.
Минимальное количество образцов для испытаний выбирается в соответствии с ISO 6259-1:2015 (таблица 1). Для размеров от 250 мм и более применяют увеличенное количество образцов для испытаний в соответствии с
таблицей 3.
Таблица 3
Минимальное число образцов для испытаний
Номинальный наружный диаметр dn, мм | 75 <= dn < 250 | 250 <= dn < 710 | dn >= 710 |
Количество полосок | 5 | 8 | 12 |
6.3.2 Изготовление образцов для испытаний
Количество образцов для испытаний и метод их изготовления выбирают с учетом толщины стенки и материала трубы. Образцы для испытаний изготовляют из центральной части полосы, вырезанной из отрезка трубы в соответствии с ISO 62591:2015 (пункт 6.2.1) и
6.3.3 или
6.3.4 в соответствующих случаях.
Для труб из непластифицированного поливинилхлорида (НПВХ) и труб, изготовленных из ударопрочного поливинилхлорида (УПВХ), образцы для испытаний изготовляют в соответствии с
пунктом a) или
пунктом b):
a) трубы толщиной стенки 12 мм и менее.
Образцы для испытаний изготовляют как вырубкой штампом-просечкой (см.
6.3.3 и
рисунок 2), так и механической обработкой (см.
6.3.4 и
рисунок 1). В случае межлабораторных испытаний образцы изготовляют механической обработкой;
b) трубы толщиной стенки более 12 мм.
Образцы для испытаний изготовляют только механической обработкой (см.
рисунок 1);
c) для труб из ориентированного непластифицированного поливинилхлорида (ПВХ-О), труб из хлорированного поливинилхлорида (ХПВХ) и труб, изготовленных из смеси непластифицированного поливинилхлорида и хлорированного поливинилхлорида (НПВХ/ХПВХ), образцы для испытаний изготовляют только механической обработкой независимо от толщины стенки.
6.3.3 Способ вырубки штампом-просечкой
Для изготовления образцов для испытаний применяют штамп-просечку (см. пункт 5.6 ISO 62591:2015) с профилем, показанным на
рисунке 2.
Нагревают полосу в воздушном термошкафу при температуре от 125 °C до 130 °C из расчета 1 мин на миллиметр толщины.
Вырубают образец для испытания сразу после извлечения полосы из термошкафа, устанавливая штамп-просечку на внутреннюю поверхность и прикладывая постоянное непрерывное давление. Затем охлаждают полученный образец для испытания на воздухе при температуре окружающей среды.
6.3.4 Способ механической обработки
В соответствии с пунктом 6.2.2.3 ISO 6259-1:2015.
Для труб номинальным наружным диаметром равным или более 50 мм полосы подвергают фрезерованию без предварительной обработки.
Для труб номинальным наружным диаметром менее 50 мм полосы подвергают фрезерованию после их распрямления при следующих условиях (за исключением труб ПВХ-О, так как при нагревании они теряют ориентацию):
a) температура:
- от 125 °C до 130 °C для труб из НПВХ или УПВХ,
- от 135 °C до 140 °C для труб из ХПВХ или труб, изготовленных из смеси НПВХ/ХПВХ;
b) длительность прогрева: 1 мин на миллиметр толщины;
c) давление при распрямлении: значение должно быть таким, чтобы оно не вызывало изменения толщины стенки полосы.
Охлаждают на воздухе до температуры окружающей среды.
В соответствии с разделом 7 ISO 6259-1:2015.
Скорость испытания, то есть скорость раздвижения зажимов, должна быть (5 +/- 0,5) мм/мин для всех образцов для испытаний, независимо от толщины.
Испытания проводят в соответствии с разделом 9 ISO 6259-1:2015 с учетом приведенных далее изменений.
Изменения:
9.6 Записывают кривую напряжение - относительное удлинение до разрыва образца для испытания и указывают на этой кривой усилие при пределе текучести, усилие при разрыве, если требуется, и расчетную длину при разрыве или напрямую записывают значение усилия при пределе текучести, усилие при разрыве и расчетную длину при разрыве образца для испытания.
Образцы, которые выскользнули из зажимов во время испытания, разрушились в одном из плеч или деформировались таким образом, что это привело к изменению ширины плеча, заменяют другими в том же количестве и испытывают вновь.
10.1 Общие требования
Обработка результатов испытаний производится в соответствии с разделом 10 ISO 62591:2015 с учетом приведенных далее изменений.
Изменения:
10.2 Предел текучести при растяжении и прочность при разрыве
10.2.1 Предел текучести при растяжении
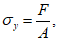
Предел текучести при растяжении каждого образца для испытания вычисляют исходя из начальной площади его поперечного сечения по формуле

(1)
где

- предел текучести при растяжении, МПа (1 МПа = 1 Н/мм
2);
F - усилие при пределе текучести, Н;
A - начальная площадь поперечного сечения образца для испытания, мм2.
Результат округляют до трех значащих цифр.
Примечание - Теоретически напряжение при пределе текучести необходимо рассчитывать по площади поперечного сечения образца для испытания при растяжении, но для удобства используется начальная площадь поперечного сечения.
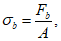
10.2.2 Прочность при разрыве (при необходимости)
Прочность при разрыве каждого образца для испытания вычисляют исходя из начальной площади его поперечного сечения по формуле

(2)
где

- прочность при разрыве, МПа (1 МПа = 1 Н/мм
2);
Fb - усилие в момент разрушения образца, Н;
A - начальная площадь поперечного сечения образца для испытания, мм2.
Результат округляют до трех значащих цифр.
Примечание - Теоретически прочность при разрыве необходимо рассчитывать по площади поперечного сечения образца для испытания в точке разрыва, но для удобства используется начальная площадь поперечного сечения.
Протокол испытания составляют в соответствии с разделом 11 ISO 62591:2015 с учетом приведенных далее изменений.
Изменения:
g) предел текучести при растяжении и/или прочность при разрыве (отдельные значения, среднее арифметическое и стандартное отклонение) при необходимости.
(справочное)
ТРУБЫ ИЗ НЕПЛАСТИФИЦИРОВАННОГО ПОЛИВИНИЛХЛОРИДА (НПВХ).
ОСНОВНЫЕ ТЕХНИЧЕСКИЕ ТРЕБОВАНИЯ
Рекомендуемые минимальные значения свойств при растяжении труб из непластифицированного поливинилхлорида (НПВХ), определенные в условиях испытания согласно настоящему стандарту:
a) напорные трубы:
- индивидуальные значения предела текучести при растяжении или при разрыве:

и/или

,
- индивидуальные значения удлинения при разрыве:

;
b) трубы для безнапорных систем:
- индивидуальные значения относительного удлинения при разрыве:

.
(справочное)
ТРУБЫ ИЗ ОРИЕНТИРОВАННОГО НЕПЛАСТИФИЦИРОВАННОГО
ПОЛИВИНИЛХЛОРИДА (ПВХО). ОСНОВНЫЕ ТЕХНИЧЕСКИЕ ТРЕБОВАНИЯ
Рекомендуемые минимальные свойства при растяжении труб из ПВХ-О, измеренные в условиях испытаний, приведенные в ISO 6259-1 и настоящем стандарте:
- индивидуальные значения предела текучести при растяжении или при разрыве:

и/или

.
(справочное)
ТРУБЫ ИЗ ХЛОРИРОВАННОГО ПОЛИВИНИЛХЛОРИДА (ХПВХ) И ТРУБЫ
ИЗ СМЕСИ НЕПЛАСТИФИЦИРОВАННОГО ПОЛИВИНИЛХЛОРИДА
И ХЛОРИРОВАННОГО ПОЛИВИНИЛХЛОРИДА (НПВХ/ХПВХ).
ОСНОВНЫЕ ТЕХНИЧЕСКИЕ ТРЕБОВАНИЯ
Рекомендуемые минимальные свойства при растяжении труб из ХПВХ и труб из смеси НПВХ/ХПВХ, измеренные в условиях испытаний, приведенных в ISO 6259-1 и настоящем стандарте:
a) напорные трубы:
- индивидуальные значения предела текучести при растяжении:

,
- индивидуальные значения относительного удлинения при разрыве:

;
b) трубы для безнапорных систем:
- индивидуальные значения предела текучести при растяжении:

,
- индивидуальные значения относительного удлинения при разрыве:

.
(справочное)
ТРУБЫ ИЗ УДАРОПРОЧНОГО ПОЛИВИНИЛХЛОРИДА (УПВХ).
ОСНОВНЫЕ ТЕХНИЧЕСКИЕ ТРЕБОВАНИЯ
Рекомендуемые минимальные свойства при растяжении труб из УПВХ, измеренные в условиях испытаний, приведенных в ISO 6259-1 и настоящем стандарте:
- индивидуальные значения предела текучести при растяжении:

;
- индивидуальные значения относительного удлинения при разрыве:

.
(справочное)
СВЕДЕНИЯ О СООТВЕТСТВИИ ССЫЛОЧНЫХ МЕЖДУНАРОДНЫХ СТАНДАРТОВ
МЕЖГОСУДАРСТВЕННЫМ СТАНДАРТАМ
Таблица ДА.1
Обозначение ссылочного международного стандарта | Степень соответствия | Обозначение и наименование соответствующего межгосударственного стандарта |
ISO 6259-1:2015 | IDT | ГОСТ ISO 6259-1-2023 "Трубы из термопластов. Определение механических свойств при растяжении. Часть 1. Общий метод испытания" |
Примечание - В настоящей таблице использовано следующее условное обозначение степени соответствия стандарта: - IDT - идентичный стандарт. |
[1] | ISO 527-1 | Plastics - Determination of tensile properties - Part 1: General principles |
[2] | ISO 527-2 | Plastics - Determination of tensile properties - Part 2: Test conditions for moulding and extrusion plastics |
УДК 678.017:006.354 | | IDT |
Ключевые слова: трубы из термопластов, предел текучести, прочность при разрыве, удлинение при разрыве, непластифицированный поливинилхлорид (НПВХ), ориентированный непластифицированный поливинилхлорид (ПВХ-О), хлорированный поливинилхлорид (ХПВХ), ударопрочный поливинилхлорид (УПВХ) |