Главная // Пожарная безопасность СПРАВКА
Источник публикации
В данном виде документ опубликован не был.
Первоначальный текст документа опубликован в издании
М.: Стандартинформ, 2019.
Информацию о публикации документов, создающих данную редакцию, см. в справке к этим документам.
Примечание к документу
Отдельные положения данного документа включены в
Перечень документов в области стандартизации, в результате применения которых на добровольной основе обеспечивается соблюдение требований Федерального
закона от 22.07.2008 N 123-ФЗ "Технический регламент о требованиях пожарной безопасности" (
Приказ Росстандарта от 13.02.2023 N 318).
Отдельные положения данного документа включены в
Перечень документов в области стандартизации, в результате применения которых на добровольной основе обеспечивается соблюдение требований Федерального
закона от 22.07.2008 N 123-ФЗ "Технический регламент о требованиях пожарной безопасности" (
Приказ Росстандарта от 14.07.2020 N 1190).
Отдельные положения данного документа включены в
Перечень документов в области стандартизации, в результате применения которых на добровольной основе обеспечивается соблюдение требований Федерального
закона от 22.07.2008 N 123-ФЗ "Технический регламент о требованиях пожарной безопасности" (
Приказ Росстандарта от 03.06.2019 N 1317).
Документ включен в
Перечень национальных стандартов, содержащих правила и методы исследований (испытаний) и измерений, в том числе правила отбора образцов, необходимых для применения и исполнения Федерального
закона от 22.07.2008 N 123-ФЗ и осуществления оценки соответствия (
Распоряжение Правительства РФ от 10.03.2009 N 304-р).
Текст данного документа приведен с учетом
поправки, введенной в действие с 02.10.2024, опубликованной в "ИУС", N 12, 2024.
Изменение N 1, утв. Приказом Росстандарта от 19.12.2019 N 1501-ст, введено в действие с 01.06.2020.
Название документа
"ГОСТ Р 53300-2009. Национальный стандарт Российской Федерации. Противодымная защита зданий и сооружений. Методы приемо-сдаточных и периодических испытаний"
(утв. и введен в действие Приказом Ростехрегулирования от 18.02.2009 N 76-ст)
(ред. от 19.12.2019)
"ГОСТ Р 53300-2009. Национальный стандарт Российской Федерации. Противодымная защита зданий и сооружений. Методы приемо-сдаточных и периодических испытаний"
(утв. и введен в действие Приказом Ростехрегулирования от 18.02.2009 N 76-ст)
(ред. от 19.12.2019)
Утвержден и введен в действие
агентства по техническому
регулированию и метрологии
от 18 февраля 2009 г. N 76-ст
НАЦИОНАЛЬНЫЙ СТАНДАРТ РОССИЙСКОЙ ФЕДЕРАЦИИ
ПРОТИВОДЫМНАЯ ЗАЩИТА ЗДАНИЙ И СООРУЖЕНИЙ
МЕТОДЫ ПРИЕМО-СДАТОЧНЫХ И ПЕРИОДИЧЕСКИХ ИСПЫТАНИЙ
The smoke control systems of buildings.
Methods of acceptance and routine tests
ГОСТ Р 53300-2009
| | Список изменяющих документов Росстандарта от 19.12.2019 N 1501-ст) | |
| | В соответствии с Приказом Ростехрегулирования от 18.02.2009 N 76-ст данный документ введен в действие с 01.05.2009. | |
Дата введения
1 января 2010 года
1 РАЗРАБОТАН Федеральным государственным бюджетным учреждением "Всероссийский ордена "Знак Почета" научно-исследовательский институт противопожарной обороны" Министерства Российской Федерации по делам гражданской обороны, чрезвычайным ситуациям и ликвидации последствий стихийных бедствий (ФГБУ ВНИИПО МЧС России)
2 ВНЕСЕН Техническим комитетом по стандартизации ТК 274 "Пожарная безопасность"
3 УТВЕРЖДЕН И ВВЕДЕН В ДЕЙСТВИЕ
Приказом Федерального агентства по техническому регулированию и метрологии от 18 февраля 2009 г. N 76-ст
| | Пункт 4 исключен Поправкой, опубликованной в "ИУС" Национальные стандарты, N 12, 2024 г. | |
4 В настоящем стандарте учтены требования международного стандарта EN 137:2006 "Защитные дыхательные устройства. Автономный дыхательный аппарат открытого цикла со сжатым воздухом с полнолицевой лицевой частью. Требования, испытания, маркировка"
5 ВВЕДЕН ВПЕРВЫЕ
6 ПЕРЕИЗДАНИЕ. Июнь 2019 г.
Правила применения настоящего стандарта установлены в статье 26 Федерального закона от 29 июня 2015 г. N 162-ФЗ "О стандартизации в Российской Федерации". Информация об изменениях к настоящему стандарту публикуется в ежегодном (по состоянию на 1 января текущего года) информационном указателе "Национальные стандарты", а официальный текст изменений и поправок - в ежемесячном информационном указателе "Национальные стандарты". В случае пересмотра (замены) или отмены настоящего стандарта соответствующее уведомление будет опубликовано в ближайшем выпуске ежемесячного информационного указателя "Национальные стандарты". Соответствующая информация, уведомление и тексты размещаются также в информационной системе общего пользования - на официальном сайте Федерального агентства по техническому регулированию и метрологии в сети Интернет (www.gost.ru)
(раздел 1 в ред.
Изменения N 1, утв. Приказом Росстандарта от 19.12.2019 N 1501-ст)
1.1 Настоящий стандарт устанавливает методы приемо-сдаточных и периодических испытаний систем противодымной вентиляции зданий и сооружений различного назначения (далее - здания), а именно:
систем вытяжной противодымной вентиляции с механическим побуждением тяги;
систем приточной противодымной вентиляции с механическим побуждением тяги;
систем вытяжной противодымной вентиляции с функционально взаимосвязанными конструктивными элементами приточной противодымной вентиляции с механическим побуждением общей тяги.
1.2 Установленные настоящим стандартом методы приемо-сдаточных и периодических испытаний предназначены для определения технического состояния систем противодымной вентиляции с учетом возможности:
- ввода в эксплуатацию смонтированных систем во вновь выстроенных или в реконструированных зданиях при проведении приемо-сдаточных испытаний;
- продолжения эксплуатации смонтированных систем в ранее выстроенных зданиях при проведении периодических испытаний.
1.3 Настоящий стандарт не предназначен для проведения приемо-сдаточных и периодических испытаний систем приточно-вытяжной противодымной вентиляции зданий только с естественным побуждением тяги.
В настоящем стандарте использована нормативная ссылка на следующий стандарт:
ГОСТ 12.3.018 Система стандартов безопасности труда. Системы вентиляционные. Методы аэродинамических испытаний
(в ред.
Изменения N 1, утв. Приказом Росстандарта от 19.12.2019 N 1501-ст)
Примечание - При пользовании настоящим стандартом целесообразно проверить действие ссылочных стандартов в информационной системе общего пользования - на официальном сайте Федерального агентства по техническому регулированию и метрологии в сети Интернет или по ежегодному информационному указателю "Национальные стандарты", который опубликован по состоянию на 1 января текущего года, и по выпускам ежемесячного информационного указателя "Национальные стандарты" за текущий год. Если заменен ссылочный стандарт, на который дана недатированная ссылка, то рекомендуется использовать действующую версию этого стандарта с учетом всех внесенных в данную версию изменений. Если заменен ссылочный стандарт, на который дана датированная ссылка, то рекомендуется использовать версию этого стандарта с указанным выше годом утверждения (принятия). Если после утверждения настоящего стандарта в ссылочный стандарт, на который дана датированная ссылка, внесено изменение, затрагивающее положение, на которое дана ссылка, то это положение рекомендуется применять без учета данного изменения. Если ссылочный стандарт отменен без замены, то положение, в котором дана ссылка на него, рекомендуется применять в части, не затрагивающей эту ссылку.
| | Применение на добровольной основе пункта 3 обеспечивает соблюдение требований Федерального закона от 22.07.2008 N 123-ФЗ "Технический регламент о требованиях пожарной безопасности" (Приказ Росстандарта от 16.04.2014 N 474). | |
| | Применение на добровольной основе пункта 3 обеспечивает соблюдение требований Федерального закона от 22.07.2008 N 123-ФЗ "Технический регламент о требованиях пожарной безопасности" (Приказ Ростехрегулирования от 30.04.2009 N 1573). | |
3 Режимы и критерии оценки испытаний
(в ред.
Изменения N 1, утв. Приказом Росстандарта от 19.12.2019 N 1501-ст)
3.1 Испытуемые системы противодымной вентиляции должны обеспечивать проектные режимы совместного действия в заданной последовательности и требуемом сочетании при достижении нормированных по
[1] основных показателей назначения.
(п. 3.1 в ред.
Изменения N 1, утв. Приказом Росстандарта от 19.12.2019 N 1501-ст)
3.2 Перечень показателей, контролируемых при приемо-сдаточных испытаниях систем противодымной вентиляции, представлен в таблице 1.
Росстандарта от 19.12.2019 N 1501-ст)
Параметр | Показатель назначения | Способ контроля |
1 Фактические расходы воздуха, удаляемого системами вытяжной противодымной вентиляции через дымоприемные устройства непосредственно из помещений | Количественная оценка | |
2 То же - из коридоров (холлов), расположенных на путях эвакуации | Количественная оценка | |
3 То же - из помещений, защищенных установками газового аэрозольного и порошкового пожаротушения | То же | Не менее 4-кратного воздухообмена |
4 Фактические значения избыточного давления в незадымляемых лестничных клетках типа Н2 (секциях лестничных клеток) | " | В диапазоне от 20 до 150 Па |
5 То же - в шахтах лифтов | " | В диапазоне от 20 до 150 Па |
6 То же - в тамбур-шлюзах с защитой приточной противодымной вентиляцией при одной открытой двери с нормируемой по [1] скоростью истечения воздуха | " | В диапазоне от 20 до 150 Па; не менее 1,3 м/с в плоскости двери |
7 То же - в тамбур-шлюзах с защитой приточной противодымной вентиляцией при закрытых дверях | " | В диапазоне от 20 до 150 Па |
8 То же - в помещениях безопасных зон с защитой приточной противодымной вентиляцией при одной открытой двери с нормируемой по [1] скоростью истечения воздуха | " | В диапазоне от 20 до 150 Па; не менее 1,5 м/с в плоскости двери |
9 То же - в помещениях безопасных зон с защитой приточной противодымной вентиляцией при закрытых дверях с нормативно необходимым согласно [1] подогревом воздуха | " | В диапазоне от 20 до 150 Па; не менее 5 °C в объеме защищаемого помещения |
10 Фактические значения скорости истечения воздуха через сопловые аппараты воздушных завес над воротами изолированных рамп подземных автостоянок | " | Не менее 10 м/с при нормируемых по [1] величинах начальной толщины и ширины истекающей из соплового аппарата воздушной струи |
11 Фактические расходы компенсирующей подачи воздуха системами приточной противодымной вентиляции в нижнюю часть помещений или коридоров | " | По условиям обеспечения материального баланса при нормативно допускаемом по [1] отрицательном дисбалансе не более 15% |
Примечания 1 К тамбур-шлюзам (параметр 6) согласно установленным в [1] требованиям следует относить тамбур-шлюзы, расположенные при выходах в незадымляемые лестничные клетки типа Н2 или Н3, при выходах с уровней цокольных, подвальных или подземных этажей во внутренние лестницы или в атриумы и пассажи, а также лифтовые холлы, отделяющие от примыкающих помещений хранения автомобилей подземных автостоянок. 2 К тамбур-шлюзам (параметр 7) в соответствии с [1] относятся лифтовые холлы, расположенные на уровнях цокольных, подвальных и подземных этажей, тамбур-шлюзы, отделяющие помещения для хранения автомобилей подземных автостоянок от изолированных рамп или помещений иного назначения, а также другие тамбур-шлюзы, не указанные в примечании 1. 3 Величины избыточного давления подлежат определению согласно [1] относительно смежных с защищаемыми помещений. |
3.3 В ходе приемо-сдаточных испытаний должны проверяться показатели, приведенные в
таблице 1 для всех систем противодымной вентиляции, смонтированных в здании.
(в ред.
Изменения N 1, утв. Приказом Росстандарта от 19.12.2019 N 1501-ст)
Дополнительно при комплексной проверке состояния противопожарной защиты здания должна подлежать контролю фактическая толщина огнезащитных покрытий воздуховодов смонтированных систем противодымной вентиляции.
(в ред.
Изменения N 1, утв. Приказом Росстандарта от 19.12.2019 N 1501-ст)
3.4 Исключен с 01.06.2020. -
Изменение N 1, утв. Приказом Росстандарта от 19.12.2019 N 1501-ст.
3.5 Периодические испытания систем противодымной вентиляции должны производиться не реже одного раза в 2 года.
3.6 В ходе проведения периодических испытаний контролю подлежат показатели, приведенные в
таблице 1, не менее чем для 30% от смонтированных в здании систем противодымной вентиляции, отобранных методом случайной выборки.
(п. 3.6 в ред.
Изменения N 1, утв. Приказом Росстандарта от 19.12.2019 N 1501-ст)
3.7 Исключен с 01.06.2020. -
Изменение N 1, утв. Приказом Росстандарта от 19.12.2019 N 1501-ст.
| | Применение на добровольной основе пункта 4 обеспечивает соблюдение требований Федерального закона от 22.07.2008 N 123-ФЗ "Технический регламент о требованиях пожарной безопасности" (Приказ Росстандарта от 16.04.2014 N 474). | |
| | Применение на добровольной основе пункта 4 обеспечивает соблюдение требований Федерального закона от 22.07.2008 N 123-ФЗ "Технический регламент о требованиях пожарной безопасности" (Приказ Ростехрегулирования от 30.04.2009 N 1573). | |
4 Порядок и последовательность проведения приемо-сдаточных и периодических испытаний
4.1 Приемо-сдаточные испытания проводятся после завершения монтажа, обкатки вентагрегатов, регулировки инженерного оборудования, проведения огнезащитных работ, паспортизации систем.
4.2 При испытаниях инициирование действия систем противодымной вентиляции должно производиться наладочной организацией в требуемом сочетании взаимодействия систем.
При отсутствии данных о порядке срабатывания систем приточно-вытяжной противодымной вентиляции допускается инициировать работу систем в автоматическом режиме управления при предварительном обесточивании электроприемников систем автоматического пожаротушения, аварийной сигнализации, речевого оповещения и т.п.
4.3 Контроль фактических параметров систем вытяжной противодымной вентиляции должен производиться на дымоприемных устройствах наиболее удаленных от вентиляторов участков сетей.
4.4 В надземных незадымляемых лестничных клетках типа H2 измерения избыточного давления должны выполняться в два этапа:
- все двери лестничной клетки закрыты, измерения производятся на закрытых дверях нижнего и верхнего этажей;
- все двери лестничной клетки закрыты, за исключением двери на этаже, ведущем из здания наружу, измерения производятся на закрытой двери смежного этажа, расположенного выше от этажа, оборудованного выходом из здания наружу.
В подземных незадымляемых лестничных клетках типа H2 измерения избыточного давления должны выполняться в два этапа:
- все двери лестничной клетки закрыты, измерения производятся на закрытых дверях нижнего и верхнего этажей;
- все двери лестничной клетки закрыты, за исключением двери на этаже, ведущем из здания наружу, измерения производятся на закрытой двери смежного этажа, расположенного ниже от этажа, оборудованного выходом из здания наружу.
4.5 При контроле фактических параметров систем приточной противодымной вентиляции, указанных в
4.4, все двери помещений (тамбуров, холлов, вестибюлей, коридоров), расположенных по ходу эвакуации от лестничной клетки до наружного выхода, должны быть открыты.
4.6 Определение избыточного давления в лифтовых шахтах, связывающих надземные этажи, должно производиться на двери смежного вышележащего этажа по отношению к основному посадочному этажу; в лифтовых шахтах, связывающих подземные этажи, - на двери смежного нижележащего этажа по отношению к основному посадочному этажу.
В лифтовых шахтах, обеспечивающих связь надземных и подземных (в т.ч. цокольных) этажей, подлежат измерению значения избыточного давления на ниже- и вышележащих смежных этажах по отношению к основному посадочному этажу.
4.7 При контроле фактических параметров систем приточной противодымной вентиляции, указанных в
4.6, лифт должен находиться на "основном посадочном этаже", двери кабины и шахты лифта должны быть открыты.
4.8 Измерение избыточного давления в шахтах лифтов на подземных (в т.ч. цокольных) этажах должно производиться при открытых дверях лифтовых холлов.
4.9 Измерение избыточного давления в тамбур-шлюзах должно производиться на закрытых дверях по отношению к имитируемому задымленному помещению.
4.10 Для определения скорости истечения воздуха через открытый дверной проем тамбур-шлюза измерения должны производиться на воздухоприточном устройстве системы приточной противодымной вентиляции. Допускается производить вышеуказанные измерения в сечении канала комбинированным приемником давления в соответствии с положениями
ГОСТ 12.3.018.
(в ред.
Изменения N 1, утв. Приказом Росстандарта от 19.12.2019 N 1501-ст)
Пересчет полученных результатов должен производиться в соответствии с
разделом 6 настоящего стандарта.
4.11 Все измерения должны производиться при закрытых оконных проемах.
4.12 При установке на дымоприемных устройствах декоративных и защитных решеток измерения следует проводить без демонтажа этих решеток.
(п. 4.12 в ред.
Изменения N 1, утв. Приказом Росстандарта от 19.12.2019 N 1501-ст)
4.13 Все измерения производятся не менее чем через 2 мин после запуска систем и выхода их на стационарный режим.
4.14 Количество измерений скорости воздуха должно быть не менее:
- 6 для крыльчатых анемометров;
- 10 для термоанемометров.
4.15 Точки измерения анемометрами в мерном сечении должны быть равноудалены друг от друга.
4.16 Толщина огнезащитного покрытия проверяется выборочно, но не менее 15% от общей площади поверхности огнестойких воздуховодов.
4.17 Допустимая величина невязки фактических параметров по отношению к значениям, определенным в соответствии с
приложением Б, для систем вытяжной противодымной вентиляции должна составлять не более 15%.
(в ред.
Изменения N 1, утв. Приказом Росстандарта от 19.12.2019 N 1501-ст)
4.18 При необходимости определения толщины огнезащитного покрытия на открытых участках огнезащитных работ с учетом положений
3.3 величина среднеквадратичного отклонения от номинальной толщины огнезащитного покрытия воздуховода принимается по технологическому регламенту на нанесение огнезащитного состава.
5 Приборы и средства измерения
5.1 Скорость воздуха при проведении испытаний следует измерять анемометрами класса точности не ниже 1,0.
(в ред.
Изменения N 1, утв. Приказом Росстандарта от 19.12.2019 N 1501-ст)
5.2 Перепад давления в лестничных клетках, лифтовых шахтах, тамбур-шлюзах, лифтовых холлах измеряется дифференциальным манометром класса точности не ниже 1,0.
5.3 Толщина огнезащитного покрытия огнестойких воздуховодов определяется толщиномером класса точности не ниже 1,0.
5.4 Анемометры, дифференциальные манометры и толщиномеры, применяемые при испытаниях, должны быть зарегистрированы в Государственном реестре средств измерений, иметь свидетельства о поверке.
5.5 Диапазоны измерений приборов должны соответствовать требованиям таблицы 2.
Таблица 2
Тип прибора | Диапазон измерений | Единицы измерения |
min | max |
Анемометр | Не более 0,5 | Не менее 20 | м/с |
Дифференциальный манометр | Не более 5 | Не менее 400 | Па |
Толщиномер | Не более 2 | Не менее 150 | мм |
5.6 Дифференциальные манометры должны быть укомплектованы двумя шлангами длиной не менее 3 м каждый. Внутреннее сечение шланга подбирается по внешнему диаметру приемника давления.
6 Обработка результатов измерений
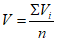
6.1 По результатам всех первичных измерений определяются среднеарифметические значения скорости воздуха V в мерном сечении
(в ред.
Изменения N 1, утв. Приказом Росстандарта от 19.12.2019 N 1501-ст)

, (1)
Росстандарта от 19.12.2019 N 1501-ст)
где Vi - скорость воздуха в i-м измерении, м/с;
(в ред.
Изменения N 1, утв. Приказом Росстандарта от 19.12.2019 N 1501-ст)
n - количество точек.
6.2 Фактический объемный расход воздуха, удаляемого или подаваемого системой противодымной вентиляции, определяется по формулам:
(в ред.
Изменения N 1, утв. Приказом Росстандарта от 19.12.2019 N 1501-ст)
Qвыт = 3600VSвыт; (2)
Росстандарта от 19.12.2019 N 1501-ст)
Qприт = 3600VSприт, (3)
Росстандарта от 19.12.2019 N 1501-ст)
где Qвыт, Qприт - расход воздуха в воздухозаборном, воздухоприточном устройстве соответственно, м3/ч;
Sвыт, Sприт - площадь проходного сечения дымоприемного, воздухоприточного устройства соответственно, м2.
Значения фактического объемного расхода воздуха через открытые дымоприемные устройства сравниваются со значениями требуемого расхода, рассчитанными в соответствии с
приложением Б.
(абзац введен
Изменением N 1, утв. Приказом Росстандарта от 19.12.2019 N 1501-ст)
6.3 Скорость истечения воздуха через открытый дверной проем определяется по формуле

, (4)
где Vприт - средняя скорость истечения приточного воздуха через открытый дверной проем тамбур-шлюза, м/с;
Sдв - площадь двери (большей створки), м2.
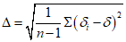
6.4 Среднеквадратичное отклонение от номинальной толщины огнезащитного покрытия определяется по следующей формуле

, (5)
Росстандарта от 19.12.2019 N 1501-ст)
где

- среднеквадратичное отклонение, мм;

- текущее значение толщины огнезащитного покрытия в
i-м измерении, мм;
(абзац введен
Изменением N 1, утв. Приказом Росстандарта от 19.12.2019 N 1501-ст)

- среднеарифметическое значение толщины огнезащитного покрытия, мм.
(абзац введен
Изменением N 1, утв. Приказом Росстандарта от 19.12.2019 N 1501-ст)
7 Представление результатов приемо-сдаточных и периодических испытаний
7.1 По результатам проведения приемо-сдаточных и периодических испытаний систем противодымной вентиляции составляют протокол, форма которого представлена в приложении А.
(рекомендуемое)
ФОРМА ПРОТОКОЛА
ПРИЕМО-СДАТОЧНЫХ АЭРОДИНАМИЧЕСКИХ ИСПЫТАНИЙ
1 Объект приемки
2 Цель приемки
3 Метод приемки
4 Процедура приемки
5 Результаты приемки
5.1 Перечень показателей, подлежащих оценке, и результаты оценки (таблица 1)
Таблица 1
N п/п | Параметр оценки | Методика контроля параметра | Допустимое значение | Заключение о соответствии |
| | | | |
5.2 Основные результаты испытаний систем вытяжной противодымной вентиляции (таблица 2)
Таблица 2
N п/п | Проектн. обознач. | Тип | Функциональное назначение | Основные параметры | Невязка, % |
проектные | фактические |
расход, м3·ч-1 | расход, м3·ч-1 |
| | | | | | |
5.3 Основные результаты испытаний системы приточной противодымной вентиляции (таблица 3)
Таблица 3
Проектн. обознач. | Тип | Функциональное назначение | Основные параметры | Заключение о соответствии |
проектные | фактические |
давление, Па | скорость, м·с-1 | давление, Па | скорость, м·с-1 |
| | | | | | | |
6 Выводы
(обязательное)
РАСЧЕТНОЕ ОПРЕДЕЛЕНИЕ ЗНАЧЕНИЙ ТРЕБУЕМОГО РАСХОДА ВОЗДУХА
ЧЕРЕЗ ОТКРЫТЫЕ ДЫМОПРИЕМНЫЕ УСТРОЙСТВА В ПРИЕМО-СДАТОЧНЫХ
И ПЕРИОДИЧЕСКИХ ИСПЫТАНИЯХ ПРОТИВОДЫМНОЙ ВЕНТИЛЯЦИИ
Росстандарта от 19.12.2019 N 1501-ст)
Б.1 Расход воздуха определяют расчетом для наиболее удаленного от вентилятора дымоприемного устройства испытуемой системы вытяжной противодымной вентиляции при фактической температуре в защищаемом помещении (коридоре) в момент проведения испытаний.
Б.2 Расчет требуемого значения расхода воздуха через открытое дымоприемное устройство испытуемой системы вытяжной противодымной вентиляции следует проводить по формулам:

, (Б.1)

, (Б.2)

, (Б.3)

, (Б.4)

, (Б.5)

, (Б.6)

, (Б.7)

, (Б.8)

, (Б.9)

, (Б.10)
где Psa - давление (разряжение) в вытяжном канале перед вентилятором при температуре перемещаемого воздуха Ta;
Psv - приведенное статическое давление вентилятора (при температуре 20 °C);

- плотность удаляемого газа, перемещаемого вентилятором (при температуре
Tv), К;
g - ускорение свободного падения, g = 9,8 м/с2;
h - разность уровней фактического расположения входного устройства вентилятора и открытого дымоприемного устройства вытяжного канала, м;

- средняя плотность газа в вытяжном канале (усредненная по значениям температуры
Tsm0 и
Tv), кг/м
3;

- плотность воздуха при температуре
Ta;
Ta - температура воздуха в помещениях и в вытяжном вентиляционном канале при проведении приемо-сдаточных и периодических испытаний, К;
Tsm0, Tv - установленные при проектировании испытуемой системы вытяжной противодымной вентиляции значения температуры продуктов горения, непосредственно удаляемых из защищаемого помещения (коридора) и перемещаемых вентилятором соответственно, К;
La, L0 - объемный расход перемещаемого вентилятором воздуха и поступающего через открытое дымоприемное устройство при температуре Ta соответственно, м3/ч;
Ga, G0 - массовый расход перемещаемого вентилятором воздуха и поступающего через открытое дымоприемное устройство при температуре Ta, соответственно, кг/с;
Psn - давление (разряжение) в вытяжном канале у ближайшего к вентилятору закрытого дымоприемного устройства при температуре перемещаемого воздуха Ta;

,

- коэффициенты местного сопротивления вытяжного канала на участке от вентилятора к ближайшему дымоприемному устройству и на остальных (
i-х) участках соответственно;

,

- коэффициенты сопротивления трения вытяжного канала на участке от вентилятора к ближайшему дымоприемному устройству и на остальных (
i-х) участках соответственно;
ln, den - длина и эквивалентный гидравлический диаметр вытяжного канала соответственно на участке от вентилятора к ближайшему дымоприемному устройству, м;
Fn, Fi - площадь проходного сечения вытяжного канала на участке от вентилятора до ближайшего дымоприемного устройства и на остальных (i-х) участках этого канала соответственно, м2;

,

- подсосы воздуха через ближайшие к вентилятору и остальные (
i-е) закрытые дымоприемные устройства (противопожарные нормально закрытые клапаны) соответственно, кг/с;
Fdpn, Fdpi - площадь проходного сечения ближайшего к вентилятору и остальных (i-х) закрытых дымоприемных устройств (противопожарных нормально закрытых клапанов) соответственно, м2;
Sdpn, Sdpi - удельное сопротивление воздухопроницанию ближайшего к вентилятору и остальных (i-х) закрытых дымоприемных устройств (противопожарных нормально закрытых клапанов) соответственно, кг/с;
Psi - давление (разряжение) в вытяжном канале у i-го закрытого дымоприемного устройства при температуре перемещаемого воздуха Ta;
li, dei - длина и эквивалентный гидравлический диаметр i-го участка вытяжного канала соответственно, м;
Gi - массовый расход перемещаемого в вытяжном канале воздуха у i-го закрытого дымоприемного устройства, кг/с.
Аэродинамическая характеристика вентилятора (функция f) принимается по данным предприятия - изготовителя вентилятора, смонтированного в составе испытуемой системы.
Б.3 Фактическое исполнение вытяжных каналов, в том числе их геометрические характеристики, следует принимать в расчет согласно исполнительной проектной документации. При этом коэффициенты местного сопротивления и сопротивления трения для этих каналов подлежат установлению согласно
[2]. Технические данные смонтированных в составе испытуемых систем вытяжной противодымной вентиляции противопожарных нормально закрытых клапанов, в том числе геометрические размеры проходных сечений и фактические значения удельного сопротивления воздухопроницанию, подлежат учету в соответствии с комплектом эксплуатационной документации предприятий-изготовителей при наличии сертификатов подтверждения соответствия.
Б.4 Установленные расчетом по приложению Б настоящего стандарта значения требуемого расхода воздуха через открытые дымоприемные устройства подлежат сравнительному оценочному сопоставлению с величинами, фактически измеренными в приемо-сдаточных и периодических испытаниях систем противодымной вентиляции зданий. Использование в качестве таких значений установленных проектных параметров, соответствующих расчетным режимам удаления продуктов горения в условиях пожара, не допускается.
Росстандарта от 19.12.2019 N 1501-ст)
| | Отопление, вентиляция и кондиционирование. Требования пожарной безопасности |
| МД 137-13 | Расчетное определение основных параметров противодымной вентиляции зданий: Методические рекомендации к СП 7.13130.2013. - М.: ВНИИПО, 2013. - 58 с. |
УДК 614.841 | |
Ключевые слова: испытания, вентиляция |