Главная // Пожарная безопасность СПРАВКА
Источник публикации
Официальный интернет-портал правовой информации http://www.pravo.gov.ru, 20.02.2016
Примечание к документу
Окончание действия документа - 31.12.2020.
Название документа
Приказ Ростехнадзора от 26.11.2015 N 480
"О внесении изменений в Федеральные нормы и правила в области промышленной безопасности "Общие правила взрывобезопасности для взрывопожароопасных химических, нефтехимических и нефтеперерабатывающих производств", утвержденные приказом Федеральной службы по экологическому, технологическому и атомному надзору от 11 марта 2013 г. N 96"
(Зарегистрировано в Минюсте России 18.02.2016 N 41130)
Приказ Ростехнадзора от 26.11.2015 N 480
"О внесении изменений в Федеральные нормы и правила в области промышленной безопасности "Общие правила взрывобезопасности для взрывопожароопасных химических, нефтехимических и нефтеперерабатывающих производств", утвержденные приказом Федеральной службы по экологическому, технологическому и атомному надзору от 11 марта 2013 г. N 96"
(Зарегистрировано в Минюсте России 18.02.2016 N 41130)
Зарегистрировано в Минюсте России 18 февраля 2016 г. N 41130
ФЕДЕРАЛЬНАЯ СЛУЖБА ПО ЭКОЛОГИЧЕСКОМУ, ТЕХНОЛОГИЧЕСКОМУ
И АТОМНОМУ НАДЗОРУ
ПРИКАЗ
от 26 ноября 2015 г. N 480
О ВНЕСЕНИИ ИЗМЕНЕНИЙ
В ФЕДЕРАЛЬНЫЕ НОРМЫ И ПРАВИЛА В ОБЛАСТИ ПРОМЫШЛЕННОЙ
БЕЗОПАСНОСТИ "ОБЩИЕ ПРАВИЛА ВЗРЫВОБЕЗОПАСНОСТИ
ДЛЯ ВЗРЫВОПОЖАРООПАСНЫХ ХИМИЧЕСКИХ, НЕФТЕХИМИЧЕСКИХ
И НЕФТЕПЕРЕРАБАТЫВАЮЩИХ ПРОИЗВОДСТВ", УТВЕРЖДЕННЫЕ ПРИКАЗОМ
ФЕДЕРАЛЬНОЙ СЛУЖБЫ ПО ЭКОЛОГИЧЕСКОМУ, ТЕХНОЛОГИЧЕСКОМУ
И АТОМНОМУ НАДЗОРУ ОТ 11 МАРТА 2013 Г. N 96
В соответствии со
статьей 4 Федерального закона от 21 июля 1997 г. N 116-ФЗ "О промышленной безопасности опасных производственных объектов" (Собрание законодательства Российской Федерации, 1997, N 30, ст. 3588; 2000, N 33, ст. 3348; 2003, N 2, ст. 167; 2004, N 35, ст. 3607; 2005, N 19, ст. 1752; 2006, N 52, ст. 5498; 2009, N 1, ст. 17, ст. 21; N 52, ст. 6450; 2010, N 30, ст. 4002; N 31, ст. 4196; 2011, N 27, ст. 3880; N 30, ст. 4590, ст. 4591, ст. 4596; N 49, ст. 7015, ст. 7025; 2012, N 26, ст. 3446; 2013, N 9, ст. 874; N 27, ст. 3478; 2015, N 1, ст. 67; N 29, ст. 4359),
подпунктом 5.2.2.16(1) Положения о Федеральной службе по экологическому, технологическому и атомному надзору, утвержденного постановлением Правительства Российской Федерации от 30 июля 2004 г. N 401 (Собрание законодательства Российской Федерации, 2004, N 32, ст. 3348; 2006, N 5, ст. 544; N 23, ст. 2527; N 52, ст. 5587; 2008, N 22, ст. 258; N 46, ст. 5337; 2009, N 6, ст. 738; N 33, ст. 4081; N 49, ст. 5976; 2010, N 9, ст. 960; N 26, ст. 3350; N 38, ст. 4835; 2011, N 6, ст. 888; N 14, ст. 1935; N 41, ст. 5750; N 50, ст. 7385; 2012, N 29, ст. 4123; N 42, ст. 5726; 2013, N 12, ст. 1343; N 45, ст. 5822; 2014, N 2, ст. 108; N 35, ст. 4773; 2015, N 2, ст. 491; N 4, ст. 661), приказываю:
Утвердить прилагаемые к настоящему приказу
изменения в Федеральные
нормы и правила в области промышленной безопасности "Общие правила взрывобезопасности для взрывопожароопасных химических, нефтехимических и нефтеперерабатывающих производств", утвержденные приказом Федеральной службы по экологическому, технологическому и атомному надзору от 11 марта 2013 г. N 96 (зарегистрирован Министерством юстиции Российской Федерации 16 апреля 2013 г., регистрационный N 28138; Бюллетень нормативных актов федеральных органов исполнительной власти, 2013, N 23).
Руководитель
А.В.АЛЕШИН
приказом Федеральной службы
по экологическому, технологическому
и атомному надзору
от 26 ноября 2015 г. N 480
В ФЕДЕРАЛЬНЫЕ НОРМЫ И ПРАВИЛА В ОБЛАСТИ ПРОМЫШЛЕННОЙ
БЕЗОПАСНОСТИ "ОБЩИЕ ПРАВИЛА ВЗРЫВОБЕЗОПАСНОСТИ
ДЛЯ ВЗРЫВОПОЖАРООПАСНЫХ ХИМИЧЕСКИХ, НЕФТЕХИМИЧЕСКИХ
И НЕФТЕПЕРЕРАБАТЫВАЮЩИХ ПРОИЗВОДСТВ", УТВЕРЖДЕННЫЕ ПРИКАЗОМ
ФЕДЕРАЛЬНОЙ СЛУЖБЫ ПО ЭКОЛОГИЧЕСКОМУ, ТЕХНОЛОГИЧЕСКОМУ
И АТОМНОМУ НАДЗОРУ ОТ 11 МАРТА 2013 Г. N 96
"1.1. Настоящие Федеральные нормы и правила в области промышленной безопасности "Общие правила взрывобезопасности для взрывопожароопасных химических, нефтехимических и нефтеперерабатывающих производств" (далее - Правила) разработаны в соответствии с Федеральным
законом от 21 июля 1997 г. N 116-ФЗ "О промышленной безопасности опасных производственных объектов" (Собрание законодательства Российской Федерации, 1997, N 30, ст. 3588; 2000, N 33, ст. 3348; 2003, N 2, ст. 167; 2004, N 35, ст. 3607; 2005, N 19, ст. 1752; 2006, N 52, ст. 5498; 2009, N 1, ст. 17, ст. 21; N 52, ст. 6450; 2010, N 30, ст. 4002; N 31, ст. 4196; 2011, N 27, ст. 3880; N 30, ст. 4590, ст. 4591, ст. 4596; N 49, ст. 7015, ст. 7025; 2012, N 26, ст. 3446; 2013, N 9, ст. 874; N 27, ст. 3478; 2015, N 1, ст. 67; N 29, ст. 4359).
1.2. Правила устанавливают требования, направленные на обеспечение промышленной безопасности, предупреждение аварий и инцидентов на опасных производственных объектах (далее - ОПО) химических, нефтехимических и нефтегазоперерабатывающих производств, на которых получаются, используются, перерабатываются, образуются, хранятся, транспортируются, уничтожаются опасные вещества, указанные в
пункте 1 приложения 1 к Федеральному закону от 21 июля 1997 г. N 116-ФЗ "О промышленной безопасности опасных производственных объектов", в том числе способные образовывать паро-, газо- и пылевоздушные взрывопожароопасные смеси, кроме конденсированных взрывчатых веществ (далее - ВВ), включая ОПО хранения нефти, нефтепродуктов, сжиженных горючих газов, легковоспламеняющихся и горючих жидкостей (далее СГГ, ЛВЖ и ГЖ).
1.3. Правила предназначены для применения:
а) при разработке технологических процессов, проектировании, строительстве, эксплуатации, реконструкции, техническом перевооружении, капитальном ремонте, консервации и ликвидации ОПО, указанных в пункте 1.2 Правил;
б) при изготовлении, монтаже, наладке, обслуживании, диагностировании и ремонте технических устройств, применяемых на объектах, указанных в пункте 1.2 Правил;
в) при проведении экспертизы промышленной безопасности документации на техническое перевооружение, консервацию и ликвидацию ОПО, обоснования безопасности ОПО, технических устройств, зданий и сооружений, деклараций промышленной безопасности ОПО, указанных в пункте 1.2 Правил.
1.4. Правила устанавливают требования промышленной безопасности к видам деятельности в области промышленной безопасности, к которым относятся проектирование, строительство, эксплуатация, реконструкция, техническое перевооружение, капитальный ремонт, консервация и ликвидация ОПО, указанных в пункте 1.2 Правил.".
3. В
пункте 2.1 слова "минимальный уровень взрывоопасности технологических блоков, входящих в технологическую систему" заменить словами "взрывобезопасность технологического блока".
4.
Пункт 2.3 дополнить абзацем следующего содержания:
"Повышение категории взрывоопасности технологических блоков, определяемое количеством токсичных, высокотоксичных веществ, опасностью причинения ими вреда обслуживающему персоналу при вероятностных сценариях развития аварийной ситуации, обосновывается в проектной документации.".
"2.5. Ведение технологических процессов осуществляется в соответствии с технологическими регламентами на производство продукции, утвержденными организацией, эксплуатирующей ОПО, указанные в пункте 1.2 Правил.
Технологический регламент на производство продукции химических, нефтехимических и нефтегазоперерабатывающих производств - основной технический документ, определяющий оптимальный технологический режим процесса, содержит описание технологического процесса и технологической схемы производства, физико-химические и взрывопожароопасные свойства сырья, полупродуктов и готовой продукции, контроль и управление технологическим процессом, безопасные условия эксплуатации производства, перечень обязательных производственных инструкций и чертеж технологической схемы производства (графическая часть). Технологический регламент на производство продукции разрабатывается на основании проектной документации на ОПО.
Внесение изменений в технологическую схему, аппаратурное оформление, в системы контроля, связи, оповещения и ПАЗ осуществляется после внесения изменений в проектную документацию (документацию), согласованную с разработчиком проектной документации или с организацией, специализирующейся на проектировании аналогичных объектов, или при наличии положительного заключения экспертиз по проектной документации (документации).
Внесенные изменения не должны отрицательно влиять на работоспособность и безопасность всей технологической системы.".
"Для ОПО, указанных в пункте 1.2 Правил, I, II и III классов опасности, должны быть разработаны и утверждены планы мероприятий по локализации и ликвидации последствий аварий (далее - ПМЛА) в порядке, установленном
Положением о разработке планов мероприятий по локализации и ликвидации последствий аварий на опасных производственных объектах, утвержденным постановлением Правительства Российской Федерации от 26 августа 2013 г. 730 (Собрание законодательства Российской Федерации, 2013, N 35, ст. 4516).".
"2.8. В производствах, имеющих в своем составе технологические блоки любых категорий взрывоопасности, опытные работы по отработке новых технологических процессов или их отдельных стадий, испытанию головных образцов вновь разрабатываемого оборудования, опробованию опытных средств и систем автоматизации следует проводить при наличии положительного заключения экспертизы промышленной безопасности документации на техническое перевооружение ОПО по изменению технологической схемы производства для проведения опытных работ в случае, если указанная документация не входит в состав проектной документации такого объекта, подлежащей экспертизе в соответствии с законодательством Российской Федерации о градостроительной деятельности.
На проведение опытных работ организация, эксплуатирующая данный ОПО, также разрабатывает и утверждает техническую документацию и план мероприятий по безопасному проведению указанных работ.".
8. В
пункте 2.11 сокращение "ПЛА" заменить сокращением "ПМЛА".
10. В
абзаце первом пункта 3.2 слова "исходя из данных о критических значениях параметров или их совокупности для участвующих в процессе веществ" заменить словами "разработчиком процесса".
11. В
первом предложении пункта 3.3 слова "определяется совокупность критических значений параметров" заменить словами "разработчиком процесса определяется совокупность регламентированных значений параметров".
12. В
абзаце втором пункта 3.4.2 слова "с минимально возможными относительными энергетическими потенциалами (

)" заменить словами "с учетом относительных энергетических потенциалов (

)".
15. В
абзаце четвертом пункта 3.13 слова "определяются при разработке проектной документации и устанавливаются в технологическом регламенте на производство продукции" заменить словами "определяются при разработке исходных данных и устанавливаются в проектной документации и технологическом регламенте на производство продукции".
"3.14. Технологические процессы не должны проводиться в области взрываемости или саморазложения (химически нестабильные вещества) обращающихся в технологическом процессе веществ и вновь образующихся продуктов с учетом возможного образования, в том числе и побочных продуктов.".
17. В
абзаце третьем пункта 3.20.1 слова "при аварийных выбросах взрывопожароопасных веществ из технологического оборудования," заменить словами "при аварийных ситуациях в технологической системе (технологическом блоке, техническом устройстве),".
"3.20.3. Для максимального снижения выбросов в окружающую среду горючих и взрывопожароопасных веществ при аварийной разгерметизации системы необходимо предусматривать установку запорных и (или) отсекающих устройств.
Места расположения запорных и (или) отсекающих устройств устанавливаются в проектной документации.
Время срабатывания запорных и (или) отсекающих устройств определяется расчетом, обосновывается в проектной документации и регламентируется.
При этом должны быть обеспечены условия безопасного отсечения потоков и исключены гидравлические удары.".
"3.21. При проектировании технологических схем для новых производств для аварийного освобождения технологических блоков от обращающихся продуктов должно учитываться оборудование технологических установок или специальные системы аварийного освобождения. Специальные системы аварийного освобождения должны находиться в постоянной готовности:
исключать образование взрывоопасных смесей как в самих системах, так и в окружающей их атмосфере, а также развитие аварий;
обеспечивать минимально возможное время освобождения;
оснащаться средствами контроля и управления.
Специальные системы аварийного освобождения не должны использоваться для других целей.
Вместимость системы аварийного освобождения (специальной или в виде оборудования технологических установок, предназначенного для аварийного освобождения технологических блоков) рассчитывается на прием продуктов в количествах, определяемых условиями безопасной остановки технологического процесса.".
"3.23. Сбрасываемые горючие газы, пары и мелкодисперсные материалы должны направляться в закрытые системы для дальнейшей утилизации, обезвреживания или в системы организованного сжигания.
Для обезвреживания сбрасываемых сред (локальные системы) применяются различные методы (термокаталитическое окисление, адсорбция, абсорбция, химическое комплексообразование, плазменное разложение).
Сброс и утилизация чистого водорода и газов, содержащих вещества (полимеры), способные забивать факельные коллекторы и/или снижать пропускную способность факельного коллектора, могут быть организованы путем их направления на свечу рассеивания с обоснованием в проектной документации принятого технического решения.".
"4.1.1. Предельные значения скоростей, давлений, температур перемещаемых горючих продуктов, основные характеристики технических устройств, технологических (местных распределительных) трубопроводов и используемых для их изготовления конструкционных материалов устанавливаются в проектной документации с учетом взрывопожароопасных характеристик, физико-химических свойств обращающихся веществ на основании исходных данных на проектирование.
К технологическим трубопроводам относятся трубопроводы, предназначенные для перемещения в пределах промышленного предприятия или группы этих предприятий сырья, полуфабрикатов, готового продукта, вспомогательных материалов, включающих в том числе пар, воду, воздух, газы, хладагенты, смазки, эмульсии, и обеспечивающие ведение технологического процесса и эксплуатацию оборудования.
Технологический трубопровод представляет конструкцию (сооружение), состоящую из труб, деталей и элементов трубопровода, включая трубопроводную арматуру, отводы, переходы, тройники, фланцы и элементы крепления, защиты и компенсации трубопровода (опоры, подвески, компенсаторы, болты, шайбы, прокладки), плотно и прочно соединенные между собой.".
в
первом абзаце после слов "отсекающих устройств" слова "с дистанционным управлением" исключить;
"Тип арматуры и место ее установки на линиях всасывания и нагнетания, способ ее отключения, в том числе дистанционный, обосновываются в проектной документации (документации) в каждом конкретном случае с учетом диаметра и протяженности трубопровода и характеристики транспортируемой среды.".
"4.1.5. Компримирование и перемещение горючих газов должны производиться центробежными, поршневыми или винтовыми компрессорами в соответствии с проектной документацией и требованиями технической документации организации-изготовителя.".
"Уплотнительные устройства для насосов и компрессоров должны быть изготовлены так, чтобы максимально снизить возможность образования взрывоопасной среды за счет пропуска горючих веществ через уплотнительные устройства до уровня, обеспечивающего безопасную эксплуатацию оборудования.".
"Герметичность уплотнительных устройств обеспечивается путем контроля уровня НКПР в воздухе рабочей зоны и созданием системы аварийной вентиляции, срабатывающей от сигналов датчиков загазованности.".
"4.1.14. Система транспорта СГГ, ЛВЖ и ГЖ посредством насосов должна проектироваться, изготавливаться и эксплуатироваться с учетом анализа эксплуатационных отказов для того, чтобы предотвратить возможность возникновения аварийных режимов.".
30. В
пункте 4.2.7 слова "так и в атмосфере рабочей зоны помещения" заменить словами "так и в воздухе рабочей зоны помещения".
в
абзаце первом после слов "в парогазовой фазе" дополнить словами "или контроль за регламентированными значениями разрежения";
в
абзаце третьем после слов "в системе ПАЗ" дополнить словами "и отраженной в технологическом регламенте на производство продукции".
"4.5.8. При организации теплообменных процессов с огневым обогревом необходимо предусматривать меры и средства, исключающие возможность образования взрывоопасных смесей в нагреваемых элементах (змеевиках), топочном пространстве и рабочей зоне печи.
4.5.8.1. Нагревательные трубчатые печи должны быть оборудованы:
основными и дежурными (пилотными) горелками, оснащенными запальными устройствами, индивидуальной системой топливоснабжения. Дежурные горелки могут быть установлены в одном корпусе с основными горелками, если это предусмотрено конструкцией горелки (комбинированные блочные горелки);
сигнализаторами погасания пламени, надежно регистрирующими наличие пламени в форсунке, или комбинированными блочными горелками с запальными устройствами, обеспечивающими постоянное горение форсунки в автоматическом режиме. Количество дежурных горелок и сигнализаторов погасания пламени, их место установки обосновываются в проектной документации;
предохранительными запорными клапанами (ПЗК) или другими автоматическими запорными устройствами, установленными на трубопроводах газообразного топлива к основным и дежурным горелкам дополнительно к общему отсекающему устройству на печь, срабатывающими при снижении давления газа ниже допустимого или при аварийной остановке печи.
Включение в работу указанных предохранительных устройств осуществляется только по месту их установки после выполнения всех подготовительных регламентированных операций по подготовке к пуску в работу (розжигу) печи (продувка топочного пространства печи паром или инертным газом, линий подачи газообразного топлива - инертным газом со сбросом на свечу).
Порядок пуска в работу (розжиг) печей, в том числе и после аварийной остановки, устанавливается в технологическом регламенте на производство продукции и инструкциях по пуску.
4.5.8.2. Противоаварийная автоматическая защита топочного пространства нагревательных печей обеспечивается:
системами регулирования заданного соотношения топлива, воздуха и водяного пара;
блокировками, прекращающими поступление газообразного топлива и воздуха при снижении их давления ниже установленных параметров (автономно), а также при прекращении электро- (пневмо-) снабжения контрольно-измерительных приборов и автоматики (далее - КИПиА);
средствами сигнализации о прекращении поступления топлива, а также воздуха при его принудительной подаче в топочное пространство;
средствами контроля за уровнем тяги и автоматического прекращения подачи топливного газа в зону горения при остановке дымососа или недопустимом снижении разрежения в печи, а при компоновке печных агрегатов с котлами-утилизаторами - системами по переводу на работу агрегатов без дымососов;
средствами автоматической подачи водяного пара или инертного газа в топочное пространство и в змеевики при прогаре труб, характеризующимися:
падением давления нагреваемого продукта на выходе из печи ниже регламентированного значения;
повышением температуры над перевальной стенкой;
изменением содержания кислорода в дымовых газах на выходе из печи относительно регламентированного.
Параметры срабатывания блокировки по аварийному включению подачи пара или инертного газа в змеевик определяются в проектной документации. Система противоаварийной автоматической защиты должна быть снабжена противоаварийной сигнализацией параметров и сигнализацией срабатывания исполнительных органов.
При осуществлении каталитических процессов, применяемых в нефтеперерабатывающих и нефтехимических производствах, подача пара в змеевики печей не допускается.
Технические решения по противоаварийной автоматической защите топочного пространства и змеевиков при прогаре труб нагревательных печей обосновываются в проектной документации.
4.5.8.3. Противоаварийная автоматическая защита нагреваемых элементов (змеевиков) нагревательных печей обеспечивается:
аварийным освобождением змеевиков печей от нагреваемого жидкого продукта при повреждении труб или прекращении его циркуляции;
блокировками по отключению подачи топлива к дежурным и основным горелкам при прекращении подачи сырья, превышении предельно допустимой температуры сырья на выходе из печи, срабатыванием прибора погасания пламени;
средствами автоматического отключения подачи сырья и топлива в случаях аварий в системах змеевиков;
средствами сигнализации о падении давления в системах подачи сырья.
4.5.8.4. Для изоляции печей с открытым огневым процессом от взрывоопасной среды, образующейся при авариях на наружных установках или в зданиях, печи должны быть оборудованы паровой завесой или завесой в виде струйной подачи инертных газов, включающейся автоматически или дистанционно и обеспечивающей предотвращение контакта взрывоопасной среды с огневым пространством печи.
При включении завесы должна срабатывать сигнализация по месту и на щите оператора.".
"4.5.9. Топливный газ для нагревательных печей должен соответствовать регламентированным требованиям по содержанию в нем жидкой фазы, влаги и механических примесей. Жидкое топливо для обеспечения необходимой вязкости и отделения от механических примесей перед подачей в форсунку должно предварительно пройти подогреватель и фильтры.".
"Технологическая аппаратура реакционных процессов для блоков любых категорий взрывоопасности оснащается средствами автоматического контроля, регулирования и защитными блокировками одного или группы параметров, определяющих взрывоопасность процесса (количество и соотношение поступающих исходных веществ, давление и температура среды, количество, расход и параметры теплоносителя).".
35. В
пункте 4.6.10 сокращение "ПЛА" заменить сокращением "ПМЛА".
"4.7.1. Устройство и размещение складов, а также сливоналивных эстакад, резервуаров (сосудов) для хранения и перекачки СГГ, ЛВЖ и ГЖ должно соответствовать требованиям законодательства о градостроительной деятельности, проектной документации и Правил.".
37.
Пункт 4.7.3 после слова "резервуары" дополнить словом "(сосуды)".
после слова "побочных" дополнить словом "химических";
после слова "продукта" дополнить словами "в проектной документации, технологических регламентах на производство продукции и инструкциях".
39. В
пункте 4.7.7 слова "Вместимость стационарных резервуаров" заменить словами "Вместимость резервуаров (сосудов)".
"4.7.13. Слив из цистерн и налив в них СГГ, ЛВЖ и ГЖ должны осуществляться на сливоналивных эстакадах.
Для каждого вида наливаемого продукта, когда недопустимо его смешивание с другими продуктами, предусматриваются самостоятельные сливоналивные эстакады или отдельные сливные и/или наливные устройства на этих эстакадах.
Не допускается использовать наливные устройства для попеременного налива несовместимых между собой продуктов.".
"4.7.14. На сливоналивных эстакадах должны предусматриваться специально оборудованные места для выполнения операций по аварийному освобождению неисправных цистерн. Меры безопасности при выполнении этих операций должны устанавливаться в проектной документации и инструкциях.".
"4.7.16. В системах, предназначенных для слива - налива различных жидких веществ, не допускается применение устройств, изготовленных из нестойких к перекачиваемым средам материалов.".
"4.7.17. Сливоналивные эстакады СГГ, ЛВЖ и ГЖ должны быть оборудованы надежными автоматическими устройствами, исключающими перелив цистерн.".
48. В
пункте 5.1.8 слова "средств защиты и приборной техники" заменить словами "приборов контроля и средств автоматики".
"5.4.1. При выборе насосов (насосные агрегаты) и компрессоров (компрессорные установки) для ОПО химических, нефтехимических и нефтегазоперерабатывающих производств должны учитываться технические требования к безопасности оборудования для работы во взрывоопасных средах и Правил. Насосы и компрессоры, используемые для перемещения горючих, сжатых и СГГ, ЛВЖ и ГЖ, по надежности и конструктивным особенностям выбираются с учетом физико-химических свойств перемещаемых продуктов и регламентированных параметров технологического процесса. При этом количество насосов и компрессоров определяется исходя из условия обеспечения непрерывности технологического процесса, в обоснованных случаях (подтвержденных расчетом обеспечения надежности) предусматривается их резервирование.".
"5.4.5. Компрессорные установки и насосные агрегаты взрывопожароопасных производств должны проходить испытания и приемку в соответствии с техническими требованиями к безопасности оборудования для работы во взрывоопасных средах, Правил и технической документации организации-изготовителя.".
52.
Пункт 5.4.6 после слов "компрессорных установок" дополнить словами "и насосных агрегатов".
"5.5.2. Не допускается применять во взрывопожароопасных технологических системах гибкие шланги (резиновые, пластмассовые) в качестве стационарных трубопроводов для транспортирования СГГ, веществ в парогазовом состоянии, ЛВЖ и ГЖ. Для выполнения вспомогательных операций (продувка участков трубопроводов, насосов и оборудования, отвод отдувочных газов и паров, освобождение трубопроводов от остатков СГГ, ЛВЖ, ГЖ) должны использоваться специально для этого предназначенное оборудование и стационарные линии (коллекторы), на которых предусматриваются отводы (патрубки) с запорной арматурой и глухим фланцем, а при необходимости устанавливается обратный клапан. Для соединения оборудования и технологических трубопроводов со стационарными линиями используются съемные участки трубопроводов.
Применение труб из композитных материалов в качестве стационарных трубопроводов устанавливается в исходных данных и обосновывается в проектной документации с учетом физико-химических свойств перемещаемой среды и регламентированных параметров работы трубопровода.
Для проведения операций слива и налива в железнодорожные цистерны и другое нестационарное оборудование должны применяться гибкие шланги в соответствии с проектной документацией. Выбор шлангов осуществляется с учетом свойств транспортируемого продукта и параметров проведения процесса; срок службы шлангов устанавливается организацией-изготовителем и продлению не подлежит.".
"5.5.12. На трубопроводах для транспортирования взрывопожароопасных продуктов устанавливается арматура в соответствии с проектной документацией.
Класс герметичности затвора определяется в проектной документации исходя из физико-химических свойств перемещаемых продуктов и регламентированных параметров технологического процесса.".
"6.1.3. Системы контроля, управления и ПАЗ должны проходить комплексное опробование по специальным программам.".
"6.1.6. Средства автоматики, используемые по ПМЛА, должны быть обозначены по месту их установки и указываются в технологическом регламенте на производство продукции и инструкциях.".
59. В
пункте 6.1.7 слово "критические" заменить словом "регламентированные".
"6.2.2. Автоматизированные системы управления технологическими процессами (далее - АСУТП) на базе средств вычислительной техники должны соответствовать требованиям технического задания и обеспечивать:".
"6.3.4. Системы ПАЗ для объектов, имеющих в составе технологические блоки I и II категорий взрывоопасности, при проектировании должны создаваться на базе логических контроллеров, способных функционировать по отказобезопасной структуре и проверенных на соответствие требованиям функциональной безопасности систем электрических, электронных, программируемых электронных, связанных с безопасностью.".
"Методы создания систем ПАЗ должны определяться на стадии формирования требований при проектировании АСУ ТП на основании анализа опасности и работоспособности контуров безопасности с учетом риска, возникающего при отказе контура безопасности.".
63.
Пункт 6.3.8 после слов "с раздельными точками отбора" дополнить словами ", логически взаимодействующих для срабатывания ПАЗ".
65. В
пункте 6.3.15 слово "критических" заменить словом "регламентированных".
"6.3.18. В случае отключения электроэнергии или прекращения подачи сжатого воздуха для питания систем контроля и управления системы ПАЗ должны обеспечивать перевод технологического объекта в безопасное состояние. Необходимо исключить возможность случайных (незапрограммированных) переключений в этих системах при восстановлении питания. Возврат технологического объекта в рабочее состояние после срабатывания системы ПАЗ выполняется обслуживающим персоналом по инструкции.".
"6.3.19. Исполнительные механизмы систем ПАЗ должны иметь указатели крайних положений непосредственно на этих механизмах, а также устройства, позволяющие выполнять индикацию крайних положений в помещении управления.".
68.
Дополнить пунктом 6.3.25 следующего содержания:
"6.3.25. На периоды пуска, останова и переключений технологических режимов установок при соответствующем обосновании в проектной документации и технологических регламентах на производство продукции должны быть предусмотрены специальные алгоритмы (сценарии) работы системы ПАЗ, при которых допускается ручное или автоматическое отключение отдельных блокировок. Контроль, индикация и регистрация параметров отключению не подлежат.".
"6.4.1. Для контроля загазованности по предельно допустимой концентрации и нижнему концентрационному пределу распространения пламени в производственных помещениях, рабочей зоне открытых наружных установок должны предусматриваться средства автоматического газового контроля и анализа с сигнализацией, срабатывающей при достижении предельно допустимых величин, и с выдачей сигналов в систему ПАЗ.
Места расположения и тип средств автоматического непрерывного газового контроля и анализа с сигнализацией для контроля загазованности в рабочей зоне открытых наружных установок устанавливаются и обосновываются в проектной документации в соответствии с техническими характеристиками средств (приборов), указанных в паспортах организации-изготовителя.
При этом все случаи загазованности должны регистрироваться приборами с автоматической записью и документироваться.".
"6.5.3. Для пневматических систем управления и ПАЗ должны предусматриваться сети сжатого воздуха, отдельные от сетей технологического воздуха.".
72. В
пункте 6.5.5 слова ", но не менее одного часа" исключить.
73. В
пункте 6.6.2 слова "и наличие документов о прохождении поверки (калибровки)" заменить словами "и документы о прохождении поверки".
76. В
пункте 6.8.4 сокращение "ПЛА" заменить сокращением "ПМЛА".
"6.9.3. Для непрерывных процессов по письменному разрешению должностного лица организации допускается отключение защит (единовременно не более одного параметра) только в дневную смену либо при проведении работ в иные смены - обеспечить присутствие и контроль соответствующих служб. При этом разрабатываются организационно-технические мероприятия и план организации работ, обеспечивающие безопасность технологического процесса и производства работ. Продолжительность отключения должна определяться планом организации работ. Отключение предаварийной сигнализации в этом случае не допускается. Ручное деблокирование в системах автоматического управления технологическими процессами не допускается.
При этом предусматриваются устройства, регистрирующие все случаи отключений параметров защиты и их продолжительность.".
"6.9.6. Сменный технологический персонал в случае обнаружения неисправности прибора или средств автоматизации должен провести аварийные отключения вышедших из строя приборов и средств автоматизации в соответствии с требованиями инструкций по эксплуатации средств автоматизации. Организацию проведения ремонта отключенных приборов, наладку и ремонт систем контроля, управления и ПАЗ должны проводить работники службы КИПиА или специализированной организации при наличии документов на проведение работ по наладке и ремонту систем контроля, управления и ПАЗ на ОПО.".
"Вентиляторы должны соответствовать техническим требованиям к безопасности оборудования для работы во взрывоопасных средах, требованиям нормативных технических документов и документов организации-изготовителя.".
"9.8. Очистные сооружения объектов с технологическими блоками любых категорий взрывоопасности, где возможны залповые сбросы взрывопожароопасных продуктов в канализацию, должны быть оснащены средствами автоматического контроля и сигнализации за их содержанием в производственных стоках и наличием предельно допустимых концентраций и нижнего концентрационного предела распространения пламени в рабочей зоне наружных установок.
Средства контроля выбираются с учетом конкретных условий процессов очистки стоков, их состава и обосновываются в проектной документации.".
81. В
пункте 10.3 сокращение "ПЛА" заменить сокращением "ПМЛА".
"10.4. Для вновь проектируемых взрывопожароопасных и химически опасных производственных объектов должны быть выполнены следующие требования:
обеспечена защита персонала, постоянно находящегося в помещении управления (операторные), от воздействия ударной волны (травмирования) при возможных аварийных взрывах на технологических объектах с учетом зон разрушения, а также от термического воздействия;
обеспечено бесперебойное функционирование автоматизированных систем контроля, управления, ПАЗ для перевода технологических процессов в безопасное состояние и аварийного останова технологических объектов.".
"11.1. Порядок организации и проведения работ по техническому обслуживанию и ремонту технологического оборудования должен быть определен в нормативных технических документах эксплуатирующей организации (стандарты, положения, инструкции) по техническому обслуживанию и ремонту технологического оборудования и технических устройств с учетом условий их эксплуатации, оценки вероятности и последствий отказа, требований нормативных документов, инструкций организаций-изготовителей.".
85.
Пункт 11.2 дополнить абзацем следующего содержания:
"Продолжительность работы технологических объектов (установок) между остановками для ремонта оборудования и технических устройств должна быть установлена нормативными техническими документами эксплуатирующей организации (стандарты, положения) в соответствии с требованиями документации организаций - изготовителей оборудования.".
слово "всех" заменить словом "любых";
слова "проведения ремонтных работ" заменить словами "проведения работ повышенной опасности.".
"11.5. Порядок подготовки оборудования к ремонту, оформление наряда-допуска, сдача в ремонт и приемка из ремонта оборудования должны осуществляться в соответствии с требованиями инструкции по подготовке оборудования к ремонту и безопасному проведению ремонтных работ, разработанной для каждого технологического объекта (цеха, установки) или группы объектов, утвержденной эксплуатирующей организацией.
Общий порядок подготовки оборудования к ремонту допускается устанавливать стандартами организации.".
"11.6. Материалы и изделия, применяемые при ремонте оборудования и технических устройств, подлежат входному контролю. Порядок проведения и объем входного контроля материалов и изделий для ремонта оборудования и технических устройств должен быть установлен в нормативных документах эксплуатирующей организации (стандарты, положения, инструкции). При проведении входного контроля следует проверять наличие сопроводительных документов, удостоверяющих качество продукции и изделий (комплектность, упаковку, маркировку, внешний вид).".
"11.9. В процессе ремонта оборудования технологических блоков любых категорий взрывоопасности должны проводиться пооперационный контроль качества ремонтных работ, в том числе с применением методов технической диагностики, а также комплексные или индивидуальные испытания (опрессовка, обкатка). Результаты контроля и испытаний должны отражаться в соответствующих исполнительных, отчетных документах.
При положительных результатах испытаний (опрессовка, обкатка) оборудования и при соответствии исполнительной документации нормативным требованиям производятся оценка качества ремонта по каждой единице оборудования и пуск его в дальнейшую эксплуатацию.".
"Приложение N 1
к Федеральным нормам и правилам
в области промышленной безопасности
"Общие правила взрывобезопасности
для взрывопожароопасных химических,
нефтехимических и нефтеперерабатывающих
производств", утвержденным приказом
Федеральной службы по экологическому,
технологическому и атомному надзору
от 11 марта 2013 г. N 96
АНАЛИЗ ОПАСНОСТЕЙ ТЕХНОЛОГИЧЕСКИХ ПРОЦЕССОВ
Анализ опасностей технологических процессов, количественная оценка риска и иные методы анализа опасностей и оценки риска являются составной частью декларирования промышленной безопасности, обоснования безопасности ОПО, риск-менеджмента и системы управления промышленной безопасностью на ОПО.
Анализ опасностей технологических процессов - методология качественного анализа опасностей, применяемая с целью исследования возможных причин аварий и инцидентов, опасностей отказов технических устройств, отклонений технологических параметров от регламентных и разработки мер по предупреждению аварий и инцидентов.
Основными методами анализа опасностей технологических процессов являются:
1. метод идентификации опасностей;
2. метод анализа опасности и работоспособности (далее - АОР).
Указанные методы применяются для обоснования технических решений, при разработке эксплуатационной (при необходимости) и проектной документации на строительство и реконструкцию, документации на техническое перевооружение, капитальный ремонт, консервацию и ликвидацию ОПО или его составной части. Результаты анализа технических решений, принятых группой специалистов различного профиля (представители проектной, независимой экспертной и эксплуатирующей организаций), оформляются в виде отчета. Отчет оформляется с указанием даты и состава участников совещаний, на которых проводился анализ, методологии анализа опасностей, описанием анализируемого объекта, опасностей, возможных причин и последствий отказов технических устройств, отклонений параметров технологических процессов от проектных или регламентных значений и иных факторов риска, а также с указанием мер защиты и рекомендаций по уменьшению риска аварий.
Метод идентификации опасностей (или предварительный анализ опасностей) основан на анализе перечня нежелательных последствий возможных аварий и инцидентов и наиболее эффективен для предварительного выявления и описания опасностей на начальном этапе проектирования, при выборе оптимальных вариантов расположения производственной площадки, размещения технологических объектов, компоновки установок и оборудования.
Применение метода АОР предпочтительно на промежуточных и завершающих стадиях разработки проекта, на которых прорабатываются основные конструктивные и технологические решения. Методом АОР исследуются опасности отказов технических устройств, отклонений технологических параметров (температуры, давления, состава материальной среды) от регламентных режимов.
При характеристике отклонения используются ключевые слова и их комбинации "нет", "больше", "меньше", "так же, как", "другой", "иначе, чем", "обратный", "давление", "температура", "состав", "техническое обслуживание", "отказ". Применение ключевых слов помогает исполнителям выявить все возможные отклонения. Конкретное сочетание этих слов с технологическими параметрами определяется спецификой рассматриваемого объекта.
В процессе исследования методом АОР оформляются рабочие таблицы для каждой рассмотренной части технологической системы (объекта). Таблицы отражают результаты работы по выявлению всех отклонений от проектного режима работы технологической системы (объекта), возможных последствий отклонения, меры защиты и рекомендации по принятию технических решений при проектировании или дальнейшему исследованию выявленной проблемы.
При рассмотрении отклонения устанавливается приоритет или уровень критичности отклонений (высокий, средний, низкий), который определяет оперативность, форму и сроки реализации рекомендаций, в том числе при разработке:
проектной документации, направляемой на экспертизу;
рабочей проектной документации (до начала строительства объекта);
эксплуатационной документации (до ввода объекта в эксплуатацию).".
"3) время испарения (время контакта жидкости с поверхностью пролива, принимаемое в расчет) определяется по формуле (15) настоящего Приложения, но не менее 15 минут и не более 60 минут:";
в
таблице N 1 "Значение коэффициента

" наименование второй колонки изложить в следующей редакции:
"Значение коэффициента

при температуре воздуха в помещении над зеркалом испарения t
oc, °C";
"Время испарения (время контакта жидкости с поверхностью пролива, принимаемое в расчет) принимается равным максимальному значению путем сравнения двух величин - характерного времени формирования взрывоопасного облака (времени достижения максимальной массы во взрывоопасных пределах) и характерного времени формирования облака для кипящих жидкостей (это величина полагается равной утроенному времени выравнивания скоростей кипения и испарения за счет действия ветра) по формуле:

, (15)
где: L0,5НКПР - расстояние, на котором ПГФ, дрейфующая от пролива площадью Fж и скоростью эмиссии mи (рассчитанной по формуле (14)), рассеивается до концентрации 0,5НКПР, м, отсчитывается от надветренной стороны, м;
Uветра - скорость воздушного потока над зеркалом испарения, принимаемая равной 1 м/с.
Ориентировочно значение

может определяться по таблице N 2.".
"Приложение N 3
к Федеральным нормам и правилам
в области промышленной безопасности
"Общие правила взрывобезопасности
для взрывопожароопасных химических,
нефтехимических и нефтеперерабатывающих
производств", утвержденным приказом
Федеральной службы по экологическому,
технологическому и атомному надзору
от 11 марта 2013 г. N 96
РАСЧЕТ
ПОСЛЕДСТВИЙ ВЗРЫВА И КРИТЕРИИ ВЗРЫВОУСТОЙЧИВОСТИ ЗДАНИЙ
В целях обоснования безопасного размещения установок, зданий, сооружений на территории взрывопожароопасного производственного объекта следует проанализировать риск взрыва парогазовых сред, топливно-воздушных смесей (далее - ТВС), образующихся при аварийном выбросе сжиженных углеводородных газов, горючих и легковоспламеняющихся жидкостей, газоконденсата и иных опасных (горючих, воспламеняющихся) веществ. Риск взрыва является мерой опасности, характеризующей возможность и тяжесть последствий взрыва. Оценка риска взрыва является частью анализа риска аварии, в том числе применяемого для обоснования взрывоустойчивости зданий и сооружений на ОПО.
Результаты расчетов зон поражения, разрушения (последствий взрыва) и показателей риска взрыва необходимо применять при выборе технических мероприятий по взрывозащите объектов и персонала от ударно-волнового воздействия взрыва облаков ТВС, а также твердых и жидких химически нестабильных соединений (перекисные соединения, ацетилениды, нитросоединения различных классов, продукты осмоления, треххлористый азот), способных взрываться без смешения с воздухом.
Расчеты размеров зон поражения следует проводить по одной из двух методик:
1) методика оценки зон поражения, основанная на "тротиловом эквиваленте" взрыва опасных веществ;
2) методика, учитывающая тип взрывного превращения (детонация/дефлаграция) при воспламенении ТВС.
Расчет зон поражения при взрывах твердых и жидких химически нестабильных соединений, а также для приближенного расчета последствий взрыва ТВС внутри замкнутых объемов (помещений) следует проводить согласно методике, основанной на "тротиловом эквиваленте".
Расчеты зон поражения при взрывах ТВС на наружных установках следует проводить согласно методикам, учитывающим рассеивание (дрейф) облаков ТВС и тип взрывного превращения (детонация/дефлаграция) при воспламенении ТВС.
Источники воспламенения ТВС могут быть постоянные (печи, факелы, невзрывозащищенная электроаппаратура) или случайные (временные огневые работы, транспортные средства).
1. Методика оценки зон поражения, основанная на "тротиловом эквиваленте" взрыва опасных веществ.
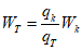
1.1. Для оценки уровня воздействия взрыва может применяться "тротиловый эквивалент" взрыва Wт (кг), определяемый по условиям адекватности характера и степени разрушения при взрывах с участием иных веществ и смесей. Расчет проводится по формуле:

, (1)
где: Wk - масса твердых и жидких химически нестабильных соединений, определяемая по их содержанию в технологической системе, блоке, аппарате, кг;
qk - удельная энергия взрыва твердых и жидких химически нестабильных соединений, кДж/кг;
qT - удельная энергия взрыва тринитротолуола (далее - ТНТ), кДж/кг.
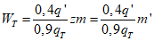
1.2. Для расчета последствий взрыва ТВС по "тротиловому эквиваленту" внутри замкнутых объемов (помещений) следует учитывать m' - приведенную массу горючих (парогазовых) веществ, участвующих во взрыве:
m' = zm, (2)
где: z - доля приведенной массы парогазовых веществ, участвующих во взрыве, принимаемая согласно таблице N 1;
m - масса горючих паров (газов), кг, определяемая по формуле (17), согласно подпункту 2.1 приложения N 2 к настоящим Правилам.
Величина m', кг, также может определяться по формуле (9) согласно подпункту 2.1 приложения N 3 к настоящим Правилам.
"Тротиловый эквивалент" взрыва Wт, кг, рассчитывается по формуле:

, (3)
где: 0,4 - доля энергии взрыва парогазовой среды, затрачиваемая непосредственно на формирование ударной волны;
0,9 - доля энергии взрыва ТНТ, затрачиваемая непосредственно на формирование ударной волны;
q' - удельная теплота сгорания парогазовой среды, равная 46 000 кДж/кг;
qТ - удельная энергия взрыва ТНТ, кДж/кг.
Таблица N 1
Значение z для замкнутых объемов (помещений)
Вид горючего вещества | z |
Водород | 1,0 |
Горючие газы | 0,5 |
Пары легковоспламеняющихся и горючих жидкостей | 0,3 |
1.3. Зоной разрушения считается площадь с границами, определяемыми радиусами R, центром которой являются рассматриваемый технологический блок или наиболее вероятное место разгерметизации технологической системы. Границы каждой зоны характеризуются значениями избыточных давлений на фронте падающей ударной волны

и соответственно безразмерным коэффициентом K.
Классификация зон разрушения приводится в таблице N 2.
Таблица N 2
Классификация зон разрушения типовых зданий и оборудования
Класс зоны разрушения | K |  , кПа | Возможные последствия, характер повреждений зданий и сооружений |
1 | 3,8 |  100 | Полное разрушение зданий с массивными стенами |
2 | 5,6 | 70 | Разрушение стен кирпичных зданий толщиной в 1,5 кирпича; перемещение цилиндрических резервуаров; разрушение трубопроводных эстакад |
3 | 9,6 | 28 | Разрушение перекрытий промышленных зданий; разрушение промышленных стальных несущих конструкций; деформации трубопроводных эстакад |
4 | 28 | 14 | Разрушение перегородок и кровли зданий; повреждение стальных конструкций каркасов, ферм |
5 | 56 | <= 2 | Граница зоны повреждений зданий; частичное повреждение остекления |
1.4. Радиус зоны разрушения, м, в общем виде определяется выражением:

, (4)
где: K - безразмерный коэффициент, характеризующий воздействие взрыва на объект.
При массе паров m более 5000 кг радиус зоны разрушения может определяться выражением:

. (5)
2. Методика, учитывающая тип взрывного превращения (детонация/дефлаграция) при воспламенении ТВС.
2.1. В данной методике учитывается дрейф и тип взрывного превращения (детонация/дефлаграция) при воспламенении облаков ТВС.
Для расчетов зон разрушения при взрывах ТВС следует использовать следующие соотношения.
Масса горючего вещества, способного участвовать во взрыве m
г (кг), определяется путем интегрирования концентрации выброшенного при аварии горючего вещества по пространству, ограниченному поверхностями

и

, по формуле:

, (6)
где: x, y, z - пространственные переменные;

и

- поверхности в пространстве достижения соответственно верхнего и нижнего концентрационных пределов; c(x, y, z, t
0) - распределение концентрации в момент времени t
0, кг/м3; t
0 - момент времени воспламенения, с.
Если в результате расчета по формуле (6) в первичном облаке во взрывоопасных пределах окажется масса больше 10% всей массы топлива, находящейся в первичном облаке, то масса топлива во взрывоопасных пределах первичного облака принимается равной 10% всей массы топлива, находящейся в первичном облаке.
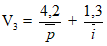
Рассчитываются основные параметры воздушных ударных волн (избыточное давление

и импульс волны давления I) в зависимости от расстояния до центра облака (в том числе с учетом возможного дрейфа облака ТВС).
Для вычисления параметров воздушной ударной волны на заданном расстоянии R от центра облака при детонации облака ТВС предварительно рассчитывается соответствующее безразмерное расстояние по соотношению:
Rx = R / (E / P0)1/3, (7)
где: E - эффективный энергозапас ТВС, Дж (E = mгq, где q - теплота сгорания топлива в облаке, mг - масса сгораемого топлива); P0 - атмосферное давление, Па.
При расчете параметров взрыва облака, лежащего на поверхности земли, величина эффективного энергозапаса удваивается.
Далее рассчитываются безразмерное давление Px и безразмерный импульс фазы сжатия Ix.
2.1.1. В случае детонации облака газовой ТВС расчет производится по следующим формулам:

, (8)

. (9)
Зависимости (8) и (9) справедливы для значений Rx больших 0,2 и меньших 6,5. В случае Rx < 0,2 величина Px полагается равной 18, а в выражение (9) подставляется значение Rx = 0,142, где Rx - безразмерный радиус от центра ТВС.
В случае детонации облака гетерогенной ТВС расчет производится по следующим формулам:

, (10)

. (11)
Зависимости (10) и (11) справедливы для значений Rx больше величины 0,25. В случае если Rx < 0,25, величина Px полагается равной 18, а величина Ix = 0,16.
2.1.2. В случае дефлаграционного взрывного превращения облака ТВС к параметрам, влияющим на величины избыточного давления и импульса положительной фазы, добавляются скорость видимого фронта пламени V
г и степень расширения продуктов сгорания

. Для газовых смесей принимается

= 7, для гетерогенных -

= 4. Для расчета параметров ударной волны при дефлаграции гетерогенных облаков величина эффективного энергозапаса смеси домножается на коэффициент

. Величина V
г определяется исходя из взрывоопасных свойств горючего вещества и загроможденности окружающего пространства, влияющего на турбулизацию фронта пламени.
Безразмерные давление Px1 и импульс фазы сжатия Ix1 определяются по соотношениям:

, (12)

, (13)
где C0 - скорость звука в воздухе, м/с.
Последние два выражения справедливы для значений Rx больше величины 0,34, в противном случае Rx в соотношениях (12) и (13) полагается равным 0,34.
Далее вычисляются величины Px2 и Ix2, которые соответствуют режиму детонации и для случая детонации газовой смеси рассчитываются по соотношениям (8), (9), а для детонации гетерогенной смеси - по соотношениям (10), (11) (в формулах (8) - (11) величинам Px2 и Ix2 соответствуют величины Px и Ix). Окончательные значения Px и Ix выбираются из условий:
Px = min(Px1, Px2), Ix = min(Ix1, Ix2). (14)
После определения безразмерных величин давления и импульса фазы сжатия вычисляются соответствующие им размерные величины:

, (15)
I = Ix(P0)2/3E1/3/C0. (16)
2.2. Для расчета условной вероятности разрушения объектов и поражения людей ударными волнами используется пробит-функция, значение которой определяется следующим образом:
а) вероятность повреждений стен промышленных зданий, при которых возможно восстановление зданий без их сноса, может оцениваться по соотношению:

, (17)
где функция V1 определяется по следующей формуле:

,
где:

- избыточное давление, Па;
I - импульс, Па*с;
б) вероятность разрушений промышленных зданий, при которых здания подлежат сносу, оценивается по соотношениям:

, (18)
где функция

.
При взрывах ТВС внутри резервуаров, разрушении оборудования, содержащего газ под давлением, в общем случае следует учитывать опасность разлета осколков и последующее развитие аварии, сопровождаемое "эффектом домино", с распространением аварии на соседнее оборудование, если оно содержит опасные вещества;
в) вероятность длительной потери управляемости у людей (состояние нокдауна), попавших в зону действия ударной волны при взрыве облака ТВС, может быть оценена по величине пробит-функции:

, (19)
где функция

,

,

,
где mт - масса тела живого организма, кг;
г) вероятность разрыва барабанных перепонок у людей от уровня перепада давления в воздушной волне определяется по формуле:

. (20)
Вероятность отброса людей волной давления оценивается по величине пробит-функции:

, (21)
где функция

.
При использовании пробит-функций в качестве зон 100-процентного поражения принимаются зоны поражения, где значение пробит-функции достигает величины, соответствующей вероятности 90 процентов. В качестве зон, безопасных с точки зрения воздействия поражающих факторов, принимаются зоны поражения, где значение пробит-функции достигает величины, соответствующей вероятности 1 процента.
2.3. Для расчета условной вероятности гибели людей, находящихся в зданиях, используются данные о гибели людей при разрушении зданий при взрывах и землетрясениях. Исходя из типа зданий и избыточного давления ударной волны оценивается степень разрушения производственных и административных зданий. Данные приведены в таблице N 3. Условная вероятность травмирования и гибели людей определяется по таблице N 4.
Данные уточняются при их обосновании с указанием источника информации.
Таблица N 3
Данные о степени разрушения производственных,
административных зданий и сооружений, имеющих
разную устойчивость
Тип зданий, сооружений | Степень разрушения при избыточном давлении на фронте падающей ударной волны, кПа |
Слабое | Среднее | Сильное | Полное |
1 | 2 | 3 | 4 | 5 |
Промышленные здания с легким каркасом и бескаркасной конструкцией | 10 - 25 | 25 - 35 | 35 - 45 | > 45 |
Складские кирпичные здания | 10 - 20 | 20 - 30 | 30 - 40 | > 40 |
Одноэтажные складские помещения с металлическим каркасом и стеновым заполнением из листового металла | 5 - 7 | 7 - 10 | 10 - 15 | > 15 |
Бетонные и железобетонные здания и антисейсмические конструкции | 25 - 35 | 80 - 120 | 150 - 200 | > 200 |
Здания железобетонные монолитные повышенной этажности | 25 - 45 | 45 - 105 | 105 - 170 | 170 - 215 |
Котельные, регуляторные станции в кирпичных зданиях | 10 - 15 | 15 - 25 | 25 - 35 | 35 - 45 |
Деревянные дома | 6 - 8 | 8 - 12 | 12 - 20 | > 20 |
Подземные сети, трубопроводы | 400 - 600 | 600 - 1000 | 1000 - 1500 | > 1500 |
Трубопроводы наземные | 20 | 50 | 130 | - |
Кабельные подземные линии | до 800 | - | - | > 1500 |
Цистерны для перевозки нефтепродуктов | 30 - 50 | 50 - 70 | 70 - 80 | > 80 |
Резервуары и емкости стальные наземные | 35 - 55 | 55 - 80 | 80 - 90 | > 90 |
Подземные резервуары | 40 - 75 | 75 - 150 | 150 - 200 | > 200 |
Таблица N 4
Зависимость условной вероятности поражения человека
с разной степенью тяжести от степени разрушения здания
Тяжесть поражения | Степень разрушения |
Полное | Сильное | Среднее | Слабое |
1 | 2 | 3 | 4 | 5 |
Смертельное | 0,6 | 0,49 | 0,09 | 0 |
Тяжелые травмы | 0,37 | 0,34 | 0,1 | 0 |
Легкие травмы | 0,03 | 0,17 | 0,2 | 0,05 |
3. Критерии взрывоустойчивости зданий.
3.1. Взрывоустойчивость здания при внешнем взрыве обеспечивается, если выполняется условие, при котором здание находится вне возможных зон действия падающей ударной волны с амплитудой давления на фронте, превышающей предельное давление, на которое рассчитано здание:

, (22)
где: Pпр - предельное давление на фронте падающей ударной волны, на которое рассчитано рассматриваемое здание;

- давление на фронте падающей на здание ударной волны;
n - номер сценария (n = 1, 2, ..., N);
N - число сценариев со взрывом.
При отсутствии точных данных значение Pпр определяется по таблице N 3, соответствующей нижнему значению средней степени разрушения здания с учетом его типа.
3.2. В случае невозможности выполнения условия (22) для обоснования взрывоустойчивости следует использовать результаты количественного анализа риска взрыва и критерий, согласно которому частота разрушения здания Rр в течение года не должна превышать допустимую величину Rдоп:
Rр < Rдоп. (23)
Величина Rдоп обосновывается в проектной документации или принимается согласно нормативным методическим документам.
Расчет риска разрушения здания Rр определяется по формуле:

, (24)
где: P(j) - расчетная частота достижения в j-ом сценарии параметров падающей ударной волны, приводящей к разрушению здания (определяется методами количественной оценки риска);
G - число сценариев, при которых реализуются условия разрушения здания.
При оценке риска взрыва следует использовать частоты разгерметизации типового оборудования согласно таблицам N 5 - 8. Данные уточняются при их обосновании с указанием источника информации.
Таблица N 5
Частота разгерметизации технологических трубопроводов
Внутренний диаметр трубопровода | Частота разгерметизации, год-1 · м-1 |
Разрыв на полное сечение, истечение из двух концов трубы | Истечение через отверстие с эффективным диаметром 10 % от номинального диаметра трубы, но не больше 50 мм |
1 | 2 | 3 |
Менее 75 мм | 1 x 10-6 | 5 x 10-6 |
От 75 до 150 мм | 3 x 10-7 | 2 x 10-6 |
Более 150 мм | 1 x 10-7 | 5 x 10-7 |
Примечания. 1. Частоты приведены для технологических трубопроводов, не подверженных интенсивной вибрации, не работающих в агрессивной среде, при отсутствии эрозии, не подверженных циклическим тепловым нагрузкам. 2. При наличии указанных факторов частота повышается в 3 - 10 раз в зависимости от специфики условий. 3. Разгерметизация на фланцевых соединениях добавляется к разгерметизациям на трубопроводах. Одно фланцевое соединение по частоте разгерметизации приравнивается к 10 м трубопровода. 4. Длина трубопровода не менее 10 м. При меньшей длине она считается равной 10 м. |
Таблица N 6
Частота разгерметизации насосов
Тип насоса | Частота разгерметизации, год-1 |
Катастрофическое разрушение с эффективным диаметром отверстия, равным диаметру наибольшего трубопровода | Утечка через отверстие с номинальным диаметром 10 % от диаметра наибольшего трубопровода, но не больше 50 мм |
Насосы | 1 x 10-4 | 5 x 10-4 |
Корпусы насосов из кованой стали | 5 x 10-5 | 2,5 x 10-4 |
Герметичные насосы | 1 x 10-5 | 5 x 10-5 |
Таблица N 7
Частота разгерметизации сосудов под давлением
Тип оборудования | Частота разгерметизации, год-1 |
Полное разрушение, мгновенный выброс | Продолжительный выброс через отверстие диаметром 10 мм |
C1 | C2 |
1 | 2 | 3 |
Сосуды под давлением | 1 x 10-6 | 1 x 10-5 |
Технологические аппараты (ректификационные колонны, конденсаторы и фильтры) | 1 x 10-5 | 1 x 10-4 |
Химические реакторы | 1 x 10-5 | 1 x 10-4 |
Примечания. 1. Частота понижается, если при изготовлении сосуда использованы специальные технические решения, обеспечивающие снижение аварийности, однако частота полной разгерметизации (мгновенный выброс (C1)) не может быть ниже 1·10-7 1/год. 2. Частота разгерметизации повышается, если для сосуда обычные условия обеспечения целостности не выполняются либо имеются другие обстоятельства, приводящие к повышению частоты. Если внешние воздействия не могут быть исключены, то значение частоты полного разрушения увеличивается на величину 1·10-5 1/год для мгновенного выброса (C1). |
Таблица N 8
Частота разгерметизации резервуаров
и изотермических хранилищ
Тип оборудования | Частота разгерметизации, год-1 |
Полное разрушение | Продолжительный выброс в окружающую среду через отверстие диаметром 10 мм | Продолжительный выброс в межстенное пространство через отверстие диаметром 10 мм |
Мгновенный выброс всего объема в окружающую среду | Мгновенный выброс всего объема в межстенное пространство |
1 | 2 | 3 | 4 | 5 |
Одностенный резервуар <а> | 1 x 10-5 | - | 1 x 10-4 | - |
Резервуар с внешней защитной оболочкой <б> | 1 x 10-6 | 1 x 10-6 | - | 1 x 10-4 |
Резервуар с двумя оболочками <в> | 2,5 x 10-8 | 1 x 10-7 | - | 1 x 10-4 |
Резервуар полной герметизации <г> | 1 x 10-8 | - | | |
Заглубленный резервуар <д> | - | 1 x 10-8 | - | - |
Подземное хранилище <е> | 1 x 10-8 | - | - | - |
Примечания: <а> имеется одна оболочка, предназначенная для хранения жидкости. Вторая (внешняя) оболочка может присутствовать, однако она обеспечивает защиту только от воздействия окружающей среды и при разрушении внутренней оболочки не может удерживать ни газ, ни жидкость; <б> имеются внутренняя оболочка для хранения жидкости и внешняя защитная оболочка, обеспечивающая удержание жидкости при утечке из внутренней оболочки, но не обеспечивающая удержание газа. Внешняя оболочка не обеспечивает защиту от внешних воздействий (взрыва, воздействия разлетающихся обломков и термического воздействия); <в> имеются первичная оболочка для жидкости и внешняя оболочка. Внешняя оболочка может удерживать пролитую жидкость и защищать от различных внешних воздействий, таких как взрывы, воздействие разлетающихся обломков и термическое воздействие, однако не предусматривает удержание газа (паров); <г> имеются внутренняя и внешняя оболочки. Внешняя оболочка обеспечивает удержание пролитой жидкости и пара и защищает от различных внешних воздействий, таких как взрывы, воздействие разлетающихся обломков и термическое воздействие; <д> уровень жидкости в хранилище находится ниже уровня земли; <е> хранилище полностью закрыто грунтом, уровень жидкости находится ниже уровня земли. |
".