Главная // Пожарная безопасность СПРАВКА
Источник публикации
"Сборник нормативных документов по управлению охраной труда на железнодорожном транспорте". М.: "Транспорт", 1992
Примечание к документу
Документ утратил силу на территории Российской Федерации в связи с изданием
Приказа Минтранса России от 22.05.2019 N 152.
Название документа
"Методика комплексной оценки результатов работы по охране труда на предприятиях и в организациях железных дорог"
(утв. МПС СССР 20.02.1986 N ЦБТ-33)
"Методика комплексной оценки результатов работы по охране труда на предприятиях и в организациях железных дорог"
(утв. МПС СССР 20.02.1986 N ЦБТ-33)
Заместитель министра
путей сообщения
В.П.КАЛИНИЧЕВ
20 февраля 1986 г. N ЦБТ-33
Согласовано
Заведующий отделом охраны
труда ЦК профсоюза рабочих
железнодорожного транспорта
и транспортного строительства
В.С.КРУТЯКОВ
18 февраля 1986 года
МЕТОДИКА
КОМПЛЕКСНОЙ ОЦЕНКИ РЕЗУЛЬТАТОВ РАБОТЫ ПО ОХРАНЕ ТРУДА
НА ПРЕДПРИЯТИЯХ И В ОРГАНИЗАЦИЯХ ЖЕЛЕЗНЫХ ДОРОГ
1.1. Комплексную оценку результатов работы по улучшению условий и повышению безопасности труда проводят для применения материальных и моральных стимулов, усиления ответственности трудовых коллективов, предприятий и организаций железных дорог за показатели работы по охране труда.
Результаты комплексной оценки учитывают при определении размеров премии (размеры премии устанавливаются специальной методикой, утвержденной МПС и ЦК профсоюза рабочих железнодорожного транспорта и транспортного строительства), для осуществления организационных мероприятий.
1.2. Методика предназначена для проведения комплексной оценки результатов работы по охране труда:
на предприятии для оценки работы в бригадах, участках;
в отделении дороги для оценки работы на родственных предприятиях, входящих в его состав;
в службе управления дороги для оценки работы в соответствующих отраслевых отделах отделений дорог;
в отделе охраны труда и техники безопасности управления дороги для оценки работы в отделениях дороги;
в отраслевом главном управлении МПС для оценки работы в соответствующих службах дорог;
в отделе охраны труда и техники безопасности Главного управления по безопасности движения МПС для оценки работы на железных дорогах.
1.3. При оценке результатов работы по охране труда учитывают показатели, отражающие положение с производственным травматизмом, освоением средств, ассигнованных на мероприятия по охране труда, выполнением комплексного плана улучшения условий, охраны труда и санитарно-оздоровительных мероприятий.
Все показатели определяют по данным, содержащимся в журналах регистрации несчастных случаев, в установленной отчетности форм 7-Т-вн, 21-Т, а также в журналах регистрации второй и третьей ступеней контроля по охране труда.
Перечень приведенных в методике показателей оценки результатов работы по охране труда является рекомендательным. Он может быть уточнен, дополнен или сокращен в зависимости от местных условий, уровня организации, проводящей оценку, специфики работы предприятий различных хозяйств и организаций железнодорожного транспорта.
1.4. Для учета влияния показателей на конечные результаты работы по охране труда вводится коэффициент значимости показателей. Установлены различные коэффициенты значимости для двух групп показателей - связанных с производственным травматизмом (опасностью травмирования) и общими условиями труда.
1.5. Результат работы по охране труда выражают обобщающим (итоговым) показателем, который устанавливают с учетом значимости отдельных показателей. В качестве обобщающего показателя результата работы по охране труда в бригадах, на участках, сменах и в других подразделениях предприятий принят коэффициент охраны труда, а для оценки работы предприятий и организаций - сумма мест по отдельным показателям.
1.6. Порядок проведения комплексной оценки результатов работы по охране труда на каждом предприятии и в организации железных дорог устанавливают соответствующим стандартом предприятия или положением, которые разрабатывают на основе настоящей Методики.
В стандарте предприятия или положении устанавливают перечень групп подразделений предприятий и групп предприятий, для которых проводят оценку, перечень показателей, уровень (коэффициент) их значимости, формы таблиц для записи необходимых данных и расчета показателей, периодичность проведения оценки и др.
2. ОЦЕНКА РЕЗУЛЬТАТОВ РАБОТЫ ПО ОХРАНЕ ТРУДА В БРИГАДАХ,
УЧАСТКАХ, СМЕНАХ И ДРУГИХ ПОДРАЗДЕЛЕНИЯХ ПРЕДПРИЯТИЙ
2.1. Перечень показателей и порядок их определения
Расчетные формулы по всем показателям приведены в
Карте комплексной оценки результатов работы по охране труда (приложение 1).
2.1.1. Число нарушений требований безопасности труда в организации и выполнении работ Н
1т. Показатель исчисляют в случаях (фактах) нарушений.
Значение показателя определяют по следующим документам:
актам, протоколам, журналам проведения второй и третьей ступеней контроля по охране труда. В этих журналах графу "Выявленные недостатки" рекомендуется разделить на две подграфы "Количество нарушений" и "В том числе травмоопасных";
журналам внезапных проверок, оперативного контроля по охране труда и безопасности движения, проводимых руководителями и инженерно-техническими работниками предприятия;
журналам замечаний общественных инспекторов по охране труда;
предписаниям контролирующих органов.
2.1.2. Число нарушений требований безопасности труда в содержании и эксплуатации машин, станков, оборудования, механизмов и инструмента Н
2т. Показатель исчисляют в единицах оборудования, не отвечающего требованиям безопасности труда. Значения его определяют по документам, указанным в
п. 2.1.1.
2.1.3. Число нарушений требований безопасности труда (соблюдение которых зависит от проверяемого подразделения) к организации и содержанию рабочих мест (зон), проходов и проездов, производственных и санитарно-бытовых помещений, а также территорий, представляющих опасность травмирования Н
3т, ухудшающих условия труда Н
3у. Показатель исчисляют в случаях (фактах) нарушений. Значения его определяют по документам, указанным в
п. 2.1.1.
2.1.4. Число нарушений в использовании и содержании спецодежды и других средств индивидуальной защиты, представляющих опасность травмирования Н
4т, ухудшающих условия труда Н
4у. Показатель исчисляют в лицах, допустивших нарушения в использовании спецодежды. Значения показателя определяют по документам, указанным в
п. 2.1.1.
2.1.5. Число нарушений порядка проверки знаний, обучения и инструктажа по охране труда, медицинских освидетельствований Н5т. Показатель исчисляют в лицах, работающих с просроченным сроком медицинского освидетельствования или периодической проверки знаний по охране труда, инструктажа по технике безопасности. Значения показателя определяют по книгам (журналам) регистрации медицинских освидетельствований, проверки знаний и инструктажей по охране труда.
2.1.6. Число нарушений порядка проведения трехступенчатого контроля Н6т. Показатель исчисляют в случаях непроведения контроля на первой и второй ступенях. Значения показателя определяют по журналам регистрации первой и второй ступеней контроля по охране труда.
2.1.7. Число нарушений планов-мероприятий, указаний, решений и предписаний по охране труда, направленных на предупреждение травматизма Н7т, общее улучшение условий труда Н7у. Показатель исчисляют в пунктах приказов, мероприятий, не выполненных в установленный срок. Значения показателя определяют по приказам, планам и другим документам предприятия.
2.1.8. Число микротравм Н8т. Показатель исчисляют в случаях зафиксированных микротравм. Значение показателя определяют по книге регистрации здравпункта.
2.1.9. Число внедренных рационализаторских предложений, направленных на предупреждение травматизма П1т или на общее улучшение условий труда П1у. Показатель исчисляют в рационализаторских предложениях по охране труда. Значения показателя определяют по журналу регистрации рационализаторских предложений.
2.1.10. Число выполненных силами подразделения дополнительных работ, направленных на предупреждение травматизма П2т или на общее улучшение условий труда П2у. Показатель исчисляют в мероприятиях по охране труда. Значение показателя определяют по приказам о поощрении и т.д.
2.1.11. Число случаев производственного травматизма.
2.2. Коэффициенты значимости показателей
2.2.1. Для нарушений, представляющих опасность травмирования, Ст = 1.
2.2.2. Для нарушений, ухудшающих условия труда, Су = 0,5.
2.2.3. Для сверхплановых мероприятий, направленных на предупреждение травматизма, Ст = 1.
2.2.4. Для сверхплановых мероприятий, направленных на общее улучшение условий труда, Су = 0,5.
2.3. Определение обобщающего (итогового) показателя -
коэффициента охраны труда
2.3.1. Общий результат работы по охране труда в бригаде, участке, смене, цехе оценивают коэффициентом охраны труда, который рассчитывают по учитываемым показателям.
Коэффициент охраны труда Кот определяют вычитанием из единицы отношения суммы нарушений требований безопасности труда (с учетом их значимости) к численности работающих. При проведении сверхплановых мероприятий по охране труда этот остаток должен быть увеличен на отношение числа таких мероприятий к числу работников (при этом Кот может быть больше единицы).
Чем выше значение коэффициента охраны труда, тем лучше положение в этой области в подразделении.
Коэффициент охраны труда для каждого подразделения
где Н1т, Н2т, Н3т, Н3у, Н4т, Н4у, Н5т, Н6т, Н7т, Н7у, Н8т - число нарушений, представляющих опасность травмирования или ухудшающих условия труда; П1т, П1у, П2т, П2у - число рацпредложений и сверхплановых мероприятий, направленных на предупреждение травматизма или общее улучшение условий труда; Ст - коэффициент значимости нарушений (сверхплановых мероприятий), представляющих опасность (направленных на предупреждение) производственного травматизма; Су - коэффициент значимости нарушений (сверхплановых мероприятий), ухудшающих (улучшающих) условия труда; Ч - численность работающих в данном подразделении.
2.3.2. Расчет коэффициента охраны труда проводят в
Карте комплексной оценки результатов работы по охране труда в бригадах, участках, сменах и других подразделениях предприятий железных дорог (см. приложение 1). В карте указывают значения найденных показателей нарушений требований охраны труда и сверхплановых мероприятий по охране труда, а также численность работающих по каждой бригаде, участку, смене и другим подразделениям предприятия.
2.3.3. Сбор сведений и расчет учитываемых показателей по участкам и сменам выполняет инженер по технике безопасности предприятия, а по бригадам - инженерно-технические работники подразделения предприятия.
2.3.4. Оценивают работу по охране труда ежемесячно или ежеквартально в зависимости от местных условий.
2.3.5. Коэффициент охраны труда подразделения, в котором в учетном периоде времени произошла травма на производстве, принимают равным нулю.
2.3.6. Полученные коэффициенты охраны труда по каждому подразделению сравнивают со шкалой нормативных коэффициентов, которые устанавливают на год. На предприятии разрабатывают либо одну шкалу нормативных коэффициентов, общую для всех подразделений, либо несколько шкал для групп подразделений, отличающихся условиями труда, технической оснащенностью, объемами и видами работ.
2.3.7. Место, занятое каждым подразделением по результатам работы по охране труда, определяют по отношению фактического и нормативного коэффициента охраны труда:

Чем больше это отношение, тем более высокое место присваивается подразделению. Подразделению, у которого К
от = 0 (имела место травма на производстве), присваивается последнее место (подразделение выбывает из участия в соревновании).
3. ОЦЕНКА РЕЗУЛЬТАТОВ РАБОТЫ ПО ОХРАНЕ ТРУДА
НА ПРЕДПРИЯТИЯХ И В ОРГАНИЗАЦИЯХ ЖЕЛЕЗНЫХ ДОРОГ
3.1. Перечень показателей и порядок их определения
Расчетные формулы по всем показателям приведены в
Карте комплексной оценки результатов работы по охране труда (приложение 2).
Основные показатели, используемые при ежеквартальной
оценке или квартальной оценке нарастающим
итогом, а также за год
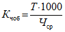
3.1.1. Коэффициент частоты производственного травматизма со смертельным исходом на 1000 работающих К
ч см. Показатель рассчитывают по данным журнала регистрации несчастных случаев (при квартальной оценке) или отчете 7-Т-вн (при годовой оценке). Показатель используют только при оценке отделений дороги, служб и дорог. При наличии случая со смертельным исходом на предприятии ему присваивается последнее место.
3.1.2. Процент изменения коэффициента частоты производственного травматизма со смертельным исходом в отчетном периоде по сравнению с аналогичным периодом предыдущего года Е
кч см. Показатель также используют только при оценке отделений дорог, служб и дорог.
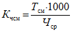
3.1.3. Коэффициент частоты производственного травматизма (общего) на 1000 работающих Кч об. Показатель рассчитывают по данным журнала регистрации несчастных случаев (при квартальной оценке) или отчета 7-Т-вн (при годовой оценке).
3.1.4. Процент изменения коэффициента частоты производственного травматизма (общего) в отчетном периоде по сравнению с аналогичным периодом предыдущего года Екч об.
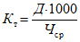
3.1.5. Коэффициент тяжести производственного травматизма на 1000 работающих Кт. Показатель рассчитывают по данным журнала регистрации несчастных случаев (при квартальной оценке) или отчета 7-Т-вн (при годовой оценке).
3.1.6. Процент изменения коэффициента тяжести производственного травматизма в отчетном периоде по сравнению с аналогичным периодом предыдущего года Ект.
Дополнительные показатели, используемые при оценке
результатов работы за год (при этом также используются
основные показатели квартальной оценки)
3.1.7. Процент выполнения плана освоения средств, ассигнованных на номенклатурные мероприятия по охране труда, Внм. Показатель рассчитывают по данным отчета 7-Т-вн.
3.1.8. Процент выполнения плана освоения капитальных вложений на мероприятия по охране труда В
кв. Показатель рассчитывают по данным выполнения коллективного договора.
3.1.9. Процент выполнения комплексного плана по приведению состояния условий труда в соответствие с требованиями и нормами охраны труда Вкпу. Показатель рассчитывают по данным отчета 21-Т, раздел I.
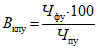
3.1.10. Процент обеспеченности работающих местами в гардеробных Ог. Показатель рассчитывают по данным отчета 21-Т, раздел IV.
3.1.11. Процент обеспеченности работающих душевыми Од. Показатель рассчитывают по данным отчета 21-Т, раздел IV.
3.1.12. Процент обеспеченности работающих умывальными Оу. Показатель рассчитывают по данным отчета 21-Т, раздел IV.
3.1.13. Процент обеспеченности работающих женщин помещениями для личной гигиены Ож. Показатель рассчитывают по данным отчета 21-Т, раздел IV.
3.1.14. Процент обеспеченности работающих комнатами для отдыха Оо. Показатель рассчитывают по данным отчета 21-Т, раздел IV.
3.1.15. Процент обеспеченности работающих пунктами химической чистки одежды Ох. Показатель рассчитывают по данным отчета 21-Т, раздел IV.
3.1.16. Процент обеспеченности работающих помещениями для сушки одежды Ос. Показатель рассчитывают по данным отчета 21-Т, раздел IV.
3.1.17. Процент обеспеченности работающих кабинетами по охране труда Окаб. Показатель рассчитывают по данным отчета 21-Т, раздел IV.
3.2. Коэффициенты значимости показателей
3.2.1. Для показателя, характеризующего частоту производственного травматизма со смертельным исходом:
при квартальной оценке Сч см = 6;
при оценке результатов работы за год Сч об = 3.
3.2.2. Для показателя, характеризующего изменение частоты производственного травматизма со смертельным исходом в отчетном периоде по сравнению с аналогичным периодом предыдущего года, Сеч см = 3.
3.2.3. Для показателя, характеризующего частоту общего производственного травматизма, Сч об = 3.
3.2.4. Для показателя, характеризующего изменение частоты общего производственного травматизма в отчетном периоде по сравнению с аналогичным периодом предыдущего года, Сеч об = 2.
3.2.5. Для показателя, характеризующего тяжесть общего производственного травматизма, Ст = 3.
3.2.6. Для показателя, характеризующего изменение тяжести общего производственного травматизма в отчетном периоде по сравнению с аналогичным периодом предыдущего года, Сет = 2.
3.2.7. Для показателей, характеризующих положение с освоением средств, ассигнованных на мероприятия по охране труда, выполнением комплексного плана улучшения условий и охраны труда, санитарно-оздоровительных мероприятий, Су = 1.
3.3. Определение обобщающего (итогового) показателя -
суммы мест по отдельным (учитываемым) показателям
работы по охране труда
3.3.1. Общий результат деятельности по созданию безопасных и здоровых условий труда на предприятии или в организации выражают суммой мест по отдельным учитываемым показателям работы по охране труда с учетом их значимости. Обобщающий (итоговый) показатель определяют суммированием мест, которые занимают оцениваемые (сравниваемые) предприятия (организации) по каждому показателю. Для учета значимости показателя место, которое занимает предприятие (организация) по этому показателю, умножают на соответствующий коэффициент значимости.
Обобщающий (итоговый) показатель - сумма мест по отдельным учитываемым показателям работы по охране труда на данном предприятии:
где М
1, М
2, М
3, ..., М
i - места, занятые предприятием (организацией по показателям 1, 2, 3, ..., 17, приведенным в
п. 3.1: i - порядковый номер показателя, начиная с седьмого (i = 7, 8, 9, ..., k); при оценке результатов работы за год k = 17 (т.е. i = 7, 8, 9, ..., 17); С
ч м, С
еч см, С
чоб, С
ечоб, С
т, С
ет, С
у - коэффициенты значимости разных показателей, приведенные в
п. 3.2.
Примечание. Произведения Счсм М1 и Сечсм М2 рассчитывают только при оценке отделений дорог, служб и дорог.
3.3.2. Обобщающий (итоговый) показатель рассчитывают в
Карте комплексной оценки результатов работы по охране труда на предприятиях и в организациях железных дорог (приложение 2). В этой карте определяют значения отдельных показателей.
По значениям этих показателей устанавливают место предприятия (организации) по данному показателю среди оцениваемых (сравниваемых) предприятий (организаций). Чем лучше показатель (ниже коэффициент частоты травматизма, больше его снижение, выше процент освоения средств, процент выполнения комплексного плана и т.д.), тем более высокое место (1, 2, 3 и т.д.) дают предприятию (организации).
3.3.3. Всем предприятиям (организациям), не имеющим травм или работников, работающих во вредных условиях, присваивается первое место по соответствующим показателям.
3.3.4. При наличии одинаковых значений показателя у нескольких предприятий (организаций) им дается одно и то же место.
3.3.5. Итоговые места по результатам работы по охране труда на предприятиях (организациях) определяют по сумме мест по отдельным показателям с учетом их значимости. Чем меньше сумма мест, тем выше итоговое место.
3.3.6. Предприятию, на котором в учетном периоде произошла травма со смертельным исходом, присваивают последнее итоговое место.
КОМПЛЕКСНОЙ ОЦЕНКИ РЕЗУЛЬТАТОВ РАБОТЫ ПО ОХРАНЕ ТРУДА
В ПОДРАЗДЕЛЕНИЯХ ПРЕДПРИЯТИЙ ЖЕЛЕЗНЫХ ДОРОГ
ЗА ________ (МЕСЯЦ, КВАРТАЛ) 199_ г.
N п/п | Наименование показателей | Значение показателей |
1 | 2 | 3 | 4 | 5 | ... |
1 | Число нарушений требований безопасности труда при организации и выполнении работ Н1т (в случаях, фактах нарушений) | | | | |
2 | Число нарушений требований охраны труда при содержании и эксплуатации машин, станков, механизмов, инструмента и другого оборудования Н2т (в единицах оборудования) | | | | |
3 | Число нарушений требований безопасности и охраны труда, соблюдение которых зависит от проверяемого подразделения, организации и содержания рабочих мест (зон), проходов производственных и санитарно-бытовых помещений и территорий Н3 (в рабочих местах, помещениях): | | | | |
представляющих опасность травмирования Н3т | | | | |
ухудшающих условия труда Н3у | | | | |
4 | Число нарушений в использовании и содержании спецодежды и других средств индивидуальной защиты Н4 (в лицах): | | | | |
представляющих опасность травмирования Н4т | | | | |
ухудшающих условия труда Н4т | | | | |
5 | Число нарушений порядка проверки знаний, обучения и инструктажа по охране труда, медицинских освидетельствований Н5т (в лицах) | | | | |
6 | Число нарушений порядка проведения трехступенчатого контроля Н6т (в случаях нарушений) | | | | |
7 | Число нарушений планов-мероприятий, указаний, решений и предписаний по охране труда Н7 (в пунктах), направленных на: | | | | |
предупреждение травматизма Н7т | | | | |
улучшение условий труда Н7у | | | | |
8 | Число микротравм Н8т (в случаях) | | | | |
9 | Число внедренных рационализаторских предложений, направленных на: | | | | |
предупреждение производственного травматизма П1т | | | | |
общее улучшение условий труда П1у | | | | |
10 | Число выполненных силами подразделения дополнительных работ, направленных на: | | | | |
предупреждение производственного травматизма П2у | | | | |
11 | Число случаев производственного травматизма | | | | |
12 | Численность работающих Ч (чел.) | | | | |
13 | Коэффициент охраны труда фактический: | | | | |
|
| Коэффициенты значимости Ст = 1, Су = 0,5 | | | | |
14 | Нормативный коэффициент  | | | | |
15 | Отношение коэффициента охраны труда фактического к нормативному -  | | | | |
16 | Место, занятое подразделением по результатам работы по охране труда | | | | |
КОМПЛЕКСНОЙ ОЦЕНКИ РЕЗУЛЬТАТОВ РАБОТЫ ПО ОХРАНЕ ТРУДА
НА ПРЕДПРИЯТИЯХ И В ОРГАНИЗАЦИЯХ ЖЕЛЕЗНЫХ ДОРОГ
ЗА ________ КВАРТАЛ 199_ г.
N п/п | Наименование показателей | Значение показателей |
1 | 2 | 3 | 4 | 5 | ... |
| Коэффициент частоты производственного травматизма со смертельным исходом на 1000 работающих Кчсм | | | | |
Среднесписочная численность работающих Чср | | | | |
Число пострадавших со смертельным исходом Тсм: | | | | |
| | | | |
Место по показателю М1 | | | | |
| Процент изменения коэффициента частоты производственного травматизма со смертельным исходом в отчетном периоде по сравнению с аналогичным (базовым) периодом предыдущего года Екчсм: | | | | |
 - в отчетном периоде | | | | |
 - в базовом периоде | | | | |
| | | | |
Место по показателю М2 | | | | |
3 | Коэффициент частоты производственного травматизма (общего) на 1000 работающих Кчоб | | | | |
Число пострадавших с утратой трудоспособности на 1 рабочий день и более и со смертельным исходом Т: | | | | |
| | | | |
Место по показателю М3 | | | | |
4 | Процент изменения коэффициента частоты производственного травматизма (общего) в отчетном периоде по сравнению с аналогичным (базовым) периодом предыдущего года Екчоб: | | | | |
 - в отчетном периоде | | | | |
 - в базовом периоде | | | | |
| | | | |
Место по показателю М4 | | | | |
5 | Коэффициент тяжести производственного травматизма на 1000 работающих Кт | | | | |
Число человеко-дней нетрудоспособности у пострадавших с утратой трудоспособности на 1 рабочий день и более Д: | | | | |
| | | | |
Место по показателю М5 | | | | |
6 | Процент изменения коэффициента тяжести производственного травматизма в отчетном периоде по сравнению с аналогичным (базовым) периодом предыдущего года Ект: | | | | |
 - в отчетном периоде | | | | |
 - в базовом периоде | | | | |
| | | | |
Место по показателю М6 | | | | |
Обобщающий (итоговый) показатель - сумма мест по учитываемым показателям работы по охране труда за квартал Мот: | | | | |
Мот = Счсм М1 + Сечсм М2 + Счоб М3 + Сечоб М4 + Ст М5 + Сет М6 | | | | |
Коэффициент значимости Счсм = 6, Сечсм = 3, Счоб = 3, Сечоб = 2, Ст = 3, Сет = 2 | | | | |
Итоговое место  | | | | |
7 | Процент выполнения плана освоения средств, ассигнованных на номенклатурные мероприятия по охране труда, Внм | | | | |
План ассигнований, тыс. руб., Апнм | | | | |
Фактически израсходовано, тыс. руб., Афнм: | | | | |
| | | | |
Место по показателю М7 | | | | |
| Процент выполнения плана освоения капитальных вложений на мероприятия по охране труда Вкв | | | | |
План освоения, тыс. руб., Апкв | | | | |
Фактически освоено, тыс. руб., Афкв: | | | | |
| | | | |
Место по показателю М8 | | | | |
9 | Процент выполнения комплексного плана по приведению состояния условий труда в соответствие с требованиями и нормами охраны труда Вкпу | | | | |
Численность работающих, которым в отчетном году условия труда должны быть по плану приведены в соответствие с требованиями и нормами охраны труда, Чпу | | | | |
То же фактически, Ффу: | | | | |
| | | | |
Место по показателю М9 | | | | |
10 | Процент обеспеченности работающих местами в гардеробных Ог | | | | |
Число мест в гардеробных, которое требуется по нормам на конец года, Пнг | | | | |
Число недостающих мест в гардеробных на начало года Пдг | | | | |
Число мест в гардеробных, которое было введено в отчетном году, Пфг: | | | | |
| | | | |
Место по показателю М10 | | | | |
11 | Процент обеспеченности работающих душевыми Од | | | | |
Число сеток в душевых, которое требуется по нормам на конец года, Пнд | | | | |
Число недостающих сеток в душевых на начало года Пдд | | | | |
Число сеток в душевых, которое было введено в отчетном году, Пфд: | | | | |
| | | | |
Место по показателю М11 | | | | |
12 | Процент обеспеченности работающих умывальными Оу | | | | |
Число кранов в умывальных, которое требуется по нормам на конец года, Пну | | | | |
Число недостающих кранов в умывальных на начало года Пду | | | | |
Число кранов в умывальных, которое было введено в отчетном году, Пфу | | | | |
| | | | |
Место по показателю М12 | | | | |
13 | Процент обеспеченности работающих женщин помещениями для личной гигиены Ож | | | | |
Число кабин в помещениях, которое требуется по нормам на конец года, Онж | | | | |
Число недостающих кабин на начало года Одж | | | | |
Число кабин, которое было введено в отчетном году, Пфж: | | | | |
| | | | |
Место по показателю М13 | | | | |
14 | Процент обеспеченности работающих комнатами для отдыха Оо | | | | |
Площадь, м2, комнат для отдыха, которая требуется по нормам на конец года, Пно | | | | |
Недостающая площадь, м2, комнат для отдыха на начало года Пдо | | | | |
Площадь, м2, комнат для отдыха, которая была введена в отчетном году, Пфо: | | | | |
| | | | |
Место по показателю М14 | | | | |
15 | Процент обеспеченности работающих пунктами химической чистки одежды Ох | | | | |
Число пунктов химической чистки одежды, которое требуется по нормам на конец года, Пнх | | | | |
Недостающее число пунктов химической чистки одежды на начало года Пдх | | | | |
Число пунктов химической чистки одежды, которое было введено в отчетном году, Пфх: | | | | |
| | | | |
Место по показателю М15 | | | | |
16 | Процент обеспеченности работающих помещениями для сушки одежды Ос | | | | |
Площадь, м2, помещений для сушки одежды, которая требуется по нормам на конец года, Пнс | | | | |
Недостающая площадь, м2, помещений для сушки одежды на начало года, Пдс | | | | |
Площадь, м2, помещений для сушки одежды, которая была введена в отчетном году, Пфс: | | | | |
| | | | |
Место по показателю М16 | | | | |
17 | Процент обеспеченности работающих кабинетами по охране труда Ок | | | | |
Число кабинетов по охране труда, которое требуется по нормам на конец года, Пнк | | | | |
Число недостающих кабинетов по охране труда на начало года Пдк | | | | |
Число кабинетов по охране труда, которое было введено в отчетном году, Пфк: | | | | |
| | | | |
Место по показателю М17 | | | | |
18 | Обобщающий (итоговый) показатель - сумма мест по учитываемым показателям работы по охране труда за год: | | | | |
Мот = Счсм М1 + Сечсм М2 + Счоб М3 + Сечоб М4 + Ст М5 + Сет М6 + Су (М7 + М8 + М9 + М10 + М11 + М12 + М13 + М14 + М15 + М16 + М17) | | | | |
Коэффициенты значимости Счсм = 10, Сечсм = 3, Счоб = 3, Сечоб = 2, Ст = 3, Сет = 2, Су = 1. | | | | |
Итоговое место  | | | | |
--------------------------------