Главная // Пожарная безопасность СПРАВКА
Источник публикации
В данном виде документ опубликован не был.
Первоначальный текст документа опубликован в издании
М.: Стандартинформ, 2009.
Информацию о публикации документов, создающих данную редакцию, см. в справке к этим документам.
Примечание к документу
Отдельные положения данного документа включены в Перечень международных и региональных (межгосударственных) стандартов, а в случае их отсутствия - национальных (государственных) стандартов, в результате применения которых на добровольной основе обеспечивается соблюдение требований технического регламента Таможенного союза "О безопасности машин и оборудования" (ТР ТС 010/2011) и в Перечень международных и региональных (межгосударственных) стандартов, а в случае их отсутствия - национальных (государственных) стандартов, содержащих правила и методы исследований (испытаний) и измерений, в том числе правила отбора образцов, необходимые для применения и исполнения требований технического регламента Таможенного союза "О безопасности машин и оборудования" (ТР ТС 010/2011) и осуществления оценки соответствия объектов технического регулирования (Решение Коллегии Евразийской экономической комиссии от 09.03.2021 N 28).
Отдельные положения данного документа включены в Перечень документов в области стандартизации, в результате применения которых на добровольной основе обеспечивается соблюдение требований Федерального закона от 22.07.2008 N 123-ФЗ "Технический регламент о требованиях пожарной безопасности" (Приказ Росстандарта от 14.07.2020 N 1190).
Отдельные положения данного документа включены в Перечень документов в области стандартизации, в результате применения которых на добровольной основе обеспечивается соблюдение требований Федерального закона от 22.07.2008 N 123-ФЗ "Технический регламент о требованиях пожарной безопасности" (Приказ Росстандарта от 03.06.2019 N 1317).
Документ включен в Перечень документов в области стандартизации, содержащих правила и методы исследований (испытаний) и измерений, в том числе правила отбора образцов, необходимые для применения и исполнения технического регламента о безопасности машин и оборудования, а также для осуществления оценки соответствия (Распоряжение Правительства РФ от 05.08.2010 N 1328-р).
Документ включен в Перечень национальных стандартов и сводов правил, в результате применения которых на добровольной основе обеспечивается соблюдение требований Федерального закона от 22.07.2008 г. N 123-ФЗ "Технический регламент о требованиях пожарной безопасности" (Приказ Ростехрегулирования от 30.04.2009 N 1573).
Документ включен в Перечень национальных стандартов, содержащих правила и методы исследований (испытаний) и измерений, в том числе правила отбора образцов, необходимых для применения и исполнения Федерального закона от 22.07.2008 N 123-ФЗ и осуществления оценки соответствия (Распоряжение Правительства РФ от 10.03.2009 N 304-р).
Изменение N 1, утв. Приказом Росстандарта от 01.08.2023 N 605-ст, введено в действие с 01.10.2023.
Название документа
"ГОСТ Р 53321-2009. Национальный стандарт Российской Федерации. Аппараты теплогенерирующие, работающие на различных видах топлива. Требования пожарной безопасности. Методы испытаний"
(утв. и введен в действие Приказом Ростехрегулирования от 18.02.2009 N 97-ст)
(ред. от 01.08.2023)
"ГОСТ Р 53321-2009. Национальный стандарт Российской Федерации. Аппараты теплогенерирующие, работающие на различных видах топлива. Требования пожарной безопасности. Методы испытаний"
(утв. и введен в действие Приказом Ростехрегулирования от 18.02.2009 N 97-ст)
(ред. от 01.08.2023)
Утвержден и введен в действие
Приказом Федерального
агентства по техническому
регулированию и метрологии
от 18 февраля 2009 г. N 97-ст
НАЦИОНАЛЬНЫЙ СТАНДАРТ РОССИЙСКОЙ ФЕДЕРАЦИИ
АППАРАТЫ ТЕПЛОГЕНЕРИРУЮЩИЕ,
РАБОТАЮЩИЕ НА РАЗЛИЧНЫХ ВИДАХ ТОПЛИВА.
ТРЕБОВАНИЯ ПОЖАРНОЙ БЕЗОПАСНОСТИ
МЕТОДЫ ИСПЫТАНИЙ
Thermal devices on various kind of fuel.
Fire safety requirements. Test methods
ГОСТ Р 53321-2009
| | Список изменяющих документов (в ред. Изменения N 1, утв. Приказом Росстандарта от 01.08.2023 N 605-ст) | |
ОКС 13.220.01
ОКП 36 4534, 47 4164,
48 5812, 48 5814,
52 6350, 96 9390,
96 9550
Дата введения
1 января 2010 года
с правом досрочного применения
Цели и принципы стандартизации в Российской Федерации установлены Федеральным законом от 27 декабря 2002 г. N 184-ФЗ "О техническом регулировании", а правила применения национальных стандартов Российской Федерации - ГОСТ Р 1.0-2004 "Стандартизация в Российской Федерации. Основные положения".
1 РАЗРАБОТАН Федеральным государственным учреждением "Всероссийский ордена "Знак Почета" научно-исследовательский институт противопожарной обороны" Министерства Российской Федерации по делам гражданской обороны, чрезвычайным ситуациям и ликвидации последствий стихийных бедствий (ФГУ ВНИИПО МЧС России)
2 ВНЕСЕН Техническим комитетом по стандартизации ТК 274 "Пожарная безопасность"
3 УТВЕРЖДЕН И ВВЕДЕН В ДЕЙСТВИЕ Приказом Федерального агентства по техническому регулированию и метрологии от 18 февраля 2009 г. N 97-ст
4 ВВЕДЕН ВПЕРВЫЕ
Информация об изменениях к настоящему стандарту публикуется в ежегодно издаваемом информационном указателе "Национальные стандарты", а текст изменений и поправок - в ежемесячно издаваемых информационных указателях "Национальные стандарты". В случае пересмотра (замены) или отмены настоящего стандарта соответствующее уведомление будет опубликовано в ежемесячно издаваемом информационном указателе "Национальные стандарты". Соответствующая информация, уведомление и тексты размещаются также в информационной системе общего пользования - на официальном сайте Федерального агентства по техническому регулированию и метрологии в сети Интернет.
1.1 Настоящий стандарт распространяется на бытовые и промышленные теплогенерирующие агрегаты, аппараты и устройства (далее - аппараты), работающие на жидком, твердом или смешанном видах топлива и служащие для отопления, горячего водоснабжения, приготовления пищи, сушки помещений и сельхозпродукции, термообработки поверхностей, расплавления припоев, мастик, нагрева теплоносителей (воздуха, воды и т.д.), а также на дымовые трубы, дымовые каналы, сборные конструкции заводского изготовления для удаления продуктов сгорания от теплогенерирующих аппаратов.
(в ред. Изменения N 1, утв. Приказом Росстандарта от 01.08.2023 N 605-ст)
К аппаратам относятся печи всех типов, камины, воздухонагреватели, водонагреватели, теплогенераторы, горелки, котлы и другие теплогенерирующие устройства, мощность которых не превышает 100 кВт (при этом учитывается максимальная суммарная мощность всех горелок аппарата).
1.2 Настоящий стандарт устанавливает требования пожарной безопасности к конструкции аппаратов и дымовых каналов, к содержанию технической документации (инструкции по эксплуатации, паспорту, техническому описанию и т.д.), сопровождающей аппараты и дымовые каналы.
(в ред. Изменения N 1, утв. Приказом Росстандарта от 01.08.2023 N 605-ст)
Настоящий стандарт устанавливает требования к внутренним трубам и фасонным элементам, а также требования к термическим испытаниям дымовых труб с теплоизоляцией или без нее.
(абзац введен Изменением N 1, утв. Приказом Росстандарта от 01.08.2023 N 605-ст)
1.3 Настоящий стандарт применяется при проведении сертификационных периодических и типовых испытаний аппаратов и дымовых каналов, разработке технической документации на аппарат и дымовой канал.
1.4 Требования стандарта не распространяются на аппараты с объемом парового и водяного пространства до 0,010 м3, у которых произведение рабочего давления (МПа) на объем (м3) превышает 0,02, и аппараты с рабочим давлением свыше 0,07 МПа при объеме свыше 0,010 м3, на аппараты, работающие на газообразном топливе, на кирпичные теплоемкие печи и камины бытового назначения незаводского изготовления, на конструкции дымовых каналов, работающих при повышенном давлении более 5000 Па.
(в ред. Изменения N 1, утв. Приказом Росстандарта от 01.08.2023 N 605-ст)
В настоящем стандарте использованы нормативные ссылки на следующие стандарты:
ГОСТ 12.1.044-89 Система стандартов безопасности труда. Пожаровзрывоопасность веществ и материалов. Номенклатура показателей и методы их определения
ГОСТ 12.1.004-91* Система стандартов безопасности труда. Пожарная безопасность. Общие требования
ГОСТ 17356-89 Горелки на газообразном и жидком топливах. Термины и определения
ГОСТ 9817-95 Аппараты бытовые, работающие на твердом топливе. Общие технические условия.
Примечание - При пользовании настоящим стандартом целесообразно проверить действие ссылочных стандартов и классификаторов в информационной системе общего пользования - на официальном сайте национального органа Российской Федерации по стандартизации в сети Интернет или по ежегодно издаваемому информационному указателю "Национальные стандарты", который опубликован по состоянию на 1 января текущего года, и по соответствующим ежемесячно издаваемым информационным указателям, опубликованным в текущем году. Если ссылочный документ заменен (изменен), то при пользовании настоящим стандартом следует руководствоваться замененным (измененным) документом. Если ссылочный документ отменен без замены, то положение, в котором дана ссылка на него, применяется в части, не затрагивающей эту ссылку.
В настоящем стандарте применяются следующие термины с соответствующими определениями:
3.1 горелка: По ГОСТ 17356.
3.2 атмосферная горелка: По ГОСТ 17356.
3.3 основная горелка: По ГОСТ 17356.
3.4 запальная горелка: По ГОСТ 17356.
3.5 система контроля пламени: По ГОСТ 17356.
3.6 запорный топливный орган: По ГОСТ 17356.
3.7 автоматический запорный топливный орган: По ГОСТ 17356.
3.8 подогреватель топлива: По ГОСТ 17356.
3.9 камера горения горелки: По ГОСТ 17356.
3.10 защитное выключение горелки аппарата: По ГОСТ 17356.
3.11 время продувки: По ГОСТ 17356.
3.12 время защитного отключения подачи топлива: По ГОСТ 17356.
3.13 время срабатывания устройства контроля пламени: По ГОСТ 17356.
3.14 тепловая мощность аппарата (горелки): Количество тепла, образующегося в результате сжигания топлива в единицу времени.
3.15 максимальная тепловая мощность аппарата (горелки): Тепловая мощность, составляющая 0,9 номинальной мощности работы аппарата (горелки).
3.16 номинальная тепловая мощность аппарата (горелки): Наибольшая тепловая мощность, при которой эксплуатационные показатели соответствуют установленным нормам.
3.17 минимальная тепловая мощность аппарата (горелки): Тепловая мощность соответствует 1,1 номинальной мощности работы аппарата (горелки).
3.18 минимальная рабочая тепловая мощность горелки: По ГОСТ 17356.
3.19
диапазон регулирования тепловой мощности горелки: По
ГОСТ 17356.
3.20 стехиометрический объем воздуха для горения: По ГОСТ 17356.
3.21 предел устойчивой работы горелки: По ГОСТ 17356.
3.22 фактический объем воздуха для горения: По ГОСТ 17356.
3.23 коэффициент избытка воздуха для горения: По ГОСТ 17356.
3.24 низшая теплота сгорания топлива: По ГОСТ 17356.
3.25 стабильность пламени: По ГОСТ 17356.
3.26 проскок пламени: По ГОСТ 17356.
3.27 отрыв пламени: По ГОСТ 17356.
3.28 срыв пламени: Погасание пламени в результате воздействия внешнего потока воздуха.
3.29 погасание пламени: По ГОСТ 17356.
3.30 горелки неветроустойчивые: Горелки устойчивые к воздействию ветра скоростью до 1 м/с включительно.
3.31 горелки ветроустойчивые: Горелки, устойчивые к воздействию ветра скоростью свыше 1 м/с до 5 м/с включительно.
3.32 горелки повышенной ветроустойчивости: Горелки устойчивые к воздействию ветра скоростью свыше 5 м/с.
3.33 разделка: Утолщение стенки печи или дымового канала (трубы) в месте соприкосновения ее с конструкцией здания, выполненной из горючего или трудногорючего материала.
3.34 отступка: Расстояние от наружной поверхности печи или дымового канала (трубы) до защищенной или не защищенной от возгорания стены или перегородки из горючих или трудногорючих материалов.
3.35 взрывоопасная смесь: Смесь горючих газов, паров, пыли, аэрозолей или волокон с воздухом при нормальных атмосферных условиях (давлении 760 мм рт. ст. и температуре 20 °C), у которой при воспламенении горение распространяется на весь объем несгоревшей смеси и развивается давление взрыва, превышающее 5 кПа.
3.36 теплоемкая печь: Печь, обеспечивающая нормируемую температуру воздуха в помещении при топке не более двух раз в сутки.
3.37 НКПР (нижний концентрационный предел распространения пламени): По ГОСТ 12.1.044.
3.38 теплоноситель: Вещество (воздух, вода, органические жидкости, газы, пары и т.д.), передающее тепло от источника тепловыделения (топки, горелки) к обогреваемому объекту.
3.39 многоканальная горелка: Горелка, имеющая каналы или отверстия, в каждом из которых горит пламя.
3.40 неконтролируемое поступление топлива в объем топочного пространства или помещения: Поступление топлива при отсутствии горения (при задержке воспламенения, при задержке срабатывания автоматики и т.д.).
3.41 печь: Устройство, в котором в результате горения топлива или превращения электрической энергии выделяется тепло, используемое для отопления, тепловой обработки материалов и других целей.
3.42 дымоход: Канал, по которому осуществляется движение продуктов горения внутри печи.
3.43 дымовой канал, дымовая труба: Канал для отвода дыма от печей и аппаратов и создания тяги.
3.44 прибор отопительный: Оборудование, служащее для передачи тепла от теплоносителя, нагретого в печи, аппарате, котле и т.д., отапливаемому помещению.
3.45 соединительная труба: Канал, соединяющий дымоотводящий патрубок аппарата с дымовым каналом.
3.46 тягостабилизатор: Устройство, устанавливаемое в дымоотводящей трубе газового аппарата непрерывной топки для создания постоянного разрежения.
3.47 аппарат непрерывной топки: Аппарат, предназначенный для круглосуточной работы в течение всего отопительного сезона.
3.48 оголовок: Участок дымового канала (трубы), возвышающейся над кровлей.
3.49 устье дымового канала (трубы): Верхняя оконечность оголовка.
3.50 аппарат инфракрасного излучения: Теплогенерирующий аппарат, доля тепла которого, передаваемая лучеиспусканием, составляет не менее 35% от общей теплопроизводительности.
3.51 инфракрасное излучение: Излучение, имеющее длину электромагнитных волн от 760 до 10,7 нм.
3.52 замедленное горение: Режим горения твердого топлива при недостатке кислорода.
3.53 мощность полезная: Часть тепловой мощности, используемая по целевому назначению.
3.54 коэффициент полезного действия: Отношение полезной мощности к тепловой мощности.
3.55 ветровая тень: Пространство вокруг устья дымового канала, в котором в результате экранирующего влияния строений и сооружений создается эффект прекращения тяги (опрокидывание тяги).
3.56 конструкция дымового канала: Конструкция, состоящая из дымового канала или многослойная конструкция труб с теплоизоляцией.
(п. 3.56 введен Изменением N 1, утв. Приказом Росстандарта от 01.08.2023 N 605-ст)
4 Требования пожарной безопасности
| | Применение на добровольной основе пункта 4.1 обеспечивает соблюдение требований Федерального закона от 22.07.2008 N 123-ФЗ "Технический регламент о требованиях пожарной безопасности" (Приказ Росстандарта от 16.04.2014 N 474). | |
4.1 Внешние поверхности (кроме деталей, указанных в
4.4) аппаратов (кроме аппаратов инфракрасного излучения), предназначенных для установки в детских дошкольных, амбулаторно-поликлинических учреждениях и в приравненных к ним помещениях, должны иметь температуру не более 90 °C.
(в ред. Изменения N 1, утв. Приказом Росстандарта от 01.08.2023 N 605-ст)
| | Применение на добровольной основе пункта 4.2 обеспечивает соблюдение требований Федерального закона от 22.07.2008 N 123-ФЗ "Технический регламент о требованиях пожарной безопасности" (Приказ Росстандарта от 16.04.2014 N 474). | |
4.2 Внешние поверхности (кроме деталей, указанных в
4.4) аппаратов (кроме аппаратов инфракрасного излучения), предназначенных для установки в жилых помещениях, должны иметь температуру не более 110 °C на площади, не превышающей 15% от общей поверхности аппарата, или не более 120 °C на площади, не превышающей 5% от общей площади аппарата.
| | Применение на добровольной основе пункта 4.3 обеспечивает соблюдение требований Федерального закона от 22.07.2008 N 123-ФЗ "Технический регламент о требованиях пожарной безопасности" (Приказ Росстандарта от 16.04.2014 N 474). | |
4.3 Внешние поверхности (кроме деталей, указанных в
4.4) аппаратов (кроме аппаратов инфракрасного излучения), предназначенных для установки в помещениях, не предназначенных для сна, с временным пребыванием людей должны иметь температуру не более 320 °C (даже при наличии экранов, предохраняющих от ожогов).
При устройстве защитных экранов последние должны быть жестко соединены с аппаратом или излучающей поверхностью, а температура внешней поверхности экрана должна соответствовать
4.1 -
4.3.
| | Применение на добровольной основе пункта 4.4 обеспечивает соблюдение требований Федерального закона от 22.07.2008 N 123-ФЗ "Технический регламент о требованиях пожарной безопасности" (Приказ Росстандарта от 16.04.2014 N 474). | |
4.4 Температура варочных настилов, а также излучающей поверхности аппаратов инфракрасного излучения не ограничивается.
При наличии таких деталей в инструкции по эксплуатации аппарата должна быть предупреждающая запись, например: "Внимание! Варочный настил нагрет до высокой температуры".
Температура дверцы топки должна быть не более 320 °C.
| | Применение на добровольной основе пунктов 4.5, 4.6 обеспечивает соблюдение требований Федерального закона от 22.07.2008 N 123-ФЗ "Технический регламент о требованиях пожарной безопасности" (Приказ Росстандарта от 16.04.2014 N 474). | |
4.5 Плотность теплового потока от аппаратов инфракрасного излучения на принимающей излучение поверхности должна быть не более 4 кВт/м
2.
4.6 Температура мест контакта нагретых элементов теплогенерирующего аппарата или дымового канала с горючими материалами должна быть не более 50 °C.
| | Применение на добровольной основе пунктов 4.7, 4.8 обеспечивает соблюдение требований Федерального закона от 22.07.2008 N 123-ФЗ "Технический регламент о требованиях пожарной безопасности" (Приказ Росстандарта от 16.04.2014 N 474). | |
4.7 Температура жидкого топлива в топливном баке, дозаторе, топливопроводах должна быть не более 40 °C.
4.8 Температура жидкого топлива или горючего теплоносителя в системе, находящейся под защитой инертного газа, должна быть не более

, где

- температура самовоспламенения жидкого топлива или теплоносителя.
| | Применение на добровольной основе пункта 4.9 обеспечивает соблюдение требований Федерального закона от 22.07.2008 N 123-ФЗ "Технический регламент о требованиях пожарной безопасности" (Приказ Росстандарта от 16.04.2014 N 474). | |
4.9 Аппараты, имеющие диапазон регулирования мощности шире диапазона устойчивой и безопасной работы, должны иметь ограничитель мощности.
Для беспламенных аппаратов инфракрасного излучения, кроме того, не должно наблюдаться появления на поверхности излучателя языков пламени или темных пятен. Для аппаратов, работающих на любом виде топлива, не допускается появление искр и пламени вне камеры сгорания (при ее наличии).
| | Применение на добровольной основе пунктов 4.10, 4.11 обеспечивает соблюдение требований Федерального закона от 22.07.2008 N 123-ФЗ "Технический регламент о требованиях пожарной безопасности" (Приказ Росстандарта от 16.04.2014 N 474). | |
4.10 Система топливоподачи, контур горючего теплоносителя и соединение деталей устройства для отвода продуктов горения должны быть герметичными.
4.11 Сечение дымоотводящего патрубка должно быть не менее допустимого, указанного в соответствующих НД, и соответствовать мощности аппарата.
| | Применение на добровольной основе пункта 4.12 обеспечивает соблюдение требований Федерального закона от 22.07.2008 N 123-ФЗ "Технический регламент о требованиях пожарной безопасности" (Приказ Росстандарта от 16.04.2014 N 474). | |
4.12 Аппараты с системой дымоудаления должны иметь устройства, регулирующие соотношение горючее - воздух, обеспечивающие подачу воздуха в камеру сгорания и для регулирования разрежения в системе дымоудаления, обеспечивающие полное сгорание топлива и коэффициент избытка воздуха не менее 1.
(в ред. Изменения N 1, утв. Приказом Росстандарта от 01.08.2023 N 605-ст)
Аппараты с принудительной подачей воздуха и горючего, если соотношение горючее - воздух задано конструкцией, допускается не оснащать устройствами, регулирующими соотношение горючее - воздух.
| | Применение на добровольной основе пункта 4.13 обеспечивает соблюдение требований Федерального закона от 22.07.2008 N 123-ФЗ "Технический регламент о требованиях пожарной безопасности" (Приказ Росстандарта от 16.04.2014 N 474). | |
4.13 Аппараты, работающие на жидком топливе, должны иметь ручной топливный запорный орган, установленный перед гибким топливопроводом (при его наличии). Установку автоматики безопасности для аппаратов с тепловой мощностью до 5,6 кВт допускается не производить.
Аппараты, подвешиваемые на высоте свыше 2,2 м, должны иметь устройства для дистанционного розжига и контроля пламени независимо от мощности аппарата.
| | Применение на добровольной основе пункта 4.14 обеспечивает соблюдение требований Федерального закона от 22.07.2008 N 123-ФЗ "Технический регламент о требованиях пожарной безопасности" (Приказ Росстандарта от 16.04.2014 N 474). | |
4.14 Аппараты, работающие на жидком топливе, мощностью более 5,6 кВт должны дополнительно иметь устройство дистанционного розжига и систему контроля пламени (кроме устройств, находящихся в руках пользователя, оснащенных запорным клапаном, срабатывающим при выпадении устройства из рук).
| | Применение на добровольной основе пункта 4.15 обеспечивает соблюдение требований Федерального закона от 22.07.2008 N 123-ФЗ "Технический регламент о требованиях пожарной безопасности" (Приказ Росстандарта от 16.04.2014 N 474). | |
4.15 Аппараты, работающие на жидком топливе, мощностью более 10 кВт, кроме аппаратов, при нормальной работе которых горелка удерживается руками пользователя, должны иметь дополнительно автоматические устройства: розжига, контроля пламени, контроля давления топлива и воздуха для горения, средства управления, регулирования и сигнализации.
| | Применение на добровольной основе пункта 4.16 обеспечивает соблюдение требований Федерального закона от 22.07.2008 N 123-ФЗ "Технический регламент о требованиях пожарной безопасности" (Приказ Росстандарта от 16.04.2014 N 474). | |
4.16 Аппараты, работающие на жидком топливе, мощностью более 10 кВт, при нормальной работе которых горелка удерживается руками пользователя, должны быть снабжены топливным запорным органом, автоматически срабатывающим при освобождении ручки для переноса аппарата.
Гибкие подводы (шланги) системы топливораспределения должны быть оснащены прочно присоединяемыми металлическими наконечниками, иметь длину не более 30 м, быть изготовлены из бензостойкого материала, выдерживающего температуру не менее 100 °C, и защищены от механических повреждений.
| | Применение на добровольной основе пункта 4.17 обеспечивает соблюдение требований Федерального закона от 22.07.2008 N 123-ФЗ "Технический регламент о требованиях пожарной безопасности" (Приказ Росстандарта от 16.04.2014 N 474). | |
4.17 Аппараты, работающие на жидком топливе, предназначенные для установки в жилых зданиях, должны иметь топливные баки вместимостью не более 10 л. Баки вместимостью более 10 л должны располагаться вне здания или в специальном изолированном (обособленном) помещении, отделенном от других помещений противопожарными перегородками 1-го типа и противопожарными перекрытиями (междуэтажными и над подвалом) 3-го типа, с выходом непосредственно наружу.
Требования к конструкции топливных баков для аппаратов, работающих на жидком топливе, приведены в
приложении А.
| | Применение на добровольной основе пункта 4.18 обеспечивает соблюдение требований Федерального закона от 22.07.2008 N 123-ФЗ "Технический регламент о требованиях пожарной безопасности" (Приказ Росстандарта от 16.04.2014 N 474). | |
4.18 Аппараты, работающие на жидком топливе (кроме аппаратов с фитильной подачей топлива), оборудованные предохранительными устройствами и (или) терморегуляторами, должны снабжаться фильтрующими устройствами.
| | Применение на добровольной основе пункта 4.19 обеспечивает соблюдение требований Федерального закона от 22.07.2008 N 123-ФЗ "Технический регламент о требованиях пожарной безопасности" (Приказ Росстандарта от 16.04.2014 N 474). | |
4.19 Камеры сгорания аппаратов, работающих на жидком топливе, должны иметь естественную или принудительную вентиляцию и устройство для визуального наблюдения за пламенем.
Для аппаратов, работающих на высоте более 2,2 м, устройство для визуального наблюдения за пламенем необязательно.
| | Применение на добровольной основе пунктов 4.20, 4.21 обеспечивает соблюдение требований Федерального закона от 22.07.2008 N 123-ФЗ "Технический регламент о требованиях пожарной безопасности" (Приказ Росстандарта от 16.04.2014 N 474). | |
4.20 Аппараты, имеющие камеру смешения топлива с воздухом, соединенную трубопроводом с горелкой, должны иметь на соединяющем трубопроводе огнепреградитель.
4.21 Камеры сгорания, а также расширительные баки с органическим теплоносителем, в объеме которых в аварийных условиях может образоваться взрывоопасная смесь, создающая при взрыве давление свыше 5 кПа, должны иметь взрывные клапаны.
| | Применение на добровольной основе пунктов 4.22, 4.23, 4.24 обеспечивает соблюдение требований Федерального закона от 22.07.2008 N 123-ФЗ "Технический регламент о требованиях пожарной безопасности" (Приказ Росстандарта от 16.04.2014 N 474). | |
4.22 Запальная горелка бытового аппарата на жидком топливе должна быть ветроустойчивой. Мощность ее не должна превышать 5% номинальной мощности основной горелки.
4.23 Основная горелка бытового аппарата должна иметь ветроустойчивость от 2 до 5 м/с.
4.24 Неветроустойчивые горелки должны иметь в сопровождающей инструкции специальное предупреждение, например: "Внимание! Пламя горелки гаснет при скорости ветра свыше 1 м/с, не устанавливать на сквозняке".
| | Применение на добровольной основе пункта 4.25 обеспечивает соблюдение требований Федерального закона от 22.07.2008 N 123-ФЗ "Технический регламент о требованиях пожарной безопасности" (Приказ Росстандарта от 16.04.2014 N 474). | |
4.25 Автоматическая система отключения подачи жидкого топлива должна обеспечивать:
4.25.1 Невозможность поступления топлива во время розжига аппарата при следующих неполадках:
а) отсутствии подачи электроэнергии (при энергопотреблении);
б) недостаточном или избыточном давлении топлива в линии его подачи по сравнению с установленным инструкцией по эксплуатации аппарата;
(в ред. Изменения N 1, утв. Приказом Росстандарта от 01.08.2023 N 605-ст)
в) отсутствии подачи воздуха для горения и предварительной продувки камеры сгорания воздухом в течение времени, достаточного для снижения концентрации топлива в камере ниже НКПР;
г) нарушении в работе систем продувки, рециркуляции или отвода продуктов сгорания;
д) невключении запального устройства.
4.25.2 Прекращение подачи топлива (защитное выключение) при следующих обстоятельствах:
а) отключении электроэнергии;
б) понижении (повышении) давления в топливной системе ниже (выше) установленного в технической документации значения;
в) недостатке воздуха для горения (уменьшение коэффициента избытка воздуха ниже 1);
г) падении разрежения в системе отвода продуктов сгорания ниже установленного в технической документации;
д) погасании контролируемого пламени;
е) росте температуры топлива и теплоносителя выше допустимого в технической документации значения.
| | Применение на добровольной основе пункта 4.26 обеспечивает соблюдение требований Федерального закона от 22.07.2008 N 123-ФЗ "Технический регламент о требованиях пожарной безопасности" (Приказ Росстандарта от 16.04.2014 N 474). | |
4.26 Автоматика аппаратов, работающих на жидком топливе, должна обеспечить срабатывание топливного запорного органа в течение времени, установленного конструкцией аппарата.
Работоспособность автоматики должна быть обеспечена при отклонениях питающего напряжения электрического тока от 10% до минус 15% от номинального напряжения.
Примечание.
4.25 и
4.26 не распространяются на аппараты, работающие на жидком топливе, если подача топлива осуществляется с помощью фитиля.
| | Применение на добровольной основе пункта 4.27 обеспечивает соблюдение требований Федерального закона от 22.07.2008 N 123-ФЗ "Технический регламент о требованиях пожарной безопасности" (Приказ Росстандарта от 16.04.2014 N 474). | |
4.27 Включение аппарата после устранения причины, вызвавшей его защитное выключение, не должно быть самопроизвольным (кроме аппаратов, обеспеченных полным циклом автоматического включения: продувка, включение зажигающего импульса, открытие клапана подачи топлива).
| | Применение на добровольной основе пункта 4.28 обеспечивает соблюдение требований Федерального закона от 22.07.2008 N 123-ФЗ "Технический регламент о требованиях пожарной безопасности" (Приказ Росстандарта от 16.04.2014 N 474). | |
4.28 Аппараты, работающие на жидком топливе, с камерами сгорания, работающими под разрежением, должны обеспечивать устойчивое горение при разрежении, превышающем номинальное: в 1,2 раза при разрежении свыше 50 Па и в 1,5 раза при разрежении до 50 Па включительно.
Аппараты с камерами сгорания, работающими под избыточным давлением, должны обеспечивать устойчивое горение при противодавлении, превышающем паспортные данные: в 1,2 раза при давлении свыше 50 Па и в 1,5 раза при давлении до 50 Па включительно.
| | Применение на добровольной основе пункта 4.29 обеспечивает соблюдение требований Федерального закона от 22.07.2008 N 123-ФЗ "Технический регламент о требованиях пожарной безопасности" (Приказ Росстандарта от 16.04.2014 N 474). | |
4.29 Топливные баки, находящиеся под давлением, превышающим в 1,5 раза атмосферное давление, должны иметь предохранительные клапаны, обеспечивающие поддержание давления не выше того, которое соответствует максимальной тепловой мощности аппарата, а также невозможность распространения пламени внутрь топливного бака при срабатывании предохранительного клапана.
| | Применение на добровольной основе пункта 4.30 обеспечивает соблюдение требований Федерального закона от 22.07.2008 N 123-ФЗ "Технический регламент о требованиях пожарной безопасности" (Приказ Росстандарта от 16.04.2014 N 474). | |
4.30 Аппараты с горючим теплоносителем должны быть оснащены не менее чем двумя предохранительными клапанами, указателем уровня, манометром (при давлении более

), системой заполнения свободного пространства расширительного бака инертным газом, если рабочая температура теплоносителя превышает

, баком для слива теплоносителя из системы самотеком.
| | Применение на добровольной основе пунктов 4.31, 4.32 обеспечивает соблюдение требований Федерального закона от 22.07.2008 N 123-ФЗ "Технический регламент о требованиях пожарной безопасности" (Приказ Росстандарта от 16.04.2014 N 474). | |
4.31 Аппараты с подогревом жидкого топлива должны быть оснащены предохранительным устройством, препятствующим превышению указанной в технической документации температуры.
4.32 Аппараты инфракрасного излучения должны иметь защитный кожух, предохраняющий от разлета обломков излучателя (при его наличии).
Не допускается применение деталей из горючих и трудногорючих материалов без соответствующего обоснования и положительных результатов испытаний.
| | Применение на добровольной основе пунктов 4.33, 4.34 обеспечивает соблюдение требований Федерального закона от 22.07.2008 N 123-ФЗ "Технический регламент о требованиях пожарной безопасности" (Приказ Росстандарта от 16.04.2014 N 474). | |
4.33 Детали аппаратов, температура которых может превышать 550 °C, должны быть изготовлены из жаростойких материалов.
4.34 Конструкция аппарата инфракрасного излучения должна обеспечивать невозможность попадания продуктов сгорания в инжектор (при его наличии).
| | Применение на добровольной основе пунктов 4.35, 4.36 обеспечивает соблюдение требований Федерального закона от 22.07.2008 N 123-ФЗ "Технический регламент о требованиях пожарной безопасности" (Приказ Росстандарта от 16.04.2014 N 474). | |
4.35 Аппараты каталитические без видимого свечения пламени или поверхности должны быть снабжены индикатором температуры.
4.36 Аппараты, предназначенные для непрерывной работы в течение всего отопительного сезона, должны быть снабжены тягостабилизатором.
| | Применение на добровольной основе пунктов 4.37, 4.38 обеспечивает соблюдение требований Федерального закона от 22.07.2008 N 123-ФЗ "Технический регламент о требованиях пожарной безопасности" (Приказ Росстандарта от 16.04.2014 N 474). | |
4.37 Диаметр дымового канала должен быть равен диаметру дымоотводящего патрубка аппарата или превышать его.
4.38 Расчетная скорость движения продуктов сгорания в дымовом канале без принудительного побуждения, при коэффициенте избытка воздуха, равном 1, должна находиться в диапазоне от 0,15 до 0,60 м/с.
Данное требование не распространяется на аппараты, работающие в режиме замедленного горения.
| | Применение на добровольной основе пункта 4.39 обеспечивает соблюдение требований Федерального закона от 22.07.2008 N 123-ФЗ "Технический регламент о требованиях пожарной безопасности" (Приказ Росстандарта от 16.04.2014 N 474). | |
4.39 Дымовые каналы должны соответствовать следующим требованиям:
4.39.1 Материал дымового канала и теплоизоляционного покрытия на нем должен быть негорючим (НГ). Возможность применения материалов группы Г1 для теплоизоляционного покрытия должна быть обоснована и подтверждена испытаниями.
4.39.2 Дымовой канал жидкотопливных аппаратов должен быть устойчивым против длительного (не менее 4 ч) действия температур не более 400 °C.
Дымовой канал твердотопливных аппаратов должен быть устойчивым против длительного (не менее 4 ч) действия температур не более 400 °C и против кратковременного (не более 0,5 ч) действия температур не более 1000 °C.
Дымовой канал газотопливных аппаратов должен быть устойчивым против длительного (не менее 4 ч) действия температур не менее 200 °C.
4.39.3 Дымовой канал должен быть устойчивым против коррозионного воздействия продуктов сгорания.
(в ред. Изменения N 1, утв. Приказом Росстандарта от 01.08.2023 N 605-ст)
4.39.4 Дымовой канал высотой более 6 м или имеющий отклонение от вертикали на угол более 30° должен быть обеспечен прочистными устройствами, плотно закрываемыми в рабочем состоянии.
4.39.5 Нижняя часть дымового канала (кроме дымового канала, непосредственно присоединенного к аппарату) должна заканчиваться карманом глубиной не менее 250 мм для сбора и последующего удаления золы и конденсата.
4.39.6 Дымовой канал должен иметь ровную гладкую внутреннюю поверхность, не препятствующую чистке.
4.39.7 Дымовой канал, работающий в условиях естественной тяги, должен обеспечивать разрежение не менее 5 Па (для каминов более 10 Па), иметь сечение не менее 8 см2 на 1 кВт номинальной тепловой мощности для аппаратов, работающих на твердом топливе, или не менее 5,5 см2 на 1 кВт номинальной тепловой мощности для аппаратов, работающих на газообразном и жидком топливе, и располагаться выше кровли здания вне зоны "ветровой тени" от соседних зданий.
4.39.8 Наружная поверхность конструкции дымового канала, проходящего вблизи строительных конструкций из горючих материалов, не должна нагреваться выше 50 °C.
(п. 4.39.8 в ред. Изменения N 1, утв. Приказом Росстандарта от 01.08.2023 N 605-ст)
4.39.9 Дымовой канал над кровлей из горючих материалов должен иметь искрогаситель, например, в виде сетки с ячейкой не более 5 мм и не менее 1 мм.
4.39.10 Соединительный патрубок между аппаратом, работающим на твердом топливе, и дымовым каналом должен обеспечивать предел огнестойкости не менее EI 45.
4.39.11 Стенки дымового канала и сочленения его элементов должны быть герметичными.
| | Применение на добровольной основе пункта 4.40 обеспечивает соблюдение требований Федерального закона от 22.07.2008 N 123-ФЗ "Технический регламент о требованиях пожарной безопасности" (Приказ Росстандарта от 16.04.2014 N 474). | |
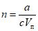
4.40 Аппараты без дымового канала (примусы, керосинки, керогазы и т.д., кроме аппаратов на твердом топливе) должны устанавливаться в помещениях с воздухообменом n, об/ч, не менее

, (1)
где a - количество выделяющегося газа (CO, CO2, NOx), г/ч;
c - ПДК соответствующего газа, г/м3;

- объем помещения, м
3.
Их запрещается устанавливать в помещениях, предназначенных для сна, а также в помещениях иного назначения (в т.ч. кухнях), имеющих объем менее чем 3 м3 на 1 кВт номинальной мощности или высоту помещения менее 2,2 м.
4.41 Условное обозначение дымовой трубы должно включать: наименование изделия, класс температуры, режим эксплуатации, класс устойчивости к коррозии, класс устойчивости к возгоранию сажи, материал изделия, обозначение настоящего стандарта.
Пример условного обозначения дымовой трубы, устойчивой к классу температуры T400, с режимом эксплуатации N, классом устойчивости к коррозии 1, классом устойчивости к возгоранию сажи G, изготовленной из металла, по ГОСТ Р 53321-2009:
Дымовая труба-T400-N-1-G-М - ГОСТ Р 53321-2009
Схема условного обозначения дымовой трубы приведена на
рисунке Г.1 (приложение Г).
(п. 4.41 введен Изменением N 1, утв. Приказом Росстандарта от 01.08.2023 N 605-ст)
5 Требования к содержанию технической документации
| | Применение на добровольной основе пункта 5.1 обеспечивает соблюдение требований Федерального закона от 22.07.2008 N 123-ФЗ "Технический регламент о требованиях пожарной безопасности" (Приказ Росстандарта от 16.04.2014 N 474). | |
5.1 Техническая документация на теплогенерирующий аппарат в обязательном порядке должна содержать следующие сведения:
а) наименование аппарата;
б) назначение аппарата с указанием типа помещений, в которых запрещается и (или) допускается установка данного аппарата;
в) принцип работы аппарата и виды используемого топлива с указанием его низшей теплоты сгорания и элементного состава (при возможности);
г) тепловая мощность основной и запальной горелки (при наличии) на каждом виде топлива;
д) потребляемая мощность электроэнергии (при наличии потребления);
е) диапазон регулирования тепловой мощности аппарата;
ж) расчетная продолжительность работы аппарата в сутки;
з) комплектность аппарата с указанием технических характеристик предохранительных устройств (клапанов, огнепреградителей, взрыворазрядников, автоматических или ручных систем регулирования подачи топлива, воздуха и теплоносителя, пожарной сигнализации, огнетушителей и т.д. при их наличии);
и) показатели пожаровзрывоопасности топлива, горючего теплоносителя (температуры вспышки, самовоспламенения, НКПР), сгораемых материалов деталей аппарата (температура самовоспламенения);
к) ветроустойчивость горелки;
л) требуемое разрежение в системе дымоудаления (при ее наличии);
м) минимально и максимально допустимое давление топлива перед камерой сгорания (для аппаратов на жидком топливе, подаваемом под давлением);
н) давление (разрежение) в камере сгорания;
о) максимально допустимое содержание оксида углерода в продуктах сгорания;
п) максимально допустимая температура жидкого топлива в баке (при наличии);
р) максимально допустимая температура горючего теплоносителя (при наличии);
с) минимально допустимое расстояние установки аппарата инфракрасного излучения от сгораемых конструкций и предметов;
т) порядок присоединения аппарата к системе дымоудаления (при наличии);
у) размер отступок и разделок при установке аппарата в соответствии с требованиями нормативных документов по пожарной безопасности;
ф) номер технических условий или стандарта, которому соответствует аппарат;
х) соответствие аппарата требованиям ПУЭ (при наличии электрической схемы);
ц) климатическое исполнение аппарата;
ч) меры безопасности при работе аппарата;
ш) характерные неисправности аппарата и методы их устранения;
щ) действия в случае возникновения пожара;
э) плотность теплового потока от внешних поверхностей аппаратов инфракрасного излучения.
| | Применение на добровольной основе пункта 5.2 обеспечивает соблюдение требований Федерального закона от 22.07.2008 N 123-ФЗ "Технический регламент о требованиях пожарной безопасности" (Приказ Росстандарта от 16.04.2014 N 474). | |
5.2 Техническая документация на дымовой канал в обязательном порядке должна содержать следующие сведения:
а) обозначение настоящего стандарта или технических условий, которым соответствует дымовой канал;
б) назначение дымового канала;
в) максимальная температура продуктов сгорания (класс температуры);
г) режим эксплуатации (класс давления: под разрежением N/под избыточным давлением P);
д) устойчивость к возгоранию сажи (G - устойчив; O - не устойчив);
е) класс устойчивости к коррозии [по виду топлива: 1, 2, 3 в соответствии с
таблицей В.1 (приложение В)];
ж) огнестойкость соединительного патрубка (для твердотопливных аппаратов);
и) термическое сопротивление теплоизоляционного материала;
к) способ крепления;
л) размер отступок и разделок при установке канала в помещении;
м) меры безопасности при эксплуатации канала;
н) характерные неисправности и методы их устранения;
п) действия в случае возникновения пожара.
Примечание - Информация, предоставляемая производителем:
- термическое сопротивление, м2·К/Вт;
- огнестойкость, EI, мин;
- характеристика поведения при пожаре (только для полимерных труб).
(п. 5.2 в ред. Изменения N 1, утв. Приказом Росстандарта от 01.08.2023 N 605-ст)
6.1.1 Отбор образцов аппарата для сертификационных испытаний производится со склада заказчика методом случайной выборки из имеющегося на складе количества аппаратов.
Отбор образцов оформляется актом.
6.1.2 Количество отобранных аппаратов определяется целью испытаний: для сертификационных испытаний - не менее 3 шт., для других испытаний - не нормируется.
6.1.3 Аппараты для сертификационных испытаний должны быть укомплектованы в соответствии с паспортом, упакованы в заводскую тару.
Обязательно наличие сопроводительных документов (паспорт, техническое описание, руководство по эксплуатации).
6.1.4 Для испытаний дымовых каналов отбирают не менее 2 образцов труб.
6.2 Подготовка к испытаниям
6.2.1 Подготовка аппарата должна соответствовать инструкции по эксплуатации (расконсервация, сборка, подсоединение к коммуникациям и т.д.).
6.2.2 Аппараты должны быть установлены в помещениях испытательных лабораторий с соблюдением действующих требований пожарной безопасности, касающихся отступок, разделок и устройства для отвода продуктов горения.
6.2.3 Топливо для испытаний аппарата должно соответствовать физико-химическим характеристикам, указанным в технической документации на аппарат.
6.2.4 На аппарате и образцах труб размещаются необходимые датчики контрольно-измерительных приборов и пробоотборники.
6.2.5 Аппарат подвергается визуальному осмотру: проверяется исправность подвижных частей, надежность креплений, герметичность топливоподводящих линий и устройств для отвода продуктов горения, наличие тяги, наличие устройств по
4.12 -
4.16;
4.18 -
4.21;
4.29 -
4.32. Трубы подвергаются визуальному осмотру внутренней и внешней поверхности, определяются размеры труб и устанавливается соответствие образцов труб описанию.
6.2.6 Разборка аппарата перед испытаниями не допускается.
6.2.7 Испытания, связанные с необходимостью частичной разборки аппарата, должны выполняться в последнюю очередь.
6.2.8 Испытания, могущие повлечь за собой разрушение аппарата, должны проводиться после окончания всех остальных испытаний.
6.2.9 По результатам изучения технической документации на аппарат и его устройства составляется перечень параметров для испытаний и последовательность их проведения.
6.2.10 Подготовка к испытанию конструкций дымовых каналов заключается в монтаже двух образцов труб, соединяемых один с другим элементами крепления, в конструкции с теплоизоляцией (при наличии) согласно инструкции по монтажу и эксплуатации.
Максимально возможный диаметр внутренней трубы в конструкции для удаления дымовых газов, подвергаемой испытаниям, должен быть не более 200 мм. Длина внутренней трубы не должна превышать 1,5 м.
(п. 6.2.10 в ред. Изменения N 1, утв. Приказом Росстандарта от 01.08.2023 N 605-ст)
6.3.1 Испытания аппаратов должны проводиться при соблюдении следующих условий:
а) температура воздуха в помещении (20 +/- 5) °C;
б) относительная влажность воздуха не более 80%;
в) скорость движения воздуха не более 0,5 м/с;
г) разрежение в системе отвода продуктов горения (при ее наличии) в соответствии с технической документацией на аппарат, но не менее 6 Па - для жидкотопливных и твердотопливных аппаратов.
6.3.2 Испытания аппаратов и каналов проводятся на всех видах топлива, которые перечислены в паспорте. Если рекомендуемые виды топлива существенно не отличаются (например, керосин, бензин, дизтопливо), испытания проводят с топливом, имеющим наименьшую температуру вспышки (бензин), а для твердого топлива - имеющим наибольшую теплоту сгорания.
6.3.3 Продолжительность испытаний определяется временем установления постоянства всех контролируемых параметров (в пределах погрешности измерений) в течение не менее 30 мин.
6.3.4 Допустимые погрешности измерения контролируемых при испытаниях параметров:
а) расход топлива (по массе и объему) +/- 2,5%;
б) расход воздуха для горения или продувки камеры сгорания +/- 2,5%;
в) относительная влажность воздуха +/- 3,0%;
г) атмосферное давление +/- 20 Па;
д) давление топлива, воздуха для горения, давление в камере сгорания:
до 100 Па +/- 2 Па;
до 1 кПа +/- 20 Па;
свыше 1 кПа +/- 1%;
е) температура топлива, воздуха для горения, окружающей среды, пола под прибором, окружающих предметов, теплоносителя +/- 1 °C;
ж) температура наружных поверхностей аппарата +/- 2%;
з) время +/- 1%;
и) масса топлива + 2%;
к) линейные размеры +/- 1%;
л) объемная концентрация диоксида углерода и кислорода в сухих продуктах сгорания +/- 4,0% отн;
м) объемная концентрация оксида углерода, водорода и метана в сухих продуктах сгорания +/- 10% отн;
н) разрежение +/- 2 Па;
о) плотность теплового потока не более +/- 4,8%;
п) площадь излучателя +/- 2%;
р) скорость движения воздуха +/- 10%.
(п. 6.4.1 в ред. Изменения N 1, утв. Приказом Росстандарта от 01.08.2023 N 605-ст)
6.4.1.1 Испытания на герметичность топливной системы, системы теплоносителя могут проводится несколькими способами:
а) заполнением системы воздухом под избыточным давлением

с выдержкой системы в течение не менее 10 мин, где

- номинальное давление в системе теплоносителя, топливной системе или дымового канала.
Падение давления не должно превышать 1,5 кПа/ч;
б) заполнением системы жидким топливом (керосином) с выдержкой в течение не менее 1 ч.
Появление на внешней стороне аппарата пятен или капель топлива не допускается;
в) обмыливанием пенообразующим составом сварных швов и резьбовых соединений аппарата, заполненного воздухом под избыточным давлением

.
Появление пузырей в течение 3 мин не допускается.
6.4.1.2 Герметичность стенок дымового канала и его сочленения проверяют визуально по отсутствию копоти на поверхности образца.
6.4.2 Определение устойчивости дымовых каналов против действия высоких температур (
4.39.2,
4.39.10)
6.4.2.1 Внутрь образцов труб направляют дымовые газы таким образом, чтобы обеспечить равномерное повышение температуры и поддерживать ее на всем протяжении испытаний.
В качестве источника дымовых газов могут быть использованы пламена горящего топлива (дрова, газ) или иной генератор дымовых газов.
6.4.2.2 Температуру дымовых газов повышают равномерно в течение не менее 10 мин до 400 °C (или до 200 °C для дымовых каналов газотопливных аппаратов) и поддерживают ее на всем протяжении испытаний (не менее 4 часов). При этом колебания температуры в течение 0,5 ч не должны превышать 10 °C.
6.4.2.3 При испытаниях дымового канала для аппаратов, работающих на твердом топливе, повышают температуру дымовых газов в течение 10 мин до 1000 °C и поддерживают ее в течение 0,5 ч (имитация горения сажи). Устойчивость к возгоранию сажи обозначается: G - устойчив или O - не устойчив.
(пп. 6.4.2.3 в ред. Изменения N 1, утв. Приказом Росстандарта от 01.08.2023 N 605-ст)
6.4.2.4 При испытаниях труб, предназначенных для соединения аппарата, работающего на твердом топливе с дымовым каналом, температуру топочных газов внутри дымового канала поднимают до 850 °C и поддерживают установившийся тепловой режим в течение 0,75 ч.
6.4.2.5 После остывания труб сборку демонтируют и производят визуальный осмотр.
6.4.2.6 Трубы считаются выдержавшими испытания, если:
а) отсутствует копоть на внешней поверхности у сочленений и сверху швов;
б) теплоизоляция труб, предназначенных для соединения твердотопливного аппарата и дымового канала, обеспечивает температуру на наружной поверхности труб не более 710 °C при температуре внутри не менее 850 °C, а труб, предназначенных для проходки дымового канала через горючие строительные конструкции перекрытий, стен, - температуру на внешней поверхности не более 50 °C при температуре внутри не менее 400 °C (или не менее 200 °C для труб газотопливных аппаратов);
в) внутренняя поверхность труб после испытаний осталась ровной, гладкой, без отслаивания окалины и уменьшения толщины стенок.
6.4.3 Определение диапазона регулирования тепловой мощности аппарата (горелки)
(3.19)
6.4.3.1 Тепловую мощность горелки (аппарата) N вычисляют по формуле

, (2)
где

- тепловая мощность, кВт;
B - расход топлива, кг/ч (определяется экспериментально по 6.4.3.2);

- низшая теплота сгорания топлива, кДж/кг (принимается по
ГОСТ 12.1.004, ГОСТ 9817);
3600 - коэффициент пропорциональности.
6.4.3.2 Расход жидкого топлива в зависимости от конструкции аппарата определяют взвешиванием до и после работы аппарата в течение не менее 1 ч или прямым измерением расхода с помощью ротаметра (счетчика расхода), откалиброванного на данный вид топлива. Для аппаратов, работающих на твердом топливе, расход топлива определяют по времени сгорания известного его количества. Окончание горения соответствует снижению содержания диоксида углерода в продуктах сгорания не более 4% (об.) (по результату газового анализа,
6.4.10).
6.4.3.3 Изменяя расход топлива, определяют пределы устойчивой работы аппарата (диапазон регулирования тепловой мощности).
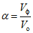
6.4.3.4 Для аппаратов инфракрасного излучения тепло, передаваемое лучеиспусканием (лучистую составляющую тепловой мощности), вычисляют по формуле
n = qS, (3)
где n - лучистая составляющая тепловой мощности, кВт;
q - плотность теплового потока, кВт/м2;
S - площадь излучателя, м2.
Плотность теплового потока определяют экспериментально с помощью неселективного приемника теплового потока, последовательно располагая его на различном расстоянии от излучающей поверхности. Получают ряд точек на графике зависимости интенсивности облучения от расстояния, строят кривую этой зависимости, экстраполируют ее на нулевое расстояние. Значение интенсивности излучения, соответствующее нулевому расстоянию, принимают за величину q.
6.4.3.5 Полезную мощность аппарата

, кВт, определяют, учитывая коэффициент полезного действия аппарата

по формуле:

. (4)
6.4.4 Определение коэффициента избытка воздуха
(4.12)
6.4.4.1 Стехиометрический объем воздуха для горения 1 кг твердого или жидкого топлива рассчитывают по формуле

, (5)
где

- стехиометрический объем воздуха, м
3/кг;
C, H, O, S - содержание углерода, водорода, кислорода и серы в топливе (справочные данные).
При отсутствии данных о составе топлива

можно определить, приняв, что на каждый 1 МДж удельной теплоты сгорания топлива теоретически необходимо не менее 0,27 м
3 воздуха.
6.4.4.2 Фактический объем воздуха для горения определяют экспериментально с помощью анемометра и секундомера, фиксируя скорость движения воздуха в камеру сгорания через поддувало известного сечения.
6.4.4.3 Коэффициент избытка воздуха для горения рассчитывают по формуле

, (6)
где

- коэффициент избытка воздуха;

- стехиометрический объем воздуха для горения, м
3/кг или м
3/м
3;

- фактический объем воздуха для горения, м
3/кг или м
3/м
3.
6.4.4.4 Коэффициент избытка воздуха для горения по результатам газового анализа определяют по формуле

, (7)

,
где

,

,

,

- концентрации соответствующих газов, % (об.), по результатам газового анализа продуктов сгорания.
6.4.4.5 Для атмосферных горелок и аппаратов без принудительной подачи воздуха коэффициент избытка воздуха не определяют (кроме случаев замедленного горения).
6.4.5 Испытания на проскок и отрыв пламени
(4.9)
6.4.5.1 Аппарат приводят в рабочее состояние, в режим устойчивого горения пламени.
6.4.5.2 Увеличивая давление (или его расход) в линии подвода топлива к аппарату, добиваются отрыва пламени. Фиксируют давление, при котором произошел отрыв.
6.4.5.3 Уменьшая давление (расход) в линии подвода топлива к аппарату, добиваются проскока пламени внутрь горелки или погасания пламени.
Фиксируют давление, при котором произошел проскок.
6.4.5.4 Аппараты с автоматическим регулированием подачи топлива или автоматическим защитным отключением этому испытанию
(6.4.5) не подвергают.
6.4.5.5 Каждый эксперимент повторяют 3 раза. За результат испытания принимают среднее значение давления (расхода) проскока и среднее значение давления (расхода) отрыва пламени.
Значение расхода топлива, соответствующее полученному давлению, подставляют в
формулу (2) для расчета тепловой мощности.
6.4.6 Испытания жидкотопливных аппаратов на срыв пламени
(4.9) и ветроустойчивость (
4.22 и
4.23)
6.4.6.1 Испытанию на срыв пламени подвергают аппараты (горелки) с открытым пламенем.
6.4.6.2 Выводят аппарат (горелку) на режим минимальной мощности и направляют на него горизонтальный поток воздуха таким образом, чтобы центр потока приходился на устье горелки.
Устройство, создающее поток воздуха, располагают на расстоянии не менее 1 м от аппарата.
6.4.6.3 Изменением скорости воздушного потока добиваются срыва пламени, после чего измеряют скорость воздушного потока непосредственно перед аппаратом. Испытания повторяют трижды.
За результат принимают минимальное из полученных значений гасящих скоростей воздушного потока.
По полученному результату определяют ветроустойчивость горелки (аппарата):
а) до 1 м/с включительно - неветроустойчивая;
б) свыше 1 до 5 м/с включительно - ветроустойчивая;
в) свыше 5 до 10 м/с включительно - повышенной ветроустойчивости.
6.4.7.1 Температуру наружных поверхностей аппаратов, дымовых каналов и окружающих предметов измеряют с помощью термоэлектропреобразователей (ТЭП) - контактный способ или пирометров - бесконтактный способ.
6.4.7.2 Если аппарат занимает площадь не более 0,2 м2, то на поверхности пола под ним располагают один ТЭП. Если аппарат занимает площадь более 0,2 м2, под ним равномерно располагают несколько ТЭП так, чтобы на каждый из них приходилась площадь пола не более 0,2 м2.
6.4.7.3 Крепление ТЭП на образцах труб осуществляют в 3 точках по высоте на внешней и внутренней поверхности соответственно.
6.4.7.4 Температуру жидкого топлива в баке и теплоносителя измеряют с помощью термометров. Термометр погружают в топливо через заливную горловину бака на глубину не менее 30 мм. Температуру теплоносителя измеряют в двух местах: на входе в аппарат и на выходе из него.
6.4.7.5 Измерение температур производят в течение всего времени испытания аппарата. За окончательный результат принимают максимальное значение температуры, полученное для каждой точки.
6.4.8 Испытания автоматических систем отключения подачи топлива (
4.25 -
4.27)
6.4.8.1 Подготавливают аппарат к работе по полной программе, описанной в руководстве по эксплуатации, кроме подключения электроэнергии. Фиксируют поведение аппарата (наличие или отсутствие подачи топлива).
6.4.8.2 Подготавливают аппарат к работе по полной программе, описанной в руководстве по эксплуатации, за исключением того, что давление горючего перед первым по ходу топлива автоматическим запорным органом устанавливают ниже допустимого для данного аппарата. Фиксируют поведение аппарата.
6.4.8.3 Подготавливают аппарат к работе по полной программе, но создают недостаток воздуха для горения, перекрывая воздухопровод или создавая вокруг аппарата атмосферу с пониженным содержанием кислорода или подавая в горелку вместо воздуха инертный газ (азот и пр.) Фиксируют поведение аппарата.
6.4.8.4 Подготавливают аппарат к работе по полной программе, но в системе отвода продуктов сгорания создают неполадки (снижают разрежение, перекрывают сечение дымоотводящего патрубка). Фиксируют поведение аппарата.
6.4.8.5 Подготавливают аппарат к работе по полной программе, но не включают запальную горелку. Фиксируют поведение аппарата (срабатывает или нет автоматический запорный орган на линии топлива).
6.4.8.6 Включают аппарат, оснащенный автоматической системой отключения подачи топлива, и настраивают его на номинальный режим, затем поочередно создают неполадки:
а) прекращают подачу электроэнергии;
б) гасят контролируемое пламя;
в) понижают и повышают давление в системе подачи топлива;
г) повышают температуру топлива (для аппаратов, работающих на жидком топливе) и теплоносителя выше расчетной;
д) снижают расход воздуха для горения;
е) прекращают продувку или отвод продуктов сгорания из камеры сгорания.
Фиксируют поведение аппарата, обращая внимание на то, возобновится ли работа прибора после устранения причины, вызвавшей его отключение.
Пуск прибора после устранения причины, вызвавшей его защитное выключение, не должен быть самопроизвольным (исключение составляют аппараты с блочной горелкой).
Фиксируют также время срабатывания автоматики при отклонениях напряжения, указанных в
4.26.
Во всех случаях время срабатывания должно соответствовать значению, указанному в
4.26.
6.4.8.7 Испытания по
6.4.8 проводят не менее 3 раз. За результат принимают максимальное из полученных значений времени срабатывания автоматики.
6.4.9 Определение массы топлива, поступающего в камеру сгорания или помещение при отсутствии пламени (по
4.21)
6.4.9.1 Возможность поступления топлива в помещение или камеру сгорания при отсутствии пламени определяют в следующих случаях:
а) при зажигании многоканальной горелки;
б) защитном отключении подачи топлива;
в) погасании пламени запальной или основной горелки;
г) невключении запального устройства.
Испытания проводятся при максимальной тепловой мощности.
6.4.9.2 К многоканальной горелке подносят источник зажигания и включают подачу топлива. Фиксируют время от момента появления пламени в одном канале до появления пламени во всех каналах горелки и расход топлива.
Массу несгоревшего топлива при его неконтролируемом поступлении m вычисляют по формуле

, (8)
где m - масса несгоревшего топлива, кг;
B - расход топлива, кг/мин;

- время от момента подачи топлива или появления пламени в одном канале до появления пламени во всех каналах, мин.
6.4.9.3 Последовательно создают условия, при которых срабатывает защитное устройство аппарата (по паспортным данным):
а) прекращают подачу электроэнергии;
б) повышают или понижают давление в топливной системе;
в) повышают или понижают давление в камере сгорания (для аппаратов, работающих под давлением или разрежением);
г) прекращают подачу воздуха для горения;
д) гасят пламя запальной горелки (при ее наличии) и основной горелки;
е) повышают температуру топлива (для аппаратов, работающих на жидком топливе) и теплоносителя свыше допустимой;
ж) снижают разрежение и т.д.
Фиксируют время от момента погасания пламени запальной горелки до полного отключения подачи топлива и расход топлива до погасания пламени.
Массу поступившего в помещение или топочное пространство несгоревшего топлива определяют умножением времени на расход топлива.
6.4.9.4 Гасят пламя методом срыва пламени обдувающим потоком воздуха. Фиксируют расход топлива и время от момента погасания пламени до полного отключения подачи топлива автоматической защитной системой или вручную.
Массу поступившего в помещение или топочное пространство несгоревшего топлива определяют умножением времени на расход.
6.4.9.5 Максимальное из полученных значений массы несгоревшего топлива используют для расчета давления взрыва по формуле

, (9)
где

- избыточное давление взрыва, кПа;

- низшая теплота сгорания топлива, кДж/кг;
V - свободный объем помещения или камеры сгорания, м3;
m - масса несгоревшего топлива, кг;

- плотность воздуха, кг/м
3;
T - температура воздуха в помещении или камере сгорания, К;
Z - коэффициент участия горючего во взрыве (определяется по
[1]);

- коэффициент неадиабатичности процесса сгорания и негерметичности помещения или камеры сгорания (принимается равным 3);
P - начальное давление, кПа;

- теплоемкость воздуха, Дж·кг
-1·К
-1.
6.4.9.6 Аппарат считают соответствующим требованиям пожарной безопасности, если расчетное значение избыточного давления взрыва не превышает 5 кПа.
6.4.10 Отбор проб продуктов сгорания для газового анализа
6.4.10.1 Отбор продуктов сгорания на анализ следует проводить через каждые 30 мин в течение всего рабочего цикла аппарата с помощью трубки из нержавеющей стали с внутренним диаметром 5 - 10 мм.
6.4.10.2 Отбор проб осуществляют из участка дымоотводящей трубы, расположенного не далее 0,5 м от дымоотводящего патрубка аппарата перед тягостабилизатором, и направляют в газоанализатор.
6.4.10.3 Допускается отбор проб производить в резиновую или стеклянную емкость, которую предварительно промывают не менее чем 3-кратным объемом продуктов сгорания.
Срок хранения продуктов сгорания в емкости не более 2 ч.
6.4.10.4 Для аппаратов без дымоотводящего патрубка пробы продуктов сгорания отбирают из-под зонта, устанавливаемого над факелом.
(в ред. Изменения N 1, утв. Приказом Росстандарта от 01.08.2023 N 605-ст)
6.4.11 Определение сечения дымоотводящего патрубка
(4.11)
При наличии у аппарата дымоотводящего патрубка с помощью линейки измеряют его диаметр, затем рассчитывают площадь сечения дымоотводящего патрубка по формуле

, (10)
где S - площадь сечения дымоотводящего патрубка, см2;
0,785 - коэффициент, равный

;
d - диаметр дымоотводящего патрубка, см.
6.4.12 Определение давления жидкого топлива
(4.28)
Давление жидкого топлива измеряют манометром, подсоединенным к подводящим трубопроводам (после последнего по ходу движения топлива запорного или регулирующего органа), а также к камере сгорания (для аппаратов с камерами сгорания, работающими под давлением или разрежением).
6.4.13.1 Осмотр аппарата осуществляют до и после испытаний. Визуальные наблюдения за работой аппарата осуществляют в течение всего времени испытаний.
6.4.13.2 При осмотре до испытаний устанавливают:
а) наличие или отсутствие устройств для регулирования подачи воздуха в камеру сгорания и разрежение в системе дымоудаления;
б) наличие устройства дистанционного розжига и системы контроля пламени;
в) наличие автоматических устройств;
г) наличие, количество и места расположения топливных запорных органов;
д) взаиморасположение аппарата и топливного бака;
е) наличие системы продувки камеры сгорания и устройства для визуального наблюдения за пламенем;
ж) наличие огнепреградителей, взрывных клапанов, предохранительных и дыхательных клапанов;
з) наличие защитного кожуха аппарата инфракрасного излучения;
и) наличие фильтрующих устройств;
к) наличие предохранительных устройств, препятствующих повышению температуры;
л) наличие программного управления аппаратом.
6.4.13.3 После испытаний аппарат и дымовой канал должны быть осмотрены с целью выявления следующих изменений:
а) прогара стенок топочной камеры (камеры сгорания) и дымового канала;
б) появления трещин, щелей и т.д., приведших к разгерметизации систем топливоподачи, дымоудаления, теплоносителя;
в) изменения цвета электропроводки;
г) появления копоти на внешней стороне аппарата и систем дымоудаления.
6.4.13.3.1 Допускается частичная или полная разборка аппарата и дымового канала для удобства осмотра.
6.4.13.3.2 В случае проведения разборки аппарата следует вновь его собрать и осуществить пробный запуск, чтобы убедиться в работоспособности всех систем после разборки-сборки.
6.4.14 Определение соответствия содержания технической документации требованиям пожарной безопасности (по
разд. 5)
6.4.14.1 Определение соответствия технической документации требованиям пожарной безопасности осуществляют двумя способами: сравнением фактического содержания технической документации с требованиями
разд. 5 и сравнением содержания технической документации с результатами испытаний.
6.4.14.2 При обнаружении несоответствия техническая документация возвращается заказчику для внесения соответствующих изменений.
6.4.15 Измерение плотности теплового потока
(4.5)
6.4.15.1 Для измерения плотности теплового потока следует использовать приемники теплового потока охлаждаемые (ПТПО) с диапазоном от 5 до 100 кВт/м2.
6.4.15.2 Включают аппарат и настраивают его на режим максимальной мощности. Прогревают аппарат в течение 3 часов.
Помещают ПТПО в зону излучения аппарата и измеряют плотность теплового потока.
Измерения повторяют на различных расстояниях от излучателя и с разных его сторон (если излучатель ненаправленного действия). Строят график зависимости плотности теплового потока от расстояния, полученную зависимость экстраполируют на нулевое расстояние, принимая за результат измерения максимальное значение плотности теплового потока.
6.4.16 Определение площади излучателя
6.4.16.1 Площадь плоского излучателя определяют измерением линейных размеров с последующим расчетом площади.
6.4.16.2 Если аппарат имеет излучатель сложной конструкции, за площадь излучателя принимают площадь проекции излучателя на плоскость, перпендикулярную направлению излучения.
6.4.16.3 Если аппарат имеет рефлектор, за площадь излучателя принимают площадь проекции рефлектора на плоскость, перпендикулярную направлению излучения.
6.4.17 Расчет скорости движения продуктов сгорания по дымовому каналу
6.4.17.1 Скорость движения продуктов сгорания в дымовом канале W, м/с, определяют по формуле

, (11)
где W - скорость движения продуктов сгорания, м/с, при коэффициенте избытка воздуха, близком к 1;
N - тепловая мощность аппарата, кВт (без учета КПД);

- объем продуктов сгорания (м
3) 1 кг твердого (жидкого) топлива на 1 кВт мощности;

- низшая теплота сгорания топлива, кДж·кг
-1 - для твердого или жидкого топлива;
S - площадь сечения дымового канала, м2.
Величины

и

определяют по
таблице приложения Б.
Для аппаратов, работающих с коэффициентом избытка воздуха более 1,1, величина W не определяется.
6.4.18 Определение устойчивости против коррозионного воздействия продуктов сгорания
(4.39.3)
Коррозионную устойчивость материала определяют по справочным или паспортным данным на материал.
Класс устойчивости к коррозии принимают по виду топлива в соответствии с
таблицей В.1 (приложение В).
(п. 6.4.18 в ред. Изменения N 1, утв. Приказом Росстандарта от 01.08.2023 N 605-ст)
7 Оформление результатов испытаний
7.1 Результаты испытаний оформляются в виде таблицы следующей формы:
Таблица 1
Оформление результатов испытаний
N п/п | Обозначение и номер пункта нормативного документа | Наименование контролируемого параметра | Значение параметра |
по НД | фактически |
1 | 2 | 3 | 4 | 5 |
| | | | |
(обязательное)
ТРЕБОВАНИЯ К УСТРОЙСТВУ И РАЗМЕЩЕНИЮ РАСХОДНЫХ БАКОВ
ЖИДКОГО ТОПЛИВА ДЛЯ ТЕПЛОГЕНЕРИРУЮЩИХ АППАРАТОВ
А.1 В нежилых обособленных помещениях, размещенных в зданиях со степенью огнестойкости не ниже II, допускается устанавливать расходный бак вместимостью до 100 л, располагая его на расстоянии не менее 2 м от боковых стенок аппарата, если топливо имеет температуру вспышки до 61 °C.
При использовании топлива с температурой вспышки более 61 °C расходный бак допускается располагать на расстоянии не менее 0,5 м от боковых стенок аппарата.
А.2 Бак должен быть герметически закрыт и с помощью пароотводной трубы диаметром не менее 50 мм сообщаться с атмосферой. Если топливо имеет температуру вспышки до 61 °C, на пароотводной трубе должны быть установлены дыхательный клапан и огнепреградитель.
А.3 Топливный бак вместимостью до 100 л топлива с температурой вспышки до 61 °C, располагаемый внутри нежилого помещения, необходимо оборудовать аварийной трубой, выведенной за пределы помещения и заканчивающейся в аварийной емкости.
А.4 Топливный бак с жидкостью, имеющей температуру вспышки более 61 °C, соединять с аварийной емкостью не требуется.
А.5 Не допускается установка на расходных баках стеклянных указателей уровня и стеклянных отстойников.
А.6 Топливопроводы, соединяющие топливные баки с аппаратом, должны выполняться только из металлических труб, соединенных между собой сваркой (для керосина) или с помощью муфт (для других видов топлива). На топливопроводе должно быть не менее двух вентилей: первый - у топливного бака, второй - у теплогенерирующего аппарата.
А.7 Расположение расходных баков вместимостью свыше 100 л должно соответствовать требованиям нормативных документов по пожарной безопасности.
(справочное)
ЗНАЧЕНИЯ ВЕЛИЧИН НИЗШИХ ТЕПЛОТ СГОРАНИЯ И ОБЪЕМА
ПРОДУКТОВ СГОРАНИЯ ДЛЯ РАЗЛИЧНЫХ ВИДОВ ТОПЛИВА
Таблица Б.1
Значения величин

и

для различных видов топлива
Вид топлива | Низшая теплота сгорания Qн | Объем продуктов сгорания VПС на 1 кг (м3) топлива, м3/кг |
Дрова | 13 800 кДж·кг-1 | 1,17 |
Антрацит | 27 200 кДж·кг-1 | 1,22 |
Торф | 15 466 кДж·кг-1 | 1,05 |
Каменный уголь | 20 560 кДж·кг-1 | 1,54 |
Бурый уголь | 27 588 кДж·кг-1 | 1,03 |
Бензин | 41 870 кДж·кг-1 | 1,13 |
Топливо печное бытовое | 42 800 кДж·кг-1 | 1,14 |
Керосин | 43 540 кДж·кг-1 | 0,90 |
Дизельное топливо | 48 870 кДж·кг-1 | 0,97 |
Мазут | 38 700 кДж·кг-1 | 1,07 |
(справочное)
КЛАССЫ УСТОЙЧИВОСТИ К КОРРОЗИИ
(приложение В введено Изменением N 1, утв. Приказом
Росстандарта от 01.08.2023 N 605-ст)
Классы устойчивости к коррозии приведены в таблице В.1.
Класс устойчивости к коррозии | Виды топлива |
газообразное топливо | жидкое топливо | твердое топливо |
1 | Газ: содержание серы <= 50 мг/м3 | Керосин: содержание серы <= 50 мг/м3 | - |
2 | Газ: содержание серы >= 50 мг/м3 | Нефть: содержание серы <= 0,2 массы, % | - |
Керосин: содержание серы >= 50 мг/м3 |
3 | Газ: содержание серы >= 50 мг/м3 | Нефть: содержание серы <= 0,2 массы, % | Древесина, уголь, торф |
Керосин: содержание серы >= 50 мг/м3 |
(справочное)
СХЕМА УСЛОВНОГО ОБОЗНАЧЕНИЯ ДЫМОВОЙ ТРУБЫ
(приложение Г введено Изменением N 1, утв. Приказом
Росстандарта от 01.08.2023 N 605-ст)
Условное обозначение дымовой трубы формируется в соответствии со схемой, представленной на рисунке Г.1.
ГОСТ Р
Дымовая труба T400 N 1 G М 53321-2009
──────────────┬── ────┬─ ─┬─ ───┬─ ───┬── ───┬─ ─────┬──────
│ │ │ │ │ │ │
┌────────────────────┐ │ │ │ │ │ │ │
│Наименование изделия├─┘ │ │ │ │ │ │
└────────────────────┘ │ │ │ │ │ │
│ │ │ │ │ │
┌─────────────────────────────┐ │ │ │ │ │ │
│Класс температуры (по 4.39.2)├─┘ │ │ │ │ │
└─────────────────────────────┘ │ │ │ │ │
│ │ │ │ │
┌──────────────────────────────────┐ │ │ │ │ │
│Режим эксплуатации ├─┘ │ │ │ │
│[по 5.2, перечисление г)] │ │ │ │ │
└──────────────────────────────────┘ │ │ │ │
│ │ │ │
┌─────────────────────────────────────────┐ │ │ │ │
│Класс устойчивости к коррозии │ │ │ │ │
│[по таблице В.1 (приложение В)] ├─┘ │ │ │
└─────────────────────────────────────────┘ │ │ │
│ │ │
┌────────────────────────────────────────────────┐ │ │ │
│Класс устойчивости к возгоранию сажи ├─┘ │ │
│(по 6.4.2.3) │ │ │
└────────────────────────────────────────────────┘ │ │
│ │
┌────────────────────────────────────────────────────────┐ │ │
│Материал изделия (М - металл, Кр - керамика, Ш - шамот, ├─┘ │
│Ко - композит) │ │
└────────────────────────────────────────────────────────┘ │
│
┌─────────────────────────────────────────────────────────────────┐ │
│Обозначение настоящего стандарта ├─┘
└─────────────────────────────────────────────────────────────────┘
[1] Проект Свода правил. Опасность взрывопожарная и пожарная объектов производственного и складского назначения. Определение категорий
УДК 621.1:662(035.5) | ОКС 13.220.01 | ОКП 364534, 474164, 485812, 485814, 526350, 969390, 969550 |
Ключевые слова: аппарат теплогенерирующий, топливо, пожарная безопасность, требование, методы испытаний. |