Главная // Пожарная безопасность СПРАВКА
Источник публикации
В данном виде документ опубликован не был.
Первоначальный текст документа опубликован в издании
Официальный интернет-портал правовой информации http://www.pravo.gov.ru, 10.02.2015.
Информацию о публикации документов, создающих данную редакцию, см. в справке к этим документам.
Примечание к документу
Начало действия редакции - 11.09.2017.
Окончание действия документа - 31.12.2020.
Изменения, внесенные
Приказом Ростехнадзора от 08.08.2017 N 303,
вступают в силу по истечении 10 дней после дня официального опубликования (опубликован на Официальном интернет-портале правовой информации http://www.pravo.gov.ru - 31.08.2017).
Название документа
Приказ Ростехнадзора от 28.11.2014 N 530
(ред. от 08.08.2017)
"Об утверждении Федеральных норм и правил в области промышленной безопасности "Инструкция по изоляции неиспользуемых горных выработок и выработанных пространств в угольных шахтах"
(Зарегистрировано в Минюсте России 09.02.2015 N 35926)
Приказ Ростехнадзора от 28.11.2014 N 530
(ред. от 08.08.2017)
"Об утверждении Федеральных норм и правил в области промышленной безопасности "Инструкция по изоляции неиспользуемых горных выработок и выработанных пространств в угольных шахтах"
(Зарегистрировано в Минюсте России 09.02.2015 N 35926)
Зарегистрировано в Минюсте России 9 февраля 2015 г. N 35926
ФЕДЕРАЛЬНАЯ СЛУЖБА ПО ЭКОЛОГИЧЕСКОМУ, ТЕХНОЛОГИЧЕСКОМУ
И АТОМНОМУ НАДЗОРУ
ПРИКАЗ
от 28 ноября 2014 г. N 530
ОБ УТВЕРЖДЕНИИ ФЕДЕРАЛЬНЫХ НОРМ И ПРАВИЛ
В ОБЛАСТИ ПРОМЫШЛЕННОЙ БЕЗОПАСНОСТИ "ИНСТРУКЦИЯ ПО ИЗОЛЯЦИИ
НЕИСПОЛЬЗУЕМЫХ ГОРНЫХ ВЫРАБОТОК И ВЫРАБОТАННЫХ ПРОСТРАНСТВ
В УГОЛЬНЫХ ШАХТАХ"
| | Список изменяющих документов (в ред. Приказа Ростехнадзора от 08.08.2017 N 303) | |
В соответствии с
пунктом 5.2.2.16(1) Положения о Федеральной службе по экологическому, технологическому и атомному надзору, утвержденного постановлением Правительства Российской Федерации от 30 июля 2004 г. N 401 (Собрание законодательства Российской Федерации, 2004, N 32, ст. 3348; 2006, N 5, ст. 544; N 23, ст. 2527; N 52, ст. 5587; 2008, N 22, ст. 2581; N 46, ст. 5337; 2009, N 6, ст. 738; N 33, ст. 4081; N 49, ст. 5976; 2010, N 9, ст. 960; N 26, ст. 3350; N 38, ст. 4835; 2011, N 6, ст. 888; N 14, ст. 1935; N 41, ст. 5750; N 50, ст. 7385; 2012, N 29, ст. 4123; N 42, ст. 5726; 2013, N 12, ст. 1343; N 45, ст. 5822; 2014, N 2, ст. 108; N 35, ст. 4773), приказываю:
1. Утвердить прилагаемые
Федеральные нормы и правила в области промышленной безопасности "Инструкция по изоляции неиспользуемых горных выработок и выработанных пространств в угольных шахтах".
2. Настоящий приказ вступает в силу по истечении одного месяца после его официального опубликования.
Руководитель
А.В.АЛЕШИН
приказом Федеральной службы
по экологическому, технологическому
и атомному надзору
от 28 ноября 2014 г. N 530
ФЕДЕРАЛЬНЫЕ НОРМЫ И ПРАВИЛА
В ОБЛАСТИ ПРОМЫШЛЕННОЙ БЕЗОПАСНОСТИ "ИНСТРУКЦИЯ ПО ИЗОЛЯЦИИ
НЕИСПОЛЬЗУЕМЫХ ГОРНЫХ ВЫРАБОТОК И ВЫРАБОТАННЫХ ПРОСТРАНСТВ
В УГОЛЬНЫХ ШАХТАХ"
| | Список изменяющих документов (в ред. Приказа Ростехнадзора от 08.08.2017 N 303) | |
1. Настоящие Федеральные нормы и правила в области промышленной безопасности "Инструкция по изоляции неиспользуемых горных выработок и выработанных пространств в угольных шахтах" (далее - Инструкция) разработаны в соответствии с Федеральным
законом от 21 июля 1997 г. N 116-ФЗ "О промышленной безопасности опасных производственных объектов" (Собрание законодательства Российской Федерации, 1997, N 30, ст. 3588; 2000, N 33, ст. 3348; 2003, N 2, ст. 167; 2004, N 35, ст. 3607; 2005, N 19, ст. 1752; 2006, N 52, ст. 5498; 2009, N 1, ст. 17, ст. 21; N 52, ст. 6450; 2010, N 30, ст. 4002; N 31, ст. 4195, ст. 4196; 2011, N 27, ст. 3880; N 30, ст. 4590, ст. 4591, ст. 4596; N 49, ст. 7015, ст. 7025; 2012, N 26, ст. 3446; 2013, N 9, ст. 874; N 27, ст. 3478),
Федеральными нормами и правилами в области промышленной безопасности "Правила безопасности в угольных шахтах", утвержденными приказом Федеральной службы по экологическому, технологическому и атомному надзору от 19 ноября 2013 г. N 550 (зарегистрирован Министерством юстиции Российской Федерации 31 декабря 2013 г., регистрационный N 30961; Бюллетень нормативных актов федеральных органов исполнительной власти, 2014, N 7).
2. Настоящая Инструкция предназначена для всех организаций, занимающихся проектированием и строительством угольных шахт и разработкой угольных пластов подземным способом, военизированных горноспасательных частей.
3. В шахтах следует выполнять меры по ограждению (далее - изоляция) неиспользуемых горных выработок и выработанных пространств от действующих горных выработок и от земной поверхности.
Изоляция неиспользуемых горных выработок и выработанных пространств выполняется возведением изолирующих перемычек (далее - ИП) или проведением иных технических работ, обеспечивающих сокращение расхода воздуха в изолированных горных выработках до нормируемых значений и исключающих проникновение в эти выработки людей.
4. Настоящая Инструкция устанавливает требования по:
изоляции неиспользуемых горных выработок и выработанных пространств от действующих горных выработок;
изоляции неиспользуемых горных выработок и выработанных пространств от земной поверхности;
контролю и оценке качества изоляции.
5. В шахтах должны быть изолированы:
неиспользуемые горные выработки;
разведочные горные выработки, не используемые для технологических целей, в том числе тупиковые;
выработанное пространство отработанных выемочных единиц;
выработанное пространство отрабатываемых выемочных участков.
В газовых шахтах должны быть изолированы тупиковые скважины, не используемые для технологических целей.
Для изоляции дегазационных скважин в их устьях устанавливаются металлические заглушки с прокладками из негорючего материала.
Выработанное пространство отрабатываемых выемочных участков следует изолировать в соответствии с документацией на выемку полезного ископаемого (ведение очистных работ).
6. В настоящей Инструкции используются условные обозначения, приведенные в
приложении N 2 к настоящей Инструкции.
(п. 6 в ред.
Приказа Ростехнадзора от 08.08.2017 N 303)
7. Изоляция должна выполняться в соответствии с документацией на изоляцию, утвержденную техническим руководителем (главным инженером) угледобывающей организации.
Документация на изоляцию должна состоять из текстовой и графической частей.
Текстовая часть должна содержать:
распорядительный документ руководителя угледобывающей организации об изоляции горных выработок и выработанных пространств или его копию;
назначение ИП;
сведения об изолируемых горных выработках и о выработанных пространствах;
описание принятых технологических и технических решений, расчеты, обосновывающие принятые технологические и технические решения;
описание конструкции ИП;
ссылки на нормативные и (или) технические документы, используемые при подготовке документации на изоляцию;
очередность возведения ИП;
меры промышленной безопасности при выполнении работ по изоляции.
Графическая часть документации на изоляцию должна содержать:
выкопировку с планов горных работ с нанесенной на нее ИП;
чертежи, схемы, отображающие принятые технологические, технические и иные решения.
Условные обозначения, применяемые в графической части документации на изоляцию, должны соответствовать
приложению N 3 к настоящей Инструкции.
В документации на изоляцию должны указываться:
состояние горных выработок;
тип и состояние крепи;
зоны повышенного горного давления (далее - ПГД) и другие опасные зоны;
объемы притока воды и абсолютное метановыделение в изолируемых горных выработках и выработанном пространстве.
После возведения ИП в документацию на изоляцию включаются:
результаты определения скорости твердения раствора, используемого при возведении взрывоустойчивой ИП;
акт отбора проб раствора для определения прочностных характеристик материала, используемого при возведении взрывоустойчивой ИП;
результаты определения прочностных характеристик затвердевшего материала, используемого при возведении взрывоустойчивой ИП;
акт приемки скрытых работ, выполненных при возведении ИП;
акт приемки ИП;
акты приемки ремонтных работ, проводимых в течение срока существования ИП;
результаты контроля качества изоляции.
8. Конструкцию и технологию возведения ИП следует выбирать с учетом срока изоляции, горно-геологических и горнотехнических условий в месте возведения ИП.
9. При выборе конструкции ИП и технологии ее возведения следует предусматривать меры по:
сокращению сроков возведения ИП;
сохранности ИП в течение всего срока изоляции горной выработки;
выполнению работ, связанных с ремонтом ИП.
10. ИП следует возводить при:
изоляции неиспользуемых горных выработок - в изолируемых неиспользуемых горных выработках и (или) в сопряженных с ними действующих горных выработках;
изоляции отработанных выемочных участков - в горных выработках, оконтуривающих отработанный выемочный участок, и (или) в сопряженных с ними действующих горных выработках;
изоляции выработанного пространства - в горных выработках, примыкающих к выработанному пространству, и (или) в сопряженных с ними действующих горных выработках.
11. Выработанное пространство выемочных участков газовых шахт, проветриваемых по схемам с изолированным отводом метана из выработанного пространства с помощью газоотсасывающих установок, и газодренажные выработки от действующих выработок следует изолировать взрывоустойчивыми ИП.
12. На шахтах, разрабатывающих пласты угля, склонные к самовозгоранию, или свиту угольных пластов, в составе которой есть пласты угля, склонные к самовозгоранию, изоляцию следует проводить взрывоустойчивыми ИП.
Взрывоустойчивыми ИП должны быть изолированы:
отработанные выемочные единицы (выемочные участки, блоки, панели);
выемочные участки на пластах угля, склонных к самовозгоранию, ведение горных работ по добыче угля на которых прекращено на срок, превышающий инкубационный период самовозгорания угля;
неиспользуемые горные выработки, пройденные по пластам угля, склонным к самовозгоранию;
горные выработки, проводимые по пластам угля, склонным к самовозгоранию, проведение которых прекращено на срок, превышающий инкубационный период самовозгорания угля;
неиспользуемые горные выработки, имеющие аэродинамическую связь с земной поверхностью;
неиспользуемые горные выработки, имеющие аэродинамическую связь с горными выработками, пройденными по сближенным пластам;
неиспользуемые горные выработки, имеющие аэродинамическую связь с выработанным пространством ранее отработанных выемочных участков.
13. Действующие пожары следует изолировать взрывоустойчивыми ИП.
14. Отработанные выемочные участки на пластах угля, не склонных к самовозгоранию, следует изолировать в течение 10 суток после окончания демонтажных работ.
15. Отработанные выемочные участки на пластах угля, склонных к самовозгоранию, должны быть изолированы после окончания работ по добыче угля в срок, не превышающий инкубационный период самовозгорания угля.
При разработке свиты угольных пластов, в которой есть пласты, склонные к самовозгоранию, срок изоляции отработанных выемочных участков не должен превышать минимальный инкубационный период самовозгорания угля угольных пластов, входящих в свиту.
В случаях, когда изоляцию отработанного выемочного участка невозможно выполнить в срок, не превышающий инкубационный период самовозгорания угля, руководитель угледобывающей организации распорядительным документом устанавливает обоснованный срок окончания работ по изоляции отработанного выемочного участка, превышающий инкубационный период самовозгорания угля, и утверждает меры по профилактике и предупреждению самовозгорания угля в отработанной части выемочного участка при отсутствии подвигания очистного забоя. Меры по профилактике и предупреждению самовозгорания угля в отработанной части выемочного участка при отсутствии подвигания очистного забоя должны выполняться в течение всего времени от окончания работ по добыче угля до окончания работ по изоляции отработанного выемочного участка.
16. При изоляции не полностью отработанных выемочных участков ИП возводятся у границы изолируемого выемочного участка или у отработанной его части.
В случае возведения ИП у отработанной части выемочного участка следует обеспечить проветривание тупиковых горных выработок, в которых возведены ИП.
17. В случаях, когда при изоляции неиспользуемых горных выработок не исключен риск возникновения аварий, работы по их изоляции следует вести с выполнением мер, исключающих возникновение аварии, утвержденных техническим руководителем (главным инженером) угледобывающей организации.
18. При слоевой системе разработки мощных пологих пластов выработанное пространство выемочных участков следует изолировать при отработке каждого слоя.
19. При щитовой системе разработки крутых угольных пластов ИП следует возводить в межщитовых целиках во всех выработках, оконтуривающих выемочный столб: вентиляционном, промежуточном, конвейерном и откаточном штреках и в вентиляционных сбойках. ИП в вентиляционных сбойках возводятся после их прохождения щитом.
Откаточный штрек при щитовой системе разработки крутых угольных пластов не изолируется до полной отработки выемочного столба при условии, что после прохождения щитом изолируются горные выработки, пройденные на него с конвейерного штрека.
20. Выработанное пространство на участках, отрабатываемых системой с гибким перекрытием по падению, следует изолировать во всех сбойках, соединяющих ходовую печь с выработанным пространством, после их прохождения перекрытием.
21. При камерной и камерно-столбовой системе разработки угольных пластов ИП должны быть изолированы камеры, в которых закончена добыча угля.
22. При возведении ИП следует проводить приемку скрытых работ. При приемке скрытых работ комиссия, назначенная распорядительным документом технического руководителя (главного инженера) угледобывающей организации, проверяет конструктивные решения и параметры ИП, которые невозможно будет проверить после возведения ИП, на их соответствие документации на изоляцию.
При приемке скрытых работ должны быть проверены:
глубина и ширина вруба;
усиливающее крепление;
отсутствие гальванической связи между изолированной частью выработки и действующими выработками;
материал и конструкция опалубки;
трубы для спуска воды из изолированного пространства, трубы для контроля температуры и газового состава рудничного воздуха в изолированном пространстве, трубы для подачи в изолированные горные выработки и выработанные пространства огнетушащих средств и средств профилактики и предупреждения пожаров.
Комиссия по приемке скрытых работ оформляет акт приемки скрытых работ в соответствии с рекомендуемым образцом, приведенным в
приложении N 4 к настоящей Инструкции.
23. После возведения ИП комиссия, назначенная распорядительным документом руководителя угледобывающей организации, проводит приемку ИП. Комиссия по приемке ИП оформляет акт приемки ИП в соответствии с рекомендуемым образцом, приведенным в
приложении N 5 к настоящей Инструкции. В акте приемки ИП должны быть указаны:
дата возведения ИП;
место возведения ИП;
назначение и конструкция ИП;
материал, из которого возведена ИП;
средства повышения герметичности ИП и углепородного массива;
даты приемок скрытых работ.
Комиссия по приемке ИП в акте приемки ИП делает заключение о соответствии возведенной ИП документации на изоляцию.
Акт приемки ИП утверждается техническим руководителем (главным инженером) угледобывающей организации.
Акт приемки ИП хранится в течение срока существования ИП.
24. ИП должны герметично изолировать горные выработки и выработанные пространства и обеспечивать:
фильтрующие ИП - фильтрацию воды и удержание заиловочного материала;
ИП, изолирующие пожарный участок, - сохранность ИП при высоких температурах;
ИП, изолирующие горные выработки, в которых возможно скопление пульпы, - сохранность ИП под действием напора пульпы;
водоупорные ИП - сохранность ИП под действием напора воды;
взрывоустойчивые ИП - сохранность ИП при взрывах метановоздушных смесей и пыли в изолированном выработанном пространстве или в изолированных горных выработках;
динамически устойчивые ИП - сохранность ИП при сейсмических нагрузках.
25. В выработках, пройденных по угольным пластам, ИП следует возводить за границами зон ПГД и зон влияния геологических нарушений. При возведении ИП в границах вышеуказанных зон должны быть выполнены меры, обеспечивающие сохранность ИП в условиях ПГД или в условиях влияния геологических нарушений.
26. На заездах и в квершлагах ИП возводятся на расстоянии от отработанной части угольного пласта не менее, м:
в зоне разгрузки или вне зоны ПГД - 1,5;
в зоне ПГД:
при ведении очистных работ в сторону неотработанного массива крыла шахтного поля - 2,5;
при ведении очистных работ на выработанное пространство - 7;
на границе зоны ПГД или зоны разгрузки - 4.
27. При разработке крутых угольных пластов ИП на заездах и в квершлагах возводятся в породном массиве.
28. ИП следует возводить на расстоянии не менее 5 м от сопряжений горных выработок. При расстоянии от сопряжения горных выработок до возводимой ИП менее 5 м должно быть выполнено усиление крепи горной выработки на участке от ИП до сопряжения горных выработок.
29. Место для возведения ИП следует выбирать с учетом трещиноватости угольного пласта и вмещающих пород. ИП следует возводить в нетрещиноватых горных породах.
При возведении ИП в зонах трещиноватости горных пород должны быть выполнены меры по снижению фильтрационных свойств угольного пласта и вмещающих пород.
Вышеуказанные меры должны быть выполнены и при образовании трещин в горных породах около уже возведенных ИП.
30. Со стороны действующих горных выработок с ИП должна быть демонтирована опалубка и к ИП обеспечен свободный подход. Запрещается складирование у ИП материалов и оборудования. Электрооборудование и электрические кабели следует размещать на расстоянии не менее 5 м от ИП.
31. ИП следует возводить по нормали к почве горной выработки.
32. Горная выработка, пройденная по пласту угля не менее 5 м в обе стороны от ИП, должна быть:
закреплена негорючей крепью;
очищена на боках и в кровле от отслоившихся угля и породы;
закреплена дополнительной крепью.
33. На пластах угля, склонных к самовозгоранию, изоляцию выработанных пространств отработанных выемочных участков следует проводить так, чтобы концентрация кислорода в рудничной атмосфере в изолированном выработанном пространстве не превышала 10%.
Изоляция пожаров в горных выработках и в выработанном пространстве проводится так, чтобы концентрация кислорода в рудничной атмосфере в изолированных горных выработках или изолированном выработанном пространстве не превышала 3%.
34. Выработанное пространство и горные выработки, которые после их изоляции будут затоплены, следует изолировать ИП, в конструкции которых предусмотрены трубы для спуска воды из изолированного пространства. В фильтрующих ИП труба для спуска воды должна быть выведена за зону заиловки. В водоупорных ИП на трубах для спуска воды должны быть установлены запорная арматура и приборы контроля давления воды.
35. В ИП должны быть установлены трубы для контроля температуры газового состава рудничного воздуха в изолированном пространстве, трубы для подачи в изолированные горные выработки и выработанные пространства огнетушащих средств и средств профилактики и предупреждения пожаров.
36. При установке труб для спуска воды и труб для контроля температуры и газового состава рудничного воздуха в изолированном пространстве следует предусматривать меры, исключающие аэродинамическую связь между атмосферой в действующих выработках и изолированном пространстве.
37. На пластах крутого падения для сокращения сроков изоляции выработанных пространств, отрабатываемых выемочных участков, при проведении горных выработок в породном массиве на заездах и квершлагах следует возводить противопожарные арки. Конструкция противопожарной арки должна обеспечивать возможность возведения в ней ИП.
38. При выполнении работ по изоляции должны соблюдаться требования документации изготовителей быстротвердеющих смесей, герметизирующих составов и других материалов, используемых для возведения ИП и повышения их герметичности.
39. Конструкция, параметры и материал взрывоустойчивых ИП, изолирующей горную выработку и (или) выработанное пространство, должны быть обоснованы в документации на изоляцию. В обосновании следует учитывать все факторы, влияющие на силу взрыва, который может произойти в изолированном пространстве: объем и концентрация метана, наличие угольной пыли, топология сети горных выработок и наличие в них средств, снижающих воздействие на ИП ударно-воздушной волны (далее - УВВ).
Порядок расчета параметров безврубовой взрывоустойчивой ИП приведен в
приложении N 6 к настоящей Инструкции.
40. Динамически устойчивые ИП следует возводить в шахтах с высоким уровнем сейсмических рисков природного и техногенного характера.
Конструкция, параметры и материал динамически устойчивых ИП должны обеспечивать сохранность ИП при сейсмических воздействиях природного и техногенного характера.
41. ИП, изолирующие выработанные пространства действующих и отработанных выемочных участков, следует возводить из негорючего материала.
42. Для повышения герметичности изоляции на ИП, бока и кровлю горной выработки следует наносить герметизирующий слой.
43. В горной выработке в месте возведения ИП не менее 2 м от него в обе стороны должны быть разорваны гальванические связи действующей выработки с изолированным пространством.
44. Каждой возведенной на шахте ИП присваивается номер. Информация об ИП, возведенной в шахте, должна заноситься в книгу учета ИП, оформленную по рекомендуемому образцу, приведенному в
приложении N 7 к настоящей Инструкции.
45. При изоляции горных выработок, выходящих на земную поверхность, следует выполнять технические мероприятия, аналогичные техническим мероприятиям при ликвидации или консервации объекта, проводимым в соответствии с
Инструкцией о порядке ведения работ по ликвидации и консервации опасных производственных объектов, связанных с пользованием недрами, утвержденной постановлением Федерального горного и промышленного надзора России от 2 июня 1999 г. N 33 (зарегистрировано Министерством юстиции Российской Федерации 25 июня 1999 г., регистрационный N 1816; Бюллетень нормативных актов федеральных органов исполнительной власти, 1999, N 29).
46. Запрещается извлекать крепь из вертикальных и наклонных горных выработок с углом наклона более 30°.
Решение об извлечении крепи из изолируемых наклонных горных выработок с наклоном до 30° принимает технический руководитель (главный инженер) угледобывающей организации.
47. Для изоляции горных выработок, выходящих на земную поверхность, ИП возводятся в:
изолируемой горной выработке у ее сопряжения с действующими горными выработками или в горных выработках, примыкающих к изолируемой горной выработке;
устье изолируемой горной выработки у земной поверхности.
48. ИП, установленная в устье изолируемой горной выработки у земной поверхности, должна быть оборудована вытяжными устройствами. Вытяжные устройства должны предотвращать поступление воздуха с земной поверхности в изолированную выработку и обеспечивать отвод рудничного воздуха из изолированной выработки при перепаде давления на ИП более 20 даПа.
49. При изоляции вертикальные и наклонные горные выработки следует заполнять негорючими материалами только при условии, что в дальнейшем их использование не предусматривается. Запрещается применять для заполнения изолируемых вертикальных и наклонных горных выработок глину и другие горные породы, которые при взаимодействии с водой набухают и становятся пластичными.
50. Порядок ведения работ по изоляции имеющих выход на земную поверхность вертикальных и наклонных горных выработок:
работы по изоляции вертикальных выработок проводятся в следующем порядке:
возведение ИП в горных выработках на расстоянии не менее 5 м от сопряжения с вертикальной горной выработкой;
засыпка вертикальной горной выработки негорючими материалами до уровня коренных пород, но не менее 10 м от земной поверхности;
возведение ИП на балках или рельсах над засыпанной частью изолируемой выработки;
засыпка оставшейся части изолируемой выработки негорючими материалами до уровня земной поверхности;
работы по изоляции наклонных выработок проводятся в следующем порядке:
возведение ИП во всех горных выработках на расстоянии не менее 5 м от сопряжения с изолируемой выработкой или в самой изолируемой выработке;
возведение ИП в изолируемой горной выработке на глубине от земной поверхности, равной десятикратной высоте выработки вчерне. До возведения данной ИП следует выполнить работы по усилению крепи горной выработки ниже места возведения ИП;
засыпка изолируемой горной выработки негорючими материалами от ИП до земной поверхности.
После засыпки вертикальной или наклонной изолируемой выработки негорючими материалами следует:
снять вокруг устья изолируемой горной выработки на глубину не менее 0,5 м почвенно-растительный слой;
провести насыпку слоя глинистых пород площадью в 1,5 раза больше площади выделения токсичных и горючих газов.
В случаях, когда вертикальные и наклонные горные выработки изолируются на определенный срок и после его истечения проектной документацией предусмотрено их дальнейшее использование, засыпка не проводится.
51. При изоляции скважин следует выполнять меры по:
отводу воды из изолированной скважины в горные выработки шахты и сокращению водопритока в нее с земной поверхности;
герметизации скважины от горных выработок шахты и отводу рудничного воздуха из скважины в атмосферу.
Обсадная труба на земной поверхности должна быть закрыта металлической заглушкой.
Вокруг обсадной трубы должна быть залита бетонная тумба диаметром на 0,5 м больше диаметра скважины.
Вокруг скважин, пройденных по пластам угля, склонного к самовозгоранию, перед заливкой тумбы должен быть уложен слой глины толщиной не менее 1,5 м.
На земной поверхности над устьем изолируемой скважины отсыпается слой глины высотой не менее 2,5 м.
Верхний конец трубы для отвода рудничного воздуха из скважины в атмосферу должен находиться на 1 м выше уровня глины.
Для скважин, обсаженных трубами на всю длину, следует проводить тампонирование пространства между обсадной трубой и горными породами.
Ликвидируемые скважины изолируются заполнением бетоном участка длиной не менее 2,5 м внизу скважины и участка не менее 0,5 м у земной поверхности. Оставшаяся часть ликвидируемой скважины должна быть заполнена негорючим материалом, за исключением глины. Скважины диаметром 200 мм и менее следует заполнять рыхлыми отложениями, в том числе глиной.
52. На ИП, возведенных в шахте, должен быть установлен аншлаг. На земной поверхности у устьев изолированных горных выработок, в том числе и у скважин, должны быть установлены ограждения и аншлаг. Аншлаг ИП оформляется в соответствии с
приложением N 8 к настоящей Инструкции.
53. Технический руководитель (главный инженер) угледобывающей организации не менее двух раз в год (весной и осенью) организует обследования земной поверхности в целях выявления на ней провалов и трещин, образовавшихся в результате ведения подземных горных работ, и контроля состояния ликвидированных провалов и трещин.
Результаты обследований оформляются актом.
54. Провалы и трещины на земной поверхности, образовавшиеся в результате ведения подземных горных работ, следует ликвидировать.
Провалы следует ликвидировать на:
крутых пластах - на смежных с отрабатываемыми выемочными столбами;
наклонных пластах - на отрабатываемых выемочных столбах с отставанием от очистного забоя на 25 - 30 м;
пологих пластах - по мере их образования.
Сроки начала и окончания работ по ликвидации образовавшегося в результате ведения подземных горных работ провала определяет технический руководитель (главный инженер) угледобывающей организации.
55. Решение о ведении очистных работ в выемочных столбах, над которыми на земной поверхности есть неликвидированные провалы и трещины, принимает технический руководитель (главный инженер) угледобывающей организации.
56. Засыпку провалов и трещин следует проводить горными породами, не содержащими горючих материалов.
После завершения работ по засыпке провалов и трещин следует выполнить меры по их изоляции слоем глины толщиной не менее 3 м.
57. В зимнее время при засыпке провалов следует выполнять меры по рыхлению почвенно-растительного слоя и мерзлого грунта механизированным или буровзрывным способом.
58. Для повышения герметичности изоляции по решению технического руководителя (главного инженера) угледобывающей организации применяются заиловочные суспензии. Для приготовления заиловочных суспензий используется зола, золошлаковые материалы, отходы обогащения угля, мелкие фракции горелых горных пород, суглинки. В суглинках, используемых для приготовления суспензий, должно содержаться более 20% песка. При содержании песка в суглинках 20% и менее в приготовляемые заиловочные суспензии следует добавлять золу, золошлаковые материалы, отходы обогащения угля, мелкие фракции горелых горных пород.
59. Перед началом проведения заиловочных работ должен быть выполнен контроль качества возведения ИП и выполнения решений, предусмотренных проектной документацией, по отводу воды из заиливаемой части горной выработки.
При проведении заиловочных работ следует контролировать подачу заиловочной суспензии в заиловочную часть горной выработки, отвод из нее воды и состояние ИП.
60. После окончания заиловочных работ должен быть оформлен акт выполнения заиловочных работ. В акте выполнения заиловочных работ следует указывать информацию об ИП и объеме заиловочного материала, поданного в заилованную часть горной выработки. Акт выполнения заиловочных работ утверждает технический руководитель (главный инженер) угледобывающей организации.
61. Контроль качества проводимых на шахте работ по изоляции неиспользуемых горных выработок и выработанных пространств (контроль качества изоляции) следует осуществлять в порядке, утвержденном техническим руководителем (главным инженером) угледобывающей организации.
62. Технический руководитель (главный инженер) угледобывающей организации распорядительным документом назначает лиц, которые должны контролировать соответствие работ, выполняемых при возведении ИП, документации на изоляцию.
63. При возведении взрывоустойчивых ИП из твердеющих или быстротвердеющих материалов следует определять скорость твердения раствора и прочностные характеристики затвердевшего материала, используемого при возведении взрывоустойчивой ИП.
Скорость твердения раствора следует определять до начала возведения ИП.
Пробы для определения прочностных характеристик затвердевшего материала, используемого при возведении взрывоустойчивой ИП, должны быть отобраны не менее трех раз за время возведения ИП: в начале возведения, во время, когда возведено от 40 до 60% объема ИП, и перед окончанием возведения ИП. Для каждой отобранной пробы в соответствии с рекомендуемым образцом, приведенным в
приложении N 9 к настоящей Инструкции, оформляется акт отбора проб раствора для определения прочностных характеристик материала, используемого при возведении взрывоустойчивой ИП.
Скорость твердения раствора и прочностные показатели затвердевшего материала, используемого при возведении взрывоустойчивой ИП, определяются в соответствии с документацией изготовителя материала, используемого при возведении взрывоустойчивой ИП.
По решению технического руководителя (главного инженера) угледобывающей организации прочностные показатели затвердевшего материала в теле ИП, наличие в нем пустот и инородных включений определяются косвенными методами неразрушающего контроля. Методики косвенных методов неразрушающего контроля должны быть согласованы с изготовителем материалов, используемых для возведения ИП, и утверждены техническим руководителем (главным инженером) угледобывающей организации.
64. Для ИП, изолирующих неиспользуемые горные выработки и выработанное пространство на пластах угля, склонных к самовозгоранию, в срок не более 10 дней после окончания работ по их возведению и в дальнейшем с периодичностью не реже одного раза в год следует определять качество изоляции ИП.
Порядок определения качества изоляции неиспользуемых горных выработок и выработанных пространств следует устанавливать в соответствии с
приложением N 10 к настоящей Инструкции.
65. В действующих горных выработках у ИП и в изолированных неиспользуемых горных выработках и выработанном пространстве должна проводиться проверка состава рудничного воздуха (проверка состава рудничного воздуха у ИП).
Проверка состава рудничного воздуха у ИП проводится в соответствии с
Федеральными нормами и правилами в области промышленной безопасности "Инструкция по контролю состава рудничного воздуха, определению газообильности и установлению категорий шахт по метану и/или диоксиду углерода", утвержденными приказом Федеральной службы по экологическому, технологическому и атомному надзору от 6 декабря 2012 г. N 704 (зарегистрирован Министерством юстиции Российской Федерации 8 февраля 2013 г., регистрационный N 26936; Бюллетень нормативных актов федеральных органов исполнительной власти, 2013, N 16), с изменениями, внесенными приказом Федеральной службы по экологическому, технологическому и атомному надзору от 17 декабря 2013 г. N 609 (зарегистрирован Министерством юстиции Российской Федерации 14 января 2014 г., регистрационный N 31018; Бюллетень нормативных актов федеральных органов исполнительной власти, 2014, N 5) (далее - Федеральные нормы и правила в области промышленной безопасности "Инструкция по контролю состава рудничного воздуха, определению газообильности и установлению категорий шахт по метану и/или диоксиду углерода"). Результаты проверки состава рудничного воздуха у ИП заносятся в книгу наблюдений за пожарными участками и проверки состояния изолирующих сооружений, рекомендуемый образец которой приведен в
приложении N 6 к Федеральным нормам и правилам в области промышленной безопасности "Инструкция по контролю состава рудничного воздуха, определению газообильности и установлению категорий шахт по метану и/или диоксиду углерода". По решению технического руководителя (главного инженера) угледобывающей организации в книгу наблюдений за пожарными участками и проверки состояния изолирующих сооружений добавляется графа, в которую заносят результаты замеров температуры воды, вытекающей из-за ИП.
Порядок проведения проверки состава рудничного воздуха у ИП утверждает технический руководитель (главный инженер) угледобывающей организации.
Специалисты угледобывающей организации должны проводить не реже одного раза в сутки проверку состава рудничного воздуха у ИП индивидуальными приборами контроля газов, замер температуры вытекающей из-за ИП воды и температуру рудничного воздуха за ИП.
Результаты ежесуточных проверок состава рудничного воздуха у ИП индивидуальными приборами контроля газов, замеров температуры заносятся в книгу контроля состава рудничного воздуха в изолированном пространстве и проверки ИП, оформленную в соответствии с рекомендуемым образцом, который приведен в
приложении N 11 к настоящей Инструкции.
66. Специалисты угледобывающей организации не реже одного раза в сутки должны проводить визуальный контроль ИП. При проведении визуального контроля ИП проверяется:
целостность ИП;
крепление горной выработки в месте установки ИП;
подход к ИП из действующих горных выработок;
отсутствие аэродинамической связи между атмосферой в действующих выработках и изолированном пространстве через трубы для контроля температуры и газового состава рудничного воздуха в изолированном пространстве;
состояние углепородного массива в непосредственной близости от ИП.
Дополнительный объем проверок, выполняемых при проведении визуального контроля, определяет технический руководитель (главный инженер) угледобывающей организации.
67. Руководители структурных подразделений угледобывающих организаций (их заместители или помощники) проводят проверку состава рудничного воздуха у ИП индивидуальными приборами контроля газов, замер температуры воздуха в изолированном пространстве и температуры воды, вытекающей из изолированного пространства, и визуальный контроль ИП в порядке, утвержденном распорядительным документом руководителя угледобывающей организации.
Проверку состава рудничного воздуха индивидуальными приборами контроля газов у ИП, изолирующих неиспользуемые горные выработки и выработанное пространство на пластах, склонных к самовозгоранию, замер температуры воздуха в изолированном пространстве и температуры воды, вытекающей из изолированного пространства, руководителям структурных подразделений угледобывающих организаций (их заместителям или помощникам) следует проводить с периодичностью не реже одного раза в 10 дней.
68. Информация о проведенных руководителями структурных подразделений угледобывающих организаций (их заместителями или помощниками) и специалистами угледобывающей организации проверках состава рудничного воздуха индивидуальными приборами контроля газов у ИП, замерах температуры воздуха в изолированном пространстве и температуры воды, вытекающей из изолированного пространства, и визуальном контроле ИП заносится в книгу контроля состава рудничного воздуха в изолированном пространстве и проверки изолирующих перемычек, оформленную в соответствии с рекомендуемым образцом, который приведен в
приложении N 11 к настоящей Инструкции.
69. В угледобывающей организации распорядительным документом руководителя угледобывающей организации должна быть создана комиссия, осуществляющая контроль выполнения мер по изоляции неиспользуемых горных выработок и выработанных пространств.
Вышеуказанная комиссия проводит:
визуальный контроль ИП, проверку состава рудничного воздуха у ИП индивидуальными приборами контроля газов и замер температуры воздуха в изолированном пространстве и температуры воды - не менее двух раз в год (у ИП, изолирующих неиспользуемые горные выработки и выработанное пространство на пластах угля, склонных к самовозгоранию, - не менее одного раза в квартал);
визуальный контроль на земной поверхности изоляции устьев изолированных неиспользуемых горных выработок - не менее двух раз в год (при разработке пластов угля, склонных к самовозгоранию, - не менее одного раза в квартал);
визуальный контроль на земной поверхности изоляции провалов и трещин - не менее двух раз в год (при разработке пластов угля, склонных к самовозгоранию, - не менее одного раза в квартал).
Результат комиссионной проверки оформляется актом проверки ИП. Акт проверки ИП утверждает технический руководитель (главный инженер) угледобывающей организации.
70. При повышении температуры воздуха в изолированном пространстве и температуры воды, вытекающей из изолированного пространства, и при обнаружении в составе рудничного воздуха в изолированном пространстве пожарных газов технический руководитель (главный инженер) угледобывающей организации увеличивает частоту выполнения работ, установленную
пунктами 65 -
67 настоящей Инструкции.
71. Технический руководитель (главный инженер) угледобывающей организации не реже одного раза в год разрабатывает график ремонта ИП и улучшения качества изоляции неиспользуемых горных выработок и выработанных пространств.
72. ИП, необходимость проведения ремонта которых не предусмотрена графиком ремонта ИП, должны быть отремонтированы в срок, установленный техническим руководителем (главным инженером) угледобывающей организации.
к Федеральным нормам и правилам
в области промышленной безопасности
"Инструкция по изоляции
неиспользуемых горных выработок
и выработанных пространств
в угольных шахтах", утвержденным
приказом Федеральной службы
по экологическому, технологическому
и атомному надзору
от 28 ноября 2014 г. N 530
ТЕРМИНЫ И ИХ ОПРЕДЕЛЕНИЯ
Утратили силу. -
Приказ Ростехнадзора от 08.08.2017 N 303.
к Федеральным нормам и правилам
в области промышленной безопасности
"Инструкция по изоляции
неиспользуемых горных выработок
и выработанных пространств
в угольных шахтах", утвержденным
приказом Федеральной службы
по экологическому, технологическому
и атомному надзору
от 28 ноября 2014 г. N 530
| | Список изменяющих документов (в ред. Приказа Ростехнадзора от 08.08.2017 N 303) | |
| - | амплитуда давления в УВВ, МПА; |
a | - | ширина горной выработки, м; |
| - | расстояние между анкерами, установленными в почве или кровле горной выработки, м; |
b | - | высота горной выработки, м; |
| - | расстояние между анкерами, установленными в боках горной выработки, м; |
F | - | усилие на срез, воспринимаемое одним анкером, МН; |
h | - | перепад давлений на ИП, даПа; |
| - | коэффициент динамичности; |
| - | коэффициент запаса прочности для материала перемычки; |
n | - | количество замеров; |
| - | количество анкеров, необходимых для крепления опорных элементов к горным породам почвы или кровли горной выработки, шт.; |
| - | количество анкеров, необходимых для крепления опорных элементов к горным породам боков почвы или кровли горной выработки, шт.; |
| - | атмосферное давление, МПа; |
| - | избыточное давление во фронте УВВ, МПа; |
| - | давление отражения, МПа; |
| - | эквивалентное давление, МПа; |
| - | давление, эквивалентное воздействию на ИП УВВ, для которого проводится расчет опорных элементов, МПа; |
| - | давление, которое будет воспринимать 1 м опорных элементов при воздействии на ИП УВВ, МПа/м; |
| - | утечки воздуха через изолированный участок при всех закрытых проемах, м3/с; |
| - | нормируемые утечки воздуха через ИП, м3/с; |
| - | фактические утечки воздуха через ИП, м3/с; |
q | - | расход воздуха, м3/с; |
| - | среднее меньшее значение воздухопроницаемости ИП, м3/(ч·м2·даПа); |
| - | нормативная адгезионная прочность, МПа; |
(в ред. Приказа Ростехнадзора от 08.08.2017 N 303) |
| - | нормативное сопротивление на растяжение при изгибе, МПа; |
(в ред. Приказа Ростехнадзора от 08.08.2017 N 303) |
| - | нормативное сопротивление на сжатие, МПа; |
(в ред. Приказа Ростехнадзора от 08.08.2017 N 303) |
| - | сопротивление на сдвиг, МПа; |
(в ред. Приказа Ростехнадзора от 08.08.2017 N 303) |
| - | площадь поперечного сечения трубы, м2; |
| - | площадь ИП, м2; |
| - | площадь окна, м2; |
| - | период собственных колебаний, с; |
| - | скорость воздуха в трубе, м/с; |
| - | скорость движения воздуха в окне при открытом втором окне, м/с; |
| - | скорость движения воздуха в окне при герметично закрытом втором окне, м/с; |
| - | скорости движения воздуха в вентиляционном окне при i-м замере, м/с; |
| - | расчетная толщина перемычки, м; |
| | толщина плиты перемычки, обеспечивающая ее прочность на изгиб под действием эквивалентного давления, м; |
| | толщина плиты перемычки, обеспечивающая прочность ее закрепления по контуру, м; |
| - | увеличенная толщина ИП, м; |
| - | толщина "прилива", м; |
| - | время действия давления, мкс; |
| - | время релаксации системы, мкс. |
к Федеральным нормам и правилам
в области промышленной безопасности
"Инструкция по изоляции
неиспользуемых горных выработок
и выработанных пространств
в угольных шахтах", утвержденным
приказом Федеральной службы
по экологическому, технологическому
и атомному надзору
от 28 ноября 2014 г. N 530
ПРИМЕНЯЕМЫЕ В ГРАФИЧЕСКОЙ ЧАСТИ ДОКУМЕНТАЦИИ НА ИЗОЛЯЦИЮ
Наименование | Условное обозначение | Цвет |
1 | 2 | 3 |
Купол (вывал) в выработке (2,3 м; 2,1 м наибольшая высота): | | |
незабученный | | Красный |
забученный | | Красный, клетка и точки черные |
Выработка подземная заиленная | | Перемычка по цвету материала, точки оранжевые |
Изолирующие перемычки: | | |
пожарная арка | | Бетон - зеленый |
с врубом | | Гипс - синий |
безврубовая | | Блоки - черный |
водоупорная | | Бетон - зеленый кирпич - красный |
взрывоустойчивая | | Гипс - синий Блоки - черный |
рубашка | | |
Пульповод: | | |
на земной поверхности | | |
в горной выработке | | |
к Федеральным нормам и правилам
в области промышленной безопасности
"Инструкция по изоляции
неиспользуемых горных выработок
и выработанных пространств
в угольных шахтах", утвержденным
приказом Федеральной службы
по экологическому, технологическому
и атомному надзору
от 28 ноября 2014 г. N 530
(рекомендуемый образец)
УТВЕРЖДАЮ:
Технический руководитель
(главный инженер)
"__" __________ 20__ г.
приемки скрытых работ, выполненных
при возведении изолирующей перемычки N _______
Комиссия в составе: ___________________________________________________
___________________________________________________________________________
"__" ______________ 20__ г. провела приемку скрытых работ,
выполненных при возведении изолирующей перемычки
___________________________________________________________________________
оборка боков и кровли горной выработки ________________________________
уборка угольного штыба с почвы горной выработки _______________________
глубина и ширина вруба ________________________________________________
опалубка в месте возведения изолирующей перемычки установлена:
материал опалубки _________________________________________________
расстояние между стенками опалубки ________________________________
крепление горной выработки усилено ____________________________________
(что выполнено по усилению крепи
горной выработки)
гальваническая связь между изолируемой частью выработки (выработанным
пространством) и действующими горными выработками
отсутствует ___________________________________________________________
трубы для спуска воды, контроля температуры и газового состава
установлены _______________________________________________________________
Заключение комиссии: скрытые работы по возведению изолирующей перемычки
выполнены _________________________________________________________________
(указать полноту выполнения скрытых работ и их соответствие
документации на изоляцию)
Члены комиссии: _____________/______________/
(фамилия) (подпись)
_____________/______________/
(фамилия) (подпись)
_____________/______________/
(фамилия) (подпись)
к Федеральным нормам и правилам
в области промышленной безопасности
"Инструкция по изоляции
неиспользуемых горных выработок
и выработанных пространств
в угольных шахтах", утвержденным
приказом Федеральной службы
по экологическому, технологическому
и атомному надзору
от 28 ноября 2014 г. N 530
(рекомендуемый образец)
УТВЕРЖДАЮ:
Технический руководитель
(главный инженер)
"__" __________ 20__ г.
Шахта _____________________________________________________________________
приемки изолирующей перемычки N _______________
Комиссия в составе: ___________________________________________________
произвела приемку "__" ________________ 20__ г. возведенной в
___________________________________________________________________________
изолирующей перемычки и установила, что работы по возведению изолирующей
перемычки выполнены в полном объеме в соответствии с
документацией "__" ___________ 20__ г.
Место возведения _________________________________________________________.
(наименование выработки, пикет)
Назначение и конструкция _________________________________________________.
Материал перемычки _______________________________________________________.
Средства повышения герметичности изолирующей перемычки и углепородного
массива __________________________________________________________________.
(тампонаж, покрытие, подыливание)
Даты приемок скрытых работ _______________________________________________.
Эскиз сооружения прилагается.
Линейно-угловая привязка изолирующей перемычки выполнена, изолирующая
перемычка нанесена на планы горных работ
"__" __________ 20__ г. _______________/_______________/
(фамилия) (подпись)
Заключение комиссии: ______________________________________________________
(указать качество выполненных работ)
Члены комиссии: _____________/______________/
(фамилия) (подпись)
_____________/______________/
(фамилия) (подпись)
_____________/______________/
(фамилия) (подпись)
_____________/______________/
(фамилия) (подпись)
к Федеральным нормам и правилам
в области промышленной безопасности
"Инструкция по изоляции
неиспользуемых горных выработок
и выработанных пространств
в угольных шахтах", утвержденным
приказом Федеральной службы
по экологическому, технологическому
и атомному надзору
от 28 ноября 2014 г. N 530
(рекомендуемый образец)
РАСЧЕТА ПАРАМЕТРОВ БЕЗВРУБОВОЙ ВЗРЫВОУСТОЙЧИВОЙ
ИЗОЛИРУЮЩЕЙ ПЕРЕМЫЧКИ
| | Список изменяющих документов (в ред. Приказа Ростехнадзора от 08.08.2017 N 303) | |
Расчет параметров безврубовой взрывоустойчивой ИП проводится в следующем порядке:
расчет давления, эквивалентного воздействию на безврубовую взрывоустойчивую ИП УВВ;
расчет минимальной толщины безврубовой взрывоустойчивой ИП;
расчет элементов усиления безврубовой взрывоустойчивой ИП.
Расчет давления, эквивалентного воздействию
на безврубовую взрывоустойчивую изолирующую перемычку
ударно-воздушной волны
Смещения и деформации системы, возникающие в результате воздействия на нее меняющегося со временем давления УВВ, зависят от соотношения времени действия давления УВВ

и времени релаксации системы

. Для упругих систем время релаксации принимается равным периоду собственных колебаний системы

. Смещения и деформации системы при

пропорциональны действующему давлению УВВ, при

- импульсу УВВ.
Для перемычек толщиной от 2 до 5 м в интервале времени воздействия давления УВВ от 1 до 6 секунд выполняется условие

.
Давление, эквивалентное воздействию на ИП УВВ с амплитудой давления

, МПа, рассчитывается в следующем порядке:
вычисляется избыточное давление во фронте УВВ

, МПа,

, (1)
где

- атмосферное давление, МПа.
Далее вычисляется давление отражения

, МПа,

. (2)

в 3 - 7 раз превышает

, распространяющееся по горным выработкам.
Вычисляется давление, эквивалентное воздействию на ИП УВВ

, МПа,

, (3)
где

- коэффициент динамичности взрывоустойчивых ИП, подвергающихся воздействию УВВ.

выбирается в зависимости от длительности воздействия УВВ на взрывоустойчивую ИП от 1 до 2 с учетом того, что чем меньше длительность воздействия УВВ на взрывоустойчивую ИП, тем больше значение

.
Расчет минимальной толщины безврубовой взрывоустойчивой
изолирующей перемычки
(в ред.
Приказа Ростехнадзора от 08.08.2017 N 303)
Безврубовая взрывоустойчивая ИП рассчитывается как шарнирно опертая плита прямоугольной формы.
Расчет минимальной толщины безврубовой взрывоустойчивой ИП выполняется с учетом вычисленного по
формулам (1) -
(3) 
и прочностных характеристик материала, используемого для ИП, сопротивление на сжатие, сопротивление на растяжение при изгибе, сопротивление на сдвиг, адгезионную прочность.
Сопротивление на сдвиг Rсдв, МПа, определяется по формуле:
Rсдв = 0,24Rсж, (4)
где Rсж - нормативное сопротивление на сжатие, МПа.
Толщина плиты перемычки, обеспечивающая ее прочность на изгиб под действием эквивалентного давления

, м, определяется по одной из следующих формул
при a > b,

; (5)
при a < b,

, (6)
где a - ширина выработки, м;
b - высота выработки, м;
Rраст - сопротивление на растяжение при изгибе, МПа.
Толщина плиты перемычки, обеспечивающая прочность ее закрепления по контуру

, м, определяется по одной из следующих формул
при Rадг < Rсдв

; (7)
при Rадг > Rсдв

, (8)
где Rадг - адгезионная прочность, МПа;
k3 - коэффициент запаса прочности для материала перемычки. Значение k3 изменяется в пределах от 0,8 до 1,0.
Расчетная толщина безврубовой взрывоустойчивой ИП

, м, принимается максимальной из двух величин

и


. (9)
При

,

= 2 м;
при

,

= 5 м;
при

,

принимается по результатам расчета.
Расчет элементов усиления безврубовой взрывоустойчивой
изолирующей перемычки
Безврубовые взрывоустойчивые ИП усиливаются:
установленными по контуру горной выработки опорными элементами (швеллерами), закрепленными анкерами к горным породам (далее - опорные элементы);
увеличением толщины ИП.
Для выполнения расчета опорных элементов устанавливается давление, эквивалентное воздействию на ИП УВВ, для которого будет проводиться расчет опорных элементов.
Давление, которое будет воспринимать 1 м опорных элементов при воздействии на ИП УВВ

МПа/м, определяется по формуле

, (10)
где

- давление, эквивалентное воздействию на ИП УВВ, для которого проводится расчет опорных элементов, МПа.
Количество анкеров, необходимых для крепления опорных элементов к горным породам почвы, кровли и боков горной выработки

,

, шт., рассчитывается по формулам

; (11)

, (12)
где

- количество анкеров, необходимых для крепления опорных элементов к горным породам почвы или кровли горной выработки, шт.;

- количество анкеров, необходимых для крепления опорных элементов к горным породам боков почвы или кровли горной выработки, шт.;
F - усилие на срез, воспринимаемое одним анкером, МН.
Опорные элементы к горным породам следует крепить анкерами, предельное усилие на срез которых больше F.
Предельные усилия на срез для анкеров диаметром 16 и 20 мм при глубине их заделки 1,0 - 1,8 м равны 0,0353 и 0,0535 МН соответственно.
Количество анкеров, на которые крепится каждый опорный элемент, должно быть не менее трех.
Расстояние между анкерами, установленными в почве или кровле горной выработки

, м, определяется по формуле

. (13)
Расстояние между анкерами, установленными в боках горной выработки

, м, определяется по формуле

. (14)
Расчет увеличения толщины изолирующей перемычки
Увеличенная толщина ИП

, м, которая обеспечит сохранность ИП при расчетном давлении, определяется по формуле

. (15)
Толщине "прилива"

, м, определяется по формуле

. (16)
к Федеральным нормам и правилам
в области промышленной безопасности
"Инструкция по изоляции
неиспользуемых горных выработок
и выработанных пространств
в угольных шахтах", утвержденным
приказом Федеральной службы
по экологическому, технологическому
и атомному надзору
от 28 ноября 2014 г. N 530
(рекомендуемый образец)
учета изолирующих перемычек
N ИП | Местонахождение ИП | Материал ИП | Прочность материала ИП <*> | Площадь ИП, м2 | Назначение ИП | Дата возведения ИП | | Подпись технического руководителя (главного инженера) угледобывающей организации (ежемесячно) | N страницы в разделе 1 |
1 | 2 | 3 | 4 | 5 | 6 | 7 | 8 | 9 | 10 |
--------------------------------
<*> На основании испытаний образцов.
<**> Информация и дата вскрытия ИП, возведения прилива, изоляции выработок, в которых возведено ИП, и т.д.
к Федеральным нормам и правилам
в области промышленной безопасности
"Инструкция по изоляции
неиспользуемых горных выработок
и выработанных пространств
в угольных шахтах", утвержденным
приказом Федеральной службы
по экологическому, технологическому
и атомному надзору
от 28 ноября 2014 г. N 530
(рекомендуемый образец)
АНШЛАГ ИЗОЛИРУЮЩЕЙ ПЕРЕМЫЧКИ N _____
Пласт _______________ горизонт ___________________________
Наименование выработки ___________________________________
Назначение изолирующей перемычки _________________________
Материал заполнения пространства между перемычками _______
Дата возведения изолирующей перемычки ____________________
| | ИС МЕГАНОРМ: примечание. Нумерация граф в таблице дана в соответствии с официальным текстом документа. | |
Дата проведения контроля | Температура, °C | Газовый состав, % | Подпись проводившего осмотр и (или) контроль |
в изолированном пространстве |
Вода | Воздух | | | CO | |
1 | 2 | 3 | 4 | 6 | 7 | 8 | 9 |
к Федеральным нормам и правилам
в области промышленной безопасности
"Инструкция по изоляции
неиспользуемых горных выработок
и выработанных пространств
в угольных шахтах", утвержденным
приказом Федеральной службы
по экологическому, технологическому
и атомному надзору
от 28 ноября 2014 г. N 530
(рекомендуемый образец)
отбора проб раствора для определения прочностных
характеристик материала, используемого при возведении
взрывоустойчивой изолирующей перемычки
Шахта _____________________________________________________________________
Наименование выработки ____________________________________________________
Номер перемычки ___________________________________________________________
Дата отбора проб раствора "__" __________ 20__ г.
Время отбора проб раствора "__" часов "__" минут.
Проба раствора для определения прочностных характеристик материала,
используемого при возведении взрывоустойчивой изолирующей перемычки,
отобрана __________________________________________________________________
(указать: в начале возведения изоляционной перемычки,
изоляционная перемычка возведена на высоту 0,5b

0,1 м,
на завершающей стадии возведения изоляционной перемычки)
Пробу раствора отобрал ________________________________________________
(фамилия и инициалы, структурное подразделение)
в присутствии специалиста шахты ___________________________________________
(фамилия и инициалы, структурное
подразделение)
_____________/______________/
(фамилия) (подпись)
_____________/______________/
(фамилия) (подпись)
к Федеральным нормам и правилам
в области промышленной безопасности
"Инструкция по изоляции
неиспользуемых горных выработок
и выработанных пространств
в угольных шахтах", утвержденным
приказом Федеральной службы
по экологическому, технологическому
и атомному надзору
от 28 ноября 2014 г. N 530
(рекомендуемый образец)
ОПРЕДЕЛЕНИЯ КАЧЕСТВА ИЗОЛЯЦИИ НЕИСПОЛЬЗУЕМЫХ ГОРНЫХ
ВЫРАБОТОК И ВЫРАБОТАННЫХ ПРОСТРАНСТВ
Качество изоляции неиспользуемых горных выработок и выработанных пространств определяется сравнением замеренного фактического расхода воздуха (далее - утечки воздуха) через ИП

, м3/с, с нормируемыми утечками воздуха через ИП

, м3/с.
Нормируемые утечки воздуха через ИП определяются по номограмме, представленной на
рисунке 1 настоящего приложения.
Рис. 1. Номограмма для определения герметичности
изолирующих сооружений
Для определения нормируемых утечек воздуха через ИП

, м3/с, используются следующие параметры ИП:
среднее меньшее значение воздухопроницаемости ИП

, м3/(ч·м2·даПа);
перепад давлений на ИП h, даПа;
площадь ИП

, м2.
Средние меньшие значения воздухопроницаемости ИП приведены в
таблице настоящего приложения.
Типы изолирующего сооружения | Материал | Растворы | Средние меньшие значения воздухопроницаемости ИП  , м3/(ч·м2·даПа) |
кладочные | покрывающие | тампонажные |
ИП с врубом | Кирпич | Ц | Ц | - | 3,520 |
Ц | С | - | 0,530 |
Ц | М | - | 0,410 |
Бетон | - | Ц | - | 2,650 |
- | С | - | 0,124 |
- | М | - | 0,140 |
Шлакоблоки | Ц | Ц | - | 4,050 |
Ц | С | - | 1,700 |
Брусья | Ц | Ц | - | 2,800 |
М | М | - | 0,100 |
Безврубовые ИП | Чураки | Г | Г | - | 5,000 |
Кирпич | Ц | Ц | М | 1,120 |
Ц | М | М | 0,135 |
Бетон | - | Ц | Ц | 1,000 |
- | М | М | 0,900 |
Брусья | М | М | М | 0,090 |
Рубашки | Доски (щиты) | - | М | М | 0,420 |
Бетон | - | Ц | - | - |
- | С | - | - |
- | М | - | - |
Двойные ИП | Кирпич | Пространство между перемычками заполнено глинистой пульпой | 0,100 |
Бетон | 0,100 |
Примечание: Г - глинистый раствор, С - силикатный раствор, М - мастика, Ц - цементный раствор.
Нормируемые утечки воздуха через ИП определяются в следующем порядке:
по
таблице находится среднее меньшее значение воздухопроницаемости ИП;
на шкалах "Воздухопроницаемость" и "Перепад давления на ИП" номограммы через точки, соответствующие среднему меньшему значению воздухопроницаемости ИП и перепаду давления на ИП, проводится прямая линия до пересечения ее с центральной вертикальной линией. Через точку пересечения на второй вертикальной линии и точку на шкале "Сечение ИП" проводится прямая линия до пересечения ее со шкалой "Нормируемые утечки воздуха через ИП" для определения нормируемых утечек воздуха через ИП.
Нормируемые утечки воздуха

, м3/с, следует определять по формуле

. (1)
Для определения фактических утечек воздуха через ИП замеры расхода воздуха следует проводить в горных выработках, сопряженных с горной выработкой, в которой возведена ИП, или непосредственно в горной выработке, в которой возведена ИП.
При проведении замеров в горных выработках, сопряженных с горной выработкой, в которой возведена ИП, фактические утечки воздуха через ИП принимаются равными разности расходов воздуха в горных выработках, замеренных в горной выработке до и после ее сопряжения с выработкой, в которой установлена ИП. Замеры в каждой выработке следует проводить не менее трех раз.
Фактические утечки воздуха через ИП

, м3/с, определяются по формуле

. (2)
Замер фактических утечек воздуха через ИП, выполняемый непосредственно в горной выработке, в которой установлена ИП, проводится с использованием вспомогательной вентиляционной перемычки, установленной в горной выработке перед ИП. Вспомогательная вентиляционная перемычка возводится в 10 - 15 м от ИП. Для вспомогательной вентиляционной перемычки используется воздухонепроницаемый материал. При возведении вспомогательной вентиляционной перемычки следует обеспечить минимальные утечки воздуха через нее. Для выполнения замеров фактических утечек воздуха во вспомогательной вентиляционной перемычке следует сделать одно или два вентиляционных окна.
При использовании вспомогательной вентиляционной перемычки с двумя вентиляционными окнами следует замерять скорости движения воздуха в одном и том же окне при открытом и герметично закрытом втором окне.
Фактические утечки воздуха через ИП

, м3/с, рассчитываются:
при проведении замеров через вспомогательную вентиляционную перемычку с одним окном по формуле

; (3)
где

- скорости движения воздуха в вентиляционном окне при i-м замере, м/с;
n - количество замеров;

- площадь окна, м2;
при проведении замеров через вспомогательную вентиляционную перемычку с двумя окнами по формуле

, (4)
где

- скорость движения воздуха в окне при открытом втором окне, м/с;

- скорость движения воздуха в окне при герметично закрытом втором окне, м/с.
Для определения фактических утечек воздуха способом "регулируемого сопротивления" через расположенную на поступающей струе перемычку дополнительно прокладывается отрезок трубы 4 диаметром 100 мм, представленный на
рисунке 2 настоящего приложения.
Рис. 2. Оборудование перемычки для определения
утечек воздуха через изолированный участок способом
регулируемого сопротивления:
а, б - для поступающей и исходящей струй соответственно; 1 - микроманометр; 2 - резиновая трубка; 3 - перекрытие металлической трубы; 4 - металлическая труба диаметром 100 мм; 5 - кладка перемычки; 6 - изолированная часть выемочного участка
Нахождение утечек воздуха проводится в следующем порядке:
при всех закрытых проемах, в том числе в трубе 4, микроманометром измеряется депрессия

и

перемычек, которые расположены на поступающей и исходящей струях соответственно;
открывается труба 4, что приводит к изменению депрессии обеих перемычек. Микроманометром измеряются новые значения депрессий

и

При этом необходимо следить за тем, чтобы депрессия перемычки, расположенной на поступающей струе, не стала меньше 6 Па. Одновременно анемометром измеряется скорость воздуха в трубе v, м3/с;
определяется расход воздуха q, м /с, в трубе 4 по формуле

, (5)
где

- площадь поперечного сечения трубы, м2;
определяется величина утечек воздуха через изолированный участок при всех закрытых проемах

, м3/с, по формуле

, (6)
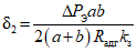
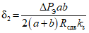
где a - ширина горной выработки, м, рассчитывается по формуле

; (7)
b - высота горной выработки, м, рассчитывается по формуле

. (8)
к Федеральным нормам и правилам
в области промышленной безопасности
"Инструкция по изоляции
неиспользуемых горных выработок
и выработанных пространств
в угольных шахтах", утвержденным
приказом Федеральной службы
по экологическому, технологическому
и атомному надзору
от 28 ноября 2014 г. N 530
(рекомендуемый образец)
контроля состава рудничного воздуха в изолированном
пространстве и проверки изолирующих перемычек
Шахта ______________________
Начата ________________ 20__ г.
Окончена ______________ 20__ г.
Дата проведения контроля | N ИП | Прочность материала ИП <*> | Состояние ИП (выявленные нарушения) | Температура воздуха за ИП, °C | Температура вытекающей из-за ИП воды, °C | Состав рудничного воздуха в изолированном пространстве у перемычки по показаниям индивидуальных переносных приборов | Подпись проводившего осмотр и (или) контроль | Подпись технического руководителя (главного инженера) угледобывающей организации (ежемесячно) |
| | CO | |
1 | 2 | 3 | 4 | 5 | 6 | 7 | 8 | 9 | 10 | 11 | 12 |
--------------------------------
<*> Заполняется для взрывоустойчивых и водоупорных ИП.