Главная // Пожарная безопасность
СПРАВКА
Источник публикации
В данном виде документ опубликован не был.
Первоначальный текст документа также опубликован не был.
Информацию о публикации документов, создающих данную редакцию, см. в справке к этим документам.
Примечание к документу
Начало действия редакции - 10.12.2024.
Название документа
Приказ Ростехнадзора от 11.03.2020 N 106
(ред. от 10.12.2024)
"Об утверждении руководства по безопасности при использовании атомной энергии "Радиационные и теплофизические характеристики отработавшего ядерного топлива водо-водяных энергетических реакторов и реакторов большой мощности канальных"
(вместе с "РБ-093-20...")

Приказ Ростехнадзора от 11.03.2020 N 106
(ред. от 10.12.2024)
"Об утверждении руководства по безопасности при использовании атомной энергии "Радиационные и теплофизические характеристики отработавшего ядерного топлива водо-водяных энергетических реакторов и реакторов большой мощности канальных"
(вместе с "РБ-093-20...")


Содержание


ФЕДЕРАЛЬНАЯ СЛУЖБА ПО ЭКОЛОГИЧЕСКОМУ, ТЕХНОЛОГИЧЕСКОМУ
И АТОМНОМУ НАДЗОРУ
ПРИКАЗ
от 11 марта 2020 г. N 106
ОБ УТВЕРЖДЕНИИ РУКОВОДСТВА
ПО БЕЗОПАСНОСТИ ПРИ ИСПОЛЬЗОВАНИИ АТОМНОЙ
ЭНЕРГИИ "РАДИАЦИОННЫЕ И ТЕПЛОФИЗИЧЕСКИЕ ХАРАКТЕРИСТИКИ
ОТРАБОТАВШЕГО ЯДЕРНОГО ТОПЛИВА ВОДО-ВОДЯНЫХ ЭНЕРГЕТИЧЕСКИХ
РЕАКТОРОВ И РЕАКТОРОВ БОЛЬШОЙ МОЩНОСТИ КАНАЛЬНЫХ"
Список изменяющих документов
(в ред. Приказов Ростехнадзора от 04.02.2021 N 46,
от 10.12.2024 N 376)
В целях реализации полномочий, установленных подпунктом 5.3.18 пункта 5 Положения о Федеральной службе по экологическому, технологическому и атомному надзору, утвержденного постановлением Правительства Российской Федерации от 30 июля 2004 г. N 401, приказываю:
1. Утвердить прилагаемое к настоящему приказу руководство по безопасности при использовании атомной энергии "Радиационные и теплофизические характеристики отработавшего ядерного топлива водо-водяных энергетических реакторов и реакторов большой мощности канальных".
2. Признать утратившим силу приказ Федеральной службы по экологическому, технологическому и атомному надзору от 26 марта 2014 г. N 119 "Об утверждении руководства по безопасности при использовании атомной энергии "Радиационные и теплофизические характеристики отработавшего ядерного топлива водо-водяных энергетических реакторов и реакторов большой мощности канальных".
Руководитель
А.В.АЛЕШИН
Утверждено
приказом
Федеральной службы
по экологическому, технологическому
и атомному надзору
от 11 марта 2020 г. N 106
РУКОВОДСТВО
ПО БЕЗОПАСНОСТИ ПРИ ИСПОЛЬЗОВАНИИ АТОМНОЙ
ЭНЕРГИИ "РАДИАЦИОННЫЕ И ТЕПЛОФИЗИЧЕСКИЕ ХАРАКТЕРИСТИКИ
ОТРАБОТАВШЕГО ЯДЕРНОГО ТОПЛИВА ВОДО-ВОДЯНЫХ ЭНЕРГЕТИЧЕСКИХ
РЕАКТОРОВ И РЕАКТОРОВ БОЛЬШОЙ МОЩНОСТИ КАНАЛЬНЫХ"
(РБ-093-20)
Список изменяющих документов
(в ред. Приказов Ростехнадзора от 04.02.2021 N 46,
от 10.12.2024 N 376)
I. Общие положения
1. Руководство по безопасности при использовании атомной энергии "Радиационные и теплофизические характеристики отработавшего ядерного топлива водо-водяных энергетических реакторов и реакторов большой мощности канальных" (РБ-093-20) (далее - Руководство по безопасности) разработано в соответствии со статьей 6 Федерального закона от 21 ноября 1995 г. N 170-ФЗ "Об использовании атомной энергии" в целях содействия соблюдению требований федеральных норм и правил в области использования атомной энергии "Общие положения обеспечения безопасности атомных станций" (НП-001-15), утвержденных приказом Федеральной службы по экологическому, технологическому и атомному надзору от 17 декабря 2015 г. N 522 (зарегистрирован Министерством юстиции Российской Федерации 2 февраля 2016 г., регистрационный N 40939), "Общие положения обеспечения безопасности объектов ядерного топливного цикла" (НП-016-05), утвержденных постановлением Федеральной службы по экологическому, технологическому и атомному надзору от 2 декабря 2005 г. N 11 (зарегистрировано Министерством юстиции Российской Федерации 1 февраля 2006 г., регистрационный N 7433), "Правила безопасности при транспортировании радиоактивных материалов" (НП-053-16), утвержденных приказом Федеральной службы по экологическому, технологическому и атомному надзору от 15 сентября 2016 г. N 388 (зарегистрирован Министерством юстиции Российской Федерации 24 января 2017 г., регистрационный N 45375), "Правила безопасности при хранении и транспортировании ядерного топлива на объектах использования атомной энергии" (НП-061-05), утвержденных постановлением Федеральной службы по экологическому, технологическому и атомному надзору от 30 декабря 2005 г. N 23.
2. Действие настоящего Руководства по безопасности распространяется на ядерные установки и пункты хранения ядерных материалов, на которых осуществляется деятельность по обращению с отработавшим ядерным топливом водо-водяных энергетических реакторов и реакторов большой мощности канальных, а также на обращение с этим топливом при транспортировании.
3. Настоящее Руководство по безопасности содержит рекомендации Федеральной службы по экологическому, технологическому и атомному надзору по радионуклидному составу, ядерным константам и теплофизическим характеристикам отработавшего ядерного топлива водо-водяных энергетических реакторов и реакторов большой мощности канальных, используемым при обосновании безопасности объектов использования атомной энергии.
4. Настоящее Руководство по безопасности предназначено для применения специалистами проектных и эксплуатирующих организаций при обосновании безопасности ядерных установок и пунктов хранения ядерных материалов, на которых планируется осуществлять или осуществляется деятельность по обращению с отработавшим ядерным топливом водо-водяных энергетических реакторов и реакторов большой мощности канальных, а также специалистами Федеральной службы по экологическому, технологическому и атомному надзору, осуществляющими оценку обоснования безопасности данных объектов использования атомной энергии при лицензировании соответствующих видов деятельности.
II. Радиационные и теплофизические характеристики
отработавшего ядерного топлива
5. При обосновании безопасности обращения с отработавшим ядерным топливом водо-водяных энергетических реакторов и реакторов большой мощности канальных рекомендуется использовать радиационные и теплофизические характеристики отработавшего ядерного топлива, погрешности их определения, а также ядерные константы, представленные в приложениях N 1 - 5 настоящего Руководства по безопасности.
6. Значения остаточного тепловыделения отработавшего ядерного топлива для произвольного времени выдержки рекомендуется определять методом линейной интерполяции значений остаточного тепловыделения, приведенных в приложениях N 1 - 4 настоящего Руководства по безопасности, или (для времени выдержки отработавшего ядерного топлива более 5 лет) с использованием значений концентрации нуклидов и ядерных констант, указанных в приложениях N 1 - 5 настоящего Руководства по безопасности.
Приложение N 1
к руководству по безопасности
при использовании атомной
энергии "Радиационные
и теплофизические
характеристики отработавшего
ядерного топлива водо-водяных
энергетических реакторов
и реакторов большой мощности
канальных", утвержденному
приказом Федеральной службы
по экологическому,
технологическому
и атомному надзору
от "__" _______ 20__ г. N __
РАДИАЦИОННЫЕ И ТЕПЛОФИЗИЧЕСКИЕ ХАРАКТЕРИСТИКИ
ОТРАБОТАВШЕГО ЯДЕРНОГО ТОПЛИВА ВОДО-ВОДЯНЫХ
ЭНЕРГЕТИЧЕСКИХ РЕАКТОРОВ ВВЭР-1000
Список изменяющих документов
(в ред. Приказов Ростехнадзора от 04.02.2021 N 46,
от 10.12.2024 N 376)
В таблице N 1 настоящего приложения приведена номенклатура тепловыделяющих сборок ВВЭР-1000, для которой в таблицах N 2 - 15 настоящего приложения представлены аппроксимационные коэффициенты зависимости концентрации нуклида y (г/тU) от глубины выгорания x (ГВт·сут/тU) отработавшего ядерного топлива на момент останова реактора.
Концентрация нуклида y в отработавшем ядерном топливе с глубиной выгорания x (при x >= 2 ГВт·сут/тU) <1> <2> на момент останова реактора определяется по следующей формуле:
(в ред. Приказа Ростехнадзора от 04.02.2021 N 46)
--------------------------------
<1> При x >= 6 ГВт·сут/тU для 242Pu.
(сноска введена Приказом Ростехнадзора от 04.02.2021 N 46)
<2> Значения минимальной глубины выгорания для 243Am, 242Cm, 244Cm, 245Cm приведены в соответствующих таблицах, содержащих аппроксимационные коэффициенты для данных нуклидов.
(сноска введена Приказом Ростехнадзора от 04.02.2021 N 46)
, (1)
где , , , , , и - аппроксимационные коэффициенты.
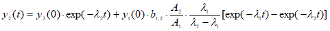
Концентрация нуклидов, за исключением 234U, 235U, 236U, 237Np, 238Pu, 240Pu, 241Pu, 241Am и 242Cm, с учетом времени выдержки t после останова реактора определяется по формуле:
(в ред. Приказа Ростехнадзора от 04.02.2021 N 46)
, (2)
где:
- определенная по формуле (1) концентрация i-го нуклида на момент останова реактора;
- постоянная распада i-го нуклида.
Концентрация нуклидов 240Pu, 241Pu и 242Cm с учетом времени выдержки t после останова реактора определяется по формуле:
, (3)
где:
, - определенные по формуле (1) концентрации материнских (244Cm, 245Cm и 242mAm) и дочерних (240Pu, 241Pu и 242Cm) нуклидов на момент останова реактора;
, - постоянные распада материнского и дочернего нуклида, соответственно;
, - атомные массы материнского и дочернего нуклида, соответственно;
- коэффициент ветвления, характеризующий вероятность распада материнского нуклида, приводящего к возникновению дочернего нуклида ( = 0,827 для распада 242mAm в 242Cm, = 1 - для остальных нуклидов).
Концентрация нуклидов 235U, 236U, 237Np, 238Pu и 241Am с учетом времени выдержки t после останова реактора определяется по формуле:
, (4)
(в ред. Приказа Ростехнадзора от 10.12.2024 N 376)
где:
y1(0) и y2(0) - концентрации материнских нуклидов (243Am и 239Pu - для 235U; 244Cm и 240Pu - для 236U; 241Pu и 241Am - для 237Np; 242mAm и 242Cm - для 238Pu; 245Cm и 241Pu - для 241Am) на момент останова реактора, определенные по формуле (1);
y3(0) - концентрации дочерних нуклидов (235U, 236U, 237Np, 238Pu и 241Am) на момент останова реактора, определенные по формуле (1);
, , - постоянные распада соответствующих материнских и дочерних нуклидов;
A1, A2, A3 - атомные массы соответствующих материнских и дочерних нуклидов.
(в ред. Приказа Ростехнадзора от 04.02.2021 N 46)
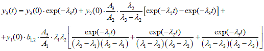
Концентрация нуклида 234U с учетом распада материнских нуклидов 238U и 238Pu для времени выдержки t после останова реактора определяется по формуле:
, (5)
где:
- определяется по формуле (3), в которой 238U - материнский нуклид, а 234U - дочерний;
- определяется по формуле (4), в которой 242Cm и 238Pu - материнские нуклиды, а 234U - дочерний;
- концентрация 234U на момент останова реактора;
- постоянная распада 234U.
Значение удельной активности (в 1010 Бк/тU) i-го нуклида, содержащегося в отработавшем ядерном топливе для данной глубины выгорания x и времени выдержки t, определяется по формуле:
, (6)
где - переводные коэффициенты, приведенные в столбце 4 таблицы N 1 приложения N 5 настоящего Руководства по безопасности.
Значение парциального тепловыделения (в Вт/тU) за счет i-го нуклида, содержащегося в отработавшем ядерном топливе для данной глубины выгорания x и времени выдержки t, определяется по формуле:
, (7)
где - переводные коэффициенты, приведенные в столбце 5 таблицы N 1 приложения N 5 настоящего Руководства по безопасности.
Значение ядерной концентрации (в 1021 ядер/тU) i-го нуклида, содержащегося в отработавшем ядерном топливе для данной глубины выгорания x и времени выдержки t, определяется по формуле:
, (8)
где - переводные коэффициенты, приведенные в столбце 6 таблицы N 1 приложения N 5 настоящего Руководства по безопасности.
В таблицах N 16 - 22 настоящего приложения для указанной в таблице N 1 номенклатуры топлива представлены значения остаточного тепловыделения отработавшего ядерного топлива ВВЭР-1000 в зависимости от глубины выгорания и времени выдержки.
Таблица N 1
Номенклатура тепловыделяющих сборок ВВЭР-1000
Среднее начальное обогащение
по U235, %
Проектная глубина выгорания,
ГВт·сут/тU
3
50
3,53
50
3,9
50
4,3
56
4,67
68
4,81
68
4,95
70
Таблица N 2
Аппроксимационные коэффициенты зависимости концентрации
144Ce, 134Cs, 135Cs, 137Cs, 154Eu, 155Eu, 3H, 85Kr, 237Np,
107Pd, 238Pu, 239Pu, 240Pu, 241Pu, 242Pu, 106Ru, 125Sb,
79Se, 151Sm, 121mSn, 126Sn, 90Sr, 99Tc, 125mTe, 234U, 235U,
236U, 238U, 93Zr (y, г/тU) от глубины выгорания
(x, ГВт·сут/тU) отработавшего ядерного топлива ВВЭР-1000
с начальным обогащением 3% по 235U
Нуклид
Аппроксимационные коэффициенты
, %
144Ce
1,10431E+00
3,48207E+01
-1,20382E+00
2,50576E-02
-3,39067E-04
2,70470E-06
-9,41927E-09
2
134Cs
-1,42161E-01
-2,42128E-02
1,35505E-01
-8,20244E-04
-2,24025E-06
2,14073E-08
0,00000E+00
8
135Cs
-1,94093E+00
9,15873E+00
-2,32135E-02
2,57791E-04
1,20089E-06
0,00000E+00
0,00000E+00
13
137Cs
-1,27080E+00
3,85090E+01
-4,06362E-02
7,92677E-05
-1,29384E-07
0,00000E+00
0,00000E+00
2,4
154Eu
2,07745E-02
-6,25551E-03
1,82118E-02
5,06668E-04
-2,05549E-05
2,42737E-07
-1,00791E-09
18
155Eu
1,73619E-01
7,79334E-02
-2,43900E-03
3,72282E-04
-9,77343E-06
1,07032E-07
-4,44055E-10
26
3H
-1,04088E-04
1,40156E-03
1,54886E-05
-1,39550E-07
3,84082E-10
0,00000E+00
0,00000E+00
8
85Kr
9,99568E-02
1,04823E+00
-1,10543E-02
7,22121E-05
-1,99736E-07
0,00000E+00
0,00000E+00
5
237Np
-1,66881E+00
3,26614E+00
5,53743E-01
-1,14807E-02
1,12522E-04
-7,70589E-07
3,04073E-09
23,6
107Pd
-1,15192E+00
1,64646E+00
2,22380E-01
-2,26817E-03
1,51827E-05
-5,90364E-08
0,00000E+00
4
238Pu
-1,97094E-01
6,54447E-02
2,44510E-02
4,64301E-03
-5,69071E-05
-5,73346E-08
2,21445E-09
14,7
239Pu
-4,57102E+00
5,45919E+02
-2,53997E+01
6,93834E-01
-1,14465E-02
1,04392E-04
-3,99681E-07
9,5
240Pu
-5,50455E+01
3,75685E+01
4,55636E+00
-1,88995E-01
3,44838E-03
-3,21668E-05
1,23787E-07
7,6
241Pu
1,88467E+01
-1,77214E+01
5,72977E+00
-2,10728E-01
3,61172E-03
-3,09786E-05
1,07198E-07
13
242Pu
1,29289E+00
-5,00548E-01
-6,46364E-02
4,24389E-02
-1,06028E-03
1,09578E-05
-4,38402E-08
13,5
106Ru
-1,13237E+00
3,13961E+00
2,16964E-01
-6,41183E-03
9,86803E-05
-8,77769E-07
3,35903E-09
23
125Sb
-7,14825E-02
2,12597E-01
4,22471E-03
-1,20490E-04
1,37078E-06
-6,23797E-09
0,00000E+00
39
79Se
-4,53554E-03
1,58491E-01
-4,77401E-04
-7,24316E-07
1,64824E-08
0,00000E+00
0,00000E+00
26
151Sm
2,02454E+00
1,23243E+00
-8,15233E-02
3,30673E-03
-7,14133E-05
7,72722E-07
-3,29377E-09
24
121mSn
-2,09319E-03
4,97002E-03
1,22669E-04
-1,47940E-06
6,57636E-09
0,00000E+00
0,00000E+00
64
126Sn
-1,59722E-01
3,86442E-01
8,08587E-03
-8,17836E-05
3,52202E-07
0,00000E+00
0,00000E+00
7,9
90Sr
1,28465E+00
2,21929E+01
-2,56462E-01
2,67890E-03
-2,19207E-05
9,68423E-08
0,00000E+00
22
99Tc
-5,07653E+00
2,81953E+01
-1,04310E-01
-1,53441E-04
1,73828E-06
0,00000E+00
0,00000E+00
5
125mTe
-9,09021E-04
5,41305E-04
2,24639E-04
-8,01975E-06
1,53285E-07
-1,52630E-09
6,11602E-12
7,8
234U
2,66882E+02
-4,04301E+00
1,86577E-02
-3,34355E-05
4,36199E-07
0,00000E+00
0,00000E+00
18,1
235U
2,98681E+04
-1,13793E+03
1,75082E+01
-1,32774E-01
4,36091E-04
0,00000E+00
0,00000E+00
6,5
236U
1,47618E+02
2,13062E+02
-4,42500E+00
6,53593E-02
-1,00350E-03
1,04714E-05
-4,52471E-08
3,2
238U
9,69450E+05
-6,14566E+02
-5,41728E+00
3,43514E-02
-1,13345E-04
0,00000E+00
0,00000E+00
0,2
93Zr
7,13774E-01
2,56838E+01
-1,74897E-01
1,17738E-03
-3,74178E-06
0,00000E+00
0,00000E+00
1
Примечание. Форма записи числа 1,23E+5 эквивалентна записи 1,23·105.
Таблица N 3
Аппроксимационные коэффициенты зависимости концентрации
241Am, 242mAm, 243Am, 242Cm, 244Cm, 245Cm (y, г/тU)
от глубины выгорания (x, ГВт·сут/тU) отработавшего ядерного
топлива ВВЭР-1000 с начальным обогащением 3% по 235U
Нуклид
Выгорание, ГВт·сут/тU
Аппроксимационные коэффициенты
, %
не менее
не более
241Am
2
18
4,62625E-03
-5,86044E-04
-3,18439E-03
1,64301E-03
1,82873E-04
-1,56009E-05
3,28668E-07
6,5
18
50
1,42146E+01
-2,89638E+00
2,25948E-01
-5,40940E-03
5,91983E-05
-2,88410E-07
4,28213E-10
242mAm
2
18
-1,56513E-03
1,66803E-03
-6,17011E-04
9,39967E-05
-1,89995E-06
-2,42969E-09
0,00000E+00
8
18
50
4,24002E-01
-8,26431E-02
5,90254E-03
-1,42228E-04
1,60837E-06
-8,36041E-09
1,45612E-11
243Am
2
18
-1,47424E-02
1,54313E-02
-5,25058E-03
5,50815E-04
5,14070E-05
7,74259E-06
-2,54026E-07
24,7
18
50
-2,98254E+01
6,16501E+00
-5,25562E-01
2,25250E-02
-3,05469E-04
1,70080E-06
-3,02775E-09
242Cm
2
18
3,35550E-03
-4,42769E-03
2,29816E-03
-6,30708E-04
1,00564E-04
-4,19840E-06
6,70139E-08
21
18
50
-6,19010E-01
2,40875E-01
-3,48646E-02
2,41022E-03
-5,18197E-05
4,70409E-07
-1,57354E-09
244Cm
2
20
-1,22350E-03
1,26793E-03
-4,85052E-04
1,03088E-04
-1,61396E-05
1,96418E-06
-2,33100E-08
24,9
20
50
-7,06129E+00
3,23316E-01
5,85639E-02
-6,07700E-03
2,25190E-04
-2,51041E-06
9,65109E-09
245Cm
8
32
-4,34597E-04
4,41094E-04
-1,58385E-04
2,72046E-05
-2,45477E-06
1,09744E-07
-8,71310E-10
37
32
50
-1,81013E+01
2,27761E+00
-1,14368E-01
2,88379E-03
-3,82613E-05
2,97732E-07
-1,04379E-09
(в ред. Приказа Ростехнадзора от 04.02.2021 N 46)
Таблица N 4
Аппроксимационные коэффициенты зависимости концентрации
144Ce, 134Cs, 135Cs, 137Cs, 154Eu, 155Eu, 3H, 85Kr, 237Np,
107Pd, 238Pu, 239Pu, 240Pu, 241Pu, 242Pu, 106Ru, 125Sb,
79Se, 151Sm, 121mSn, 126Sn, 90Sr, 99Tc, 125mTe, 234U, 235U,
236U, 238U, 93Zr (y, г/тU) от глубины выгорания
(x, ГВт·сут/тU) отработавшего ядерного топлива ВВЭР-1000
с начальным обогащением 3,53% по 235U
Нуклид
Аппроксимационные коэффициенты
, %
144Ce
1,38213E+00
3,45525E+01
-1,11361E+00
2,03695E-02
-2,26723E-04
1,39622E-06
-3,50010E-09
2
134Cs
-3,44248E-01
8,76528E-02
1,10754E-01
1,27532E-04
-2,43666E-05
3,07553E-07
-1,42715E-09
8
135Cs
-1,43991E+00
1,02967E+01
-1,82707E-02
-8,88767E-05
3,49403E-06
0,00000E+00
0,00000E+00
13
137Cs
1,77588E+00
3,77773E+01
6,77622E-03
-9,58560E-04
7,39607E-06
0,00000E+00
0,00000E+00
2,4
154Eu
-4,10819E-02
2,43615E-02
1,24976E-02
6,75064E-04
-2,20160E-05
2,40405E-07
-9,46302E-10
18
155Eu
1,93581E-01
7,25067E-02
-2,06462E-03
3,02223E-04
-7,23496E-06
7,29246E-08
-2,84575E-10
26
3H
-3,60477E-06
1,37085E-03
1,46022E-05
-1,24513E-07
3,91120E-10
0,00000E+00
0,00000E+00
8
85Kr
3,76988E-02
1,07261E+00
-1,04845E-02
6,68965E-05
-2,17284E-07
0,00000E+00
0,00000E+00
5
237Np
-2,23423E+00
3,52076E+00
5,06334E-01
-8,30840E-03
4,71506E-05
-9,02658E-08
0,00000E+00
23,6
107Pd
-3,12583E-01
1,21764E+00
2,23268E-01
-3,52701E-03
5,79754E-05
-6,04582E-07
2,53429E-09
4
238Pu
9,74429E-02
-9,64218E-02
4,70141E-02
2,56682E-03
4,37820E-06
-7,26502E-07
4,75987E-09
14,7
239Pu
-2,75240E+01
5,19507E+02
-2,21816E+01
5,77101E-01
-9,45540E-03
8,75799E-05
-3,42590E-07
9,5
240Pu
-4,18136E+01
2,80718E+01
4,44351E+00
-1,74943E-01
3,23205E-03
-3,14795E-05
1,27329E-07
7,6
241Pu
2,18810E+01
-1,79022E+01
5,01932E+00
-1,67403E-01
2,63444E-03
-2,12282E-05
7,10752E-08
13
242Pu
-6,51696E-01
5,61419E-01
-2,02582E-01
4,01304E-02
-9,23498E-04
9,23499E-06
-3,65316E-08
13,5
106Ru
-6,59939E-01
2,82080E+00
1,96771E-01
-6,15861E-03
1,06657E-04
-1,04558E-06
4,26188E-09
23
125Sb
-6,56397E-02
2,09234E-01
3,31719E-03
-8,91787E-05
9,28436E-07
-3,84102E-09
0,00000E+00
39
79Se
-1,99387E-03
1,57888E-01
-3,48531E-04
-2,26517E-06
2,15765E-08
0,00000E+00
0,00000E+00
26
151Sm
1,79844E+00
1,48921E+00
-1,01271E-01
4,08058E-03
-8,77234E-05
9,46773E-07
-4,03208E-09
24
121mSn
-1,87039E-03
4,80509E-03
1,06529E-04
-1,15681E-06
4,81256E-09
0,00000E+00
0,00000E+00
64
126Sn
-5,15705E-02
3,44361E-01
9,67152E-03
-1,52810E-04
1,57893E-06
-7,03241E-09
0,00000E+00
7,9
90Sr
1,18359E+00
2,23401E+01
-2,18203E-01
1,98093E-03
-1,66677E-05
7,80409E-08
0,00000E+00
22
99Tc
-4,23143E+00
2,79536E+01
-7,35644E-02
-7,87756E-04
6,64881E-06
0,00000E+00
0,00000E+00
5
125mTe
-1,34446E-03
7,82629E-04
1,83346E-04
-6,15379E-06
1,11302E-07
-1,06745E-09
4,20622E-12
7,8
234U
3,14297E+02
-4,37447E+00
1,91253E-02
-7,49038E-05
7,89294E-07
0,00000E+00
0,00000E+00
18,1
235U
3,51387E+04
-1,15227E+03
1,45768E+01
-8,82332E-02
2,45868E-04
0,00000E+00
0,00000E+00
6,5
236U
1,65352E+02
2,22203E+02
-4,15203E+00
6,40287E-02
-1,06902E-03
1,09951E-05
-4,50839E-08
3,2
238U
9,64542E+05
-6,43645E+02
-1,31136E+00
-4,03949E-02
3,30769E-04
0,00000E+00
0,00000E+00
0,2
93Zr
-3,12327E-01
2,60447E+01
-1,63012E-01
1,15997E-03
-5,05030E-06
0,00000E+00
0,00000E+00
1
Таблица N 5
Аппроксимационные коэффициенты зависимости концентрации
241Am, 242mAm, 243Am, 242Cm, 244Cm, 245Cm (y, г/тU)
от глубины выгорания (x, ГВт·сут/тU) отработавшего ядерного
топлива ВВЭР-1000 с начальным обогащением 3,53% по 235U
Нуклид
Выгорание, ГВт·сут/тU
Аппроксимационные коэффициенты
, %
не менее
не более
241Am
2
18
-8,98687E-02
1,04032E-01
-4,45632E-02
9,25097E-03
-6,21070E-04
2,57314E-05
-4,79058E-07
6,5
18
50
6,87390E+00
-1,42121E+00
1,03005E-01
-6,49936E-04
-3,16249E-05
5,60886E-07
-2,71263E-09
242mAm
2
18
-1,24071E-03
1,28746E-03
-4,54609E-04
6,33995E-05
-3,93024E-07
-2,47847E-08
0,00000E+00
8
18
50
3,53765E-01
-6,48160E-02
4,14782E-03
-6,90755E-05
2,01316E-07
4,41014E-09
-3,02082E-11
243Am
2
18
-6,72399E-02
7,49561E-02
-2,99561E-02
5,55080E-03
-4,93807E-04
3,18543E-05
-6,75250E-07
24,7
18
50
-1,87417E+01
4,06754E+00
-3,50713E-01
1,44466E-02
-1,58785E-04
5,61464E-07
1,33554E-10
242Cm
2
18
3,32050E-03
-4,18445E-03
2,03974E-03
-5,18710E-04
7,59201E-05
-2,90673E-06
4,27083E-08
21
18
50
-1,86654E+00
4,35182E-01
-4,45133E-02
2,42667E-03
-4,67438E-05
3,91944E-07
-1,23715E-09
244Cm
6
20
5,02720E-03
-4,91636E-03
1,62920E-03
-2,34009E-04
1,26624E-05
3,71483E-07
0,00000E+00
24,9
20
50
8,78942E+00
-1,82793E+00
1,58154E-01
-7,32538E-03
1,87183E-04
-1,64005E-06
4,83804E-09
(в ред. Приказа Ростехнадзора от 04.02.2021 N 46)
245Cm
8
32
-1,03351E-03
9,20225E-04
-2,75687E-04
3,83465E-05
-2,76464E-06
9,94981E-08
-7,54726E-10
37
32
50
-6,01524E+01
7,85582E+00
-4,20008E-01
1,17620E-02
-1,82786E-04
1,53497E-06
-5,37905E-09
(в ред. Приказа Ростехнадзора от 04.02.2021 N 46)
Таблица N 6
Аппроксимационные коэффициенты зависимости концентрации
144Ce, 134Cs, 135Cs, 137Cs, 154Eu, 155Eu, 3H, 85Kr, 237Np,
107Pd, 238Pu, 239Pu, 240Pu, 241Pu, 242Pu, 106Ru, 125Sb,
79Se, 151Sm, 121mSn, 126Sn, 90Sr, 99Tc, 125mTe, 234U, 235U,
236U, 238U, 93Zr (y, г/тU) от глубины выгорания
(x, ГВт·сут/тU) отработавшего ядерного топлива ВВЭР-1000
с начальным обогащением 3,9% по 235U
Нуклид
Аппроксимационные коэффициенты
, %
144Ce
3,17889E-01
3,52312E+01
-1,17450E+00
2,35287E-02
-3,03796E-04
2,26832E-06
-7,23784E-09
2
134Cs
1,86514E-01
-1,83214E-01
1,44370E-01
-2,11528E-03
3,79363E-05
-4,76500E-07
2,31137E-09
8
135Cs
-1,36967E+00
1,11436E+01
-1,77851E-02
-2,31124E-04
4,25308E-06
0,00000E+00
0,00000E+00
13
137Cs
3,91129E-01
3,82213E+01
-2,63788E-02
-7,83390E-05
1,95985E-07
0,00000E+00
0,00000E+00
2,4
154Eu
-2,83017E-02
1,90258E-02
1,23074E-02
6,02459E-04
-1,86686E-05
1,91446E-07
-7,07118E-10
18
155Eu
1,90213E-01
7,80148E-02
-3,06346E-03
3,31077E-04
-7,65805E-06
7,69076E-08
-3,02490E-10
26
3H
-4,40756E-05
1,37839E-03
1,26172E-05
-8,54741E-08
1,64653E-10
0,00000E+00
0,00000E+00
8
85Kr
4,80807E-02
1,07303E+00
-9,48415E-03
5,30003E-05
-1,64752E-07
0,00000E+00
0,00000E+00
5
237Np
-2,93279E+00
3,78621E+00
4,72594E-01
-6,72063E-03
2,66338E-05
0,00000E+00
0,00000E+00
23,6
107Pd
-7,61999E-01
1,41030E+00
1,70278E-01
-1,46430E-03
1,14912E-05
-5,68524E-08
0,00000E+00
4
238Pu
2,10606E-01
-1,56736E-01
5,46544E-02
1,76204E-03
2,51654E-05
-8,95507E-07
5,14481E-09
14,7
239Pu
-3,39503E+01
5,00243E+02
-1,98113E+01
4,80300E-01
-7,43784E-03
6,58581E-05
-2,48035E-07
9,5
240Pu
-3,93093E+01
2,55310E+01
3,99076E+00
-1,46234E-01
2,56157E-03
-2,41419E-05
9,59243E-08
7,6
241Pu
2,24459E+01
-1,72380E+01
4,51755E+00
-1,38504E-01
1,97340E-03
-1,41593E-05
4,13956E-08
13
242Pu
1,71802E+00
-6,47850E-01
-1,80924E-02
2,42236E-02
-4,71317E-04
3,70570E-06
-1,12562E-08
13,5
106Ru
-8,38116E-01
2,89480E+00
1,49650E-01
-3,90403E-03
5,14976E-05
-3,62562E-07
9,86626E-10
23
125Sb
-5,87492E-02
2,06286E-01
2,96535E-03
-8,05257E-05
8,48841E-07
-3,52974E-09
0,00000E+00
39
79Se
-1,99171E-03
1,57816E-01
-2,97599E-04
-2,46957E-06
1,94659E-08
0,00000E+00
0,00000E+00
26
151Sm
1,59514E+00
1,67171E+00
-1,14259E-01
4,54572E-03
-9,64735E-05
1,02788E-06
-4,32167E-09
24
121mSn
-1,36161E-03
4,62852E-03
1,01781E-04
-1,08363E-06
4,62799E-09
0,00000E+00
0,00000E+00
64
126Sn
-1,15521E-01
3,64388E-01
6,71845E-03
-5,97111E-05
2,56776E-07
0,00000E+00
0,00000E+00
7,9
90Sr
1,05261E+00
2,24360E+01
-1,99541E-01
1,71007E-03
-1,46777E-05
6,74279E-08
0,00000E+00
22
99Tc
-3,64010E+00
2,78383E+01
-6,23672E-02
-8,48330E-04
6,26932E-06
0,00000E+00
0,00000E+00
5
125mTe
-1,46599E-03
8,55372E-04
1,68854E-04
-5,57505E-06
9,88288E-08
-9,29896E-10
3,61577E-12
7,8
234U
3,46474E+02
-4,40774E+00
9,35429E-03
1,06699E-04
-3,85006E-07
0,00000E+00
0,00000E+00
18,1
235U
3,88438E+04
-1,16560E+03
1,32137E+01
-7,19197E-02
1,99694E-04
0,00000E+00
0,00000E+00
6,5
236U
1,85067E+02
2,24526E+02
-3,61990E+00
4,50848E-02
-6,50583E-04
5,86729E-06
-2,05484E-08
3,2
238U
9,60088E+05
-4,99662E+02
-6,97757E+00
8,19599E-02
-5,92366E-04
0,00000E+00
0,00000E+00
0,2
93Zr
-1,04207E+00
2,63011E+01
-1,60204E-01
1,24634E-03
-6,39148E-06
0,00000E+00
0,00000E+00
1
Таблица N 7
Аппроксимационные коэффициенты зависимости концентрации
241Am, 242mAm, 243Am, 242Cm, 244Cm, 245Cm (y, г/тU)
от глубины выгорания (x, ГВт·сут/тU) отработавшего ядерного
топлива ВВЭР-1000 с начальным обогащением 3,9% по 235U
Нуклид
Выгорание, ГВт·сут/тU
Аппроксимационные коэффициенты
, %
не менее
не более
241Am
2
18
-3,11550E-02
3,48643E-02
-1,44078E-02
2,88058E-03
1,93249E-05
-6,40745E-06
1,58854E-07
6,5
18
50
1,15962E+01
-2,19540E+00
1,51082E-01
-2,39095E-03
6,52948E-06
1,29449E-07
-8,18643E-10
242mAm
2
18
-1,19800E-03
1,21007E-03
-4,09975E-04
5,37583E-05
-7,47463E-08
-2,51540E-08
0,00000E+00
8
18
50
3,05481E-01
-5,33602E-02
3,10681E-03
-2,96224E-05
-4,70644E-07
9,65414E-09
-4,54469E-11
243Am
4
18
1,69666E-02
-1,96797E-02
8,52710E-03
-1,86423E-03
2,27860E-04
-5,01366E-06
4,85786E-08
24,7
18
50
-3,28348E+00
7,90752E-01
-7,70895E-02
3,03715E-03
6,16656E-05
-1,47847E-06
7,55828E-09
(в ред. Приказа Ростехнадзора от 04.02.2021 N 46)
242Cm
2
18
1,18459E-03
-1,46064E-03
7,25616E-04
-2,05365E-04
3,57665E-05
-8,27911E-07
2,36871E-09
21
18
50
-2,63359E+00
5,57539E-01
-5,04655E-02
2,43411E-03
-4,35307E-05
3,39626E-07
-9,83439E-10
244Cm
6
20
3,30119E-03
-3,51149E-03
1,30701E-03
-2,18095E-04
1,56652E-05
-1,04163E-07
9,19416E-09
24,9
20
50
5,23030E+01
-9,13313E+00
6,47722E-01
-2,39905E-02
4,88385E-04
-4,52929E-06
1,63644E-08
(в ред. Приказа Ростехнадзора от 04.02.2021 N 46)
245Cm
8
32
-4,46377E-04
4,25006E-04
-1,39005E-04
2,11980E-05
-1,65713E-06
6,26195E-08
-4,04558E-10
37
32
50
2,50201E+01
-3,49934E+00
2,02072E-01
-6,15443E-03
1,03313E-04
-8,74371E-07
2,98789E-09
(в ред. Приказа Ростехнадзора от 04.02.2021 N 46)
Таблица N 8
Аппроксимационные коэффициенты зависимости концентрации
144Ce, 134Cs, 135Cs, 137Cs, 154Eu, 155Eu, 3H, 85Kr, 237Np,
107Pd, 238Pu, 239Pu, 240Pu, 241Pu, 242Pu, 106Ru, 125Sb,
79Se, 151Sm, 121mSn, 126Sn, 90Sr, 99Tc, 125mTe, 234U, 235U,
236U, 238U, 93Zr (y, г/тU) от глубины выгорания
(x, ГВт·сут/тU) отработавшего ядерного топлива ВВЭР-1000
с начальным обогащением 4,3% по 235U
Нуклид
Аппроксимационные коэффициенты
, %
144Ce
1,45050E-01
3,53301E+01
-1,16689E+00
2,35158E-02
-3,13537E-04
2,49322E-06
-8,75163E-09
2
134Cs
5,23576E-02
-1,05503E-01
1,27412E-01
-1,30097E-03
1,39465E-05
-1,27245E-07
4,43715E-10
8
135Cs
-1,13346E+00
1,19792E+01
-1,34445E-02
-4,35589E-04
5,40530E-06
0,00000E+00
0,00000E+00
13
137Cs
-5,65023E-01
3,85768E+01
-5,44851E-02
6,70063E-04
-5,82213E-06
0,00000E+00
0,00000E+00
2,4
154Eu
-1,65552E-02
1,13894E-02
1,29403E-02
4,67322E-04
-1,34098E-05
1,15860E-07
-3,27117E-10
18
155Eu
1,93211E-01
7,94752E-02
-3,34279E-03
3,17043E-04
-6,91239E-06
6,56236E-08
-2,42991E-10
26
3H
-3,55394E-05
1,38049E-03
1,08449E-05
-5,10263E-08
-3,50092E-11
0,00000E+00
0,00000E+00
8
85Kr
6,15758E-02
1,07310E+00
-8,62855E-03
4,30059E-05
-1,34830E-07
0,00000E+00
0,00000E+00
5
237Np
-2,12238E+00
3,52240E+00
4,89907E-01
-7,08515E-03
3,64840E-05
-7,44528E-08
0,00000E+00
23,6
107Pd
-2,88080E-01
1,17989E+00
1,73125E-01
-2,13599E-03
2,85308E-05
-2,22359E-07
5,78349E-10
4
238Pu
-1,62276E-01
4,77951E-02
2,15097E-02
3,59657E-03
-3,36028E-05
2,16619E-08
5,62091E-11
14,7
239Pu
-4,05580E+01
4,84139E+02
-1,81444E+01
4,30189E-01
-6,74680E-03
6,13289E-05
-2,36892E-07
9,5
240Pu
-3,54789E+01
2,26563E+01
3,66270E+00
-1,26666E-01
2,12914E-03
-1,94025E-05
7,46042E-08
7,6
241Pu
2,10671E+01
-1,58747E+01
4,00464E+00
-1,13004E-01
1,47976E-03
-9,93350E-06
2,82677E-08
13
242Pu
1,14025E+00
-3,64280E-01
-4,43884E-02
2,13700E-02
-3,83448E-04
2,75756E-06
-7,30784E-09
13,5
106Ru
-5,28961E-01
2,69899E+00
1,48352E-01
-4,46479E-03
7,57031E-05
-7,18867E-07
2,81559E-09
23
125Sb
-5,61410E-02
2,05174E-01
2,52229E-03
-6,94229E-05
7,46083E-07
-3,23789E-09
0,00000E+00
39
79Se
-6,44029E-04
1,57466E-01
-2,36764E-04
-2,99512E-06
2,10148E-08
0,00000E+00
0,00000E+00
26
151Sm
1,39230E+00
1,84889E+00
-1,26363E-01
4,99373E-03
-1,05694E-04
1,12625E-06
-4,74674E-09
24
121mSn
-2,67337E-04
4,17876E-03
1,32401E-04
-2,65292E-06
3,89895E-08
-3,35603E-10
1,19991E-12
64
126Sn
-2,67270E-02
3,32853E-01
8,40595E-03
-1,29102E-04
1,38098E-06
-6,33796E-09
0,00000E+00
7,9
90Sr
6,09107E-01
2,26231E+01
-1,93099E-01
1,93480E-03
-2,12736E-05
1,11702E-07
0,00000E+00
22
99Tc
-4,54950E+00
2,81222E+01
-7,89510E-02
-2,77186E-04
1,40294E-06
0,00000E+00
0,00000E+00
5
125mTe
-1,15311E-03
7,17081E-04
1,83839E-04
-6,63750E-06
1,28867E-07
-1,30135E-09
5,29248E-12
7,8
234U
3,82584E+02
-4,71769E+00
1,46082E-02
-4,80144E-06
2,95304E-07
0,00000E+00
0,00000E+00
18,1
235U
4,28812E+04
-1,18925E+03
1,27676E+01
-7,65584E-02
2,92072E-04
0,00000E+00
0,00000E+00
6,5
236U
2,00554E+02
2,30257E+02
-3,58825E+00
5,38659E-02
-9,69228E-04
1,02341E-05
-4,28972E-08
3,2
238U
9,56116E+05
-4,98350E+02
-5,23780E+00
3,84812E-02
-1,99532E-04
0,00000E+00
0,00000E+00
0,2
93Zr
2,56350E-01
2,59915E+01
-1,25114E-01
6,84276E-04
-3,54776E-06
0,00000E+00
0,00000E+00
1
Таблица N 9
Аппроксимационные коэффициенты зависимости концентрации
241Am, 242mAm, 243Am, 242Cm, 244Cm, 245Cm (y, г/тU)
от глубины выгорания (x, ГВт·сут/тU) отработавшего ядерного
топлива ВВЭР-1000 с начальным обогащением 4,3% по 235U
Нуклид
Выгорание, ГВт·сут/тU
Аппроксимационные коэффициенты
, %
не менее
не более
241Am
2
18
-3,08937E-02
3,43195E-02
-1,39517E-02
2,70495E-03
4,80101E-06
-4,71329E-06
1,19900E-07
6,5
18
56
7,25677E+00
-1,33979E+00
8,46487E-02
-1,04408E-04
-3,08718E-05
4,20370E-07
-1,68369E-09
242mAm
2
18
-8,41265E-04
8,44431E-04
-2,80122E-04
3,37596E-05
8,44550E-07
-3,90811E-08
0,00000E+00
8
18
56
2,31796E-01
-3,77702E-02
1,82197E-03
1,64735E-05
-1,24308E-06
1,58394E-08
-6,49393E-11
243Am
2
18
-1,43925E-02
1,56555E-02
-5,95296E-03
9,88077E-04
-6,59906E-05
8,06571E-06
-1,84896E-07
24,7
18
56
-4,66634E+01
8,21209E+00
-5,74956E-01
1,98259E-02
-2,62462E-04
1,75405E-06
-5,14314E-09
242Cm
4
18
1,59942E-03
-1,80374E-03
7,84058E-04
-1,90644E-04
2,94945E-05
-5,56053E-07
-1,57769E-09
21
18
56
4,96299E-01
-1,75486E-02
-7,44644E-03
7,32814E-04
-8,91270E-06
-4,44349E-09
3,51492E-10
(в ред. Приказа Ростехнадзора от 04.02.2021 N 46)
244Cm
2
20
-1,02244E-03
1,16302E-03
-4,89795E-04
1,03990E-04
-1,28957E-05
1,01891E-06
-1,13337E-08
24,9
20
56
-2,28258E+00
2,44109E-01
-4,13823E-04
-8,62627E-04
3,76371E-05
-1,09566E-07
-7,85560E-10
245Cm
8
32
-4,72506E-04
4,39639E-04
-1,38788E-04
2,02094E-05
-1,49433E-06
5,30257E-08
-3,35513E-10
37
32
56
3,82157E+01
-5,14685E+00
2,85525E-01
-8,33849E-03
1,34360E-04
-1,10692E-06
3,71071E-09
(в ред. Приказа Ростехнадзора от 04.02.2021 N 46)
Таблица N 10
Аппроксимационные коэффициенты зависимости концентрации
144Ce, 134Cs, 135Cs, 137Cs, 154Eu, 155Eu, 3H, 85Kr, 237Np,
107Pd, 238Pu, 239Pu, 240Pu, 241Pu, 242Pu, 106Ru, 125Sb,
79Se, 151Sm, 121mSn, 126Sn, 90Sr, 99Tc, 125mTe, 234U, 235U,
236U, 238U, 93Zr (y, г/тU) от глубины выгорания
(x, ГВт·сут/тU) отработавшего ядерного топлива ВВЭР-1000
с начальным обогащением 4,67% по 235U
Нуклид
Аппроксимационные коэффициенты
, %
144Ce
7,24799E-01
3,51767E+01
-1,13848E+00
2,24535E-02
-2,94273E-04
2,31988E-06
-8,14579E-09
2
134Cs
-6,22518E-02
-3,84858E-02
1,12897E-01
-5,94267E-04
-6,20186E-06
1,48155E-07
-9,33622E-10
8
135Cs
-9,23511E-01
1,27162E+01
-9,18865E-03
-5,87358E-04
6,07030E-06
0,00000E+00
0,00000E+00
13
137Cs
-1,73603E-01
3,84352E+01
-4,13184E-02
3,59723E-04
-3,60579E-06
0,00000E+00
0,00000E+00
2,4
154Eu
-4,27131E-02
2,56347E-02
1,02294E-02
5,65856E-04
-1,53729E-05
1,40257E-07
-4,57676E-10
18
155Eu
1,90155E-01
8,46136E-02
-4,21503E-03
3,54707E-04
-8,07470E-06
8,50643E-08
-3,62135E-10
26
3H
-1,09631E-05
1,37106E-03
1,04745E-05
-5,38796E-08
6,58927E-11
0,00000E+00
0,00000E+00
8
85Kr
3,33405E-02
1,08368E+00
-8,48170E-03
4,49761E-05
-1,66399E-07
0,00000E+00
0,00000E+00
5
237Np
-1,85540E+00
3,42169E+00
4,97505E-01
-7,28836E-03
4,41652E-05
-1,34824E-07
0,00000E+00
23,6
107Pd
-1,03763E-01
1,06308E+00
1,71310E-01
-2,69215E-03
4,87083E-05
-5,09963E-07
2,09571E-09
4
238Pu
1,39161E-01
-1,09989E-01
4,34748E-02
2,05845E-03
6,32154E-06
-4,26892E-07
2,04942E-09
14,7
239Pu
-4,69827E+01
4,68968E+02
-1,65090E+01
3,72785E-01
-5,71023E-03
5,16029E-05
-2,00070E-07
9,5
240Pu
-2,64205E+01
1,73230E+01
3,83822E+00
-1,35805E-01
2,42669E-03
-2,34792E-05
9,44080E-08
7,6
241Pu
2,15254E+01
-1,55395E+01
3,70846E+00
-9,93614E-02
1,23698E-03
-7,84985E-06
2,05955E-08
13
242Pu
-1,41798E-02
2,31147E-01
-1,21525E-01
2,29931E-02
-4,37331E-04
3,77572E-06
-1,35910E-08
13,5
106Ru
-3,13563E-01
2,60134E+00
1,36589E-01
-4,12380E-03
6,95686E-05
-6,46353E-07
2,46468E-09
23
125Sb
-4,81438E-02
2,01572E-01
2,44319E-03
-7,11044E-05
8,28475E-07
-3,92110E-09
0,00000E+00
39
79Se
-2,60943E-03
1,58558E-01
-2,83985E-04
-1,15035E-06
5,40398E-09
0,00000E+00
0,00000E+00
26
151Sm
1,23279E+00
1,98246E+00
-1,33468E-01
5,19641E-03
-1,08897E-04
1,15205E-06
-4,82804E-09
24
121mSn
-1,02609E-03
4,46806E-03
8,78660E-05
-8,76514E-07
3,76763E-09
0,00000E+00
0,00000E+00
64
126Sn
-4,19498E-02
3,36454E-01
7,31738E-03
-1,04044E-04
1,12963E-06
-5,45718E-09
0,00000E+00
7,9
90Sr
2,22686E-01
2,28661E+01
-1,96335E-01
2,35066E-03
-2,88511E-05
1,53785E-07
0,00000E+00
22
99Tc
-4,45116E+00
2,81763E+01
-8,12574E-02
-5,49433E-05
-8,48546E-07
0,00000E+00
0,00000E+00
5
125mTe
-1,24474E-03
7,81696E-04
1,69664E-04
-5,84767E-06
1,04626E-07
-9,45440E-10
3,35720E-12
7,8
234U
4,15649E+02
-4,98216E+00
1,81447E-02
-6,72287E-05
6,26074E-07
0,00000E+00
0,00000E+00
18,1
235U
4,65917E+04
-1,19365E+03
1,14597E+01
-6,06959E-02
2,27505E-04
0,00000E+00
0,00000E+00
6,5
236U
2,16947E+02
2,32912E+02
-3,17145E+00
3,57446E-02
-4,81093E-04
3,61327E-06
-9,05811E-09
3,2
238U
9,53123E+05
-6,15527E+02
2,28746E+00
-1,06460E-01
7,39499E-04
0,00000E+00
0,00000E+00
0,2
93Zr
-2,41353E-01
2,62171E+01
-1,25218E-01
7,44641E-04
-3,59030E-06
0,00000E+00
0,00000E+00
1
Таблица N 11
Аппроксимационные коэффициенты зависимости концентрации
241Am, 242mAm, 243Am, 242Cm, 244Cm, 245Cm (y, г/тU)
от глубины выгорания (x, ГВт·сут/тU) отработавшего ядерного
топлива ВВЭР-1000 с начальным обогащением 4,67% по 235U
Нуклид
Выгорание, ГВт·сут/тU
Аппроксимационные коэффициенты
, %
не менее
не более
241Am
2
18
-3,14788E-02
3,54585E-02
-1,47906E-02
2,97985E-03
-5,56859E-05
2,46194E-08
0,00000E+00
6,5
18
68
1,37049E+01
-2,36381E+00
1,47762E-01
-2,16231E-03
9,43972E-06
5,47845E-09
0,00000E+00
242mAm
2
18
-7,09965E-04
7,00754E-04
-2,25053E-04
2,49272E-05
1,12525E-06
-4,03211E-08
0,00000E+00
8
18
68
1,62820E-01
-2,41253E-02
7,77357E-04
5,07866E-05
-1,75423E-06
1,93311E-08
-7,37939E-11
243Am
4
18
9,02297E-03
-1,01366E-02
4,26135E-03
-9,17380E-04
1,11956E-04
-1,32130E-06
0,00000E+00
24,7
18
68
-1,84681E+01
3,36799E+00
-2,44651E-01
8,45689E-03
-7,10487E-05
1,75292E-07
0,00000E+00
(в ред. Приказа Ростехнадзора от 04.02.2021 N 46)
242Cm
2
18
-9,40853E-04
6,62245E-04
-1,61337E-05
-7,56850E-05
2,10169E-05
-4,02018E-07
0,00000E+00
21
18
68
-9,89046E-01
2,48425E-01
-2,60673E-02
1,37239E-03
-2,16964E-05
1,36475E-07
-2,86560E-10
244Cm
6
20
2,05635E-03
-1,95218E-03
6,14205E-04
-8,00722E-05
3,11557E-06
2,61912E-07
0,00000E+00
24,9
20
68
7,54452E+00
-1,35891E+00
1,01059E-01
-3,99530E-03
8,58683E-05
-5,34441E-07
8,44809E-10
(в ред. Приказа Ростехнадзора от 04.02.2021 N 46)
245Cm
8
32
-3,62150E-04
3,29019E-04
-1,01065E-04
1,43563E-05
-1,03928E-06
3,58884E-08
-1,67963E-10
37
32
68
8,72777E+00
-1,18117E+00
6,58520E-02
-1,92222E-03
3,02254E-05
-2,21473E-07
6,27813E-10
(в ред. Приказа Ростехнадзора от 04.02.2021 N 46)
Таблица N 12
Аппроксимационные коэффициенты зависимости концентрации
144Ce, 134Cs, 135Cs, 137Cs, 154Eu, 155Eu, 3H, 85Kr, 237Np,
107Pd, 238Pu, 239Pu, 240Pu, 241Pu, 242Pu, 106Ru, 125Sb,
79Se, 151Sm, 121mSn, 126Sn, 90Sr, 99Tc, 125mTe, 234U, 235U,
236U, 238U, 93Zr (y, г/тU) от глубины выгорания
(x, ГВт·сут/тU) отработавшего ядерного топлива ВВЭР-1000
с начальным обогащением 4,81% по 235U
Нуклид
Аппроксимационные коэффициенты
, %
144Ce
7,27635E-01
3,51805E+01
-1,13318E+00
2,22463E-02
-2,90440E-04
2,28495E-06
-8,02529E-09
2
134Cs
5,26558E-02
-1,01798E-01
1,21736E-01
-1,26785E-03
1,48779E-05
-1,50151E-07
6,36009E-10
8
135Cs
-1,10262E+00
1,30684E+01
-1,21664E-02
-5,44133E-04
5,62429E-06
0,00000E+00
0,00000E+00
13
137Cs
-3,29987E-01
3,84836E+01
-4,39658E-02
4,10889E-04
-3,93337E-06
0,00000E+00
0,00000E+00
2,4
154Eu
-3,60269E-02
2,09580E-02
1,09510E-02
4,87700E-04
-1,27041E-05
1,03662E-07
-2,78718E-10
18
155Eu
1,86377E-01
8,77240E-02
-4,68849E-03
3,74510E-04
-8,55790E-06
9,14210E-08
-3,95082E-10
26
3H
-1,71350E-04
1,41898E-03
6,62998E-06
3,80582E-08
-6,44437E-10
0,00000E+00
0,00000E+00
8
85Kr
5,71023E-02
1,07617E+00
-7,78602E-03
3,24738E-05
-8,77198E-08
0,00000E+00
0,00000E+00
5
237Np
-1,68700E+00
3,35211E+00
5,04918E-01
-7,65565E-03
5,36565E-05
-2,06631E-07
0,00000E+00
23,6
107Pd
-3,60780E-01
1,19619E+00
1,45136E-01
-1,35066E-03
1,31526E-05
-6,48761E-08
5,68089E-12
4
238Pu
5,21606E-01
-3,07212E-01
7,17170E-02
2,98529E-04
5,43930E-05
-1,03474E-06
5,02024E-09
14,7
239Pu
-4,46840E+01
4,63434E+02
-1,59508E+01
3,53678E-01
-5,35113E-03
4,78459E-05
-1,83422E-07
9,5
240Pu
-2,44465E+01
1,59685E+01
3,85376E+00
-1,38322E-01
2,55463E-03
-2,55946E-05
1,05948E-07
7,6
241Pu
2,14374E+01
-1,53263E+01
3,60742E+00
-9,58130E-02
1,21575E-03
-8,32544E-06
2,55396E-08
13
242Pu
-1,60758E-01
2,86757E-01
-1,22915E-01
2,19352E-02
-4,07933E-04
3,47060E-06
-1,24795E-08
13,5
106Ru
-1,94977E-01
2,50635E+00
1,44173E-01
-4,82351E-03
9,26097E-05
-9,68557E-07
4,10456E-09
23
125Sb
-5,19198E-02
2,03344E-01
2,08908E-03
-5,76769E-05
6,04845E-07
-2,58068E-09
0,00000E+00
39
79Se
-5,35245E-04
1,57803E-01
-2,19004E-04
-2,43609E-06
1,45706E-08
0,00000E+00
0,00000E+00
26
151Sm
1,19248E+00
2,02251E+00
-1,34949E-01
5,19803E-03
-1,07762E-04
1,12811E-06
-4,68120E-09
24
121mSn
-9,59413E-04
4,42955E-03
8,67731E-05
-8,67688E-07
3,76417E-09
0,00000E+00
0,00000E+00
64
126Sn
-1,42924E-02
3,26368E-01
7,96933E-03
-1,28812E-04
1,49386E-06
-7,33328E-09
0,00000E+00
7,9
90Sr
1,16104E+00
2,24583E+01
-1,42830E-01
2,11587E-04
8,48706E-06
-7,88146E-08
0,00000E+00
22
99Tc
-4,74120E+00
2,81841E+01
-7,39783E-02
-3,48331E-04
2,35755E-06
0,00000E+00
0,00000E+00
5
125mTe
-1,00618E-03
6,65573E-04
1,85673E-04
-6,89804E-06
1,35778E-07
-1,37078E-09
5,53117E-12
7,8
234U
4,27735E+02
-5,00441E+00
1,71882E-02
-7,02800E-05
7,31990E-07
0,00000E+00
0,00000E+00
18,1
235U
4,80261E+04
-1,19994E+03
1,12488E+01
-5,98968E-02
2,33685E-04
0,00000E+00
0,00000E+00
6,5
236U
2,25082E+02
2,32453E+02
-2,90760E+00
2,61089E-02
-2,90168E-04
1,75935E-06
-2,41102E-09
3,2
238U
9,50980E+05
-4,63186E+02
-5,95172E+00
7,34037E-02
-5,58019E-04
0,00000E+00
0,00000E+00
0,2
93Zr
5,84031E-02
2,60783E+01
-1,07603E-01
3,17892E-04
-1,96864E-07
0,00000E+00
0,00000E+00
1
Таблица N 13
Аппроксимационные коэффициенты зависимости концентрации
241Am, 242mAm, 243Am, 242Cm, 244Cm, 245Cm (y, г/тU)
от глубины выгорания (x, ГВт·сут/тU) отработавшего ядерного
топлива ВВЭР-1000 с начальным обогащением 4,81% по 235U
Нуклид
Выгорание, ГВт·сут/тU
Аппроксимационные коэффициенты
, %
не менее
не более
241Am
2
18
-3,19835E-02
3,56618E-02
-1,46547E-02
2,89968E-03
-5,34974E-05
3,55168E-08
0,00000E+00
6,5
18
68
1,30693E+01
-2,23890E+00
1,38182E-01
-1,88184E-03
6,19701E-06
1,84807E-08
0,00000E+00
242mAm
2
18
-6,86428E-04
6,72023E-04
-2,12897E-04
2,29066E-05
1,15583E-06
-3,93007E-08
0,00000E+00
8
18
68
1,82932E-01
-2,71385E-02
9,61573E-04
4,29171E-05
-1,54881E-06
1,67981E-08
-6,23329E-11
243Am
4
18
7,41015E-03
-8,57004E-03
3,72410E-03
-8,24054E-04
1,02022E-04
-1,15727E-06
0,00000E+00
24,7
18
68
-1,82757E+01
3,29408E+00
-2,35934E-01
8,02072E-03
-6,57676E-05
1,57084E-07
0,00000E+00
(в ред. Приказа Ростехнадзора от 04.02.2021 N 46)
242Cm
2
18
-8,45907E-04
5,65639E-04
1,29128E-05
-7,68099E-05
2,01652E-05
-3,80216E-07
0,00000E+00
21
18
68
-1,19176E+00
2,77910E-01
-2,74526E-02
1,38334E-03
-2,16083E-05
1,36730E-07
-2,99067E-10
244Cm
6
20
1,67614E-03
-1,59980E-03
5,05742E-04
-6,56300E-05
2,34070E-06
2,53990E-07
0,00000E+00
24,9
20
68
3,60995E+00
-7,02571E-01
5,68136E-02
-2,44255E-03
5,58307E-05
-2,60725E-07
-1,01468E-10
(в ред. Приказа Ростехнадзора от 04.02.2021 N 46)
245Cm
8
32
-3,11691E-04
2,84037E-04
-8,75888E-05
1,24900E-05
-9,06325E-07
3,11821E-08
-1,27317E-10
37
32
68
7,37184E+00
-1,00562E+00
5,64406E-02
-1,65445E-03
2,59930E-05
-1,87873E-07
5,23474E-10
(в ред. Приказа Ростехнадзора от 04.02.2021 N 46)
Таблица N 14
Аппроксимационные коэффициенты зависимости концентрации
144Ce, 134Cs, 135Cs, 137Cs, 154Eu, 155Eu, 3H, 85Kr, 237Np,
107Pd, 238Pu, 239Pu, 240Pu, 241Pu, 242Pu, 106Ru, 125Sb,
79Se, 151Sm, 121mSn, 126Sn, 90Sr, 99Tc, 125mTe, 234U, 235U,
236U, 238U, 93Zr (y, г/тU) от глубины выгорания
(x, ГВт·сут/тU) отработавшего ядерного топлива ВВЭР-1000
с начальным обогащением 4,95% по 235U
Нуклид
Аппроксимационные коэффициенты
, %
144Ce
6,77729E-01
3,52153E+01
-1,13181E+00
2,22140E-02
-2,90176E-04
2,28398E-06
-8,02537E-09
2
134Cs
1,60473E-02
-7,64271E-02
1,16937E-01
-1,05505E-03
6,90636E-06
-2,21274E-08
-8,17675E-11
8
135Cs
-5,92177E-01
1,37096E+01
6,24026E-04
-1,03213E-03
1,27110E-05
-4,08347E-08
0,00000E+00
13
137Cs
-3,92860E-01
3,83913E+01
-3,36680E-02
0,00000E+00
0,00000E+00
0,00000E+00
0,00000E+00
2,4
154Eu
4,00960E-02
-1,25891E-02
1,48932E-02
2,66181E-04
-7,10802E-06
3,92158E-08
0,00000E+00
18
155Eu
2,06341E-01
7,83384E-02
-3,31114E-03
2,81325E-04
-5,75785E-06
5,25339E-08
-1,91445E-10
26
3H
-1,42473E-05
1,37007E-03
9,61912E-06
-3,82932E-08
-2,62055E-11
-9,17980E-14
0,00000E+00
8
85Kr
6,97798E-03
1,09313E+00
-9,08620E-03
7,73844E-05
-7,66507E-07
3,67576E-09
0,00000E+00
5
237Np
-2,14010E+00
3,57358E+00
4,83802E-01
-6,77040E-03
3,93306E-05
-1,18962E-07
0,00000E+00
23,6
107Pd
-4,21727E-01
1,21345E+00
1,38614E-01
-1,24245E-03
1,21810E-05
-6,03254E-08
0,00000E+00
4
238Pu
1,50384E-01
-1,15015E-01
4,41497E-02
1,86153E-03
1,06566E-05
-4,46330E-07
2,06981E-09
14,7
239Pu
-4,22043E+01
4,57955E+02
-1,53879E+01
3,32513E-01
-4,89527E-03
4,24540E-05
-1,57323E-07
9,5
240Pu
-2,76011E+01
1,73331E+01
3,49570E+00
-1,18832E-01
2,06806E-03
-1,97103E-05
7,83585E-08
7,6
241Pu
1,94645E+01
-1,40525E+01
3,33931E+00
-8,12410E-02
8,55031E-04
-4,00673E-06
5,46166E-09
13
242Pu
-2,79764E-03
1,96331E-01
-1,05779E-01
1,99979E-02
-3,57025E-04
2,88409E-06
-9,80884E-09
13,5
106Ru
-3,61478E-01
2,60476E+00
1,17878E-01
-3,57302E-03
5,83554E-05
-5,11827E-07
1,82152E-09
23
125Sb
-4,28371E-02
2,00433E-01
2,14023E-03
-6,42874E-05
7,17760E-07
-3,14050E-09
0,00000E+00
39
79Se
5,01327E-04
1,57228E-01
-1,55610E-04
-4,94466E-06
7,55404E-08
-7,27589E-10
3,28160E-12
26
151Sm
1,21174E+00
2,03614E+00
-1,32560E-01
4,98450E-03
-1,01088E-04
1,03579E-06
-4,20653E-09
24
121mSn
-1,76404E-04
4,12751E-03
1,14975E-04
-2,18411E-06
3,12350E-08
-2,59733E-10
8,92761E-13
64
126Sn
-8,57374E-03
3,23315E-01
8,15668E-03
-1,53492E-04
2,39406E-06
-2,12727E-08
7,87890E-11
7,9
90Sr
3,75470E-01
2,27842E+01
-1,75011E-01
1,69014E-03
-1,83205E-05
9,00597E-08
0,00000E+00
22
99Tc
-4,63589E+00
2,82262E+01
-8,05410E-02
-1,30524E-05
-1,92365E-06
1,14883E-08
0,00000E+00
5
125mTe
-2,42410E-03
1,35566E-03
1,03892E-04
-2,79257E-06
3,36620E-08
-1,55725E-10
0,00000E+00
7,8
234U
4,40616E+02
-5,16253E+00
2,34470E-02
-3,07109E-04
5,67033E-06
-5,14830E-08
2,04009E-10
18,1
235U
4,94552E+04
-1,22190E+03
1,27540E+01
-1,25018E-01
1,30758E-03
-6,16260E-06
0,00000E+00
6,5
236U
2,33856E+02
2,33448E+02
-2,82289E+00
2,39010E-02
-2,42426E-04
1,19482E-06
0,00000E+00
3,2
238U
9,49830E+05
-5,18114E+02
-2,89616E+00
2,54123E-02
-5,42836E-04
3,36439E-06
0,00000E+00
0,2
93Zr
-3,17284E-01
2,62449E+01
-1,23035E-01
1,05834E-03
-1,20922E-05
6,08448E-08
0,00000E+00
1
Таблица N 15
Аппроксимационные коэффициенты зависимости концентрации
241Am, 242mAm, 243Am, 242Cm, 244Cm, 245Cm (y, г/тU)
от глубины выгорания (x, ГВт·сут/тU) отработавшего ядерного
топлива ВВЭР-1000 с начальным обогащением 4,95% по 235U
Нуклид
Выгорание, ГВт·сут/тU
Аппроксимационные коэффициенты
, %
не менее
не более
241Am
2
18
-3,07842E-02
3,42739E-02
-1,40357E-02
2,75937E-03
-4,76846E-05
-3,57572E-08
0,00000E+00
6,5
18
70
1,22485E+01
-2,09122E+00
1,27697E-01
-1,58744E-03
2,87149E-06
3,16372E-08
0,00000E+00
242mAm
2
18
-5,80595E-04
5,65208E-04
-1,76200E-04
1,75644E-05
1,39379E-06
-4,30567E-08
0,00000E+00
8
18
70
1,36686E-01
-1,88996E-02
3,88460E-04
6,10651E-05
-1,82671E-06
1,88749E-08
-6,85211E-11
243Am
4
18
7,83242E-03
-8,80129E-03
3,69818E-03
-7,93097E-04
9,57284E-05
-1,05866E-06
0,00000E+00
24,7
18
70
-1,76890E+01
3,15503E+00
-2,23370E-01
7,48907E-03
-5,92697E-05
1,32461E-07
0,00000E+00
(в ред. Приказа Ростехнадзора от 04.02.2021 N 46)
242Cm
2
18
-6,10467E-04
3,43455E-04
7,84304E-05
-8,26183E-05
1,96437E-05
-3,65897E-07
0,00000E+00
21
18
70
-9,09467E-01
2,27456E-01
-2,36461E-02
1,22452E-03
-1,85257E-05
1,09666E-07
-2,10442E-10
244Cm
6
20
1,55964E-03
-1,47822E-03
4,62248E-04
-5,89513E-05
1,96945E-06
2,40726E-07
0,00000E+00
24,9
20
70
5,30831E+00
-9,58167E-01
7,15460E-02
-2,84230E-03
6,07715E-05
-3,06631E-07
1,16745E-10
(в ред. Приказа Ростехнадзора от 04.02.2021 N 46)
245Cm
8
32
-3,21525E-04
2,89427E-04
-8,77857E-05
1,22833E-05
-8,73380E-07
2,94215E-08
-1,18143E-10
37
32
70
5,88869E+00
-8,07087E-01
4,54522E-02
-1,33260E-03
2,07667E-05
-1,44768E-07
3,81867E-10
(в ред. Приказа Ростехнадзора от 04.02.2021 N 46)
Таблица N 16
Остаточное тепловыделение (Вт/тU) отработавшего ядерного
топлива ВВЭР-1000 с начальным обогащением 3% по 235U
в зависимости от времени выдержки и глубины
выгорания топлива
Глубина выгорания, ГВт·сут/тU
Время выдержки, лет
0,01
0,03
0,1
0,3
1
3
10
20
2
1,03E+05
5,31E+04
2,07E+04
7,11E+03
1,21E+03
2,22E+02
6,32E+01
4,91E+01
4
1,18E+05
6,59E+04
2,97E+04
1,17E+04
2,22E+03
4,39E+02
1,26E+02
9,83E+01
6
1,26E+05
7,28E+04
3,52E+04
1,48E+04
3,10E+03
6,54E+02
1,89E+02
1,49E+02
8
1,31E+05
7,73E+04
3,89E+04
1,70E+04
3,89E+03
8,65E+02
2,53E+02
2,00E+02
10
1,35E+05
8,02E+04
4,13E+04
1,86E+04
4,62E+03
1,07E+03
3,18E+02
2,52E+02
12
1,37E+05
8,24E+04
4,32E+04
2,00E+04
5,30E+03
1,28E+03
3,84E+02
3,06E+02
14
1,39E+05
8,39E+04
4,45E+04
2,11E+04
5,94E+03
1,49E+03
4,50E+02
3,59E+02
16
1,41E+05
8,51E+04
4,56E+04
2,20E+04
6,56E+03
1,69E+03
5,17E+02
4,13E+02
18
1,42E+05
8,61E+04
4,65E+04
2,29E+04
7,14E+03
1,89E+03
5,84E+02
4,68E+02
20
1,44E+05
8,70E+04
4,74E+04
2,37E+04
7,71E+03
2,09E+03
6,53E+02
5,22E+02
22
1,45E+05
8,78E+04
4,81E+04
2,45E+04
8,26E+03
2,29E+03
7,22E+02
5,77E+02
24
1,46E+05
8,86E+04
4,89E+04
2,52E+04
8,81E+03
2,50E+03
7,93E+02
6,33E+02
26
1,47E+05
8,94E+04
4,96E+04
2,59E+04
9,34E+03
2,70E+03
8,66E+02
6,89E+02
28
1,48E+05
9,01E+04
5,03E+04
2,66E+04
9,87E+03
2,91E+03
9,40E+02
7,46E+02
30
1,50E+05
9,09E+04
5,10E+04
2,73E+04
1,04E+04
3,12E+03
1,02E+03
8,05E+02
32
1,51E+05
9,17E+04
5,17E+04
2,80E+04
1,09E+04
3,33E+03
1,10E+03
8,65E+02
34
1,52E+05
9,25E+04
5,24E+04
2,87E+04
1,14E+04
3,54E+03
1,18E+03
9,26E+02
36
1,53E+05
9,32E+04
5,31E+04
2,93E+04
1,19E+04
3,76E+03
1,26E+03
9,89E+02
38
1,54E+05
9,40E+04
5,38E+04
3,00E+04
1,24E+04
3,98E+03
1,35E+03
1,05E+03
40
1,56E+05
9,48E+04
5,44E+04
3,06E+04
1,29E+04
4,20E+03
1,45E+03
1,12E+03
42
1,57E+05
9,56E+04
5,51E+04
3,13E+04
1,34E+04
4,43E+03
1,54E+03
1,19E+03
44
1,59E+05
9,67E+04
5,58E+04
3,18E+04
1,38E+04
4,63E+03
1,63E+03
1,25E+03
46
1,60E+05
9,75E+04
5,64E+04
3,24E+04
1,43E+04
4,87E+03
1,74E+03
1,33E+03
48
1,62E+05
9,83E+04
5,71E+04
3,30E+04
1,47E+04
5,11E+03
1,84E+03
1,40E+03
50
1,63E+05
9,91E+04
5,77E+04
3,36E+04
1,52E+04
5,35E+03
1,95E+03
1,48E+03
Таблица N 17
Остаточное тепловыделение (Вт/тU) отработавшего ядерного
топлива ВВЭР-1000 с начальным обогащением 3,53% по 235U
в зависимости от времени выдержки и глубины
выгорания топлива
Глубина выгорания, ГВт·сут/тU
Время выдержки, лет
0,01
0,03
0,1
0,3
1
3
10
20
2
1,02E+05
5,31E+04
2,07E+04
7,13E+03
1,21E+03
2,21E+02
6,32E+01
4,90E+01
4
1,17E+05
6,60E+04
2,99E+04
1,17E+04
2,22E+03
4,37E+02
1,26E+02
9,81E+01
6
1,25E+05
7,30E+04
3,54E+04
1,49E+04
3,09E+03
6,48E+02
1,90E+02
1,48E+02
8
1,31E+05
7,75E+04
3,91E+04
1,71E+04
3,87E+03
8,55E+02
2,54E+02
1,99E+02
10
1,34E+05
8,05E+04
4,16E+04
1,87E+04
4,58E+03
1,06E+03
3,18E+02
2,51E+02
12
1,37E+05
8,27E+04
4,35E+04
2,01E+04
5,25E+03
1,26E+03
3,84E+02
3,04E+02
14
1,39E+05
8,43E+04
4,48E+04
2,12E+04
5,88E+03
1,46E+03
4,50E+02
3,58E+02
16
1,40E+05
8,55E+04
4,59E+04
2,21E+04
6,47E+03
1,66E+03
5,17E+02
4,12E+02
18
1,42E+05
8,65E+04
4,68E+04
2,29E+04
7,04E+03
1,85E+03
5,85E+02
4,66E+02
20
1,43E+05
8,73E+04
4,77E+04
2,37E+04
7,59E+03
2,05E+03
6,53E+02
5,21E+02
22
1,44E+05
8,81E+04
4,84E+04
2,45E+04
8,12E+03
2,24E+03
7,22E+02
5,76E+02
24
1,45E+05
8,89E+04
4,91E+04
2,52E+04
8,64E+03
2,44E+03
7,92E+02
6,31E+02
26
1,46E+05
8,97E+04
4,98E+04
2,59E+04
9,15E+03
2,64E+03
8,64E+02
6,88E+02
28
1,47E+05
9,04E+04
5,05E+04
2,65E+04
9,65E+03
2,84E+03
9,37E+02
7,44E+02
30
1,49E+05
9,11E+04
5,11E+04
2,72E+04
1,02E+04
3,04E+03
1,01E+03
8,03E+02
32
1,50E+05
9,18E+04
5,18E+04
2,78E+04
1,06E+04
3,24E+03
1,09E+03
8,62E+02
34
1,51E+05
9,25E+04
5,24E+04
2,85E+04
1,11E+04
3,44E+03
1,17E+03
9,22E+02
36
1,52E+05
9,33E+04
5,31E+04
2,91E+04
1,16E+04
3,65E+03
1,25E+03
9,84E+02
38
1,53E+05
9,40E+04
5,37E+04
2,97E+04
1,21E+04
3,86E+03
1,34E+03
1,05E+03
40
1,54E+05
9,47E+04
5,44E+04
3,04E+04
1,26E+04
4,08E+03
1,43E+03
1,11E+03
42
1,55E+05
9,55E+04
5,50E+04
3,10E+04
1,30E+04
4,30E+03
1,52E+03
1,18E+03
44
1,58E+05
9,66E+04
5,57E+04
3,15E+04
1,34E+04
4,49E+03
1,60E+03
1,24E+03
46
1,59E+05
9,73E+04
5,63E+04
3,21E+04
1,39E+04
4,72E+03
1,70E+03
1,31E+03
48
1,60E+05
9,81E+04
5,69E+04
3,27E+04
1,43E+04
4,94E+03
1,80E+03
1,38E+03
50
1,61E+05
9,88E+04
5,76E+04
3,33E+04
1,48E+04
5,18E+03
1,91E+03
1,46E+03
Таблица N 18
Остаточное тепловыделение (Вт/тU) отработавшего ядерного
топлива ВВЭР-1000 с начальным обогащением 3,9% по 235U
в зависимости от времени выдержки и глубины
выгорания топлива
Глубина выгорания, ГВт·сут/тU
Время выдержки, лет
0,01
0,03
0,1
0,3
1
3
10
20
2
1,02E+05
5,31E+04
2,07E+04
7,13E+03
1,21E+03
2,21E+02
6,32E+01
4,90E+01
4
1,17E+05
6,60E+04
2,99E+04
1,17E+04
2,22E+03
4,37E+02
1,26E+02
9,81E+01
6
1,25E+05
7,30E+04
3,54E+04
1,49E+04
3,09E+03
6,48E+02
1,90E+02
1,48E+02
8
1,31E+05
7,75E+04
3,91E+04
1,71E+04
3,87E+03
8,55E+02
2,54E+02
1,99E+02
10
1,34E+05
8,05E+04
4,16E+04
1,87E+04
4,58E+03
1,06E+03
3,18E+02
2,51E+02
12
1,37E+05
8,27E+04
4,35E+04
2,01E+04
5,25E+03
1,26E+03
3,84E+02
3,04E+02
14
1,39E+05
8,43E+04
4,48E+04
2,12E+04
5,88E+03
1,46E+03
4,50E+02
3,58E+02
16
1,40E+05
8,55E+04
4,59E+04
2,21E+04
6,47E+03
1,66E+03
5,17E+02
4,12E+02
18
1,42E+05
8,65E+04
4,68E+04
2,29E+04
7,04E+03
1,85E+03
5,85E+02
4,66E+02
20
1,43E+05
8,73E+04
4,77E+04
2,37E+04
7,59E+03
2,05E+03
6,53E+02
5,21E+02
22
1,44E+05
8,81E+04
4,84E+04
2,45E+04
8,12E+03
2,24E+03
7,22E+02
5,76E+02
24
1,45E+05
8,89E+04
4,91E+04
2,52E+04
8,64E+03
2,44E+03
7,92E+02
6,31E+02
26
1,46E+05
8,97E+04
4,98E+04
2,59E+04
9,15E+03
2,64E+03
8,64E+02
6,88E+02
28
1,47E+05
9,04E+04
5,05E+04
2,65E+04
9,65E+03
2,84E+03
9,37E+02
7,44E+02
30
1,49E+05
9,11E+04
5,11E+04
2,72E+04
1,02E+04
3,04E+03
1,01E+03
8,03E+02
32
1,50E+05
9,18E+04
5,18E+04
2,78E+04
1,06E+04
3,24E+03
1,09E+03
8,62E+02
34
1,51E+05
9,25E+04
5,24E+04
2,85E+04
1,11E+04
3,44E+03
1,17E+03
9,22E+02
36
1,52E+05
9,33E+04
5,31E+04
2,91E+04
1,16E+04
3,65E+03
1,25E+03
9,84E+02
38
1,53E+05
9,40E+04
5,37E+04
2,97E+04
1,21E+04
3,86E+03
1,34E+03
1,05E+03
40
1,54E+05
9,47E+04
5,44E+04
3,04E+04
1,26E+04
4,08E+03
1,43E+03
1,11E+03
42
1,55E+05
9,55E+04
5,50E+04
3,10E+04
1,30E+04
4,30E+03
1,52E+03
1,18E+03
44
1,58E+05
9,66E+04
5,57E+04
3,15E+04
1,34E+04
4,49E+03
1,60E+03
1,24E+03
46
1,59E+05
9,73E+04
5,63E+04
3,21E+04
1,39E+04
4,72E+03
1,70E+03
1,31E+03
48
1,60E+05
9,81E+04
5,69E+04
3,27E+04
1,43E+04
4,94E+03
1,80E+03
1,38E+03
50
1,61E+05
9,88E+04
5,76E+04
3,33E+04
1,48E+04
5,18E+03
1,91E+03
1,46E+03
Таблица N 19
Остаточное тепловыделение (Вт/тU) отработавшего ядерного
топлива ВВЭР-1000 с начальным обогащением 4,3% по 235U
в зависимости от времени выдержки и глубины
выгорания топлива
Глубина выгорания, ГВт·сут/тU
Время выдержки, лет
0,01
0,03
0,1
0,3
1
3
10
20
2
1,01E+05
5,30E+04
2,08E+04
7,15E+03
1,21E+03
2,20E+02
6,32E+01
4,90E+01
4
1,16E+05
6,61E+04
3,00E+04
1,18E+04
2,21E+03
4,34E+02
1,26E+02
9,79E+01
6
1,24E+05
7,32E+04
3,56E+04
1,49E+04
3,08E+03
6,42E+02
1,90E+02
1,48E+02
8
1,30E+05
7,78E+04
3,94E+04
1,72E+04
3,85E+03
8,44E+02
2,54E+02
1,98E+02
10
1,33E+05
8,09E+04
4,19E+04
1,88E+04
4,55E+03
1,04E+03
3,18E+02
2,50E+02
12
1,36E+05
8,31E+04
4,38E+04
2,02E+04
5,20E+03
1,24E+03
3,84E+02
3,02E+02
14
1,38E+05
8,47E+04
4,52E+04
2,13E+04
5,80E+03
1,43E+03
4,50E+02
3,56E+02
16
1,39E+05
8,60E+04
4,63E+04
2,22E+04
6,37E+03
1,62E+03
5,17E+02
4,09E+02
18
1,41E+05
8,70E+04
4,72E+04
2,30E+04
6,92E+03
1,81E+03
5,84E+02
4,63E+02
20
1,42E+05
8,78E+04
4,80E+04
2,38E+04
7,44E+03
2,00E+03
6,52E+02
5,18E+02
22
1,43E+05
8,86E+04
4,88E+04
2,45E+04
7,94E+03
2,18E+03
7,21E+02
5,73E+02
24
1,44E+05
8,94E+04
4,95E+04
2,52E+04
8,44E+03
2,37E+03
7,91E+02
6,29E+02
26
1,45E+05
9,01E+04
5,01E+04
2,58E+04
8,92E+03
2,56E+03
8,62E+02
6,85E+02
28
1,46E+05
9,07E+04
5,08E+04
2,65E+04
9,39E+03
2,75E+03
9,34E+02
7,41E+02
30
1,47E+05
9,14E+04
5,14E+04
2,71E+04
9,85E+03
2,94E+03
1,01E+03
8,00E+02
32
1,48E+05
9,21E+04
5,20E+04
2,77E+04
1,03E+04
3,13E+03
1,08E+03
8,58E+02
34
1,49E+05
9,27E+04
5,26E+04
2,83E+04
1,08E+04
3,32E+03
1,16E+03
9,17E+02
36
1,50E+05
9,34E+04
5,32E+04
2,89E+04
1,12E+04
3,52E+03
1,24E+03
9,78E+02
38
1,51E+05
9,41E+04
5,38E+04
2,95E+04
1,17E+04
3,71E+03
1,32E+03
1,04E+03
40
1,52E+05
9,47E+04
5,44E+04
3,00E+04
1,21E+04
3,91E+03
1,40E+03
1,10E+03
42
1,54E+05
9,54E+04
5,50E+04
3,06E+04
1,26E+04
4,12E+03
1,49E+03
1,17E+03
44
1,56E+05
9,65E+04
5,56E+04
3,11E+04
1,29E+04
4,29E+03
1,57E+03
1,22E+03
46
1,57E+05
9,72E+04
5,62E+04
3,17E+04
1,34E+04
4,51E+03
1,66E+03
1,29E+03
48
1,58E+05
9,79E+04
5,68E+04
3,22E+04
1,38E+04
4,72E+03
1,75E+03
1,36E+03
50
1,59E+05
9,86E+04
5,74E+04
3,28E+04
1,42E+04
4,94E+03
1,85E+03
1,43E+03
52
1,60E+05
9,93E+04
5,79E+04
3,33E+04
1,47E+04
5,16E+03
1,95E+03
1,50E+03
54
1,61E+05
9,99E+04
5,85E+04
3,39E+04
1,51E+04
5,38E+03
2,05E+03
1,57E+03
56
1,63E+05
1,01E+05
5,91E+04
3,44E+04
1,55E+04
5,61E+03
2,16E+03
1,65E+03
Таблица N 20
Остаточное тепловыделение (Вт/тU) отработавшего ядерного
топлива ВВЭР-1000 с начальным обогащением 4,67% по 235U
в зависимости от времени выдержки и глубины
выгорания топлива
Глубина выгорания, ГВт·сут/тU
Время выдержки, лет
0,01
0,03
0,1
0,3
1
3
10
20
2
1,01E+05
5,31E+04
2,09E+04
7,19E+03
1,21E+03
2,21E+02
6,33E+01
4,91E+01
4
1,16E+05
6,64E+04
3,02E+04
1,19E+04
2,22E+03
4,34E+02
1,27E+02
9,84E+01
6
1,24E+05
7,35E+04
3,58E+04
1,50E+04
3,08E+03
6,40E+02
1,90E+02
1,48E+02
8
1,29E+05
7,82E+04
3,96E+04
1,72E+04
3,84E+03
8,39E+02
2,53E+02
1,98E+02
10
1,33E+05
8,13E+04
4,21E+04
1,89E+04
4,53E+03
1,03E+03
3,17E+02
2,48E+02
12
1,36E+05
8,35E+04
4,40E+04
2,02E+04
5,17E+03
1,23E+03
3,83E+02
3,00E+02
14
1,38E+05
8,51E+04
4,54E+04
2,13E+04
5,76E+03
1,42E+03
4,48E+02
3,52E+02
16
1,39E+05
8,63E+04
4,65E+04
2,22E+04
6,32E+03
1,60E+03
5,14E+02
4,05E+02
18
1,41E+05
8,73E+04
4,74E+04
2,30E+04
6,85E+03
1,79E+03
5,80E+02
4,57E+02
20
1,42E+05
8,82E+04
4,82E+04
2,38E+04
7,36E+03
1,97E+03
6,48E+02
5,12E+02
22
1,43E+05
8,90E+04
4,89E+04
2,45E+04
7,85E+03
2,15E+03
7,16E+02
5,65E+02
24
1,44E+05
8,98E+04
4,96E+04
2,51E+04
8,32E+03
2,33E+03
7,84E+02
6,19E+02
26
1,45E+05
9,05E+04
5,03E+04
2,58E+04
8,79E+03
2,51E+03
8,55E+02
6,75E+02
28
1,46E+05
9,12E+04
5,09E+04
2,64E+04
9,24E+03
2,69E+03
9,25E+02
7,30E+02
30
1,47E+05
9,18E+04
5,15E+04
2,70E+04
9,68E+03
2,88E+03
9,97E+02
7,86E+02
32
1,49E+05
9,25E+04
5,21E+04
2,75E+04
1,01E+04
3,06E+03
1,07E+03
8,42E+02
34
1,50E+05
9,32E+04
5,27E+04
2,81E+04
1,06E+04
3,24E+03
1,15E+03
9,01E+02
36
1,51E+05
9,38E+04
5,32E+04
2,87E+04
1,10E+04
3,43E+03
1,22E+03
9,59E+02
38
1,52E+05
9,44E+04
5,38E+04
2,92E+04
1,14E+04
3,62E+03
1,30E+03
1,02E+03
40
1,53E+05
9,51E+04
5,44E+04
2,98E+04
1,18E+04
3,80E+03
1,38E+03
1,08E+03
42
1,54E+05
9,58E+04
5,50E+04
3,03E+04
1,22E+04
4,00E+03
1,46E+03
1,14E+03
44
1,55E+05
9,64E+04
5,55E+04
3,09E+04
1,27E+04
4,19E+03
1,54E+03
1,20E+03
46
1,56E+05
9,71E+04
5,61E+04
3,14E+04
1,31E+04
4,39E+03
1,63E+03
1,27E+03
48
1,57E+05
9,77E+04
5,66E+04
3,19E+04
1,35E+04
4,59E+03
1,72E+03
1,33E+03
50
1,58E+05
9,84E+04
5,72E+04
3,25E+04
1,39E+04
4,80E+03
1,81E+03
1,40E+03
52
1,59E+05
9,91E+04
5,77E+04
3,30E+04
1,43E+04
5,01E+03
1,91E+03
1,47E+03
54
1,60E+05
9,97E+04
5,83E+04
3,35E+04
1,47E+04
5,22E+03
2,00E+03
1,54E+03
56
1,61E+05
1,00E+05
5,88E+04
3,41E+04
1,51E+04
5,44E+03
2,10E+03
1,62E+03
58
1,63E+05
1,01E+05
5,94E+04
3,46E+04
1,56E+04
5,65E+03
2,21E+03
1,69E+03
60
1,64E+05
1,02E+05
5,99E+04
3,51E+04
1,60E+04
5,88E+03
2,31E+03
1,77E+03
62
1,65E+05
1,02E+05
6,04E+04
3,56E+04
1,64E+04
6,10E+03
2,42E+03
1,85E+03
64
1,66E+05
1,03E+05
6,09E+04
3,61E+04
1,68E+04
6,33E+03
2,53E+03
1,93E+03
66
1,67E+05
1,04E+05
6,15E+04
3,66E+04
1,72E+04
6,57E+03
2,65E+03
2,01E+03
68
1,68E+05
1,04E+05
6,20E+04
3,71E+04
1,76E+04
6,80E+03
2,77E+03
2,10E+03
Таблица N 21
Остаточное тепловыделение (Вт/тU) отработавшего ядерного
топлива ВВЭР-1000 с начальным обогащением 4,81% по 235U
в зависимости от времени выдержки и глубины
выгорания топлива
Глубина выгорания, ГВт·сут/тU
Время выдержки, лет
0,01
0,03
0,1
0,3
1
3
10
20
2
1,01E+05
5,31E+04
2,09E+04
7,19E+03
1,21E+03
2,21E+02
6,33E+01
4,91E+01
4
1,16E+05
6,64E+04
3,02E+04
1,15E+04
2,22E+03
4,34E+02
1,27E+02
9,83E+01
6
1,24E+05
7,36E+04
3,59E+04
1,47E+04
3,07E+03
6,39E+02
1,89E+02
1,47E+02
8
1,27E+05
7,82E+04
3,96E+04
1,72E+04
3,83E+03
8,38E+02
2,53E+02
1,97E+02
10
1,32E+05
8,13E+04
4,21E+04
1,89E+04
4,25E+03
1,03E+03
3,17E+02
2,48E+02
12
1,35E+05
8,35E+04
4,40E+04
2,02E+04
5,16E+03
1,22E+03
3,83E+02
3,01E+02
14
1,37E+05
8,51E+04
4,54E+04
2,13E+04
5,75E+03
1,41E+03
4,48E+02
3,51E+02
16
1,39E+05
8,63E+04
4,65E+04
2,22E+04
6,30E+03
1,59E+03
5,13E+02
4,04E+02
18
1,40E+05
8,73E+04
4,74E+04
2,32E+04
6,83E+03
1,78E+03
5,79E+02
4,56E+02
20
1,41E+05
8,82E+04
4,82E+04
2,37E+04
7,34E+03
1,96E+03
6,48E+02
5,11E+02
22
1,42E+05
8,90E+04
4,89E+04
2,44E+04
7,82E+03
2,14E+03
7,15E+02
5,64E+02
24
1,44E+05
8,98E+04
4,96E+04
2,51E+04
8,29E+03
2,32E+03
7,84E+02
6,18E+02
26
1,45E+05
9,05E+04
5,03E+04
2,57E+04
8,76E+03
2,51E+03
8,54E+02
6,74E+02
28
1,46E+05
9,12E+04
5,09E+04
2,63E+04
9,21E+03
2,68E+03
9,25E+02
7,29E+02
30
1,47E+05
9,19E+04
5,15E+04
2,69E+04
9,64E+03
2,86E+03
9,96E+02
7,85E+02
32
1,48E+05
9,25E+04
5,21E+04
2,75E+04
1,01E+04
3,04E+03
1,07E+03
8,41E+02
34
1,49E+05
9,32E+04
5,27E+04
2,81E+04
1,05E+04
3,23E+03
1,14E+03
8,99E+02
36
1,50E+05
9,36E+04
5,32E+04
2,86E+04
1,09E+04
3,41E+03
1,22E+03
9,57E+02
38
1,51E+05
9,44E+04
5,38E+04
2,92E+04
1,13E+04
3,59E+03
1,29E+03
1,01E+03
40
1,52E+05
9,51E+04
5,44E+04
2,97E+04
1,17E+04
3,78E+03
1,37E+03
1,07E+03
42
1,53E+05
9,57E+04
5,49E+04
3,02E+04
1,21E+04
3,97E+03
1,45E+03
1,14E+03
44
1,54E+05
9,64E+04
5,55E+04
3,08E+04
1,26E+04
4,17E+03
1,54E+03
1,21E+03
46
1,55E+05
9,71E+04
5,61E+04
3,13E+04
1,29E+04
4,36E+03
1,62E+03
1,26E+03
48
1,56E+05
9,77E+04
5,66E+04
3,18E+04
1,34E+04
4,56E+03
1,71E+03
1,33E+03
50
1,57E+05
9,83E+04
5,71E+04
3,24E+04
1,38E+04
4,76E+03
1,81E+03
1,39E+03
52
1,58E+05
9,91E+04
5,77E+04
3,29E+04
1,42E+04
4,97E+03
1,89E+03
1,46E+03
54
1,59E+05
9,97E+04
5,82E+04
3,34E+04
1,46E+04
5,18E+03
1,99E+03
1,54E+03
56
1,61E+05
1,01E+05
5,88E+04
3,39E+04
1,51E+04
5,39E+03
2,09E+03
1,61E+03
58
1,62E+05
1,01E+05
5,93E+04
3,44E+04
1,54E+04
5,61E+03
2,19E+03
1,68E+03
60
1,63E+05
1,01E+05
5,98E+04
3,51E+04
1,58E+04
5,83E+03
2,31E+03
1,76E+03
62
1,64E+05
1,02E+05
6,04E+04
3,55E+04
1,62E+04
6,05E+03
2,41E+03
1,83E+03
64
1,65E+05
1,02E+05
6,09E+04
3,61E+04
1,67E+04
6,28E+03
2,52E+03
1,92E+03
66
1,66E+05
1,03E+05
6,14E+04
3,65E+04
1,71E+04
6,51E+03
2,63E+03
2,01E+03
68
1,67E+05
1,04E+05
6,19E+04
3,70E+04
1,75E+04
6,75E+03
2,75E+03
2,09E+03
Таблица N 22
Остаточное тепловыделение (Вт/тU) отработавшего ядерного
топлива ВВЭР-1000 с начальным обогащением 4,95% по 235U
в зависимости от времени выдержки и глубины
выгорания топлива
Глубина выгорания, ГВт·сут/тU
Время выдержки, лет
0,01
0,03
0,1
0,3
1
3
10
20
2
1,01E+05
5,31E+04
2,09E+04
7,19E+03
1,21E+03
2,21E+02
6,33E+01
4,91E+01
4
1,16E+05
6,64E+04
3,02E+04
1,15E+04
2,22E+03
4,34E+02
1,27E+02
9,83E+01
6
1,24E+05
7,36E+04
3,59E+04
1,47E+04
3,07E+03
6,38E+02
1,89E+02
1,47E+02
8
1,27E+05
7,82E+04
3,96E+04
1,72E+04
3,83E+03
8,37E+02
2,53E+02
1,97E+02
10
1,32E+05
8,13E+04
4,21E+04
1,89E+04
4,25E+03
1,03E+03
3,17E+02
2,48E+02
12
1,35E+05
8,36E+04
4,40E+04
2,02E+04
5,15E+03
1,22E+03
3,83E+02
3,01E+02
14
1,37E+05
8,52E+04
4,54E+04
2,13E+04
5,74E+03
1,41E+03
4,48E+02
3,51E+02
16
1,39E+05
8,63E+04
4,65E+04
2,22E+04
6,30E+03
1,59E+03
5,13E+02
4,04E+02
18
1,40E+05
8,73E+04
4,74E+04
2,32E+04
6,83E+03
1,78E+03
5,79E+02
4,56E+02
20
1,41E+05
8,82E+04
4,82E+04
2,37E+04
7,34E+03
1,96E+03
6,48E+02
5,11E+02
22
1,42E+05
8,91E+04
4,90E+04
2,44E+04
7,80E+03
2,13E+03
7,15E+02
5,64E+02
24
1,44E+05
8,99E+04
4,96E+04
2,51E+04
8,27E+03
2,31E+03
7,84E+02
6,18E+02
26
1,45E+05
9,06E+04
5,04E+04
2,57E+04
8,73E+03
2,50E+03
8,54E+02
6,74E+02
28
1,46E+05
9,13E+04
5,09E+04
2,63E+04
9,18E+03
2,67E+03
9,25E+02
7,29E+02
30
1,47E+05
9,19E+04
5,15E+04
2,69E+04
9,61E+03
2,85E+03
9,95E+02
7,84E+02
32
1,48E+05
9,25E+04
5,21E+04
2,75E+04
1,01E+04
3,03E+03
1,07E+03
8,40E+02
34
1,49E+05
9,32E+04
5,27E+04
2,81E+04
1,05E+04
3,22E+03
1,14E+03
8,98E+02
36
1,50E+05
9,36E+04
5,32E+04
2,86E+04
1,09E+04
3,39E+03
1,22E+03
9,56E+02
38
1,51E+05
9,44E+04
5,38E+04
2,92E+04
1,13E+04
3,57E+03
1,29E+03
1,01E+03
40
1,52E+05
9,51E+04
5,44E+04
2,97E+04
1,16E+04
3,76E+03
1,37E+03
1,07E+03
42
1,53E+05
9,57E+04
5,49E+04
3,02E+04
1,20E+04
3,95E+03
1,45E+03
1,14E+03
44
1,54E+05
9,64E+04
5,55E+04
3,08E+04
1,25E+04
4,15E+03
1,54E+03
1,21E+03
46
1,55E+05
9,71E+04
5,61E+04
3,13E+04
1,28E+04
4,33E+03
1,62E+03
1,26E+03
48
1,56E+05
9,77E+04
5,66E+04
3,17E+04
1,33E+04
4,53E+03
1,71E+03
1,33E+03
50
1,57E+05
9,83E+04
5,71E+04
3,23E+04
1,37E+04
4,73E+03
1,81E+03
1,39E+03
52
1,58E+05
9,91E+04
5,77E+04
3,28E+04
1,41E+04
4,94E+03
1,88E+03
1,46E+03
54
1,59E+05
9,97E+04
5,82E+04
3,33E+04
1,45E+04
5,15E+03
1,98E+03
1,54E+03
56
1,61E+05
1,01E+05
5,88E+04
3,38E+04
1,50E+04
5,35E+03
2,08E+03
1,61E+03
58
1,62E+05
1,01E+05
5,93E+04
3,43E+04
1,53E+04
5,57E+03
2,18E+03
1,67E+03
60
1,63E+05
1,01E+05
5,98E+04
3,50E+04
1,57E+04
5,79E+03
2,30E+03
1,75E+03
62
1,64E+05
1,02E+05
6,04E+04
3,54E+04
1,61E+04
6,01E+03
2,40E+03
1,82E+03
64
1,65E+05
1,02E+05
6,09E+04
3,60E+04
1,66E+04
6,24E+03
2,51E+03
1,91E+03
66
1,66E+05
1,03E+05
6,14E+04
3,64E+04
1,70E+04
6,46E+03
2,61E+03
2,00E+03
68
1,67E+05
1,04E+05
6,19E+04
3,69E+04
1,74E+04
6,70E+03
2,73E+03
2,08E+03
70
1,68E+05
1,05E+05
6,24E+04
3,75E+04
1,79E+04
7,00E+03
2,88E+03
2,17E+03
Приложение N 2
к руководству по безопасности
при использовании атомной
энергии "Радиационные
и теплофизические
характеристики отработавшего
ядерного топлива водо-водяных
энергетических реакторов
и реакторов большой мощности
канальных", утвержденному
приказом Федеральной службы
по экологическому,
технологическому
и атомному надзору
от "__" _________20__ г. N___
РАДИАЦИОННЫЕ И ТЕПЛОФИЗИЧЕСКИЕ ХАРАКТЕРИСТИКИ
ОТРАБОТАВШЕГО ЯДЕРНОГО ТОПЛИВА ВОДО-ВОДЯНЫХ
ЭНЕРГЕТИЧЕСКИХ РЕАКТОРОВ ВВЭР-440
Список изменяющих документов
(в ред. Приказа Ростехнадзора от 04.02.2021 N 46)
В таблице N 1 настоящего приложения приведена номенклатура тепловыделяющих сборок ВВЭР-440, для которой в таблицах N 2 - 11 настоящего приложения представлены аппроксимационные коэффициенты зависимости концентрации нуклида y (в г/тU) от глубины выгорания x (при x >= 2 ГВт·сут/тU) <1> <2> отработавшего ядерного топлива на момент останова реактора.
(в ред. Приказа Ростехнадзора от 04.02.2021 N 46)
--------------------------------
<1> При x >= 6 ГВт·сут/тU для 242Pu.
(сноска введена Приказом Ростехнадзора от 04.02.2021 N 46)
<2> Значения минимальной глубины выгорания для 243Am, 242Cm, 244Cm, 245Cm приведены в соответствующих таблицах, содержащих аппроксимационные коэффициенты для данных нуклидов.
(сноска введена Приказом Ростехнадзора от 04.02.2021 N 46)
Концентрации нуклидов после останова реактора определяются по формулам (1) - (5) приложения N 1 к настоящему Руководству по безопасности. Значения удельной активности (в 1010 Бк/тU), парциального тепловыделения (в Вт/тU) и ядерной концентрации (в 1021 ядер/тU) для каждого нуклида определяются по формулам (6) - (8) приложения N 1 к настоящему Руководству по безопасности.
В таблицах N 12 - 16 настоящего приложения для указанной в таблице N 1 номенклатуры топлива представлены значения остаточного тепловыделения отработавшего ядерного топлива ВВЭР-440 в зависимости от глубины выгорания и времени выдержки.
Таблица N 1
Номенклатура тепловыделяющих сборок ВВЭР-440
Среднее начальное обогащение по U235, %
Проектная глубина выгорания, ГВт·сут/тU
3,6
36
3,82
46
4,25
58
4,38
66
4,87
68
Таблица N 2
Аппроксимационные коэффициенты зависимости концентрации
144Ce, 134Cs, 135Cs, 137Cs, 154Eu, 155Eu, 3H, 85Kr, 237Np,
107Pd, 238Pu, 239Pu, 240Pu, 241Pu, 242Pu, 106Ru, 125Sb,
79Se, 151Sm, 121mSn, 126Sn, 90Sr, 99Tc, 125mTe, 234U, 235U,
236U, 238U, 93Zr (y, г/тU) от глубины выгорания
(x, ГВт·сут/тU) отработавшего ядерного топлива ВВЭР-440
с начальным обогащением 3,6% по 235U
Нуклид
Аппроксимационные коэффициенты
, %
144Ce
1,25480E+00
3,45910E+01
-1,40927E+00
3,29189E-02
-4,70532E-04
3,78078E-06
-1,29349E-08
2
134Cs
-2,84042E-01
3,58597E-02
1,34752E-01
-1,18231E-03
3,18442E-06
0,00000E+00
0,00000E+00
8
135Cs
-1,37167E+00
1,28626E+01
-2,92071E-04
-4,14663E-04
4,70933E-06
0,00000E+00
0,00000E+00
13
137Cs
2,71799E-01
3,81301E+01
-2,93966E-02
-1,31244E-04
0,00000E+00
0,00000E+00
0,00000E+00
2,4
154Eu
-4,11533E-02
2,67823E-02
1,33076E-02
8,26396E-04
-2,69637E-05
3,02772E-07
-1,23776E-09
18
155Eu
1,93120E-01
7,14381E-02
-1,91770E-03
3,02185E-04
-7,22362E-06
7,09543E-08
-2,61734E-10
26
3H
-1,87222E-04
1,41834E-03
1,11307E-05
-6,08307E-08
0,00000E+00
0,00000E+00
0,00000E+00
8
85Kr
3,98212E-02
1,06873E+00
-1,16294E-02
9,11971E-05
-4,02523E-07
0,00000E+00
0,00000E+00
5
237Np
-2,07593E+00
3,91740E+00
5,72324E-01
-1,04250E-02
7,58546E-05
-2,34550E-07
0,00000E+00
23,6
107Pd
-1,45440E+00
1,72900E+00
1,77317E-01
-1,30619E-03
4,04412E-06
0,00000E+00
0,00000E+00
4
238Pu
-3,68019E-01
1,53574E-01
1,66060E-02
5,51443E-03
-7,22077E-05
2,23147E-07
2,18650E-10
6,5
239Pu
-1,38603E+01
5,46705E+02
-2,22895E+01
5,79407E-01
-9,65457E-03
9,13207E-05
-3,64864E-07
5,3
240Pu
-4,11154E+01
2,90294E+01
4,31013E+00
-1,66529E-01
3,07002E-03
-2,99740E-05
1,21523E-07
3,5
241Pu
2,33466E+01
-1,88709E+01
5,42875E+00
-1,90636E-01
3,31636E-03
-3,03525E-05
1,15942E-07
4,4
242Pu
1,93615E+00
-8,19096E-01
8,60816E-03
2,82566E-02
-6,62183E-04
6,46709E-06
-2,47601E-08
6,5
106Ru
-8,43445E-01
3,00344E+00
1,68093E-01
-5,93570E-03
1,02247E-04
-9,37192E-07
3,47867E-09
23
125Sb
-5,53635E-02
2,09915E-01
3,09195E-03
-1,05401E-04
1,30494E-06
-6,42464E-09
0,00000E+00
39
79Se
-2,19105E-03
1,57442E-01
-3,52366E-04
-1,93028E-06
1,88912E-08
2,60503E-11
0,00000E+00
26
151Sm
1,49540E+00
1,70571E+00
-1,22870E-01
5,38386E-03
-1,26825E-04
1,50804E-06
-7,10734E-09
24
121mSn
-1,59218E-03
4,75437E-03
1,13637E-04
-1,36519E-06
6,35808E-09
0,00000E+00
0,00000E+00
64
126Sn
-1,06607E-01
3,64710E-01
8,01832E-03
-8,60332E-05
4,18333E-07
0,00000E+00
0,00000E+00
7,9
90Sr
1,64807E+00
2,20867E+01
-2,12245E-01
1,50668E-03
-5,58928E-06
0,00000E+00
0,00000E+00
22
99Tc
-4,32590E+00
2,82773E+01
-1,11506E-01
1,20702E-04
0,00000E+00
0,00000E+00
0,00000E+00
5
125mTe
-3,76162E-03
2,01359E-03
7,01779E-05
-1,49875E-06
9,66872E-09
0,00000E+00
0,00000E+00
7,8
234U
3,20147E+02
-4,65962E+00
1,98348E-02
2,01699E-05
0,00000E+00
0,00000E+00
0,00000E+00
4,3
235U
3,59091E+04
-1,16590E+03
1,59264E+01
-1,18851E-01
4,40876E-04
0,00000E+00
0,00000E+00
5,1
236U
1,88594E+02
2,18704E+02
-3,36602E+00
2,20032E-02
-6,53103E-05
0,00000E+00
0,00000E+00
1,7
238U
9,63491E+05
-6,26494E+02
-4,23221E+00
2,98893E-02
-2,32987E-04
0,00000E+00
0,00000E+00
0,2
93Zr
-1,43931E+00
2,63700E+01
-1,97394E-01
2,02875E-03
-1,14947E-05
0,00000E+00
0,00000E+00
1
Таблица N 3
Аппроксимационные коэффициенты зависимости концентрации
241Am, 242mAm, 243Am, 242Cm, 244Cm, 245Cm (y, г/тU)
от глубины выгорания (x, ГВт·сут/тU) отработавшего ядерного
топлива ВВЭР-440 с начальным обогащением 3,6% по 235U
Нуклид
Выгорание, ГВт·сут/тU
Аппроксимационные коэффициенты
, %
не менее
не более
241Am
2
18
-1,48981E-01
1,73361E-01
-7,46310E-02
1,56045E-02
-1,14061E-03
4,87538E-05
-8,96810E-07
6,5
18
36
8,84243E+00
-1,85719E+00
1,39962E-01
-1,18974E-03
-2,80004E-05
5,45465E-07
-2,67630E-09
242mAm
2
18
-1,82617E-03
1,89710E-03
-6,73529E-04
9,60138E-05
-1,11647E-06
-2,02979E-08
0,00000E+00
8
18
36
3,35463E-01
-6,27255E-02
3,93279E-03
-3,78824E-05
-6,03125E-07
1,29409E-08
-6,44050E-11
243Am
2
18
-1,01276E-02
9,76637E-03
-2,72039E-03
4,75514E-05
9,24559E-05
2,64022E-06
-1,10992E-07
13,7
18
36
-9,74127E+01
1,81409E+01
-1,36367E+00
5,22652E-02
-9,16343E-04
8,22315E-06
-3,06885E-08
242Cm
4
18
7,02812E-03
-8,06563E-03
3,48241E-03
-7,86303E-04
1,08348E-04
-4,15953E-06
5,73459E-08
21
18
36
-3,76844E+00
8,08066E-01
-7,52084E-02
3,86994E-03
-8,07876E-05
7,84707E-07
-2,99981E-09
(в ред. Приказа Ростехнадзора от 04.02.2021 N 46)
244Cm
2
20
-8,80785E-04
1,18157E-03
-5,90782E-04
1,46822E-04
-2,13255E-05
2,05468E-06
-2,88060E-08
16,7
20
36
-4,10980E+01
7,18670E+00
-4,92348E-01
1,65577E-02
-2,78080E-04
2,98452E-06
-1,38055E-08
245Cm
6
32
-2,78998E-04
2,89970E-04
-1,07348E-04
1,90461E-05
-1,77017E-06
8,03996E-08
-5,08197E-10
37
32
36
3,04130E+00
-5,18586E-01
3,64551E-02
-1,34164E-03
2,61874E-05
-2,11819E-07
6,05754E-10
(в ред. Приказа Ростехнадзора от 04.02.2021 N 46)
Таблица N 4
Аппроксимационные коэффициенты зависимости концентрации
144Ce, 134Cs, 135Cs, 137Cs, 154Eu, 155Eu, 3H, 85Kr, 237Np,
107Pd, 238Pu, 239Pu, 240Pu, 241Pu, 242Pu, 106Ru, 125Sb,
79Se, 151Sm, 121mSn, 126Sn, 90Sr, 99Tc, 125mTe, 234U, 235U,
236U, 238U, 93Zr (y, г/тU) от глубины выгорания
(x, ГВт·сут/тU) отработавшего ядерного топлива ВВЭР-440
с начальным обогащением 3,82% по 235U
Нуклид
Аппроксимационные коэффициенты
, %
144Ce
2,92665E+00
3,38971E+01
-1,30002E+00
2,65300E-02
-2,89720E-04
1,31560E-06
0,00000E+00
2
134Cs
3,12418E-02
-6,16144E-02
1,39449E-01
-1,34037E-03
4,70335E-06
0,00000E+00
0,00000E+00
8
135Cs
-1,42653E+00
1,34842E+01
-2,03882E-03
-4,32615E-04
4,73269E-06
0,00000E+00
0,00000E+00
13
137Cs
2,87659E-01
3,81416E+01
-2,98887E-02
-1,26342E-04
0,00000E+00
0,00000E+00
0,00000E+00
2,4
154Eu
8,34990E-04
4,31763E-03
1,62037E-02
6,01892E-04
-1,99348E-05
2,09311E-07
-7,87361E-10
18
155Eu
1,99801E-01
7,05670E-02
-2,02187E-03
3,02362E-04
-7,36532E-06
7,68476E-08
-3,14340E-10
26
3H
-9,64890E-05
1,39772E-03
1,13551E-05
-6,27327E-08
0,00000E+00
0,00000E+00
0,00000E+00
8
85Kr
6,44479E-02
1,06340E+00
-1,06491E-02
7,00789E-05
-2,45845E-07
0,00000E+00
0,00000E+00
5
237Np
-1,96856E+00
3,88373E+00
5,76522E-01
-1,03705E-02
7,66494E-05
-2,47307E-07
0,00000E+00
23,6
107Pd
-1,26570E+00
1,65572E+00
1,69750E-01
-1,22209E-03
3,93647E-06
0,00000E+00
0,00000E+00
4
238Pu
2,98274E-02
-6,01715E-02
4,77506E-02
3,43142E-03
-1,33848E-05
-5,15300E-07
3,76895E-09
6,5
239Pu
-1,99571E+01
5,38365E+02
-2,12452E+01
5,41408E-01
-8,91695E-03
8,34831E-05
-3,29790E-07
5,3
240Pu
-3,94148E+01
2,75911E+01
4,09158E+00
-1,53486E-01
2,77911E-03
-2,68887E-05
1,08723E-07
3,5
241Pu
2,05308E+01
-1,69047E+01
4,92047E+00
-1,60345E-01
2,52740E-03
-2,06018E-05
6,94600E-08
4,4
242Pu
9,69258E-01
-3,49697E-01
-5,10325E-02
2,92829E-02
-6,82486E-04
6,82636E-06
-2,70106E-08
6,5
106Ru
-6,37286E-01
2,86765E+00
1,70961E-01
-6,47336E-03
1,25861E-04
-1,33492E-06
5,83809E-09
23
125Sb
-5,80691E-02
2,11548E-01
2,46238E-03
-7,77364E-05
7,88864E-07
-2,90986E-09
0,00000E+00
39
79Se
-1,42277E-03
1,57578E-01
-3,22597E-04
-2,78714E-06
3,67101E-08
-1,13827E-10
0,00000E+00
26
151Sm
1,28550E+00
1,85861E+00
-1,36913E-01
6,06775E-03
-1,44314E-04
1,73020E-06
-8,21302E-09
24
121mSn
-1,69345E-03
4,75502E-03
1,06052E-04
-1,21923E-06
5,46414E-09
0,00000E+00
0,00000E+00
64
126Sn
-7,59336E-02
3,55044E-01
8,08983E-03
-8,96640E-05
4,56266E-07
0,00000E+00
0,00000E+00
7,9
90Sr
1,82720E+00
2,20810E+01
-1,99814E-01
1,32398E-03
-4,73779E-06
0,00000E+00
0,00000E+00
22
99Tc
-4,16046E+00
2,82711E+01
-1,07013E-01
8,35162E-05
0,00000E+00
0,00000E+00
0,00000E+00
5
125mTe
-3,87630E-03
2,04877E-03
6,45508E-05
-1,37269E-06
8,78674E-09
0,00000E+00
0,00000E+00
7,8
234U
3,39596E+02
-4,77755E+00
1,87505E-02
3,13959E-05
0,00000E+00
0,00000E+00
0,00000E+00
4,3
235U
3,80253E+04
-1,15933E+03
1,46773E+01
-1,02261E-01
3,73315E-04
0,00000E+00
0,00000E+00
5,1
236U
2,02491E+02
2,20831E+02
-3,19531E+00
1,92441E-02
-5,25419E-05
0,00000E+00
0,00000E+00
1,7
238U
9,61007E+05
-5,52365E+02
-7,33796E+00
8,80950E-02
-5,74721E-04
0,00000E+00
0,00000E+00
0,2
93Zr
1,06985E+00
2,57138E+01
-1,41742E-01
7,70207E-04
-2,25716E-06
0,00000E+00
0,00000E+00
1
Таблица N 5
Аппроксимационные коэффициенты зависимости концентрации
241Am, 242mAm, 243Am, 242Cm, 244Cm, 245Cm (y, г/тU)
от глубины выгорания (x, ГВт·сут/тU) отработавшего ядерного
топлива ВВЭР-440 с начальным обогащением 3,82% по 235U
Нуклид
Выгорание, ГВт·сут/тU
Аппроксимационные коэффициенты
, %
не менее
не более
241Am
2
18
-2,73762E-02
3,32769E-02
-1,58115E-02
3,84081E-03
2,07158E-05
-7,71139E-06
1,76975E-07
6,5
18
46
5,17340E+00
-1,15282E+00
8,46022E-02
8,33463E-04
-6,51736E-05
8,91899E-07
-3,99320E-09
242mAm
2
18
-1,63400E-03
1,68925E-03
-5,93844E-04
8,25185E-05
-4,43091E-07
-3,12808E-08
0,00000E+00
8
18
46
3,35918E-01
-6,14404E-02
3,72993E-03
-3,02971E-05
-6,85825E-07
1,29495E-08
-6,14599E-11
243Am
2
18
8,63575E-03
-1,07948E-02
5,24916E-03
-1,35602E-03
2,06744E-04
-2,73655E-06
-1,93793E-08
13,7
18
46
-6,74295E+01
1,25840E+01
-9,50491E-01
3,65240E-02
-6,08109E-04
5,19043E-06
-1,87488E-08
242Cm
2
18
-3,75263E-03
4,02565E-03
-1,43819E-03
1,75144E-04
9,66506E-06
6,54542E-07
-3,39518E-08
21
18
46
-3,94925E+00
8,21124E-01
-7,38295E-02
3,66631E-03
-7,39685E-05
6,92235E-07
-2,53786E-09
244Cm
6
20
-7,54350E-03
7,47134E-03
-2,58123E-03
4,26919E-04
-3,98078E-05
2,50528E-06
-3,33325E-08
16,7
20
46
-3,84752E+01
5,67622E+00
-3,27707E-01
9,01766E-03
-1,09708E-04
1,09686E-06
-5,42170E-09
(в ред. Приказа Ростехнадзора от 04.02.2021 N 46)
245Cm
6
32
-2,20927E-04
2,29826E-04
-8,52636E-05
1,51885E-05
-1,41919E-06
6,44523E-08
-3,24584E-10
37
32
46
-1,89888E+00
2,54277E-01
-1,27938E-02
2,96513E-04
-3,79338E-06
7,01541E-08
-4,61740E-10
(в ред. Приказа Ростехнадзора от 04.02.2021 N 46)
Таблица N 6
Аппроксимационные коэффициенты зависимости концентрации
144Ce, 134Cs, 135Cs, 137Cs, 154Eu, 155Eu, 3H, 85Kr, 237Np,
107Pd, 238Pu, 239Pu, 240Pu, 241Pu, 242Pu, 106Ru, 125Sb,
79Se, 151Sm, 121mSn, 126Sn, 90Sr, 99Tc, 125mTe, 234U, 235U,
236U, 238U, 93Zr (y, г/тU) от глубины выгорания
(x, ГВт·сут/тU) отработавшего ядерного топлива ВВЭР-440
с начальным обогащением 4,25% по 235U
Нуклид
Аппроксимационные коэффициенты
, %
144Ce
2,73977E+00
3,38726E+01
-1,28412E+00
2,61320E-02
-2,86430E-04
1,30885E-06
0,00000E+00
2
134Cs
-1,39799E-01
4,03767E-02
1,25870E-01
-1,10607E-03
3,52332E-06
0,00000E+00
0,00000E+00
8
135Cs
-8,31669E-01
1,49970E+01
-1,68225E-02
-2,84474E-04
3,48961E-06
0,00000E+00
0,00000E+00
13
137Cs
-1,90218E-02
3,82852E+01
-3,09688E-02
-5,73889E-04
2,18570E-05
-3,90612E-07
2,53450E-09
2,4
154Eu
-1,13549E-01
6,90987E-02
6,86512E-03
1,02287E-03
-2,97015E-05
3,28252E-07
-1,36973E-09
18
155Eu
1,75870E-01
8,41938E-02
-3,82814E-03
3,72514E-04
-9,00932E-06
9,88914E-08
-4,33593E-10
26
3H
-1,10661E-04
1,39768E-03
1,01176E-05
-4,92719E-08
0,00000E+00
0,00000E+00
0,00000E+00
8
85Kr
4,22222E-02
1,06293E+00
-9,47008E-03
4,79231E-05
-9,86104E-08
0,00000E+00
0,00000E+00
5
237Np
-3,19250E+00
5,02723E+00
4,80533E-01
-6,86699E-03
2,96349E-05
-1,72195E-08
0,00000E+00
23,6
107Pd
-1,12341E+00
1,65639E+00
1,52753E-01
-1,08164E-03
4,07198E-06
0,00000E+00
0,00000E+00
4
238Pu
1,04214E-01
-1,04757E-01
6,28116E-02
2,10280E-03
2,03277E-05
-8,30960E-07
4,83467E-09
6,5
239Pu
-3,03671E+01
5,65692E+02
-2,42721E+01
7,01984E-01
-1,29449E-02
1,31226E-04
-5,46997E-07
5,3
240Pu
-3,72538E+01
2,62517E+01
3,89058E+00
-1,51163E-01
2,95681E-03
-3,11593E-05
1,35691E-07
3,5
241Pu
1,29175E+01
-1,23253E+01
4,14433E+00
-1,22535E-01
1,71656E-03
-1,23169E-05
3,63175E-08
4,4
242Pu
3,29262E+00
-1,61380E+00
1,62622E-01
1,13510E-02
-1,43285E-04
-4,22797E-07
9,88995E-09
6,5
106Ru
-6,88197E-01
2,97904E+00
1,35280E-01
-5,10099E-03
9,50050E-05
-9,34769E-07
3,72893E-09
23
125Sb
-5,60178E-02
2,10719E-01
2,22855E-03
-8,10241E-05
1,00844E-06
-4,96449E-09
0,00000E+00
39
79Se
-2,18120E-03
1,57419E-01
-3,02218E-04
-1,10635E-06
-2,86018E-09
1,35293E-10
0,00000E+00
26
151Sm
9,67995E-01
2,14191E+00
-1,59286E-01
6,95758E-03
-1,63090E-04
1,93036E-06
-9,06548E-09
24
121mSn
-1,54041E-03
4,73159E-03
9,50854E-05
-1,04798E-06
4,71588E-09
0,00000E+00
0,00000E+00
64
126Sn
-9,08193E-02
3,60347E-01
6,85004E-03
-6,66584E-05
3,12968E-07
0,00000E+00
0,00000E+00
7,9
90Sr
1,44565E+00
2,20799E+01
-1,78124E-01
1,04604E-03
-3,66585E-06
0,00000E+00
0,00000E+00
22
99Tc
-4,86623E+00
2,82991E+01
-1,00850E-01
5,25695E-05
0,00000E+00
0,00000E+00
0,00000E+00
5
125mTe
-3,69730E-03
2,01465E-03
6,33488E-05
-1,40479E-06
9,44430E-09
0,00000E+00
0,00000E+00
7,8
234U
3,77208E+02
-5,19027E+00
2,88869E-02
-1,95221E-04
1,64602E-06
0,00000E+00
0,00000E+00
4,3
235U
4,23364E+04
-1,16048E+03
1,27454E+01
-7,66320E-02
2,65132E-04
0,00000E+00
0,00000E+00
5,1
236U
2,27062E+02
2,27323E+02
-3,03830E+00
1,82354E-02
-6,05935E-05
0,00000E+00
0,00000E+00
1,7
238U
9,57039E+05
-6,72446E+02
1,49168E+00
-8,87287E-02
6,06540E-04
0,00000E+00
0,00000E+00
0,2
93Zr
8,62516E-01
2,56843E+01
-1,22962E-01
5,13306E-04
-9,12541E-07
0,00000E+00
0,00000E+00
1
Таблица N 7
Аппроксимационные коэффициенты зависимости концентрации
241Am, 242mAm, 243Am, 242Cm, 244Cm, 245Cm (y, г/тU)
от глубины выгорания (x, ГВт·сут/тU) отработавшего ядерного
топлива ВВЭР-440 с начальным обогащением 4,25% по 235U
Нуклид
Выгорание, ГВт·сут/тU
Аппроксимационные коэффициенты
, %
не менее
не более
241Am
2
18
-6,45437E-02
7,56806E-02
-3,33363E-02
7,26428E-03
-3,22236E-04
8,33158E-06
-1,05794E-07
6,5
18
58
1,45836E+01
-2,66303E+00
1,81934E-01
-2,61185E-03
5,79430E-06
1,33508E-07
-7,84837E-10
242mAm
2
18
-1,21085E-03
1,29624E-03
-4,77740E-04
6,92986E-05
-3,49761E-08
-3,22911E-08
0,00000E+00
8
18
58
2,95167E-01
-5,12808E-02
2,80520E-03
4,57935E-06
-1,23751E-06
1,67200E-08
-7,02240E-11
243Am
4
18
5,05831E-02
-5,85301E-02
2,50743E-02
-5,31992E-03
6,22537E-04
-2,64555E-05
4,88118E-07
13,7
18
58
-3,17320E+01
6,29196E+00
-5,06273E-01
2,05256E-02
-3,25352E-04
2,76265E-06
-1,05924E-08
(в ред. Приказа Ростехнадзора от 04.02.2021 N 46)
242Cm
4
18
4,33437E-03
-5,05426E-03
2,25906E-03
-5,45475E-04
8,28128E-05
-3,37553E-06
5,33312E-08
21
18
58
1,21628E+00
-1,00482E-01
-6,76727E-03
1,08811E-03
-2,16118E-05
1,61942E-07
-4,15862E-10
(в ред. Приказа Ростехнадзора от 04.02.2021 N 46)
244Cm
6
20
-1,77747E-03
1,88440E-03
-7,14532E-04
1,32076E-04
-1,45347E-05
1,29190E-06
-1,55523E-08
16,7
20
58
-1,21278E+02
1,82395E+01
-1,10279E+00
3,40296E-02
-5,58561E-04
5,20214E-06
-2,03187E-08
(в ред. Приказа Ростехнадзора от 04.02.2021 N 46)
245Cm
6
32
-2,96368E-05
3,77218E-05
-1,77201E-05
3,96141E-06
-4,50759E-07
2,36257E-08
1,60787E-10
37
32
58
-7,18650E-03
4,04819E-03
-7,09568E-04
6,11848E-05
-3,15562E-06
9,58780E-08
-6,75985E-10
(в ред. Приказа Ростехнадзора от 04.02.2021 N 46)
Таблица N 8
Аппроксимационные коэффициенты зависимости концентрации
144Ce, 134Cs, 135Cs, 137Cs, 154Eu, 155Eu, 3H, 85Kr, 237Np,
107Pd, 238Pu, 239Pu, 240Pu, 241Pu, 242Pu, 106Ru, 125Sb,
79Se, 151Sm, 121mSn, 126Sn, 90Sr, 99Tc, 125mTe, 234U, 235U,
236U, 238U, 93Zr (y, г/тU) от глубины выгорания
(x, ГВт·сут/тU) отработавшего ядерного топлива ВВЭР-440
с начальным обогащением 4,38% по 235U
Нуклид
Аппроксимационные коэффициенты
, %
144Ce
3,48319E+00
3,35777E+01
-1,24352E+00
2,43145E-02
-2,52151E-04
1,07762E-06
0,00000E+00
2
134Cs
-3,73206E-01
1,16457E-01
1,17716E-01
-9,27027E-04
2,24429E-06
0,00000E+00
0,00000E+00
8
135Cs
-7,74857E-01
1,52761E+01
-1,60630E-02
-3,65827E-04
4,15837E-06
0,00000E+00
0,00000E+00
13
137Cs
-2,62916E-02
3,82591E+01
-2,57480E-02
-7,87994E-04
2,26100E-05
-3,13561E-07
1,66571E-09
2,4
154Eu
-8,07664E-02
5,05294E-02
9,44719E-03
8,16247E-04
-2,31443E-05
2,36795E-07
-8,97319E-10
18
155Eu
1,87822E-01
7,90669E-02
-3,03960E-03
3,08336E-04
-6,85014E-06
6,63263E-08
-2,50446E-10
26
3H
-5,00434E-05
1,38064E-03
1,05535E-05
-5,40630E-08
0,00000E+00
0,00000E+00
0,00000E+00
8
85Kr
4,72268E-02
1,06570E+00
-9,55999E-03
5,66387E-05
-2,02822E-07
0,00000E+00
0,00000E+00
5
237Np
-2,67824E+00
4,77312E+00
4,98317E-01
-7,53459E-03
4,28434E-05
-1,04618E-07
0,00000E+00
23,6
107Pd
-1,14868E+00
1,66015E+00
1,44907E-01
-9,44345E-04
3,30768E-06
0,00000E+00
0,00000E+00
4
238Pu
8,56341E-03
-5,27141E-02
5,34911E-02
2,54598E-03
5,06347E-06
-5,77918E-07
3,37786E-09
6,5
239Pu
-2,67989E+01
5,56163E+02
-2,33700E+01
6,65580E-01
-1,21492E-02
1,22048E-04
-5,03931E-07
5,3
240Pu
-4,01396E+01
2,72117E+01
3,53461E+00
-1,29784E-01
2,36768E-03
-2,33293E-05
9,56027E-08
3,5
241Pu
1,55246E+01
-1,34617E+01
4,18385E+00
-1,25452E-01
1,82051E-03
-1,37133E-05
4,24147E-08
4,4
242Pu
-1,56194E-01
2,23571E-01
-1,13696E-01
2,75800E-02
-6,28855E-04
6,53422E-06
-2,76997E-08
6,5
106Ru
-9,48186E-01
3,09141E+00
1,09104E-01
-3,67727E-03
5,71997E-05
-4,46244E-07
1,30097E-09
23
125Sb
-5,25645E-02
2,09121E-01
2,17727E-03
-7,90019E-05
9,71795E-07
-4,69120E-09
0,00000E+00
39
79Se
2,46442E-04
1,56507E-01
-1,98851E-04
-4,93710E-06
6,55022E-08
-3,07250E-10
0,00000E+00
26
151Sm
1,14289E+00
2,06150E+00
-1,42522E-01
5,77476E-03
-1,25413E-04
1,37266E-06
-5,94876E-09
24
121mSn
-1,36009E-03
4,68252E-03
9,22269E-05
-9,68467E-07
4,07808E-09
0,00000E+00
0,00000E+00
64
126Sn
-8,32827E-02
3,57544E-01
6,80916E-03
-6,87154E-05
3,46942E-07
0,00000E+00
0,00000E+00
7,9
90Sr
9,68281E-01
2,22259E+01
-1,79148E-01
1,09699E-03
-4,11656E-06
0,00000E+00
0,00000E+00
22
99Tc
-5,53370E+00
2,86021E+01
-1,23436E-01
6,94593E-04
-5,40744E-06
0,00000E+00
0,00000E+00
5
125mTe
-2,75956E-03
1,64823E-03
1,00309E-04
-2,99002E-06
3,84221E-08
-1,89094E-10
0,00000E+00
7,8
234U
3,89274E+02
-5,41009E+00
3,93549E-02
-4,39988E-04
3,44690E-06
0,00000E+00
0,00000E+00
4,3
235U
4,36553E+04
-1,16383E+03
1,22587E+01
-6,99414E-02
2,36055E-04
0,00000E+00
0,00000E+00
5,1
236U
2,29754E+02
2,29371E+02
-2,99952E+00
1,78061E-02
-5,97825E-05
0,00000E+00
0,00000E+00
1,7
238U
9,55292E+05
-5,54237E+02
-4,18351E+00
1,36687E-02
2,57478E-05
0,00000E+00
0,00000E+00
0,2
93Zr
7,77998E-01
2,57024E+01
-1,16297E-01
3,73245E-04
1,49317E-07
0,00000E+00
0,00000E+00
1
Таблица N 9
Аппроксимационные коэффициенты зависимости концентрации
241Am, 242mAm, 243Am, 242Cm, 244Cm, 245Cm (y, г/тU)
от глубины выгорания (x, ГВт·сут/тU) отработавшего ядерного
топлива ВВЭР-440 с начальным обогащением 4,38% по 235U
Нуклид
Выгорание, ГВт·сут/тU
Аппроксимационные коэффициенты
, %
не менее
не более
241Am
2
18
-3,73975E-02
4,66277E-02
-2,21970E-02
5,20747E-03
-1,49311E-04
1,11388E-06
1,49740E-08
6,5
18
66
1,12521E+00
-3,31128E-01
2,03829E-02
2,99434E-03
-9,80786E-05
1,12097E-06
-4,57961E-09
242mAm
2
18
-9,57582E-04
1,04407E-03
-3,91115E-04
5,61556E-05
6,19628E-07
-4,39048E-08
0,00000E+00
8
18
66
2,14569E-01
-3,63144E-02
1,70221E-03
4,27781E-05
-1,91459E-06
2,27701E-08
-9,20487E-11
243Am
2
18
-4,24350E-03
3,63745E-03
-5,67078E-04
-2,60370E-04
1,06542E-04
-1,22490E-06
5,94618E-09
13,7
18
66
-2,34522E+01
4,42092E+00
-3,38943E-01
1,29742E-02
-1,53100E-04
7,97035E-07
-1,66879E-09
242Cm
2
18
-1,44950E-03
1,39480E-03
-3,44660E-04
-4,06840E-05
3,10423E-05
-8,47236E-07
4,94792E-09
21
18
66
-1,04960E-01
6,75614E-02
-1,34481E-02
1,10992E-03
-1,81144E-05
9,19353E-08
0,00000E+00
244Cm
6
20
9,14903E-03
-9,01250E-03
3,04423E-03
-4,66659E-04
3,35309E-05
-6,42803E-07
1,34283E-08
16,7
20
66
1,83190E-01
-1,14259E-01
2,13647E-02
-1,72082E-03
6,44062E-05
-4,92919E-07
1,09579E-09
(в ред. Приказа Ростехнадзора от 04.02.2021 N 46)
245Cm
6
32
-1,79230E-04
1,85704E-04
-6,79231E-05
1,17159E-05
-1,03933E-06
4,47422E-08
-1,82537E-10
37
32
66
2,44568E+00
-4,20026E-01
2,90664E-02
-1,02759E-03
1,88008E-05
-1,38963E-07
3,58913E-10
(в ред. Приказа Ростехнадзора от 04.02.2021 N 46)
Таблица N 10
Аппроксимационные коэффициенты зависимости концентрации
144Ce, 134Cs, 135Cs, 137Cs, 154Eu, 155Eu, 3H, 85Kr, 237Np,
107Pd, 238Pu, 239Pu, 240Pu, 241Pu, 242Pu, 106Ru, 125Sb,
79Se, 151Sm, 121mSn, 126Sn, 90Sr, 99Tc, 125mTe, 234U, 235U,
236U, 238U, 93Zr (y, г/тU) от глубины выгорания
(x, ГВт·сут/тU) отработавшего ядерного топлива ВВЭР-440
с начальным обогащением 4,87% по 235U
Нуклид
Аппроксимационные коэффициенты
, %
144Ce
1,67368E+00
3,44273E+01
-1,33851E+00
2,96576E-02
-3,97218E-04
2,94216E-06
-9,13522E-09
2
134Cs
4,43270E-02
-8,16471E-02
1,30241E-01
-1,63710E-03
1,66544E-05
-1,27491E-07
4,29835E-10
8
135Cs
-6,08768E-01
1,60631E+01
1,42465E-02
-1,22071E-03
1,45928E-05
-5,55803E-08
0,00000E+00
13
137Cs
-4,01760E-02
3,81086E+01
-4,04808E-02
0,00000E+00
0,00000E+00
0,00000E+00
0,00000E+00
2,4
154Eu
4,30044E-02
-1,43123E-02
1,65541E-02
3,22731E-04
-8,57024E-06
4,85947E-08
0,00000E+00
18
155Eu
1,97076E-01
7,95276E-02
-3,62831E-03
3,22208E-04
-7,16159E-06
7,23066E-08
-2,92808E-10
26
3H
-7,19237E-06
1,35940E-03
9,79795E-06
-5,34803E-08
1,63431E-10
-9,79188E-13
0,00000E+00
8
85Kr
9,07912E-03
1,08310E+00
-1,01312E-02
9,00869E-05
-8,39863E-07
3,97324E-09
0,00000E+00
5
237Np
-1,95929E+00
3,81730E+00
5,37392E-01
-8,22903E-03
5,45963E-05
-1,75120E-07
0,00000E+00
23,6
107Pd
-4,32452E-01
1,25445E+00
1,48971E-01
-1,45320E-03
1,36699E-05
-6,62741E-08
0,00000E+00
4
238Pu
9,11963E-02
-8,40647E-02
4,49999E-02
2,58805E-03
5,46340E-07
-4,07275E-07
2,15308E-09
6,5
239Pu
-2,70983E+01
4,92983E+02
-1,62634E+01
3,63525E-01
-5,61454E-03
5,11096E-05
-1,99005E-07
5,3
240Pu
-2,82243E+01
1,90534E+01
3,54688E+00
-1,22829E-01
2,21182E-03
-2,18762E-05
9,03817E-08
3,5
241Pu
1,88909E+01
-1,44151E+01
3,70595E+00
-9,76419E-02
1,22579E-03
-7,94559E-06
2,12257E-08
4,4
242Pu
1,49220E-01
9,33923E-02
-9,09225E-02
2,09835E-02
-4,18396E-04
3,77540E-06
-1,40237E-08
6,5
106Ru
-3,60412E-01
2,65273E+00
1,15098E-01
-4,22637E-03
7,71755E-05
-7,44206E-07
2,92425E-09
23
125Sb
-3,88432E-02
2,01233E-01
1,90922E-03
-6,98634E-05
8,34246E-07
-3,84302E-09
0,00000E+00
39
79Se
-9,84427E-06
1,56370E-01
-2,13010E-04
-3,05372E-06
3,60252E-08
-2,42390E-10
9,94635E-13
26
151Sm
1,06846E+00
2,10530E+00
-1,37413E-01
5,36495E-03
-1,13621E-04
1,22002E-06
-5,20635E-09
24
121mSn
-1,55848E-04
4,11233E-03
1,24716E-04
-2,59841E-06
4,07880E-08
-3,81439E-10
1,50568E-12
64
126Sn
-1,22746E-02
3,24054E-01
8,49731E-03
-1,59403E-04
2,45070E-06
-2,19902E-08
8,34297E-11
7,9
90Sr
4,62589E-01
2,25417E+01
-1,87237E-01
1,78451E-03
-1,76846E-05
8,40608E-08
0,00000E+00
22
99Tc
-3,65495E+00
2,77266E+01
-8,64832E-02
4,12570E-06
-1,32054E-06
1,14709E-08
0,00000E+00
5
125mTe
-2,62374E-03
1,63359E-03
9,27130E-05
-2,80015E-06
3,61879E-08
-1,78490E-10
0,00000E+00
7,8
234U
4,33283E+02
-5,22430E+00
1,84713E-02
5,18753E-05
-3,07010E-06
5,88459E-08
-3,49808E-10
4,3
235U
4,86484E+04
-1,21427E+03
1,37046E+01
-1,41710E-01
1,43590E-03
-6,79632E-06
0,00000E+00
5,1
236U
2,30574E+02
2,37693E+02
-3,05831E+00
2,73380E-02
-2,67446E-04
1,31969E-06
0,00000E+00
1,7
238U
9,50429E+05
-5,58862E+02
-3,43278E+00
3,91369E-02
-6,52494E-04
3,78574E-06
0,00000E+00
0,2
93Zr
-2,23213E-01
2,60433E+01
-1,32432E-01
1,16768E-03
-1,19449E-05
5,61441E-08
0,00000E+00
1
Таблица N 11
Аппроксимационные коэффициенты зависимости концентрации
241Am, 242mAm, 243Am, 242Cm, 244Cm, 245Cm (y, г/тU)
от глубины выгорания (x, ГВт·сут/тU) отработавшего ядерного
топлива ВВЭР-440 с начальным обогащением 4,87% по 235U
Нуклид
Выгорание, ГВт·сут/тU
Аппроксимационные коэффициенты
, %
не менее
не более
241Am
2
18
-4,38098E-02
4,90277E-02
-2,03370E-02
4,13756E-03
-8,80337E-05
3,79748E-07
0,00000E+00
6,5
18
68
1,22894E+01
-2,23133E+00
1,45058E-01
-1,60733E-03
2,65502E-07
4,95722E-08
0,00000E+00
242mAm
2
18
-8,82927E-04
8,76509E-04
-2,83446E-04
3,13324E-05
1,67622E-06
-5,66030E-08
0,00000E+00
8
18
68
2,09705E-01
-3,25482E-02
1,21519E-03
5,42145E-05
-1,83176E-06
1,89271E-08
-6,72845E-11
243Am
4
18
7,15027E-03
-8,44250E-03
3,79776E-03
-8,84471E-04
1,17825E-04
-1,51476E-06
0,00000E+00
13,7
18
68
-1,54151E+01
2,94056E+00
-2,25722E-01
8,34497E-03
-7,68118E-05
2,26947E-07
0,00000E+00
(в ред. Приказа Ростехнадзора от 04.02.2021 N 46)
242Cm
4
18
-1,73375E-03
1,46881E-03
-2,83478E-04
-4,70304E-05
2,38416E-05
-4,97145E-07
0,00000E+00
21
18
68
3,27549E-02
7,26148E-02
-1,51856E-02
1,12965E-03
-1,92353E-05
1,29736E-07
-3,09055E-10
(в ред. Приказа Ростехнадзора от 04.02.2021 N 46)
244Cm
6
20
3,00130E-03
-2,87922E-03
9,25707E-04
-1,27204E-04
6,33727E-06
2,24690E-07
0,00000E+00
16,7
20
68
8,81638E+00
-1,64763E+00
1,27497E-01
-5,27543E-03
1,21155E-04
-1,00100E-06
3,02373E-09
(в ред. Приказа Ростехнадзора от 04.02.2021 N 46)
245Cm
6
32
-3,54731E-04
3,27514E-04
-1,03124E-04
1,51411E-05
-1,14295E-06
4,15496E-08
-1,96659E-10
37
32
68
4,30520E-01
-1,13974E-01
9,69520E-03
-3,75815E-04
6,65986E-06
-2,90192E-08
-1,96205E-11
(в ред. Приказа Ростехнадзора от 04.02.2021 N 46)
Таблица N 12
Остаточное тепловыделение (Вт/тU) отработавшего ядерного
топлива ВВЭР-440 с начальным обогащением 3,6% по 235U
в зависимости от времени выдержки и глубины
выгорания топлива
Глубина выгорания, ГВт·сут/тU
Время выдержки, лет
0,01
0,03
0,1
0,3
1
3
10
20
2
8,29E+04
4,44E+04
1,84E+04
6,68E+03
1,17E+03
2,18E+02
6,28E+01
4,88E+01
4
9,40E+04
5,41E+04
2,57E+04
1,06E+04
2,11E+03
4,30E+02
1,27E+02
9,86E+01
6
9,97E+04
5,91E+04
2,98E+04
1,30E+04
2,89E+03
6,32E+02
1,90E+02
1,48E+02
8
1,03E+05
6,21E+04
3,22E+04
1,46E+04
3,57E+03
8,26E+02
2,53E+02
1,99E+02
10
1,05E+05
6,40E+04
3,38E+04
1,58E+04
4,20E+03
1,02E+03
3,19E+02
2,51E+02
12
1,07E+05
6,52E+04
3,50E+04
1,67E+04
4,76E+03
1,20E+03
3,84E+02
3,04E+02
14
1,08E+05
6,62E+04
3,59E+04
1,75E+04
5,29E+03
1,39E+03
4,49E+02
3,56E+02
16
1,10E+05
6,70E+04
3,66E+04
1,82E+04
5,78E+03
1,56E+03
5,16E+02
4,10E+02
18
1,11E+05
6,78E+04
3,73E+04
1,89E+04
6,26E+03
1,74E+03
5,84E+02
4,64E+02
20
1,12E+05
6,85E+04
3,80E+04
1,95E+04
6,72E+03
1,92E+03
6,52E+02
5,19E+02
22
1,13E+05
6,91E+04
3,86E+04
2,01E+04
7,16E+03
2,10E+03
7,21E+02
5,74E+02
24
1,14E+05
6,98E+04
3,92E+04
2,07E+04
7,59E+03
2,27E+03
7,93E+02
6,30E+02
26
1,15E+05
7,04E+04
3,98E+04
2,13E+04
8,01E+03
2,45E+03
8,65E+02
6,87E+02
28
1,15E+05
7,10E+04
4,03E+04
2,18E+04
8,42E+03
2,63E+03
9,38E+02
7,44E+02
30
1,16E+05
7,17E+04
4,09E+04
2,24E+04
8,83E+03
2,81E+03
1,02E+03
8,04E+02
32
1,17E+05
7,23E+04
4,14E+04
2,29E+04
9,23E+03
2,99E+03
1,09E+03
8,64E+02
34
1,18E+05
7,29E+04
4,20E+04
2,34E+04
9,62E+03
3,17E+03
1,17E+03
9,25E+02
36
1,19E+05
7,36E+04
4,26E+04
2,40E+04
1,00E+04
3,35E+03
1,25E+03
9,87E+02
Таблица N 13
Остаточное тепловыделение (Вт/тU) отработавшего ядерного
топлива ВВЭР-440 с начальным обогащением 3,82% по 235U
в зависимости от времени выдержки и глубины
выгорания топлива
Глубина выгорания, ГВт·сут/тU
Время выдержки, лет
0,01
0,03
0,1
0,3
1
3
10
20
2
8,27E+04
4,44E+04
1,84E+04
6,68E+03
1,17E+03
2,18E+02
6,28E+01
4,88E+01
4
9,38E+04
5,42E+04
2,58E+04
1,06E+04
2,11E+03
4,30E+02
1,27E+02
9,85E+01
6
9,94E+04
5,92E+04
2,98E+04
1,30E+04
2,88E+03
6,30E+02
1,90E+02
1,48E+02
8
1,03E+05
6,21E+04
3,23E+04
1,46E+04
3,57E+03
8,24E+02
2,53E+02
1,99E+02
10
1,05E+05
6,40E+04
3,39E+04
1,58E+04
4,19E+03
1,02E+03
3,19E+02
2,51E+02
12
1,07E+05
6,53E+04
3,50E+04
1,67E+04
4,75E+03
1,20E+03
3,84E+02
3,03E+02
14
1,08E+05
6,63E+04
3,59E+04
1,75E+04
5,27E+03
1,38E+03
4,49E+02
3,56E+02
16
1,09E+05
6,71E+04
3,67E+04
1,82E+04
5,76E+03
1,56E+03
5,16E+02
4,09E+02
18
1,10E+05
6,79E+04
3,74E+04
1,89E+04
6,23E+03
1,73E+03
5,84E+02
4,64E+02
20
1,11E+05
6,86E+04
3,80E+04
1,95E+04
6,68E+03
1,91E+03
6,52E+02
5,18E+02
22
1,12E+05
6,92E+04
3,86E+04
2,01E+04
7,11E+03
2,08E+03
7,21E+02
5,73E+02
24
1,13E+05
6,99E+04
3,92E+04
2,07E+04
7,54E+03
2,26E+03
7,92E+02
6,30E+02
26
1,14E+05
7,05E+04
3,98E+04
2,12E+04
7,95E+03
2,43E+03
8,64E+02
6,86E+02
28
1,15E+05
7,11E+04
4,04E+04
2,18E+04
8,35E+03
2,61E+03
9,37E+02
7,44E+02
30
1,16E+05
7,17E+04
4,09E+04
2,23E+04
8,76E+03
2,78E+03
1,01E+03
8,03E+02
32
1,17E+05
7,23E+04
4,15E+04
2,29E+04
9,15E+03
2,96E+03
1,09E+03
8,62E+02
34
1,18E+05
7,29E+04
4,20E+04
2,34E+04
9,54E+03
3,14E+03
1,17E+03
9,23E+02
36
1,19E+05
7,36E+04
4,26E+04
2,39E+04
9,93E+03
3,32E+03
1,25E+03
9,85E+02
38
1,20E+05
7,42E+04
4,31E+04
2,44E+04
1,03E+04
3,51E+03
1,34E+03
1,05E+03
40
1,21E+05
7,48E+04
4,37E+04
2,49E+04
1,07E+04
3,70E+03
1,42E+03
1,12E+03
42
1,22E+05
7,55E+04
4,42E+04
2,54E+04
1,11E+04
3,89E+03
1,51E+03
1,18E+03
44
1,23E+05
7,61E+04
4,47E+04
2,59E+04
1,15E+04
4,09E+03
1,61E+03
1,25E+03
46
1,23E+05
7,67E+04
4,53E+04
2,64E+04
1,19E+04
4,28E+03
1,70E+03
1,32E+03
Таблица N 14
Остаточное тепловыделение (Вт/тU) отработавшего ядерного
топлива ВВЭР-440 с начальным обогащением 4,25% по 235U
в зависимости от времени выдержки и глубины
выгорания топлива
Глубина выгорания, ГВт·сут/тU
Время выдержки, лет
0,01
0,03
0,1
0,3
1
3
10
20
2
8,29E+04
4,44E+04
1,84E+04
6,68E+03
1,17E+03
2,18E+02
6,28E+01
4,88E+01
4
9,39E+04
5,42E+04
2,58E+04
1,06E+04
2,11E+03
4,29E+02
1,27E+02
9,86E+01
6
9,93E+04
5,92E+04
2,98E+04
1,30E+04
2,88E+03
6,29E+02
1,90E+02
1,48E+02
8
1,03E+05
6,22E+04
3,23E+04
1,46E+04
3,56E+03
8,21E+02
2,54E+02
1,99E+02
10
1,05E+05
6,41E+04
3,40E+04
1,58E+04
4,17E+03
1,01E+03
3,19E+02
2,51E+02
12
1,06E+05
6,55E+04
3,52E+04
1,68E+04
4,73E+03
1,19E+03
3,84E+02
3,03E+02
14
1,08E+05
6,64E+04
3,61E+04
1,76E+04
5,24E+03
1,37E+03
4,50E+02
3,56E+02
16
1,09E+05
6,73E+04
3,68E+04
1,83E+04
5,72E+03
1,54E+03
5,16E+02
4,09E+02
18
1,10E+05
6,80E+04
3,75E+04
1,89E+04
6,18E+03
1,72E+03
5,84E+02
4,64E+02
20
1,11E+05
6,87E+04
3,82E+04
1,95E+04
6,62E+03
1,89E+03
6,52E+02
5,18E+02
22
1,12E+05
6,94E+04
3,88E+04
2,01E+04
7,04E+03
2,05E+03
7,21E+02
5,73E+02
24
1,13E+05
7,00E+04
3,94E+04
2,07E+04
7,45E+03
2,23E+03
7,92E+02
6,29E+02
26
1,14E+05
7,06E+04
3,99E+04
2,12E+04
7,85E+03
2,40E+03
8,63E+02
6,86E+02
28
1,14E+05
7,12E+04
4,05E+04
2,17E+04
8,20E+03
2,55E+03
9,34E+02
7,41E+02
30
1,15E+05
7,18E+04
4,10E+04
2,23E+04
8,63E+03
2,74E+03
1,01E+03
8,02E+02
32
1,16E+05
7,24E+04
4,15E+04
2,28E+04
9,01E+03
2,91E+03
1,09E+03
8,61E+02
34
1,17E+05
7,30E+04
4,20E+04
2,33E+04
9,38E+03
3,08E+03
1,16E+03
9,21E+02
36
1,18E+05
7,36E+04
4,26E+04
2,38E+04
9,76E+03
3,26E+03
1,24E+03
9,82E+02
38
1,19E+05
7,42E+04
4,31E+04
2,43E+04
1,01E+04
3,44E+03
1,33E+03
1,05E+03
40
1,20E+05
7,48E+04
4,36E+04
2,48E+04
1,05E+04
3,62E+03
1,41E+03
1,11E+03
42
1,21E+05
7,54E+04
4,41E+04
2,53E+04
1,09E+04
3,81E+03
1,50E+03
1,18E+03
44
1,22E+05
7,60E+04
4,47E+04
2,58E+04
1,13E+04
4,00E+03
1,59E+03
1,25E+03
46
1,23E+05
7,66E+04
4,52E+04
2,62E+04
1,16E+04
4,19E+03
1,68E+03
1,31E+03
48
1,24E+05
7,72E+04
4,57E+04
2,67E+04
1,20E+04
4,38E+03
1,78E+03
1,39E+03
50
1,24E+05
7,78E+04
4,62E+04
2,72E+04
1,24E+04
4,58E+03
1,88E+03
1,46E+03
52
1,25E+05
7,84E+04
4,68E+04
2,77E+04
1,27E+04
4,78E+03
1,98E+03
1,53E+03
54
1,26E+05
7,91E+04
4,73E+04
2,82E+04
1,31E+04
4,98E+03
2,08E+03
1,61E+03
56
1,27E+05
7,97E+04
4,78E+04
2,87E+04
1,35E+04
5,19E+03
2,19E+03
1,69E+03
58
1,28E+05
8,03E+04
4,83E+04
2,91E+04
1,38E+04
5,40E+03
2,30E+03
1,77E+03
Таблица N 15
Остаточное тепловыделение (Вт/тU) отработавшего ядерного
топлива ВВЭР-440 с начальным обогащением 4,38% по 235U
в зависимости от времени выдержки и глубины
выгорания топлива
Глубина выгорания, ГВт·сут/тU
Время выдержки, лет
0,01
0,03
0,1
0,3
1
3
10
20
2
8,27E+04
4,44E+04
1,84E+04
6,68E+03
1,17E+03
2,18E+02
6,28E+01
4,88E+01
4
9,37E+04
5,42E+04
2,58E+04
1,06E+04
2,11E+03
4,29E+02
1,27E+02
9,85E+01
6
9,92E+04
5,93E+04
2,99E+04
1,30E+04
2,88E+03
6,28E+02
1,90E+02
1,48E+02
8
1,02E+05
6,22E+04
3,24E+04
1,46E+04
3,56E+03
8,19E+02
2,54E+02
1,99E+02
10
1,05E+05
6,42E+04
3,40E+04
1,58E+04
4,17E+03
1,01E+03
3,19E+02
2,51E+02
12
1,06E+05
6,55E+04
3,52E+04
1,68E+04
4,72E+03
1,19E+03
3,84E+02
3,03E+02
14
1,08E+05
6,70E+04
3,64E+04
1,77E+04
5,24E+03
1,37E+03
4,50E+02
3,56E+02
16
1,09E+05
6,73E+04
3,69E+04
1,83E+04
5,71E+03
1,54E+03
5,16E+02
4,09E+02
18
1,10E+05
6,81E+04
3,76E+04
1,89E+04
6,17E+03
1,71E+03
5,84E+02
4,63E+02
20
1,11E+05
6,88E+04
3,82E+04
1,95E+04
6,60E+03
1,88E+03
6,51E+02
5,17E+02
22
1,12E+05
6,94E+04
3,88E+04
2,01E+04
7,01E+03
2,05E+03
7,20E+02
5,72E+02
24
1,13E+05
7,00E+04
3,94E+04
2,07E+04
7,42E+03
2,22E+03
7,91E+02
6,28E+02
26
1,13E+05
7,06E+04
3,99E+04
2,12E+04
7,82E+03
2,38E+03
8,62E+02
6,84E+02
28
1,14E+05
7,12E+04
4,05E+04
2,17E+04
8,20E+03
2,55E+03
9,34E+02
7,41E+02
30
1,15E+05
7,18E+04
4,10E+04
2,22E+04
8,59E+03
2,72E+03
1,01E+03
8,00E+02
32
1,16E+05
7,24E+04
4,15E+04
2,27E+04
8,96E+03
2,89E+03
1,08E+03
8,59E+02
34
1,17E+05
7,30E+04
4,20E+04
2,32E+04
9,33E+03
3,07E+03
1,16E+03
9,19E+02
36
1,18E+05
7,36E+04
4,26E+04
2,37E+04
9,70E+03
3,24E+03
1,24E+03
9,80E+02
38
1,19E+05
7,42E+04
4,31E+04
2,42E+04
1,01E+04
3,42E+03
1,32E+03
1,04E+03
40
1,20E+05
7,48E+04
4,36E+04
2,47E+04
1,04E+04
3,60E+03
1,41E+03
1,11E+03
42
1,21E+05
7,54E+04
4,41E+04
2,52E+04
1,08E+04
3,78E+03
1,49E+03
1,17E+03
44
1,21E+05
7,60E+04
4,46E+04
2,57E+04
1,12E+04
3,97E+03
1,58E+03
1,24E+03
46
1,22E+05
7,65E+04
4,51E+04
2,62E+04
1,15E+04
4,16E+03
1,67E+03
1,31E+03
48
1,23E+05
7,71E+04
4,57E+04
2,66E+04
1,19E+04
4,35E+03
1,77E+03
1,38E+03
50
1,24E+05
7,78E+04
4,62E+04
2,71E+04
1,23E+04
4,54E+03
1,86E+03
1,45E+03
52
1,25E+05
7,84E+04
4,67E+04
2,76E+04
1,26E+04
4,74E+03
1,96E+03
1,53E+03
54
1,26E+05
7,90E+04
4,72E+04
2,81E+04
1,30E+04
4,94E+03
2,07E+03
1,60E+03
56
1,27E+05
7,96E+04
4,77E+04
2,86E+04
1,34E+04
5,15E+03
2,17E+03
1,68E+03
58
1,28E+05
8,02E+04
4,82E+04
2,90E+04
1,37E+04
5,36E+03
2,28E+03
1,76E+03
60
1,29E+05
8,08E+04
4,87E+04
2,95E+04
1,41E+04
5,57E+03
2,39E+03
1,84E+03
62
1,30E+05
8,14E+04
4,92E+04
3,00E+04
1,45E+04
5,78E+03
2,51E+03
1,93E+03
64
1,31E+05
8,20E+04
4,97E+04
3,04E+04
1,48E+04
6,00E+03
2,63E+03
2,01E+03
66
1,31E+05
8,26E+04
5,02E+04
3,09E+04
1,52E+04
6,22E+03
2,75E+03
2,10E+03
Таблица N 16
Остаточное тепловыделение (Вт/тU) отработавшего ядерного
топлива ВВЭР-440 с начальным обогащением 4,87% по 235U
в зависимости от времени выдержки и глубины
выгорания топлива
Глубина выгорания, ГВт·сут/тU
Время выдержки, лет
0,01
0,03
0,1
0,3
1
3
10
20
2
8,15E+04
4,44E+04
1,85E+04
6,70E+03
1,17E+03
2,17E+02
6,28E+01
4,88E+01
4
9,26E+04
5,42E+04
2,59E+04
1,06E+04
2,11E+03
4,26E+02
1,27E+02
9,83E+01
6
9,84E+04
5,94E+04
3,00E+04
1,31E+04
2,87E+03
6,22E+02
1,90E+02
1,48E+02
8
1,02E+05
6,24E+04
3,26E+04
1,47E+04
3,54E+03
8,10E+02
2,54E+02
1,98E+02
10
1,05E+05
6,44E+04
3,42E+04
1,59E+04
4,14E+03
9,98E+02
3,19E+02
2,50E+02
12
1,06E+05
6,57E+04
3,54E+04
1,68E+04
4,68E+03
1,18E+03
3,84E+02
3,02E+02
14
1,08E+05
6,72E+04
3,66E+04
1,77E+04
5,19E+03
1,35E+03
4,50E+02
3,55E+02
16
1,09E+05
6,75E+04
3,70E+04
1,83E+04
5,66E+03
1,52E+03
5,16E+02
4,08E+02
18
1,10E+05
6,83E+04
3,77E+04
1,89E+04
6,11E+03
1,69E+03
5,84E+02
4,61E+02
20
1,11E+05
6,90E+04
3,83E+04
1,95E+04
6,52E+03
1,85E+03
6,51E+02
5,15E+02
22
1,12E+05
6,96E+04
3,89E+04
2,01E+04
6,92E+03
2,02E+03
7,19E+02
5,70E+02
24
1,13E+05
7,01E+04
3,95E+04
2,07E+04
7,32E+03
2,19E+03
7,90E+02
6,26E+02
26
1,13E+05
7,07E+04
4,00E+04
2,11E+04
7,71E+03
2,34E+03
8,61E+02
6,82E+02
28
1,14E+05
7,13E+04
4,06E+04
2,16E+04
8,08E+03
2,51E+03
9,32E+02
7,39E+02
30
1,15E+05
7,19E+04
4,10E+04
2,21E+04
8,46E+03
2,68E+03
1,01E+03
7,98E+02
32
1,16E+05
7,25E+04
4,15E+04
2,26E+04
8,81E+03
2,84E+03
1,08E+03
8,57E+02
34
1,16E+05
7,30E+04
4,20E+04
2,31E+04
9,17E+03
3,02E+03
1,16E+03
9,16E+02
36
1,17E+05
7,36E+04
4,26E+04
2,36E+04
9,53E+03
3,18E+03
1,24E+03
9,77E+02
38
1,18E+05
7,42E+04
4,31E+04
2,40E+04
9,92E+03
3,36E+03
1,31E+03
1,04E+03
40
1,19E+05
7,48E+04
4,35E+04
2,45E+04
1,02E+04
3,54E+03
1,40E+03
1,11E+03
42
1,20E+05
7,53E+04
4,40E+04
2,50E+04
1,06E+04
3,71E+03
1,48E+03
1,17E+03
44
1,20E+05
7,59E+04
4,45E+04
2,55E+04
1,10E+04
3,89E+03
1,57E+03
1,23E+03
46
1,21E+05
7,64E+04
4,50E+04
2,60E+04
1,13E+04
4,08E+03
1,66E+03
1,30E+03
48
1,22E+05
7,70E+04
4,56E+04
2,64E+04
1,17E+04
4,26E+03
1,75E+03
1,37E+03
50
1,23E+05
7,77E+04
4,61E+04
2,69E+04
1,21E+04
4,45E+03
1,84E+03
1,44E+03
52
1,24E+05
7,83E+04
4,66E+04
2,74E+04
1,24E+04
4,64E+03
1,94E+03
1,52E+03
54
1,25E+05
7,89E+04
4,71E+04
2,79E+04
1,28E+04
4,84E+03
2,05E+03
1,59E+03
56
1,26E+05
7,95E+04
4,76E+04
2,84E+04
1,31E+04
5,04E+03
2,14E+03
1,67E+03
58
1,27E+05
8,01E+04
4,81E+04
2,88E+04
1,34E+04
5,25E+03
2,25E+03
1,74E+03
60
1,28E+05
8,06E+04
4,86E+04
2,93E+04
1,38E+04
5,45E+03
2,36E+03
1,82E+03
62
1,29E+05
8,13E+04
4,90E+04
2,98E+04
1,42E+04
5,66E+03
2,47E+03
1,91E+03
64
1,30E+05
8,19E+04
4,96E+04
3,01E+04
1,45E+04
5,87E+03
2,59E+03
1,99E+03
66
1,30E+05
8,25E+04
5,01E+04
3,07E+04
1,49E+04
6,09E+03
2,70E+03
2,08E+03
68
1,31E+05
8,31E+04
5,06E+04
3,11E+04
1,53E+04
6,32E+03
2,83E+03
2,17E+03
Приложение N 3
к руководству по безопасности
при использовании атомной энергии
"Радиационные и теплофизические
характеристики отработавшего ядерного
топлива водо-водяных энергетических
реакторов и реакторов большой мощности
канальных", утвержденному приказом
Федеральной службы по экологическому,
технологическому и атомному надзору
от "__" _________ 20__ г. N ___
РАДИАЦИОННЫЕ И ТЕПЛОФИЗИЧЕСКИЕ ХАРАКТЕРИСТИКИ
ОТРАБОТАВШЕГО ЯДЕРНОГО ТОПЛИВА РЕАКТОРОВ БОЛЬШОЙ
МОЩНОСТИ КАНАЛЬНЫХ РБМК-1000
Список изменяющих документов
(в ред. Приказа Ростехнадзора от 04.02.2021 N 46)
В таблице N 1 настоящего приложения приведена номенклатура тепловыделяющих сборок РБМК-1000, для которой в таблицах N 2 - 13 настоящего приложения представлены аппроксимационные коэффициенты зависимости концентрации нуклида y (в г/тU) от глубины выгорания x (при x >= 2 ГВт·сут/тU) <1> отработавшего ядерного топлива на момент останова реактора.
(в ред. Приказа Ростехнадзора от 04.02.2021 N 46)
--------------------------------
<1> При x >= 4 ГВт·сут/тU для 245Cm.
(сноска введена Приказом Ростехнадзора от 04.02.2021 N 46)
Концентрации нуклидов после останова реактора определяются по формулам (1) - (4) приложения N 1 к настоящему Руководству по безопасности. Значения удельной активности (в 1010 Бк/тU), парциального тепловыделения (в Вт/тU) и ядерной концентрации (в 1021 ядер/тU) для каждого нуклида определяются по формулам (6) - (8) приложения N 1 к настоящему Руководству по безопасности.
В таблицах N 14 - 19 настоящего приложения для указанной в таблице N 1 номенклатуры топлива представлены значения остаточного тепловыделения отработавшего ядерного топлива РБМК-1000 в зависимости от глубины выгорания и времени выдержки.
Таблица N 1
Номенклатура тепловыделяющих сборок РБМК-1000
Среднее начальное обогащение
по U235, %
Проектная глубина выгорания,
ГВт·сут/тU
1,8
20
2
20
2,4
22
2,6
30
2,8
36
2,5/3,2
36
Таблица N 2
Аппроксимационные коэффициенты зависимости концентрации
144Ce, 134Cs, 135Cs, 137Cs, 154Eu, 155Eu, 3H, 85Kr, 237Np,
107Pd, 238Pu, 239Pu, 240Pu, 241Pu, 242Pu, 106Ru, 125Sb,
79Se, 151Sm, 121mSn, 126Sn, 90Sr, 99Tc, 125mTe, 235U,
236U, 238U, 93Zr (y, г/тU) от глубины выгорания (x,
ГВт·сут/тU) отработавшего ядерного топлива РБМК-1000
с начальным обогащением 1,8% по 235U
Нуклид
Аппроксимационные коэффициенты
, %
144Ce
1,41942E+00
3,41710E+01
-2,77263E+00
1,28639E-01
-3,66647E-03
5,87411E-05
-3,99105E-07
2
134Cs
8,35777E-03
-4,15131E-02
1,46246E-01
-3,64830E-03
1,42777E-04
-3,57194E-06
3,10266E-08
8
135Cs
-3,78002E-01
1,12028E+01
1,94371E-02
-7,43124E-03
2,32753E-04
-2,13579E-06
0,00000E+00
5
137Cs
-1,79657E-01
3,83494E+01
-8,00229E-02
0,00000E+00
0,00000E+00
0,00000E+00
0,00000E+00
3
154Eu
-8,05689E-03
9,95687E-03
1,88518E-02
1,54160E-04
-1,37546E-05
1,44702E-07
0,00000E+00
11
155Eu
1,21015E-01
8,11494E-02
-4,09006E-03
6,48795E-04
-2,32689E-05
3,58557E-07
-2,15677E-09
13
3H
-3,61222E-05
1,39059E-03
2,54985E-05
-1,31103E-07
-7,67567E-09
1,02029E-10
0,00000E+00
6,4
85Kr
4,48959E-02
1,06711E+00
-2,06387E-02
2,88894E-04
-4,94763E-06
5,49176E-08
0,00000E+00
8
237Np
-6,44875E-01
1,89535E+00
3,48865E-01
-6,01333E-03
-4,06155E-05
1,02271E-06
0,00000E+00
21
107Pd
-1,10845E+00
1,82568E+00
3,15158E-01
-4,44057E-03
8,08161E-05
-9,98601E-07
0,00000E+00
4
238Pu
5,22011E-03
-3,17012E-02
4,12369E-02
1,37900E-04
3,19079E-04
-1,22392E-05
1,24125E-07
17
239Pu
3,36228E+01
4,95507E+02
-4,31912E+01
2,11587E+00
-6,18518E-02
1,00546E-03
-6,94002E-06
2
240Pu
-3,21320E+01
3,38283E+01
1,07466E+01
-6,56287E-01
1,89797E-02
-3,01073E-04
2,08784E-06
7
241Pu
1,05951E+01
-1,31979E+01
6,38972E+00
-3,69532E-01
1,01641E-02
-1,43536E-04
8,42035E-07
5
242Pu
3,79862E-01
-1,32202E-01
-1,23628E-01
8,05261E-02
-1,85919E-03
1,04699E-05
3,73345E-08
15
106Ru
-8,41143E-01
3,07426E+00
2,84007E-01
-2,19040E-02
8,60748E-04
-1,75079E-05
1,39319E-07
23
125Sb
-4,58208E-02
2,19260E-01
4,26301E-03
-2,87552E-04
6,54651E-06
-5,90826E-08
0,00000E+00
39
79Se
5,97863E-04
1,57158E-01
-3,39613E-04
-2,05668E-05
3,43389E-07
-1,56501E-09
1,25124E-11
0,1
151Sm
1,52952E+00
1,05397E+00
-1,32713E-01
9,22653E-03
-3,46213E-04
6,66324E-06
-5,14409E-08
9
121mSn
-4,04354E-04
4,39902E-03
3,10517E-04
-1,34682E-05
4,33293E-07
-8,00326E-09
5,96985E-11
64
126Sn
-2,51038E-02
3,43271E-01
2,17662E-02
-9,27836E-04
3,12908E-05
-5,85860E-07
4,39008E-09
7,9
90Sr
1,11377E+00
2,21412E+01
-3,92463E-01
6,23078E-03
-1,24477E-04
1,40160E-06
0,00000E+00
20
99Tc
-1,77373E+00
2,73104E+01
-9,95330E-02
-2,77176E-04
-3,26105E-05
6,38685E-07
0,00000E+00
1
125mTe
-2,17422E-03
2,03207E-03
1,58014E-04
-8,82395E-06
2,05933E-07
-1,86077E-09
0,00000E+00
7,8
235U
1,79141E+04
-1,15047E+03
2,90884E+01
-5,39549E-01
1,13613E-02
-1,24763E-04
0,00000E+00
2
236U
9,79371E+01
1,89941E+02
-5,09265E+00
8,36848E-02
-1,64900E-03
1,86471E-05
0,00000E+00
10
238U
9,81641E+05
-6,29659E+02
2,97324E+00
-5,10585E-01
9,09604E-03
-3,92336E-05
0,00000E+00
0,5
93Zr
5,72172E-01
2,57274E+01
-2,67111E-01
3,84009E-03
-8,51493E-05
1,04232E-06
0,00000E+00
1
Таблица N 3
Аппроксимационные коэффициенты зависимости концентрации
241Am, 242mAm, 243Am, 242Cm, 244Cm, 245Cm (y, г/тU) от
глубины выгорания (x, ГВт·сут/тU) отработавшего ядерного
топлива РБМК-1000 с начальным обогащением 1,8% по 235U
Нуклид
Выгорание, ГВт·сут/тU
Аппроксимационные коэффициенты
, %
не менее
не более
241Am
2
12
-4,61400E-02
7,28848E-02
-4,70400E-02
1,63932E-02
-8,93125E-04
1,51536E-05
0,00000E+00
1
12
20
1,46505E+01
-4,53811E+00
5,40920E-01
-2,20001E-02
3,97445E-04
-2,71788E-06
0,00000E+00
242mAm
2
12
-2,30920E-03
2,99767E-03
-1,46642E-03
3,25582E-04
-1,54891E-05
2,18932E-07
0,00000E+00
8
12
20
2,31076E-01
-7,24567E-02
8,26041E-03
-2,93484E-04
3,42678E-06
1,97127E-08
-5,03902E-10
243Am
2
12
4,37800E-03
-7,49905E-03
5,33373E-03
-2,08744E-03
5,00318E-04
-8,82500E-06
0,00000E+00
19
12
20
-2,41647E+01
6,69703E+00
-7,27247E-01
3,75041E-02
-5,63796E-04
2,61860E-06
0,00000E+00
242Cm
2
12
-1,27618E-02
1,51098E-02
-6,27661E-03
9,66871E-04
6,28094E-05
-3,17440E-06
0,00000E+00
10
12
20
-2,98976E+00
1,05221E+00
-1,57629E-01
1,27856E-02
-4,44466E-04
7,07849E-06
-4,30332E-08
244Cm
2
12
9,93440E-04
-1,15483E-03
4,76405E-04
-8,08174E-05
8,17604E-07
1,99356E-06
0,00000E+00
10
12
20
9,40744E+00
-2,91230E+00
3,64027E-01
-2,33124E-02
7,82337E-04
-1,01372E-05
4,48876E-08
245Cm
4
12
-5,26419E-05
6,65124E-05
-3,21237E-05
7,79233E-06
-1,01516E-06
6,41014E-08
0,00000E+00
37
12
20
9,49918E-02
-2,98860E-02
3,69286E-03
-2,18056E-04
5,34333E-06
2,01459E-08
-8,90899E-10
(в ред. Приказа Ростехнадзора от 04.02.2021 N 46)
Таблица N 4
Аппроксимационные коэффициенты зависимости концентрации
144Ce, 134Cs, 135Cs, 137Cs, 154Eu, 155Eu, 3H, 85Kr, 237Np,
107Pd, 238Pu, 239Pu, 240Pu, 241Pu, 242Pu, 106Ru, 125Sb,
79Se, 151Sm, 121mSn, 126Sn, 90Sr, 99Tc, 125mTe, 235U, 236U,
238U, 93Zr (y, г/тU) от глубины выгорания (x, ГВт·сут/тU)
отработавшего ядерного топлива РБМК-1000 с начальным
обогащением 2,0% по 235U
Нуклид
Аппроксимационные коэффициенты
, %
144Ce
1,25422E+00
3,43640E+01
-2,76072E+00
1,27324E-01
-3,60730E-03
5,72679E-05
-3,84611E-07
2
134Cs
6,08061E-02
-8,11204E-02
1,48227E-01
-4,40038E-03
1,73983E-04
-3,93154E-06
3,14500E-08
8
135Cs
-2,70362E-01
1,20213E+01
1,82312E-02
-7,41463E-03
2,14574E-04
-1,82740E-06
0,00000E+00
5
137Cs
-2,34706E-01
3,83770E+01
-7,98878E-02
0,00000E+00
0,00000E+00
0,00000E+00
0,00000E+00
3
154Eu
-9,49919E-03
1,05680E-02
1,73945E-02
1,63475E-04
-1,21851E-05
1,18839E-07
0,00000E+00
11
155Eu
1,26137E-01
8,00565E-02
-4,26055E-03
6,13624E-04
-2,10769E-05
3,19270E-07
-1,94925E-09
13
3H
-3,36953E-05
1,38800E-03
2,22434E-05
-2,55475E-08
-7,88572E-09
8,65566E-11
0,00000E+00
6,4
85Kr
2,50505E-02
1,08433E+00
-2,10511E-02
3,92198E-04
-8,88212E-06
9,69582E-08
0,00000E+00
8
237Np
-7,41555E-01
1,94216E+00
3,32082E-01
-4,74112E-03
-5,31607E-05
9,41032E-07
0,00000E+00
21
107Pd
-7,93433E-01
1,56169E+00
3,06012E-01
-5,54689E-03
1,31436E-04
-1,53325E-06
0,00000E+00
4
238Pu
1,45273E-01
-1,39918E-01
6,53684E-02
-2,69594E-03
4,26603E-04
-1,35194E-05
1,25728E-07
17
239Pu
2,08717E+01
4,74203E+02
-3,88398E+01
1,81500E+00
-5,18171E-02
8,38012E-04
-5,80899E-06
2
240Pu
-2,77893E+01
2,84027E+01
9,88774E+00
-5,71792E-01
1,62487E-02
-2,60889E-04
1,85000E-06
7
241Pu
1,10778E+01
-1,28594E+01
5,71884E+00
-3,06847E-01
7,80759E-03
-1,02251E-04
5,60549E-07
5
242Pu
6,43613E-01
-3,34532E-01
-5,64948E-02
5,95353E-02
-1,02306E-03
-1,20916E-06
8,83751E-08
15
106Ru
-6,60686E-01
2,87530E+00
2,54673E-01
-1,96873E-02
7,70396E-04
-1,52455E-05
1,16646E-07
23
125Sb
-3,88345E-02
2,13612E-01
3,78183E-03
-2,65025E-04
6,21167E-06
-5,67900E-08
0,00000E+00
39
79Se
3,64015E-04
1,57587E-01
-3,52437E-04
-1,35245E-05
1,50804E-07
-1,49181E-09
3,95575E-11
0,1
151Sm
1,45832E+00
1,21021E+00
-1,54655E-01
1,07891E-02
-4,07821E-04
7,90745E-06
-6,14111E-08
9
121mSn
-2,84480E-04
4,28549E-03
2,84663E-04
-1,19888E-05
3,77945E-07
-6,70191E-09
4,74014E-11
64
126Sn
-1,73407E-02
3,36134E-01
1,98880E-02
-8,10252E-04
2,60419E-05
-4,50119E-07
3,04250E-09
7,9
90Sr
8,17541E-01
2,24214E+01
-3,79257E-01
7,02275E-03
-1,66516E-04
1,85568E-06
0,00000E+00
20
99Tc
-1,92483E+00
2,74148E+01
-1,08287E-01
8,76397E-04
-6,64148E-05
9,34649E-07
0,00000E+00
1
125mTe
-2,11704E-03
2,01400E-03
1,46082E-04
-8,28984E-06
1,96346E-07
-1,78572E-09
0,00000E+00
7,8
235U
1,99390E+04
-1,17689E+03
2,84016E+01
-6,25445E-01
1,52181E-02
-1,64834E-04
0,00000E+00
2
236U
1,03350E+02
1,94907E+02
-4,90493E+00
9,13872E-02
-2,11349E-03
2,35415E-05
0,00000E+00
10
238U
9,79433E+05
-4,97612E+02
-1,04836E+01
3,06814E-01
-1,18953E-02
1,50867E-04
0,00000E+00
0,5
93Zr
4,50603E-01
2,58746E+01
-2,46159E-01
3,90161E-03
-1,02324E-04
1,22986E-06
0,00000E+00
1
Таблица N 5
Аппроксимационные коэффициенты зависимости концентрации
241Am, 242mAm, 243Am, 242Cm, 244Cm, 245Cm (y, г/тU) от
глубины выгорания (x, ГВт·сут/тU) отработавшего ядерного
топлива РБМК-1000 с начальным обогащением 2,0% по 235U
Нуклид
Выгорание, ГВт·сут/тU
Аппроксимационные коэффициенты
, %
не менее
не более
241Am
2
12
-4,58400E-02
6,96673E-02
-4,29431E-02
1,41546E-02
-6,98594E-04
1,02578E-05
0,00000E+00
1
12
20
1,49006E+01
-4,43356E+00
5,01824E-01
-1,90197E-02
3,14531E-04
-1,93368E-06
0,00000E+00
242mAm
2
12
-2,06780E-03
2,63341E-03
-1,24975E-03
2,64129E-04
-1,06255E-05
9,86458E-08
0,00000E+00
8
12
20
1,63898E-01
-4,88541E-02
4,91791E-03
-7,44470E-05
-3,66959E-06
1,31258E-07
-1,18585E-09
243Am
2
12
7,02000E-03
-1,00687E-02
5,95396E-03
-1,96870E-03
4,08385E-04
-6,65885E-06
0,00000E+00
19
12
20
-1,90370E+01
5,08090E+00
-5,26272E-01
2,53593E-02
-2,86684E-04
4,61621E-07
0,00000E+00
242Cm
2
12
-9,12200E-03
1,06326E-02
-4,26679E-03
5,81286E-04
7,07604E-05
-2,98516E-06
0,00000E+00
10
12
20
-4,02833E+00
1,30573E+00
-1,77709E-01
1,29896E-02
-4,20980E-04
6,32999E-06
-3,65833E-08
244Cm
2
12
1,61260E-04
-1,87497E-04
6,81767E-05
-1,63130E-06
-5,44729E-06
1,71700E-06
0,00000E+00
10
12
20
4,48744E+00
-1,35573E+00
1,62728E-01
-9,70589E-03
2,80158E-04
-1,31594E-06
-1,40790E-08
245Cm
4
12
-4,45826E-05
5,60495E-05
-2,68384E-05
6,41635E-06
-8,15808E-07
4,94665E-08
0,00000E+00
37
12
20
1,24466E-01
-3,61459E-02
4,09398E-03
-2,19810E-04
4,81838E-06
2,08058E-08
-7,52796E-10
(в ред. Приказа Ростехнадзора от 04.02.2021 N 46)
Таблица N 6
Аппроксимационные коэффициенты зависимости концентрации
144Ce, 134Cs, 135Cs, 137Cs, 154Eu, 155Eu, 3H, 85Kr, 237Np,
107Pd, 238Pu, 239Pu, 240Pu, 241Pu, 242Pu, 106Ru, 125Sb,
79Se, 151Sm, 121mSn, 126Sn, 90Sr, 99Tc, 125mTe, 235U, 236U,
238U, 93Zr (y, г/тU) от глубины выгорания (x, ГВт·сут/тU)
отработавшего ядерного топлива РБМК-1000 с начальным
обогащением 2,4% по 235U
Нуклид
Аппроксимационные коэффициенты
, %
144Ce
1,20483E+00
3,45062E+01
-2,70817E+00
1,21987E-01
-3,35274E-03
5,12871E-05
-3,31276E-07
2
134Cs
5,25139E-02
-6,93676E-02
1,32503E-01
-3,56579E-03
1,18180E-04
-2,11873E-06
1,28155E-08
8
135Cs
-2,87255E-01
1,36918E+01
-4,58671E-03
-5,64531E-03
1,35224E-04
-8,81610E-07
0,00000E+00
5
137Cs
-1,90784E-01
3,83942E+01
-7,87165E-02
0,00000E+00
0,00000E+00
0,00000E+00
0,00000E+00
3
154Eu
-1,12080E-02
1,09734E-02
1,53181E-02
1,56542E-04
-9,51491E-06
8,23803E-08
0,00000E+00
11
155Eu
1,30649E-01
8,25937E-02
-5,42008E-03
6,47515E-04
-2,24387E-05
3,74900E-07
-2,65941E-09
13
3H
-1,79231E-05
1,37576E-03
1,90697E-05
-3,22426E-08
-3,44845E-09
2,05430E-11
0,00000E+00
6,4
85Kr
1,37790E-02
1,09712E+00
-1,92098E-02
3,74523E-04
-9,09182E-06
9,53080E-08
0,00000E+00
8
237Np
-5,83606E-01
1,82473E+00
3,42611E-01
-5,79348E-03
2,18947E-05
-1,41182E-07
0,00000E+00
21
107Pd
-3,89306E-01
1,22745E+00
2,80262E-01
-6,33993E-03
1,67269E-04
-1,78943E-06
0,00000E+00
4
238Pu
1,40492E-01
-1,31542E-01
5,82614E-02
-2,11777E-03
3,23973E-04
-9,02787E-06
7,21386E-08
17
239Pu
5,83673E+00
4,36734E+02
-3,18562E+01
1,36234E+00
-3,71404E-02
5,90255E-04
-4,06116E-06
2
240Pu
-2,09065E+01
2,03565E+01
8,61484E+00
-4,68344E-01
1,35222E-02
-2,28714E-04
1,69195E-06
7
241Pu
1,06336E+01
-1,14112E+01
4,55276E+00
-2,07970E-01
4,31844E-03
-4,36559E-05
1,70156E-07
5
242Pu
8,56332E-02
1,00175E-01
-1,37708E-01
5,08969E-02
-1,05557E-03
1,11913E-05
-8,30669E-08
15
106Ru
-4,17758E-01
2,62127E+00
2,00264E-01
-1,55071E-02
5,90388E-04
-1,09901E-05
7,84252E-08
23
125Sb
-2,88468E-02
2,05996E-01
2,92301E-03
-2,28558E-04
5,58679E-06
-5,11687E-08
0,00000E+00
39
79Se
1,90045E-05
1,58204E-01
-3,69648E-04
-1,52761E-06
-2,97882E-07
5,96674E-09
-2,04482E-11
0,1
151Sm
1,24184E+00
1,53472E+00
-1,97696E-01
1,37410E-02
-5,19615E-04
1,00674E-05
-7,79581E-08
9
121mSn
-2,27235E-04
4,21823E-03
2,24317E-04
-7,98462E-06
2,11367E-07
-2,96338E-09
1,50445E-11
64
126Sn
-7,12461E-03
3,26973E-01
1,70083E-02
-6,73692E-04
2,15233E-05
-3,63501E-07
2,42248E-09
7,9
90Sr
4,05068E-01
2,28051E+01
-3,51911E-01
7,62972E-03
-1,95363E-04
2,02054E-06
0,00000E+00
20
99Tc
-1,84664E+00
2,73925E+01
-8,98662E-02
3,96869E-04
-4,45988E-05
5,53827E-07
0,00000E+00
1
125mTe
-2,05740E-03
2,00460E-03
1,25426E-04
-7,34831E-06
1,76179E-07
-1,59239E-09
0,00000E+00
7,8
235U
2,39573E+04
-1,20065E+03
2,43278E+01
-5,47630E-01
1,38548E-02
-1,40513E-04
0,00000E+00
2
236U
1,15407E+02
2,03125E+02
-4,62624E+00
1,03675E-01
-2,64282E-03
2,73813E-05
0,00000E+00
10
238U
9,75478E+05
-4,94513E+02
-2,84770E+00
-7,03094E-02
-1,92699E-03
4,51658E-05
0,00000E+00
0,5
93Zr
4,86275E-02
2,62173E+01
-2,31525E-01
4,88603E-03
-1,35465E-04
1,42810E-06
0,00000E+00
1
Таблица N 7
Аппроксимационные коэффициенты зависимости концентрации
241Am, 242mAm, 243Am, 242Cm, 244Cm, 245Cm (y, г/тU)
от глубины выгорания (x, ГВт·сут/тU) отработавшего ядерного
топлива РБМК-1000 с начальным обогащением 2,4% по 235U
Нуклид
Выгорание, ГВт·сут/тU
Аппроксимационные коэффициенты
, %
не менее
не более
241Am
2
12
-4,91800E-02
6,86305E-02
-3,82144E-02
1,12332E-02
-4,71406E-04
5,41146E-06
0,00000E+00
1
12
22
1,13908E+01
-3,21533E+00
3,35476E-01
-9,71345E-03
9,36257E-05
-5,30260E-08
0,00000E+00
242mAm
2
12
-1,60518E-03
1,98284E-03
-8,95182E-04
1,73242E-04
-4,18260E-06
-4,10078E-08
0,00000E+00
8
12
22
3,27105E-02
-5,95876E-03
-6,66939E-04
2,58322E-04
-1,33082E-05
2,64238E-07
-1,88392E-09
243Am
2
12
4,73700E-03
-6,82183E-03
4,02190E-03
-1,29982E-03
2,53745E-04
-3,21341E-06
0,00000E+00
19
12
22
-4,25081E+00
1,08335E+00
-1,03385E-01
3,73798E-03
1,45494E-04
-2,50283E-06
0,00000E+00
242Cm
2
12
-5,88100E-03
6,60123E-03
-2,45819E-03
2,56867E-04
6,34531E-05
-2,26211E-06
0,00000E+00
10
12
22
2,31635E-01
-3,06137E-02
-5,10601E-03
1,14289E-03
2,08818E-06
-1,10234E-06
1,44855E-08
244Cm
2
12
1,43486E-04
-1,42402E-04
3,64343E-05
5,41999E-06
-4,72390E-06
1,09796E-06
0,00000E+00
10
12
22
4,12075E-02
6,98869E-02
-2,20579E-02
2,59062E-03
-1,53458E-04
5,39580E-06
-5,09244E-08
245Cm
4
12
-3,33487E-05
4,13303E-05
-1,93632E-05
4,48567E-06
-5,45168E-07
3,09448E-08
0,00000E+00
37
12
22
2,95580E-03
1,01404E-03
-4,74932E-04
6,53749E-05
-4,34237E-06
1,44837E-07
-1,29748E-09
(в ред. Приказа Ростехнадзора от 04.02.2021 N 46)
Таблица N 8
Аппроксимационные коэффициенты зависимости концентрации
144Ce, 134Cs, 135Cs, 137Cs, 154Eu, 155Eu, 3H, 85Kr, 237Np,
107Pd, 238Pu, 239Pu, 240Pu, 241Pu, 242Pu, 106Ru, 125Sb,
79Se, 151Sm, 121mSn, 126Sn, 90Sr, 99Tc, 125mTe, 235U, 236U,
238U, 93Zr (y, г/тU) от глубины выгорания (x, ГВт·сут/тU)
отработавшего ядерного топлива РБМК-1000 с начальным
обогащением 2,6% по 235U
Нуклид
Аппроксимационные коэффициенты
, %
144Ce
1,17123E+00
3,43495E+01
-2,67559E+00
1,20428E-01
-3,31842E-03
5,10404E-05
-3,32756E-07
2
134Cs
1,40101E-03
-2,74506E-02
1,20822E-01
-2,73366E-03
6,89100E-05
-7,94661E-07
6,89299E-10
8
135Cs
-2,42081E-01
1,44895E+01
-1,55795E-03
-5,32852E-03
1,12112E-04
-6,16143E-07
0,00000E+00
5
137Cs
-5,64020E-01
3,83130E+01
-7,77161E-02
0,00000E+00
0,00000E+00
0,00000E+00
0,00000E+00
3
154Eu
-1,23884E-02
1,15997E-02
1,51792E-02
1,02090E-04
-7,19547E-06
5,79704E-08
0,00000E+00
11
155Eu
1,29394E-01
9,43249E-02
-7,16975E-03
7,47879E-04
-2,65174E-05
4,70528E-07
-3,53087E-09
13
3H
-1,56742E-05
1,36609E-03
1,78668E-05
-5,34847E-08
-1,35076E-09
-5,40911E-12
0,00000E+00
6,4
85Kr
9,13424E-03
1,09251E+00
-1,80770E-02
3,39686E-04
-7,78132E-06
7,50710E-08
0,00000E+00
8
237Np
-6,30134E-01
2,02363E+00
3,42480E-01
-6,46750E-03
5,83233E-05
-5,56030E-07
0,00000E+00
21
107Pd
-2,92379E-01
1,16290E+00
2,70482E-01
-6,55772E-03
1,68223E-04
-1,68368E-06
0,00000E+00
4
238Pu
1,51430E-01
-1,36020E-01
5,81432E-02
-1,89175E-03
2,78789E-04
-7,26798E-06
5,35426E-08
17
239Pu
-1,06890E+00
4,45278E+02
-3,20551E+01
1,36912E+00
-3,77008E-02
6,06464E-04
-4,21374E-06
2
240Pu
-1,86256E+01
1,80523E+01
8,16297E+00
-4,34909E-01
1,24965E-02
-2,09527E-04
1,52106E-06
7
241Pu
1,02395E+01
-1,09057E+01
4,32145E+00
-1,94361E-01
4,08614E-03
-4,40139E-05
1,98705E-07
5
242Pu
-4,78634E-02
1,94137E-01
-1,50590E-01
4,82405E-02
-1,14130E-03
1,62818E-05
-1,33664E-07
15
106Ru
-4,22624E-01
2,63096E+00
1,68771E-01
-1,29286E-02
4,61518E-04
-7,80835E-06
4,95470E-08
23
125Sb
-2,54575E-02
2,02853E-01
2,76911E-03
-2,26102E-04
5,52360E-06
-4,95028E-08
0,00000E+00
39
79Se
1,78959E-04
1,57096E-01
-2,54858E-04
-5,97639E-06
-1,09740E-07
2,93531E-09
-1,35835E-11
0,1
151Sm
1,09561E+00
1,70839E+00
-2,15743E-01
1,47227E-02
-5,49401E-04
1,05279E-05
-8,07468E-08
9
121mSn
-1,46065E-04
4,12741E-03
2,23301E-04
-8,71398E-06
2,56352E-07
-4,16128E-09
2,75004E-11
64
126Sn
-6,31048E-03
3,23718E-01
1,62042E-02
-6,53986E-04
2,15108E-05
-3,85403E-07
2,85209E-09
7,9
90Sr
3,35068E-01
2,27017E+01
-3,24877E-01
6,82138E-03
-1,67100E-04
1,60831E-06
0,00000E+00
20
99Tc
-1,84535E+00
2,72530E+01
-8,07848E-02
3,17718E-04
-3,84865E-05
4,29116E-07
0,00000E+00
1
125mTe
-2,03565E-03
1,99487E-03
1,19914E-04
-7,12860E-06
1,70530E-07
-1,52569E-09
0,00000E+00
7,8
235U
2,59584E+04
-1,19787E+03
2,27327E+01
-5,28958E-01
1,31252E-02
-1,25454E-04
0,00000E+00
2
236U
1,24670E+02
2,05482E+02
-4,46270E+00
1,03059E-01
-2,55027E-03
2,48061E-05
0,00000E+00
10
238U
9,73349E+05
-4,62669E+02
-6,25539E+00
1,86576E-01
-7,72317E-03
8,26467E-05
0,00000E+00
0,5
93Zr
5,41478E-03
2,61007E+01
-2,11647E-01
4,51594E-03
-1,21651E-04
1,19243E-06
0,00000E+00
1
Таблица N 9
Аппроксимационные коэффициенты зависимости концентрации
241Am, 242mAm, 243Am, 242Cm, 244Cm, 245Cm (y, г/тU)
от глубины выгорания (x, ГВт·сут/тU) отработавшего ядерного
топлива РБМК-1000 с начальным обогащением 2,6% по 235U
Нуклид
Выгорание, ГВт·сут/тU
Аппроксимационные коэффициенты
, %
не менее
не более
241Am
2
12
-4,97800E-02
6,83572E-02
-3,73425E-02
1,07720E-02
-4,39375E-04
4,98177E-06
0,00000E+00
1
12
30
8,89955E+00
-2,51716E+00
2,58562E-01
-5,90682E-03
1,37900E-05
5,37036E-07
0,00000E+00
242mAm
2
12
-1,46162E-03
1,78826E-03
-7,94420E-04
1,48900E-04
-2,41688E-06
-7,87057E-08
0,00000E+00
8
12
30
1,19178E-02
2,96191E-04
-1,38324E-03
2,87664E-04
-1,33453E-05
2,47219E-07
-1,65952E-09
243Am
2
12
3,27760E-03
-4,97626E-03
3,10118E-03
-1,05639E-03
2,18329E-04
-2,88531E-06
0,00000E+00
19
12
30
-1,94262E+00
4,73920E-01
-4,24897E-02
1,09188E-03
1,65469E-04
-2,29750E-06
0,00000E+00
242Cm
2
12
-5,14160E-03
5,73266E-03
-2,10581E-03
2,07508E-04
5,81396E-05
-2,01208E-06
0,00000E+00
10
12
30
6,67358E-01
-1,63418E-01
1,16134E-02
3,09079E-05
3,38389E-05
-1,42012E-06
1,46064E-08
244Cm
2
12
1,46026E-04
-1,63994E-04
6,01368E-05
-4,92527E-06
-2,49640E-06
8,64995E-07
0,00000E+00
10
12
30
-2,17320E+00
7,14612E-01
-9,67379E-02
6,93164E-03
-2,81548E-04
6,89952E-06
-5,58290E-08
245Cm
4
12
-2,50651E-05
3,11659E-05
-1,46850E-05
3,43631E-06
-4,25428E-07
2,50347E-08
0,00000E+00
37
12
30
-3,41145E-02
1,20965E-02
-1,79001E-03
1,42882E-04
-6,59631E-06
1,69891E-07
-1,37166E-09
(в ред. Приказа Ростехнадзора от 04.02.2021 N 46)
Таблица N 10
Аппроксимационные коэффициенты зависимости концентрации
144Ce, 134Cs, 135Cs, 137Cs, 154Eu, 155Eu, 3H, 85Kr, 237Np,
107Pd, 238Pu, 239Pu, 240Pu, 241Pu, 242Pu, 106Ru, 125Sb,
79Se, 151Sm, 121mSn, 126Sn, 90Sr, 99Tc, 125mTe, 235U, 236U,
238U, 93Zr (y, г/тU) от глубины выгорания (x, ГВт·сут/тU)
отработавшего ядерного топлива РБМК-1000 с начальным
обогащением 2,8% по 235U
Нуклид
Аппроксимационные коэффициенты
, %
144Ce
8,64525E-01
3,45227E+01
-2,69673E+00
1,22643E-01
-3,42141E-03
5,33064E-05
-3,52381E-07
2
134Cs
-1,19879E-02
-1,63325E-02
1,15280E-01
-2,48862E-03
5,40374E-05
-4,22000E-07
-1,97033E-09
8
135Cs
-3,22097E-01
1,52872E+01
-1,19158E-02
-4,40850E-03
8,04787E-05
-3,22026E-07
0,00000E+00
5
137Cs
-6,09461E-01
3,82654E+01
-7,62484E-02
0,00000E+00
0,00000E+00
0,00000E+00
0,00000E+00
3
154Eu
-1,01481E-02
9,90642E-03
1,50896E-02
5,71388E-05
-5,32243E-06
3,84031E-08
0,00000E+00
11
155Eu
1,26804E-01
1,01526E-01
-8,36244E-03
8,17123E-04
-2,94150E-05
5,37610E-07
-4,11557E-09
13
3H
-1,17828E-05
1,36103E-03
1,65162E-05
-3,96076E-08
-9,41591E-10
-8,79992E-12
0,00000E+00
6,4
85Kr
8,31750E-03
1,09182E+00
-1,71879E-02
3,19156E-04
-7,26740E-06
6,86062E-08
0,00000E+00
8
237Np
-6,38228E-01
2,08710E+00
3,44530E-01
-6,89678E-03
8,12883E-05
-8,07214E-07
0,00000E+00
21
107Pd
-2,86489E-01
1,14815E+00
2,47972E-01
-5,69350E-03
1,39034E-04
-1,30519E-06
0,00000E+00
4
238Pu
1,09087E-01
-1,00508E-01
4,79549E-02
-7,90805E-04
1,99174E-04
-4,92799E-06
3,12791E-08
17
239Pu
-2,75739E+00
4,37075E+02
-2,99332E+01
1,21784E+00
-3,23155E-02
5,06576E-04
-3,45385E-06
2
240Pu
-1,69841E+01
1,61827E+01
7,63920E+00
-3,95889E-01
1,13016E-02
-1,89851E-04
1,38102E-06
7
241Pu
9,89582E+00
-1,03573E+01
4,00170E+00
-1,70954E-01
3,37143E-03
-3,33119E-05
1,31703E-07
5
242Pu
-1,94797E-01
3,00773E-01
-1,67055E-01
4,56685E-02
-1,15280E-03
1,83138E-05
-1,51855E-07
15
106Ru
-3,75370E-01
2,58349E+00
1,48556E-01
-1,14815E-02
4,01828E-04
-6,59762E-06
4,08141E-08
23
125Sb
-2,34875E-02
2,01085E-01
2,39094E-03
-2,06765E-04
4,99127E-06
-4,34484E-08
0,00000E+00
39
79Se
3,98228E-04
1,56594E-01
-1,44923E-04
-1,47405E-05
3,96356E-07
-9,62163E-09
9,82244E-11
0,1
151Sm
9,80676E-01
1,84591E+00
-2,28607E-01
1,53450E-02
-5,65928E-04
1,07446E-05
-8,17943E-08
9
121mSn
-1,46278E-04
4,11849E-03
2,02049E-04
-7,27648E-06
1,94915E-07
-2,83976E-09
1,66473E-11
64
126Sn
-1,13981E-02
3,27026E-01
1,37206E-02
-4,38169E-04
1,07977E-05
-1,29439E-07
5,38275E-10
7,9
90Sr
3,37225E-01
2,26800E+01
-3,02511E-01
6,19462E-03
-1,48256E-04
1,35872E-06
0,00000E+00
20
99Tc
-1,88302E+00
2,72333E+01
-8,05574E-02
6,34662E-04
-4,43896E-05
4,56997E-07
0,00000E+00
1
125mTe
-2,01994E-03
1,99309E-03
1,13100E-04
-6,80201E-06
1,62220E-07
-1,43953E-09
0,00000E+00
7,8
235U
2,79700E+04
-1,20789E+03
2,22084E+01
-5,45442E-01
1,31671E-02
-1,19073E-04
0,00000E+00
2
236U
1,32851E+02
2,08131E+02
-4,28211E+00
9,84459E-02
-2,35819E-03
2,17794E-05
0,00000E+00
10
238U
9,71377E+05
-4,90942E+02
3,91122E-01
-2,06649E-01
3,75262E-03
-4,08515E-05
0,00000E+00
0,5
93Zr
-1,06124E-01
2,61435E+01
-2,04503E-01
4,65682E-03
-1,22272E-04
1,14052E-06
0,00000E+00
1
Таблица N 11
Аппроксимационные коэффициенты зависимости концентрации
241Am, 242mAm, 243Am, 242Cm, 244Cm, 245Cm (y, г/тU) от
глубины выгорания (x, ГВт·сут/тU) отработавшего ядерного
топлива РБМК-1000 с начальным обогащением 2,8% по 235U
Нуклид
Выгорание, ГВт·сут/тU
Аппроксимационные коэффициенты
, %
не менее
не более
241Am
2
12
-3,92200E-02
5,53928E-02
-3,11752E-02
9,19958E-03
-3,21823E-04
2,11458E-06
0,00000E+00
1
12
36
7,19297E+00
-2,01070E+00
1,99707E-01
-3,05348E-03
-4,27668E-05
9,22653E-07
0,00000E+00
242mAm
2
12
-1,26050E-03
1,52886E-03
-6,68042E-04
1,20431E-04
-5,67708E-07
-1,14779E-07
0,00000E+00
8
12
36
2,37057E-02
-2,54566E-03
-1,07225E-03
2,55758E-04
-1,15074E-05
2,02499E-07
-1,27924E-09
243Am
2
12
3,96680E-03
-5,52093E-03
3,13755E-03
-9,87874E-04
1,93050E-04
-2,59839E-06
0,00000E+00
19
12
36
-2,05255E+00
4,94723E-01
-4,46876E-02
1,36653E-03
1,27633E-04
-1,69153E-06
0,00000E+00
242Cm
2
12
-3,83420E-03
4,24146E-03
-1,51010E-03
1,14181E-04
5,63677E-05
-1,85529E-06
0,00000E+00
10
12
36
7,99398E-02
1,08759E-03
-6,44329E-03
1,00110E-03
-6,16197E-07
-6,97466E-07
8,47228E-09
244Cm
2
12
1,22974E-04
-1,45239E-04
5,81809E-05
-6,85989E-06
-1,69241E-06
7,05253E-07
0,00000E+00
10
12
36
-2,64522E+00
8,35767E-01
-1,08039E-01
7,33823E-03
-2,79569E-04
6,29981E-06
-4,76221E-08
245Cm
4
12
-1,93412E-05
2,42141E-05
-1,15186E-05
2,72748E-06
-3,42294E-07
2,04402E-08
0,00000E+00
37
12
30
-3,40999E-02
1,15635E-02
-1,63430E-03
1,24574E-04
-5,50039E-06
1,36148E-07
-1,03680E-09
(в ред. Приказа Ростехнадзора от 04.02.2021 N 46)
Таблица N 12
Аппроксимационные коэффициенты зависимости концентрации
144Ce, 134Cs, 135Cs, 137Cs, 154Eu, 155Eu, 3H, 85Kr, 237Np,
107Pd, 238Pu, 239Pu, 240Pu, 241Pu, 242Pu, 106Ru, 125Sb,
79Se, 151Sm, 121mSn, 126Sn, 90Sr, 99Tc, 125mTe, 235U, 236U,
238U, 93Zr (y, г/тU) от глубины выгорания (x, ГВт·сут/тU)
отработавшего ядерного топлива РБМК-1000 с начальным
обогащением 2,5/3,2% по 235U
Нуклид
Аппроксимационные коэффициенты
, %
144Ce
1,41928E+00
3,47906E+01
-2,74922E+00
1,25540E-01
-3,46763E-03
5,28681E-05
-3,39348E-07
2
134Cs
2,64118E-02
-4,47238E-02
1,24234E-01
-3,26027E-03
8,70627E-05
-1,17184E-06
4,96433E-09
8
135Cs
-2,26541E-01
1,64621E+01
-1,12636E-02
-4,61712E-03
8,40408E-05
-3,73314E-07
0,00000E+00
5
137Cs
-5,00090E-01
3,89914E+01
-8,24531E-02
0,00000E+00
0,00000E+00
0,00000E+00
0,00000E+00
3
154Eu
-1,18064E-02
1,09927E-02
1,50002E-02
1,10782E-04
-7,11840E-06
5,58368E-08
0,00000E+00
11
155Eu
1,37864E-01
9,72250E-02
-7,35570E-03
7,28722E-04
-2,48511E-05
4,24308E-07
-3,05703E-09
13
3H
-1,04284E-05
1,38655E-03
1,54887E-05
-1,22385E-08
-1,24315E-09
-6,26105E-12
0,00000E+00
6,4
85Kr
1,04663E-02
1,11346E+00
-1,68210E-02
2,70560E-04
-5,58108E-06
4,87704E-08
0,00000E+00
8
237Np
-7,14249E-01
2,17725E+00
3,61051E-01
-6,71778E-03
6,97516E-05
-6,77520E-07
0,00000E+00
21
107Pd
-2,87170E-01
1,15248E+00
2,33874E-01
-5,01036E-03
1,19171E-04
-1,08578E-06
0,00000E+00
4
238Pu
1,35615E-01
-1,17179E-01
5,16852E-02
-9,36897E-04
2,13608E-04
-5,24525E-06
3,36559E-08
17
239Pu
-3,10274E-01
4,25690E+02
-2,73695E+01
1,05158E+00
-2,65496E-02
3,98004E-04
-2,60065E-06
2
240Pu
-1,73645E+01
1,59614E+01
7,09591E+00
-3,54942E-01
9,82641E-03
-1,60695E-04
1,13848E-06
7
241Pu
1,02413E+01
-1,04054E+01
3,90724E+00
-1,62825E-01
3,15395E-03
-3,11355E-05
1,27890E-07
5
242Pu
-5,40749E-02
2,01194E-01
-1,41142E-01
4,12729E-02
-9,89051E-04
1,47078E-05
-1,16683E-07
15
106Ru
-3,56074E-01
2,59827E+00
1,25593E-01
-1,01219E-02
3,63873E-04
-6,16999E-06
4,01319E-08
23
125Sb
-2,47409E-02
2,05531E-01
1,55782E-03
-1,67824E-04
4,04776E-06
-3,43637E-08
0,00000E+00
39
79Se
1,85670E-04
1,60002E-01
-2,07475E-04
-9,75639E-06
2,25959E-07
-6,77216E-09
7,82464E-11
0,1
151Sm
1,05143E+00
1,88917E+00
-2,21947E-01
1,41565E-02
-4,97261E-04
9,01148E-06
-6,56191E-08
9
121mSn
-1,01582E-04
4,16243E-03
1,95374E-04
-7,07616E-06
1,93200E-07
-2,89806E-09
1,77965E-11
64
126Sn
-8,15472E-03
3,30263E-01
1,36059E-02
-4,70349E-04
1,34489E-05
-2,06399E-07
1,30527E-09
7,9
90Sr
2,58062E-01
2,32077E+01
-3,01276E-01
5,99057E-03
-1,40294E-04
1,25423E-06
0,00000E+00
20
99Tc
-1,92728E+00
2,77974E+01
-8,57102E-02
6,61785E-04
-4,18758E-05
4,01537E-07
0,00000E+00
1
125mTe
-2,19406E-03
2,16001E-03
8,68485E-05
-5,34517E-06
1,23469E-07
-1,04924E-09
0,00000E+00
7,8
235U
3,00833E+04
-1,23533E+03
2,09492E+01
-4,72357E-01
1,10863E-02
-9,70600E-05
0,00000E+00
2
236U
1,42672E+02
2,14427E+02
-4,08299E+00
8,44250E-02
-1,95019E-03
1,73112E-05
0,00000E+00
10
238U
9,69236E+05
-4,73695E+02
-8,16838E-01
-1,53419E-01
2,59845E-03
-2,76952E-05
0,00000E+00
0,5
93Zr
-8,25842E-02
2,66662E+01
-1,94397E-01
4,06636E-03
-1,05264E-04
9,54356E-07
0,00000E+00
1
Таблица N 13
Аппроксимационные коэффициенты зависимости концентрации
241Am, 242mAm, 243Am, 242Cm, 244Cm, 245Cm (y, г/тU) от
глубины выгорания (x, ГВт·сут/тU) отработавшего ядерного
топлива РБМК-1000 с начальным обогащением 2,5/3,2% по 235U
Нуклид
Выгорание, ГВт·сут/тU
Аппроксимационные коэффициенты
, %
не менее
не более
241Am
2
12
-1,00987E-01
1,24664E-01
-5,93632E-02
1,45082E-02
-7,66506E-04
1,66481E-05
0,00000E+00
1
12
36
8,26315E+00
-2,20224E+00
2,11730E-01
-3,17411E-03
-4,37039E-05
9,28155E-07
0,00000E+00
242mAm
2
12
-1,17625E-03
1,37727E-03
-5,89291E-04
1,02290E-04
1,57187E-06
-1,89904E-07
0,00000E+00
8
12
36
-2,67325E-02
1,14678E-02
-2,69192E-03
3,55944E-04
-1,46388E-05
2,51461E-07
-1,58894E-09
243Am
2
12
6,73261E-03
-8,64591E-03
4,43517E-03
-1,23682E-03
2,13440E-04
-3,26529E-06
0,00000E+00
19
12
36
1,30786E+00
-3,36636E-01
3,37349E-02
-2,17168E-03
2,03945E-04
-2,34962E-06
0,00000E+00
(в ред. Приказа Ростехнадзора от 04.02.2021 N 46)
242Cm
2
12
-3,99028E-03
4,11270E-03
-1,38529E-03
8,56720E-05
5,89792E-05
-1,98232E-06
0,00000E+00
21
12
36
-8,05888E-02
5,68213E-02
-1,43142E-02
1,59344E-03
-2,65116E-05
-1,23948E-07
3,60109E-09
(в ред. Приказа Ростехнадзора от 04.02.2021 N 46)
244Cm
2
12
-2,42698E-04
2,92341E-04
-1,29244E-04
3,03359E-05
-5,28249E-06
8,60112E-07
0,00000E+00
16,7
12
36
-1,17373E+00
4,10616E-01
-5,84937E-02
4,35405E-03
-1,81732E-04
4,68219E-06
-3,66765E-08
(в ред. Приказа Ростехнадзора от 04.02.2021 N 46)
245Cm
4
12
2,39940E-04
-2,72584E-04
1,10385E-04
-2,02473E-05
1,67172E-06
-4,55343E-08
0,00000E+00
37
12
36
-1,87516E-02
6,10395E-03
-9,15379E-04
7,89566E-05
-4,05581E-06
1,16279E-07
-9,17430E-10
(в ред. Приказа Ростехнадзора от 04.02.2021 N 46)
Таблица N 14
Остаточное тепловыделение (Вт/тU) отработавшего ядерного
топлива РБМК-1000 с начальным обогащением 1,8% по 235U
в зависимости от времени выдержки и глубины
выгорания топлива
Глубина выгорания, ГВт·сут/тU
Время выдержки, лет
0,01
0,03
0,1
0,3
1
3
10
20
2
4,62E+04
2,68E+04
1,28E+04
5,26E+03
1,04E+03
2,10E+02
6,24E+01
4,85E+01
4
5,05E+04
3,07E+04
1,60E+04
7,23E+03
1,75E+03
3,98E+02
1,23E+02
9,60E+01
6
5,23E+04
3,22E+04
1,73E+04
8,26E+03
2,31E+03
5,69E+02
1,84E+02
1,43E+02
8
5,34E+04
3,30E+04
1,81E+04
8,96E+03
2,77E+03
7,27E+02
2,43E+02
1,91E+02
10
5,43E+04
3,35E+04
1,87E+04
9,52E+03
3,18E+03
8,77E+02
3,02E+02
2,38E+02
12
5,52E+04
3,40E+04
1,91E+04
9,99E+03
3,54E+03
1,02E+03
3,61E+02
2,86E+02
14
5,60E+04
3,44E+04
1,95E+04
1,04E+04
3,88E+03
1,16E+03
4,20E+02
3,33E+02
16
5,68E+04
3,48E+04
1,99E+04
1,08E+04
4,20E+03
1,30E+03
4,79E+02
3,79E+02
18
5,77E+04
3,53E+04
2,03E+04
1,12E+04
4,51E+03
1,44E+03
5,37E+02
4,26E+02
20
5,85E+04
3,57E+04
2,07E+04
1,16E+04
4,82E+03
1,57E+03
5,96E+02
4,72E+02
Таблица N 15
Остаточное тепловыделение (Вт/тU) отработавшего ядерного
топлива РБМК-1000 с начальным обогащением 2,0% по 235U
в зависимости от времени выдержки и глубины
выгорания топлива
Глубина выгорания, ГВт·сут/тU
Время выдержки, лет
0,01
0,03
0,1
0,3
1
3
10
20
2
4,58E+04
2,68E+04
1,28E+04
5,27E+03
1,04E+03
2,09E+02
6,25E+01
4,85E+01
4
5,01E+04
3,07E+04
1,61E+04
7,26E+03
1,75E+03
3,95E+02
1,24E+02
9,60E+01
6
5,19E+04
3,23E+04
1,74E+04
8,29E+03
2,29E+03
5,63E+02
1,84E+02
1,43E+02
8
5,31E+04
3,31E+04
1,82E+04
8,98E+03
2,75E+03
7,18E+02
2,44E+02
1,91E+02
10
5,39E+04
3,36E+04
1,87E+04
9,53E+03
3,14E+03
8,64E+02
3,03E+02
2,38E+02
12
5,48E+04
3,41E+04
1,92E+04
9,99E+03
3,49E+03
1,00E+03
3,62E+02
2,85E+02
14
5,56E+04
3,45E+04
1,96E+04
1,04E+04
3,81E+03
1,14E+03
4,21E+02
3,32E+02
16
5,64E+04
3,49E+04
1,99E+04
1,08E+04
4,12E+03
1,27E+03
4,80E+02
3,79E+02
18
5,72E+04
3,53E+04
2,03E+04
1,12E+04
4,42E+03
1,41E+03
5,39E+02
4,26E+02
20
5,80E+04
3,57E+04
2,06E+04
1,15E+04
4,72E+03
1,54E+03
5,97E+02
4,72E+02
Таблица N 16
Остаточное тепловыделение (Вт/тU) отработавшего ядерного
топлива РБМК-1000 с начальным обогащением 2,4% по 235U
в зависимости от времени выдержки и глубины
выгорания топлива
Глубина выгорания, ГВт·сут/тU
Время выдержки, лет
0,01
0,03
0,1
0,3
1
3
10
20
2
4,50E+04
2,68E+04
1,29E+04
5,30E+03
1,04E+03
2,08E+02
6,26E+01
4,85E+01
4
4,95E+04
3,08E+04
1,62E+04
7,30E+03
1,73E+03
3,90E+02
1,24E+02
9,60E+01
6
5,13E+04
3,24E+04
1,76E+04
8,34E+03
2,27E+03
5,54E+02
1,84E+02
1,43E+02
8
5,24E+04
3,32E+04
1,84E+04
9,02E+03
2,71E+03
7,04E+02
2,45E+02
1,90E+02
10
5,33E+04
3,38E+04
1,89E+04
9,55E+03
3,08E+03
8,44E+02
3,04E+02
2,38E+02
12
5,40E+04
3,43E+04
1,93E+04
9,99E+03
3,41E+03
9,77E+02
3,64E+02
2,85E+02
14
5,48E+04
3,46E+04
1,97E+04
1,04E+04
3,71E+03
1,11E+03
4,23E+02
3,32E+02
16
5,55E+04
3,50E+04
2,00E+04
1,07E+04
3,99E+03
1,24E+03
4,82E+02
3,79E+02
18
5,63E+04
3,53E+04
2,03E+04
1,11E+04
4,27E+03
1,36E+03
5,40E+02
4,25E+02
20
5,70E+04
3,57E+04
2,06E+04
1,14E+04
4,54E+03
1,49E+03
5,99E+02
4,72E+02
22
5,78E+04
3,60E+04
2,10E+04
1,17E+04
4,82E+03
1,62E+03
6,58E+02
5,18E+02
Таблица N 17
Остаточное тепловыделение (Вт/тU) отработавшего ядерного
топлива РБМК-1000 с начальным обогащением 2,6% по 235U
в зависимости от времени выдержки и глубины
выгорания топлива
Глубина выгорания, ГВт·сут/тU
Время выдержки, лет
0,01
0,03
0,1
0,3
1
3
10
20
2
4,45E+04
2,67E+04
1,28E+04
5,28E+03
1,03E+03
2,06E+02
6,23E+01
4,82E+01
4
4,90E+04
3,08E+04
1,62E+04
7,29E+03
1,72E+03
3,87E+02
1,24E+02
9,56E+01
6
5,09E+04
3,24E+04
1,76E+04
8,33E+03
2,25E+03
5,48E+02
1,84E+02
1,43E+02
8
5,20E+04
3,32E+04
1,84E+04
9,02E+03
2,68E+03
6,96E+02
2,44E+02
1,90E+02
10
5,29E+04
3,38E+04
1,89E+04
9,55E+03
3,05E+03
8,33E+02
3,04E+02
2,37E+02
12
5,37E+04
3,43E+04
1,94E+04
9,98E+03
3,37E+03
9,64E+02
3,63E+02
2,84E+02
14
5,44E+04
3,47E+04
1,97E+04
1,04E+04
3,66E+03
1,09E+03
4,22E+02
3,31E+02
16
5,51E+04
3,50E+04
2,01E+04
1,07E+04
3,93E+03
1,22E+03
4,81E+02
3,77E+02
18
5,58E+04
3,53E+04
2,04E+04
1,10E+04
4,20E+03
1,34E+03
5,40E+02
4,24E+02
20
5,65E+04
3,57E+04
2,06E+04
1,13E+04
4,46E+03
1,47E+03
5,99E+02
4,71E+02
22
5,73E+04
3,60E+04
2,09E+04
1,17E+04
4,72E+03
1,59E+03
6,58E+02
5,17E+02
24
5,81E+04
3,63E+04
2,12E+04
1,20E+04
4,99E+03
1,72E+03
7,17E+02
5,63E+02
26
5,89E+04
3,67E+04
2,16E+04
1,23E+04
5,26E+03
1,85E+03
7,76E+02
6,10E+02
28
5,97E+04
3,71E+04
2,19E+04
1,27E+04
5,54E+03
1,99E+03
8,37E+02
6,56E+02
30
6,05E+04
3,75E+04
2,22E+04
1,30E+04
5,82E+03
2,12E+03
8,99E+02
7,03E+02
Таблица N 18
Остаточное тепловыделение (Вт/тU) отработавшего ядерного
топлива РБМК-1000 с начальным обогащением 2,8% по 235U
в зависимости от времени выдержки и глубины
выгорания топлива
Глубина выгорания, ГВт·сут/тU
Время выдержки, лет
0,01
0,03
0,1
0,3
1
3
10
20
2
4,42E+04
2,66E+04
1,28E+04
5,28E+03
1,03E+03
2,05E+02
6,22E+01
4,81E+01
4
4,87E+04
3,07E+04
1,62E+04
7,29E+03
1,72E+03
3,84E+02
1,23E+02
9,55E+01
6
5,06E+04
3,24E+04
1,76E+04
8,33E+03
2,24E+03
5,44E+02
1,84E+02
1,43E+02
8
5,18E+04
3,33E+04
1,84E+04
9,02E+03
2,67E+03
6,90E+02
2,44E+02
1,89E+02
10
5,26E+04
3,39E+04
1,90E+04
9,55E+03
3,03E+03
8,25E+02
3,04E+02
2,36E+02
12
5,34E+04
3,43E+04
1,94E+04
9,98E+03
3,34E+03
9,54E+02
3,63E+02
2,83E+02
14
5,41E+04
3,47E+04
1,98E+04
1,04E+04
3,62E+03
1,08E+03
4,22E+02
3,30E+02
16
5,47E+04
3,50E+04
2,01E+04
1,07E+04
3,89E+03
1,20E+03
4,81E+02
3,77E+02
18
5,54E+04
3,54E+04
2,04E+04
1,10E+04
4,14E+03
1,32E+03
5,40E+02
4,23E+02
20
5,61E+04
3,57E+04
2,07E+04
1,13E+04
4,39E+03
1,44E+03
5,99E+02
4,70E+02
22
5,68E+04
3,60E+04
2,09E+04
1,16E+04
4,64E+03
1,57E+03
6,57E+02
5,16E+02
24
5,76E+04
3,63E+04
2,12E+04
1,19E+04
4,89E+03
1,69E+03
7,16E+02
5,63E+02
26
5,84E+04
3,67E+04
2,15E+04
1,22E+04
5,16E+03
1,82E+03
7,76E+02
6,09E+02
28
5,91E+04
3,70E+04
2,18E+04
1,25E+04
5,42E+03
1,95E+03
8,36E+02
6,55E+02
30
6,00E+04
3,74E+04
2,21E+04
1,29E+04
5,70E+03
2,09E+03
8,97E+02
7,02E+02
32
6,08E+04
3,78E+04
2,25E+04
1,32E+04
5,97E+03
2,23E+03
9,59E+02
7,49E+02
34
6,16E+04
3,82E+04
2,28E+04
1,36E+04
6,25E+03
2,37E+03
1,02E+03
7,98E+02
36
6,24E+04
3,87E+04
2,32E+04
1,39E+04
6,54E+03
2,51E+03
1,09E+03
8,47E+02
Таблица N 19
Остаточное тепловыделение (Вт/тU) отработавшего ядерного
топлива РБМК-1000 с начальным обогащением 2,5/3,2% по 235U
в зависимости от времени выдержки и глубины
выгорания топлива
Глубина выгорания, ГВт·сут/тU
Время выдержки, лет
0,01
0,03
0,1
0,3
1
3
10
20
2
4,42E+04
2,67E+04
1,29E+04
5,35E+03
1,04E+03
2,08E+02
6,35E+01
4,89E+01
4
4,83E+04
3,05E+04
1,60E+04
7,23E+03
1,72E+03
3,89E+02
1,26E+02
9,76E+01
6
5,06E+04
3,24E+04
1,77E+04
8,36E+03
2,25E+03
5,49E+02
1,88E+02
1,45E+02
8
5,18E+04
3,34E+04
1,85E+04
9,07E+03
2,67E+03
6,94E+02
2,49E+02
1,93E+02
10
5,26E+04
3,39E+04
1,90E+04
9,57E+03
3,03E+03
8,30E+02
3,10E+02
2,41E+02
12
5,33E+04
3,43E+04
1,94E+04
9,99E+03
3,33E+03
9,60E+02
3,71E+02
2,89E+02
14
5,40E+04
3,47E+04
1,98E+04
1,04E+04
3,61E+03
1,08E+03
4,31E+02
3,37E+02
16
5,47E+04
3,51E+04
2,01E+04
1,07E+04
3,88E+03
1,21E+03
4,92E+02
3,85E+02
18
5,54E+04
3,54E+04
2,04E+04
1,10E+04
4,13E+03
1,33E+03
5,52E+02
4,33E+02
20
5,61E+04
3,58E+04
2,07E+04
1,13E+04
4,39E+03
1,45E+03
6,12E+02
4,81E+02
22
5,67E+04
3,61E+04
2,10E+04
1,16E+04
4,64E+03
1,58E+03
6,73E+02
5,29E+02
24
5,74E+04
3,64E+04
2,13E+04
1,19E+04
4,89E+03
1,71E+03
7,34E+02
5,76E+02
26
5,82E+04
3,67E+04
2,16E+04
1,22E+04
5,16E+03
1,84E+03
7,95E+02
6,24E+02
28
5,90E+04
3,72E+04
2,19E+04
1,26E+04
5,43E+03
1,97E+03
8,56E+02
6,73E+02
30
5,99E+04
3,76E+04
2,23E+04
1,30E+04
5,70E+03
2,11E+03
9,19E+02
7,21E+02
32
6,06E+04
3,80E+04
2,26E+04
1,33E+04
5,97E+03
2,24E+03
9,84E+02
7,70E+02
34
6,14E+04
3,84E+04
2,29E+04
1,37E+04
6,23E+03
2,36E+03
1,05E+03
8,17E+02
36
6,22E+04
3,89E+04
2,33E+04
1,40E+04
6,46E+03
2,46E+03
1,13E+03
8,62E+02
Приложение N 4
к руководству по безопасности
при использовании атомной энергии
"Радиационные и теплофизические
характеристики отработавшего ядерного
топлива водо-водяных энергетических
реакторов и реакторов большой мощности
канальных", утвержденному приказом
Федеральной службы по экологическому,
технологическому и атомному надзору
от "__" _________ 20__ г. N ___
РАДИАЦИОННЫЕ И ТЕПЛОФИЗИЧЕСКИЕ ХАРАКТЕРИСТИКИ ОТРАБОТАВШЕГО
ЯДЕРНОГО ТОПЛИВА ВОДО-ВОДЯНЫХ ЭНЕРГЕТИЧЕСКИХ
РЕАКТОРОВ ВВЭР-1200
Список изменяющих документов
(в ред. Приказа Ростехнадзора от 04.02.2021 N 46)
В таблице N 1 настоящего приложения приведена номенклатура тепловыделяющих сборок ВВЭР-1200, для которой в таблицах N 2 - 9 настоящего приложения представлены аппроксимационные коэффициенты зависимости концентрации нуклида y (в г/тU) от глубины выгорания x (при x >= 2 ГВт·сут/тU) <1> <2> отработавшего ядерного топлива на момент останова реактора.
(в ред. Приказа Ростехнадзора от 04.02.2021 N 46)
--------------------------------
<1> При x >= 6 ГВт·сут/тU для 242Pu.
(сноска введена Приказом Ростехнадзора от 04.02.2021 N 46)
<2> Значения минимальной глубины выгорания для 243Am, 244Cm, 245Cm приведены в соответствующих таблицах, содержащих аппроксимационные коэффициенты для данных нуклидов.
(сноска введена Приказом Ростехнадзора от 04.02.2021 N 46)
Концентрации нуклидов после останова реактора определяются по формулам (1) - (5) приложения N 1 к настоящему Руководству по безопасности. Значения удельной активности (в 1010 Бк/тU), парциального тепловыделения (в Вт/тU) и ядерной концентрации (в 1021 ядер/тU) для каждого нуклида определяются по формулам (6) - (8) приложения N 1 к настоящему Руководству по безопасности.
В таблицах N 10 - 13 настоящего приложения для указанной в таблице N 1 номенклатуры топлива представлены значения остаточного тепловыделения отработавшего ядерного топлива ВВЭР-1200 в зависимости от глубины выгорания и времени выдержки.
Таблица N 1
Номенклатура тепловыделяющих сборок ВВЭР-1200
Среднее начальное обогащение
по U235, %
Проектная глубина выгорания,
ГВт·сут/тU
3,3
50
4
50
4,41
60
4,95
70
Таблица N 2
Аппроксимационные коэффициенты зависимости концентрации
144Ce, 134Cs, 135Cs, 137Cs, 154Eu, 155Eu, 3H, 85Kr, 237Np,
107Pd, 238Pu, 239Pu, 240Pu, 241Pu, 242Pu, 106Ru, 125Sb,
79Se, 151Sm, 121mSn, 126Sn, 90Sr, 99Tc, 125mTe, 234U, 235U,
236U, 238U, 93Zr (y, г/тU) от глубины выгорания (x,
ГВт·сут/тU) отработавшего ядерного топлива ВВЭР-1200
с начальным обогащением 3,3% по 235U
Нуклид
Аппроксимационные коэффициенты
, %
144Ce
9,67127E-01
3,46899E+01
-1,22685E+00
2,57577E-02
-3,46755E-04
2,72638E-06
-9,32674E-09
2
134Cs
8,50881E-02
-1,41057E-01
1,67477E-01
-1,51654E-03
1,08998E-05
-1,25517E-07
6,45094E-10
8
135Cs
-6,37140E-01
1,00551E+01
1,96108E-02
-1,41630E-03
2,50121E-05
-1,25676E-07
0,00000E+00
13
137Cs
-3,18492E-01
3,82118E+01
-3,50313E-02
0,00000E+00
0,00000E+00
0,00000E+00
0,00000E+00
2,4
154Eu
3,96421E-01
-1,84921E-01
4,29997E-02
-4,64449E-04
-9,42445E-07
2,49012E-08
0,00000E+00
18
155Eu
1,99996E-01
1,01441E-01
-2,60857E-03
5,26995E-04
-1,44446E-05
1,57866E-07
-6,36008E-10
26
3H
-3,81236E-05
1,37689E-03
1,48896E-05
-1,30600E-07
3,53564E-10
4,65949E-13
0,00000E+00
8
85Kr
4,03455E-02
1,06512E+00
-1,17468E-02
1,08808E-04
-8,63007E-07
3,83662E-09
0,00000E+00
5
237Np
-3,08848E+00
4,40836E+00
4,58297E-01
-8,51664E-03
5,93154E-05
-1,62011E-07
0,00000E+00
23,6
107Pd
-9,99980E-01
1,58041E+00
2,02780E-01
-2,03014E-03
1,48061E-05
-6,35976E-08
0,00000E+00
4
238Pu
-6,23056E-02
-1,80576E-02
4,19904E-02
3,54616E-03
-3,05272E-05
-2,98258E-07
2,95802E-09
14,7
239Pu
-3,58657E+00
5,21211E+02
-2,25354E+01
5,81817E-01
-9,24444E-03
8,20033E-05
-3,06124E-07
9,5
240Pu
-4,73714E+01
3,31150E+01
4,02421E+00
-1,59800E-01
2,85107E-03
-2,62414E-05
9,96190E-08
7,6
241Pu
1,72305E+01
-1,63741E+01
5,34330E+00
-1,85784E-01
3,02095E-03
-2,48617E-05
8,37887E-08
13
242Pu
2,32309E+00
-1,06908E+00
4,47460E-02
2,91138E-02
-6,76015E-04
6,25213E-06
-2,21260E-08
13,5
106Ru
-8,03325E-01
2,96399E+00
2,03725E-01
-6,52359E-03
1,09456E-04
-1,02317E-06
3,97812E-09
23
125Sb
-6,64395E-02
2,10946E-01
3,54211E-03
-1,02203E-04
1,13100E-06
-4,96758E-09
0,00000E+00
39
79Se
-2,27351E-04
1,56391E-01
-3,14926E-04
-4,66591E-06
6,18752E-08
-1,71998E-10
-4,29548E-13
26
151Sm
2,13389E+00
1,11159E+00
-7,65854E-02
3,02316E-03
-6,34202E-05
6,68375E-07
-2,77963E-09
24
121mSn
-4,27461E-04
4,28304E-03
1,75410E-04
-4,15117E-06
6,70450E-08
-6,26490E-10
2,42651E-12
64
126Sn
-2,86366E-02
3,33795E-01
1,20732E-02
-2,72009E-04
4,48889E-06
-4,16288E-08
1,58047E-10
7,9
90Sr
1,11041E+00
2,21806E+01
-2,37254E-01
2,39586E-03
-2,04474E-05
9,24637E-08
0,00000E+00
22
99Tc
-4,59734E+00
2,78304E+01
-1,06480E-01
6,28704E-05
-3,18913E-06
3,51576E-08
0,00000E+00
5
125mTe
-2,38877E-03
1,27835E-03
1,32244E-04
-3,48755E-06
4,13583E-08
-1,90492E-10
0,00000E+00
7,8
234U
2,93660E+02
-4,25168E+00
1,50630E-02
-7,98277E-05
4,06561E-06
-4,55316E-08
1,60319E-10
18,1
235U
3,29010E+04
-1,16553E+03
1,82423E+01
-1,99570E-01
1,77841E-03
-8,13612E-06
0,00000E+00
6,5
236U
1,67951E+02
2,14262E+02
-3,63767E+00
3,41064E-02
-2,69863E-04
1,24563E-06
0,00000E+00
3,2
238U
9,66378E+05
-6,32564E+02
-2,62205E+00
-2,12503E-02
2,34001E-04
-4,17694E-08
0,00000E+00
0,2
93Zr
3,83117E-01
2,57078E+01
-1,66304E-01
1,25892E-03
-8,39047E-06
3,44625E-08
0,00000E+00
1
Таблица N 3
Аппроксимационные коэффициенты зависимости концентрации
241Am, 242mAm, 243Am, 242Cm, 244Cm, 245Cm (y, г/тU) от
глубины выгорания (x, ГВт·сут/тU) отработавшего ядерного
топлива ВВЭР-1200 с начальным обогащением 3,3% по 235U
Нуклид
Выгорание, ГВт·сут/тU
Аппроксимационные коэффициенты
, %
не менее
не более
241Am
2
18
-4,32627E-02
5,18868E-02
-2,38277E-02
5,50149E-03
-1,80929E-04
1,88397E-06
0,00000E+00
6,5
18
50
1,52093E+01
-2,97728E+00
2,22661E-01
-4,87766E-03
4,59942E-05
-1,62188E-07
0,00000E+00
242mAm
2
18
-1,72475E-03
1,80228E-03
-6,47436E-04
9,49347E-05
-1,77194E-06
-4,44712E-09
0,00000E+00
8
18
50
3,83471E-01
-7,33270E-02
5,01320E-03
-9,98769E-05
7,14696E-07
3,21219E-10
-1,75886E-11
243Am
2
18
5,54633E-03
-8,34172E-03
4,95031E-03
-1,52408E-03
2,62154E-04
-4,39291E-06
0,00000E+00
24,7
18
50
-7,78771E+00
2,38285E+00
-2,67428E-01
1,36930E-02
-1,69372E-04
6,82908E-07
0,00000E+00
242Cm
2
18
-5,98860E-03
5,67534E-03
-1,64597E-03
1,10565E-04
2,83147E-05
-6,95978E-07
0,00000E+00
21
18
50
-1,18225E+00
3,38792E-01
-4,12145E-02
2,59275E-03
-5,41248E-05
4,86806E-07
-1,64161E-09
244Cm
6
20
1,13228E-02
-1,10001E-02
3,62650E-03
-5,25809E-04
3,13410E-05
2,30037E-07
0,00000E+00
24,9
20
50
-1,10356E+00
-2,38546E-01
6,24830E-02
-4,94081E-03
1,81008E-04
-1,94417E-06
6,95801E-09
(в ред. Приказа Ростехнадзора от 04.02.2021 N 46)
245Cm
8
32
-1,16771E-03
1,13595E-03
-3,84431E-04
6,15877E-05
-5,15824E-06
2,14889E-07
-1,83035E-09
37
32
50
-7,44052E+00
7,23883E-01
-1,92060E-02
-2,48787E-04
1,93067E-05
-2,23994E-07
8,03293E-10
(в ред. Приказа Ростехнадзора от 04.02.2021 N 46)
Таблица N 4
Аппроксимационные коэффициенты зависимости концентрации
144Ce, 134Cs, 135Cs, 137Cs, 154Eu, 155Eu, 3H, 85Kr, 237Np,
107Pd, 238Pu, 239Pu, 240Pu, 241Pu, 242Pu, 106Ru, 125Sb,
79Se, 151Sm, 121mSn, 126Sn, 90Sr, 99Tc, 125mTe, 234U, 235U,
236U, 238U, 93Zr(y, г/тU) от глубины выгорания (x,
ГВт·сут/тU) отработавшего ядерного топлива ВВЭР-1200
с начальным обогащением 4% по 235U
Нуклид
Аппроксимационные коэффициенты
, %
144Ce
7,33397E-01
3,48954E+01
-1,20250E+00
2,46701E-02
-3,24995E-04
2,49530E-06
-8,32717E-09
2
134Cs
9,52217E-02
-1,38824E-01
1,56400E-01
-1,42314E-03
1,05656E-05
-9,25958E-08
3,47817E-10
8
135Cs
-5,22044E-01
1,17882E+01
1,52208E-02
-1,40029E-03
2,10573E-05
-9,15257E-08
0,00000E+00
13
137Cs
-2,87777E-01
3,82447E+01
-3,45186E-02
0,00000E+00
0,00000E+00
0,00000E+00
0,00000E+00
2,4
154Eu
2,98618E-01
-1,34804E-01
3,38114E-02
-1,37547E-04
-5,06887E-06
4,25319E-08
0,00000E+00
18
155Eu
1,87758E-01
1,13952E-01
-4,78292E-03
5,56209E-04
-1,37437E-05
1,41607E-07
-5,49763E-10
26
3H
-2,13680E-05
1,36994E-03
1,23247E-05
-8,47857E-08
2,09457E-10
-4,33171E-13
0,00000E+00
8
85Kr
2,51648E-02
1,07621E+00
-1,03491E-02
9,01085E-05
-7,90582E-07
3,71248E-09
0,00000E+00
5
237Np
-3,10632E+00
4,41876E+00
4,45602E-01
-7,48547E-03
5,01802E-05
-1,50281E-07
0,00000E+00
23,6
107Pd
-6,83658E-01
1,39001E+00
1,71603E-01
-1,66492E-03
1,44963E-05
-7,02194E-08
0,00000E+00
4
238Pu
1,25241E-01
-1,13562E-01
5,26596E-02
2,27334E-03
2,15975E-06
-5,32755E-07
3,23928E-09
14,7
239Pu
-2,28728E+01
4,91106E+02
-1,88211E+01
4,46682E-01
-6,83290E-03
5,98509E-05
-2,22427E-07
9,5
240Pu
-3,71838E+01
2,51441E+01
3,68196E+00
-1,35441E-01
2,38029E-03
-2,22537E-05
8,65354E-08
7,6
241Pu
1,93654E+01
-1,59395E+01
4,47677E+00
-1,35732E-01
1,92471E-03
-1,39608E-05
4,21749E-08
13
242Pu
1,03713E+00
-3,65475E-01
-4,18189E-02
2,44209E-02
-5,04452E-04
4,39297E-06
-1,52520E-08
13,5
106Ru
-5,40250E-01
2,77345E+00
1,62720E-01
-5,13902E-03
8,67522E-05
-8,03090E-07
3,04762E-09
23
125Sb
-5,51212E-02
2,05587E-01
2,82484E-03
-8,16378E-05
8,96428E-07
-3,89826E-09
0,00000E+00
39
79Se
4,41554E-04
1,56393E-01
-2,19451E-04
-5,80339E-06
9,57071E-08
-8,43487E-10
3,60123E-12
26
151Sm
1,91024E+00
1,40838E+00
-9,89263E-02
3,87600E-03
-8,08100E-05
8,46665E-07
-3,50177E-09
24
121mSn
-3,10431E-04
4,20449E-03
1,44074E-04
-3,09386E-06
4,77851E-08
-4,32630E-10
1,62891E-12
64
126Sn
-2,08352E-02
3,29100E-01
9,90943E-03
-1,98699E-04
3,07963E-06
-2,70282E-08
9,76283E-11
7,9
90Sr
7,60923E-01
2,24309E+01
-2,05415E-01
1,99862E-03
-1,91853E-05
9,19561E-08
0,00000E+00
22
99Tc
-4,63777E+00
2,78817E+01
-9,92408E-02
2,09082E-04
-5,88328E-06
4,32440E-08
0,00000E+00
5
125mTe
-2,36311E-03
1,29967E-03
1,19454E-04
-3,18447E-06
3,82902E-08
-1,77870E-10
0,00000E+00
7,8
234U
3,55865E+02
-4,60381E+00
9,22415E-03
1,59322E-04
-2,06937E-06
2,63694E-08
-1,43642E-10
18,1
235U
3,99319E+04
-1,19372E+03
1,56787E+01
-1,66081E-01
1,63939E-03
-7,84817E-06
0,00000E+00
6,5
236U
1,95343E+02
2,24241E+02
-3,20580E+00
2,83215E-02
-2,59664E-04
1,29591E-06
0,00000E+00
3,2
238U
9,59259E+05
-5,78866E+02
-2,75841E+00
-3,47439E-03
1,45277E-06
3,83359E-07
0,00000E+00
0,2
93Zr
-8,47902E-02
2,59864E+01
-1,50530E-01
1,35535E-03
-1,38754E-05
6,96809E-08
0,00000E+00
1
Таблица N 5
Аппроксимационные коэффициенты зависимости концентрации
241Am, 242mAm, 243Am, 242Cm, 244Cm, 245Cm (y, г/тU) от
глубины выгорания (x, ГВт·сут/тU) отработавшего ядерного
топлива ВВЭР-1200 с начальным обогащением 4% по 235U
Нуклид
Выгорание, ГВт·сут/тU
Аппроксимационные коэффициенты
, %
не менее
не более
241Am
2
18
-3,94960E-02
4,56400E-02
-1,98144E-02
4,24464E-03
-1,14332E-04
8,56330E-07
0,00000E+00
6,5
18
50
1,56984E+01
-2,84503E+00
1,93028E-01
-3,60099E-03
2,73043E-05
-7,14659E-08
0,00000E+00
242mAm
2
18
-1,26413E-03
1,28107E-03
-4,35812E-04
5,72963E-05
5,27626E-09
-2,95331E-08
0,00000E+00
8
18
50
2,77048E-01
-4,85584E-02
2,75204E-03
-1,18337E-05
-8,48334E-07
1,32858E-08
-5,87855E-11
243Am
2
18
6,42957E-03
-8,50996E-03
4,37543E-03
-1,16349E-03
1,73600E-04
-2,53356E-06
0,00000E+00
24,7
18
50
-1,64548E+01
3,38782E+00
-2,84217E-01
1,16395E-02
-1,26371E-04
4,52670E-07
0,00000E+00
242Cm
2
18
-2,50921E-03
2,20644E-03
-4,99360E-04
-3,13510E-05
2,69016E-05
-5,80879E-07
0,00000E+00
21
18
50
-1,21276E+00
3,09626E-01
-3,40738E-02
1,94480E-03
-3,55943E-05
2,74589E-07
-7,77892E-10
244Cm
6
20
6,53228E-03
-6,25044E-03
2,00770E-03
-2,78410E-04
1,49370E-05
2,72454E-07
0,00000E+00
24,9
20
50
2,61206E+00
-7,08412E-01
7,63508E-02
-4,26503E-03
1,26540E-04
-1,12489E-06
3,21935E-09
(в ред. Приказа Ростехнадзора от 04.02.2021 N 46)
245Cm
8
32
-1,12862E-03
1,03912E-03
-3,26423E-04
4,79497E-05
-3,64527E-06
1,36158E-07
-9,84991E-10
37
32
50
7,98257E+00
-1,29124E+00
8,60178E-02
-2,99829E-03
5,60030E-05
-4,73217E-07
1,50471E-09
(в ред. Приказа Ростехнадзора от 04.02.2021 N 46)
Таблица N 6
Аппроксимационные коэффициенты зависимости концентрации
144Ce, 134Cs, 135Cs, 137Cs, 154Eu, 155Eu, 3H, 85Kr, 237Np,
107Pd, 238Pu, 239Pu, 240Pu, 241Pu, 242Pu, 106Ru, 125Sb,
79Se, 151Sm, 121mSn, 126Sn, 90Sr, 99Tc, 125mTe, 234U, 235U,
236U, 238U, 93Zr (y, г/тU) от глубины выгорания (x,
ГВт·сут/тU) отработавшего ядерного топлива ВВЭР-1200
с начальным обогащением 4,41% по 235U
Нуклид
Аппроксимационные коэффициенты
, %
144Ce
6,17846E-01
3,49847E+01
-1,19138E+00
2,42230E-02
-3,16972E-04
2,42198E-06
-8,06684E-09
2
134Cs
9,46508E-02
-1,32279E-01
1,49976E-01
-1,29419E-03
7,41019E-06
-3,77165E-08
3,50696E-11
8
135Cs
-5,41581E-01
1,27933E+01
1,06458E-02
-1,28629E-03
1,78280E-05
-7,11032E-08
0,00000E+00
13
137Cs
-3,28029E-01
3,82639E+01
-3,42881E-02
0,00000E+00
0,00000E+00
0,00000E+00
0,00000E+00
2,4
154Eu
2,48983E-01
-1,10368E-01
2,95956E-02
-2,57077E-06
-6,51826E-06
4,74242E-08
0,00000E+00
18
155Eu
1,83578E-01
1,19199E-01
-5,57998E-03
5,53988E-04
-1,30519E-05
1,30495E-07
-4,96386E-10
26
3H
-2,90919E-05
1,37292E-03
1,05918E-05
-4,58825E-08
-1,90588E-10
1,50684E-12
0,00000E+00
8
85Kr
1,65695E-02
1,08147E+00
-9,71756E-03
8,16100E-05
-7,25742E-07
3,34565E-09
0,00000E+00
5
237Np
-3,04697E+00
4,40758E+00
4,41992E-01
-7,17339E-03
4,91470E-05
-1,60882E-07
0,00000E+00
23,6
107Pd
-5,73050E-01
1,32269E+00
1,56143E-01
-1,46861E-03
1,33466E-05
-6,51005E-08
0,00000E+00
4
238Pu
1,66090E-01
-1,32996E-01
5,37745E-02
1,94321E-03
7,97241E-06
-5,12426E-07
2,79338E-09
14,7
239Pu
-3,00785E+01
4,76091E+02
-1,71318E+01
3,90538E-01
-5,89426E-03
5,15664E-05
-1,91878E-07
9,5
240Pu
-3,23849E+01
2,16031E+01
3,52019E+00
-1,25841E-01
2,21822E-03
-2,10327E-05
8,28703E-08
7,6
241Pu
1,90997E+01
-1,50582E+01
4,00697E+00
-1,11297E-01
1,42189E-03
-9,13636E-06
2,39891E-08
13
242Pu
5,91088E-01
-1,28157E-01
-6,70064E-02
2,19859E-02
-4,33491E-04
3,72452E-06
-1,30752E-08
13,5
106Ru
-4,91751E-01
2,72439E+00
1,40222E-01
-4,33881E-03
7,18106E-05
-6,47899E-07
2,39284E-09
23
125Sb
-4,97476E-02
2,03250E-01
2,50129E-03
-7,33979E-05
8,10700E-07
-3,53777E-09
0,00000E+00
39
79Se
3,91121E-05
1,56720E-01
-2,20919E-04
-3,70713E-06
3,82961E-08
-1,46332E-10
1,94693E-13
26
151Sm
1,74776E+00
1,57476E+00
-1,10351E-01
4,28121E-03
-8,85544E-05
9,21631E-07
-3,79054E-09
24
121mSn
-2,16790E-04
4,15235E-03
1,32674E-04
-2,78989E-06
4,30919E-08
-3,89080E-10
1,45944E-12
64
126Sn
-1,49601E-02
3,25966E-01
9,11834E-03
-1,78696E-04
2,78661E-06
-2,47202E-08
9,09591E-11
7,9
90Sr
6,02624E-01
2,25383E+01
-1,90598E-01
1,81431E-03
-1,79084E-05
8,50221E-08
0,00000E+00
22
99Tc
-4,82087E+00
2,79761E+01
-1,02258E-01
4,89218E-04
-9,80258E-06
6,00331E-08
0,00000E+00
5
125mTe
-2,38062E-03
1,32116E-03
1,12617E-04
-3,01403E-06
3,63070E-08
-1,68415E-10
0,00000E+00
7,8
234U
3,92411E+02
-4,83358E+00
1,03748E-02
7,10310E-05
3,70887E-07
-7,52357E-09
3,62338E-11
18,1
235U
4,40454E+04
-1,20622E+03
1,44638E+01
-1,51091E-01
1,54332E-03
-7,37446E-06
0,00000E+00
6,5
236U
2,11725E+02
2,29511E+02
-3,02009E+00
2,65265E-02
-2,60376E-04
1,30846E-06
0,00000E+00
3,2
238U
9,55117E+05
-5,66358E+02
-1,71645E+00
-3,02444E-02
3,78307E-04
-1,72363E-06
0,00000E+00
0,2
93Zr
-2,82847E-01
2,60878E+01
-1,40698E-01
1,30127E-03
-1,42997E-05
7,23903E-08
0,00000E+00
1
Таблица N 7
Аппроксимационные коэффициенты зависимости концентрации
241Am, 242mAm, 243Am, 242Cm, 244Cm, 245Cm (y, г/тU) от
глубины выгорания (x, ГВт·сут/тU) отработавшего ядерного
топлива ВВЭР-1200 с начальным обогащением 4,41% по 235U
Нуклид
Выгорание, ГВт·сут/тU
Аппроксимационные коэффициенты
, %
не менее
не более
241Am
2
18
-3,79028E-02
4,28542E-02
-1,80255E-02
3,71072E-03
-8,89180E-05
5,09635E-07
0,00000E+00
6,5
18
60
1,45168E+01
-2,56238E+00
1,66955E-01
-2,73768E-03
1,63411E-05
-2,36110E-08
0,00000E+00
242mAm
2
18
-8,53062E-04
8,60295E-04
-2,86643E-04
3,43238E-05
1,08723E-06
-4,65042E-08
0,00000E+00
8
18
60
2,19301E-01
-3,59342E-02
1,68638E-03
2,54832E-05
-1,42228E-06
1,72370E-08
-6,85701E-11
243Am
4
18
8,76748E-03
-1,03005E-02
4,61978E-03
-1,07869E-03
1,44330E-04
-1,99434E-06
0,00000E+00
24,7
18
60
-1,52683E+01
3,05443E+00
-2,47020E-01
9,65408E-03
-9,69242E-05
3,15744E-07
0,00000E+00
(в ред. Приказа Ростехнадзора от 04.02.2021 N 46)
242Cm
2
18
-1,88521E-03
1,57205E-03
-2,94385E-04
-4,96164E-05
2,38533E-05
-4,87261E-07
0,00000E+00
21
18
60
-1,17444E+00
2,90684E-01
-3,07664E-02
1,67752E-03
-2,87514E-05
2,05305E-07
-5,31698E-10
244Cm
6
20
4,25960E-03
-4,08020E-03
1,30846E-03
-1,79091E-04
8,93556E-06
2,77829E-07
0,00000E+00
24,9
20
60
9,74217E+00
-1,80854E+00
1,40898E-01
-5,97410E-03
1,42583E-04
-1,19797E-06
3,45481E-09
(в ред. Приказа Ростехнадзора от 04.02.2021 N 46)
245Cm
8
32
-9,37453E-04
8,53733E-04
-2,63941E-04
3,79849E-05
-2,81338E-06
1,01349E-07
-6,51605E-10
37
32
60
2,00042E+01
-2,73699E+00
1,55394E-01
-4,66750E-03
7,66898E-05
-6,02961E-07
1,83515E-09
(в ред. Приказа Ростехнадзора от 04.02.2021 N 46)
Таблица N 8
Аппроксимационные коэффициенты зависимости концентрации
144Ce, 134Cs, 135Cs, 137Cs, 154Eu, 155Eu, 3H, 85Kr, 237Np,
107Pd, 238Pu, 239Pu, 240Pu, 241Pu, 242Pu, 106Ru, 125Sb,
79Se, 151Sm, 121mSn, 126Sn, 90Sr, 99Tc, 125mTe, 234U, 235U,
236U, 238U, 93Zr (y, г/тU) от глубины выгорания (x,
ГВт·сут/тU) отработавшего ядерного топлива ВВЭР-1200
с начальным обогащением 4,95% по 235U
Нуклид
Аппроксимационные коэффициенты
, %
144Ce
5,88425E-01
3,50467E+01
-1,17565E+00
2,35610E-02
-3,03433E-04
2,27960E-06
-7,47685E-09
2
134Cs
6,93574E-02
-1,16777E-01
1,42321E-01
-1,17393E-03
5,53582E-06
-1,22762E-08
-7,30856E-11
8
135Cs
-5,86568E-01
1,40757E+01
4,49818E-03
-1,09960E-03
1,34921E-05
-4,62732E-08
0,00000E+00
13
137Cs
-3,44461E-01
3,82848E+01
-3,39749E-02
0,00000E+00
0,00000E+00
0,00000E+00
0,00000E+00
2,4
154Eu
1,91207E-01
-8,27668E-02
2,50167E-02
1,31048E-04
-7,73487E-06
5,03646E-08
0,00000E+00
18
155Eu
1,78696E-01
1,25403E-01
-6,42013E-03
5,47791E-04
-1,22703E-05
1,19155E-07
-4,45909E-10
26
3H
-7,58705E-06
1,36414E-03
9,92214E-06
-5,39262E-08
1,97146E-10
-1,19493E-12
0,00000E+00
8
85Kr
1,00394E-02
1,08629E+00
-8,99796E-03
7,25526E-05
-6,53068E-07
2,93068E-09
0,00000E+00
5
237Np
-3,00142E+00
4,39448E+00
4,36571E-01
-6,80906E-03
4,77590E-05
-1,68437E-07
0,00000E+00
23,6
107Pd
-4,48788E-01
1,25026E+00
1,39692E-01
-1,27800E-03
1,20821E-05
-5,82678E-08
0,00000E+00
4
238Pu
1,41177E-01
-1,16195E-01
4,89745E-02
1,95032E-03
2,98426E-06
-3,46886E-07
1,68997E-09
14,7
239Pu
-3,56313E+01
4,58108E+02
-1,52235E+01
3,29078E-01
-4,86054E-03
4,21613E-05
-1,55904E-07
9,5
240Pu
-2,80941E+01
1,83349E+01
3,26550E+00
-1,12140E-01
1,95891E-03
-1,85850E-05
7,31550E-08
7,6
241Pu
1,86663E+01
-1,40061E+01
3,50103E+00
-8,71591E-02
9,68484E-04
-5,15983E-06
1,02037E-08
13
242Pu
8,52912E-02
1,21568E-01
-9,04946E-02
1,94263E-02
-3,65737E-04
3,12018E-06
-1,11024E-08
13,5
106Ru
-3,79231E-01
2,64857E+00
1,19363E-01
-3,68718E-03
6,09444E-05
-5,43941E-07
1,98441E-09
23
125Sb
-4,66684E-02
2,01883E-01
2,03638E-03
-6,05336E-05
6,50862E-07
-2,73812E-09
0,00000E+00
39
79Se
4,95082E-04
1,56663E-01
-1,70479E-04
-4,50019E-06
6,35816E-08
-5,32262E-10
2,10716E-12
26
151Sm
1,51992E+00
1,78054E+00
-1,23489E-01
4,72527E-03
-9,67569E-05
9,99168E-07
-4,08469E-09
24
121mSn
-1,82021E-04
4,13060E-03
1,16141E-04
-2,26783E-06
3,31374E-08
-2,83235E-10
1,00515E-12
64
126Sn
-1,12291E-02
3,23995E-01
8,09116E-03
-1,48934E-04
2,24037E-06
-1,92230E-08
6,89963E-11
7,9
90Sr
4,81768E-01
2,26352E+01
-1,72960E-01
1,57724E-03
-1,57621E-05
7,31557E-08
0,00000E+00
22
99Tc
-4,62645E+00
2,79134E+01
-8,89144E-02
1,66549E-04
-3,97301E-06
2,18774E-08
0,00000E+00
5
125mTe
-2,41412E-03
1,35035E-03
1,04788E-04
-2,82207E-06
3,40602E-08
-1,57725E-10
0,00000E+00
7,8
234U
4,40333E+02
-5,03562E+00
2,32459E-03
4,49769E-04
-8,80890E-06
9,74705E-08
-4,22522E-10
18,1
235U
4,94546E+04
-1,21728E+03
1,28884E+01
-1,26846E-01
1,29209E-03
-5,99250E-06
0,00000E+00
6,5
236U
2,30268E+02
2,35293E+02
-2,76115E+00
2,27933E-02
-2,28378E-04
1,12341E-06
0,00000E+00
3,2
238U
9,49591E+05
-5,26780E+02
-2,71675E+00
1,55061E-02
-3,47365E-04
2,25676E-06
0,00000E+00
0,2
93Zr
-2,47438E-01
2,61070E+01
-1,21365E-01
9,19891E-04
-9,23328E-06
4,27581E-08
0,00000E+00
1
Таблица N 9
Аппроксимационные коэффициенты зависимости концентрации
241Am, 242mAm, 243Am, 242Cm, 244Cm, 245Cm (y, г/тU) от
глубины выгорания (x, ГВт·сут/тU) отработавшего ядерного
топлива ВВЭР-1200 с начальным обогащением 4,95% по 235U
Нуклид
Выгорание, ГВт·сут/тU
Аппроксимационные коэффициенты
, %
не менее
не более
241Am
2
18
-3,26537E-02
3,65985E-02
-1,51522E-02
3,03905E-03
-5,83337E-05
8,62580E-08
0,00000E+00
6,5
18
70
1,22452E+01
-2,11410E+00
1,31733E-01
-1,68897E-03
4,15110E-06
2,53159E-08
0,00000E+00
242mAm
2
18
-7,10373E-04
6,96594E-04
-2,20696E-04
2,34425E-05
1,35465E-06
-4,48514E-08
0,00000E+00
8
18
70
1,15778E-01
-1,56135E-02
1,38566E-04
7,60543E-05
-2,17408E-06
2,24767E-08
-8,27920E-11
243Am
4
18
7,45473E-03
-8,69319E-03
3,82908E-03
-8,63763E-04
1,09774E-04
-1,39119E-06
0,00000E+00
24,7
18
70
-1,50234E+01
2,84410E+00
-2,16312E-01
7,89716E-03
-7,25664E-05
2,13316E-07
0,00000E+00
(в ред. Приказа Ростехнадзора от 04.02.2021 N 46)
242Cm
2
18
-8,18993E-04
5,50012E-04
1,61304E-05
-7,91136E-05
2,14130E-05
-4,12679E-07
0,00000E+00
21
18
70
-9,95098E-01
2,44041E-01
-2,53796E-02
1,34031E-03
-2,10948E-05
1,34444E-07
-2,99260E-10
244Cm
6
20
2,77924E-03
-2,63720E-03
8,31001E-04
-1,09755E-04
4,81182E-06
2,50735E-07
0,00000E+00
24,9
20
70
5,86190E-01
-2,50177E-01
3,22050E-02
-1,92964E-03
5,66664E-05
-3,58085E-07
3,99239E-10
(в ред. Приказа Ростехнадзора от 04.02.2021 N 46)
245Cm
8
32
-7,03482E-04
6,35154E-04
-1,93807E-04
2,73977E-05
-1,98002E-06
6,86399E-08
-3,62356E-10
37
32
70
5,11379E+00
-7,68328E-01
4,74195E-02
-1,51561E-03
2,52017E-05
-1,69628E-07
3,73641E-10
(в ред. Приказа Ростехнадзора от 04.02.2021 N 46)
Таблица N 10
Остаточное тепловыделение (Вт/тU) отработавшего ядерного
топлива ВВЭР-1200 с начальным обогащением 3,3% по 235U
в зависимости от времени выдержки и глубины
выгорания топлива
Глубина выгорания, ГВт·сут/тU
Время выдержки, лет
0,01
0,03
0,1
0,3
1
3
10
20
2
1,03E+05
5,31E+04
2,08E+04
7,15E+03
1,21E+03
2,23E+02
6,33E+01
4,92E+01
4
1,18E+05
6,62E+04
3,00E+04
1,14E+04
2,23E+03
4,41E+02
1,27E+02
9,87E+01
6
1,26E+05
7,33E+04
3,55E+04
1,46E+04
3,10E+03
6,55E+02
1,90E+02
1,48E+02
8
1,29E+05
7,77E+04
3,91E+04
1,71E+04
3,89E+03
8,65E+02
2,54E+02
1,99E+02
10
1,34E+05
8,07E+04
4,15E+04
1,87E+04
4,34E+03
1,07E+03
3,19E+02
2,52E+02
12
1,37E+05
8,28E+04
4,34E+04
2,00E+04
5,29E+03
1,28E+03
3,86E+02
3,06E+02
14
1,39E+05
8,44E+04
4,48E+04
2,12E+04
5,93E+03
1,49E+03
4,53E+02
3,57E+02
16
1,41E+05
8,55E+04
4,58E+04
2,21E+04
6,54E+03
1,69E+03
5,19E+02
4,11E+02
18
1,42E+05
8,65E+04
4,67E+04
2,31E+04
7,14E+03
1,90E+03
5,87E+02
4,64E+02
20
1,43E+05
8,75E+04
4,76E+04
2,37E+04
7,71E+03
2,11E+03
6,58E+02
5,20E+02
22
1,44E+05
8,84E+04
4,84E+04
2,45E+04
8,25E+03
2,31E+03
7,28E+02
5,74E+02
24
1,47E+05
8,93E+04
4,92E+04
2,53E+04
8,79E+03
2,52E+03
8,00E+02
6,29E+02
26
1,48E+05
9,01E+04
5,00E+04
2,60E+04
9,33E+03
2,74E+03
8,74E+02
6,86E+02
28
1,49E+05
9,09E+04
5,07E+04
2,67E+04
9,86E+03
2,94E+03
9,50E+02
7,43E+02
30
1,50E+05
9,18E+04
5,14E+04
2,74E+04
1,04E+04
3,15E+03
1,03E+03
8,02E+02
32
1,51E+05
9,25E+04
5,21E+04
2,81E+04
1,09E+04
3,36E+03
1,11E+03
8,61E+02
34
1,53E+05
9,34E+04
5,28E+04
2,88E+04
1,14E+04
3,59E+03
1,19E+03
9,23E+02
36
1,54E+05
9,39E+04
5,35E+04
2,94E+04
1,19E+04
3,80E+03
1,28E+03
9,85E+02
38
1,55E+05
9,49E+04
5,42E+04
3,01E+04
1,24E+04
4,02E+03
1,36E+03
1,04E+03
40
1,56E+05
9,57E+04
5,49E+04
3,07E+04
1,28E+04
4,25E+03
1,45E+03
1,11E+03
42
1,57E+05
9,65E+04
5,55E+04
3,13E+04
1,33E+04
4,48E+03
1,54E+03
1,19E+03
44
1,58E+05
9,73E+04
5,63E+04
3,20E+04
1,39E+04
4,72E+03
1,65E+03
1,26E+03
46
1,59E+05
9,81E+04
5,70E+04
3,26E+04
1,43E+04
4,95E+03
1,74E+03
1,32E+03
48
1,61E+05
9,88E+04
5,76E+04
3,32E+04
1,48E+04
5,19E+03
1,85E+03
1,40E+03
50
1,62E+05
9,95E+04
5,82E+04
3,39E+04
1,53E+04
5,44E+03
1,96E+03
1,47E+03
Таблица N 11
Остаточное тепловыделение (Вт/тU) отработавшего ядерного
топлива ВВЭР-1200 с начальным обогащением 4% по 235U
в зависимости от времени выдержки и глубины
выгорания топлива
Глубина выгорания, ГВт·сут/тU
Время выдержки, лет
0,01
0,03
0,1
0,3
1
3
10
20
2
1,02E+05
5,31E+04
2,09E+04
7,17E+03
1,21E+03
2,22E+02
6,33E+01
4,91E+01
4
1,17E+05
6,63E+04
3,01E+04
1,15E+04
2,23E+03
4,38E+02
1,27E+02
9,85E+01
6
1,25E+05
7,34E+04
3,57E+04
1,47E+04
3,09E+03
6,48E+02
1,90E+02
1,48E+02
8
1,28E+05
7,80E+04
3,94E+04
1,71E+04
3,86E+03
8,54E+02
2,54E+02
1,99E+02
10
1,33E+05
8,10E+04
4,18E+04
1,88E+04
4,30E+03
1,06E+03
3,19E+02
2,50E+02
12
1,36E+05
8,32E+04
4,37E+04
2,01E+04
5,24E+03
1,26E+03
3,86E+02
3,04E+02
14
1,38E+05
8,48E+04
4,51E+04
2,13E+04
5,86E+03
1,46E+03
4,52E+02
3,55E+02
16
1,40E+05
8,59E+04
4,62E+04
2,22E+04
6,45E+03
1,66E+03
5,19E+02
4,09E+02
18
1,41E+05
8,69E+04
4,71E+04
2,32E+04
7,02E+03
1,86E+03
5,86E+02
4,62E+02
20
1,42E+05
8,79E+04
4,79E+04
2,38E+04
7,57E+03
2,06E+03
6,57E+02
5,18E+02
22
1,43E+05
8,88E+04
4,87E+04
2,45E+04
8,08E+03
2,25E+03
7,26E+02
5,72E+02
24
1,45E+05
8,97E+04
4,95E+04
2,53E+04
8,60E+03
2,45E+03
7,98E+02
6,27E+02
26
1,47E+05
9,04E+04
5,02E+04
2,59E+04
9,11E+03
2,66E+03
8,71E+02
6,84E+02
28
1,48E+05
9,12E+04
5,09E+04
2,66E+04
9,62E+03
2,85E+03
9,45E+02
7,40E+02
30
1,49E+05
9,20E+04
5,16E+04
2,73E+04
1,01E+04
3,05E+03
1,02E+03
7,98E+02
32
1,50E+05
9,27E+04
5,23E+04
2,79E+04
1,06E+04
3,26E+03
1,10E+03
8,56E+02
34
1,51E+05
9,35E+04
5,30E+04
2,86E+04
1,11E+04
3,47E+03
1,17E+03
9,17E+02
36
1,52E+05
9,40E+04
5,35E+04
2,92E+04
1,15E+04
3,67E+03
1,26E+03
9,77E+02
38
1,53E+05
9,49E+04
5,42E+04
2,99E+04
1,20E+04
3,88E+03
1,34E+03
1,03E+03
40
1,54E+05
9,57E+04
5,49E+04
3,04E+04
1,24E+04
4,10E+03
1,42E+03
1,10E+03
42
1,56E+05
9,64E+04
5,55E+04
3,10E+04
1,29E+04
4,32E+03
1,51E+03
1,17E+03
44
1,57E+05
9,72E+04
5,62E+04
3,17E+04
1,34E+04
4,54E+03
1,61E+03
1,25E+03
46
1,58E+05
9,80E+04
5,69E+04
3,23E+04
1,38E+04
4,76E+03
1,70E+03
1,30E+03
48
1,59E+05
9,87E+04
5,74E+04
3,28E+04
1,43E+04
4,99E+03
1,80E+03
1,37E+03
50
1,60E+05
9,94E+04
5,80E+04
3,35E+04
1,48E+04
5,22E+03
1,91E+03
1,44E+03
Таблица N 12
Остаточное тепловыделение (Вт/тU) отработавшего ядерного
топлива ВВЭР-1200 с начальным обогащением 4,41% по 235U
в зависимости от времени выдержки и глубины
выгорания топлива
Глубина выгорания, ГВт·сут/тU
Время выдержки, лет
0,01
0,03
0,1
0,3
1
3
10
20
2
1,01E+05
5,31E+04
2,09E+04
7,18E+03
1,21E+03
2,22E+02
6,33E+01
4,91E+01
4
1,16E+05
6,64E+04
3,01E+04
1,15E+04
2,23E+03
4,37E+02
1,27E+02
9,84E+01
6
1,25E+05
7,35E+04
3,58E+04
1,47E+04
3,08E+03
6,45E+02
1,90E+02
1,48E+02
8
1,27E+05
7,81E+04
3,95E+04
1,72E+04
3,85E+03
8,50E+02
2,54E+02
1,98E+02
10
1,33E+05
8,12E+04
4,20E+04
1,89E+04
4,29E+03
1,05E+03
3,19E+02
2,50E+02
12
1,36E+05
8,34E+04
4,39E+04
2,02E+04
5,21E+03
1,25E+03
3,86E+02
3,03E+02
14
1,38E+05
8,50E+04
4,53E+04
2,13E+04
5,82E+03
1,45E+03
4,52E+02
3,54E+02
16
1,40E+05
8,61E+04
4,63E+04
2,22E+04
6,41E+03
1,64E+03
5,19E+02
4,08E+02
18
1,41E+05
8,71E+04
4,73E+04
2,32E+04
6,97E+03
1,84E+03
5,86E+02
4,61E+02
20
1,42E+05
8,81E+04
4,81E+04
2,38E+04
7,51E+03
2,04E+03
6,57E+02
5,17E+02
22
1,43E+05
8,90E+04
4,89E+04
2,45E+04
8,00E+03
2,22E+03
7,26E+02
5,70E+02
24
1,45E+05
8,98E+04
4,96E+04
2,53E+04
8,51E+03
2,42E+03
7,97E+02
6,25E+02
26
1,46E+05
9,06E+04
5,04E+04
2,59E+04
9,01E+03
2,62E+03
8,69E+02
6,82E+02
28
1,47E+05
9,14E+04
5,10E+04
2,66E+04
9,50E+03
2,81E+03
9,43E+02
7,39E+02
30
1,48E+05
9,21E+04
5,17E+04
2,72E+04
9,97E+03
3,01E+03
1,02E+03
7,96E+02
32
1,49E+05
9,28E+04
5,24E+04
2,79E+04
1,05E+04
3,20E+03
1,10E+03
8,54E+02
34
1,50E+05
9,36E+04
5,30E+04
2,85E+04
1,09E+04
3,41E+03
1,17E+03
9,14E+02
36
1,51E+05
9,41E+04
5,36E+04
2,91E+04
1,14E+04
3,61E+03
1,25E+03
9,74E+02
38
1,52E+05
9,49E+04
5,43E+04
2,97E+04
1,18E+04
3,81E+03
1,33E+03
1,03E+03
40
1,54E+05
9,57E+04
5,49E+04
3,03E+04
1,22E+04
4,02E+03
1,41E+03
1,09E+03
42
1,55E+05
9,64E+04
5,55E+04
3,09E+04
1,27E+04
4,23E+03
1,50E+03
1,16E+03
44
1,56E+05
9,72E+04
5,62E+04
3,15E+04
1,32E+04
4,46E+03
1,59E+03
1,24E+03
46
1,57E+05
9,79E+04
5,68E+04
3,21E+04
1,36E+04
4,67E+03
1,68E+03
1,29E+03
48
1,58E+05
9,86E+04
5,74E+04
3,26E+04
1,41E+04
4,89E+03
1,78E+03
1,36E+03
50
1,59E+05
9,93E+04
5,79E+04
3,33E+04
1,45E+04
5,11E+03
1,88E+03
1,43E+03
52
1,60E+05
1,00E+05
5,86E+04
3,38E+04
1,50E+04
5,34E+03
1,97E+03
1,50E+03
54
1,61E+05
1,01E+05
5,92E+04
3,44E+04
1,54E+04
5,57E+03
2,08E+03
1,58E+03
56
1,63E+05
1,02E+05
5,98E+04
3,49E+04
1,59E+04
5,81E+03
2,18E+03
1,66E+03
58
1,64E+05
1,02E+05
6,03E+04
3,55E+04
1,63E+04
6,05E+03
2,29E+03
1,73E+03
60
1,65E+05
1,02E+05
6,09E+04
3,62E+04
1,67E+04
6,29E+03
2,42E+03
1,81E+03
Таблица N 13
Остаточное тепловыделение (Вт/тU) отработавшего ядерного
топлива ВВЭР-1200 с начальным обогащением 4,95% по 235U
в зависимости от времени выдержки и глубины
выгорания топлива
Глубина выгорания, ГВт·сут/тU
Время выдержки, лет
0,01
0,03
0,1
0,3
1
3
10
20
2
1,01E+05
5,31E+04
2,09E+04
7,19E+03
1,21E+03
2,21E+02
6,33E+01
4,91E+01
4
1,16E+05
6,64E+04
3,02E+04
1,15E+04
2,22E+03
4,35E+02
1,27E+02
9,83E+01
6
1,24E+05
7,36E+04
3,59E+04
1,47E+04
3,08E+03
6,42E+02
1,90E+02
1,47E+02
8
1,27E+05
7,82E+04
3,96E+04
1,72E+04
3,84E+03
8,44E+02
2,54E+02
1,98E+02
10
1,32E+05
8,13E+04
4,21E+04
1,89E+04
4,27E+03
1,04E+03
3,19E+02
2,49E+02
12
1,35E+05
8,35E+04
4,40E+04
2,02E+04
5,19E+03
1,23E+03
3,86E+02
3,02E+02
14
1,37E+05
8,52E+04
4,55E+04
2,14E+04
5,79E+03
1,43E+03
4,52E+02
3,53E+02
16
1,39E+05
8,63E+04
4,65E+04
2,23E+04
6,36E+03
1,62E+03
5,18E+02
4,07E+02
18
1,40E+05
8,74E+04
4,75E+04
2,33E+04
6,91E+03
1,82E+03
5,85E+02
4,60E+02
20
1,41E+05
8,83E+04
4,83E+04
2,38E+04
7,44E+03
2,01E+03
6,56E+02
5,15E+02
22
1,42E+05
8,92E+04
4,91E+04
2,45E+04
7,92E+03
2,19E+03
7,25E+02
5,69E+02
24
1,44E+05
9,00E+04
4,98E+04
2,53E+04
8,41E+03
2,38E+03
7,96E+02
6,24E+02
26
1,45E+05
9,08E+04
5,05E+04
2,59E+04
8,90E+03
2,58E+03
8,68E+02
6,80E+02
28
1,46E+05
9,15E+04
5,12E+04
2,65E+04
9,37E+03
2,76E+03
9,41E+02
7,36E+02
30
1,47E+05
9,23E+04
5,18E+04
2,72E+04
9,82E+03
2,95E+03
1,01E+03
7,94E+02
32
1,48E+05
9,29E+04
5,25E+04
2,78E+04
1,03E+04
3,15E+03
1,09E+03
8,51E+02
34
1,49E+05
9,37E+04
5,31E+04
2,84E+04
1,07E+04
3,35E+03
1,16E+03
9,10E+02
36
1,50E+05
9,41E+04
5,36E+04
2,90E+04
1,12E+04
3,54E+03
1,25E+03
9,69E+02
38
1,52E+05
9,50E+04
5,43E+04
2,96E+04
1,16E+04
3,73E+03
1,32E+03
1,02E+03
40
1,53E+05
9,57E+04
5,49E+04
3,01E+04
1,20E+04
3,94E+03
1,40E+03
1,09E+03
42
1,54E+05
9,64E+04
5,55E+04
3,07E+04
1,24E+04
4,14E+03
1,48E+03
1,16E+03
44
1,55E+05
9,71E+04
5,61E+04
3,13E+04
1,30E+04
4,35E+03
1,58E+03
1,23E+03
46
1,56E+05
9,79E+04
5,68E+04
3,18E+04
1,33E+04
4,56E+03
1,66E+03
1,28E+03
48
1,57E+05
9,85E+04
5,73E+04
3,24E+04
1,38E+04
4,77E+03
1,75E+03
1,35E+03
50
1,58E+05
9,92E+04
5,78E+04
3,30E+04
1,42E+04
4,99E+03
1,86E+03
1,41E+03
52
1,59E+05
1,00E+05
5,85E+04
3,36E+04
1,47E+04
5,21E+03
1,94E+03
1,48E+03
54
1,60E+05
1,01E+05
5,90E+04
3,41E+04
1,51E+04
5,43E+03
2,04E+03
1,57E+03
56
1,62E+05
1,02E+05
5,97E+04
3,46E+04
1,56E+04
5,66E+03
2,14E+03
1,64E+03
58
1,63E+05
1,02E+05
6,02E+04
3,52E+04
1,59E+04
5,89E+03
2,25E+03
1,71E+03
60
1,64E+05
1,02E+05
6,08E+04
3,59E+04
1,64E+04
6,12E+03
2,37E+03
1,79E+03
62
1,65E+05
1,03E+05
6,14E+04
3,63E+04
1,68E+04
6,35E+03
2,47E+03
1,86E+03
64
1,66E+05
1,03E+05
6,19E+04
3,70E+04
1,73E+04
6,59E+03
2,58E+03
1,95E+03
66
1,67E+05
1,04E+05
6,25E+04
3,74E+04
1,77E+04
6,83E+03
2,69E+03
2,04E+03
68
1,68E+05
1,05E+05
6,30E+04
3,79E+04
1,81E+04
7,08E+03
2,81E+03
2,12E+03
70
1,69E+05
1,06E+05
6,36E+04
3,85E+04
1,87E+04
7,39E+03
2,95E+03
2,21E+03
Приложение N 5
к руководству по безопасности
при использовании атомной энергии
"Радиационные и теплофизические
характеристики отработавшего ядерного
топлива водо-водяных энергетических
реакторов и реакторов большой мощности
канальных", утвержденному приказом
Федеральной службы по экологическому,
технологическому и атомному надзору
от "__" _________ 20__ г. N ___
ЯДЕРНЫЕ КОНСТАНТЫ
В таблице настоящего приложения приведены рекомендуемые ядерные константы.
Рекомендуемые значения ядерных констант
Нуклид
Период полураспада, лет
Постоянная распада,
год-1
Переводные коэффициенты
Удельная активность, 1010 Бк/г
Вт/г
1021 яд/г
1
2
3
4
5
6
241Am
4,32E+02
1,60E-03
1,27E+01
1,15E-01 <**>
2,499
242mAm
1,41E+02
4,92E-03
3,88E+01
1,67E-02 <*>
2,488
243Am
7,38E+03
9,39E-05
7,38E-01
6,90E-03 <***>
2,478
144Ce
7,80E-01
8,89E-01
1,18E+04
2,53E+01 <*>
4,182
242Cm
4,47E-01
1,55E+00
1,22E+04
1,21E+02 <**>
2,488
244Cm
1,81E+01
3,83E-02
3,00E+02
2,84E+00 <**>
2,468
245Cm
8,49E+03
8,16E-05
6,36E-01
5,76E-03 <**>
2,458
134Cs
2,06E+00
3,36E-01
4,79E+03
1,32E+01
4,494
135Cs
2,30E+06
3,01E-07
4,26E-03
5,17E-07
4,461
137Cs
3,00E+01
2,31E-02
3,22E+02
4,16E-01 <*>
4,396
154Eu
8,59E+00
8,07E-02
1,00E+03
2,43E+00
3,910
155Eu
4,69E+00
1,48E-01
1,82E+03
3,62E-01
3,885
3H
1,23E+01
5,62E-02
3,58E+04
3,26E-01
200,7
85Kr
1,07E+01
6,47E-02
1,45E+03
5,87E-01
7,085
237Np
2,14E+06
3,24E-07
2,61E-03
2,24E-05 <***>
2,541
107Pd
6,50E+06
1,07E-07
1,90E-03
3,00E-08
5,628
238Pu
8,78E+01
7,90E-03
6,34E+01
5,68E-01 <**>
2,530
239Pu
2,41E+04
2,87E-05
2,30E-01
1,93E-03 <**>
2,520
240Pu
6,56E+03
1,06E-04
8,41E-01
7,08E-03 <**>
2,509
241Pu
1,44E+01
4,83E-02
3,83E+02
3,29E-03
2,499
242Pu
3,74E+05
1,85E-06
1,46E-02
1,17E-04 <**>
2,488
106Ru
1,02E+00
6,81E-01
1,23E+04
3,21E+01 <*>
5,681
125Sb
2,73E+00
2,54E-01
3,88E+03
3,53E+00 <*>
4,818
79Se
3,30E+04
2,10E-05
5,08E-01
4,54E-05
7,623
151Sm
9,00E+01
7,70E-03
9,74E+01
3,09E-03
3,988
121mSn
5,51E+01
1,26E-02
1,98E+02
4,06E-02 <*>
4,977
126Sn
9,98E+04
6,94E-06
1,05E-01
4,73E-04 <*>
4,779
90Sr
2,81E+01
2,46E-02
5,23E+02
9,46E-01 <*>
6,691
99Tc
2,11E+05
3,28E-06
6,33E-02
5,60E-06
6,083
125mTe
1,59E-01
4,37E+00
6,67E+04
1,55E+01
4,818
234U
2,46E+05
2,82E-06
2,30E-02
1,79E-04 <**>
2,574
235U
7,03E+08
9,85E-10
8,01E-06
6,49E-08 <***>
2,563
236U
2,34E+07
2,96E-08
2,40E-04
1,75E-06 <**>
2,552
238U
4,47E+09
1,55E-10
1,24E-06
1,03E-08 <***>
2,530
93Zr
1,53E+06
4,53E-07
9,30E-03
7,20E-07 <*>
6,475
--------------------------------
<*> Значение приведено с учетом энергии распада следующих дочерних радионуклидов, находящихся в равновесии с материнскими:
материнский нуклид
дочерние нуклиды
242mAm
242Am
238Np
144Ce
144Pr
137Cs
137mBa
106Ru
106Rh
125Sb
125mTe
121mSn
121Sn
126Sn
126mSb
126nSb
126Sb
90Sr
90Y
93Zr
93mNb.
<**> Значение приведено с учетом кинетической энергии ядра отдачи при -распаде.
<***> Значение приведено с учетом кинетической энергии ядра отдачи при -распаде и с учетом энергии распада следующих дочерних радионуклидов, находящихся в равновесии с материнскими:
материнский нуклид
дочерние нуклиды
243Am
239Np
237Np
233Pa
235U
231Th
238U
234Th
234mPa.