Главная // Пожарная безопасность СПРАВКА
Источник публикации
В данном виде документ опубликован не был.
Первоначальный текст документа опубликован в издании
Официальный интернет-портал правовой информации http://pravo.gov.ru, 26.09.2018.
Информацию о публикации документов, создающих данную редакцию, см. в справке к этим документам.
Примечание к документу
Начало действия редакции - 03.08.2025.
Изменения, внесенные Приказом ФАС России от 25.06.2025 N 493/25, вступили в силу по истечении 10 дней после дня официального опубликования (опубликован на Официальном интернет-портале правовой информации http://pravo.gov.ru - 23.07.2025).
Название документа
Приказ ФАС России от 08.08.2018 N 1109/18
(ред. от 25.06.2025)
"Об утверждении методики расчета ставок платы за услуги по аренде железнодорожного подвижного состава, управлению им, его эксплуатации, техническому обслуживанию и ремонту, оказываемые организациям в сфере перевозок пассажиров железнодорожным транспортом общего пользования в пригородном сообщении и фиксированных ставок платы за услуги, связанные с арендой подвижного состава, оказываемые организацией, владеющей подвижным составом"
(Зарегистрировано в Минюсте России 25.09.2018 N 52248)
Приказ ФАС России от 08.08.2018 N 1109/18
(ред. от 25.06.2025)
"Об утверждении методики расчета ставок платы за услуги по аренде железнодорожного подвижного состава, управлению им, его эксплуатации, техническому обслуживанию и ремонту, оказываемые организациям в сфере перевозок пассажиров железнодорожным транспортом общего пользования в пригородном сообщении и фиксированных ставок платы за услуги, связанные с арендой подвижного состава, оказываемые организацией, владеющей подвижным составом"
(Зарегистрировано в Минюсте России 25.09.2018 N 52248)
Зарегистрировано в Минюсте России 25 сентября 2018 г. N 52248
ФЕДЕРАЛЬНАЯ АНТИМОНОПОЛЬНАЯ СЛУЖБА
ПРИКАЗ
от 8 августа 2018 г. N 1109/18
ОБ УТВЕРЖДЕНИИ МЕТОДИКИ
РАСЧЕТА СТАВОК ПЛАТЫ ЗА УСЛУГИ ПО АРЕНДЕ ЖЕЛЕЗНОДОРОЖНОГО
ПОДВИЖНОГО СОСТАВА, УПРАВЛЕНИЮ ИМ, ЕГО ЭКСПЛУАТАЦИИ,
ТЕХНИЧЕСКОМУ ОБСЛУЖИВАНИЮ И РЕМОНТУ, ОКАЗЫВАЕМЫЕ
ОРГАНИЗАЦИЯМ В СФЕРЕ ПЕРЕВОЗОК ПАССАЖИРОВ ЖЕЛЕЗНОДОРОЖНЫМ
ТРАНСПОРТОМ ОБЩЕГО ПОЛЬЗОВАНИЯ В ПРИГОРОДНОМ СООБЩЕНИИ
И ФИКСИРОВАННЫХ СТАВОК ПЛАТЫ ЗА УСЛУГИ, СВЯЗАННЫЕ
С АРЕНДОЙ ПОДВИЖНОГО СОСТАВА, ОКАЗЫВАЕМЫЕ
ОРГАНИЗАЦИЕЙ, ВЛАДЕЮЩЕЙ ПОДВИЖНЫМ СОСТАВОМ
| | Список изменяющих документов (в ред. Приказов ФАС России от 09.10.2020 N 980/20, от 10.08.2021 N 797/21, от 29.07.2024 N 503/24, от 25.06.2025 N 493/25) | |
В соответствии с пунктом 2.1 статьи 8 Федерального закона от 10 января 2003 года N 17-ФЗ "О железнодорожном транспорте в Российской Федерации" (Собрание законодательства Российской Федерации, 2003, N 28, ст. 2884; 2007, N 46, ст. 5554; 2008, N 30 (ч. 1), ст. 3597; 2008, N 30 (ч. 2), ст. 3616; 2008, N 52 (ч. 1), ст. 6249; 2009, N 1, ст. 21; 2011, N 19, ст. 2716; 2011, N 30 (ч. 1), ст. 4590; 2011, N 30 (ч. 1), ст. 4596; 2011, N 45, ст. 6333; 2012, N 25, ст. 3268; 2012, N 31, ст. 4320; 2013, N 27, ст. 3477; 2014, N 49 (часть VI), ст. 6928; 2015, N 1 (часть I), ст. 56; 2015, N 29 (часть I), ст. 4356; 2015, N 29 (часть I), ст. 4373; 2016, N 15, ст. 2066; 2016, N 27 (часть I), ст. 4160; 2017, N 31 (часть I), ст. 4754; 2017, N 52 (часть I), ст. 7923), подпунктами 5.3.21.21, 5.3.21.22 Положения о Федеральной антимонопольной службе, утвержденного постановлением Правительства Российской Федерации от 30 июня 2004 года N 331 (Собрание законодательства Российской Федерации, 2004, N 31, ст. 3259; 2006, N 45, ст. 4706; N 49 (часть II), ст. 5223; 2007, N 7, ст. 903; 2008, N 13, ст. 1316; N 44, ст. 5089; N 46, ст. 5337; 2009, N 2, ст. 248; N 3, ст. 378; N 39, ст. 4613; 2010, N 9, ст. 960; N 25, ст. 3181; N 26, ст. 3350; 2011, N 14, ст. 1935; N 18, ст. 2645; N 44, ст. 6269; 2012, N 27, ст. 3741; N 39, ст. 5283; N 52, ст. 7518; 2013, N 35, ст. 4514; N 36, ст. 4578; N 45, ст. 5822; 2014, N 35, ст. 4774; 2015, N 1 (часть II), ст. 279; N 10, ст. 1543; N 37, ст. 5153; N 44, ст. 6133; N 49, ст. 6994; 2016, N 1 (часть II), ст. 239); N 28, ст. 4741, N 38, ст. 5564, N 43, ст. 6030; 2018, N 5, ст. 772; N 9, ст. 1399), пунктами 9, 19 и 21 Положения о государственном регулировании тарифов, сборов и платы в отношении работ (услуг) субъектов естественных монополий в сфере железнодорожных перевозок, утвержденного постановлением Правительства Российской Федерации от 5 августа 2009 года N 643 "О государственном регулировании тарифов, сборов и платы в отношении работ (услуг) субъектов естественных монополий в сфере железнодорожных перевозок" (Собрание законодательства Российской Федерации, 2009, N 32, ст. 4051; 2013, N 27, ст. 3602; 2015, N 37, ст. 5153; 2017, N 2 (часть II), ст. 398, N 52 (часть I), ст. 8163) приказываю:
1. Утвердить методику расчета ставок платы за услуги по аренде железнодорожного подвижного состава, управлению им, его эксплуатации, техническому обслуживанию и ремонту, оказываемые организациям в сфере перевозок пассажиров железнодорожным транспортом общего пользования в пригородном сообщении (далее - Методика), согласно
приложению N 1 к настоящему приказу.
2. Субъектам Российской Федерации направить при первом применении
Методики сумму, рассчитанную как разницу между совокупным уровнем действующей на 2017 год платы за услуги, связанные с арендой подвижного состава, и расчетным уровнем такой платы на 2018 год и последующие периоды до 2025 года, в случае снижения такой платы в 2018 году относительно 2017 года, целевым образом на обновление пригородного подвижного состава (инвестиционная составляющая).
3. Утвердить фиксированные ставки платы за услуги, связанные с арендой подвижного состава, оказываемые организацией, владеющей подвижным составом, в ценах 2018 года в соответствии с
приложением N 2 к настоящему приказу (далее - фиксированные ставки).
5. Установить, что:
5.1. Фиксированные ставки в период 2019 - 2025 годы подлежат ежегодной индексации на уровне индекса потребительских цен, установленного в прогнозе социально-экономического развития Российской Федерации, минус 0,1 процентный пункт.
С июля 2025 года изменение фиксированных ставок осуществляется темпами, соответствующими темпам индексации тарифов на услуги по использованию инфраструктуры железнодорожного транспорта общего пользования при осуществлении перевозок пассажиров железнодорожным транспортом общего пользования в пригородном сообщении.
(абзац введен Приказом ФАС России от 25.06.2025 N 493/25)
5.2. Фиксированные ставки подлежат корректировке в случае изменения порядка налогообложения в отношении подвижного состава, включая изменения порядка предоставления налоговых льгот.
5.3. Все фиксированные ставки пересматриваются в случае корректировки ставки платы за отдельные услуги, связанные с арендой подвижного состава, а также в случае изменения набора оказываемых услуг для отдельных организаций, осуществляющих деятельность в сфере железнодорожных перевозок пассажиров в пригородном сообщении.
5.4. Фиксированные ставки определяются на основе экономически обоснованных затрат, в части оплаты услуг по предоставлению в пользование подвижного состава собственности организаций, владеющих подвижным составом и инфраструктурой железнодорожного транспорта общего пользования и оказывающих услуги по ее использованию на основании договора, управлению им, его эксплуатации, техническому обслуживанию, текущему и капитальному ремонтам.
(в ред. Приказа ФАС России от 29.07.2024 N 503/24)
5.5. Фиксированные ставки платы за услуги включают в себя все расходы, связанные с пробегом технических поездов, обеспечивающих объемы перевозок пассажиров в соответствии с графиком движения.
5.6. В случае, если регулируемая организация закупает услуги по предоставлению в пользование подвижного состава, управлению и эксплуатации подвижного состава, техническому обслуживанию подвижного состава, текущему и капитальному ремонтам подвижного состава у иных организаций, экономически обоснованные затраты принимаются органом регулирования с учетом результатов конкурентных закупочных процедур.
6. Признать утратившим силу приказы ФАС России:
от 24 декабря 2015 года N 1302/15 "Об утверждении методики расчета ставок платы за услуги по аренде железнодорожного подвижного состава, управлению им, его эксплуатации, техническому обслуживанию и ремонту, оказываемые организациям в сфере перевозок пассажиров железнодорожным транспортом общего пользования в пригородном сообщении" (зарегистрирован Минюстом России 12 февраля 2016 года, регистрационный N 41080);
от 7 декабря 2016 года N 1722/16 "О внесении изменений в методику расчета ставок платы за услуги по аренде железнодорожного подвижного состава, управлению им, его эксплуатации, техническому обслуживанию и ремонту, оказываемые организациям в сфере перевозок пассажиров железнодорожным транспортом общего пользования в пригородном сообщении, утвержденную приказом ФАС России от 24 декабря 2015 года N 1302/15" (зарегистрирован Минюстом России 22 декабря 2016 года, регистрационный N 44861);
от 27 ноября 2017 года N 1593/17 "О внесении изменений и дополнений в методику расчета ставок платы за услуги по аренде железнодорожного подвижного состава, управлению им, его эксплуатации, техническому обслуживанию и ремонту, оказываемые организациям в сфере перевозок пассажиров железнодорожным транспортом общего пользования в пригородном сообщении, утвержденную приказом ФАС России от 24 декабря 2015 года N 1302/15" (зарегистрирован Минюстом России 21 декабря 2017 года, регистрационный N 49354).
7. Контроль исполнения настоящего приказа возложить на заместителя руководителя ФАС России А.В. Редько.
Временно исполняющий
обязанности руководителя
М.А.ОВЧИННИКОВ
к приказу ФАС России
от 08.08.2018 N 1109/18
РАСЧЕТА СТАВОК ПЛАТЫ ЗА УСЛУГИ ПО АРЕНДЕ ЖЕЛЕЗНОДОРОЖНОГО
ПОДВИЖНОГО СОСТАВА, УПРАВЛЕНИЮ ИМ, ЕГО ЭКСПЛУАТАЦИИ,
ТЕХНИЧЕСКОМУ ОБСЛУЖИВАНИЮ И РЕМОНТУ, ОКАЗЫВАЕМЫЕ
ОРГАНИЗАЦИЯМ В СФЕРЕ ПЕРЕВОЗОК ПАССАЖИРОВ ЖЕЛЕЗНОДОРОЖНЫМ
ТРАНСПОРТОМ ОБЩЕГО ПОЛЬЗОВАНИЯ В ПРИГОРОДНОМ СООБЩЕНИИ
| | Список изменяющих документов (в ред. Приказов ФАС России от 09.10.2020 N 980/20, от 29.07.2024 N 503/24) | |
1. Настоящая методика расчета ставок платы за услуги по аренде железнодорожного подвижного состава, управлению им, его эксплуатации, техническому обслуживанию и ремонту, оказываемые организациям в сфере перевозок пассажиров железнодорожным транспортом общего пользования в пригородном сообщении, разработана в целях методологического обеспечения расчетов ставок платы за следующие виды услуг, оказываемые организациям в сфере перевозок пассажиров железнодорожным транспортом общего пользования в пригородном сообщении:
(в ред. Приказа ФАС России от 29.07.2024 N 503/24)
- предоставление в пользование подвижного состава;
- управление и эксплуатация подвижного состава;
- техническое обслуживание подвижного состава;
- текущий ремонт подвижного состава;
- сервисное обслуживание подвижного состава;
- капитальный ремонт подвижного состава.
2. Настоящая Методика определяет основные положения по расчету на период регулирования, начиная с 2019 года, ставок платы за услуги, связанные с арендой подвижного состава организациями, оказывающими услуги в сфере перевозок пассажиров железнодорожным транспортом общего пользования в пригородном сообщении в рамках организации транспортного обслуживания населения (далее - регулируемые организации) в соответствии с пунктом 23 части 1 статьи 44 Федерального закона от 21 декабря 2021 г. N 414-ФЗ "Об общих принципах организации публичной власти в субъектах Российской Федерации", дифференцированно по следующим видам тяги (типам подвижного состава):
(в ред. Приказа ФАС России от 29.07.2024 N 503/24)
- электровозная тяга;
- тепловозная тяга;
- цельнометаллические пассажирские вагоны;
- электропоезда;
- дизель-поезда и автомотрисы;
- рельсовые автобусы.
3. Настоящая Методика применяется органами регулирования субъектов Российской Федерации; организациями, владеющими подвижным составом и инфраструктурой железнодорожного транспорта общего пользования и оказывающими услуги по ее использованию на основании договора в соответствии с абзацем десятым пункта 1 статьи 2 Федерального закона от 10 января 2003 г. N 17-ФЗ "О железнодорожном транспорте в Российской Федерации" (далее - организации, владеющие подвижным составом и инфраструктурой); организациями, осуществляющими деятельность в сфере железнодорожных перевозок пассажиров в пригородном сообщении (далее - пригородные пассажирские организации), в целях определения экономически обоснованного уровня затрат на услуги, связанные с арендой подвижного состава, относимые на регулируемые виды деятельности, а также обеспечения условий для обновления подвижного состава и повышения качества обслуживания в сфере перевозок пассажиров железнодорожным транспортом общего пользования в пригородном сообщении.
(в ред. Приказа ФАС России от 29.07.2024 N 503/24)
4. Ставки платы за услуги, связанные с арендой подвижного состава, рассчитываются:
за пользование подвижным составом рассчитываются в целом по сети железных дорог с дифференциацией по сериям пригородного подвижного состава;
за услуги по управлению и эксплуатации подвижным составом рассчитываются в разрезе железных дорог и видов тяги (электропоезда, дизель-поезда и автомотрисы, рельсовые автобусы, электровозы, тепловозы, цельнометаллические пассажирские вагоны, а также электропоезда "Ласточка");
за услуги по техническому обслуживанию подвижным составом рассчитываются в разрезе железных дорог и видов тяги (электропоезда, дизель-поезда и автомотрисы, рельсовые автобусы, электровозы, тепловозы, цельнометаллические пассажирские вагоны, а также электропоезда "Ласточка");
за услуги по текущему ремонту подвижного состава рассчитываются в разрезе железных дорог, видов тяги и серий подвижного состава;
за услуги по сервисному обслуживанию подвижного состава рассчитываются в разрезе железных дорог и видов тяги (тепловозы, электровозы);
за услуги по капитальному ремонту подвижного состава рассчитываются в целом по сети железных дорог с дифференциацией по сериям подвижного состава.
4.1. При эксплуатации на железной дороге подвижного состава определенного вида тяги, в отношении которого не установлены для указанной железной дороги в целом или по отдельным услугам ставки платы за услуги по аренде подвижного состава, управлению им, его эксплуатации, техническому обслуживанию и ремонту, для отсутствующих ставок применяются ставки платы для подвижного состава соответствующего вида тяги (серии), установленные для курсирующего на полигоне железной дороги подвижного состава вида тяги (серии), характеризуемого аналогичными (схожими) техническими и технологическими характеристиками эксплуатации, либо, при его отсутствии, установленные для железной дороги, с которой был передислоцирован данный подвижной состав до утверждения ставок платы за услуги по аренде подвижного состава, управлению им, его эксплуатации, техническому обслуживанию и ремонту, рассчитанных в соответствии с положениями настоящей Методики.
(пп. 4.1 в ред. Приказа ФАС России от 29.07.2024 N 503/24)
4.2. Утратил силу. - Приказ ФАС России от 29.07.2024 N 503/24.
5. В случае, если регулируемая организация осуществляет деятельность на территории нескольких субъектов Российской Федерации, распределение затрат на субъект Российской Федерации осуществляется с применением Порядка ведения раздельного учета доходов и расходов субъектами естественных монополий в сфере железнодорожных перевозок, утвержденного приказом Минтранса России от 23 октября 2018 N 373 (зарегистрирован Минюстом России 1 февраля 2019 года, регистрационный N 53656) (далее - Порядок ведения раздельного учета).
(в ред. Приказа ФАС России от 09.10.2020 N 980/20)
II. Формирование прогноза объемов транспортной работы
и потребности в подвижном составе
6. Основой для формирования прогноза объемов транспортной работы являются объемные показатели работы перевозчика за отчетный год, ожидаемые в текущем году в соответствии с договором на организацию транспортного обслуживания населения, заключаемым уполномоченным органом исполнительной власти субъекта Российской Федерации с перевозчиком в соответствии с распоряжением Правительства Российской Федерации от 19 мая 2014 г. N 857-р (Собрание законодательства Российской Федерации, 2014, N 21, ст. 2755) (далее - Контракт), и прогноз на период регулирования с учетом данных о маршрутах перевозок по субъекту Российской Федерации за предшествующий год.
7. Расчет прогноза транспортной работы осуществляется в разрезе маршрутов по каждой регулируемой организации по каждому субъекту Российской Федерации. Для расчета объемов работы используется таблица, приведенная в
Приложении к настоящей Методике.
8. Указанная в
пункте 7 таблица заполняется при подаче материалов в орган регулирования на:
- период регулирования (далее - плановый период, год N);
- год, предшествующий периоду регулирования (далее - текущий период, год N-1);
- год, предшествующий году принятия решения об установлении тарифа (далее - отчетный период, год N-2).
Определение и установление объемов транспортной работы и перевозок осуществляется уполномоченным органом (уполномоченными органами) субъекта Российской Федерации в соответствии с Контрактом.
Объемные и качественные показатели пассажирских перевозок, предусмотренные Контрактом, должны также соответствовать комплексному плану транспортного обслуживания населения.
При прогнозировании объемных и качественных показателей пассажирских перевозок используются следующие параметры:
"перевезенные пассажиры";
"пассажирооборот";
"населенность вагона";
"вагоно-километры";
"составность поездов";
"рабочий парк вагонов".
Органом исполнительной власти субъекта Российской Федерации в сфере транспорта при формировании условий Контракта определяются прогноз количества перевезенных пассажиров и маршруты следования поездов, с учетом которых прогнозируется пассажирооборот.
Определение прогноза вагоно-километров осуществляется с учетом пассажирооборота и прогнозируемой нормативной населенности вагонов.
С учетом сложившейся за отчетный период фактической населенности вагонов при необходимости устанавливаются предельные отклонения нормативной населенности вагонов на прогнозируемый период. Допускается увеличение нормативной населенности вагонов с учетом недопущения ухудшения качества проезда пассажиров (недопустимости существенного роста населенности). Снижение нормативной населенности вагонов допускается с учетом обоснованности объемов транспортного заказа (количества поездов и их составности).
9. При определении ставок платы за услуги, связанные с арендой подвижного состава, параметры пассажирооборота не учитываются. Указанные ставки не подлежат изменению по причинам, связанным с изменениями параметров пассажирооборота.
10. Не допускается отнесение на субъект Российской Федерации затрат, связанных с арендой подвижного состава поездов тех моделей, которые не курсируют по маршрутам на территории данного субъекта Российской Федерации, в том числе в отношении поездов повышенной комфортности.
11. Регулируемая организация использует подвижной состав на правах аренды с экипажем, а также аренды подвижного состава с предоставлением услуг по управлению и эксплуатации. Условия пользования подвижным составом с экипажем определяются в соответствии с общими положениями гражданского законодательства Российской Федерации.
(в ред. Приказа ФАС России от 29.07.2024 N 503/24)
III. Расчет ставки платы за предоставление в пользование
подвижного состава
12. Ставка платы за предоставление в пользование подвижного состава определяется в целом по сети железных дорог, в разрезе серий подвижного состава, находящихся в собственности или используемых на ином законном основании регулируемыми организациями (

), в соответствии со следующей формулой:
(в ред. Приказа ФАС России от 29.07.2024 N 503/24)
где: Сперв. - прогнозируемая на начало планового периода первоначальная стоимость подвижного состава соответствующего вида тяги;
Спост. - прогнозируемый на плановый период стоимостной размер поступлений подвижного состава соответствующего вида тяги;
Свыб. - прогнозируемый на плановый период стоимостной размер выбытия подвижного состава соответствующего вида тяги;
Тср. - средний нормативный эксплуатационный срок службы подвижного состава соответствующего вида тяги;
Зни - затраты на плановый период, связанные с оплатой налога на имущество подвижного состава;
Зк/л. - затраты на плановый период, связанные с оплатой процентов по кредитным (лизинговым) платежам;
Зстр. - затраты на плановый период, связанные со страхованием подвижного состава.
Vn - количество вагонов указанной серии (при предоставлении в пользование локомотивов количество локомотиво-час).
13. Ставка платы за предоставление в пользование моторвагонного подвижного состава и цельнометаллических пассажирских вагонов устанавливается в расчете на год вне зависимости от объема транспортной работы.
(п. 13 в ред. Приказа ФАС России от 29.07.2024 N 503/24)
13(1). В случае если подвижной состав используется регулируемой организацией в течение периода меньше 1 года, ставка платы рассчитывается за фактический период времени использования:
при приобретении или начале эксплуатации подвижного состава на новом полигоне - начиная с даты ввода в эксплуатацию после одного из указанных событий и до конца календарного месяца. Начиная с месяца, следующего за наступлением одного из указанных в настоящем абзаце событий, ставка платы рассчитывается до конца текущего календарного года помесячно (за исключением случая отправления подвижного состава на иной полигон эксплуатации в текущем календарном году, когда окончание временного интервала использования подвижного состава определяется в соответствии с
абзацем третьим пункта 13(1);
в случае выведения из эксплуатации или отправления подвижного состава на иной полигон эксплуатации - с начала календарного месяца до даты одного из указанных событий. В период, предшествующий месяцу наступления одного из указанных в настоящем абзаце событий, ставка платы рассчитывается с начала текущего календарного года до месяца, предшествующего наступлению одного из указанных в настоящем абзаце событий помесячно (за исключением случая начала эксплуатации подвижного состава на новом полигоне в текущем календарном году, когда начало временного интервала использования подвижного состава определяется в соответствии с
абзацем вторым пункта 13(1).
(п. 13(1) введен Приказом ФАС России от 29.07.2024 N 503/24)
13(2). При предоставлении равноценного подвижного состава взамен подвижного состава, находящегося на сверхплановом простое на ремонте, возникшем не по вине арендатора, дополнительная плата не взимается.
(п. 13(2) введен Приказом ФАС России от 29.07.2024 N 503/24)
13(3). Ставка платы за предоставление в пользование локомотивов устанавливается в расчете на 1 локомотиво-час.
(п. 13(3) введен Приказом ФАС России от 29.07.2024 N 503/24)
14. В случае наличия обесцененного подвижного состава допускается прогнозирование амортизационных отчислений на основании расчетных показателей, рассчитываемых на основе расчетных показателей расходов на амортизацию и налога на имущество.
IV. Расчет ставок платы за услуги по управлению
и эксплуатации подвижного состава
15. Ставка платы за управление и эксплуатацию подвижного состава (

) определяется для железной дороги и вида тяги подвижного состава и рассчитывается в соответствии со следующей формулой:
(в ред. Приказа ФАС России от 29.07.2024 N 503/24)
где:

- проектируемые на плановый период расходы, учитываемые при расчете ставок платы за услуги по управлению и эксплуатации подвижного состава на территории i-ой железной дороги;

- проектируемый на плановый период объем поездо-часовой работы подвижного состава на территории i-ой железной дороги.
16. Расчет проектируемых на текущий период расходов, учитываемых при расчете ставок платы за услуги по управлению и эксплуатации подвижного состава на территории i-ой железной дороги, осуществляется на основе отчетных данных о расходах организаций, владеющих подвижным составом и инфраструктурой, за отчетный (фактический) период с учетом ожидаемых в текущем периоде инфляционных показателей, применяемых для проектирования расходов по элементам затрат, и ожидаемых поездо-часов работы подвижного состава соответствующего вида тяги.
(в ред. Приказа ФАС России от 29.07.2024 N 503/24)
17. Расчет проектируемых на текущий период расходов, учитываемых при расчете ставок платы за услуги по управлению и эксплуатации подвижного состава, производится по i-ой железной дороге (

) в соответствии со следующей формулой:
где:
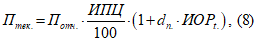
Фтек. - расходы по элементу "Затраты на оплату труда", проектируемые на текущий период;
Отек. - расходы по элементу "Отчисления на социальные нужды", проектируемые на текущий период;
Мтек. - расходы по элементу "Материальные затраты", проектируемые на текущий период;
Птек. - расходы по элементу "Прочие затраты", проектируемые на текущий период.
17.1. Расходы по элементу "Затраты на оплату труда", проектируемые на текущий период (Ф
тек.), рассчитываются по следующей формуле:
где:
Фотч. - совокупные расходы по элементу "Затраты на оплату труда" за отчетный период;
ИПЦ - прогнозное значение индекса инфляции (индекса потребительских цен), установленного на текущий период (год);
dф - доля расходов на оплату труда производственного персонала, задействованного при оказании услуг по управлению и эксплуатации подвижного состава, зависящих от объемов поездо-часовой работы подвижного состава в пригородном сообщении;
ИОРt - индекс изменения объемов поездо-часовой работы подвижного состава в текущем году к аналогичному периоду предшествующего отчетного года, рассчитывается по следующей формуле:
где:
ОРt - объем работы, ожидаемый в текущем периоде, выраженный в соответствующих единицах измерения;
ОРt-1 - объем работы, выполненный в отчетном периоде, выраженный в соответствующих единицах измерения;
17.2. Расходы по элементу "Отчисления на социальные нужды", проектируемые на текущий период (О
тек.), рассчитываются по следующей формуле:
где:
- совокупные расходы по элементу "Отчисления на социальные нужды" за отчетный период;
Ккор. - коэффициент корректировки расходов по элементу "Отчисления на социальные нужды" с учетом изменений законодательства о страховании в Российской Федерации.
17.3. Расходы по элементу "Материальные затраты", проектируемые на текущий период (М
тек.), рассчитываются по следующей формуле:
где:
Мотч. - совокупные расходы по элементу "Материальные затраты" за отчетный период;
ИПЦ - прогнозное значение индекса инфляции (индекса потребительских цен), установленного на текущий период (год);
dм - доля материальных затрат, связанных с оказанием услуг по управлению и эксплуатации подвижного состава, зависящих от объемов поездо-часовой работы подвижного состава в пригородном сообщении.
17.4. Расходы по элементу "Прочие затраты", проектируемые на текущий период (П
тек.), рассчитываются по следующей формуле:
Потч. - совокупные расходы по элементу "Прочие затраты" за отчетный период;
dn - доля прочих затрат, связанных с оказанием услуг по управлению и эксплуатации подвижного состава, зависящих от объемов поездо-часовой работы подвижного состава в пригородном сообщении.
18. Расчет проектируемых на прогнозный период расходов, учитываемых при расчете ставок платы за услуги по управлению и эксплуатации подвижного состава, осуществляется на основе прогнозных данных о расходах организаций, владеющих подвижным составом и инфраструктурой, за текущий период с учетом ожидаемых в плановом периоде инфляционных показателей и ожидаемых в плановом периоде объемов поездо-часов работы подвижного состава соответствующего вида тяги.
(в ред. Приказа ФАС России от 29.07.2024 N 503/24)
19. Расчет проектируемых на плановый период расходов, учитываемых при расчете ставок платы за услуги по управлению и эксплуатации подвижного состава, производится по i-ой железной дороге (

) в соответствии со следующей формулой:
где:
Фплан. - расходы по элементу "Затраты на оплату труда", проектируемые на плановый период;
Оплан. - расходы по элементу "Отчисления на социальные нужды", проектируемые на плановый период;
Мплан. - расходы по элементу "Материальные затраты", проектируемые на плановый период;
Пплан. - расходы по элементу "Прочие затраты", проектируемые на плановый период.
19.1. Расходы по элементу "Затраты на оплату труда", проектируемые на плановый период (Фплан.), рассчитываются по следующей формуле:
где:
Ф
тек. - ожидаемые в текущем периоде расходы по элементу "Затраты на оплату труда", рассчитанные в соответствии с
подпунктом 17.1 настоящей Методики;
ИПЦ - прогнозное значение индекса инфляции (индекса потребительских цен), установленного на плановый период (год);
ИОРt+1 - индекс изменения объемов поездо-часовой работы подвижного состава в плановом периоде по отношению к ожидаемым объемам поездо-часовой работы в текущем периоде, рассчитывается по следующей формуле:
где:
ОРt+1 - объем работы, прогнозируемый в плановом периоде, выраженный в соответствующих единицах измерения;
ОРt - объем работы, ожидаемый в текущем периоде, выраженный в соответствующих единицах измерения.
19.2. Расходы по элементу "Отчисления на социальные нужды", проектируемые на плановый период (Оплан.), рассчитываются по следующей формуле:
где:
О
тек. - ожидаемые в текущем периоде расходы по элементу "Отчисления на социальные нужды", рассчитанные в соответствии с
подпунктом 17.2 настоящей Методики;
Ккор. - коэффициент корректировки расходов по элементу "Отчисления на социальные нужды".
19.3. Расходы по элементу "Материальные затраты", проектируемые на плановый период (Мплан.), рассчитываются по следующей формуле:
где:
М
тек. - ожидаемые в текущем периоде расходы по элементу "Материальные затраты", рассчитанные в соответствии с
подпунктом 17.3 настоящей Методики;
ИПЦ - прогнозное значение индекса инфляции (индекса потребительских цен), установленного на плановый период (год).
19.4. Расходы по элементу "Прочие затраты", проектируемые на плановый период (Пплан.), рассчитываются по следующей формуле:
П
тек. - ожидаемые в текущем периоде расходы по элементу "Прочие затраты", рассчитанные в соответствии с
подпунктом 17.4 настоящей Методики;
20. Ставка платы за управление и эксплуатацию подвижного состава устанавливается в расчете на 1 поездо-час (локомотиво-час), установленные на плановый период.
21. Расчет затрат по элементам расходов, предусмотренных
пунктами 16 -
19 настоящей Методики, осуществляется на основании расходов организаций, владеющих подвижным составом и инфраструктурой, сформированных в соответствии с
Порядком ведения раздельного учета, на соответствующих статьях расходов с распределением в разрезе железных дорог с учетом технических и технологических особенностей оказания услуг на полигонах работы пригородных пассажирских организаций.
(в ред. Приказа ФАС России от 29.07.2024 N 503/24)
V. Расчет ставок платы за услуги по техническому
обслуживанию подвижного состава собственности
22. Ставка платы за услуги по техническому обслуживанию подвижного состава (

) определяется для железной дороги и вида тяги подвижного состава и рассчитывается в соответствии со следующей формулой:
(в ред. Приказа ФАС России от 29.07.2024 N 503/24)
где:

- проектируемые на плановый период расходы, связанные с выполнением операций по техническому обслуживанию подвижного состава по программам ТО-1, ТО-2, ТО-3, ТО-4, ТО-5а, ТО-5г, учитываемые при расчете ставок платы за услуги по техническому обслуживанию подвижного состава на территории i-ой железной дороги;

- проектируемый на плановый период объем вагоно-километровой работы подвижного состава на территории i-ой железной дороги.
23. Расчет проектируемых на текущий период расходов, учитываемых при расчете ставок платы за услуги по техническому обслуживанию подвижного состава на территории i-ой железной дороги, осуществляется в соответствии с
пунктами 16 -
17 настоящей Методики.
24. Расчет проектируемых на плановый период расходов, учитываемых при расчете ставок платы за услуги по техническому обслуживанию подвижного состава на территории i-ой железной дороги, осуществляется в соответствии с
пунктами 18 -
19 настоящей Методики.
25. Расчет затрат по элементам расходов, учитываемых при расчете ставки платы за услуги по техническому обслуживанию подвижного состава, осуществляется на основании расходов организаций, владеющих подвижным составом и инфраструктурой, сформированных в соответствии с Порядком ведения раздельного учета на соответствующих статьях расходов с распределением в разрезе железных дорог с учетом технических и технологических особенностей оказания услуг на полигонах работы пригородных пассажирских организаций.
(в ред. Приказа ФАС России от 29.07.2024 N 503/24)
VI. Расчет ставок платы за услуги по сервисному
обслуживанию тягового подвижного состава собственности
26. Ставка платы за услуги по сервисному обслуживанию подвижного состава (

) определяется для железной дороги и вида тяги подвижного состава и рассчитывается в соответствии со следующей формулой:
(в ред. Приказа ФАС России от 29.07.2024 N 503/24)
где:

- проектируемые на плановый период расходы, учитываемые при расчете ставок платы за услуги по сервисному обслуживанию тягового подвижного состава на территории i-ой железной дороги;

- проектируемый на плановый период объем локомотиво-километровой работы тягового подвижного состава на территории i-ой железной дороги.
27. Расчет проектируемых на текущий период расходов, учитываемых при расчете ставок платы за услуги по сервисному обслуживанию тягового подвижного состава на территории i-ой железной дороги, осуществляется в соответствии с
пунктами 16 -
17 настоящей Методики.
28. Расчет проектируемых на плановый период расходов, учитываемых при расчете ставок платы за услуги по сервисному обслуживанию тягового подвижного состава на территории i-ой железной дороги, осуществляется в соответствии с
пунктами 18 -
19 настоящей Методики.
VII. Расчет ставок платы за услуги по текущему
ремонту подвижного состава
(в ред. Приказа ФАС России от 29.07.2024 N 503/24)
29. Ставка платы за услуги по текущему ремонту подвижного состава (

) определяется для железной дороги, вида тяги, серии подвижного состава и рассчитывается в соответствии со следующей формулой:
(в ред. Приказа ФАС России от 29.07.2024 N 503/24)
где:

- среднегодовое количество ремонтных событий выполнения текущего ремонта подвижного состава, осуществляющего перевозки на территории i-ой железной дороги;

- стоимость выполнения текущего ремонта подвижного состава, осуществляющего перевозки на территории i-ой железной дороги (учитывающая расходы по выполнению текущего ремонта подвижного состава по программам ТР-1, ТР-2 и ТР-3, расходы по выполнению технического обслуживания подвижного состава по программам 5б, 5в, а также расходы по передислокации подвижного состава в (из) ремонта), приведенная к ценовым условиям планового периода;
(в ред. Приказа ФАС России от 09.10.2020 N 980/20)

- объем вагоно-километровой работы, прогнозируемый на плановый период.
VIII. Расчет ставок платы за услуги по капитальному ремонту
подвижного состава
30. Ставка платы за услуги по капитальному ремонту подвижного состава (ПКР) определяется для вида тяги и серии подвижного состава и рассчитывается в соответствии со следующей формулой:
где:
N КР - среднегодовое количество ремонтных событий выполнения капитального ремонта подвижного состава соответствующего вида тяги и серии;
С КР - стоимость выполнения капитального ремонта подвижного состава (учитывающая расходы по выполнению капитального ремонта подвижного состава по программам КР-1, КР-2, СР, расходы по выполнению технического обслуживания подвижного состава по программе 5б, 5в, а также расходы по передислокации подвижного состава в (из) ремонта), приведенная к ценовым условиям планового периода;
VКР,план. - объем вагоно-километровой работы, детализированный для каждого вида тяги и серии подвижного состава и прогнозируемый на плановый период.
к Методике
Таблица расчета транспортной работы в отношении
организации ______ по субъекту Российской Федерации _______
Маршрут | Маршрут по субъекту Российской Федерации | Общее расстояние | Расстояние по субъекту Российской Федерации | Время отправления по субъекту Российской Федерации | Время прибытия по субъекту Российской Федерации | Время в пути по субъекту Российской Федерации | Время в пути в числовом значении по субъекту Российской Федерации | Период следования | Дни следования | Составность | Вагоно-км | Поездо-км | Вагоно-час | Поездо-час | Тип ПС |
1 | 2 | 3 | | 5 | 6 | 7 | | 9 | | | 12 | 13 | 14 | 15 | 16 |
| | | | | | | | | | | | | | | |
| | | | | | | | | | | | | | | |
| ИТОГО по типу подвижного состава | 0,00 | 0,00 | 0,000 | 0,000 | |
| ИТОГО... | 0,00 | 0,00 | 0,000 | 0,000 | |
| ВСЕГО | 0,00 | 0,00 | 0,000 | 0,000 | |
к приказу ФАС России
от 08.08.2018 N 1109/18
ПЛАТЫ ЗА УСЛУГИ, СВЯЗАННЫЕ С АРЕНДОЙ ПОДВИЖНОГО СОСТАВА,
ОКАЗЫВАЕМЫЕ ОРГАНИЗАЦИЕЙ, ВЛАДЕЮЩЕЙ ИНФРАСТРУКТУРОЙ
ЖЕЛЕЗНОДОРОЖНОГО ТРАНСПОРТА ОБЩЕГО ПОЛЬЗОВАНИЯ
| | Список изменяющих документов (в ред. Приказов ФАС России от 09.10.2020 N 980/20, от 10.08.2021 N 797/21, от 29.07.2024 N 503/24, от 25.06.2025 N 493/25) | |
Группа серий подвижного состава | Октябрьская железная дорога | Калининградская железная дорога | Московская железная дорога | Горьковская железная дорога | Северная железная дорога | Северо-Кавказская железная дорога | Юго-Восточная железная дорога | Приволжская железная дорога | Куйбышевская железная дорога | Свердловская железная дорога | Южно-Уральская железная дорога | Западно-Сибирская железная дорога | Восточно-Сибирская железная дорога | Красноярская железная дорога | Забайкальская железная дорога | Дальневосточная железная дорога |
Управление и эксплуатация (в отношении моторвагонного подвижного состава и цельнометаллических вагонов - руб./поездо-час; в отношении локомотивов - руб./локомотиво-час) |
(в ред. Приказа ФАС России от 29.07.2024 N 503/24) |
ЭД2Т, ЭД4, ЭД9М, ЭД9МК, ЭД9Т, ЭД9Э | 3 570 | 6 541 | 4 753 | 3 500 | 7 400 | 2 600 | 4 370 | 6 180 | 5 050 | 3 325 | 5 790 | 4 749 | 6 301 | 2 842 | 9 539 | 7 778 |
ЭД4М, ЭД4М1 |
ЭД4МК, ЭД4МКМ |
ЭР2Т, ЭР2Р, ЭР2, ЭР2К, ЭР9МК, ЭР9ПК, ЭР9Т, ЭМ2, ЭМ2К, ЭМ9 |
ЭТ2, ЭТ2М, ЭТ2Л, ЭТ2МЛ, ЭТ2ЭМ, ЭТ4А |
ЭП2Д, ЭП3Д |
ДТ1, АЧ2, другие | 1 948 | | 4 659 | | | | | | | | | | | | | 5 396 |
РА1 | 2 221 | 7 821 | 4 824 | 3 641 | 2 078 | 2 078 | 5 070 | 3 279 | 5 628 | 3 736 | 8 005 | 6 903 | 4 824 | 5 772 | | |
РА2 |
РА3 | 2 221 | 7 821 | 4 824 | 3 641 | 2 078 | 2 078 | 5 070 | 3 279 | 5 628 | 3 736 | 8 005 | 6 903 | 4 824 | 5 772 | | |
(в ред. Приказа ФАС России от 25.06.2025 N 493/25) |
ТВ | 3 427 | | | 3 544 | 6 797 | | 5 112 | 3 947 | 5 691 | 5 040 | 5 864 | 2 924 | 5 306 | 5 597 | 6 106 | 8 253 |
ЭВ | | | | 5 182 | 3 820 | | 1 572 | | 2 565 | | | | 2 966 | | 3 815 | 2 285 |
Ласточка | 11 270 |
Абзацы первый - второй утратили силу. - Приказ ФАС России от 29.07.2024 N 503/24.
Группа серий подвижного состава | Октябрьская железная дорога | Калининградская железная дорога | Московская железная дорога | Горьковская железная дорога | Северная железная дорога | Северо-Кавказская железная дорога | Юго-Восточная железная дорога | Приволжская железная дорога | Куйбышевская железная дорога | Свердловская железная дорога | Южно-Уральская железная дорога | Западно-Сибирская железная дорога | Восточно-Сибирская железная | Красноярская железная дорога | Забайкальская железная дорога | Дальневосточная железная дорога |
Текущий ремонт (в отношении моторвагонного подвижного состава и цельнометаллических вагонов - руб./вагоно-километр) |
(в ред. Приказа ФАС России от 29.07.2024 N 503/24) |
ЭД2Т, ЭД4, ЭД9М, ЭД9МК, ЭД9Т, ЭД9Э | 5,19 | | 3,90 | 3,49 | 5,60 | 2,99 | 3,25 | 4,33 | | 4,58 | 4,44 | 3,31 | 4,55 | 1,66 | 4,66 | 3,87 |
ЭД4М, ЭД4М1 | 3,73 | | 3,24 | | 4,43 | 2,57 | 2,63 | | 2,79 | 3,92 | 3,31 | 2,55 | | | | |
ЭД4МК, ЭД4МКМ | 3,73 | | 5,21 | | | | | | 4,41 | 6,05 | 3,31 | 4,32 | | | | |
ЭР2Т, ЭР2Р, ЭР2, ЭР2К, ЭР9МК, ЭР9ПК, ЭР9Т, ЭМ2, ЭМ2К, ЭМ9 | 5,30 | 5,79 | 4,66 | 3,50 | | 3,63 | 3,86 | 3,83 | 4,32 | 5,38 | 5,77 | 3,96 | 3,94 | 1,96 | 6,07 | 3,94 |
ЭТ2, ЭТ2М, ЭТ2Л, ЭТ2МЛ, ЭТ2ЭМ, ЭТ4А | 5,41 | 5,45 | | | | | | | 4,18 | 6,69 | 5,80 | 3,64 | | | | |
ЭП2Д, ЭП3Д | 5,89 | 6,19 | 5,76 | 5,84 | 6,5 | 5,73 | 6,18 | 6,02 | 6,67 | 6,03 | 6,23 | 6,24 | 6,26 | 5,69 | 5,93 | 6,28 |
ДТ1, АЧ2, другие | 5,81 | | 11,35 | | | | | | | | | | | | | 1,87 |
РА1 | 11,22 | 21,02 | 19,48 | 24,72 | 7,96 | 7,96 | 14,82 | 14,87 | 24,3 | | 14,61 | | 19,48 | | | |
РА2 | 7,27 | 13,32 | 11,36 | 15,26 | 5,93 | 5,93 | 9,25 | 9,01 | 10,61 | 8,35 | 9,57 | | 11,36 | | | |
РА3 (головной вагон) | 23,35 | 25,50 | 22,81 | 26,59 | 26,60 | 27,41 | 29,60 | 27,67 | 26,66 | 26,12 | 28,59 | 29,66 | 37,34 | 31,88 | 35,08 | 38,79 |
(введено Приказом ФАС России от 25.06.2025 N 493/25) |
РА3 (прицепной вагон) | 4,90 | 5,99 | 4,59 | 5,33 | 5,17 | 5,36 | 6,30 | 5,81 | 5,21 | 5,65 | 5,70 | 6,58 | 8,72 | 7,33 | 8,53 | 10,04 |
(введено Приказом ФАС России от 25.06.2025 N 493/25) |
ЦМВ | 5,04 | | | 1,99 | 2,49 | | 2,60 | 1,71 | 1,61 | 2,69 | 4,38 | 0,99 | 7,31 | | 7,62 | 3,03 |
ЦМВ (пассажирские некупейные и межобластные (модели 61-4458 и 61-4447) вагоны, не ранее 2019 года постройки) | 6,90 | | | 1,61 | 2,98 | | 5,31 | 5,31 | 5,31 | 2,17 | 2,17 | 2,36 | 3,29 | | 2,28 | 3,99 |
(введено Приказом ФАС России от 25.06.2025 N 493/25) |
Абзац утратил силу. - Приказ ФАС России от 29.07.2024 N 503/24.
Группа серий подвижного состава | Октябрьская железная дорога | Калининградская железная дорога | Московская железная дорога | Горьковская железная дорога | Северная железная дорога | Северо-Кавказская железная дорога | Юго-Восточная железная дорога | Приволжская железная дорога | Куйбышевская железная дорога | Свердловская железная дорога | Южно-Уральская железная дорога | Западно-Сибирская железная дорога | Восточно-Сибирская железная дорога | Красноярская железная дорога | Забайкальская железная дорога | Дальневосточная железная дорога |
Сервисное обслуживание (в отношении локомотивов - руб./локомотиво-километр) |
(в ред. Приказа ФАС России от 29.07.2024 N 503/24) |
ТВ | 46,28 | | | 33,00 | 44,40 | | 21,03 | 26,86 | 47,83 | 25,00 | 23,70 | 28,86 | 41,35 | | 38,00 | 27,42 |
ЭВ | | | | 28,59 | 21,99 | | 23,36 | | 26,41 | | | | 26,75 | | 20,00 | 17,27 |
Абзац утратил силу. - Приказ ФАС России от 29.07.2024 N 503/24.
Группа серий подвижного состава | Октябрьская железная дорога | Калининградская железная дорога | Московская железная дорога | Горьковская железная дорога | Северная железная дорога | Северо-Кавказская железная дорога | Юго-Восточная железная дорога | Приволжская железная дорога | Куйбышевская железная дорога | Свердловская железная дорога | Южно-Уральская железная дорога | Западно-Сибирская железная дорога | Восточно-Сибирская железная дорога | Красноярская железная дорога | Забайкальская железная дорога | Дальневосточная железная дорога |
Техническое обслуживание (в отношении моторвагонного подвижного состава и цельнометаллических вагонов - руб./вагоно-километр; в отношении электропоездов серии ЭС "Ласточка", состоящих из 10 или 11 вагонов, к ставкам применяется дополнительный коэффициент 0,9943) |
(в ред. Приказа ФАС России от 29.07.2024 N 503/24) |
ЭД2Т, ЭД4, ЭД9М, ЭД9МК, ЭД9Т, ЭД9Э | 4,25 | 12,14 | 3,89 | 4,06 | 10,13 | 5,80 | 7,30 | 7,50 | 5,15 | 5,20 | 6,80 | 4,70 | 8,26 | 3,79 | 21,80 | 12,36 |
ЭД4М, ЭД4М1 |
ЭД4МК, ЭД4МКМ |
ЭР2Т, ЭР2Р, ЭР2, ЭР2К, ЭР9МК, ЭР9ПК, ЭР9Т, ЭМ2, ЭМ2К, ЭМ9 |
ЭТ2, ЭТ2М, ЭТ2Л, ЭТ2МЛ, ЭТ2ЭМ, ЭТ4А |
ЭП2Д, ЭП3Д |
ДТ1, АЧ2, другие | 1,91 | | 13,32 | | | | | | | | | | | | | 34,16 |
РА1 РА2 | 20,07 | 30,93 | 11,53 | 20,54 | 3,54 | 3,54 | 17,13 | 27,99 | 23,92 | 19,23 | 9,92 | 12,28 | 11,53 | 10,38 | | |
РА3 | 20,07 | 30,93 | 11,53 | 20,54 | 3,54 | 3,54 | 17,13 | 27,99 | 23,92 | 19,23 | 9,92 | 12,28 | 11,53 | 10,38 | | |
(в ред. Приказа ФАС России от 25.06.2025 N 493/25) |
ЦМВ | 28,89 | | | 12,02 | 5,56 | | 14,24 | 9,46 | 7,07 | 10,30 | 3,31 | 2,69 | 8,71 | | 12,34 | 2,80 |
ЦМВ (пассажирские некупейные и межобластные (модели 61-4458 и 61-4447) вагоны, не ранее 2019 года постройки) | 63,96 | | | 14,95 | 27,62 | | 49,31 | 49,31 | 49,31 | 20,13 | 20,13 | 21,82 | 30,44 | | 21,22 | 37,09 |
(введено Приказом ФАС России от 25.06.2025 N 493/25) |
Ласточка | 31,0 |
Абзацы первый - второй утратили силу. - Приказ ФАС России от 29.07.2024 N 503/24.
Группа серий подвижного состава | Капитальный ремонт (в отношении моторвагонного подвижного состава и цельнометаллических вагонов - руб./вагоно-километр; в отношении локомотивов - руб./локомотиво-километр. В отношении электропоездов серии ЭД4М с заводскими номерами от 376 и выше к ставкам применяется дополнительный коэффициент 1,9064) | Плата за пользование (в отношении моторвагонного подвижного состава и цельнометаллических вагонов - руб./вагон в год; в отношении локомотивов - руб./локомотиво-час; в отношении электропоездов серии ЭС "Ласточка" - руб./поезд в год. В отношении электропоездов серии ЭС "Ласточка" (стандарт) в зависимости от составности применяются следующие дополнительные коэффициенты к ставкам: при 6-ти вагонном исполнении - коэффициент 1,1380; при 7-ми вагонном исполнении - коэффициент 1,3960; при 8-ми вагонном исполнении - коэффициент 1,4874; при 10-ти вагонном исполнении - коэффициент 1,9297; при 11-ти вагонном исполнении - коэффициент 2,0064) |
ЭД2Т, ЭД4, ЭД9М, ЭД9МК, ЭД9Т, ЭД9Э | 4,57 | 459 125 |
ЭД4М, ЭД4М1 | 3,04 | 686 697 |
ЭД4МК, ЭД4МКМ | 3,98 | 623 007 |
ЭР2Т, ЭР2Р, ЭР2, ЭР2К, ЭР9МК, ЭР9ПК, ЭР9Т, ЭМ2, ЭМ2К, ЭМ9 | 4,70 | 469 746 |
ЭТ2, ЭТ2М, ЭТ2Л, ЭТ2МЛ, ЭТ2ЭМ, ЭТ4А | 4,14 | 438 484 |
ДТ1, АЧ2, другие | 8,10 | 829 552 |
РА1 | 45,39 | 1 708 889 |
РА2 | 31,30 | 1 139 259 |
РА3 (головной вагон, ранее 2022 года постройки) | 64,08 | 2 644 626 |
(введено Приказом ФАС России от 25.06.2025 N 493/25) |
РА3 (прицепной вагон, ранее 2022 года постройки) | 33,36 | 1 395 022 |
(введено Приказом ФАС России от 25.06.2025 N 493/25) |
РА3 (головной вагон, не ранее 2022 года постройки) | 64,08 | 3 070 823 |
(введено Приказом ФАС России от 25.06.2025 N 493/25) |
РА3 (прицепной вагон, не ранее 2022 года постройки) | 33,36 | 1 619 838 |
(введено Приказом ФАС России от 25.06.2025 N 493/25) |
Позиция утратила силу. - Приказ ФАС России от 25.06.2025 N 493/25 |
Позиция утратила силу. - Приказ ФАС России от 25.06.2025 N 493/25 |
ЦМВ | 3,05 | 163 925 |
ЦМВ (пассажирские некупейные, не ранее 2019 года постройки) | 8,32 | 943 963 |
(в ред. Приказа ФАС России от 25.06.2025 N 493/25) |
ЦМВ (межобластной, не ранее 2019 года постройки) | 8,32 | 1 134 831 |
(в ред. Приказа ФАС России от 25.06.2025 N 493/25) |
ТВ | 33,12 | 200 |
ЭВ | 18,51 | 249 |
Ласточка (премиум) | | 22 174 000 |
Ласточка (стандарт) | | 16 835 000 |
ЭП2Д, ЭП3Д | 5,30 | 2 905 000 |
Абзацы первый - седьмой утратили силу. - Приказ ФАС России от 29.07.2024 N 503/24.