Главная // Пожарная безопасность СПРАВКА
Источник публикации
Официальный интернет-портал правовой информации http://www.pravo.gov.ru, 13.04.2016,
"Собрание законодательства РФ", 18.04.2016, N 16, ст. 2226
Примечание к документу
Окончание действия документа - 31.12.2016.
Название документа
Постановление Правительства РФ от 09.04.2016 N 289
"Об утверждении Положения о государственной геодезической сети и Положения о государственной нивелирной сети"
Постановление Правительства РФ от 09.04.2016 N 289
"Об утверждении Положения о государственной геодезической сети и Положения о государственной нивелирной сети"
ПРАВИТЕЛЬСТВО РОССИЙСКОЙ ФЕДЕРАЦИИ
ПОСТАНОВЛЕНИЕ
от 9 апреля 2016 г. N 289
ОБ УТВЕРЖДЕНИИ ПОЛОЖЕНИЯ
О ГОСУДАРСТВЕННОЙ ГЕОДЕЗИЧЕСКОЙ СЕТИ И ПОЛОЖЕНИЯ
О ГОСУДАРСТВЕННОЙ НИВЕЛИРНОЙ СЕТИ
В соответствии с
пунктом 1 статьи 5 Федерального закона "О геодезии и картографии" Правительство Российской Федерации постановляет:
1. Утвердить прилагаемые:
Положение о государственной геодезической сети;
2. Установить, что реализация настоящего постановления осуществляется в пределах установленной Правительством Российской Федерации предельной численности работников федеральных органов исполнительной власти, а также бюджетных ассигнований, предусмотренных федеральным органам исполнительной власти в федеральном бюджете на руководство и управление в сфере установленных функций.
Председатель Правительства
Российской Федерации
Д.МЕДВЕДЕВ
постановлением Правительства
Российской Федерации
от 9 апреля 2016 г. N 289
ПОЛОЖЕНИЕ О ГОСУДАРСТВЕННОЙ ГЕОДЕЗИЧЕСКОЙ СЕТИ
1. Государственная геодезическая сеть представляет собой совокупность геодезических пунктов, местоположение которых определено в государственной системе координат, используемой при осуществлении геодезических и картографических работ (далее - государственная система координат).
2. Государственная геодезическая сеть предназначена для установления и распространения на территорию Российской Федерации государственной системы координат и используется в целях решения следующих задач:
геодезическое обеспечение картографирования территории Российской Федерации, градостроительной, навигационной и кадастровой деятельности, землеустройства, недропользования;
изучение параметров фигуры и гравитационного поля Земли и их изменений во времени;
изучение геодинамических явлений;
обеспечение единства измерений при высокоточных геодезических работах;
задачи, связанные с нуждами обороны страны;
иные фундаментальные научные, экономические и технические задачи геодезии, картографии, геофизики, геодинамики и космонавтики.
3. В состав государственной геодезической сети входят:
фундаментальная астрономо-геодезическая сеть;
высокоточная геодезическая сеть;
спутниковая геодезическая сеть 1-го класса;
сети триангуляции, астрономо-геодезические пункты космической геодезической сети, сети полигонометрии, доплеровские геодезические сети, астрономо-геодезическая сеть 1-го и 2-го классов, геодезические сети сгущения 3-го и 4-го классов.
4. Фундаментальная астрономо-геодезическая сеть устанавливает государственную систему координат и является основой создания высокоточной геодезической сети и спутниковой геодезической сети 1-го класса.
5. Фундаментальная астрономо-геодезическая сеть состоит из постоянно действующих пунктов и периодически определяемых пунктов.
6. Пункты фундаментальной астрономо-геодезической сети состоят из рабочего центра, основного центра, 2 контрольных центров, 2 нивелирных пунктов и гравиметрического пункта.
7. На рабочем центре постоянно действующего пункта фундаментальной астрономо-геодезической сети размещается высокоточная многосистемная спутниковая геодезическая аппаратура, выполняющая постоянные определения координат рабочего центра.
8. Постоянно действующие пункты фундаментальной астрономо-геодезической сети оснащаются оборудованием, позволяющим определять метеопараметры (автоматическая метеостанция) и изменения наклона антенны (инклинометр), а по решению Федеральной службы государственной регистрации, кадастра и картографии - также иным дополнительным оборудованием, включая лазерные дальномеры.
9. При создании постоянно действующих пунктов фундаментальной астрономо-геодезической сети обеспечивается возможность передачи измерительной информации, получаемой при помощи таких пунктов, в режиме реального времени в федеральное бюджетное учреждение, подведомственное Федеральной службе государственной регистрации, кадастра и картографии.
10. Периодически определяемый пункт фундаментальной астрономо-геодезической сети может не иметь рабочего центра.
Необходимая измерительная аппаратура и дополнительное оборудование размещаются на таком пункте только на определенный период времени.
11. При создании пунктов фундаментальной астрономо-геодезической сети их пространственное положение определяется спутниковыми методами определения координат в единых государственных системах координат.
Погрешность взаимного положения любых пунктов фундаментальной астрономо-геодезической сети не должна превышать 1 - 2 см по каждой из координат и 2 - 3 см по высоте.
12. Количество и место размещения постоянно действующих пунктов фундаментальной астрономо-геодезической сети определяются Министерством экономического развития Российской Федерации.
13. На пунктах фундаментальной астрономо-геодезической сети выполняются определения нормальных высот и абсолютных значений ускорений силы тяжести.
14. Высокоточная геодезическая сеть обеспечивает распространение на территорию Российской Федерации государственной системы координат, уточнение параметров перехода между государственной системой координат и государственной системой координат, используемой для обеспечения орбитальных полетов и решения навигационных задач.
15. Пункты высокоточной геодезической сети создаются на следующем расстоянии один от другого:
от 150 до 300 км - в районах с плотностью населения 35 и более человек на один кв. километр и районах активных геодинамических явлений;
от 300 до 500 км - на территориях с плотностью населения менее 35 человек на один кв. километр.
16. Пункт высокоточной геодезической сети состоит из основного центра, вспомогательного центра и 2 контрольных нивелирных пунктов.
17. Местоположение пунктов высокоточной геодезической сети при их создании определяется относительными спутниковыми методами определения координат, обеспечивающими точность взаимного положения пунктов со средними квадратическими ошибками, не превышающими 3 мм + 5 x 10-8D (где D - расстояние между пунктами в миллиметрах) по каждой из координат и 5 мм + 7 x 10-8D по высоте.
18. На пунктах высокоточной геодезической сети выполняются определения нормальных высот и значений ускорения силы тяжести.
19. Основными задачами спутниковой геодезической сети 1-го класса являются распространение на территорию Российской Федерации государственной системы координат и обеспечение возможности выполнения геодезических работ с использованием сигналов навигационных спутниковых систем.
20. При создании пунктов спутниковой геодезической сети 1-го класса используются не менее 3 пунктов высокоточной геодезической сети и (или) фундаментальной астрономо-геодезической сети.
21. При создании пунктов спутниковой геодезической сети 1-го класса не менее 30 процентов создаваемых пунктов совмещается с пунктами государственной нивелирной сети, не менее 30 процентов совмещается с пунктами сетей триангуляции и (или) сетей полигонометрии, высоты которых определены геометрическим нивелированием.
22. При создании пунктов спутниковой геодезической сети 1-го класса расстояния между такими пунктами составляют:
15 - 20 км - в районах с плотностью населения 35 и более человек на один кв. километр и районах активных геодинамических явлений;
40 - 50 км - на территориях с плотностью населения менее 35 человек на один кв. километр.
23. Создание пунктов спутниковой геодезической сети 1-го класса осуществляется относительными спутниковыми методами определения координат, обеспечивающими определение взаимного положения ее смежных пунктов со средней квадратической погрешностью определения координат 3 мм + 1 x 10-7D и высоты - 5 мм + 2 x 10-7D.
24. Средняя квадратическая погрешность определения положения пунктов спутниковой геодезической сети 1-го класса относительно ближайших пунктов высокоточной геодезической сети и фундаментальной астрономо-геодезической сети не должна превышать 1 - 2 см по каждой из координат в районах с сейсмической активностью 7 и более баллов и 2 - 3 см по каждой из координат в остальных регионах Российской Федерации.
25. Требования к геодезическим пунктам фундаментальной астрономо-геодезической сети, высокоточной геодезической сети, спутниковой геодезической сети 1-го класса, а также периодичность определений нормальных высот и ускорения силы тяжести на пунктах государственной геодезической сети, регламент получения измерительной информации на периодически определяемых пунктах фундаментальной астрономо-геодезической сети устанавливаются Федеральной службой государственной регистрации, кадастра и картографии.
26. Пространственное положение пунктов сетей триангуляции, сетей полигонометрии, доплеровских геодезических сетей, астрономо-геодезической сети 1-го и 2-го классов, геодезических сетей сгущения 3-го и 4-го классов определяется в государственной системе координат.
27. Новые пункты государственной астрономо-геодезической сети 1-го и 2-го классов, сети полигонометрии, доплеровские геодезические сети, геодезические сети сгущения 3-го и 4-го классов не создаются.
При снижении плотности пунктов государственной сети за счет утраты пунктов указанных геодезических сетей на этой территории создаются пункты спутниковой геодезической сети 1-го класса.
28. При выполнении работ по созданию государственной геодезической сети применяются аттестованные методики измерений и средства измерений, прошедшие поверку в соответствии со
статьей 13 Федерального закона "Об обеспечении единства измерений".
29. Математическая обработка геодезических измерений, выполняемых при построении и модернизации государственной геодезической сети, включает полевые вычисления, предварительные вычисления и уравнивание пунктов государственной геодезической сети.
Требования к математической обработке результатов измерений на пунктах высокоточной геодезической сети, спутниковой геодезической сети 1-го класса, а также совместной обработке измерений на пунктах фундаментальной астрономо-геодезической сети, высокоточной геодезической сети, спутниковой геодезической сети 1-го класса и астрономо-геодезической сети определяются Федеральной службой государственной регистрации, кадастра и картографии.
30. По результатам математической обработки измерений составляются каталоги координат и высот пунктов государственной геодезической сети и научно-технические отчеты, которые в установленном порядке помещаются в федеральный картографо-геодезический фонд.
Требования к подготовке каталогов координат и высот пунктов государственной геодезической сети устанавливаются Федеральной службой государственной регистрации, кадастра и картографии.
постановлением Правительства
Российской Федерации
от 9 апреля 2016 г. N 289
ПОЛОЖЕНИЕ О ГОСУДАРСТВЕННОЙ НИВЕЛИРНОЙ СЕТИ
1. Государственная нивелирная сеть предназначена для распространения государственной системы высот на территорию Российской Федерации и является высотной основой осуществления топографических работ, инженерно-геодезических работ, выполняемых для удовлетворения потребностей экономики, науки и обороны страны.
2. Государственная нивелирная сеть представляет собой совокупность закрепленных на местности нивелирных пунктов, нормальные высоты которых определены в государственной системе высот.
3. Нивелирный пункт государственной нивелирной сети состоит из центра (репера, маркера) и наружного опознавательного знака. В отдельных случаях допускается создание нивелирных пунктов, не имеющих наружного знака.
Требования к созданию нивелирных пунктов устанавливаются Федеральной службой государственной регистрации, кадастра и картографии.
4. На территории Российской Федерации вычисление нормальных высот производится в государственной системе нормальных высот, которой является Балтийская система высот 1977 года.
5. Исходным нивелирным пунктом государственной нивелирной сети Российской Федерации является нуль Кронштадтского футштока.
6. За нуль Кронштадтского футштока принята горизонтальная черта на медной пластине, укрепленной в устое моста через обводной канал в г. Кронштадте.
7. Для целей настоящего Положения используются следующие термины и определения:
"нивелирный пункт" - инженерная конструкция, закрепляющая точку земной поверхности с определенными значениями ее высоты;
"линия нивелирования" - получаемая в результате выполнения работ по нивелированию воображаемая линия, соединяющая смежные нивелирные пункты;
"нивелирный полигон" - совокупность линий нивелирования, проходящих через нивелирные пункты, на которых начинаются или заканчиваются более 2 линий нивелирования, и образующих геометрическое построение в виде замкнутого полигона.
8. Государственная нивелирная сеть состоит из нивелирных сетей I, II, III и IV классов, которые формируются по принципу от сетей высшей точности к сетям менее точным.
9. Государственные нивелирные сети I и II классов составляют главную высотную основу Российской Федерации.
10. Требования к созданию главной высотной основы Российской Федерации определяются Федеральной службой государственной регистрации, кадастра и картографии.
11. Нивелирные сети I и II классов используются для решения следующих научных задач:
изучение фигуры Земли и ее внешнего гравитационного поля;
определение разностей нормальных высот и наклонов среднеуровенной поверхности морей и океанов, омывающих территорию Российской Федерации;
изучение современных вертикальных движений земной поверхности;
прогнозирование влияния производства на окружающую среду, особенно при добыче нефти, газа и других полезных ископаемых;
сейсмическое районирование территории Российской Федерации, выявление предвестников землетрясений;
изучение строения земной коры, получение данных о скоростях и направленности движений отдельных блоков, выявление действующих разломов и разрывов в земной коре.
12. При создании пунктов нивелирной сети III класса используются не менее 2 нивелирных пунктов главной высотной основы Российской Федерации.
13. Нивелирные сети III и IV классов создаются для сгущения государственной нивелирной сети и используются для выполнения топографических съемок, решения инженерно-геодезических задач, геологических изысканий и решения иных специальных задач.
14. Расстояние между смежными нивелирными пунктами государственной нивелирной сети не должно превышать 5 км. В труднодоступных районах на отдельных участках, где выбор местоположения нивелирных пунктов затруднен, расстояние между ними может быть увеличено до 7 км. В горных районах расстояние между смежными скальными и стенными нивелирными пунктами не должно превышать 1 - 2 км, а между смежными грунтовыми реперами - 3 - 4 километра. На геодинамических полигонах вблизи разломов и границ основных блоков расстояние между смежными реперами не должно превышать 0,5 - 1,5 км. В городах, населенных пунктах и на промышленно развитых территориях расстояние между смежными реперами нивелирных сетей не должно превышать 2 км на застроенной и 3 км на незастроенной территории.
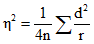
15. Средние квадратические погрешности нивелирования

(случайная средняя квадратичная погрешность) и

(систематическая средняя квадратичная погрешность) вычисляют по формулам:

,

,
где:
d = hпр - hобр;
hпр и hобр - превышения по секциям, полученные соответственно в прямом и обратном ходах, мм;
r - длина секции, км;
n - число секций;
S - накопление разностей

по линии нивелирования или ее части, мм;
L - длина линии нивелирования или ее части, км.
При создании (развитии, поддержании в рабочем состоянии) государственной нивелирной сети средние квадратические погрешности нивелирования

и

не должны превышать значений согласно
приложению N 1.
16. Периметры нивелирных полигонов, образуемых при создании государственной нивелирной сети, устанавливаются согласно
приложению N 2.
17. Производственный цикл создания (развития, поддержания в рабочем состоянии) государственной нивелирной сети включает следующие основные этапы работ:
проектирование;
обследование существующих пунктов;
закрепление новых нивелирных пунктов и (или) восстановление существующих пунктов;
выполнение измерений (первичных и повторных);
математическая обработка измерений (полевая и камеральная);
контроль и приемка работ;
составление каталогов нивелирных пунктов и технических отчетов.
18. Проектирование нивелирных сетей осуществляется на основе материалов о картографо-геодезической изученности района работ, сведений о состоянии центров исходных нивелирных пунктов и пунктов ранее созданных сетей, данных о геологических и геоморфологических особенностях местности.
19. В результате проектирования нивелирных сетей решаются задачи, связанные с выбором схемы проектируемой сети и технологии ее построения, установлением типов центров для закрепления нивелирных пунктов.
В процессе проектирования нивелирных сетей дополнительно обеспечивается уточнение проекта сети, подтверждение правильности выбора мест для закладки пунктов сети (с учетом отсутствия помех для применяемых средств измерений, которыми выполняются измерения) и оценка возможности закладки выбранных в проекте типов центров.
20. Нивелирные пункты подлежат периодическому обследованию и при необходимости восстановлению.
21. При обследовании центров нивелирных пунктов оценивают:
состояние пункта, его сохранность и соответствие данного типа пункта установленным требованиям, нарушение наружного оформления, прочность цементирования марок;
влияние инженерно-геологических факторов на устойчивость нивелирного пункта.
22. Пункты нивелирных сетей закрепляются центрами, типы которых устанавливаются в зависимости от физико-географических и геологических условий района работ, глубины промерзания и оттаивания грунтов.
Установка центров должна производиться в соответствии с правилами закрепления на местности пунктов нивелирных сетей, утвержденными Федеральной службой государственной регистрации, кадастра и картографии.
23. Математическая обработка нивелирных измерений включает в себя полевые вычисления, предварительные вычисления и уравнивание нивелирных сетей.
24. Значения нормальных высот нивелирных пунктов в государственной системе высот получают в результате математической обработки материалов измерений в нивелирных сетях.
25. Результатами работ по созданию государственной нивелирной сети являются созданные пункты нивелирования, технический отчет о выполненных работах, а также каталог высот пунктов нивелирования.
Требования к выполнению работ, связанных с созданием государственных нивелирных сетей, утверждаются Федеральной службой государственной регистрации, кадастра и картографии.
26. При производстве работ по созданию нивелирной сети следует применять аттестованные методики измерений и средства измерений, прошедшие поверку в соответствии со
статьей 13 Федерального закона "Об обеспечении единства измерений".
к Положению о государственной
нивелирной сети
СРЕДНИЕ КВАДРАТИЧЕСКИЕ ПОГРЕШНОСТИ НИВЕЛИРОВАНИЯ
Класс нивелирования | Допустимое значение случайной средней квадратической погрешности  на 1 км хода, мм | Допустимое значение систематической средней квадратической погрешности  на 1 км хода, мм |
I | 0,8 | 0,08 |
II | 2 | 0,2 |
III | 5 | - |
IV | | - |
--------------------------------
<*> Погрешность вычисляют по невязкам нивелирных линий или полигонов.
Невязка - разность между теоретической величиной и величиной, полученной в результате измерений.
Теоретическое значение превышения для линий нивелирования определяется как разность высот исходных пунктов.
В замкнутом полигоне теоретическое значение суммы превышений равно 0.
к Положению о государственной
нивелирной сети
ПЕРИМЕТРЫ НИВЕЛИРНЫХ ПОЛИГОНОВ
Класс нивелирования | Периметры нивелирных полигонов, км | Допустимая невязка <3> полигонов, мм |
обжитые районы | малообжитые и труднодоступные районы | города и населенные пункты |
застроенная территория | незастроенная территория |
I | 1200 | 2000 | | | |
II | 400 | 1000 | 50 | 80 | |
| 60 - 150 | 100 - 300 | 25 | 40 | |
| 20 - 60 | 25 - 80 | 8 | 12 | |
--------------------------------
<1> Периметр устанавливают в зависимости от размеров площадей и территорий городских и сельских поселений.
<2> Периметры полигонов III и IV классов нивелирования зависят от назначения нивелирных работ.
<3> L - периметр полигона в километрах.
Невязка - разность между теоретической величиной и величиной, полученной в результате измерений.
Теоретическое значение превышения для линий нивелирования определяется как разность высот исходных пунктов.
В замкнутом полигоне теоретическое значение суммы превышений равно 0.
Для нивелирования I класса невязка вычисляется по нивелирным полигонам, а для нивелирования II - IV классов по нивелирным полигонам или линиям нивелирования.