Главная // Пожарная безопасность СПРАВКА
Источник публикации
Официальный интернет-портал правовой информации http://www.pravo.gov.ru, 06.06.2014,
"Собрание законодательства РФ", 09.06.2014, N 23, ст. 2996
Примечание к документу
Название документа
Постановление Правительства РФ от 03.06.2014 N 510
"Об утверждении Правил дисконтирования величин при оценке конкурсных предложений на право заключения концессионных соглашений и договоров аренды в сфере теплоснабжения, в сфере водоснабжения и водоотведения и о внесении изменений в некоторые акты Правительства Российской Федерации"
Постановление Правительства РФ от 03.06.2014 N 510
"Об утверждении Правил дисконтирования величин при оценке конкурсных предложений на право заключения концессионных соглашений и договоров аренды в сфере теплоснабжения, в сфере водоснабжения и водоотведения и о внесении изменений в некоторые акты Правительства Российской Федерации"
ПРАВИТЕЛЬСТВО РОССИЙСКОЙ ФЕДЕРАЦИИ
ПОСТАНОВЛЕНИЕ
от 3 июня 2014 г. N 510
ОБ УТВЕРЖДЕНИИ ПРАВИЛ
ДИСКОНТИРОВАНИЯ ВЕЛИЧИН ПРИ ОЦЕНКЕ КОНКУРСНЫХ ПРЕДЛОЖЕНИЙ
НА ПРАВО ЗАКЛЮЧЕНИЯ КОНЦЕССИОННЫХ СОГЛАШЕНИЙ И ДОГОВОРОВ
АРЕНДЫ В СФЕРЕ ТЕПЛОСНАБЖЕНИЯ, В СФЕРЕ ВОДОСНАБЖЕНИЯ
И ВОДООТВЕДЕНИЯ И О ВНЕСЕНИИ ИЗМЕНЕНИЙ В НЕКОТОРЫЕ
АКТЫ ПРАВИТЕЛЬСТВА РОССИЙСКОЙ ФЕДЕРАЦИИ
Утвердить прилагаемые:
Правила дисконтирования величин при оценке конкурсных предложений на право заключения концессионных соглашений и договоров аренды в сфере теплоснабжения, в сфере водоснабжения и водоотведения;
изменения, которые вносятся в акты Правительства Российской Федерации.
Председатель Правительства
Российской Федерации
Д.МЕДВЕДЕВ
постановлением Правительства
Российской Федерации
от 3 июня 2014 г. N 510
ДИСКОНТИРОВАНИЯ ВЕЛИЧИН ПРИ ОЦЕНКЕ КОНКУРСНЫХ ПРЕДЛОЖЕНИЙ
НА ПРАВО ЗАКЛЮЧЕНИЯ КОНЦЕССИОННЫХ СОГЛАШЕНИЙ И ДОГОВОРОВ
АРЕНДЫ В СФЕРЕ ТЕПЛОСНАБЖЕНИЯ, В СФЕРЕ
ВОДОСНАБЖЕНИЯ И ВОДООТВЕДЕНИЯ
1. Настоящие Правила определяют порядок дисконтирования величин при оценке конкурсных предложений на право заключения концессионных соглашений в отношении объектов теплоснабжения, централизованных систем горячего водоснабжения, холодного водоснабжения и (или) водоотведения, отдельных объектов таких систем, находящихся в государственной или муниципальной собственности (далее - концессионное соглашение), или договоров аренды объектов теплоснабжения, централизованных систем горячего водоснабжения, холодного водоснабжения и (или) водоотведения, отдельных объектов таких систем, находящихся в государственной или муниципальной собственности (далее - договор аренды).
2. Дисконтирование величин осуществляется:
а) при определении победителя конкурса на право заключения концессионного соглашения - в отношении:
необходимой валовой выручки от поставок товаров и оказания услуг по регулируемым ценам (тарифам) на каждый год срока действия концессионного соглашения;
объема расходов, финансируемых за счет средств концедента, на использование (эксплуатацию) объекта концессионного соглашения в сфере теплоснабжения, а также в сфере водоснабжения и водоотведения на каждый год срока действия концессионного соглашения;
расходов концессионера, подлежащих возмещению, которые согласно расчетам на дату окончания срока действия концессионного соглашения не будут возмещены и размер которых определяется в соответствии с
пунктом 6 настоящих Правил;
б) при определении победителя конкурса на право заключения договора аренды - в отношении:
необходимой валовой выручки от поставок товаров и оказания услуг по регулируемым ценам (тарифам) на каждый год срока действия договора аренды;
объема финансовой поддержки, необходимой арендатору и предоставляемой арендодателем в целях возмещения затрат или недополученных доходов в связи с производством, поставками товаров, оказанием услуг с использованием объектов теплоснабжения, централизованных систем горячего водоснабжения, холодного водоснабжения и (или) водоотведения, отдельных объектов таких систем, находящихся в государственной или муниципальной собственности, на каждый год срока действия договора аренды.
3. Необходимая валовая выручка от поставок товаров и оказания услуг по регулируемым ценам (тарифам) в сфере теплоснабжения, а также в сфере водоснабжения и водоотведения на каждый год срока действия концессионного соглашения или договора аренды определяется в соответствии с методическими указаниями по расчету регулируемых цен (тарифов) в сфере теплоснабжения и методическими указаниями по расчету регулируемых тарифов в сфере водоснабжения и водоотведения, утверждаемыми федеральным органом исполнительной власти в области государственного регулирования тарифов, без учета:
а) экономии операционных расходов;
б) экономии от снижения потребления энергетических ресурсов;
в) корректировки необходимой валовой выручки;
г) экономически обоснованных расходов, не учтенных органом регулирования при установлении тарифов;
д) необоснованных доходов, полученных в периоды регулирования, предшествующие году начала действия концессионного соглашения или договора аренды.
4. При расчете необходимой валовой выручки применяется индекс эффективности операционных расходов, равный 1 проценту. Указанное значение индекса эффективности операционных расходов используется только в целях определения дисконтированной выручки участников конкурса и может отличаться от индекса эффективности операционных расходов, используемого при установлении цен (тарифов).
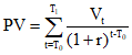
5. Дисконтирование величин (PV) производится по формуле:
где:

- последний год срока действия концессионного соглашения или договора аренды;
t - год реализации концессионного соглашения или договора аренды;

- первый год срока действия концессионного соглашения или договора аренды;

- коэффициент дисконтирования.
6. Размер расходов концессионера, подлежащих возмещению, которые согласно расчетам на день окончания срока действия концессионного соглашения не будут возмещены (

), определяется по формуле:

,
где R - размер инвестированного капитала на последний год срока действия концессионного соглашения, который согласно расчетам на день окончания срока действия концессионного соглашения не будет возмещен концессионеру и который определяется в соответствии с
Правилами определения стоимости активов и инвестированного капитала и ведения их раздельного учета, применяемыми при осуществлении деятельности, регулируемой с использованием метода обеспечения доходности инвестированного капитала, утвержденными постановлением Правительства Российской Федерации от 22 октября 2012 г. N 1075 "О ценообразовании в сфере теплоснабжения", и
Правилами определения размера инвестированного капитала в сфере водоснабжения и водоотведения и порядка ведения его учета, утвержденными постановлением Правительства Российской Федерации от 13 мая 2013 г. N 406 "О государственном регулировании тарифов в сфере водоснабжения и водоотведения".
7. Коэффициент дисконтирования принимается:
а) в отношении объектов теплоснабжения, находящихся в государственной или муниципальной собственности, - равным минимальной норме доходности инвестированного капитала, установленной федеральным органом исполнительной власти в области государственного регулирования тарифов в сфере теплоснабжения в соответствии с
Правилами установления долгосрочных параметров регулирования деятельности организаций в отнесенной законодательством Российской Федерации к сферам деятельности субъектов естественных монополий сфере теплоснабжения и (или) цен (тарифов) в сфере теплоснабжения, которые подлежат регулированию в соответствии с перечнем, определенным статьей 8 Федерального закона "О теплоснабжении", утвержденными постановлением Правительства Российской Федерации от 22 октября 2012 г. N 1075 "О ценообразовании в сфере теплоснабжения";
б) в отношении централизованных систем горячего водоснабжения, холодного водоснабжения и (или) водоотведения, отдельных объектов таких систем, находящихся в государственной или муниципальной собственности, - равным минимальной норме доходности инвестированного капитала, установленной федеральным органом исполнительной власти в области государственного регулирования тарифов в соответствии с Правилами расчета нормы доходности инвестированного капитала в сфере водоснабжения и водоотведения, утвержденными постановлением Правительства Российской Федерации от 13 мая 2013 г. N 406 "О государственном регулировании тарифов в сфере водоснабжения и водоотведения".
постановлением Правительства
Российской Федерации
от 3 июня 2014 г. N 510
КОТОРЫЕ ВНОСЯТСЯ В АКТЫ ПРАВИТЕЛЬСТВА РОССИЙСКОЙ ФЕДЕРАЦИИ
1. В
постановлении Правительства Российской Федерации от 22 октября 2012 г. N 1075 "О ценообразовании в сфере теплоснабжения" (Собрание законодательства Российской Федерации, 2012, N 44, ст. 6022; 2013, N 33, ст. 4389; N 41, ст. 5199; 2014, N 14, ст. 1627):
а) в
Основах ценообразования в сфере теплоснабжения, утвержденных указанным постановлением:
"индекс эффективности операционных расходов" - показатель динамики изменения расходов, связанных с поставками соответствующих товаров и услуг, определяющий снижение операционных расходов;
"индекс снижения расходов" - показатель, определяющий динамику расходов, связанных с осуществлением регулируемых видов деятельности;";
"в) в случае если у регулируемой организации отсутствуют договоры аренды объектов теплоснабжения, находящихся в государственной или муниципальной собственности, заключенные с 1 января 2014 г., и оставшийся срок действия всех договоров аренды, заключенных регулируемой организацией до 1 января 2014 г., на день подачи заявления об утверждении тарифов составляет менее 3 лет.";
"19. Выбор метода регулирования тарифов осуществляется органом регулирования с учетом предложения регулируемой организации в соответствии с положениями пунктов 17, 54 и 55 настоящего документа, за исключением случая, предусмотренного абзацем третьим настоящего пункта. Порядок учета предложения регулируемой организации о выборе метода регулирования устанавливается Правилами регулирования цен (тарифов).
В отношении регулируемых организаций, для которых тариф устанавливается впервые, используется метод регулирования, определяемый органом регулирования с учетом предложения регулируемой организации. При досрочном пересмотре тарифов в течение периода регулирования используется тот метод регулирования, который был выбран органом регулирования при первоначальном установлении цен (тарифов) на указанный период регулирования.
Для регулируемых организаций, владеющих объектами теплоснабжения, находящимися в государственной или муниципальной собственности, на основании заключенных после 1 января 2014 г. концессионного соглашения и (или) договора аренды метод регулирования тарифов должен соответствовать методу регулирования, предусмотренному конкурсной документацией и согласованному органом регулирования в порядке, установленном Правилами регулирования цен (тарифов).
В случае если регулируемой организацией, владеющей объектами теплоснабжения, находящимися в государственной или муниципальной собственности, на основании заключенного после 1 января 2014 г. договора аренды, были заключены до 1 января 2014 г. договоры аренды иных объектов теплоснабжения, находящихся в государственной или муниципальной собственности, то в отношении договоров аренды, заключенных до 1 января 2014 г., применяется метод регулирования, предусмотренный конкурсной документацией, на основании которой после 1 января 2014 г. был заключен договор аренды.
20. В случае если регулируемая организация не достигла плановых значений показателей надежности и энергетической эффективности объектов теплоснабжения, определенных в соответствии с нормативными правовыми актами Российской Федерации, необходимая валовая выручка такой организации, установленная на очередной финансовый год, подлежит уменьшению в порядке, установленном методическими указаниями, исходя из степени исполнения такой организацией обязательств по созданию и (или) реконструкции объекта концессионного соглашения и (или) реализации инвестиционной программы.";
пункт 35 дополнить абзацем следующего содержания:
"В случае если регулируемая организация владеет объектами теплоснабжения, находящимися в государственной или муниципальной собственности, на основании концессионного соглашения или договора аренды и в составе показателей энергосбережения и энергетической эффективности, установленных в качестве критериев конкурса на право заключения концессионного соглашения или договора аренды, предусмотрен удельный расход топлива на производство 1 Гкал тепловой энергии, то для регулирования тарифов на тепловую энергию применяется удельный расход топлива на производство 1 Гкал тепловой энергии, указанный в конкурсном предложении концессионера или арендатора на соответствующий год действия концессионного соглашения или договора аренды.";
пункт 38 дополнить абзацем следующего содержания:
"В случае если регулируемая организация владеет объектами теплоснабжения, находящимися в государственной или муниципальной собственности, на основании концессионного соглашения или договора аренды и в составе показателей энергосбережения и энергетической эффективности, установленных в качестве критериев конкурса на право заключения концессионного соглашения или договора аренды, предусмотрен уровень потерь тепловой энергии (теплоносителя), то для регулирования тарифов на тепловую энергию применяется уровень потерь тепловой энергии (теплоносителя), указанный в конкурсном предложении концессионера или арендатора на соответствующий год действия концессионного соглашения или договора аренды.";
пункт 51 дополнить абзацами следующего содержания:
"Для регулируемых организаций, владеющих объектами теплоснабжения, находящимися в государственной или муниципальной собственности, на основании концессионного соглашения или договора аренды, долгосрочные тарифы устанавливаются на основе значений долгосрочных параметров регулирования деятельности концессионера или арендатора, предусмотренных конкурсной документацией и согласованных органом регулирования в порядке, установленном Правилами регулирования цен (тарифов), а также значений долгосрочных параметров регулирования деятельности концессионера (арендатора), указанных в конкурсном предложении концессионера (арендатора) на право заключения концессионного соглашения или договора аренды.
В случае если стороны концессионного соглашения договорились об изменении долгосрочных параметров регулирования деятельности концессионера, долгосрочные тарифы устанавливаются с применением новых значений долгосрочных параметров регулирования деятельности концессионера при условии, что эти значения были предварительно согласованы органом регулирования в порядке, установленном Правилами регулирования цен (тарифов).";
"ж) степень исполнения регулируемой организацией обязательств по созданию и (или) реконструкции объекта концессионного соглашения или по реализации инвестиционной программы в случае недостижения регулируемой организацией утвержденных плановых значений показателей надежности объектов теплоснабжения;";
"53. При применении метода обеспечения доходности инвестированного капитала необходимая валовая выручка регулируемой организации устанавливается в порядке, определенном Правилами регулирования цен (тарифов), на каждый год долгосрочного периода регулирования на основе значений долгосрочных параметров регулирования, определяемых органом регулирования в соответствии с Правилами установления долгосрочных параметров регулирования деятельности организаций в отнесенной законодательством Российской Федерации к сферам деятельности субъектов естественных монополий сфере теплоснабжения и (или) цен (тарифов) в сфере теплоснабжения, которые подлежат регулированию в соответствии с перечнем, определенным статьей 8 Федерального закона "О теплоснабжении" (далее - Правила установления долгосрочных параметров регулирования).
Для регулируемых организаций, владеющих объектами теплоснабжения, находящимися в государственной или муниципальной собственности, на основании концессионного соглашения или договора аренды, долгосрочные тарифы устанавливаются на основе значений долгосрочных параметров регулирования деятельности концессионера (арендатора), определенных в соответствии с абзацем вторым пункта 51 настоящего документа.";
пункт 55 дополнить абзацем следующего содержания:
"Согласование решения органа регулирования о выборе метода обеспечения доходности инвестированного капитала или об отказе от применения этого метода с федеральным органом исполнительной власти в области государственного регулирования тарифов в случае, предусмотренном абзацем третьим пункта 19 настоящего документа, не требуется.";
"ж) показатели энергосбережения и энергетической эффективности - если в отношении регулируемой организации утверждена программа энергосбережения и повышения энергетической эффективности в соответствии с законодательством Российской Федерации об энергосбережении и о повышении энергетической эффективности и (или) если показатели энергосбережения и энергоэффективности предусмотрены в концессионном соглашении в отношении объектов теплоснабжения, находящихся в государственной или муниципальной собственности, или договоре аренды указанных объектов;
з) динамика изменения расходов на топливо, устанавливаемая в целях перехода от одного метода распределения расхода топлива к другому методу, - если орган регулирования применяет понижающий коэффициент на переходный период в соответствии с Правилами распределения расхода топлива.";
"г) показатели энергосбережения и энергетической эффективности - если в отношении регулируемой организации утверждена программа энергосбережения и повышения энергетической эффективности в соответствии с законодательством Российской Федерации об энергосбережении и о повышении энергетической эффективности и (или) если показатели энергосбережения и энергоэффективности предусмотрены в концессионном соглашении в отношении объектов теплоснабжения, находящихся в государственной или муниципальной собственности, или договоре аренды указанных объектов;
д) динамика изменения расходов на топливо, устанавливаемая в целях перехода от одного метода распределения расхода топлива к другому методу, - если орган регулирования применяет понижающий коэффициент на переходный период в соответствии с Правилами распределения расхода топлива.";
в
абзаце первом слова "случая, предусмотренного" заменить словами "случаев, предусмотренных";
"Для регулируемых организаций, владеющих объектами теплоснабжения, находящимися в государственной или муниципальной собственности, на основании концессионного соглашения или договора аренды, расходы на приобретение тепловой энергии в целях компенсации потерь при передаче тепловой энергии определяются в соответствии с абзацем вторым пункта 38 настоящего документа.
В случае если по данным, представляемым регулируемой организацией, владеющей объектами теплоснабжения, находящимися в государственной или муниципальной собственности, на основании концессионного соглашения или договора аренды, более 75 процентов фактического объема отпуска тепловой энергии из эксплуатируемых ею тепловых сетей определялось по показаниям приборов учета в предыдущий отчетный период, то в необходимую валовую выручку такой регулируемой организации на 3 последующих года включаются расходы на оплату фактического объема потерь, рассчитанного по данным за предыдущий отчетный период, с применением к нему определяемых органом регулирования ежегодных темпов снижения объема потерь тепловой энергии исходя из необходимости доведения объема таких потерь до уровня потерь тепловой энергии (теплоносителя), установленного в конкурсном предложении концессионера (арендатора) на соответствующий год.";
после слов "представленным регулируемой организацией," дополнить словами "не входящей в число организаций, указанных в абзаце третьем настоящего пункта,";
слова "предыдущего отчетного периода" заменить словами "за предыдущий отчетный период";
в
абзаце третьем слова "федеральным органом исполнительной власти, уполномоченным на реализацию государственной политики в сфере теплоснабжения" заменить словами "Правительством Российской Федерации";
б) в
Правилах регулирования цен (тарифов) в сфере теплоснабжения, утвержденных указанным постановлением:
пункт 13 дополнить абзацем следующего содержания:
"В случае если регулируемая организация владеет объектами теплоснабжения, находящимися в государственной или муниципальной собственности, на основании заключенных концессионного соглашения или договора аренды и метод регулирования для такой регулируемой организации предусмотрен конкурсной документацией и согласован органом регулирования в порядке, установленном настоящими Правилами, подача заявления о выборе метода регулирования тарифов не требуется.";
абзац четвертый пункта 26 дополнить предложением следующего содержания: "В случае, предусмотренном абзацем третьим пункта 19 Основ ценообразования, согласование решения органа регулирования о выборе метода обеспечения доходности инвестированного капитала или об отказе от применения этого метода с федеральным органом исполнительной власти в области государственного регулирования тарифов не требуется.";
дополнить разделами VIII - X следующего содержания:
"VIII. Порядок согласования органами регулирования перехода
организации от регулирования тарифов с применением правил
регулирования тарифов, действующих на день заключения
концессионного соглашения или договора аренды,
к регулированию тарифов с применением правил регулирования
тарифов, действующих на день установления (изменения,
корректировки) цен (тарифов)
77. Согласование органом регулирования перехода организации от регулирования тарифов с применением правил регулирования тарифов, действовавших на день заключения концессионного соглашения в отношении объектов теплоснабжения, находящихся в государственной или муниципальной собственности, или договора аренды указанных объектов, к регулированию тарифов с применением правил регулирования тарифов, действующих на день установления (изменения, корректировки) цен (тарифов), осуществляется на основании заявления о таком переходе (далее - заявление о переходе).
78. Заявление о переходе составляется в произвольной форме и представляется в орган регулирования в письменной форме непосредственно или почтовым отправлением либо в электронной форме в виде электронного документа.
Заявление о переходе подается одной из сторон концессионного соглашения в отношении объектов теплоснабжения, находящихся в государственной или муниципальной собственности, или одной из сторон договора аренды указанных объектов либо уполномоченным лицом одной из сторон концессионного соглашения в отношении объектов теплоснабжения, находящихся в государственной или муниципальной собственности, или договора аренды указанных объектов (далее - лицо, подавшее заявление о переходе) и подписывается лицом, подавшим заявление о переходе.
79. К заявлению о переходе прилагаются следующие документы и материалы:
а) концессионное соглашение в отношении объектов теплоснабжения, находящихся в государственной или муниципальной собственности, или договор аренды указанных объектов либо заверенная в установленном порядке копия одного из указанных документов;
б) документ, подтверждающий согласие сторон концессионного соглашения в отношении объектов теплоснабжения, находящихся в государственной или муниципальной собственности, или договора аренды указанных объектов на переход к регулированию тарифов с применением правил регулирования тарифов, действующих на день установления (изменения, корректировки) цен (тарифов);
в) документ, подтверждающий полномочия лица, подавшего заявление о переходе, на подачу заявления о переходе и прилагаемых к нему документов и материалов;
г) расчет необходимой валовой выручки концессионера или арендатора на каждый год начиная с года, следующего за годом, в котором было направлено заявление о переходе, до конца действия концессионного соглашения в отношении объектов теплоснабжения, находящихся в государственной или муниципальной собственности, или договора аренды указанных объектов, осуществленный по правилам регулирования тарифов, действовавшим на день заключения концессионного соглашения или договора аренды;
д) расчет необходимой валовой выручки концессионера или арендатора на каждый год начиная с года, следующего за годом, в котором было направлено заявление о переходе, до конца действия концессионного соглашения в отношении объектов теплоснабжения, находящихся в государственной или муниципальной собственности, или договора аренды указанных объектов, осуществленный по правилам регулирования тарифов, действующим на день подачи заявления о переходе.
80. При расчете необходимой валовой выручки в соответствии с подпунктами "г" и "д" пункта 79 настоящих Правил используются цены, значения и параметры, установленные концессионным соглашением в отношении объектов теплоснабжения, находящихся в государственной или муниципальной собственности, или договором аренды указанных объектов.
81. При получении заявления о переходе и прилагаемых к нему документов и материалов орган регулирования проверяет их на соответствие положениям пункта 79 настоящих Правил, а также проверяет полномочия лица, подавшего заявление о переходе.
82. Орган регулирования в течение 5 календарных дней регистрирует заявление о переходе и прилагаемые к нему документы и материалы в случае их соответствия положениям пункта 79 настоящих Правил или возвращает лицу, подавшему заявление о переходе, с указанием причин отказа.
Лицо, подавшее заявление о переходе, вправе повторно представить в орган регулирования заявление о переходе с доработанными документами и материалами, соответствующее положениям пункта 79 настоящих Правил.
83. В случае соответствия заявления о переходе и прилагаемых к нему документов и материалов положениям пункта 79 настоящих Правил орган регулирования рассматривает его в течение не более 15 календарных дней со дня регистрации.
84. Орган регулирования рассматривает зарегистрированное заявление о переходе и прилагаемые к нему документы и материалы на предмет правильности расчета необходимой валовой выручки, предусмотренной подпунктом "г" пункта 79 настоящих Правил, осуществленного в соответствии с правилами регулирования тарифов, действовавшими на день заключения концессионного соглашения в отношении объектов теплоснабжения, находящихся в государственной или муниципальной собственности, или договора аренды указанных объектов, и на предмет правильности расчета необходимой валовой выручки, предусмотренной подпунктом "д" пункта 79 настоящих Правил, осуществленного в соответствии с правилами регулирования тарифов, действующими на день подачи заявления о переходе.
85. В случае если расчет необходимой валовой выручки, предусмотренной подпунктом "г" пункта 79 настоящих Правил, не соответствует правилам регулирования тарифов, действующим на день заключения концессионного соглашения в отношении объектов теплоснабжения, находящихся в государственной или муниципальной собственности, или договора аренды указанных объектов, или расчет необходимой валовой выручки, предусмотренной подпунктом "д" пункта 79 настоящих Правил, не соответствует правилам регулирования тарифов, действующим на день подачи заявления о переходе, то заявление о переходе и прилагаемые к нему документы и материалы возвращаются лицу, подавшему заявление о переходе, с указанием причин отказа в его рассмотрении. Лицо, подавшее заявление о переходе, вправе повторно направить в орган регулирования заявление о переходе с доработанными документами и материалами.
86. В случае если расчет необходимой валовой выручки, предусмотренной подпунктом "г" пункта 79 настоящих Правил, соответствует правилам регулирования тарифов, действующим на день заключения концессионного соглашения в отношении объектов теплоснабжения, находящихся в государственной или муниципальной собственности, или договора аренды указанных объектов, и расчет необходимой валовой выручки, предусмотренной подпунктом "д" пункта 79 настоящих Правил, соответствует правилам регулирования тарифов, действующим на день подачи заявления о переходе, то орган регулирования принимает решение о согласовании перехода к регулированию тарифов с применением правил регулирования тарифов, действующих на день установления (изменения, корректировки) цен (тарифов), при условии, что отношение суммарной необходимой валовой выручки концессионера или арендатора, предусмотренной подпунктом "д" пункта 79 настоящих Правил, к суммарной необходимой валовой выручке концессионера или арендатора, предусмотренной подпунктом "г" пункта 79 настоящих Правил, превышает 0,95, но не превышает значение показателя предельного (максимального) роста необходимой валовой выручки концессионера (арендатора), получаемой при осуществлении регулируемых видов деятельности, предусмотренное конкурсной документацией на год подачи заявления о переходе.
87. В случае если отношение суммарной необходимой валовой выручки концессионера или арендатора, предусмотренной подпунктом "д" пункта 79 настоящих Правил, к суммарной необходимой валовой выручке концессионера или арендатора, предусмотренной подпунктом "г" пункта 79 настоящих Правил, не соответствует условию, указанному в пункте 86 настоящих Правил, орган регулирования принимает решение об отказе в согласовании перехода к регулированию тарифов с применением правил регулирования тарифов, действующих на день установления (изменения, корректировки) цен (тарифов).
88. Решение органа регулирования о согласовании перехода к регулированию тарифов с применением правил регулирования тарифов, действующих на день установления (изменения, корректировки) цен (тарифов), или об отказе в таком согласовании направляется лицу, подавшему заявление о переходе, не позднее чем через 5 рабочих дней со дня принятия такого решения, а также размещается на официальном сайте органа регулирования в информационно-телекоммуникационной сети "Интернет".
IX. Порядок представления органом регулирования
организатору конкурса на право заключения концессионного
соглашения или договора аренды сведений о ценах, значениях
и параметрах, используемых для расчета дисконтированной
выручки участника конкурса, а также согласования органом
регулирования метода регулирования тарифов и значений
долгосрочных параметров регулирования, включаемых
в конкурсную документацию
89. Орган регулирования представляет организатору конкурса на право заключения концессионного соглашения в отношении объектов теплоснабжения, находящихся в государственной или муниципальной собственности, или договора аренды указанных объектов (далее - конкурс) сведения о ценах, значениях и параметрах, используемых организатором конкурса для расчета дисконтированной выручки участника конкурса, а также осуществляет согласование метода регулирования тарифов и значений долгосрочных параметров регулирования, не являющихся критериями конкурса, для включения в конкурсную документацию на основании заявления о подготовке конкурсной документации, представленного организатором конкурса.
90. Заявление о подготовке конкурсной документации с прилагаемыми к нему документами и материалами составляется в произвольной форме и представляется в орган регулирования в письменной форме непосредственно или почтовым отправлением либо в электронной форме в виде электронного документа.
91. В заявлении о подготовке конкурсной документации должна содержаться следующая информация:
а) наименование органа (организации), направляющего запрос;
б) вид проводимого конкурса (на право заключения концессионного соглашения в отношении объектов теплоснабжения, находящихся в государственной или муниципальной собственности, или на право заключения договора аренды указанных объектов);
в) сведения о составе имущества, в отношении которого проводится конкурс;
г) наименование и реквизиты организации, осуществлявшей эксплуатацию имущества, указанного в подпункте "в" настоящего пункта, в случае если организация осуществляла эксплуатацию этого имущества в какой-либо период в течение последних 3 лет;
д) предусмотренные конкурсной документацией дата начала и срок действия концессионного соглашения в отношении объектов теплоснабжения, находящихся в государственной или муниципальной собственности, или договора аренды указанных объектов;
е) выбранный организатором конкурса метод регулирования тарифов и предложение о его согласовании;
ж) предлагаемые организатором конкурса значения долгосрочных параметров регулирования, предусмотренных Основами ценообразования для предложенного организатором конкурса метода регулирования тарифов, не установленных в качестве критериев конкурса, и предложение об их согласовании;
92. В случае отсутствия в заявлении о подготовке конкурсной документации какой-либо информации, предусмотренной пунктом 91 настоящих Правил, орган регулирования запрашивает у организатора конкурса недостающие сведения, которые должны быть представлены в срок, не превышающий 5 дней. Если недостающие сведения не были представлены в установленный срок, орган регулирования возвращает заявление о подготовке конкурсной документации организатору конкурса.
93. Ответ на заявление о подготовке конкурсной документации дается органом регулирования не позднее чем через 15 рабочих дней со дня его поступления. Ответ на заявление о подготовке конкурсной документации должен содержать сведения о ценах, значениях и параметрах, предусмотренных подпунктом "з" пункта 91 настоящих Правил, и согласование значений долгосрочных параметров регулирования тарифов, не установленных в качестве критериев конкурса, предложенных в заявлении организатора конкурса, или отказ в таком согласовании, а также согласование метода регулирования тарифов, предложенного в заявлении о подготовке конкурсной документации, или отказ в таком согласовании.
94. В случае если органом регулирования отказано в согласовании значений долгосрочных параметров регулирования, не установленных в качестве критериев конкурса, предложенных в заявлении о подготовке конкурсной документации, или отказано в согласовании метода регулирования тарифов, предложенного в заявлении о подготовке конкурсной документации, в ответе органа регулирования указываются необходимый метод регулирования тарифов и предельные значения таких долгосрочных параметров регулирования.
95. Срок действия предельных значений долгосрочных параметров регулирования, указанных в пункте 94 настоящих Правил, в течение которого орган регулирования обязан согласовать значения долгосрочных параметров регулирования, если они находятся в рамках указанных предельных значений долгосрочных параметров регулирования, составляет не менее 3 месяцев и не более 6 месяцев.
96. В случае отказа в согласовании значений долгосрочных параметров регулирования тарифов, не установленных в качестве критериев конкурса, или метода регулирования тарифов, предложенных в заявлении о подготовке конкурсной документации, организатор конкурса вправе повторно подать заявление о подготовке конкурсной документации с доработанными документами и материалами в соответствии с положениями пункта 91 настоящих Правил. При рассмотрении повторного заявления о подготовке конкурсной документации с доработанными документами и материалами орган регулирования согласовывает долгосрочные параметры регулирования в случае, если они находятся в рамках предельных значений параметров, содержащихся в ответе органа регулирования на первичное заявление о подготовке конкурсной документации, согласовывает метод регулирования тарифов в случае, если он соответствует методу регулирования тарифов, содержащемуся в ответе органа регулирования на первичное заявление о подготовке конкурсной документации. Орган регулирования обязан представить ответ организатору конкурса на его повторное заявление в течение 5 дней.
X. Порядок представления органом регулирования
предварительного согласия на изменение значений
долгосрочных параметров регулирования
97. Орган регулирования представляет предварительное согласие на изменение значений долгосрочных параметров регулирования, установленных в качестве условий концессионного соглашения, заключенного в отношении объектов теплоснабжения, находящихся в государственной или муниципальной собственности, или отказ в таком согласии на основании заявления об изменении значений долгосрочных параметров регулирования.
98. Заявление об изменении долгосрочных параметров регулирования составляется в произвольной форме и представляется в орган регулирования в письменной форме непосредственно или почтовым отправлением либо в электронной форме в виде электронного документа.
Заявление об изменении долгосрочных параметров регулирования подается одной из сторон концессионного соглашения в отношении объектов теплоснабжения, находящихся в государственной или муниципальной собственности, либо уполномоченным лицом одной из сторон концессионного соглашения в отношении объектов теплоснабжения, находящихся в государственной или муниципальной собственности (далее - лицо, подавшее заявление об изменении долгосрочных параметров регулирования), и подписывается лицом, подавшим заявление об изменении долгосрочных параметров регулирования.
99. К заявлению об изменении долгосрочных параметров регулирования прилагаются следующие документы и материалы:
а) концессионное соглашение, заключенное в отношении объектов теплоснабжения, либо заверенная в установленном порядке его копия;
б) документ, подтверждающий согласие сторон концессионного соглашения, заключенного в отношении объектов теплоснабжения, на изменение значений долгосрочных параметров регулирования, установленных в качестве условий заключенного концессионного соглашения, с указанием новых значений долгосрочных параметров регулирования;
в) документ, подтверждающий полномочия лица, подавшего заявление об изменении долгосрочных параметров регулирования, на подачу заявления об изменении долгосрочных параметров регулирования и прилагаемых к нему документов и материалов.
100. При получении заявления об изменении долгосрочных параметров регулирования и прилагаемых к нему документов и материалов орган регулирования проверяет его на соответствие положениям пункта 99 настоящих Правил.
101. Орган регулирования в течение 5 календарных дней регистрирует заявление об изменении долгосрочных параметров регулирования и прилагаемые к нему документы и материалы в случае их соответствия положениям пункта 99 настоящих Правил или возвращает лицу, подавшему заявление об изменении долгосрочных параметров регулирования, с указанием причин отказа.
102. Лицо, подавшее заявление об изменении долгосрочных параметров регулирования, вправе повторно представить в орган регулирования заявление об изменении долгосрочных параметров регулирования с доработанными документами и материалами, соответствующее положениям пункта 99 настоящих Правил.
103. В случае соответствия заявления об изменении долгосрочных параметров регулирования и прилагаемых к нему документов и материалов положениям пункта 99 настоящих Правил орган регулирования рассматривает его в течение не более 15 календарных дней со дня регистрации.
104. Орган регулирования дает предварительное согласие на изменение долгосрочных параметров регулирования при наличии:
а) копии решения суда или копии предписания федерального органа исполнительной власти в области государственного регулирования тарифов, заверенных в установленном порядке, с указанием размеров изменения долгосрочных параметров регулирования. При этом предлагаемые в заявлении об изменении долгосрочных параметров регулирования значения долгосрочных параметров регулирования должны соответствовать значениям долгосрочных параметров регулирования, определенным в соответствии с указанным решением суда или предписанием федерального органа исполнительной власти в области государственного регулирования тарифов;
б) заверенной в установленном порядке копии акта технического обследования объектов теплоснабжения, являющихся объектами концессионного соглашения в отношении объектов теплоснабжения, проведенного в первый долгосрочный период регулирования с даты заключения концессионного соглашения, с указанием информации, подтверждающей, что фактические значения показателей энергосбережения и энергетической эффективности, установленных в качестве долгосрочных параметров регулирования, выше соответствующих фактических значений показателей потерь и удельного потребления энергетических ресурсов на единицу объема полезного отпуска тепловой энергии (мощности) и (или) теплоносителя, указанных в конкурсной документации. При этом предлагаемые в заявлении об изменении долгосрочных параметров регулирования значения показателей энергосбережения и энергетической эффективности должны быть не выше фактических значений показателей энергосбережения и энергетической эффективности, определенных техническим обследованием;
в) заверенной в установленном порядке копии инвестиционной программы концессионера. При этом сумма амортизации и прибыли, рассчитанная на период реализации инвестиционной программы исходя из нормативного уровня прибыли, указанного в заявлении об изменении долгосрочных параметров регулирования, не должна превышать сумму расходов инвестиционной программы (на период ее реализации), финансируемых за счет средств концессионера.
105. В случаях, не отвечающих положениям пункта 104 настоящих Правил, орган регулирования принимает решение об отказе в согласовании изменения значений долгосрочных параметров регулирования.
106. Решение органа регулирования о согласовании изменения значений долгосрочных параметров регулирования, установленных концессионным соглашением, заключенным в отношении объектов теплоснабжения, или об отказе в таком согласовании направляется лицу, подавшему заявление об изменении долгосрочных параметров регулирования, не позднее чем через 5 рабочих дней со дня принятия такого решения, а также размещается на официальном сайте органа регулирования в информационно-телекоммуникационной сети "Интернет".";
в) в
Правилах установления долгосрочных параметров регулирования деятельности организаций в отнесенной законодательством Российской Федерации к сферам деятельности субъектов естественных монополий сфере теплоснабжения и (или) цен (тарифов) в сфере теплоснабжения, которые подлежат регулированию в соответствии с перечнем, определенным статьей 8 Федерального закона "О теплоснабжении", утвержденных указанным постановлением:
"При установлении базового уровня операционных расходов регулируемой организации учитываются расходы, связанные с обеспечением достижения плановых значений показателей надежности и энергетической эффективности объектов теплоснабжения, за исключением расходов на указанные цели, предусмотренных утвержденной в установленном порядке инвестиционной программой регулируемой организации.";
"12. В случае если регулируемая организация владеет объектами теплоснабжения, находящимися в государственной или муниципальной собственности, на основании концессионного соглашения или договора аренды, орган регулирования при расчете тарифов применяет долгосрочные параметры регулирования деятельности концессионера или арендатора, установленные концессионным соглашением или договором аренды в соответствии с законодательством Российской Федерации о концессионных соглашениях и Федеральным
законом "О теплоснабжении".".
2. В
постановлении Правительства Российской Федерации от 13 мая 2013 г. N 406 "О государственном регулировании тарифов в сфере водоснабжения и водоотведения" (Собрание законодательства Российской Федерации, 2013, N 20, ст. 2500; N 32, ст. 4306; 2014, N 2, ст. 82):
", за исключением случая, предусмотренного пунктом 2(1) настоящего постановления";
дополнить пунктом 2(1) следующего содержания:
"2(1). Положения подпункта "б" пункта 2 настоящего постановления не применяются в отношении регулируемых организаций, владеющих централизованными системами горячего водоснабжения, холодного водоснабжения и (или) водоотведения, отдельными объектами таких систем, находящимися в государственной или муниципальной собственности, на основании концессионного соглашения или договора аренды. Выбор метода регулирования тарифов в отношении таких организаций осуществляется в соответствии с Основами ценообразования в сфере водоснабжения и водоотведения, утвержденными настоящим постановлением.";
б) в
Основах ценообразования в сфере водоснабжения и водоотведения, утвержденных указанным постановлением:
"индекс эффективности операционных расходов" - показатель динамики изменения расходов, связанных с поставками соответствующих товаров и услуг, определяющий снижение операционных расходов;";
"необходимая валовая выручка" - экономически обоснованный объем финансовых средств, необходимый в течение очередного периода регулирования регулируемой организации для осуществления регулируемого вида деятельности и обеспечения достижения плановых значений показателей надежности, качества и энергетической эффективности объектов централизованных систем водоснабжения и (или) водоотведения, установленных на соответствующий период регулирования в соответствии с нормативными правовыми актами Российской Федерации в сфере водоснабжения и водоотведения;";
"24. Необходимая валовая выручка регулируемых организаций определяется исходя из экономически обоснованных расходов, необходимых им для осуществления регулируемого вида деятельности в течение периода регулирования и обеспечения достижения плановых значений показателей надежности, качества и энергетической эффективности объектов централизованных систем водоснабжения и (или) водоотведения, установленных на соответствующий период регулирования в соответствии с нормативными правовыми актами Российской Федерации в сфере водоснабжения и водоотведения (далее - показатели надежности, качества и энергетической эффективности объектов централизованных систем водоснабжения и (или) водоотведения).";
в
пункте 26 слова "целевых показателей деятельности" заменить словами "плановых значений показателей надежности, качества и энергетической эффективности объектов централизованных систем водоснабжения и (или) водоотведения";
"27. При расчете необходимой валовой выручки регулируемой организации учитываются расходы на возмещение потерь воды.
В случае если регулируемая организация владеет централизованными системами горячего водоснабжения, холодного водоснабжения и (или) водоотведения, отдельными объектами таких систем, находящимися в государственной или муниципальной собственности, на основании концессионного соглашения или договора аренды и в составе показателей энергосбережения и энергетической эффективности, установленных в качестве критериев конкурса на право заключения концессионного соглашения или договора аренды, предусмотрен уровень потерь воды, то при определении расходов на возмещение потерь воды применяется уровень потерь воды, указанный в конкурсном предложении концессионера (арендатора) на соответствующий год действия концессионного соглашения или договора аренды.
В иных случаях уровень потерь воды, применяемый при определении расходов на возмещение потерь воды, определяется в соответствии с показателями надежности, качества и энергетической эффективности объектов централизованных систем водоснабжения и (или) водоотведения.";
"31. Выбор метода регулирования тарифов осуществляется органом регулирования тарифов на основании критериев, установленных пунктами 37, 53 и 55 настоящего документа, за исключением случая, предусмотренного абзацем вторым настоящего пункта.
Метод регулирования тарифов в отношении регулируемых организаций, владеющих централизованными системами горячего водоснабжения, холодного водоснабжения и (или) водоотведения, отдельными объектами таких систем, находящимися в государственной или муниципальной собственности, на основании концессионного соглашения или договора аренды, должен соответствовать методу регулирования, предусмотренному конкурсной документацией и согласованному органом регулирования тарифов в порядке, установленном Правилами регулирования тарифов в сфере водоснабжения и водоотведения, утвержденными постановлением Правительства Российской Федерации от 13 мая 2013 г. N 406.";
дополнить пунктом 31(1) следующего содержания:
"31(1). Для регулируемых организаций, владеющих централизованными системами горячего водоснабжения, холодного водоснабжения и (или) водоотведения, отдельными объектами таких систем, находящимися в государственной или муниципальной собственности, на основании концессионного соглашения или договора аренды, долгосрочные тарифы устанавливаются на основании значений долгосрочных параметров регулирования тарифов, предусмотренных конкурсной документацией и согласованных органом регулирования в порядке, установленном Правилами регулирования тарифов в сфере водоснабжения и водоотведения, утвержденными постановлением Правительства Российской Федерации от 13 мая 2013 г. N 406, значений долгосрочных параметров регулирования тарифов, указанных в конкурсном предложении концессионера (арендатора). В случае если стороны концессионного соглашения договорились об изменении долгосрочных параметров регулирования деятельности концессионера, долгосрочные тарифы устанавливаются с применением новых значений долгосрочных параметров регулирования деятельности концессионера при условии, что эти значения были предварительно согласованы органом регулирования тарифов в порядке, установленном указанными Правилами регулирования тарифов в сфере водоснабжения и водоотведения.";
"36. Тарифы в сфере водоснабжения и водоотведения рассчитываются в соответствии с методическими указаниями с учетом степени достижения плановых значений показателей надежности и качества объектов централизованных систем водоснабжения и водоотведения.";
подпункт "б" пункта 37 дополнить словами ", за исключением концессионных соглашений или договоров аренды централизованных систем горячего водоснабжения, холодного водоснабжения и (или) водоотведения, отдельных объектов таких систем, находящихся в государственной или муниципальной собственности, заключенных начиная с 1 января 2014 г. в отношении указанных объектов";
пункт 56 дополнить предложением следующего содержания: "В случае если регулируемая организация владеет централизованными системами горячего водоснабжения, холодного водоснабжения и (или) водоотведения, отдельными объектами таких систем, находящимися в государственной или муниципальной собственности, на основании концессионного соглашения или договора аренды, то долгосрочные параметры регулирования тарифов такой регулируемой организации определяются в соответствии с пунктом 31(1) настоящего документа.";
"е) первоначальный размер инвестированного капитала;
ж) показатели энергосбережения и энергетической эффективности (уровень потерь воды, удельный расход электрической энергии).";
"Уровень потерь воды определяется в соответствии с пунктом 27 настоящего документа.
Удельный расход электрической энергии определяется в соответствии с показателями надежности, качества и энергетической эффективности объектов централизованных систем водоснабжения и (или) водоотведения.
В случае если регулируемая организация владеет централизованными системами горячего водоснабжения, холодного водоснабжения и (или) водоотведения, отдельными объектами таких систем, находящимися в государственной или муниципальной собственности, на основании концессионного соглашения или договора аренды и в составе показателей энергосбережения и энергетической эффективности, установленных в качестве критериев конкурса на право заключения концессионного соглашения или договора аренды, предусмотрен удельный расход электрической энергии, то при установлении долгосрочных тарифов применяется удельный расход электрической энергии, указанный в конкурсном предложении концессионера (арендатора) на соответствующий год действия концессионного соглашения или договора аренды.";
"д) степень исполнения регулируемой организацией обязательств по созданию и (или) реконструкции объектов концессионного соглашения, по эксплуатации объектов по договору аренды централизованных систем горячего водоснабжения, холодного водоснабжения и (или) водоотведения, отдельных объектов таких систем, находящихся в государственной или муниципальной собственности, по реализации инвестиционной программы, производственной программы при недостижении регулируемой организацией утвержденных плановых значений показателей надежности и качества объектов централизованных систем водоснабжения и (или) водоотведения;";
"г) показатели энергосбережения и энергетической эффективности (уровень потерь воды, удельный расход электрической энергии).";
дополнить пунктом 79(1) следующего содержания:
"79(1). Долгосрочные параметры регулирования тарифов, за исключением параметров нормативного уровня прибыли, определяются в соответствии с разделом VIII настоящего документа.";
дополнить пунктом 92(1) следующего содержания:
"92(1). Уровень потерь тепловой энергии, принятый в расчете стоимости потерь тепловой энергии, указанной в подпункте "в" пункта 92 настоящего документа, определяется исходя из уровня нормативных технологических потерь или уровня потерь тепловой энергии, установленного концессионным соглашением в отношении централизованных систем горячего водоснабжения, холодного водоснабжения и (или) водоотведения, отдельных объектов таких систем, находящихся в государственной или муниципальной собственности, или договором аренды указанных систем и объектов, но не выше уровня нормативных технологических потерь.";
в) в
Правилах регулирования тарифов в сфере водоснабжения и водоотведения, утвержденных указанным постановлением:
пункт 24 дополнить абзацем следующего содержания:
"Согласование решения органа регулирования о выборе метода обеспечения доходности инвестированного капитала или об отказе от применения этого метода с федеральным органом исполнительной власти в области государственного регулирования тарифов в случае, предусмотренном пунктом 31(1) Основ ценообразования, не требуется.";
"к) фактические и плановые значения показателей надежности, качества и энергетической эффективности объектов централизованных систем водоснабжения и (или) водоотведения, принятые в расчет при установлении тарифов.";
дополнить разделами VI - VIII следующего содержания:
"VI. Порядок согласования органами регулирования тарифов
перехода организации от регулирования тарифов с применением
правил регулирования тарифов, действующих на день
заключения концессионного соглашения или договора аренды,
к регулированию тарифов с применением правил регулирования
тарифов, действующих на день установления (изменения,
корректировки) цен (тарифов)
48. Согласование органом регулирования тарифов перехода организации от регулирования тарифов с применением правил регулирования тарифов, действовавших на день заключения концессионного соглашения в отношении централизованных систем горячего водоснабжения, холодного водоснабжения и (или) водоотведения, отдельных объектов таких систем, находящихся в государственной или муниципальной собственности, или договора аренды указанных систем и объектов, к регулированию тарифов с применением правил регулирования тарифов, действующих на день установления (изменения, корректировки) цен (тарифов), осуществляется на основании заявления о таком переходе (далее - заявление о переходе).
49. Заявление о переходе составляется в произвольной форме и представляется в орган регулирования тарифов в письменной форме непосредственно или почтовым отправлением либо в электронной форме в виде электронного документа.
Заявление о переходе подается одной из сторон концессионного соглашения в отношении централизованных систем горячего водоснабжения, холодного водоснабжения и (или) водоотведения, отдельных объектов таких систем, находящихся в государственной или муниципальной собственности, или одной из сторон договора аренды указанных систем и объектов либо уполномоченным лицом одной из сторон концессионного соглашения в отношении объектов теплоснабжения, находящихся в государственной или муниципальной собственности, или договора аренды указанных объектов (далее - лицо, подавшее заявление о переходе) и подписывается лицом, подавшим заявление о переходе.
50. К заявлению о переходе прилагаются следующие документы и материалы:
а) концессионное соглашение в отношении централизованных систем горячего водоснабжения, холодного водоснабжения и (или) водоотведения, отдельных объектов таких систем, находящихся в государственной или муниципальной собственности, или договор аренды указанных систем и объектов либо заверенная в установленном порядке копия одного из указанных документов;
б) документ, подтверждающий согласие сторон концессионного соглашения в отношении централизованных систем горячего водоснабжения, холодного водоснабжения и (или) водоотведения, отдельных объектов таких систем, находящихся в государственной или муниципальной собственности, или договора аренды указанных систем и объектов на переход к регулированию тарифов с применением правил регулирования тарифов, действующих на день установления (изменения, корректировки) цен (тарифов);
в) документ, подтверждающий полномочия лица, подавшего заявление о переходе, на подачу заявления о переходе и прилагаемых к нему документов и материалов;
г) расчет необходимой валовой выручки концессионера или арендатора на каждый год начиная с года, следующего за годом, в котором было направлено заявление о переходе, до конца действия концессионного соглашения в отношении централизованных систем горячего водоснабжения, холодного водоснабжения и (или) водоотведения, отдельных объектов таких систем, находящихся в государственной или муниципальной собственности, или договора аренды указанных систем и объектов, осуществленный по правилам, действовавшим на день заключения концессионного соглашения или договора аренды;
д) расчет необходимой валовой выручки концессионера или арендатора на каждый год начиная с года, следующего за годом, в котором было направлено заявление о переходе, до конца действия концессионного соглашения в отношении централизованных систем горячего водоснабжения, холодного водоснабжения и (или) водоотведения, отдельных объектов таких систем, находящихся в государственной или муниципальной собственности, или договора аренды указанных систем и объектов, осуществленный по правилам, действующим на день подачи заявления о переходе.
51. При расчете необходимой валовой выручки в соответствии с подпунктами "г" и "д" пункта 50 настоящих Правил используются цены, значения и параметры, установленные концессионным соглашением в отношении централизованных систем горячего водоснабжения, холодного водоснабжения и (или) водоотведения, отдельных объектов таких систем, находящихся в государственной или муниципальной собственности, или договором аренды указанных систем и объектов.
52. При получении заявления о переходе и прилагаемых к нему документов и материалов орган регулирования тарифов проверяет их на соответствие положениям пункта 50 настоящих Правил, а также проверяет полномочия лица, подавшего заявление о переходе.
53. Орган регулирования тарифов в течение 5 календарных дней регистрирует заявления о переходе и прилагаемые к нему документы и материалы в случае их соответствия положениям пункта 50 настоящих Правил или возвращает лицу, подавшему заявление о переходе, с указанием причин отказа.
Лицо, подавшее заявление о переходе, вправе повторно представить в орган регулирования тарифов заявление о переходе с прилагаемыми к нему доработанными документами и материалами, соответствующее положениям пункта 50 настоящих Правил.
54. В случае соответствия заявления о переходе и прилагаемых к нему документов и материалов положениям пункта 50 настоящих Правил орган регулирования тарифов рассматривает его в течение не более 15 календарных дней со дня регистрации.
55. Орган регулирования тарифов рассматривает зарегистрированное заявление о переходе и прилагаемые к нему документы и материалы на предмет правильности расчета необходимой валовой выручки, предусмотренной подпунктом "г" пункта 50 настоящих Правил, осуществленного в соответствии с правилами регулирования тарифов, действовавшими на день заключения концессионного соглашения в отношении централизованных систем горячего водоснабжения, холодного водоснабжения и (или) водоотведения, отдельных объектов таких систем, находящихся в государственной или муниципальной собственности, или договора аренды указанных систем и объектов, и на предмет правильности расчета необходимой валовой выручки, предусмотренной подпунктом "д" пункта 50 настоящих Правил, осуществленного в соответствии с правилами регулирования тарифов, действующими на день подачи заявления о переходе.
56. В случае если расчет необходимой валовой выручки, предусмотренной подпунктом "г" пункта 50 настоящих Правил, не соответствует правилам регулирования тарифов, действующим на день заключения концессионного соглашения в отношении централизованных систем горячего водоснабжения, холодного водоснабжения и (или) водоотведения, отдельных объектов таких систем, находящихся в государственной или муниципальной собственности, или договора аренды указанных систем и объектов, или расчет необходимой валовой выручки, предусмотренной подпунктом "д" пункта 50 настоящих Правил, не соответствует правилам регулирования тарифов, действующим на день подачи заявления о переходе, то заявление о переходе и прилагаемые к нему документы и материалы возвращаются лицу, подавшему заявление о переходе, с указанием причин отказа в его рассмотрении. Лицо, подавшее заявление о переходе, вправе повторно направить в орган регулирования тарифов заявление о переходе с доработанными документами и материалами.
57. В случае если расчет необходимой валовой выручки, предусмотренной подпунктом "г" пункта 50 настоящих Правил, соответствует правилам регулирования тарифов, действующим на день заключения концессионного соглашения в отношении централизованных систем горячего водоснабжения, холодного водоснабжения и (или) водоотведения, отдельных объектов таких систем, находящихся в государственной или муниципальной собственности, или договора аренды указанных систем и объектов, и расчет необходимой валовой выручки, предусмотренной подпунктом "д" пункта 50 настоящих Правил, соответствует правилам регулирования тарифов, действующим на день подачи заявления о переходе, то орган регулирования тарифов принимает решение о согласовании перехода к регулированию тарифов с применением правил регулирования тарифов, действующих на день установления (изменения, корректировки) цен (тарифов), при условии, что отношение суммарной необходимой валовой выручки концессионера или арендатора, предусмотренной подпунктом "д" пункта 50 настоящих Правил, к суммарной необходимой валовой выручке концессионера или арендатора, предусмотренной подпунктом "г" пункта 50 настоящих Правил, превышает 0,95, но не превышает значение показателя предельного (максимального) роста необходимой валовой выручки концессионера (арендатора), получаемой при осуществлении регулируемых видов деятельности, предусмотренное конкурсной документацией на год подачи заявления о переходе.
58. В случае если отношение суммарной необходимой валовой выручки концессионера или арендатора, предусмотренной подпунктом "д" пункта 50 настоящих Правил, к суммарной необходимой валовой выручке концессионера или арендатора, предусмотренной подпунктом "г" пункта 50 настоящих Правил, не соответствует условию, указанному в пункте 56 настоящих Правил, орган регулирования тарифов принимает решение об отказе в согласовании перехода к регулированию тарифов с применением правил регулирования тарифов, действующих на день установления (изменения, корректировки) цен (тарифов).
59. Решение органа регулирования тарифов о согласовании перехода к регулированию тарифов с применением правил регулирования тарифов, действующих на день установления (изменения, корректировки) цен (тарифов), или об отказе в таком согласовании направляется лицу, подавшему заявление о переходе, не позднее чем через 5 рабочих дней со дня принятия такого решения, а также размещается на официальном сайте органа регулирования тарифов в информационно-телекоммуникационной сети "Интернет".
VII. Порядок представления органом регулирования тарифов
организатору конкурса на право заключения концессионного
соглашения или договора аренды сведений о ценах, значениях
и параметрах, используемых для расчета дисконтированной
выручки участника конкурса, а также согласования органом
регулирования тарифов метода регулирования тарифов
и значений долгосрочных параметров регулирования
тарифов, включаемых в конкурсную документацию
60. Орган регулирования тарифов представляет организатору конкурса на право заключения концессионного соглашения в отношении централизованных систем горячего водоснабжения, холодного водоснабжения и (или) водоотведения, отдельных объектов таких систем, находящихся в государственной или муниципальной собственности, или договора аренды указанных систем и объектов (далее - конкурс) сведения о ценах, значениях и параметрах, используемых организатором конкурса для расчета дисконтированной выручки участника конкурса, а также осуществляет согласование метода регулирования тарифов и значений долгосрочных параметров регулирования тарифов, не являющихся критериями конкурса, для включения в конкурсную документацию на основании заявления о подготовке конкурсной документации, представленного организатором конкурса.
61. Заявление о подготовке конкурсной документации с прилагаемыми к нему документами и материалами составляется в произвольной форме и представляется в орган регулирования тарифов в письменной форме непосредственно или почтовым отправлением либо в электронной форме в виде электронного документа.
62. В заявлении о подготовке конкурсной документации содержится следующая информация:
а) наименование органа (организации), направляющего запрос;
б) вид проводимого конкурса (на право заключения концессионного соглашения в отношении централизованных систем горячего водоснабжения, холодного водоснабжения и (или) водоотведения, отдельных объектов таких систем, находящихся в государственной или муниципальной собственности, или на право заключения договора аренды указанных систем и объектов);
в) сведения о составе имущества, в отношении которого проводится конкурс;
г) наименование и реквизиты организации, осуществлявшей эксплуатацию имущества, указанного в подпункте "в" настоящего пункта, в случае если организация осуществляла эксплуатацию этого имущества в какой-либо период в течение последних 3 лет;
д) предусмотренные конкурсной документацией дата начала и срок действия концессионного соглашения в отношении централизованных систем горячего водоснабжения, холодного водоснабжения и (или) водоотведения, отдельных объектов таких систем, находящихся в государственной или муниципальной собственности, или договора аренды указанных систем и объектов;
е) выбранный организатором конкурса метод долгосрочного регулирования тарифов и предложение о его согласовании;
ж) предлагаемые организатором конкурса значения долгосрочных параметров регулирования тарифов, предусмотренных Основами ценообразования для предложенного организатором конкурса метода регулирования тарифов, не установленных в качестве критериев конкурса, и предложение об их согласовании;
з) запрос о представлении сведений о ценах, значениях и параметрах, подлежащих представлению органом регулирования тарифов организатору конкурса в соответствии с
пунктами 2 -
8 и
13 части 8 статьи 41.1 Федерального закона "О водоснабжении и водоотведении" и
пунктами 1,
4 -
7,
9 -
11 части 1.2 статьи 23 Федерального закона "О концессионных соглашениях".
63. В случае отсутствия в заявлении о подготовке конкурсной документации какой-либо информации, предусмотренной пунктом 62 настоящих Правил, орган регулирования тарифов запрашивает у организатора конкурса недостающие сведения, которые должны быть представлены в срок, не превышающий 5 дней. Если недостающие сведения не были представлены в установленный срок, орган регулирования тарифов возвращает заявление о подготовке конкурсной документации организатору конкурса.
64. Ответ на заявление о подготовке конкурсной документации дается органом регулирования тарифов не позднее чем через 15 рабочих дней со дня его поступления. Ответ на заявление о подготовке конкурсной документации должен содержать сведения о ценах, значениях и параметрах, указанных в подпункте "з" пункта 62 настоящих Правил, и согласование значений долгосрочных параметров регулирования тарифов, не установленных в качестве критериев конкурса, предложенных в заявлении организатора конкурса, или отказ в таком согласовании, а также согласование метода регулирования тарифов, предложенного в заявлении о подготовке конкурсной документации, или отказ в таком согласовании.
65. В случае если органом регулирования тарифов отказано в согласовании значений долгосрочных параметров регулирования тарифов, не установленных в качестве критериев конкурса, предложенных в заявлении о подготовке конкурсной документации, или отказано в согласовании метода регулирования тарифов, предложенного в заявлении о подготовке конкурсной документации, в ответе органа регулирования тарифов указываются необходимый метод регулирования тарифов и предельные значения таких долгосрочных параметров регулирования тарифов.
66. Срок действия предельных значений долгосрочных параметров регулирования тарифов, указанных в пункте 65 настоящих Правил, в течение которого орган регулирования тарифов обязан согласовать значения долгосрочных параметров регулирования тарифов, если они находятся в рамках указанных предельных значений долгосрочных параметров регулирования тарифов, составляет не менее 3 месяцев и не более 6 месяцев.
67. В случае отказа в согласовании значений долгосрочных параметров регулирования тарифов, не установленных в качестве критериев конкурса, или метода регулирования тарифов, предложенных в заявлении о подготовке конкурсной документации, организатор конкурса вправе повторно подать заявление о подготовке конкурсной документации с доработанными документами и материалами в соответствии с положениями пункта 62 настоящих Правил. При рассмотрении повторного заявления о подготовке конкурсной документации с доработанными документами и материалами орган регулирования тарифов согласовывает долгосрочные параметры регулирования тарифов в случае, если они находятся в рамках предельных значений параметров, содержащихся в ответе органа регулирования тарифов на первичное заявление о подготовке конкурсной документации, согласовывает метод регулирования тарифов в случае, если он соответствует методу регулирования тарифов, содержащемуся в ответе органа регулирования тарифов на первичное заявление о подготовке конкурсной документации. Орган регулирования тарифов обязан представить ответ организатору конкурса на его повторное заявление в течение 5 дней.
VIII. Порядок представления органом регулирования
тарифов предварительного согласия на изменение значений
долгосрочных параметров регулирования тарифов
68. Орган регулирования тарифов представляет предварительное согласие на изменение значений долгосрочных параметров регулирования тарифов, установленных в качестве условий концессионного соглашения, заключенного в отношении централизованных систем горячего водоснабжения, холодного водоснабжения и (или) водоотведения, отдельных объектов таких систем, или отказ в таком согласии на основании заявления об изменении значений долгосрочных параметров регулирования.
69. Заявление об изменении долгосрочных параметров регулирования тарифов составляется в произвольной форме и представляется в орган регулирования тарифов в письменной форме непосредственно или почтовым отправлением либо в электронной форме в виде электронного документа.
Заявление об изменении долгосрочных параметров регулирования тарифов подается одной из сторон концессионного соглашения, заключенного в отношении централизованных систем горячего водоснабжения, холодного водоснабжения и (или) водоотведения, отдельных объектов таких систем, либо уполномоченным лицом одной из сторон концессионного соглашения в отношении централизованных систем горячего водоснабжения, холодного водоснабжения и (или) водоотведения, отдельных объектов таких систем (далее - лицо, подавшее заявление об изменении долгосрочных параметров регулирования тарифов) и подписывается лицом, подавшим заявление об изменении долгосрочных параметров регулирования тарифов.
70. К заявлению об изменении долгосрочных параметров регулирования тарифов прилагаются следующие документы и материалы:
а) концессионное соглашение, заключенное в отношении централизованных систем горячего водоснабжения, холодного водоснабжения и (или) водоотведения, отдельных объектов таких систем, либо заверенная в установленном порядке его копия;
б) документ, подтверждающий согласие сторон концессионного соглашения, заключенного в отношении централизованных систем горячего водоснабжения, холодного водоснабжения и (или) водоотведения, отдельных объектов таких систем, на изменение значений долгосрочных параметров регулирования тарифов, установленных в качестве условий концессионного соглашения, с указанием новых значений долгосрочных параметров регулирования тарифов;
в) документ, подтверждающий полномочия лица, подавшего заявление об изменении долгосрочных параметров регулирования тарифов, на подачу заявления об изменении долгосрочных параметров регулирования тарифов и прилагаемых к нему документов и материалов.
71. При получении заявления об изменении долгосрочных параметров регулирования тарифов и прилагаемых к нему документов и материалов орган регулирования тарифов проверяет его на соответствие положениям пункта 70 настоящих Правил.
72. Орган регулирования тарифов в течение 5 календарных дней регистрирует заявление об изменении долгосрочных параметров регулирования тарифов и прилагаемые к нему документы и материалы в случае их соответствия положениям пункта 70 настоящих Правил или возвращает лицу, подавшему заявление об изменении долгосрочных параметров регулирования тарифов, с указанием причин отказа.
73. Лицо, подавшее заявление об изменении долгосрочных параметров регулирования тарифов, вправе повторно представить в орган регулирования тарифов заявление об изменении долгосрочных параметров регулирования тарифов с доработанными документами и материалами, соответствующее положениям пункта 70 настоящих Правил.
74. В случае соответствия заявления об изменении долгосрочных параметров регулирования тарифов и прилагаемых к нему документов и материалов положениям пункта 70 настоящих Правил орган регулирования тарифов рассматривает его в течение не более 15 календарных дней со дня регистрации.
75. Орган регулирования тарифов дает предварительное согласие на изменение долгосрочных параметров регулирования тарифов при наличии:
а) копии решения суда или копии предписания федерального органа исполнительной власти в области государственного регулирования тарифов, заверенных в установленном порядке, с указанием размеров изменения долгосрочных параметров регулирования тарифов. При этом предлагаемые в заявлении об изменении долгосрочных параметров регулирования тарифов значения долгосрочных параметров регулирования тарифов должны соответствовать значениям долгосрочных параметров регулирования, определенным в соответствии с указанным решением суда или предписанием федерального органа исполнительной власти в области государственного регулирования тарифов;
б) заверенной в установленном порядке копии акта технического обследования объектов водоснабжения и водоотведения, являющихся объектами концессионного соглашения в отношении централизованных систем горячего водоснабжения, холодного водоснабжения и (или) водоотведения, отдельных объектов таких систем, проведенного в первый долгосрочный период регулирования с даты заключения концессионного соглашения с указанием информации, подтверждающей, что фактические значения показателей энергосбережения и энергетической эффективности, установленных в качестве долгосрочных параметров регулирования тарифов, выше соответствующих фактических значений показателей потерь и удельного потребления энергетических ресурсов на единицу объема отпуска воды или объема принятых сточных вод, указанных в конкурсной документации, при этом предлагаемые в заявлении об изменении долгосрочных параметров регулирования тарифов значения показателей энергосбережения и энергетической эффективности должны быть не выше фактических значений показателей энергосбережения и энергетической эффективности, определенных техническим обследованием;
в) заверенной в установленном порядке копии инвестиционной программы концессионера. При этом сумма амортизации и прибыли, рассчитанная на период реализации инвестиционной программы исходя из нормативного уровня прибыли, указанного в заявлении об изменении долгосрочных параметров регулирования тарифов, не должна превышать сумму расходов инвестиционной программы (на период ее реализации), финансируемых за счет средств концессионера.
76. В случаях, не отвечающих положениям пункта 75 настоящих Правил, орган регулирования тарифов принимает решение об отказе в согласовании изменения значений долгосрочных параметров регулирования тарифов.
77. Решение органа регулирования тарифов о согласовании изменения значений долгосрочных параметров регулирования тарифов, установленных концессионным соглашением в отношении централизованных систем горячего водоснабжения, холодного водоснабжения и (или) водоотведения, отдельных объектов таких систем, или об отказе в таком согласовании направляется лицу, подавшему заявление об изменении долгосрочных параметров регулирования тарифов, не позднее чем через 5 рабочих дней со дня принятия такого решения, а также размещается на официальном сайте органа регулирования в информационно-телекоммуникационной сети "Интернет".".
3. Признать утратившим силу
подпункт "б" пункта 50 изменений, которые вносятся в акты Правительства Российской Федерации, утвержденных постановлением Правительства Российской Федерации от 26 марта 2014 г. N 230 "О внесении изменений в некоторые акты Правительства Российской Федерации" (Собрание законодательства Российской Федерации, 2014, N 14, ст. 1627).