Главная // Актуальные документы
СПРАВКА
Источник публикации
В данном виде документ опубликован не был.
Первоначальный текст документа опубликован в изданиях
Официальный интернет-портал правовой информации http://pravo.gov.ru, 02.07.2021,
"Собрание законодательства РФ", 12.07.2021, N 28 (часть I), ст. 5526.
Информацию о публикации документов, создающих данную редакцию, см. в справке к этим документам.
Примечание к документу
Начало действия редакции - 01.09.2025.
Изменения, внесенные Постановлением Правительства РФ от 17.05.2025 N 669, вступили в силу с 1 сентября 2025 года.
Название документа
Постановление Правительства РФ от 30.06.2021 N 1096
(ред. от 27.08.2025)
"О федеральном государственном экологическом контроле (надзоре)"
(вместе с "Положением о федеральном государственном экологическом контроле (надзоре)")
(с изм. и доп., вступ. в силу с 01.09.2025)

Постановление Правительства РФ от 30.06.2021 N 1096
(ред. от 27.08.2025)
"О федеральном государственном экологическом контроле (надзоре)"
(вместе с "Положением о федеральном государственном экологическом контроле (надзоре)")
(с изм. и доп., вступ. в силу с 01.09.2025)


Содержание


ПРАВИТЕЛЬСТВО РОССИЙСКОЙ ФЕДЕРАЦИИ
ПОСТАНОВЛЕНИЕ
от 30 июня 2021 г. N 1096
О ФЕДЕРАЛЬНОМ ГОСУДАРСТВЕННОМ ЭКОЛОГИЧЕСКОМ
КОНТРОЛЕ (НАДЗОРЕ)
Список изменяющих документов
(в ред. Постановлений Правительства РФ от 26.02.2022 N 240,
от 23.12.2023 N 2274, от 28.02.2024 N 226, от 11.09.2024 N 1236,
от 17.05.2025 N 669, от 27.08.2025 N 1290)
Правительство Российской Федерации постановляет:
1. Утвердить прилагаемое Положение о федеральном государственном экологическом контроле (надзоре).
2. Установить, что реализация полномочий, предусмотренных настоящим постановлением, осуществляется Федеральной службой по надзору в сфере природопользования в пределах установленной Правительством Российской Федерации предельной численности работников центрального аппарата и территориальных органов Федеральной службы по надзору в сфере природопользования, а также бюджетных ассигнований, предусмотренных Федеральной службе по надзору в сфере природопользования на руководство и управление в сфере установленных функций.
2(1). Реализация полномочий по осуществлению федерального государственного экологического контроля (надзора) в отношении проведения эксперимента по квотированию выбросов загрязняющих веществ в атмосферный воздух, предусмотренных настоящим постановлением, осуществляется Федеральной службой по надзору в сфере природопользования в течение срока проведения такого эксперимента, установленного в соответствии с законодательством Российской Федерации, регулирующим проведение эксперимента по квотированию выбросов загрязняющих веществ в атмосферный воздух.
(п. 2(1) введен Постановлением Правительства РФ от 23.12.2023 N 2274)
3. Включенные в план проведения плановых проверок на 2021 год проверки в рамках федерального государственного экологического надзора в части соблюдения обязательных требований в области охраны окружающей среды, дата начала которых наступает позже 30 июня 2021 г., подлежат проведению в рамках федерального государственного экологического контроля (надзора) в соответствии с Положением, утвержденным настоящим постановлением.
4. Признать утратившими силу:
абзацы третий и четвертый пункта 1 постановления Правительства Российской Федерации от 5 июня 2013 г. N 476 "О вопросах государственного контроля (надзора) и признании утратившими силу некоторых актов Правительства Российской Федерации" (Собрание законодательства Российской Федерации, 2013, N 24, ст. 2999);
абзац третий пункта 1 постановления Правительства Российской Федерации от 24 марта 2014 г. N 228 "О мерах государственного регулирования потребления и обращения веществ, разрушающих озоновый слой" (Собрание законодательства Российской Федерации, 2014, N 13, ст. 1484);
постановление Правительства Российской Федерации от 8 мая 2014 г. N 426 "О федеральном государственном экологическом надзоре" (Собрание законодательства Российской Федерации, 2014, N 20, ст. 2535);
постановление Правительства Российской Федерации от 28 августа 2015 г. N 903 "Об утверждении критериев определения объектов, подлежащих федеральному государственному экологическому надзору" (Собрание законодательства Российской Федерации, 2015, N 36, ст. 5043);
постановление Правительства Российской Федерации от 28 октября 2016 г. N 1103 "О внесении изменений в пункт 6 Положения о федеральном государственном экологическом надзоре" (Собрание законодательства Российской Федерации, 2016, N 45, ст. 6267);
постановление Правительства Российской Федерации от 27 июля 2017 г. N 886 "О внесении изменений в некоторые акты Правительства Российской Федерации" (Собрание законодательства Российской Федерации, 2017, N 32, ст. 5070);
пункт 1 изменений, которые вносятся в акты Правительства Российской Федерации, утвержденных постановлением Правительства Российской Федерации от 21 марта 2019 г. N 289 "О внесении изменений в некоторые акты Правительства Российской Федерации" (Собрание законодательства Российской Федерации, 2019, N 14, ст. 1515).
5. Настоящее постановление вступает в силу со дня его официального опубликования.
Председатель Правительства
Российской Федерации
М.МИШУСТИН
Утверждено
постановлением Правительства
Российской Федерации
от 30 июня 2021 г. N 1096
ПОЛОЖЕНИЕ
О ФЕДЕРАЛЬНОМ ГОСУДАРСТВЕННОМ ЭКОЛОГИЧЕСКОМ
КОНТРОЛЕ (НАДЗОРЕ)
Список изменяющих документов
(в ред. Постановлений Правительства РФ от 26.02.2022 N 240,
от 23.12.2023 N 2274, от 28.02.2024 N 226, от 11.09.2024 N 1236,
от 17.05.2025 N 669, от 27.08.2025 N 1290)
1. Настоящее Положение устанавливает порядок организации и осуществления федерального государственного экологического контроля (надзора), за исключением федерального государственного экологического контроля (надзора), осуществляемого Федеральной службой безопасности Российской Федерации, Федеральной службой охраны Российской Федерации на объектах, подведомственных Федеральной службе безопасности Российской Федерации, Федеральной службе охраны Российской Федерации (далее - государственный экологический контроль).
(в ред. Постановления Правительства РФ от 17.05.2025 N 669)
2. Предметом государственного экологического контроля является:
а) соблюдение обязательных требований в области охраны окружающей среды, включая требования, содержащиеся в разрешительных документах и установленные в соответствии с международными договорами Российской Федерации, Федеральным законом "Об охране окружающей среды", Федеральным законом "Об экологической экспертизе", Федеральным законом "О континентальном шельфе Российской Федерации", Федеральным законом "О безопасном обращении с пестицидами и агрохимикатами", Федеральным законом "Об отходах производства и потребления", Федеральным законом "Об охране атмосферного воздуха", Федеральным законом "О внутренних морских водах, территориальном море и прилежащей зоне Российской Федерации", Федеральным законом "Об исключительной экономической зоне Российской Федерации", Федеральным законом "Об охране озера Байкал", Градостроительным кодексом Российской Федерации, Водным кодексом Российской Федерации, Федеральным законом "О водоснабжении и водоотведении", Федеральным законом от 21 июля 2014 г. N 219-ФЗ "О внесении изменений в Федеральный закон "Об охране окружающей среды" и отдельные законодательные акты Российской Федерации", Федеральным законом "О проведении эксперимента по квотированию выбросов загрязняющих веществ и внесении изменений в отдельные законодательные акты Российской Федерации в части снижения загрязнения атмосферного воздуха" и принятыми в соответствии с ними иными нормативными правовыми актами Российской Федерации, а также лицензионных требований к деятельности по сбору, транспортированию, обработке, утилизации, обезвреживанию, размещению отходов I - IV классов опасности в отношении объектов, указанных в подпунктах "б" - "к" пункта 8 настоящего Положения;
б) соблюдение изготовителем, исполнителем (лицом, выполняющим функции иностранного изготовителя), продавцом требований, установленных техническими регламентами, или обязательных требований, подлежащих применению до дня вступления в силу технических регламентов в соответствии с Федеральным законом "О техническом регулировании":
технический регламент о безопасности объектов морского транспорта, утвержденный постановлением Правительства Российской Федерации от 12 августа 2010 г. N 620 "Об утверждении технического регламента о безопасности объектов морского транспорта" (пункты 2, 4, 8, 10, 11, 15 - 23, 70, 92 - 104, 131, 146, 147, 159, 160, 165, 169 - 178(1), 181, 182, 200, 201, 206, 209, подпункт "е" пункта 214, пункты 216(1), 220, 221, 225, подпункт "в" пункта 233, раздел 2 приложения N 1 к техническому регламенту о безопасности объектов морского транспорта);
технический регламент о безопасности объектов внутреннего водного транспорта, утвержденный постановлением Правительства Российской Федерации от 12 августа 2010 г. N 623 "Об утверждении технического регламента о безопасности объектов внутреннего водного транспорта" (пункт 3, подпункты "л", "м" пункта 4, пункты 6, 9, 11 - 18, 23, 25, 27, 93, 108, 119, 126, 197, 201, 215, 234, подпункт "в" пункта 236, пункты 257, 274, 340, 351, 352, 375, 378 - 382, 385, 386, 401, 406 - 413, 415, 435, 438, 439, 470, 481, 497, 498, 501, 502, подпункт "в" пункта 503, пункт 8 раздела II приложения N 1 к техническому регламенту о безопасности объектов внутреннего водного транспорта, приложение N 4 к техническому регламенту о безопасности объектов внутреннего водного транспорта);
технический регламент Таможенного союза "О безопасности маломерных судов" (подпункт "д" пункта 14 и абзац второй пункта 30 статьи 4, подпункт "е" пункта 45 и пункты 60 - 62, 66 - 68 статьи 5);
(в ред. Постановления Правительства РФ от 27.08.2025 N 1290)
технический регламент Таможенного союза "О требованиях к смазочным материалам, маслам и специальным жидкостям" (абзацы второй - пятый пункта 3.3 и пункт 3.8 статьи 3).
(в ред. Постановления Правительства РФ от 27.08.2025 N 1290)
3. К разрешительным документам, указанным в подпункте "а" пункта 2 настоящего Положения, относятся:
разрешение на сбросы загрязняющих веществ (за исключением радиоактивных веществ) и микроорганизмов в водные объекты;
(в ред. Постановления Правительства РФ от 27.08.2025 N 1290)
установленные нормативы допустимых выбросов, разрешение на выбросы загрязняющих веществ в атмосферный воздух (за исключением радиоактивных);
(в ред. Постановления Правительства РФ от 27.08.2025 N 1290)
утвержденные нормативы допустимых сбросов веществ (за исключением радиоактивных веществ) и микроорганизмов в водные объекты для водопользователей;
разрешение на временные выбросы (пункт 1 статьи 23.1 Федерального закона "Об охране окружающей среды");
разрешение на временные сбросы;
положительное заключение государственной экологической экспертизы;
комплексное экологическое разрешение;
свидетельство о постановке объекта, оказывающего негативное воздействие на окружающую среду, на государственный учет, свидетельство об актуализации сведений об объекте, оказывающем негативное воздействие на окружающую среду;
согласование мероприятий по уменьшению выбросов загрязняющих веществ в атмосферный воздух;
абзац утратил силу с 1 марта 2025 года. - Постановление Правительства РФ от 11.09.2024 N 1236;
согласование плана предупреждения и ликвидации разливов нефти и нефтепродуктов;
решение о подтверждении отнесения отходов к конкретному классу опасности;
утвержденные нормативы образования отходов и лимиты на их размещение;
разрешение на трансграничное перемещение отходов;
разрешение на транзит через территорию Российской Федерации ядовитых веществ;
заключение о возможности уничтожения, способе и месте уничтожения товаров для помещения таких товаров под таможенную процедуру уничтожения;
разрешение на вредное физическое воздействие на атмосферный воздух;
договор водопользования;
решение о предоставлении водного объекта в пользование;
согласование плана снижения сбросов в централизованные системы водоотведения;
заключение (разрешительный документ) на ввоз, вывоз и транзит отдельных товаров, включенных в единый перечень товаров, к которым применяются меры нетарифного регулирования в торговле с третьими странами, в отношении следующих групп товаров:
озоноразрушающие вещества и продукция, их содержащая;
опасные отходы;
ядовитые вещества, не являющиеся прекурсорами наркотических средств и психотропных веществ (при импорте);
разрешение на прокладку подводных кабелей и трубопроводов во внутренних морских водах и в территориальном море Российской Федерации, на континентальном шельфе Российской Федерации;
разрешение на создание, эксплуатацию, использование искусственных островов, установок, сооружений во внутренних морских водах и в территориальном море Российской Федерации, на континентальном шельфе Российской Федерации;
разрешение на проведение буровых работ во внутренних морских водах и в территориальном море Российской Федерации;
разрешение на проведение буровых работ для целей, не связанных с региональным геологическим изучением, геологическим изучением, разведкой и добычей минеральных ресурсов континентального шельфа Российской Федерации;
разрешение на строительство, реконструкцию, проведение изыскательских работ для проектирования и ликвидацию подводных линий связи во внутренних морских водах и в территориальном море Российской Федерации;
разрешение на создание искусственного земельного участка во внутренних морских водах и в территориальном море Российской Федерации;
разрешение на проведение морских научных исследований во внутренних морских водах и в территориальном море Российской Федерации, на континентальном шельфе Российской Федерации, в исключительной экономической зоне Российской Федерации;
регистрация искусственных островов, установок, сооружений, расположенных на континентальном шельфе Российской Федерации, и искусственных островов, установок, сооружений (за исключением плавучих (подвижных) буровых установок (платформ), морских плавучих (передвижных) платформ), расположенных во внутренних морских водах Российской Федерации, в территориальном море Российской Федерации и в пределах российского сектора Каспийского моря, и прав на них;
разрешение на захоронение грунта, извлеченного при проведении дноуглубительных работ, во внутренних морских водах и в территориальном море Российской Федерации;
разрешение на захоронение отходов и других материалов на континентальном шельфе Российской Федерации;
разрешение на вывоз из Российской Федерации и ввоз в Российскую Федерацию видов дикой флоры, находящихся под угрозой исчезновения, их частей или дериватов, подпадающих под действие Конвенции о международной торговле видами дикой фауны и флоры, находящимися под угрозой исчезновения, кроме осетровых видов рыб и продукции из них, включая икру (в части флоры);
разрешение на использование объектов растительного мира, занесенных в Красную книгу Российской Федерации;
разрешение на использование объектов растительного мира, находящихся на особо охраняемых природных территориях федерального значения;
установленные квоты выбросов загрязняющих веществ (за исключением радиоактивных веществ) в атмосферный воздух (далее - квоты выбросов) (часть 7 статьи 5 Федерального закона "О проведении эксперимента по квотированию выбросов загрязняющих веществ и внесении изменений в отдельные законодательные акты Российской Федерации в части снижения загрязнения атмосферного воздуха");
(абзац введен Постановлением Правительства РФ от 23.12.2023 N 2274)
согласование плана мероприятий по достижению квот выбросов;
(абзац введен Постановлением Правительства РФ от 23.12.2023 N 2274)
решение о включении сведений о юридическом лице, индивидуальном предпринимателе, осуществляющих утилизацию отходов от использования товаров, в реестр юридических лиц и индивидуальных предпринимателей, осуществляющих утилизацию отходов от использования товаров.
(абзац введен Постановлением Правительства РФ от 11.09.2024 N 1236)
4. Государственный экологический контроль осуществляет Федеральная служба по надзору в сфере природопользования (ее территориальные органы) (далее - контрольный орган).
5. Должностными лицами, уполномоченными на осуществление государственного экологического контроля, являются:
а) руководитель Федеральной службы по надзору в сфере природопользования, являющийся главным государственным инспектором Российской Федерации в области охраны окружающей среды;
б) заместители руководителя Федеральной службы по надзору в сфере природопользования, начальники управлений Федеральной службы по надзору в сфере природопользования, в должностные обязанности которых в соответствии с должностным регламентом или должностной инструкцией входит осуществление полномочий по государственному экологическому контролю (далее - должностные обязанности), являющиеся заместителями главного государственного инспектора Российской Федерации в области охраны окружающей среды;
в) заместители начальников управлений, начальники отделов и заместители начальников отделов Федеральной службы по надзору в сфере природопользования в соответствии с должностными обязанностями, являющиеся старшими государственными инспекторами Российской Федерации в области охраны окружающей среды;
г) федеральные государственные гражданские служащие категории "специалисты" ведущей и старшей групп должностей Федеральной службы по надзору в сфере природопользования в соответствии с должностными обязанностями, являющиеся государственными инспекторами Российской Федерации в области охраны окружающей среды;
д) руководители территориальных органов Федеральной службы по надзору в сфере природопользования, являющиеся главными государственными инспекторами Российской Федерации в области охраны окружающей среды в зоне своей деятельности;
е) заместители руководителей территориальных органов Федеральной службы по надзору в сфере природопользования в соответствии с должностными обязанностями, являющиеся заместителями главного государственного инспектора Российской Федерации в области охраны окружающей среды в зоне своей деятельности;
ж) начальники отделов, заместители начальников отделов территориальных органов Федеральной службы по надзору в сфере природопользования в соответствии с должностными обязанностями, являющиеся старшими государственными инспекторами Российской Федерации в области охраны окружающей среды в зоне своей деятельности;
з) федеральные государственные гражданские служащие категории "специалисты" ведущей и старшей групп должностей территориальных органов Федеральной службы по надзору в сфере природопользования в соответствии с должностными обязанностями, являющиеся государственными инспекторами Российской Федерации в области охраны окружающей среды в зоне своей деятельности.
6. Должностными лицами, уполномоченными на принятие решений о проведении контрольных (надзорных) мероприятий, являются:
а) руководитель (заместитель руководителя) Федеральной службы по надзору в сфере природопользования;
б) руководитель (заместитель руководителя) территориальных органов Федеральной службы по надзору в сфере природопользования.
7. К отношениям, связанным с осуществлением государственного экологического контроля, применяются положения Федерального закона "О государственном контроле (надзоре) и муниципальном контроле в Российской Федерации".
8. Контрольный орган осуществляет государственный экологический контроль в отношении следующих объектов государственного экологического контроля (далее - объекты контроля):
а) деятельность (действия (бездействие) юридических лиц, индивидуальных предпринимателей, граждан, в рамках которой должны соблюдаться обязательные требования в области охраны окружающей среды, предусмотренные пунктом 2 настоящего Положения, в том числе при осуществлении хозяйственной и (или) иной деятельности на объектах, указанных в подпунктах "б" - "к" настоящего пункта, а также соблюдение изготовителем, исполнителем (лицом, выполняющим функции иностранного изготовителя), продавцом требований в рамках соблюдения обязательных требований, предусмотренных подпунктом "б" пункта 2 настоящего Положения;
б) следующие водные объекты и территории их водоохранных зон и прибрежных защитных полос:
поверхностные водные объекты, расположенные на территориях двух и более субъектов Российской Федерации;
водные объекты или их части, находящиеся на землях обороны и безопасности, а также используемые для обеспечения обороны страны и безопасности государства и для обеспечения федеральных энергетических систем, федерального транспорта и иных государственных нужд;
особо охраняемые водные объекты либо водные объекты, расположенные полностью или частично в границах особо охраняемых природных территорий федерального значения;
водные объекты или их части, объявленные рыбохозяйственными заповедными зонами;
водные объекты, являющиеся средой обитания анадромных и катадромных видов рыб;
водные объекты, по которым проходит государственная граница Российской Федерации;
водные объекты или их части для нужд городов с численностью населения 100 тыс. человек и более, а также для нужд предприятий и других организаций, производящих забор воды или сброс сточных вод в объеме более 15 млн. куб. метров в год;
внутренние морские воды Российской Федерации, территориальное море Российской Федерации, исключительная экономическая зона Российской Федерации, континентальный шельф Российской Федерации, российская часть (российский сектор) Каспийского моря;
в) объекты, указанные в пункте 3 части 1 статьи 16 Федерального закона "О государственном контроле (надзоре) и муниципальном контроле в Российской Федерации" (далее - производственный объект), расположенные:
в границах особо охраняемой природной территории федерального значения;
в центральной экологической зоне Байкальской природной территории, за исключением случаев, если объекты расположены в границах особо охраняемой природной территории регионального или местного значения;
в границах водно-болотного угодья международного значения, особо ценного водно-болотного угодья;
в границах зон охраны объектов культурного наследия, отнесенных к особо ценным объектам культурного наследия народов Российской Федерации, объектов культурного наследия и (или) объектов всемирного природного наследия, включенных в Список всемирного наследия;
г) производственные объекты, используемые в целях обеспечения космической деятельности, обороны страны и безопасности государства;
д) производственные объекты, являющиеся:
пунктами хранения ядерных материалов и радиоактивных веществ, пунктами хранения, хранилищами радиоактивных отходов, пунктами захоронения радиоактивных отходов;
морскими портами, в том числе в границах которых осуществляется деятельность по перевалке, дроблению и сортировке угля;
объектами трубопроводного транспорта, предназначенными для транспортировки газа, нефти, газового конденсата и продуктов переработки нефти и газа (магистральные и межпромысловые трубопроводы);
объектами инфраструктуры железнодорожного транспорта;
объектами, на которых осуществляется деятельность по хранению и (или) уничтожению химического оружия;
е) производственные объекты, на которых эксплуатируются:
ядерные установки, в том числе атомные станции, установки по добыче и переработке урановых руд, за исключением исследовательских ядерных установок нулевой мощности, космических и летательных аппаратов;
радиационные источники, за исключением радиационных источников, содержащих в своем составе только радионуклидные источники четвертой и пятой категорий радиационной опасности, при условии наличия на объектах источников выбросов и сбросов радиоактивных веществ в окружающую среду;
ж) производственные объекты, оказывающие негативное воздействие на окружающую среду и согласно критериям, установленным в соответствии со статьей 4.2 Федерального закона "Об охране окружающей среды", относящиеся:
к объектам I категории;
к объектам II категории, на которые выдано комплексное экологическое разрешение;
к объектам I и II категорий, для которых установлены квоты выбросов в соответствии с Федеральным законом "О проведении эксперимента по квотированию выбросов загрязняющих веществ и внесении изменений в отдельные законодательные акты Российской Федерации в части снижения загрязнения атмосферного воздуха" (далее - квотируемые объекты);
(абзац введен Постановлением Правительства РФ от 23.12.2023 N 2274)
з) производственный объект, соответствующий следующим критериям:
размещается в границах водных объектов, территорий их водоохранных зон и прибрежных полос, указанных в подпункте "б" настоящего пункта;
является портом, расположенным на внутренних водных путях Российской Федерации, допускающим проход судов водоизмещением 1350 тонн и более;
на производственном объекте осуществляется деятельность:
с использованием водных объектов, указанных в подпункте "б" настоящего пункта;
по приему и отправке воздушных судов, обслуживанию воздушных перевозок при наличии взлетно-посадочной полосы длиной 2100 метров и более;
по утилизации пестицидов и агрохимикатов, пришедших в негодность и (или) запрещенных к применению;
по хранению и складированию нефти, продуктов переработки нефти с проектной вместимостью 200 тыс. тонн и более;
по хранению пестицидов и агрохимикатов с проектной вместимостью 50 тонн и более;
по сбору, транспортированию, обработке, утилизации, обезвреживанию, размещению отходов I - IV классов опасности, подлежащей лицензированию в соответствии со статьей 12 Федерального закона "О лицензировании отдельных видов деятельности";
по утилизации отходов от использования товаров;
(абзац введен Постановлением Правительства РФ от 11.09.2024 N 1236)
по выращиванию и разведению крупного рогатого скота с проектной мощностью 400 мест и более;
по хранению и (или) уничтожению химического оружия;
осуществляет деятельность с использованием оборудования:
для графитизации или производства искусственного графита с проектной производительностью 24 тыс. тонн искусственного графита в год и более;
для газификации и сжижения угля, битуминозных сланцев, других твердых топлив с номинальной проектной мощностью 20 МВт и более;
для производства обработанных асбестовых волокон, смесей на основе асбеста и изделий из них, изделий из асбестоцемента и волокнистого цемента;
для расплава минеральных веществ, включая производство минеральных волокон, с проектным объемом плавки 20 тонн в сутки и более;
для производства силикатного кирпича с проектной мощностью 1 млн. штук в год и более;
и) объекты, указанные в подпунктах "б" - "з" настоящего пункта, на которых и (или) с использованием которых в прошлом осуществлялась хозяйственная и (или) иная деятельность и (или) на которых расположены бесхозяйственные объекты капитального строительства, объекты размещения отходов;
к) объекты капитального строительства, строительство, реконструкция которых осуществляются в исключительной экономической зоне Российской Федерации, на континентальном шельфе Российской Федерации, во внутренних морских водах, в территориальном море Российской Федерации, в российской части (российском секторе) Каспийского моря, в границах особо охраняемых природных территорий, на искусственных земельных участках, созданных на водных объектах, а также объекты капитального строительства, относящиеся в соответствии с законодательством в области охраны окружающей среды к объектам I категории (далее - объекты капитального строительства).
9. При осуществлении юридическим лицом или индивидуальным предпринимателем хозяйственной и (или) иной деятельности с использованием объектов, которые оказывают негативное воздействие на окружающую среду и хотя бы один из которых подлежит государственному экологическому контролю, в отношении всех таких объектов и таких юридического лица или индивидуального предпринимателя осуществляется государственный экологический контроль.
10. Учет объектов контроля осуществляется:
а) при ведении государственного реестра объектов, оказывающих негативное воздействие на окружающую среду;
б) при ведении государственного водного реестра;
в) при предоставлении лицензий на осуществление деятельности по сбору, транспортированию, обработке, утилизации, обезвреживанию, размещению отходов I - IV классов опасности (за исключением случаев, если сбор отходов I - IV классов опасности осуществляется не по месту их обработки, и (или) утилизации, и (или) обезвреживания, и (или) размещения), внесении изменений в реестр лицензий, а также при периодическом подтверждении соответствия лицензиата лицензионным требованиям;
(пп. "в" в ред. Постановления Правительства РФ от 28.02.2024 N 226)
г) при сборе, обработке, анализе и учете информации об объектах контроля, представляемой контрольному органу в соответствии с нормативными правовыми актами Российской Федерации, информации, получаемой в рамках межведомственного взаимодействия, а также общедоступной информации;
д) при ведении реестра юридических лиц и индивидуальных предпринимателей, осуществляющих утилизацию отходов от использования товаров.
(пп. "д" введен Постановлением Правительства РФ от 11.09.2024 N 1236)
11. При осуществлении государственного экологического контроля применяется система оценки и управления рисками.
12. Контрольный орган при осуществлении государственного экологического контроля относит объекты контроля к одной из следующих категорий риска причинения вреда (ущерба) (далее - категории риска):
а) чрезвычайно высокий риск;
б) высокий риск;
в) значительный риск;
г) средний риск;
д) умеренный риск;
е) низкий риск.
13. Отнесение объектов контроля к определенной категории риска осуществляется решением руководителя (заместителя руководителя) территориального органа Федеральной службы по надзору в сфере природопользования на основании сопоставления их характеристик с критериями отнесения объектов контроля к категориям риска согласно приложению.
Территориальные органы Федеральной службы по надзору в сфере природопользования ведут перечни объектов контроля, учитываемых в рамках формирования ежегодного плана контрольных (надзорных) мероприятий, с указанием категории риска.
14. Контрольный орган может проводить следующие виды плановых контрольных (надзорных) мероприятий:
а) инспекционный визит;
б) рейдовый осмотр;
в) документарная проверка;
г) выездная проверка.
15. В зависимости от присвоенной категории риска периодичность проведения одного из плановых контрольных (надзорных) мероприятий, указанных в пункте 14 настоящего Положения, и обязательных профилактических визитов составляет:
для объектов контроля, отнесенных к категории чрезвычайно высокого риска, - не менее одного, но не более 2 плановых контрольных (надзорных) мероприятий в год;
для объектов контроля, отнесенных к категории высокого риска, - одно плановое контрольное (надзорное) мероприятие в 2 года либо один обязательный профилактический визит в год.
В отношении объектов контроля, отнесенных к категории значительного, среднего или умеренного риска, обязательный профилактический визит проводится с периодичностью, определенной в соответствии с пунктом 3 части 2 статьи 25 Федерального закона "О государственном контроле (надзоре) и муниципальном контроле в Российской Федерации".
(п. 15 в ред. Постановления Правительства РФ от 27.08.2025 N 1290)
16. Контрольный орган может проводить следующие профилактические мероприятия:
а) информирование;
б) обобщение правоприменительной практики;
в) объявление предостережения;
г) профилактический визит;
д) консультирование.
17. Контрольный орган осуществляет информирование контролируемых лиц и иных заинтересованных лиц по вопросам соблюдения обязательных требований в области охраны окружающей среды.
18. Информирование осуществляется посредством размещения соответствующих сведений на официальном сайте контрольного органа в информационно-телекоммуникационной сети "Интернет" (далее - сеть "Интернет"), в средствах массовой информации, через личные кабинеты контролируемых лиц в государственных информационных системах (при их наличии) и в иных формах.
19. Доклад, содержащий результаты обобщения правоприменительной практики контрольного органа, готовится не позднее 1 апреля года, следующего за отчетным годом, утверждается приказом (распоряжением) руководителя контрольного органа и размещается на официальном сайте такого органа в сети "Интернет" в срок до 1 апреля года, следующего за отчетным годом.
20. Контролируемое лицо вправе после получения предостережения о недопустимости нарушения обязательных требований подать в контрольный орган возражение в отношении указанного предостережения в срок не позднее 30 дней со дня получения им предостережения. Возражение в отношении предостережения рассматривается контрольным органом в течение 30 дней со дня его получения, контролируемому лицу направляется ответ с информацией о согласии или несогласии с возражением. В случае несогласия с возражением указываются соответствующие обоснования.
21. Профилактический визит проводится в форме профилактической беседы должностного лица контрольного органа по месту осуществления деятельности контролируемого лица либо путем использования видео-конференц-связи или мобильного приложения "Инспектор".
Профилактический визит проводится по инициативе контрольного органа (обязательный профилактический визит) или по инициативе контролируемого лица.
(п. 21 в ред. Постановления Правительства РФ от 27.08.2025 N 1290)
22. Срок проведения обязательного профилактического визита не может превышать 10 рабочих дней и может быть продлен на срок, необходимый для проведения экспертизы, испытаний.
(п. 22 в ред. Постановления Правительства РФ от 27.08.2025 N 1290)
22(1). При проведении осмотра в рамках профилактического визита фотосъемка и видеозапись осуществляются с использованием мобильного приложения "Инспектор".
Дополнительно к мобильному приложению "Инспектор" могут быть использованы иные средства, указанные в пункте 36 настоящего Положения, в том числе беспилотные системы.
(п. 22(1) введен Постановлением Правительства РФ от 27.08.2025 N 1290)
23. Консультирование осуществляется должностными лицами по телефону, посредством видео-конференц-связи, на личном приеме еженедельно, в сроки, определенные руководителем контрольного органа, либо в ходе проведения профилактического мероприятия, контрольного (надзорного) мероприятия. При проведении консультирования осуществляется аудио-, видеозапись.
24. Время консультирования по телефону, посредством видео-конференц-связи, на личном приеме одного контролируемого лица (его представителя) не может превышать 15 минут.
25. Консультирование, в том числе письменное, осуществляется по вопросам соблюдения обязательных требований в области охраны окружающей среды, указанных в пункте 2 настоящего Положения.
26. В случае поступления 5 и более однотипных обращений контролируемых лиц и их представителей консультирование осуществляется посредством размещения на официальном сайте контрольного органа в сети "Интернет" письменного разъяснения, подписанного уполномоченным должностным лицом контрольного органа.
27. При осуществлении государственного экологического контроля проводятся:
а) плановые контрольные (надзорные) мероприятия;
б) внеплановые контрольные (надзорные) мероприятия;
в) контрольные (надзорные) мероприятия на основании программы проверок.
28. Плановые контрольные (надзорные) мероприятия проводятся на основании плана проведения плановых контрольных (надзорных) мероприятий на очередной календарный год, согласованного с органами прокуратуры.
29. Плановые контрольные (надзорные) мероприятия не проводятся в отношении контролируемых лиц, осуществляющих хозяйственную и (или) иную деятельность на объектах контроля, относящихся в соответствии с законодательством в области охраны окружающей среды к объектам IV категории, в отношении объектов контроля, отнесенных к категории низкого риска, а также при строительстве, реконструкции объектов капитального строительства, в отношении квотируемых объектов в части, касающейся реализации мероприятий, включенных в утвержденные планы мероприятий по достижению квот выбросов, и в отношении лицензиатов при осуществлении деятельности по сбору, транспортированию, обработке, утилизации, обезвреживанию, размещению отходов I - IV классов опасности в части, касающейся соблюдения лицензионных требований.
(в ред. Постановлений Правительства РФ от 23.12.2023 N 2274, от 28.02.2024 N 226)
30. В решении о проведении контрольного (надзорного) мероприятия указываются сведения, предусмотренные частью 1 статьи 64 Федерального закона "О государственном контроле (надзоре) и муниципальном контроле в Российской Федерации".
31. Отбор проб (образцов) осуществляется в присутствии контролируемого лица или его уполномоченного представителя и (или) с применением видеозаписи.
32. Отбор проб (образцов) при проведении контрольных (надзорных) мероприятий проводится должностными лицами, уполномоченными на проведение контрольного (надзорного) мероприятия, при необходимости с привлечением федеральных государственных бюджетных учреждений, подведомственных Федеральной службе по надзору в сфере природопользования, экспертов, экспертных организаций, аккредитованных в соответствии с законодательством Российской Федерации об аккредитации в национальной системе аккредитации и указанных в решении о проведении контрольного (надзорного) мероприятия.
32(1). Федеральная служба по надзору в сфере природопользования для проведения экспертизы может привлекать экспертов и экспертные организации, включая подведомственные Федеральной службе по надзору в сфере природопользования федеральные государственные бюджетные учреждения, аккредитованные в соответствии с законодательством Российской Федерации об аккредитации в национальной системе аккредитации.
(п. 32(1) введен Постановлением Правительства РФ от 26.02.2022 N 240)
33. Отбор проб (образцов) воды, почвы, воздуха, сточных и (или) дренажных вод, выбросов, сбросов загрязняющих веществ, отходов производства и потребления осуществляется в соответствии с утвержденными документами по стандартизации, правилами отбора проб (образцов) и методами их исследований (испытаний) и измерений, техническими регламентами или иными нормативными техническими документами, правилами, методами исследований (испытаний) и измерений и иными документами для направления указанных проб (образцов) на экспертизу в экспертную организацию.
34. При проведении контрольных (надзорных) мероприятий для фиксации доказательств нарушений обязательных требований могут использоваться фотосъемка, аудио- и видеозапись, иные способы фиксации доказательств.
Способы фиксации доказательств должны позволять однозначно идентифицировать объект фиксации, отражающий нарушение обязательных требований.
Фотосъемка и видеозапись при проведении осмотра в рамках выездной проверки осуществляются с использованием мобильного приложения "Инспектор". Дополнительно к мобильному приложению "Инспектор" могут быть использованы иные средства, указанные в пункте 36 настоящего Положения, в том числе беспилотные системы.
(абзац введен Постановлением Правительства РФ от 27.08.2025 N 1290)
35. Решение о необходимости использования фотосъемки, аудио- и видеозаписи, иных способов фиксации доказательств нарушений обязательных требований при осуществлении контрольных (надзорных) мероприятий принимается должностным лицом, уполномоченным на проведение контрольного (надзорного) мероприятия, самостоятельно.
36. Для фиксации доказательств нарушений обязательных требований могут быть использованы любые имеющиеся в распоряжении технические средства фотосъемки, аудио- и видеозаписи. Информация о проведении фотосъемки, аудио- и видеозаписи и об использованных для этих целей технических средствах отражается в акте контрольного (надзорного) мероприятия.
37. Проведение фотосъемки, аудио- и видеозаписи осуществляется с обязательным уведомлением контролируемого лица.
38. Фиксация нарушений обязательных требований при помощи фотосъемки проводится не менее чем 2 снимками каждого из выявленных нарушений обязательных требований.
39. Аудио- и видеозапись осуществляется в ходе проведения контрольного (надзорного) мероприятия непрерывно с уведомлением в начале и конце записи о дате, месте, времени начала и окончания осуществления записи. В ходе записи подробно фиксируются и указываются место и характер выявленного нарушения обязательных требований.
40. Результаты проведения фотосъемки, аудио- и видеозаписи являются приложением к акту контрольного (надзорного) мероприятия.
41. Использование фотосъемки и видеозаписи для фиксации доказательств нарушений обязательных требований осуществляется с учетом требований законодательства Российской Федерации о защите государственной тайны.
42. Досмотр осуществляется должностным лицом, уполномоченным на проведение контрольного (надзорного) мероприятия, в присутствии контролируемого лица или его представителя и (или) с применением видеозаписи. Досмотр в отсутствие контролируемого лица или его представителя может осуществляться только в случаях наличия у контрольного органа сведений о причинении вреда (ущерба) или об угрозе причинения вреда (ущерба) жизни, здоровью граждан, окружающей среде с обязательным применением видеозаписи.
42(1). В ходе проведения выездной проверки может совершаться контрольное (надзорное) действие - эксперимент, заключающийся в использовании тест-ситуаций (действий по созданию должностным лицом контрольного органа ситуации, в ходе которой возможно оценить соблюдение контролируемым лицом обязательных требований).
Эксперимент проводится должностным лицом контрольного органа по месту нахождения (осуществления деятельности) контролируемого лица (его филиалов, представительств, обособленных структурных подразделений) или с использованием средств дистанционного взаимодействия, в том числе посредством видео-конференц-связи, а также с использованием мобильного приложения "Инспектор" непосредственно в ходе проведения контрольного (надзорного) мероприятия.
(п. 42(1) введен Постановлением Правительства РФ от 27.08.2025 N 1290)
43. Индивидуальный предприниматель, гражданин, являющиеся контролируемыми лицами, вправе представить в контрольный орган информацию о невозможности присутствия при проведении контрольного (надзорного) мероприятия в случаях:
а) введения режима повышенной готовности или чрезвычайной ситуации на всей территории Российской Федерации либо на ее части;
б) административного ареста;
в) избрания в отношении подозреваемого в совершении преступления физического лица меры пресечения в виде подписки о невыезде и надлежащем поведении, запрете определенных действий, заключения под стражу, домашнего ареста.
44. Контрольные (надзорные) мероприятия на основании программы проверок проводятся при строительстве, реконструкции объектов капитального строительства, а также в отношении квотируемых объектов в части, касающейся реализации мероприятий, включенных в утвержденные планы мероприятий по достижению квот выбросов.
Программа проверок при строительстве, реконструкции объектов капитального строительства формируется контрольным органом на основании поступившего извещения о начале работ по строительству, реконструкции объекта капитального строительства, направляемого застройщиком или техническим заказчиком в контрольный орган не позднее чем за 7 рабочих дней до начала строительства, реконструкции объекта капитального строительства.
Программа проверок в отношении квотируемых объектов в части, касающейся реализации мероприятий, включенных в утвержденные планы мероприятий по достижению квот выбросов, формируется контрольным органом на основании поступившего извещения об утверждении плана мероприятий по достижению квот выбросов, направляемого юридическим лицом или индивидуальным предпринимателем, осуществляющими хозяйственную и (или) иную деятельность на квотируемом объекте, в контрольный орган не позднее 7 рабочих дней со дня утверждения плана мероприятий по достижению квот выбросов.
(п. 44 в ред. Постановления Правительства РФ от 23.12.2023 N 2274)
45. Программа проверок при строительстве, реконструкции объектов капитального строительства разрабатывается должностным лицом контрольного органа с учетом конструктивных и иных особенностей объекта капитального строительства и выполнения работ по его строительству, реконструкции, условий последующей эксплуатации, а также других факторов, подлежащих учету в соответствии с требованиями проектной документации.
(в ред. Постановления Правительства РФ от 23.12.2023 N 2274)
Программа проверок в отношении квотируемого объекта в части, касающейся реализации мероприятий, включенных в утвержденные планы мероприятий по достижению квот выбросов, разрабатывается должностным лицом контрольного органа с учетом сроков реализации мероприятий, направленных на достижение квот выбросов на квотируемом объекте.
(абзац введен Постановлением Правительства РФ от 23.12.2023 N 2274)
46. Программа проверок при строительстве, реконструкции объектов капитального строительства, в отношении квотируемого объекта (изменения в программу проверок) утверждается приказом контрольного органа.
(в ред. Постановления Правительства РФ от 23.12.2023 N 2274)
47. Программа проверок при строительстве, реконструкции объектов капитального строительства составляется с учетом следующего количества контрольных (надзорных) мероприятий за каждый год периода строительства, реконструкции объекта капитального строительства:
(в ред. Постановления Правительства РФ от 23.12.2023 N 2274)
а) соответствующего критериям отнесения объектов в соответствии с законодательством в области охраны окружающей среды к объектам I категории, - не более 6 контрольных (надзорных) мероприятий;
б) соответствующего критериям отнесения объектов в соответствии с законодательством в области охраны окружающей среды к объектам II категории, - не более 5 контрольных (надзорных) мероприятий;
в) соответствующего критериям отнесения объектов в соответствии с законодательством в области охраны окружающей среды к объектам III категории, - не более 4 контрольных (надзорных) мероприятий;
г) соответствующего критериям отнесения объектов в соответствии с законодательством в области охраны окружающей среды к объектам IV категории, - не более 3 контрольных (надзорных) мероприятий.
47(1). Программа проверок в отношении квотируемых объектов в части, касающейся реализации мероприятий, включенных в утвержденные планы мероприятий по достижению квот выбросов, составляется с учетом следующего количества контрольных (надзорных) мероприятий за каждый год периода реализации мероприятий, направленных на достижение квот выбросов на квотируемом объекте:
а) соответствующем критериям отнесения объектов в соответствии с законодательством в области охраны окружающей среды к объектам I категории, - не более 6 контрольных (надзорных) мероприятий;
б) соответствующем критериям отнесения объектов в соответствии с законодательством в области охраны окружающей среды к объектам II категории, - не более 5 контрольных (надзорных) мероприятий.
(п. 47(1) введен Постановлением Правительства РФ от 23.12.2023 N 2274)
48. Государственный экологический контроль осуществляется в отношении объектов капитального строительства, квотируемых объектов в части, касающейся реализации мероприятий, включенных в утвержденные планы мероприятий по достижению квот выбросов, посредством проведения следующих контрольных (надзорных) мероприятий:
(в ред. Постановления Правительства РФ от 23.12.2023 N 2274)
а) инспекционный визит;
б) рейдовый осмотр;
в) документарная проверка;
г) выездная проверка.
49. Программа проверок при строительстве, реконструкции объектов капитального строительства формируется контрольным органом на весь срок строительства, реконструкции объекта капитального строительства и должна содержать перечень контрольных (надзорных) мероприятий, для каждого из которых указывается следующая информация:
(в ред. Постановления Правительства РФ от 23.12.2023 N 2274)
а) вид контрольного (надзорного) мероприятия и его предмет, наименование работ (описание этапа работ), подлежащих проверке;
б) событие, наступление которого является основанием для проведения контрольного (надзорного) мероприятия, срок проведения контрольного (надзорного) мероприятия;
в) перечень документов, представление которых необходимо для оценки соблюдения обязательных требований при проведении контрольного (надзорного) мероприятия;
г) должностные лица застройщика, технического заказчика, лица, осуществляющего строительство, реконструкцию, присутствие которых при проведении контрольного (надзорного) мероприятия является обязательным.
49(1). Программа проверок в отношении квотируемых объектов в части, касающейся реализации мероприятий, включенных в утвержденные планы мероприятий по достижению квот выбросов, формируется контрольным органом на весь срок реализации плана мероприятий по достижению квот выбросов и должна содержать перечень контрольных (надзорных) мероприятий, для каждого из которых указывается следующая информация:
а) вид контрольного (надзорного) мероприятия и его предмет, наименование мероприятия, направленного на достижение квот выбросов (описание этапа реализации мероприятия, направленного на достижение квот выбросов), подлежащего проверке;
б) событие, наступление которого является основанием для проведения контрольного (надзорного) мероприятия, срок проведения контрольного (надзорного) мероприятия;
в) перечень документов, представление которых необходимо для оценки соблюдения обязательных требований при проведении контрольного (надзорного) мероприятия;
г) должностные лица юридического лица или индивидуального предпринимателя, осуществляющих хозяйственную и (или) иную деятельность на квотируемых объектах, присутствие которых при проведении контрольного (надзорного) мероприятия является обязательным.
(п. 49(1) введен Постановлением Правительства РФ от 23.12.2023 N 2274)
50. Копия программы проверок при строительстве, реконструкции объектов капитального строительства направляется (вручается) застройщику или техническому заказчику в течение 3 рабочих дней со дня утверждения программы проверок приказом контрольного органа любым доступным способом, позволяющим обеспечить подтверждение направления и получения копии программы проверок. Застройщик или технический заказчик обязаны довести до сведения лиц, осуществляющих строительство, реконструкцию объектов капитального строительства, сведения о предмете и датах проведения контрольных (надзорных) мероприятий, предусмотренных программой проверок.
Копия программы проверок в отношении квотируемого объекта в части, касающейся реализации мероприятий, включенных в утвержденные планы мероприятий по достижению квот выбросов, в течение 3 рабочих дней со дня утверждения программы проверок приказом контрольного органа направляется (вручается) юридическому лицу или индивидуальному предпринимателю, осуществляющим хозяйственную и (или) иную деятельность на квотируемых объектах, любым доступным способом, позволяющим обеспечить подтверждение направления и получения копии программы проверок.
(п. 50 в ред. Постановления Правительства РФ от 23.12.2023 N 2274)
51. После завершения строительства, реконструкции объекта капитального строительства проводится контрольное (надзорное) мероприятие с целью оценки возможности выдачи заключения контрольного органа в отношении объекта капитального строительства. В случае отсутствия нарушений обязательных требований в области охраны окружающей среды по результатам контрольного (надзорного) мероприятия выдается заключение контрольного органа, предусмотренное пунктом 9 части 3 статьи 55 Градостроительного кодекса Российской Федерации, по форме, утверждаемой Федеральной службой по надзору в сфере природопользования.
52. Государственный экологический контроль осуществляется посредством проведения следующих контрольных (надзорных) мероприятий:
а) инспекционный визит;
б) рейдовый осмотр;
в) документарная проверка;
г) выездная проверка;
д) наблюдение за соблюдением обязательных требований;
е) выездное обследование.
53. Наблюдение за соблюдением обязательных требований и выездное обследование проводятся без взаимодействия с контролируемым лицом.
54. В ходе инспекционного визита могут совершаться следующие контрольные (надзорные) действия:
а) осмотр;
б) опрос;
в) получение письменных объяснений;
г) истребование документов, которые в соответствии с обязательными требованиями должны находиться в месте нахождения (осуществления деятельности) контролируемого лица (его филиалов, представительств, обособленных структурных подразделений) либо объекта контроля;
д) инструментальное обследование.
55. Инспекционный визит проводится без предварительного уведомления контролируемого лица и собственника объекта контроля.
55(1). Инспекционный визит и проводимые в его рамках осмотр и опрос могут осуществляться с использованием средств дистанционного взаимодействия, в том числе посредством видео-конференц-связи, а также с использованием мобильного приложения "Инспектор". Дополнительно к мобильному приложению "Инспектор" могут быть использованы иные средства, указанные в пункте 36 настоящего Положения, в том числе беспилотные системы.
Фотосъемка и видеозапись при проведении осмотра в рамках инспекционного визита осуществляются с использованием мобильного приложения "Инспектор".
(п. 55(1) введен Постановлением Правительства РФ от 27.08.2025 N 1290)
56. Срок проведения инспекционного визита в 1 месте осуществления деятельности либо на 1 объекте контроля не может превышать 1 рабочий день.
57. Контролируемые лица или их представители обязаны обеспечить беспрепятственный доступ должностного лица, уполномоченного на проведение контрольного (надзорного) мероприятия, на объект контроля.
58. Инспекционный визит проводится при наличии оснований, указанных в части 1 статьи 57 Федерального закона "О государственном контроле (надзоре) и муниципальном контроле в Российской Федерации".
(в ред. Постановления Правительства РФ от 27.08.2025 N 1290)
59. Внеплановый инспекционный визит может проводиться только по согласованию с органами прокуратуры, за исключением случаев его проведения в соответствии с пунктами 3, 4, 6 и 8 части 1 статьи 57 и частью 12 статьи 66 Федерального закона "О государственном контроле (надзоре) и муниципальном контроле в Российской Федерации".
(в ред. Постановления Правительства РФ от 27.08.2025 N 1290)
60. В ходе рейдового осмотра могут совершаться следующие контрольные (надзорные) действия:
а) осмотр;
б) досмотр;
в) опрос;
г) получение письменных объяснений;
д) истребование документов;
е) отбор проб (образцов);
ж) инструментальное обследование;
з) испытание;
и) экспертиза.
61. Рейдовый осмотр проводится при наличии оснований, указанных в части 1 статьи 57 Федерального закона "О государственном контроле (надзоре) и муниципальном контроле в Российской Федерации".
(в ред. Постановления Правительства РФ от 27.08.2025 N 1290)
61(1). Рейдовый осмотр и проводимые в его рамках осмотр, досмотр, опрос и экспертиза могут осуществляться с использованием средств дистанционного взаимодействия, в том числе посредством видео-конференц-связи, а также с использованием мобильного приложения "Инспектор". Дополнительно к мобильному приложению "Инспектор" могут быть использованы иные средства, указанные в пункте 36 настоящего Положения, в том числе беспилотные системы.
Фотосъемка и видеозапись при проведении осмотра, досмотра в рамках рейдового осмотра осуществляются с использованием мобильного приложения "Инспектор".
(п. 61(1) введен Постановлением Правительства РФ от 27.08.2025 N 1290)
62. Рейдовый осмотр может проводиться только по согласованию с органами прокуратуры, за исключением случаев его проведения в соответствии с пунктами 3, 4, 6 и 8 части 1 статьи 57 и частью 12 статьи 66 Федерального закона "О государственном контроле (надзоре) и муниципальном контроле в Российской Федерации".
(в ред. Постановления Правительства РФ от 27.08.2025 N 1290)
63. В ходе документарной проверки могут совершаться следующие контрольные (надзорные) действия:
а) получение письменных объяснений;
б) истребование документов;
в) экспертиза.
64. В случае если достоверность сведений, содержащихся в документах, имеющихся в распоряжении контрольного органа, вызывает обоснованные сомнения либо эти сведения не позволяют оценить исполнение контролируемым лицом обязательных требований, контрольный орган направляет в адрес контролируемого лица требование представить иные необходимые для рассмотрения в ходе документарной проверки документы. В течение 10 рабочих дней со дня получения такого требования контролируемое лицо обязано направить в контрольный орган указанные в требовании документы.
65. В случае если в ходе документарной проверки выявлены ошибки и (или) противоречия в представленных контролируемым лицом документах либо выявлено несоответствие сведений, содержащихся в этих документах, сведениям, содержащимся в имеющихся у контрольного органа документах и (или) полученным при осуществлении государственного экологического контроля, информация об ошибках, о противоречиях и несоответствии сведений направляется контролируемому лицу с требованием представить в течение 10 рабочих дней необходимые пояснения. Контролируемое лицо, представляющее в контрольный орган пояснения относительно выявленных ошибок и (или) противоречий в представленных документах либо относительно несоответствия сведений, содержащихся в этих документах, сведениям, содержащимся в имеющихся у контрольного органа документах и (или) полученным при осуществлении государственного экологического контроля, вправе дополнительно представить в контрольный орган документы, подтверждающие достоверность ранее представленных документов.
66. При проведении документарной проверки контрольный орган не вправе требовать у контролируемого лица сведения и документы, не относящиеся к предмету документарной проверки, а также сведения и документы, которые могут быть получены контрольным органом от иных органов.
67. Срок проведения документарной проверки не может превышать 10 рабочих дней. В указанный срок не включается период со дня направления контрольным органом контролируемому лицу требования представить необходимые для рассмотрения в ходе документарной проверки документы до дня представления указанных в требовании документов в контрольный (надзорный) орган, а также период со дня направления контролируемому лицу информации контрольного органа о выявлении ошибок и (или) противоречий в представленных контролируемым лицом документах либо о несоответствии сведений, содержащихся в этих документах, сведениям, содержащимся в имеющихся у контрольного органа документах и (или) полученным при осуществлении государственного экологического контроля, и требования представить необходимые пояснения в письменной форме до дня представления указанных пояснений в контрольный орган.
68. Внеплановая документарная проверка может проводиться только по согласованию с органами прокуратуры, за исключением случаев ее проведения в соответствии с пунктами 3, 4, 6 и 8 части 1 статьи 57 и частью 12 статьи 66 Федерального закона "О государственном контроле (надзоре) и муниципальном контроле в Российской Федерации".
(п. 68 в ред. Постановления Правительства РФ от 27.08.2025 N 1290)
69. Документарная проверка проводится при наличии оснований, указанных в части 1 статьи 57 Федерального закона "О государственном контроле (надзоре) и муниципальном контроле в Российской Федерации".
(в ред. Постановления Правительства РФ от 27.08.2025 N 1290)
70. Проведение документарной проверки, предметом которой являются сведения, составляющие государственную тайну, осуществляется по месту нахождения (осуществления деятельности) контролируемого лица (его филиалов, представительств, обособленных структурных подразделений).
71. В ходе выездной проверки могут совершаться следующие контрольные (надзорные) действия:
а) осмотр;
б) досмотр;
в) опрос;
г) получение письменных объяснений;
д) истребование документов;
е) отбор проб (образцов);
ж) инструментальное обследование;
з) испытание;
и) экспертиза;
к) эксперимент.
(пп. "к" введен Постановлением Правительства РФ от 27.08.2025 N 1290)
71(1). Выездная проверка и проводимые в ее рамках досмотр, опрос и экспертиза могут осуществляться с использованием средств дистанционного взаимодействия, в том числе посредством видео-конференц-связи, а также с использованием мобильного приложения "Инспектор". Дополнительно к мобильному приложению "Инспектор" могут быть использованы иные средства, указанные в пункте 36 настоящего Положения.
Фотосъемка и видеозапись при проведении досмотра в рамках выездной проверки осуществляются с использованием мобильного приложения "Инспектор".
(п. 71(1) введен Постановлением Правительства РФ от 27.08.2025 N 1290)
72. Выездная проверка проводится при наличии оснований, указанных в части 1 статьи 57 Федерального закона "О государственном контроле (надзоре) и муниципальном контроле в Российской Федерации".
(в ред. Постановления Правительства РФ от 27.08.2025 N 1290)
73. Срок проведения выездной проверки составляет 10 рабочих дней.
В отношении 1 субъекта малого предпринимательства общий срок взаимодействия в ходе проведения выездной проверки не может превышать 50 часов для малого предприятия и 15 часов для микропредприятия, за исключением выездной проверки, основанием для проведения которой является наступление события, указанного в программе проверок, и которая для микропредприятия не может продолжаться более 40 часов.
74. В ходе наблюдения за соблюдением обязательных требований проводится анализ данных об объектах контроля, имеющихся у контрольного органа, в том числе данных, которые поступают в ходе межведомственного информационного взаимодействия, предоставляются контролируемыми лицами в рамках исполнения обязательных требований, а также данных, содержащихся в государственных и муниципальных информационных системах.
75. Выявленные в ходе наблюдения за соблюдением обязательных требований (мониторинга безопасности) сведения о причинении вреда (ущерба) или об угрозе причинения вреда (ущерба) охраняемым законом ценностям направляются уполномоченному должностному лицу контрольного органа для принятия решений в соответствии со статьей 60 Федерального закона "О государственном контроле (надзоре) и муниципальном контроле в Российской Федерации".
76. В ходе выездного обследования проводится оценка соблюдения контролируемым лицом обязательных требований.
77. Выездное обследование может проводиться по месту нахождения (осуществления деятельности) организации (ее филиалов, представительств, обособленных структурных подразделений), месту осуществления деятельности гражданина, месту нахождения объекта контроля, при этом не допускается взаимодействие с контролируемым лицом.
78. В ходе выездного обследования на общедоступных (открытых для посещения неограниченным кругом лиц) производственных объектах могут осуществляться:
а) осмотр;
б) отбор проб (образцов);
в) инструментальное обследование (с применением видеозаписи);
г) испытание;
д) экспертиза.
79. Выездное обследование проводится без информирования контролируемого лица.
80. Утратил силу. - Постановление Правительства РФ от 27.08.2025 N 1290.
81. Внеплановые контрольные (надзорные) мероприятия проводятся по основаниям, предусмотренным пунктами 1, 3 - 9 части 1 статьи 57 Федерального закона "О государственном контроле (надзоре) и муниципальном контроле в Российской Федерации".
(в ред. Постановления Правительства РФ от 27.08.2025 N 1290)
82. Правом на досудебное обжалование решений контрольных органов, действий (бездействия) их должностных лиц обладает контролируемое лицо, в отношении которого приняты решения или совершены действия (бездействие), указанные в части 4 статьи 40 Федерального закона "О государственном контроле (надзоре) и муниципальном контроле в Российской Федерации".
83. Жалоба на решение территориального органа Федеральной службы по надзору в сфере природопользования, действия (бездействие) его должностных лиц при осуществлении государственного экологического контроля рассматривается руководителем (заместителем руководителя) этого территориального органа либо Федеральной службы по надзору в сфере природопользования.
Жалоба на действия (бездействие) руководителя (заместителя руководителя) территориального органа Федеральной службы по надзору в сфере природопользования при осуществлении государственного экологического контроля рассматривается Федеральной службой по надзору в сфере природопользования.
В случае обжалования решений Федеральной службы по надзору в сфере природопользования, принятых ее центральным аппаратом, действий (бездействия) должностных лиц центрального аппарата Федеральной службы по надзору в сфере природопользования при осуществлении государственного экологического контроля жалоба рассматривается руководителем Федеральной службы по надзору в сфере природопользования.
Жалоба на действия (бездействие) руководителя Федеральной службы по надзору в сфере природопользования при осуществлении государственного экологического контроля рассматривается руководителем Федеральной службы по надзору в сфере природопользования.
(абзац введен Постановлением Правительства РФ от 27.08.2025 N 1290)
84. Жалоба подается по форме в соответствии со статьей 41 Федерального закона "О государственном контроле (надзоре) и муниципальном контроле в Российской Федерации".
85. Жалоба рассматривается уполномоченным на рассмотрение жалобы контрольным органом в порядке, установленном статьей 43 Федерального закона "О государственном контроле (надзоре) и муниципальном контроле в Российской Федерации".
86. Жалоба подлежит рассмотрению уполномоченным на рассмотрение жалобы контрольным органом в срок не более 15 рабочих дней со дня ее регистрации в информационной системе (подсистеме государственной информационной системы) досудебного обжалования.
Жалоба на решение об отнесении объектов контроля к соответствующей категории риска рассматривается не более 5 рабочих дней.
Вопросы, связанные с исполнением решения контрольного органа (о разъяснении способа и порядка исполнения решения, об отсрочке исполнения решения, о приостановлении исполнения решения, возобновлении ранее приостановленного исполнения решения, прекращении исполнения решения), рассматриваются должностным лицом контрольного органа, вынесшим решение, по ходатайству контролируемого лица или по представлению должностного лица контрольного органа в течение 5 рабочих дней со дня поступления в контрольный орган ходатайства или направления представления.
(п. 86 в ред. Постановления Правительства РФ от 27.08.2025 N 1290)
86(1). В случае если устранение выявленных нарушений обязательных требований требует значительных временных и материальных затрат, капитальных вложений, включая затраты на строительство, реконструкцию или техническое перевооружение, приобретение машин, оборудования, инструментов, инвентаря, выделения бюджетных средств бюджетным учреждениям, и в целях недопущения ситуаций массового сокращения работников, снижения выпуска продукции, товаров и услуг, имеющих стратегическое значение и социально-экономическую значимость, контрольный орган вправе заключить с контролируемым лицом соглашение о надлежащем устранении выявленных нарушений обязательных требований в соответствии с постановлением Правительства Российской Федерации от 31 мая 2025 г. N 829 "Об утверждении Правил заключения, изменения, продления, расторжения соглашения о надлежащем устранении выявленных нарушений обязательных требований".
(п. 86(1) введен Постановлением Правительства РФ от 27.08.2025 N 1290)
87. Ключевым показателем государственного экологического контроля является отношение разницы между количеством объектов контроля, в отношении которых в отчетном периоде принято решение об их отнесении к более низкой категории риска, и количеством объектов контроля, в отношении которых в отчетном периоде принято решение об их отнесении к более высокой категории риска, к общему количеству объектов контроля на конец отчетного года.
(п. 87 введен Постановлением Правительства РФ от 26.02.2022 N 240)
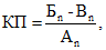
88. Значение ключевого показателя государственного экологического контроля (КП), достижение которого обеспечивается контрольным органом, определяется по формуле:
где:
Бn - количество объектов контроля, в отношении которых в отчетном периоде принято решение об их отнесении к более низкой категории риска;
Вn - количество объектов контроля, в отношении которых в отчетном периоде принято решение об их отнесении к более высокой категории риска;
Аn - общее количество объектов контроля, которым присвоена категория риска, на дату окончания отчетного периода.
Целевым (плановым) значением ключевого показателя государственного экологического контроля признается положительное значение указанного ключевого показателя.
(п. 88 введен Постановлением Правительства РФ от 26.02.2022 N 240)
Приложение
к Положению о федеральном
государственном экологическом
контроле (надзоре)
КРИТЕРИИ
ОТНЕСЕНИЯ ОБЪЕКТОВ ФЕДЕРАЛЬНОГО ГОСУДАРСТВЕННОГО
ЭКОЛОГИЧЕСКОГО КОНТРОЛЯ (НАДЗОРА) К КАТЕГОРИЯМ РИСКА
1. Объекты контроля относятся к следующим категориям риска:
а) к категории значительного риска - объекты, соответствующие критериям отнесения объектов, оказывающих значительное негативное воздействие на окружающую среду и относящихся к областям применения наилучших доступных технологий, к объектам I категории в соответствии с критериями отнесения объектов, оказывающих негативное воздействие на окружающую среду, к объектам I, II, III и IV категорий, утвержденными постановлением Правительства Российской Федерации от 31 декабря 2020 г. N 2398 "Об утверждении критериев отнесения объектов, оказывающих негативное воздействие на окружающую среду, к объектам I, II, III и IV категорий" (далее - Критерии);
б) к категории среднего риска - объекты, соответствующие критериям отнесения объектов, оказывающих умеренное негативное воздействие на окружающую среду, к объектам II категории в соответствии с Критериями;
в) к категории умеренного риска - объекты, соответствующие критериям отнесения объектов, оказывающих незначительное негативное воздействие на окружающую среду, к объектам III категории в соответствии с Критериями, а также объекты, на которых осуществляется деятельность исключительно по транспортированию отходов производства и потребления;
г) к категории низкого риска - объекты, соответствующие критериям отнесения объектов, оказывающих минимальное негативное воздействие на окружающую среду, к объектам IV категории в соответствии с Критериями.
2. Объекты контроля, подлежащие отнесению в соответствии с пунктом 1 настоящего документа к категориям значительного, среднего, умеренного риска, подлежат отнесению к категориям высокого, значительного, среднего риска соответственно в случаях:
а) если объект размещается:
в границах особо охраняемой природной территории федерального значения;
в границах центральной экологической зоны Байкальской природной территории;
в границах водно-болотного угодья международного значения;
в Арктической зоне Российской Федерации;
в водоохранных зонах следующих водных объектов:
поверхностных водных объектов, расположенных на территориях 2 и более субъектов Российской Федерации;
водных объектов или их частей, находящихся на землях обороны и безопасности, а также используемых для обеспечения обороны страны и безопасности государства и для обеспечения федеральных энергетических систем, федерального транспорта и иных государственных нужд;
внутренних морских вод Российской Федерации;
территориального моря Российской Федерации;
особо охраняемых водных объектов либо водных объектов, расположенных полностью или частично в границах особо охраняемых природных территорий федерального значения;
водных объектов или их частей, объявленных рыбохозяйственными заповедными зонами;
водных объектов, являющихся средой обитания анадромных и катадромных видов рыб;
водных объектов, по которым проходит государственная граница Российской Федерации;
водных объектов или их частей для нужд городов с численностью населения 100 тыс. человек и более, а также для нужд предприятий и других организаций, производящих забор воды или сброс сточных вод в объеме более 15 млн. куб. метров в год;
б) если объект является объектом, оказывающим негативное воздействие на окружающую среду, для которого устанавливаются квоты выбросов в соответствии с Федеральным законом "О проведении эксперимента по квотированию выбросов загрязняющих веществ и внесении изменений в отдельные законодательные акты Российской Федерации в части снижения загрязнения атмосферного воздуха".
3. Объекты контроля, подлежащие отнесению в соответствии с пунктами 1 и 2 настоящего Приложения к категориям высокого, значительного, среднего, умеренного риска, подлежат отнесению к категориям чрезвычайно высокого, высокого, значительного, среднего риска соответственно при наличии одного из следующих решений, вступивших в законную силу в течение 3 лет, предшествующих дате принятия решения об отнесении объекта к категории риска:
а) постановление о назначении административного наказания, за исключением административного наказания в виде предупреждения, юридическому лицу, его должностным лицам или индивидуальному предпринимателю за совершение административного правонарушения, предусмотренного статьями 8.2, 8.2.3, частями 1 и 2 статьи 8.4, частями 3 и 4 статьи 8.7, статьями 8.12 - 8.14, частью 1 статьи 8.17, статьями 8.19, 8.21, частями 2 и 3 статьи 8.31, статьями 8.42, 8.44, 8.45, а также частями 2, 3 и 4 статьи 14.1 и статьей 19.20 (в части деятельности по сбору, транспортированию, обработке, утилизации, обезвреживанию, размещению отходов I - IV классов опасности) Кодекса Российской Федерации об административных правонарушениях, вынесенного должностными лицами Федеральной службы по надзору в сфере природопользования или судом на основании протокола об административном правонарушении, составленного должностными лицами указанного органа;
б) обвинительный приговор, предусматривающий признание должностного лица юридического лица либо индивидуального предпринимателя, осуществляющих деятельность с использованием объекта, виновным в совершении преступления, предусмотренного статьями 246 - 248, 250 - 253, 259 Уголовного кодекса Российской Федерации;
в) решение о приостановлении и (или) об аннулировании лицензии на осуществление деятельности по сбору, транспортированию, обработке, утилизации, обезвреживанию, размещению отходов I - IV классов опасности при осуществлении деятельности с использованием объекта государственного надзора.
4. Объекты контроля, подлежащие отнесению в соответствии с подпунктом "а" и "в" пункта 3 настоящего документа к категориям чрезвычайно высокого, высокого, значительного, среднего риска, подлежат отнесению к категориям высокого, значительного, среднего, умеренного риска соответственно после устранения в установленный срок выявленного нарушения обязательных требований, подтвержденного результатами контрольного (надзорного) мероприятия.
5. Объекты контроля, подлежащие отнесению в соответствии с подпунктом "б" пункта 3 настоящего документа к категориям чрезвычайно высокого, высокого, значительного, среднего риска, подлежат отнесению к категориям высокого, значительного, среднего, умеренного риска соответственно по истечении 3 лет после вступления в законную силу соответствующих решений и одновременном соблюдении требований законодательства в области охраны окружающей среды.
6. Объекты контроля, подлежащие отнесению в соответствии с пунктами 1 и 2 настоящего Приложения к категориям высокого, значительного, среднего риска, подлежат отнесению к категориям значительного, среднего, умеренного риска соответственно при отсутствии в течение 3 лет, предшествующих дате принятия решения об отнесении объекта к категории риска, вступивших в законную силу решений, предусмотренных пунктом 3 настоящего Приложения, и одновременном соблюдении требований законодательства в области охраны окружающей среды.